Spandidos Publications Logo
  • About
    • About Spandidos
    • Aims and Scopes
    • Abstracting and Indexing
    • Editorial Policies
    • Reprints and Permissions
    • Job Opportunities
    • Terms and Conditions
    • Contact
  • Journals
    • All Journals
    • Oncology Letters
      • Oncology Letters
      • Information for Authors
      • Editorial Policies
      • Editorial Board
      • Aims and Scope
      • Abstracting and Indexing
      • Bibliographic Information
      • Archive
    • International Journal of Oncology
      • International Journal of Oncology
      • Information for Authors
      • Editorial Policies
      • Editorial Board
      • Aims and Scope
      • Abstracting and Indexing
      • Bibliographic Information
      • Archive
    • Molecular and Clinical Oncology
      • Molecular and Clinical Oncology
      • Information for Authors
      • Editorial Policies
      • Editorial Board
      • Aims and Scope
      • Abstracting and Indexing
      • Bibliographic Information
      • Archive
    • Experimental and Therapeutic Medicine
      • Experimental and Therapeutic Medicine
      • Information for Authors
      • Editorial Policies
      • Editorial Board
      • Aims and Scope
      • Abstracting and Indexing
      • Bibliographic Information
      • Archive
    • International Journal of Molecular Medicine
      • International Journal of Molecular Medicine
      • Information for Authors
      • Editorial Policies
      • Editorial Board
      • Aims and Scope
      • Abstracting and Indexing
      • Bibliographic Information
      • Archive
    • Biomedical Reports
      • Biomedical Reports
      • Information for Authors
      • Editorial Policies
      • Editorial Board
      • Aims and Scope
      • Abstracting and Indexing
      • Bibliographic Information
      • Archive
    • Oncology Reports
      • Oncology Reports
      • Information for Authors
      • Editorial Policies
      • Editorial Board
      • Aims and Scope
      • Abstracting and Indexing
      • Bibliographic Information
      • Archive
    • Molecular Medicine Reports
      • Molecular Medicine Reports
      • Information for Authors
      • Editorial Policies
      • Editorial Board
      • Aims and Scope
      • Abstracting and Indexing
      • Bibliographic Information
      • Archive
    • World Academy of Sciences Journal
      • World Academy of Sciences Journal
      • Information for Authors
      • Editorial Policies
      • Editorial Board
      • Aims and Scope
      • Abstracting and Indexing
      • Bibliographic Information
      • Archive
    • International Journal of Functional Nutrition
      • International Journal of Functional Nutrition
      • Information for Authors
      • Editorial Policies
      • Editorial Board
      • Aims and Scope
      • Abstracting and Indexing
      • Bibliographic Information
      • Archive
    • International Journal of Epigenetics
      • International Journal of Epigenetics
      • Information for Authors
      • Editorial Policies
      • Editorial Board
      • Aims and Scope
      • Abstracting and Indexing
      • Bibliographic Information
      • Archive
    • Medicine International
      • Medicine International
      • Information for Authors
      • Editorial Policies
      • Editorial Board
      • Aims and Scope
      • Abstracting and Indexing
      • Bibliographic Information
      • Archive
  • Articles
  • Information
    • Information for Authors
    • Information for Reviewers
    • Information for Librarians
    • Information for Advertisers
    • Conferences
  • Language Editing
Spandidos Publications Logo
  • About
    • About Spandidos
    • Aims and Scopes
    • Abstracting and Indexing
    • Editorial Policies
    • Reprints and Permissions
    • Job Opportunities
    • Terms and Conditions
    • Contact
  • Journals
    • All Journals
    • Biomedical Reports
      • Information for Authors
      • Editorial Policies
      • Editorial Board
      • Aims and Scope
      • Abstracting and Indexing
      • Bibliographic Information
      • Archive
    • Experimental and Therapeutic Medicine
      • Information for Authors
      • Editorial Policies
      • Editorial Board
      • Aims and Scope
      • Abstracting and Indexing
      • Bibliographic Information
      • Archive
    • International Journal of Epigenetics
      • Information for Authors
      • Editorial Policies
      • Editorial Board
      • Aims and Scope
      • Abstracting and Indexing
      • Bibliographic Information
      • Archive
    • International Journal of Functional Nutrition
      • Information for Authors
      • Editorial Policies
      • Editorial Board
      • Aims and Scope
      • Abstracting and Indexing
      • Bibliographic Information
      • Archive
    • International Journal of Molecular Medicine
      • Information for Authors
      • Editorial Policies
      • Editorial Board
      • Aims and Scope
      • Abstracting and Indexing
      • Bibliographic Information
      • Archive
    • International Journal of Oncology
      • Information for Authors
      • Editorial Policies
      • Editorial Board
      • Aims and Scope
      • Abstracting and Indexing
      • Bibliographic Information
      • Archive
    • Medicine International
      • Information for Authors
      • Editorial Policies
      • Editorial Board
      • Aims and Scope
      • Abstracting and Indexing
      • Bibliographic Information
      • Archive
    • Molecular and Clinical Oncology
      • Information for Authors
      • Editorial Policies
      • Editorial Board
      • Aims and Scope
      • Abstracting and Indexing
      • Bibliographic Information
      • Archive
    • Molecular Medicine Reports
      • Information for Authors
      • Editorial Policies
      • Editorial Board
      • Aims and Scope
      • Abstracting and Indexing
      • Bibliographic Information
      • Archive
    • Oncology Letters
      • Information for Authors
      • Editorial Policies
      • Editorial Board
      • Aims and Scope
      • Abstracting and Indexing
      • Bibliographic Information
      • Archive
    • Oncology Reports
      • Information for Authors
      • Editorial Policies
      • Editorial Board
      • Aims and Scope
      • Abstracting and Indexing
      • Bibliographic Information
      • Archive
    • World Academy of Sciences Journal
      • Information for Authors
      • Editorial Policies
      • Editorial Board
      • Aims and Scope
      • Abstracting and Indexing
      • Bibliographic Information
      • Archive
  • Articles
  • Information
    • For Authors
    • For Reviewers
    • For Librarians
    • For Advertisers
    • Conferences
  • Language Editing
Login Register Submit
  • This site uses cookies
  • You can change your cookie settings at any time by following the instructions in our Cookie Policy. To find out more, you may read our Privacy Policy.

    I agree
Search articles by DOI, keyword, author or affiliation
Search
Advanced Search
presentation
International Journal of Oncology
Join Editorial Board Propose a Special Issue
Print ISSN: 1019-6439 Online ISSN: 1791-2423
Journal Cover
December-2014 Volume 45 Issue 6

Full Size Image

Cover Legend PDF

Sign up for eToc alerts
Recommend to Library

Journals

International Journal of Molecular Medicine

International Journal of Molecular Medicine

International Journal of Molecular Medicine is an international journal devoted to molecular mechanisms of human disease.

International Journal of Oncology

International Journal of Oncology

International Journal of Oncology is an international journal devoted to oncology research and cancer treatment.

Molecular Medicine Reports

Molecular Medicine Reports

Covers molecular medicine topics such as pharmacology, pathology, genetics, neuroscience, infectious diseases, molecular cardiology, and molecular surgery.

Oncology Reports

Oncology Reports

Oncology Reports is an international journal devoted to fundamental and applied research in Oncology.

Experimental and Therapeutic Medicine

Experimental and Therapeutic Medicine

Experimental and Therapeutic Medicine is an international journal devoted to laboratory and clinical medicine.

Oncology Letters

Oncology Letters

Oncology Letters is an international journal devoted to Experimental and Clinical Oncology.

Biomedical Reports

Biomedical Reports

Explores a wide range of biological and medical fields, including pharmacology, genetics, microbiology, neuroscience, and molecular cardiology.

Molecular and Clinical Oncology

Molecular and Clinical Oncology

International journal addressing all aspects of oncology research, from tumorigenesis and oncogenes to chemotherapy and metastasis.

World Academy of Sciences Journal

World Academy of Sciences Journal

Multidisciplinary open-access journal spanning biochemistry, genetics, neuroscience, environmental health, and synthetic biology.

International Journal of Functional Nutrition

International Journal of Functional Nutrition

Open-access journal combining biochemistry, pharmacology, immunology, and genetics to advance health through functional nutrition.

International Journal of Epigenetics

International Journal of Epigenetics

Publishes open-access research on using epigenetics to advance understanding and treatment of human disease.

Medicine International

Medicine International

An International Open Access Journal Devoted to General Medicine.

Journal Cover
December-2014 Volume 45 Issue 6

Full Size Image

Cover Legend PDF

Sign up for eToc alerts
Recommend to Library

  • Article
  • Citations
    • Cite This Article
    • Download Citation
    • Create Citation Alert
    • Remove Citation Alert
    • Cited By
  • Similar Articles
    • Related Articles (in Spandidos Publications)
    • Similar Articles (Google Scholar)
    • Similar Articles (PubMed)
  • Download PDF
  • Download XML
  • View XML
Article Open Access

The inhibition of tyrosine kinase receptor signalling in leiomyosarcoma cells using the small molecule kinase inhibitor PTK787/ZK222584 (Vatalanib®)

  • Authors:
    • Andreas K.A. Gaumann
    • Hannes C.A. Drexler
    • Sven A. Lang
    • Oliver Stoeltzing
    • Simone Diermeier‑Daucher
    • Elisabeth Buchdunger
    • Jeanette Wood
    • Guido Bold
    • Georg Breier
  • View Affiliations / Copyright

    Affiliations: Institute of Pathology, Kaufbeuren‑Ravensburg, 87600 Kaufbeuren, Germany, Department of Molecular Cell Biology, Max Planck Institute for Physiological and Clinical Research, 61231 Bad Nauheim, Germany, Department of Surgery, University Medical Center Regensburg, 93053 Regensburg, Germany, Department of Obstetrics and Gynecology, University Medical Center Regensburg, 93053 Regensburg, Germany, Novartis Oncology, CH‑4002 Basel, Switzerland
    Copyright: © Gaumann et al. This is an open access article distributed under the terms of Creative Commons Attribution License [CC BY_NC 3.0].
  • Pages: 2267-2277
    |
    Published online on: September 29, 2014
       https://doi.org/10.3892/ijo.2014.2683
  • Expand metrics +
Metrics: Total Views: 0 (Spandidos Publications: | PMC Statistics: )
Metrics: Total PDF Downloads: 0 (Spandidos Publications: | PMC Statistics: )
Cited By (CrossRef): 0 citations Loading Articles...

This article is mentioned in:



Abstract

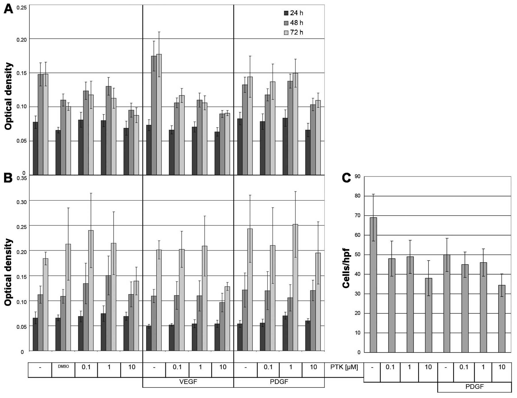
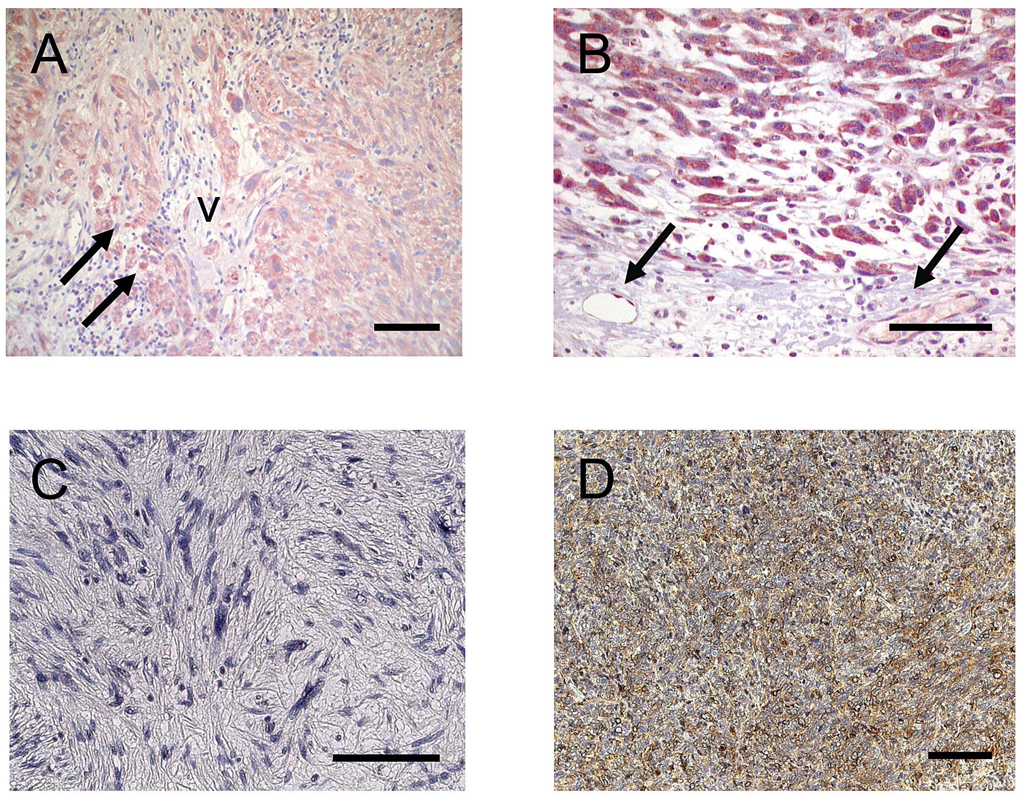
Leiomyosarcomas remain challenging tumors to manage and novel therapy strategies besides radiation and conventional chemotherapy are needed. Targeting angiogenesis by inhibition of vascular endothelial growth factor (VEGF) receptor tyrosine kinases (RTKs) of the tumor vasculature with small molecules is a promising new therapy. It has been shown recently that these receptors are not only expressed on tumor endothelium but also on tumor cells themselves. Thus, we investigated the expression of members of the VEGF receptor (VEGFR) family and corresponding growth factors in leiomyosarcoma tissue specimens and in the leiomyosarcoma cell lines SK‑LMS‑1 and SK‑UT‑1. We evaluated the influence of the VEGFR inhibitor PTK787/ZK222584 (PTK787) on cell growth, migration, apoptosis and phosphorylation of intracellular signalling molecules. In human leiomyosarcoma tissue specimens VEGFR‑1/‑2 and platelet‑derived growth factor receptor (PDGFR‑β) were strongly expressed. Both leiomyosarcoma cell lines expressed VEGFR‑1/‑3 and PDGFR‑β but VEGFR‑2 protein expression was positive only in SK‑UT‑1. SK‑LMS‑1 and SK‑UT‑1 cells secreted high and low amounts of VEGF‑A, respectively, whereas PDGF‑BB secretion was similar in both cell lines. Application of PTK787 led to partial inhibition of PDGF‑BB‑activated AKT/p90RSK and ERK1/2 signalling pathways. In contrast, protein phosphorylation was not affected by PTK787 in VEGF‑A‑treated cells. PTK787 turned out to inhibit cell migration even though no effects were observed upon stimulation with VEGF‑A or PDGF‑BB. In line, cell growth in leiomyosarcoma cell lines remained unchanged upon PTK787 treatment alone and with subsequent VEGF‑A‑ or PDGF‑BB‑stimulation. However, VEGF‑A, but not PDGF‑BB‑treated cells showed increased cell death upon PTK787 treatment. VEGFR family members are expressed in leiomyosarcomas in vivo and in vitro. Upon receptor stimulation, PTK787 is able to inhibit subsequent phosphorylation events and influences cell survival but not metabolic activity and migration. Thus, the inhibitor is possibly an additional option in the treatment of leiomyosarcomas.
View Figures

Figure 1

Figure 2

Figure 3

Figure 4

Figure 5

View References

1 

García-Martínez E, Egea Prefasi L, García-Donas J, Escolar-Pérez PP, Pastor F and González-Martín A: Current management of uterine sarcomas. Clin Transl Oncol. 13:307–314. 2011.

2 

Gaumann AK, Schermutzki G, Mentzel T, Kirkpatrick CJ, Kriegsmann JB and Konerding MA: Microvessel density and VEGF/VEGF receptor status and their role in sarcomas of the pulmonary artery. Oncol Rep. 19:309–318. 2008.PubMed/NCBI

3 

Maki RG: Gemcitabine and docetaxel in metastatic sarcoma: past, present, and future. Oncologist. 12:999–1006. 2007. View Article : Google Scholar : PubMed/NCBI

4 

Carmeliet P and Jain RK: Molecular mechanisms and clinical applications of angiogenesis. Nature. 473:298–307. 2011. View Article : Google Scholar : PubMed/NCBI

5 

Paesler J, Gehrke I, Gandhirajan RK, et al: The vascular endothelial growth factor receptor tyrosine kinase inhibitors vatalanib and pazopanib potently induce apoptosis in chronic lymphocytic leukemia cells in vitro and in vivo. Clin Cancer Res. 16:3390–3398. 2010. View Article : Google Scholar

6 

Lin B, Podar K, Gupta D, et al: The vascular endothelial growth factor receptor tyrosine kinase inhibitor PTK787/ZK222584 inhibits growth and migration of multiple myeloma cells in the bone marrow microenvironment. Cancer Res. 62:5019–5026. 2002.PubMed/NCBI

7 

Masood R, Cai J, Zheng T, Smith DL, Hinton DR and Gill PS: Vascular endothelial growth factor VEGF is an autocrine growth factor for VEGF receptor-positive human tumors. Blood. 98:1904–1913. 2001. View Article : Google Scholar : PubMed/NCBI

8 

Dias S, Hattori K, Zhu Z, et al: Autocrine stimulation of VEGFR-2 activates human leukemic cell growth and migration. J Clin Invest. 106:511–521. 2000. View Article : Google Scholar : PubMed/NCBI

9 

Podar K, Tai YT, Davies FE, et al: Vascular endothelial growth factor triggers signalling cascades mediating multiple myeloma cell growth and migration. Blood. 98:428–435. 2001. View Article : Google Scholar : PubMed/NCBI

10 

Volm M, Koomagi R and Mattern J: Vascular endothelial growth factor and basic fibroblast growth factor in primary lung carcinomas and the incidence of metastases. Int J Oncol. 9:711–714. 1996.PubMed/NCBI

11 

Itakura J, Ishiwata T, Shen B, Kornmann M and Korc M: Concomitant over-expression of vascular endothelial growth factor and its receptors in pancreatic cancer. Int J Cancer. 85:27–34. 2000. View Article : Google Scholar : PubMed/NCBI

12 

Charnock-Jones DS, Sharkey AM, Boocock CA, Ahmed A, Plevin R, Ferrara N and Smith SK: Vascular endothelial growth factor receptor localization and activation in human trophoblast and choriocarcinoma cells. Biol Reprod. 51:524–530. 1994. View Article : Google Scholar : PubMed/NCBI

13 

Liu B, Earl HM, Baban D, Shoaibi M, Fabra A, Kerr DJ and Seymour LW: Melanoma cell lines express VEGF receptor KDR and respond to exogenously added VEGF. Biochem Biophys Res Commun. 217:721–727. 1995. View Article : Google Scholar : PubMed/NCBI

14 

Los M, Roodhart JM and Voest EE: Target practice: lessons from phase III trials with bevacizumab and vatalanib in the treatment of advanced colorectal cancer. Oncologist. 12:443–450. 2007. View Article : Google Scholar : PubMed/NCBI

15 

Escudier B, Eisen T, Stadler WM, et al: Sorafenib for treatment of renal cell carcinoma: Final efficacy and safety results of the phase III treatment approaches in renal cancer global evaluation trial. J Clin Oncol. 27:3312–3318. 2009. View Article : Google Scholar

16 

Rini BI, Escudier B, Tomczak P, et al: Comparative effectiveness of axitinib versus sorafenib in advanced renal cell carcinoma (AXIS): a randomised phase 3 trial. Lancet. 378:1931–1939. 2011. View Article : Google Scholar : PubMed/NCBI

17 

Llovet JM, Ricci S, Mazzaferro V, et al: Sorafenib in advanced hepatocellular carcinoma. N Engl J Med. 359:378–390. 2008. View Article : Google Scholar : PubMed/NCBI

18 

Hecht JR, Trarbach T, Hainsworth JD, et al: Randomized, placebo-controlled, phase III study of first-line oxaliplatin-based chemotherapy plus PTK787/ZK 222584, an oral vascular endothelial growth factor receptor inhibitor, in patients with metastatic colorectal adenocarcinoma. J Clin Oncol. 29:1997–2003. 2011. View Article : Google Scholar

19 

Bergers G, Song S, Meyer-Morse N, Bergsland E and Hanahan D: Benefits of targeting both pericytes and endothelial cells in the tumor vasculature with kinase inhibitors. J Clin Invest. 111:1287–1295. 2003. View Article : Google Scholar : PubMed/NCBI

20 

Wood JM, Bold G, Buchdunger E, et al: PTK787/ZK 222584, a novel and potent inhibitor of vascular endothelial growth factor receptor tyrosine kinases, impairs vascular endothelial growth factor-induced responses and tumor growth after oral administration. Cancer Res. 60:2178–2189. 2000.

21 

Hasumi Y, Kłosowska-Wardega A, Furuhashi M, Ostman A, Heldin CH and Hellberg C: Identification of a subset of pericytes that respond to combination therapy targeting PDGF and VEGF signalling. Int J Cancer. 121:2606–2614. 2007. View Article : Google Scholar : PubMed/NCBI

22 

Erber R, Thurnher A, Katsen AD, et al: Combined inhibition of VEGF and PDGF signalling enforces tumor vessel regression by interfering with pericyte-mediated endothelial cell survival mechanisms. FASEB J. 18:338–340. 2004.

23 

De Bock K, Mazzone M and Carmeliet P: Antiangiogenic therapy, hypoxia, and metastasis: risky liaisons, or not? Nat Rev Clin Oncol. 8:393–404. 2011.

24 

Drevs J, Müller-Driver R, Wittig C, et al: PTK787/ZK 222584, a specific vascular endothelial growth factor-receptor tyrosine kinase inhibitor, affects the anatomy of the tumor vascular bed and the functional vascular properties as detected by dynamic enhanced magnetic resonance imaging. Cancer Res. 62:4015–4022. 2002.

25 

Drevs J, Hofmann I, Hugenschmidt H, et al: Effects of PTK787/ZK 222584, a specific inhibitor of vascular endothelial growth factor receptor tyrosine kinases, on primary tumor, metastasis, vessel density, and blood flow in a murine renal cell carcinoma model. Cancer Res. 60:4819–4824. 2000.

26 

Schomber T, Zumsteg A, Strittmatter K, et al: Differential effects of the vascular endothelial growth factor receptor inhibitor PTK787/ZK222584 on tumor angiogenesis and tumor lymphangiogenesis. Mol Cancer Ther. 8:55–63. 2009. View Article : Google Scholar : PubMed/NCBI

27 

Gauler TC, Besse B, Mauguen A, et al: Phase II trial of PTK787/ZK 222584 vatalanib administered orally once-daily or in two divided daily doses as second-line monotherapy in relapsed or progressing patients with stage IIIB/IV non-small-cell lung cancer (NSCLC). Ann Oncol. 23:678–687. 2012. View Article : Google Scholar : PubMed/NCBI

28 

Van Cutsem E, Bajetta E, Valle J, et al: Randomized, placebo-controlled, phase III study of oxaliplatin, fluorouracil, and leucovorin with or without PTK787/ZK 222584 in patients with previously treated metastatic colorectal adenocarcinoma. J Clin Oncol. 29:2004–2010. 2011.

29 

Hewett PW and Murray JC: Isolation of microvascular endothelial cells using magnetic beads coated with anti-PECAM-1 antibodies. In Vitro Cell Dev Biol Anim. 32:4621996. View Article : Google Scholar : PubMed/NCBI

30 

Jaffe EA, Nachman RL, Becker CG and Minick CR: Culture of human endothelial cells derived from umbilical veins. Identification by morphologic and immunologic criteria. J Clin Invest. 52:2745–2756. 1973. View Article : Google Scholar : PubMed/NCBI

31 

Bauer TW, Fan F, Liu W, et al: Targeting of insulin-like growth factor-I receptor with a monoclonal antibody inhibits growth of hepatic metastases from human colon carcinoma in mice. Ann Surg Oncol. 14:2838–2846. 2007. View Article : Google Scholar : PubMed/NCBI

32 

Zhao X and Guan JL: Focal adhesion kinase and its signalling pathways in cell migration and angiogenesis. Adv Drug Deliv Rev. 63:610–615. 2011. View Article : Google Scholar : PubMed/NCBI

33 

Deakin NO and Turner CE: Paxillin comes of age. J Cell Sci. 121:2435–2444. 2008. View Article : Google Scholar : PubMed/NCBI

34 

Jain RK, Duda DG, Willett CG, et al: Biomarkers of response and resistance to antiangiogenic therapy. Nat Rev Clin Oncol. 6:327–338. 2009. View Article : Google Scholar : PubMed/NCBI

35 

Murakami M, Kobayashi S, Marubashi S, et al: Tyrosine kinase inhibitor PTK/ZK enhances the antitumor effects of interferon-α/5-fluorouracil therapy for hepatocellular carcinoma cells. Ann Surg Oncol. 18:589–596. 2011.PubMed/NCBI

36 

Yang ZF, Poon RT, Liu Y, et al: High doses of tyrosine kinase inhibitor PTK787 enhance the efficacy of ischemic hypoxia for the treatment of hepatocellular carcinoma: dual effects on cancer cell and angiogenesis. Mol Cancer Ther. 5:2261–2270. 2006. View Article : Google Scholar : PubMed/NCBI

37 

Riesterer O, Oehler-Jänne C, Jochum W, Broggini-Tenzer A, Vuong V and Pruschy M: Ionizing radiation and inhibition of angiogenesis in a spontaneous mammary carcinoma and in a syngenic heterotopic allograft tumor model: a comparative study. Radiat Oncol. 6:662011. View Article : Google Scholar : PubMed/NCBI

38 

Barleon B, Sozzani S, Zhou D, Weich HA, Mantovani A and Marmé D: Migration of human monocytes in response to vascular endothelial growth factor (VEGF) is mediated via the VEGF receptor flt-1. Blood. 87:3336–3343. 1996.PubMed/NCBI

Related Articles

  • Abstract
  • View
  • Download
  • Twitter
Copy and paste a formatted citation
Spandidos Publications style
Gaumann AK, Drexler HC, Lang SA, Stoeltzing O, Diermeier‑Daucher S, Buchdunger E, Wood J, Bold G and Breier G: The inhibition of tyrosine kinase receptor signalling in leiomyosarcoma cells using the small molecule kinase inhibitor PTK787/ZK222584 (Vatalanib®). Int J Oncol 45: 2267-2277, 2014.
APA
Gaumann, A.K., Drexler, H.C., Lang, S.A., Stoeltzing, O., Diermeier‑Daucher, S., Buchdunger, E. ... Breier, G. (2014). The inhibition of tyrosine kinase receptor signalling in leiomyosarcoma cells using the small molecule kinase inhibitor PTK787/ZK222584 (Vatalanib®). International Journal of Oncology, 45, 2267-2277. https://doi.org/10.3892/ijo.2014.2683
MLA
Gaumann, A. K., Drexler, H. C., Lang, S. A., Stoeltzing, O., Diermeier‑Daucher, S., Buchdunger, E., Wood, J., Bold, G., Breier, G."The inhibition of tyrosine kinase receptor signalling in leiomyosarcoma cells using the small molecule kinase inhibitor PTK787/ZK222584 (Vatalanib®)". International Journal of Oncology 45.6 (2014): 2267-2277.
Chicago
Gaumann, A. K., Drexler, H. C., Lang, S. A., Stoeltzing, O., Diermeier‑Daucher, S., Buchdunger, E., Wood, J., Bold, G., Breier, G."The inhibition of tyrosine kinase receptor signalling in leiomyosarcoma cells using the small molecule kinase inhibitor PTK787/ZK222584 (Vatalanib®)". International Journal of Oncology 45, no. 6 (2014): 2267-2277. https://doi.org/10.3892/ijo.2014.2683
Copy and paste a formatted citation
x
Spandidos Publications style
Gaumann AK, Drexler HC, Lang SA, Stoeltzing O, Diermeier‑Daucher S, Buchdunger E, Wood J, Bold G and Breier G: The inhibition of tyrosine kinase receptor signalling in leiomyosarcoma cells using the small molecule kinase inhibitor PTK787/ZK222584 (Vatalanib®). Int J Oncol 45: 2267-2277, 2014.
APA
Gaumann, A.K., Drexler, H.C., Lang, S.A., Stoeltzing, O., Diermeier‑Daucher, S., Buchdunger, E. ... Breier, G. (2014). The inhibition of tyrosine kinase receptor signalling in leiomyosarcoma cells using the small molecule kinase inhibitor PTK787/ZK222584 (Vatalanib®). International Journal of Oncology, 45, 2267-2277. https://doi.org/10.3892/ijo.2014.2683
MLA
Gaumann, A. K., Drexler, H. C., Lang, S. A., Stoeltzing, O., Diermeier‑Daucher, S., Buchdunger, E., Wood, J., Bold, G., Breier, G."The inhibition of tyrosine kinase receptor signalling in leiomyosarcoma cells using the small molecule kinase inhibitor PTK787/ZK222584 (Vatalanib®)". International Journal of Oncology 45.6 (2014): 2267-2277.
Chicago
Gaumann, A. K., Drexler, H. C., Lang, S. A., Stoeltzing, O., Diermeier‑Daucher, S., Buchdunger, E., Wood, J., Bold, G., Breier, G."The inhibition of tyrosine kinase receptor signalling in leiomyosarcoma cells using the small molecule kinase inhibitor PTK787/ZK222584 (Vatalanib®)". International Journal of Oncology 45, no. 6 (2014): 2267-2277. https://doi.org/10.3892/ijo.2014.2683
Follow us
  • Twitter
  • LinkedIn
  • Facebook
About
  • Spandidos Publications
  • Careers
  • Cookie Policy
  • Privacy Policy
How can we help?
  • Help
  • Live Chat
  • Contact
  • Email to our Support Team