Spandidos Publications Logo
  • About
    • About Spandidos
    • Aims and Scopes
    • Abstracting and Indexing
    • Editorial Policies
    • Reprints and Permissions
    • Job Opportunities
    • Terms and Conditions
    • Contact
  • Journals
    • All Journals
    • Oncology Letters
      • Oncology Letters
      • Information for Authors
      • Editorial Policies
      • Editorial Board
      • Aims and Scope
      • Abstracting and Indexing
      • Bibliographic Information
      • Archive
    • International Journal of Oncology
      • International Journal of Oncology
      • Information for Authors
      • Editorial Policies
      • Editorial Board
      • Aims and Scope
      • Abstracting and Indexing
      • Bibliographic Information
      • Archive
    • Molecular and Clinical Oncology
      • Molecular and Clinical Oncology
      • Information for Authors
      • Editorial Policies
      • Editorial Board
      • Aims and Scope
      • Abstracting and Indexing
      • Bibliographic Information
      • Archive
    • Experimental and Therapeutic Medicine
      • Experimental and Therapeutic Medicine
      • Information for Authors
      • Editorial Policies
      • Editorial Board
      • Aims and Scope
      • Abstracting and Indexing
      • Bibliographic Information
      • Archive
    • International Journal of Molecular Medicine
      • International Journal of Molecular Medicine
      • Information for Authors
      • Editorial Policies
      • Editorial Board
      • Aims and Scope
      • Abstracting and Indexing
      • Bibliographic Information
      • Archive
    • Biomedical Reports
      • Biomedical Reports
      • Information for Authors
      • Editorial Policies
      • Editorial Board
      • Aims and Scope
      • Abstracting and Indexing
      • Bibliographic Information
      • Archive
    • Oncology Reports
      • Oncology Reports
      • Information for Authors
      • Editorial Policies
      • Editorial Board
      • Aims and Scope
      • Abstracting and Indexing
      • Bibliographic Information
      • Archive
    • Molecular Medicine Reports
      • Molecular Medicine Reports
      • Information for Authors
      • Editorial Policies
      • Editorial Board
      • Aims and Scope
      • Abstracting and Indexing
      • Bibliographic Information
      • Archive
    • World Academy of Sciences Journal
      • World Academy of Sciences Journal
      • Information for Authors
      • Editorial Policies
      • Editorial Board
      • Aims and Scope
      • Abstracting and Indexing
      • Bibliographic Information
      • Archive
    • International Journal of Functional Nutrition
      • International Journal of Functional Nutrition
      • Information for Authors
      • Editorial Policies
      • Editorial Board
      • Aims and Scope
      • Abstracting and Indexing
      • Bibliographic Information
      • Archive
    • International Journal of Epigenetics
      • International Journal of Epigenetics
      • Information for Authors
      • Editorial Policies
      • Editorial Board
      • Aims and Scope
      • Abstracting and Indexing
      • Bibliographic Information
      • Archive
    • Medicine International
      • Medicine International
      • Information for Authors
      • Editorial Policies
      • Editorial Board
      • Aims and Scope
      • Abstracting and Indexing
      • Bibliographic Information
      • Archive
  • Articles
  • Information
    • Information for Authors
    • Information for Reviewers
    • Information for Librarians
    • Information for Advertisers
    • Conferences
  • Language Editing
Spandidos Publications Logo
  • About
    • About Spandidos
    • Aims and Scopes
    • Abstracting and Indexing
    • Editorial Policies
    • Reprints and Permissions
    • Job Opportunities
    • Terms and Conditions
    • Contact
  • Journals
    • All Journals
    • Biomedical Reports
      • Information for Authors
      • Editorial Policies
      • Editorial Board
      • Aims and Scope
      • Abstracting and Indexing
      • Bibliographic Information
      • Archive
    • Experimental and Therapeutic Medicine
      • Information for Authors
      • Editorial Policies
      • Editorial Board
      • Aims and Scope
      • Abstracting and Indexing
      • Bibliographic Information
      • Archive
    • International Journal of Epigenetics
      • Information for Authors
      • Editorial Policies
      • Editorial Board
      • Aims and Scope
      • Abstracting and Indexing
      • Bibliographic Information
      • Archive
    • International Journal of Functional Nutrition
      • Information for Authors
      • Editorial Policies
      • Editorial Board
      • Aims and Scope
      • Abstracting and Indexing
      • Bibliographic Information
      • Archive
    • International Journal of Molecular Medicine
      • Information for Authors
      • Editorial Policies
      • Editorial Board
      • Aims and Scope
      • Abstracting and Indexing
      • Bibliographic Information
      • Archive
    • International Journal of Oncology
      • Information for Authors
      • Editorial Policies
      • Editorial Board
      • Aims and Scope
      • Abstracting and Indexing
      • Bibliographic Information
      • Archive
    • Medicine International
      • Information for Authors
      • Editorial Policies
      • Editorial Board
      • Aims and Scope
      • Abstracting and Indexing
      • Bibliographic Information
      • Archive
    • Molecular and Clinical Oncology
      • Information for Authors
      • Editorial Policies
      • Editorial Board
      • Aims and Scope
      • Abstracting and Indexing
      • Bibliographic Information
      • Archive
    • Molecular Medicine Reports
      • Information for Authors
      • Editorial Policies
      • Editorial Board
      • Aims and Scope
      • Abstracting and Indexing
      • Bibliographic Information
      • Archive
    • Oncology Letters
      • Information for Authors
      • Editorial Policies
      • Editorial Board
      • Aims and Scope
      • Abstracting and Indexing
      • Bibliographic Information
      • Archive
    • Oncology Reports
      • Information for Authors
      • Editorial Policies
      • Editorial Board
      • Aims and Scope
      • Abstracting and Indexing
      • Bibliographic Information
      • Archive
    • World Academy of Sciences Journal
      • Information for Authors
      • Editorial Policies
      • Editorial Board
      • Aims and Scope
      • Abstracting and Indexing
      • Bibliographic Information
      • Archive
  • Articles
  • Information
    • For Authors
    • For Reviewers
    • For Librarians
    • For Advertisers
    • Conferences
  • Language Editing
Login Register Submit
  • This site uses cookies
  • You can change your cookie settings at any time by following the instructions in our Cookie Policy. To find out more, you may read our Privacy Policy.

    I agree
Search articles by DOI, keyword, author or affiliation
Search
Advanced Search
presentation
International Journal of Oncology
Join Editorial Board Propose a Special Issue
Print ISSN: 1019-6439 Online ISSN: 1791-2423
Journal Cover
June-2014 Volume 44 Issue 6

Full Size Image

Cover Legend PDF

Sign up for eToc alerts
Recommend to Library

Journals

International Journal of Molecular Medicine

International Journal of Molecular Medicine

International Journal of Molecular Medicine is an international journal devoted to molecular mechanisms of human disease.

International Journal of Oncology

International Journal of Oncology

International Journal of Oncology is an international journal devoted to oncology research and cancer treatment.

Molecular Medicine Reports

Molecular Medicine Reports

Covers molecular medicine topics such as pharmacology, pathology, genetics, neuroscience, infectious diseases, molecular cardiology, and molecular surgery.

Oncology Reports

Oncology Reports

Oncology Reports is an international journal devoted to fundamental and applied research in Oncology.

Experimental and Therapeutic Medicine

Experimental and Therapeutic Medicine

Experimental and Therapeutic Medicine is an international journal devoted to laboratory and clinical medicine.

Oncology Letters

Oncology Letters

Oncology Letters is an international journal devoted to Experimental and Clinical Oncology.

Biomedical Reports

Biomedical Reports

Explores a wide range of biological and medical fields, including pharmacology, genetics, microbiology, neuroscience, and molecular cardiology.

Molecular and Clinical Oncology

Molecular and Clinical Oncology

International journal addressing all aspects of oncology research, from tumorigenesis and oncogenes to chemotherapy and metastasis.

World Academy of Sciences Journal

World Academy of Sciences Journal

Multidisciplinary open-access journal spanning biochemistry, genetics, neuroscience, environmental health, and synthetic biology.

International Journal of Functional Nutrition

International Journal of Functional Nutrition

Open-access journal combining biochemistry, pharmacology, immunology, and genetics to advance health through functional nutrition.

International Journal of Epigenetics

International Journal of Epigenetics

Publishes open-access research on using epigenetics to advance understanding and treatment of human disease.

Medicine International

Medicine International

An International Open Access Journal Devoted to General Medicine.

Journal Cover
June-2014 Volume 44 Issue 6

Full Size Image

Cover Legend PDF

Sign up for eToc alerts
Recommend to Library

  • Article
  • Citations
    • Cite This Article
    • Download Citation
    • Create Citation Alert
    • Remove Citation Alert
    • Cited By
  • Similar Articles
    • Related Articles (in Spandidos Publications)
    • Similar Articles (Google Scholar)
    • Similar Articles (PubMed)
  • Download PDF
  • Download XML
  • View XML
Review Open Access

Human papillomavirus and oropharyngeal cancer, the epidemics, and significance of additional clinical biomarkers for prediction of response to therapy (Review)

  • Authors:
    • Tina Dalianis
  • View Affiliations / Copyright

    Affiliations: Department of Oncology-Pathology, Karolinska Institutet, Cancer Center Karolinska, Karolinska University Hospital, 171 76 Stockholm, Sweden
    Copyright: © Dalianis et al. This is an open access article distributed under the terms of Creative Commons Attribution License [CC BY_NC 3.0].
  • Pages: 1799-1805
    |
    Published online on: March 21, 2014
       https://doi.org/10.3892/ijo.2014.2355
  • Expand metrics +
Metrics: Total Views: 0 (Spandidos Publications: | PMC Statistics: )
Metrics: Total PDF Downloads: 0 (Spandidos Publications: | PMC Statistics: )
Cited By (CrossRef): 0 citations Loading Articles...

This article is mentioned in:



Abstract

In 2007, the International Agency for Research against Cancer (IARC) recognized human papillomavirus (HPV), especially HPV16, besides smoking and alcohol, as a risk factor for oropharyngeal squamous cell carcinoma (OPSCC), where tonsillar and base of tongue cancer dominate. Moreover, during the past decade, in many Western countries, a sharp rise in the incidence of OPSCC, more specifically of HPV-positive OPSCC has been observed. Notably, patients with HPV-positive OPSCC, where the majority are men, particularly never-smokers have a better clinical outcome than patients with HPV-negative OPSCC and other head neck cancer (roughly 80 vs. 40% disease-free survival with conventional radiotherapy and surgery). This suggests that many patients with HPV-positive OPSCC may not require the more aggressive intensified chemo-radiotherapy given to head neck cancer patients today, and could with somewhat tapered treatment maintain excellent survival, avoiding some of the severe side effects along with intensified treatment. However, before de-intensified treatment is administered additional biomarkers are necessary in combination with HPV-positive status in order to predict and select patients that will respond favorably to therapy. In conclusion, noteworthy issues within this field with an increasing cohort of patients with HPV-positive OPSCC are better-tailored therapy and prevention. Patients with HPV-positive OPSCC, with biomarkers for good response to therapy e.g., low MHC class I, or CD44 expression or high numbers of CD8+ tumor infiltrating lymphocytes, could be included in randomized trials with less severe therapy. Furthermore, possibilities to screen for HPV-positive OPSCC and to vaccinate boys against HPV infection should be further investigated.

Contents

Introduction

Human papillomavirus (HPV)

Oropharyngeal squamous cell carcinoma (OPSCC)

OPSCC and HPV

An HPV induced epidemic of OPSCC

HPV and OPSCC and treatment

Studies on HPV and other markers in HPV-positive OPSCC in response to treatment

Prevention of HPV-positive OPSCC

Introduction

A correlation between human papillomavirus (HPV), besides smoking and alcohol, in the development of oropharyngeal squamous cell carcinoma (OPSCC) was found and in 2007, this association was recognized by the International Agency for Research against Cancer (IARC)(1–4). Furthermore, in many Western countries a rise in the number of OPSCC cases has been observed, now attributed to an increase of HPV-positive OPSCC cases (5–17). Of note, HPV-positive OPSCC has in general a better clinical outcome than HPV-negative OPSCC and other head neck squamous cell carcinoma (HNSCC) (80 vs. 40% 5-year disease specific survival with conventional radiotherapy) (1–3,15–19). In parallel, due to this development because of its poor prognosis, HNSCC treatment has become more aggressive with more intensified chemo-radiotherapy administrations, leading to many additional acute and chronic adverse side effects. This intensified therapy may not be necessary for a large majority of patients with HPV-positive OPSCC that earlier did well already with more conventional therapy (1–3,15,16,20). However, not all patients with HPV-positive OPSCC survive, so before tapering therapy it is important to combine positive HPV-status with additional biomarkers in the tumors to identify patients with a very good probability to respond favorably to therapy. Furthermore, it would be of benefit to find predictive markers for risk of, or early OPSCC stages, as is done for cervical cancer, as well as introduce HPV-vaccination of boys in order to decrease the effects of the upcoming increase of HPV-positive OPSCC. This review gives an introduction to the field and the important issues of tailored therapy, prediction and prevention. It has special focus on the possibility to select patients with the potential to better respond to therapy and includes some aspects on early prediction of OPSCC, and prevention.

Human papillomavirus (HPV)

There are over 150 fully sequenced HPV types, with very many isolated from skin, but also a considerable number in mucous tissues (21,22). The cutaneous types can potentially cause skin warts, but their association to skin cancer is unclear, except for epidermodyplasia vercucciformis patients that are sensitive to infections with e.g., HPV5 and 8 resulting in verruca-like papillomatous lesions and multiple skin tumors (21,22). The mucosal types are separated into high-risk (HR) types associated with different cancers, e.g., cervical, vulvar, vaginal penile, anal and OPSCC; and into low-risk (LR) types that are seldom observed in cancer, but often found in benign genital lesions and respiratory papillomas (21,22).

All HPVs are small double stranded circular DNA viruses with genomes of almost 8 kb. The genome arbitrarily divided into a non-coding, an early and a late region is contained within a 52–55 nm virion encoding for the non-structural ‘early proteins’ E1-E2, E4-E7, and the two structural viral capsid ‘late proteins’ L1 and L2 (Fig. 1) (21). E1-E2 and E4-E7 are essential for gene regulation, replication and pathogenesis (21). In HR types the oncogenes E6 and E7, with high affinity to p53 and pRb, respectively, are important for immortalization and transformation (21). More specifically, E6 binds to p53 and causes its degradation, while E7 binds Rb and inhibits its function with deregulation of cell cycle control, also leading to overexpression of the cyclin-dependent kinase inhibitor p16Ink4a, the latter sometimes used as a surrogate marker for presence of HPV in OPSCC (16,21,23). The L1 major capsid protein contributes to the bulk of the viral capsid (80–90%) and self-assembles into virus-like particles (VLPs) under certain conditions. VLPs from HPVs and (other viruses) lack viral DNA, and are useful as vaccines and vectors (24–27). Current HPV vaccines consist of VLPs from different HPV types and both contain HPV16 and 18 VLPs (24,25).

Figure 1.

HPV genome and viral proteins, from Tommassino (21) with permission of the publisher.

Oropharyngeal squamous cell carcinoma (OPSCC)

OPSCC comprises tonsil and the base of tongue cancer (together accounting for 80% of the OPSCC cases) as well as cancer of the walls of the pharynx and the soft palate (20). Patients with OPSCC, similar to those with other head neck squamous cell carcinoma (HNSCC) seek medical care when they have symptoms and by then the tumors are relatively large. In earlier studies, clinical outcome for OPSCC, similar to HNSCC at large, was poor with an overall 5-year survival of approximately 25–40% with conventional radiotherapy and surgery, and it was difficult to predict clinical outcome despite similar stage and histology and treatment (1–3,20). Today, due to the poor prognosis of HNSCC, including that of OPSCC, its curative treatment is more aggressive, with chemo-radiotherapy in addition to surgery when necessary, and in some cases epithelial growth receptor (EGFR) blockers and there has been some improvement of survival (16,20). As always, the aim is to eliminate the malignancy, with as little functional and cosmetic impairment as possible (20). When curative therapy is impossible palliative therapy is administered to lessen discomfort.

OPSCC and HPV

In 2000, HPV-positive OPSCC, with >90% of the cases being HPV16-positive was shown to have a better clinical outcome compared to HPV-negative OPSCC and other HNSCC (80 vs. 40% 5-year survival) (1–4). Furthermore, HPV-positive and HPV-negative OPSCC were suggested to likely be different entities (1–4,15). Most HPV-positive OPSCC, either with episomal/and or integrated HPV genomes, exhibited E6 and E7 mRNA expression; with p53 expression more often, being normal and with 16Ink4a overexpressed in most cases, in contrast to that observed in HPV-negative OPSCC (1,18,21,22,28–30). In addition, HPV-positive OPSCC was generally less differentiated; more frequently aneuploid compared to HPV-negative OPSCC; and chromosome 3q often amplified similar to cervical cancer (31,32). Above all, independent of tumor stage, age, gender, differentiation, or DNA ploidy, HPV was a favorable prognostic factor (1–3,31). Moreover, being a never-smoker indicated an even better clinical outcome in patients with HPV-positive OPSCC (18,33). In 2007, the IARC recognized HPV, specially HPV16 as a risk factor for OPSCC (4).

The definition of HPV-positive status in OPSCC is not completely convergent. Mostly, formalin-fixed paraffin-embedded (FFPE) tumor biopsies are used to define HPV status and 16Ink4a overexpression assayed by immunohistochemistry (IHC) is used as a surrogate marker by some for HPV (23). In situ hybridization, Southern blots or PCR with general or specific HPV primers for detection of HPV DNA/RNA in addition to primers for cellular genes to assay for DNA amplifiability are also used (34–36). Today many methods including the Hybrid Capture 2; The Roche linear array HPV genotyping test and a PCR bead based multiplex method are available for HPV-typing (37–39). However, most scientists agree that analysis of E6 and E7 mRNA by RT-PCR should be used as a gold standard, since it is more indicative of functional HPV expression (18). Still, it has been reported that the combined presence of HPV DNA tested by PCR and overexpression of p16 by IHC is nearly as specific and sensitive as employing a gold standard (40). Notably, HPV prevalence in OPSCC varies due to methodology used, and due to time-period of analysis, the material, and geographic location (1–3,6,9,12,14–16). In addition, HPV DNA is more often found and of better predictive value in cancer of the tonsil and base of tongue (the tonsil and base of tongue accounting for Waldeyers ring of lymphatic tissue) compared to cancer at other oropharyngeal sites outside the Waldeyers ring (41).

An HPV induced epidemic of OPSCC

In 2006, a 2.8-fold rise in the incidence of tonsillar cancer was revealed between 1970–2002 in Stockholm, Sweden and in parallel, a 2.9 increase in the percentage (23–68%) of HPV-positive tonsillar cancer was found (6). In 2007, an emerging epidemic of HPV associated OPSCC was suggested also in the US (9). This was followed by reports in 2009 and 2010 from Sweden showing a 7-fold increase in HPV-positive tonsillar cancer between 1970–2007 and a decrease of HPV-negative cancer most likely due to less smoking (Fig. 2), and a similar increase in the incidence of HPV-positive base of tongue cancer between 1998–2006 (11,13). In 2011, an analogous development with an increase in incidence of HPV-positive OPSCC and a decline in HPV-negative OPSCC was also reported in the US (17). Furthermore, during much of the same period accumulating reports from many Western countries conveyed both a general increase of OPSCC as well as an increase in the proportion of HPV-positive OPSCC (6–17). The main explanation for this development was attributed to changes in sexual habits with a significant correlation between HPV-positive OPSCC, early sex debut as well as number of oral or vaginal partners (42). Nonetheless, oral- to-oral contact (open-mouth kissing) and oral HPV-transmission at birth could also account for oral HPV infection (43,44). To conclude, in many Western countries there is a presently ongoing epidemic of HPV-associated OPSCC.

Figure 2.

The estimated age standardized incidence rate with 95% CI of HPV-positive and HPV-negative tonsillar cancer SCC cases per 100,000 person-years in the County of Stockholm, between 1970–2006, from Näsman et al, 2009 (11), with permission from the publisher.

HPV and OPSCC and treatment

New therapeutic and preventive strategies are required since HPV-positive OPSCC today comprises a larger proportion of all HNSCC (16). As stated above, due to its poor prognosis treatment of HNSCC now includes chemo-radiotherapy, surgery and also EGFR inhibitors with more side effects and increasing expenses for society and this is probably not required for 80% of patients with HPV-positive OPSCC where conventional radiotherapy may be sufficient (16). Nevertheless, to taper therapy, maintaining excellent survival and improved quality of life, as well as decreased costs for society, better approaches to select patients that respond well to therapy are necessary. In some cases, less intensified radiotherapy has been offered to patients whose tumors have been sensitive to chemotherapy, but the patients have not felt confident to comply to this treatment without having reassurance that this will not affect survival. Therefore it is important to have more objective biomarkers that together with positive HPV status can predict response to therapy.

Studies on HPV and other markers in HPV-positive OPSCC in response to treatment

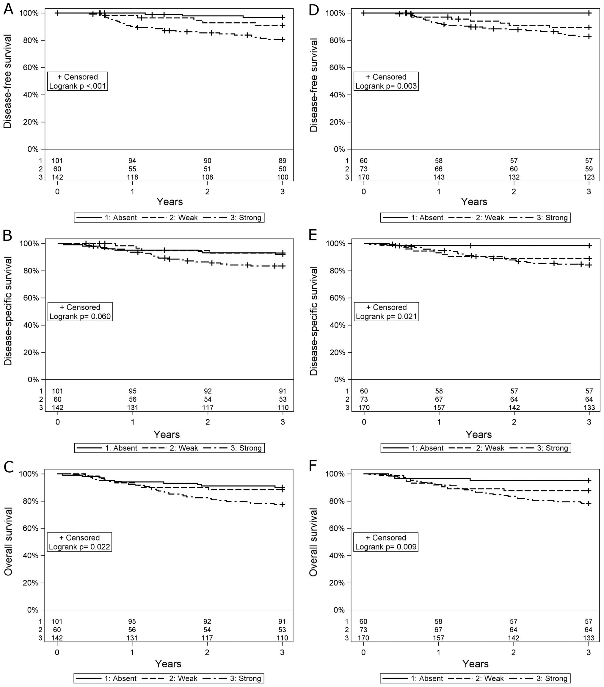
Numerous studies have focused on following OPSCC response to treatment based on HPV DNA or RNA status, p16 expression, p53 expression, age gender and smoking as well as the now more recent studies on other biomarkers (1–3,16,18,33). As mentioned above, both the presence of HPV DNA/RNA and p16 overexpression are excellent prognostic markers especially combined together or with being a never smoker (18,33). In fact, with each package year of smoking, the prognosis deteriorates (33). However, several markers have also been analyzed in parallel to HPV status and have also shown a very good credibility (45–50). It has been shown that absent/low expression of MHC class I, CD44 or CD98 intensity staining is of very high prognostic value for patients with HPV-positive OPSCC and e.g., for absent MHC class I staining indicates a 95–100% probability of a 3-year disease-free and overall survival (Fig. 3) (45–49). Furthermore, having high CD8+ tumor infiltrating lymphocyte (TIL) counts was also of high prognostic value for patients with HPV-positive OPSCC (50,51). MHC class II, Cox-2 expression, or high numbers of CD4+ TILs did not influence prognosis for patients with HPV-positive OPSCC (46,47,51).

Figure 3.

Kaplan-Meier curves for disease-free survival (DFS), disease-specific survival (DSS) and overall survival (OS) in patients with HPV-positive oropharyngeal squamous cell carcinoma (OSCC) with known MHC class I expression, where HCA-2 and HC-10 are two antibodies against HLA class I (the human MHC class I). (A) DFS stratified for HCA-2 intensity; (B) DSS stratified for HCA-2 intensity; (C) OS stratified for HCA-2 intensity; (D) DFS stratified for HC-10 intensity; (E) DSS stratified for HC-10 intensity; and (F) OS stratified for HC-10 intensity. HPVDNA+ OSCC with absent HLA class I intensity had a significant better clinical outcome than tumors with strong HLA class I intensity, while weak intensity staining presented an intermediate survival (HCA-2: DFS p<0.001; DSS p=0.060; OS p=0.022; HC-10: DFS p=0.003; DSS p=0.021; and OS p=0.009, with the log-rank test). Notably, the difference observed in the HCA-2 DSS analysis did not reach significance, although the trend was similar. From Näsman et al (46), with permission from the publisher.

The fact that low MHC class I expression in HPV-positive OPSCC was a favorable prognostic factor is to some extent surprising, since downregulation of MHC abrogates the immune response (45,46). Moreover, there was no increase in the number of NK-cells in the tumors (46). However, the low MHC class I expression could be due to high functional HPV activity since both E5 and E7 contribute to downregulation of MHC class I expression and that treatment to some extent increases MHC class I expression enhancing the immune response against these tumors (45,46). Of note, in this respect in experimental models, HPV-positive tumors were curable after cisplatin or radiation therapy only in immunocompetent and not in immunoincompetent mice thus suggesting that a functional immune response was necessary for final elimination of the tumors (52). It is noteworthy that for HPV-negative OPSCC high MHC class I expression was a favorable prognostic factor as was low CD44 intensity expression and high number of CD8+ TILs (45,46,48). The data suggest that some prognostic markers could be specific for only HPV-positive OPSCC, or HPV-negative OPSCC, while others could be of more general use.

To obtain more molecular and immunological knowledge would be valuable. In addition, so far none of the markers above select all patients with HPV-positive OPSCC with a favorable clinical outcome. It is therefore important to identify additional biomarkers that can increase our probability to select as many patients as possible for randomized clinical trials with lesser therapy.

Some studies have focused on the role of miRNAs in HPV-associated cancers and have found that the miRNA profiles in HPV-positive OPSCC are more similar to those in HPV-positive cervical cancer as compared to those obtained in HPV-negative OPSCC (53). However, so far no miRNAs have been linked to clinical outcome.

In summary, some information is available with regard to markers e.g., overexpression of 16Ink4a, low MHC class I, CD44 and CD98 expression, having high CD8+ TIL counts, and being a never-smoker to guide treatment strategy for patients with HPV-positive OPSCC (18,33,45–51). In addition, prospective randomized studies including patients with HPV-positive OPSCC and the above markers, using different therapies could be of benefit for the patients and to progress towards better-tailored treatment. Nevertheless, there is still an urgent need to identify additional markers, since the ones above do not identify all the patients with a high probability of a good response to therapy.

Prevention of HPV-positive OPSCC

HPV16 is detected in 80–90% of all HPV-positive OPSCC indicating that the present HPV vaccines should be able to eventually counteract the ongoing epidemic increase of HPV-positive OPSCC, but this could take time (1–4). Oral HPV prevalence has been stated to be approximately 3–9%, and transmitted by oral-genital or oral-oral contact, or by maternal transmission (43,54–58). Nonetheless, due to the vast production of saliva, oral HPV prevalence is relatively problematic to screen compared to cervical HPV prevalence and may therefore yield false negative results more often. However, based on unpublished data we suggest that a very high oral HPV signal may indicate the presence of an HPV-positive OPSCC. Serology has also been attempted to predict HPV-associated disease (59). Other studies have focused on cytology, but so far this has not been very useful (60). Should screening for HPV-positive OPSCC become necessary, most likely high HPV signals in mouthwashes could still be the best type of approach.

Finally, since HPV-positive OPSCC is still increasing in many Western countries, and the HPV vaccine has the potential to prevent also oral HPV infection (61), it would be of importance to vaccinate both girls and boys.

Acknowledgements

This study was supported in part by the Swedish Research Council, the Swedish Cancer Foundation, the Stockholm Cancer Society, the Stockholm City Council and the Karolinska Institutet, Sweden.

References

1. 

Gillison ML, Koch WM, Capone RB, Spafford M, Westra WH, Wu L, Zahurak ML, Daniel RW, Viglione M, Symer DE, Shah KV and Sidransky D: Evidence for a causal association between human papillomavirus and a subset of head and neck cancers. J Natl Cancer Inst. 92:709–720. 2000. View Article : Google Scholar : PubMed/NCBI

2. 

Mellin H, Friesland S, Lewensohn R, Dalianis T and Munck-Wikland E: Human papillomavirus (HPV) DNA in tonsillar cancer: clinical correlates, risk of relapse, and survival. Int J Cancer. 89:300–304. 2000. View Article : Google Scholar : PubMed/NCBI

3. 

Dahlstrand HM and Dalianis T: Presence and influence of human papillomaviruses (HPV) in tonsillar cancer. Adv Cancer Res. 93:59–89. 2005. View Article : Google Scholar : PubMed/NCBI

4. 

WHO: IARC Monographs on the Evaluation of Carcinogenic Risk to Humans. International Agency for Research on Cancer; Lyon: 2007

5. 

Robinson KL and Macfarlane GJ: Oropharyngeal cancer incidence and mortality in Scotland: are rates still increasing? Oral Oncol. 39:31–36. 2003. View Article : Google Scholar : PubMed/NCBI

6. 

Hammarstedt L, Lindquist D, Dahlstrand H, Romanitan M, Dahlgren LO, Joneberg J, Creson N, Lindholm J, Ye W, Dalianis T and Munck-Wikland E: Human papillomavirus as a risk factor for the increase in incidence of tonsillar cancer. Int J Cancer. 119:2620–2623. 2006. View Article : Google Scholar : PubMed/NCBI

7. 

Conway DI, Stockton DL, Warnakulasuriya KA, Ogden G and Macpherson LM: Incidence of oral and oropharyngeal cancer in United Kingdom (1990–1999) - recent trends and regional variation. Oral Oncol. 42:586–592. 2006.PubMed/NCBI

8. 

Hammarstedt L, Dahlstrand H, Lindquist D, Onelöv L, Ryott M, Luo J, Dalianis T, Ye W and Munck-Wikland E: The incidence of tonsillar cancer in Sweden is increasing. Acta Otolaryngol. 1279:988–992. 2007. View Article : Google Scholar

9. 

Sturgis EM and Cinciripini PM: Trends in head and neck cancer incidence in relation to smoking prevalence: an emerging epidemic of human papillomavirus-associated cancers? Cancer. 110:1429–1435. 2007. View Article : Google Scholar : PubMed/NCBI

10. 

Chaturvedi AK, Engels EA, Anderson WF and Gillison ML: Incidence trends for human papillomavirus-related and -unrelated oral squamous cell carcinomas in the United States. J Clin Oncol. 26:612–619. 2008. View Article : Google Scholar : PubMed/NCBI

11. 

Nasman A, Attner P, Hammarstedt L, Du J, Eriksson M, Giraud G, Sparén P, Ye W, Dahlstrand H, Munck-Wikland E and Dalianis T: Incidence of human papillomavirus (HPV) positive tonsillar carcinoma in Stockholm, Sweden: an epidemic of viral-induced carcinoma? Int J Cancer. 125:362–366. 2009. View Article : Google Scholar : PubMed/NCBI

12. 

Braakhuis BJ, Visser O and Leemans CR: Oral and oropharyngeal cancer in The Netherlands between 1989 and 2006: increasing incidence, but not in young adults. Oral Oncol. 45:e85–e89. 2009. View Article : Google Scholar : PubMed/NCBI

13. 

Attner P, Du J, Nasman A, Hammarstedt L, Ramqvist T, Lindholm J, Marklund L, Dalianis T and Munck-Wikland E: The role of human papillomavirus in the increased incidence of base of tongue cancer. Int J Cancer. 126:2879–2884. 2010.PubMed/NCBI

14. 

Marur S, D’Souza G, Westra WH and Forastiere AA: HPV-associated head and neck cancer: a virus-related cancer epidemic. Lancet Oncol. 11:781–789. 2010. View Article : Google Scholar : PubMed/NCBI

15. 

Ramqvist T and Dalianis T: Oropharyngeal epidemic and human papillomavirus. Emerg Infect Dis. 16:1671–1677. 2010. View Article : Google Scholar : PubMed/NCBI

16. 

Ramqvist T and Dalianis T: An epidemic of oropharyngeal squamous cell carcinoma (OSCC) due to human papilloma-virus (HPV) infection and aspects of treatment and prevention. Anticancer Res. 31:1515–1519. 2011.PubMed/NCBI

17. 

Chaturvedi AK, Engels EA, Pfeiffer RM, Hernandez BY, Xiao W, Kim E, Jiang B, Goodman MT, Sibug-Saber M, Cozen W, Liu L, Lynch CF, Wentzensen N, Jordan RC, Altekruse S, Anderson WF, Rosenberg PS and Gillison ML: Human papillomavirus and rising oropharyngeal cancer incidence in the United States. J Clin Oncol. 29:4294–4301. 2011. View Article : Google Scholar : PubMed/NCBI

18. 

Lindquist D, Romanitan M, Hammarstedt L, Nasman A, Dahlstrand H, Lindholm J, Onelöv L, Ramqvist T, Ye W, Munck-Wikland E and Dalianis T: Human papillomavirus is a favourable prognostic factor in tonsillar cancer and its oncogenic role is supported by the expression of E6 and E7. Mol Oncol. 1:350–355. 2007. View Article : Google Scholar : PubMed/NCBI

19. 

Attner P, Du J, Näsman A, Hammarstedt L, Ramqvist T, Lindholm J, Marklund L, Dalianis T and Munck-Wikland E: Human papillomavirus and survival in patients with base of tongue cancer. Int J Cancer. 128:2892–2897. 2011. View Article : Google Scholar : PubMed/NCBI

20. 

Licitra L, Bernier J, Grandi C, Merlano M, Bruzzi P and Lefebvre JL: Cancer of the oropharynx. Crit Rev Oncol Hematol. 41:107–122. 2002. View Article : Google Scholar

21. 

Tommasino M: The human papillomavirus family and carcinogenesis. Semin Cancer Biol. Dec 4–2013.(Epub ahead of print). pii: S1044-579X(13)00123-5. View Article : Google Scholar

22. 

Zur Hausen H: Papillomavirus infections: a major cause of human cancer. Infections Causing Human Cancer. Wiley-VCH Verlag; Weinheim: pp. 145–243. 2006, PubMed/NCBI

23. 

Oguejiofor KK, Hall JS, Mani N, Douglas C, Slevin NJ, Homer J, Hall G and West CM: The prognostic significance of the biomarker p16 in oropharyngeal squamous cell carcinoma. Clin Oncol (R Coll Radiol). 25:630–638. 2013. View Article : Google Scholar : PubMed/NCBI

24. 

Paavonen J, Jenkins D, Bosch FX, Naud P, Salmerón J, Wheeler CM, Chow SN, Apter DL, Kitchener HC, Castellsague X, de Carvalho NS, Skinner SR, Harper DM, Hedrick JA, Jaisamrarn U, Limson GA, Dionne M, Quint W, Spiessens B, Peeters P, Struyf F, Wieting SL, Lehtinen MO and Dubin G: HPV PATRICIA study group: Efficacy of a prophylactic adjuvanted bivalent L1 virus-like-particle vaccine against infection with human papillomavirus types 16 and 18 in young women: an interim analysis of a phase III double-blind, randomised controlled trial. Lancet. 369:2161–2170. 2007. View Article : Google Scholar

25. 

Future II Study Group: Qvadrivalent vaccine against human papillomavirus to prevent high-graded cervical lesions. N Engl J Med. 356:1915–1927. 2007. View Article : Google Scholar : PubMed/NCBI

26. 

Ramqvist T, Andreasson K and Dalianis T: Vaccination, immune and gene therapy based on virus-like particles against viral infections and cancer. Expert Opin Biol Ther. 7:997–1007. 2007. View Article : Google Scholar : PubMed/NCBI

27. 

Dalianis T: Immunotherapy for polyomaviruses: opportunities and challenges. Immunotherapy. 4:617–628. 2012. View Article : Google Scholar : PubMed/NCBI

28. 

Mellin H, Dahlgren L, Munck-Wikland E, Lindholm J, Rabbani H, Kalantari M and Dalianis T: Human papillomavirus type 16 is episomal and a high viral load may be correlated to better prognosis in tonsillar cancer. Int J Cancer. 102:152–158. 2002. View Article : Google Scholar : PubMed/NCBI

29. 

Koskinen WJ, Chen RW, Leivo I, Mäkitie A, Bäck L, Kontio R, Suuronen R, Lindqvist C, Auvinen E, Molijn A, Quint WG, Vaheri A and Aaltonen LM: Prevalence and physical status of human papillomavirus in squamous cell carcinomas of the head and neck. Int J Cancer. 107:401–406. 2003. View Article : Google Scholar : PubMed/NCBI

30. 

Mellin Dahlstrand H, Lindquist D, Bjornestal L, Ohlsson A, Dalianis T, Munck-Wikland E and Elmberger G: P16(INK4a) correlates to human papillomavirus presence, response to radio-therapy and clinical outcome in tonsillar carcinoma. Anticancer Res. 25:4375–4383. 2005.PubMed/NCBI

31. 

Mellin H, Friesland S, Auer G, Dalianis T and Munck-Wikland E: Human papillomavirus and DNA ploidy in tonsillar cancer -correlation to prognosis. Anticancer Res. 23:2821–2828. 2003.PubMed/NCBI

32. 

Dahlgren L, Mellin H, Wangsa D, Heselmeyer-Haddad K, Björnestål L, Lindholm J, Munck-Wikland E, Auer G, Ried T and Dalianis T: Comparative genomic hybridization analysis of tonsillar cancer reveals a different pattern of genomic imbalances in human papillomavirus-positive and -negative tumors. Int J Cancer. 107:244–249. 2003. View Article : Google Scholar

33. 

Ang KK, Harris J, Wheeler R, Weber R, Rosenthal DI, Nguyen-Tan PF, Westra WH, Chung CH, Jordan RC, Lu C, Kim H, Axelrod R, Silverman CC, Redmond KP and Gillison ML: Human papillomavirus and survival of patients with oropharyngeal cancer. N Engl J Med. 363:24–35. 2010. View Article : Google Scholar : PubMed/NCBI

34. 

de Roda Husman AM, Walboomers JM, van den Brule AJ, Meijer CJ and Snijders PJ: The use of general primers GP5 and GP6 elongated at their 3’ ends with adjacent highly conserved sequences improves human papillomavirus detection by PCR. J Gen Virol. 76:1057–1062. 1995.

35. 

Tieben LM, ter Schegget J, Minnaar RP, Bouwes Bavinck JN, Berkhout RJ, Vermeer BJ, Jebbink MF and Smits HL: Detection of cutaneous and genital HPV types in clinical samples by PCR using consensus primers. J Virol Methods. 42:265–279. 1993. View Article : Google Scholar : PubMed/NCBI

36. 

van den Brule AJ, Pol R, Fransen-Daalmeijer N, Schouls LM, Meijer CJ and Snijders PJ: GP5+/6+ PCR followed by reverse line blot analysis enables rapid and high-throughput identification of human papillomavirus genotypes. J Clin Microbiol. 40:779–787. 2002.

37. 

Clavel C, Masure M, Bory JP, Putaud I, Mangeonjean C, Lorenzato M, Gabriel R and Quereux C: Hybrid Capture II-based human papillomavirus detection, a sensitive test to detect in routine high-grade cervical lesions: a preliminary study on 1518 women. Br J Cancer. 80:1306–1311. 1999. View Article : Google Scholar : PubMed/NCBI

38. 

Gravitt PE, Peyton CL, Apple RJ and Wheeler CM: Genotyping of 27 human papillomavirus types by using L1 consensus PCR products by a single-hybridization, reverse line blot detection method. J Clin Microbiol. 36:3020–3027. 1998.

39. 

Schmitt M, Bravo IG, Snijders PJ, Gissmann L, Pawlita M and Waterboer T: Bead-based multiplex genotyping of human papillomaviruses. J Clin Microbiol. 44:504–512. 2006. View Article : Google Scholar : PubMed/NCBI

40. 

Smeets SJ, Hesselink AT, Speel EJ, Haesevoets A, Snijders PJ, Pawlita M, Meijer CJ, Braakhuis BJ, Leemans CR and Brakenhoff RH: A novel algorithm for reliable detection of human papillomavirus in paraffin-embedded head and neck cancer specimen. Int J Cancer. 121:2465–2472. 2007. View Article : Google Scholar : PubMed/NCBI

41. 

Marklund L, Näsman A, Ramqvist T, Dalianis T, Munck-Wikland E and Hammarstedt L: Prevalence of human papillomavirus and survival in oropharyngeal cancer other than tonsil or base of tongue cancer. Cancer Med. 1:82–88. 2012. View Article : Google Scholar : PubMed/NCBI

42. 

Anaya-Saavedra G, Ramirez-Amador V, Irigoyen-Camacho ME, Garcia-Cuellar CM, Guido-Jimenez M, Mendez-Martinez R and García-Carrancá A: High association of human papillomavirus infection with oral cancer: a case-control study. Arch Med Res. 39:189–197. 2008. View Article : Google Scholar : PubMed/NCBI

43. 

D’Souza G, Agrawal Y, Halpern J, Bodison S and Gillison ML: Oral sexual behaviors associated with prevalent oral human papillomavirus infection. J Infect Dis. 199:1263–1269. 2009.PubMed/NCBI

44. 

Syrjänen S and Puranen M: Human papillomavirus infections in children: the potential role of maternal transmission. Crit Rev Oral Biol Med. 11:259–274. 2000.PubMed/NCBI

45. 

Näsman A, Andersson E, Nordfors C, Grün N, Johansson H, Munck-Wikland E, Massucci G, Dalianis T and Ramqvist T: MHC class I expression in HPV positive and negative tonsillar squamous cell carcinoma in correlation to clinical outcome. Int J Cancer. 132:72–81. 2013.PubMed/NCBI

46. 

Näsman A, Andersson E, Marklund L, Tertipis N, Hammarstedt-Nordenwall L, Nyberg T, Munck-Wikland E, Masucci GV, Ramqvist T and Dalianis T: HLA class I and II expression in oropharyngeal squamous cell carcinoma in relation to tumor HPV status and clinical outcome. PloS One. 8:e77025432013.PubMed/NCBI

47. 

Lindquist D, Ahrlund-Richter A, Tarján M, Tot T and Dalianis T: Intense CD44 expression is a negative prognostic factor in tonsillar and base of tongue cancer. Anticancer Res. 32:153–161. 2012.PubMed/NCBI

48. 

Näsman A, Nordfors C, Grün N, Munck-Wikland E, Ramqvist T, Marklund L, Lindquist D and Dalianis T: Absent/weak CD44 intensity and positive human papillomavirus (HPV) status in oropharyngeal squamous cell carcinoma indicates a very high survival. Cancer Med. 2:507–518. 2013.PubMed/NCBI

49. 

Rietbergen MM, Martens-de Kemp SR, Bloemena E, Witte BI, Brink A, Baatenburg de Jong RJ, Leemans CR, Braakhuis BJ and Brakenhoff RH: Cancer stem cell enrichment marker CD98: A prognostic factor for survival in patients with human papillomavirus-positive oropharyngeal cancer. Eur J Cancer. Dec 4–2013.(Epub ahead of print). pii: S0959-8049(13)01005-8. View Article : Google Scholar

50. 

Näsman A, Romanitan M, Nordfors C, Grün N, Johansson H, Hammarstedt L, Marklund L, Munck-Wikland E, Dalianis T and Ramqvist T: Tumor infiltrating CD8+ and Foxp3+ lymphocytes correlate to clinical outcome and human papillomavirus (HPV) status in tonsillar cancer. PLoS One. 7:e387112012.

51. 

Nordfors C, Grün N, Tertipis N, Ahrlund-Richter A, Haeggblom L, Sivars L, Du J, Nyberg T, Marklund L, Munck-Wikland E, Näsman A, Ramqvist T and Dalianis T: CD8(+) and CD4(+) tumour infiltrating lymphocytes in relation to human papillomavirus status and clinical outcome in tonsillar and base of tongue squamous cell carcinoma. Eur J Cancer. 49:2522–2530. 2013.

52. 

Spanos WC, Nowicki P, Lee DW, Hoover A, Hostager B, Gupta A, Anderson ME and Lee JH: Immune response during therapy with cisplatin or radiation for human papillomavirus-related head and neck cancer. Arch Otolaryngol Head Neck Surg. 135:1137–1146. 2009. View Article : Google Scholar : PubMed/NCBI

53. 

Lajer CB, Garnæs E, Friis-Hansen L, Norrild B, Therkildsen MH, Glud M, Rossing M, Lajer H, Svane D, Skotte L, Specht L, Buchwald C and Nielsen FC: The role of miRNAs in human papilloma virus (HPV)-associated cancers: bridging between HPV-related head and neck cancer and cervical cancer. Br J Cancer. 106:1526–1534. 2012. View Article : Google Scholar

54. 

Kreimer AR, Bhatia RK, Messeguer AL, Gonzalez P, Herrero R and Giuliano AR: Oral human papillomavirus in healthy individuals: a systematic review of the literature. Sex Transm Dis. 37:386–391. 2010.

55. 

Rautava J and Syrjanen S: Human papillomavirus infections in the oral mucosa. J Am Dent Assoc. 142:905–914. 2011. View Article : Google Scholar : PubMed/NCBI

56. 

Du J, Nordfors C, Ahrlund-Richter A, Sobkowiak M, Romanitan M, Näsman A, Andersson S, Ramqvist T and Dalianis T: Prevalence of oral human papillomavirus infection among youth, Sweden. Emerg Infect Dis. 18:1468–1471. 2012. View Article : Google Scholar : PubMed/NCBI

57. 

Nordfors C, Grün N, Haeggblom L, Tertipis N, Sivars L, Mattebo M, Larsson M, Häggström-Nordin E, Tydén T, Ramqvist T and Dalianis T: Oral human papillomavirus prevalence in high school students of one municipality in Sweden. Scand J Infect Dis. 45:878–881. 2013. View Article : Google Scholar : PubMed/NCBI

58. 

Steinau M, Hariri S, Gillison ML, Broutian TR, Dunne EF, Tong ZY, Markowitz LE and Unger ER: Cervical and oral HPV prevalence among females in the United States. J Infect Dis. Jan 10–2014.(Epub ahead of print).

59. 

D’Souza G, Kreimer AR, Viscidi R, Pawlita M, Fakhry C, Koch WM, Westra WH and Gillison ML: Case-control study of human papillomavirus and oropharyngeal cancer. N Engl J Med. 356:1944–1956. 2007.PubMed/NCBI

60. 

Fakhry C, Rosenthal BT, Clark DP and Gillison ML: Associations between oral HPV16 infection and cytopathology: evaluation of an oropharyngeal ‘pap-test equivalent’ in high-risk populations. Cancer Prev Res. 4:1378–1384. 2011.PubMed/NCBI

61. 

Herrero R, Quint W, Hildesheim A, Gonzalez P, Struijk L, Katki HA, Porras C, Schiffman M, Rodriguez AC, Solomon D, Jimenez S, Schiller JT, Lowy DR, van Doorn LJ and Wacholder S: Reduced prevalence of oral human papillomavirus (HPV) 4 years after bivalent HPV vaccination in a randomized clinical trial in Costa Rica. PLoS One. 8:e683292013.PubMed/NCBI

Related Articles

  • Abstract
  • View
  • Download
  • Twitter
Copy and paste a formatted citation
Spandidos Publications style
Dalianis T: Human papillomavirus and oropharyngeal cancer, the epidemics, and significance of additional clinical biomarkers for prediction of response to therapy (Review). Int J Oncol 44: 1799-1805, 2014.
APA
Dalianis, T. (2014). Human papillomavirus and oropharyngeal cancer, the epidemics, and significance of additional clinical biomarkers for prediction of response to therapy (Review). International Journal of Oncology, 44, 1799-1805. https://doi.org/10.3892/ijo.2014.2355
MLA
Dalianis, T."Human papillomavirus and oropharyngeal cancer, the epidemics, and significance of additional clinical biomarkers for prediction of response to therapy (Review)". International Journal of Oncology 44.6 (2014): 1799-1805.
Chicago
Dalianis, T."Human papillomavirus and oropharyngeal cancer, the epidemics, and significance of additional clinical biomarkers for prediction of response to therapy (Review)". International Journal of Oncology 44, no. 6 (2014): 1799-1805. https://doi.org/10.3892/ijo.2014.2355
Copy and paste a formatted citation
x
Spandidos Publications style
Dalianis T: Human papillomavirus and oropharyngeal cancer, the epidemics, and significance of additional clinical biomarkers for prediction of response to therapy (Review). Int J Oncol 44: 1799-1805, 2014.
APA
Dalianis, T. (2014). Human papillomavirus and oropharyngeal cancer, the epidemics, and significance of additional clinical biomarkers for prediction of response to therapy (Review). International Journal of Oncology, 44, 1799-1805. https://doi.org/10.3892/ijo.2014.2355
MLA
Dalianis, T."Human papillomavirus and oropharyngeal cancer, the epidemics, and significance of additional clinical biomarkers for prediction of response to therapy (Review)". International Journal of Oncology 44.6 (2014): 1799-1805.
Chicago
Dalianis, T."Human papillomavirus and oropharyngeal cancer, the epidemics, and significance of additional clinical biomarkers for prediction of response to therapy (Review)". International Journal of Oncology 44, no. 6 (2014): 1799-1805. https://doi.org/10.3892/ijo.2014.2355
Follow us
  • Twitter
  • LinkedIn
  • Facebook
About
  • Spandidos Publications
  • Careers
  • Cookie Policy
  • Privacy Policy
How can we help?
  • Help
  • Live Chat
  • Contact
  • Email to our Support Team