Spandidos Publications Logo
  • About
    • About Spandidos
    • Aims and Scopes
    • Abstracting and Indexing
    • Editorial Policies
    • Reprints and Permissions
    • Job Opportunities
    • Terms and Conditions
    • Contact
  • Journals
    • All Journals
    • Oncology Letters
      • Oncology Letters
      • Information for Authors
      • Editorial Policies
      • Editorial Board
      • Aims and Scope
      • Abstracting and Indexing
      • Bibliographic Information
      • Archive
    • International Journal of Oncology
      • International Journal of Oncology
      • Information for Authors
      • Editorial Policies
      • Editorial Board
      • Aims and Scope
      • Abstracting and Indexing
      • Bibliographic Information
      • Archive
    • Molecular and Clinical Oncology
      • Molecular and Clinical Oncology
      • Information for Authors
      • Editorial Policies
      • Editorial Board
      • Aims and Scope
      • Abstracting and Indexing
      • Bibliographic Information
      • Archive
    • Experimental and Therapeutic Medicine
      • Experimental and Therapeutic Medicine
      • Information for Authors
      • Editorial Policies
      • Editorial Board
      • Aims and Scope
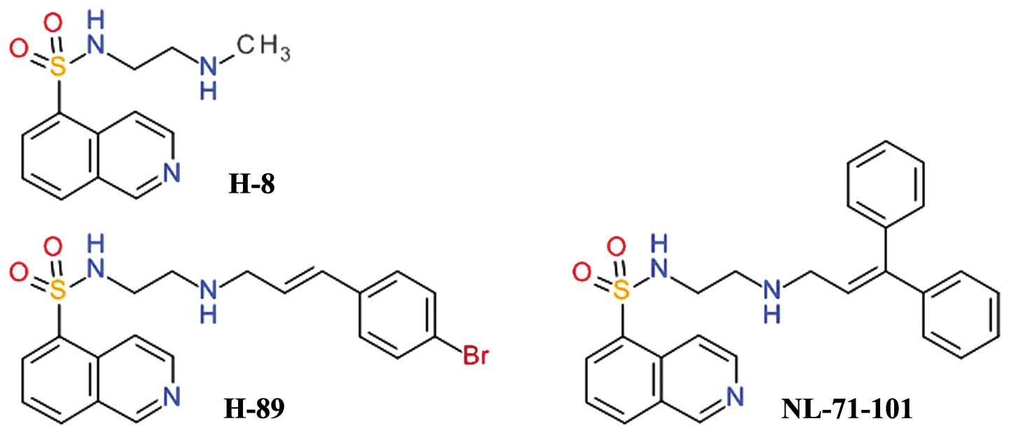
      • Abstracting and Indexing
      • Bibliographic Information
      • Archive
    • International Journal of Molecular Medicine
      • International Journal of Molecular Medicine
      • Information for Authors
      • Editorial Policies
      • Editorial Board
      • Aims and Scope
      • Abstracting and Indexing
      • Bibliographic Information
      • Archive
    • Biomedical Reports
      • Biomedical Reports
      • Information for Authors
      • Editorial Policies
      • Editorial Board
      • Aims and Scope
      • Abstracting and Indexing
      • Bibliographic Information
      • Archive
    • Oncology Reports
      • Oncology Reports
      • Information for Authors
      • Editorial Policies
      • Editorial Board
      • Aims and Scope
      • Abstracting and Indexing
      • Bibliographic Information
      • Archive
    • Molecular Medicine Reports
      • Molecular Medicine Reports
      • Information for Authors
      • Editorial Policies
      • Editorial Board
      • Aims and Scope
      • Abstracting and Indexing
      • Bibliographic Information
      • Archive
    • World Academy of Sciences Journal
      • World Academy of Sciences Journal
      • Information for Authors
      • Editorial Policies
      • Editorial Board
      • Aims and Scope
      • Abstracting and Indexing
      • Bibliographic Information
      • Archive
    • International Journal of Functional Nutrition
      • International Journal of Functional Nutrition
      • Information for Authors
      • Editorial Policies
      • Editorial Board
      • Aims and Scope
      • Abstracting and Indexing
      • Bibliographic Information
      • Archive
    • International Journal of Epigenetics
      • International Journal of Epigenetics
      • Information for Authors
      • Editorial Policies
      • Editorial Board
      • Aims and Scope
      • Abstracting and Indexing
      • Bibliographic Information
      • Archive
    • Medicine International
      • Medicine International
      • Information for Authors
      • Editorial Policies
      • Editorial Board
      • Aims and Scope
      • Abstracting and Indexing
      • Bibliographic Information
      • Archive
  • Articles
  • Information
    • Information for Authors
    • Information for Reviewers
    • Information for Librarians
    • Information for Advertisers
    • Conferences
  • Language Editing
Spandidos Publications Logo
  • About
    • About Spandidos
    • Aims and Scopes
    • Abstracting and Indexing
    • Editorial Policies
    • Reprints and Permissions
    • Job Opportunities
    • Terms and Conditions
    • Contact
  • Journals
    • All Journals
    • Biomedical Reports
      • Information for Authors
      • Editorial Policies
      • Editorial Board
      • Aims and Scope
      • Abstracting and Indexing
      • Bibliographic Information
      • Archive
    • Experimental and Therapeutic Medicine
      • Information for Authors
      • Editorial Policies
      • Editorial Board
      • Aims and Scope
      • Abstracting and Indexing
      • Bibliographic Information
      • Archive
    • International Journal of Epigenetics
      • Information for Authors
      • Editorial Policies
      • Editorial Board
      • Aims and Scope
      • Abstracting and Indexing
      • Bibliographic Information
      • Archive
    • International Journal of Functional Nutrition
      • Information for Authors
      • Editorial Policies
      • Editorial Board
      • Aims and Scope
      • Abstracting and Indexing
      • Bibliographic Information
      • Archive
    • International Journal of Molecular Medicine
      • Information for Authors
      • Editorial Policies
      • Editorial Board
      • Aims and Scope
      • Abstracting and Indexing
      • Bibliographic Information
      • Archive
    • International Journal of Oncology
      • Information for Authors
      • Editorial Policies
      • Editorial Board
      • Aims and Scope
      • Abstracting and Indexing
      • Bibliographic Information
      • Archive
    • Medicine International
      • Information for Authors
      • Editorial Policies
      • Editorial Board
      • Aims and Scope
      • Abstracting and Indexing
      • Bibliographic Information
      • Archive
    • Molecular and Clinical Oncology
      • Information for Authors
      • Editorial Policies
      • Editorial Board
      • Aims and Scope
      • Abstracting and Indexing
      • Bibliographic Information
      • Archive
    • Molecular Medicine Reports
      • Information for Authors
      • Editorial Policies
      • Editorial Board
      • Aims and Scope
      • Abstracting and Indexing
      • Bibliographic Information
      • Archive
    • Oncology Letters
      • Information for Authors
      • Editorial Policies
      • Editorial Board
      • Aims and Scope
      • Abstracting and Indexing
      • Bibliographic Information
      • Archive
    • Oncology Reports
      • Information for Authors
      • Editorial Policies
      • Editorial Board
      • Aims and Scope
      • Abstracting and Indexing
      • Bibliographic Information
      • Archive
    • World Academy of Sciences Journal
      • Information for Authors
      • Editorial Policies
      • Editorial Board
      • Aims and Scope
      • Abstracting and Indexing
      • Bibliographic Information
      • Archive
  • Articles
  • Information
    • For Authors
    • For Reviewers
    • For Librarians
    • For Advertisers
    • Conferences
  • Language Editing
Login Register Submit
  • This site uses cookies
  • You can change your cookie settings at any time by following the instructions in our Cookie Policy. To find out more, you may read our Privacy Policy.

    I agree
Search articles by DOI, keyword, author or affiliation
Search
Advanced Search
presentation
International Journal of Oncology
Join Editorial Board Propose a Special Issue
Print ISSN: 1019-6439 Online ISSN: 1791-2423
Journal Cover
March-2016 Volume 48 Issue 3

Full Size Image

Cover Legend PDF

Sign up for eToc alerts
Recommend to Library

Journals

International Journal of Molecular Medicine

International Journal of Molecular Medicine

International Journal of Molecular Medicine is an international journal devoted to molecular mechanisms of human disease.

International Journal of Oncology

International Journal of Oncology

International Journal of Oncology is an international journal devoted to oncology research and cancer treatment.

Molecular Medicine Reports

Molecular Medicine Reports

Covers molecular medicine topics such as pharmacology, pathology, genetics, neuroscience, infectious diseases, molecular cardiology, and molecular surgery.

Oncology Reports

Oncology Reports

Oncology Reports is an international journal devoted to fundamental and applied research in Oncology.

Experimental and Therapeutic Medicine

Experimental and Therapeutic Medicine

Experimental and Therapeutic Medicine is an international journal devoted to laboratory and clinical medicine.

Oncology Letters

Oncology Letters

Oncology Letters is an international journal devoted to Experimental and Clinical Oncology.

Biomedical Reports

Biomedical Reports

Explores a wide range of biological and medical fields, including pharmacology, genetics, microbiology, neuroscience, and molecular cardiology.

Molecular and Clinical Oncology

Molecular and Clinical Oncology

International journal addressing all aspects of oncology research, from tumorigenesis and oncogenes to chemotherapy and metastasis.

World Academy of Sciences Journal

World Academy of Sciences Journal

Multidisciplinary open-access journal spanning biochemistry, genetics, neuroscience, environmental health, and synthetic biology.

International Journal of Functional Nutrition

International Journal of Functional Nutrition

Open-access journal combining biochemistry, pharmacology, immunology, and genetics to advance health through functional nutrition.

International Journal of Epigenetics

International Journal of Epigenetics

Publishes open-access research on using epigenetics to advance understanding and treatment of human disease.

Medicine International

Medicine International

An International Open Access Journal Devoted to General Medicine.

Journal Cover
March-2016 Volume 48 Issue 3

Full Size Image

Cover Legend PDF

Sign up for eToc alerts
Recommend to Library

  • Article
  • Citations
    • Cite This Article
    • Download Citation
    • Create Citation Alert
    • Remove Citation Alert
    • Cited By
  • Similar Articles
    • Related Articles (in Spandidos Publications)
    • Similar Articles (Google Scholar)
    • Similar Articles (PubMed)
  • Download PDF
  • Download XML
  • View XML
Review Open Access

Akt inhibitors in cancer treatment: The long journey from drug discovery to clinical use (Review)

  • Authors:
    • George Mihai Nitulescu
    • Denisa Margina
    • Petras Juzenas
    • Qian Peng
    • Octavian Tudorel Olaru
    • Emmanouil Saloustros
    • Concettina Fenga
    • Demetrios Α. Spandidos
    • Massimo Libra
    • Aristidis M. Tsatsakis
  • View Affiliations / Copyright

    Affiliations: Faculty of Pharmacy, ‘Carol Davila’ University of Medicine and Pharmacy, Bucharest 020956, Romania, Department of Pathology, Radiumhospitalet, Oslo University Hospital, 0379 Oslo, Norway, Oncology Unit, General Hospital of Heraklion ‘Venizelio’, Heraklion 71409, Greece, Section of Occupational Medicine, University of Messina, I-98125 Messina, Italy, Department of Virology, Faculty of Medicine, University of Crete, Heraklion 71003, Greece, Department of Biomedical and Biotechnological Sciences, General and Clinical Pathology and Oncology Section, University of Catania, I‑95124 Catania, Italy, Department of Forensic Sciences and Toxicology, Faculty of Medicine, University of Crete, Heraklion 71003, Greece
    Copyright: © Nitulescu et al. This is an open access article distributed under the terms of Creative Commons Attribution License.
  • Pages: 869-885
    |
    Published online on: December 24, 2015
       https://doi.org/10.3892/ijo.2015.3306
  • Expand metrics +
Metrics: Total Views: 0 (Spandidos Publications: | PMC Statistics: )
Metrics: Total PDF Downloads: 0 (Spandidos Publications: | PMC Statistics: )
Cited By (CrossRef): 0 citations Loading Articles...

This article is mentioned in:



Abstract

Targeted cancer therapies are used to inhibit the growth, progression, and metastasis of the tumor by interfering with specific molecular targets and are currently the focus of anticancer drug development. Protein kinase B, also known as Akt, plays a central role in many types of cancer and has been validated as a therapeutic target nearly two decades ago. This review summarizes the intracellular functions of Akt as a pivotal point of converging signaling pathways involved in cell growth, proliferation, apoptotis and neo‑angiogenesis, and focuses on the drug design strategies to develop potent anticancer agents targeting Akt. The discovery process of Akt inhibitors has evolved from adenosine triphosphate (ATP)‑competitive agents to alternative approaches employing allosteric sites in order to overcome the high degree of structural similarity between Akt isoforms in the catalytic domain, and considerable structural analogy to the AGC kinase family. This process has led to the discovery of inhibitors with greater specificity, reduced side-effects and lower toxicity. A second generation of Akt has inhibitors emerged by incorporating a chemically reactive Michael acceptor template to target the nucleophile cysteines in the catalytic activation loop. The review outlines the development of several promising drug candidates emphasizing the importance of each chemical scaffold. We explore the pipeline of Akt inhibitors and their preclinical and clinical examination status, presenting the potential clinical application of these agents as a monotherapy or in combination with ionizing radiation, other targeted therapies, or chemotherapy.
View Figures

Figure 1

Figure 2

Figure 3

Figure 4

Figure 5

Figure 6

Figure 7

Figure 8

Figure 9

Figure 10

View References

1 

Ferlay J, Soerjomataram I, Dikshit R, Eser S, Mathers C, Rebelo M, Parkin DM, Forman D and Bray F: Cancer incidence and mortality worldwide: Sources, methods and major patterns in GLOBOCAN 2012. Int J Cancer. 136:E359–E386. 2015. View Article : Google Scholar

2 

Siegel R, Ma J, Zou Z and Jemal A: Cancer statistics, 2014. CA Cancer J Clin. 64:9–29. 2014. View Article : Google Scholar : PubMed/NCBI

3 

Steelman LS, Stadelman KM, Chappell WH, Horn S, Bäsecke J, Cervello M, Nicoletti F, Libra M, Stivala F, Martelli AM, et al: Akt as a therapeutic target in cancer. Expert Opin Ther Targets. 12:1139–1165. 2008. View Article : Google Scholar : PubMed/NCBI

4 

Bellacosa A, Kumar CC, Di Cristofano A and Testa JR: Activation of AKT kinases in cancer: Implications for therapeutic targeting. Adv Cancer Res. 94:29–86. 2005. View Article : Google Scholar : PubMed/NCBI

5 

Arcaro A and Guerreiro AS: The phosphoinositide 3-kinase pathway in human cancer: Genetic alterations and therapeutic implications. Curr Genomics. 8:271–306. 2007. View Article : Google Scholar : PubMed/NCBI

6 

Mitsiades CS, Mitsiades N and Koutsilieris M: The Akt pathway: Molecular targets for anti-cancer drug development. Curr Cancer Drug Targets. 4:235–256. 2004. View Article : Google Scholar : PubMed/NCBI

7 

Altomare DA and Testa JR: Perturbations of the AKT signaling pathway in human cancer. Oncogene. 24:7455–7464. 2005. View Article : Google Scholar : PubMed/NCBI

8 

Song G, Ouyang G and Bao S: The activation of Akt/PKB signaling pathway and cell survival. J Cell Mol Med. 9:59–71. 2005. View Article : Google Scholar : PubMed/NCBI

9 

Martelli AM, Tabellini G, Bressanin D, Ognibene A, Goto K, Cocco L and Evangelisti C: The emerging multiple roles of nuclear Akt. Biochim Biophys Acta - Mol Cell Res. 1823.2168–2178. 2012.

10 

Arencibia JM, Pastor-Flores D, Bauer AF, Schulze JO and Biondi RM: AGC protein kinases: From structural mechanism of regulation to allosteric drug development for the treatment of human diseases. Biochim Biophys Acta. 1834.1302–1321. 2013.

11 

Davis WJ, Lehmann PZ and Li W: Nuclear PI3K signaling in cell growth and tumorigenesis. Front Cell Dev Biol. 3:242015. View Article : Google Scholar : PubMed/NCBI

12 

Sasaki T, Yamashita Y and Kuniyasu H: AKT plays a crucial role in gastric cancer (Review). Oncol Lett. 10:607–611. 2015.PubMed/NCBI

13 

Shayesteh L, Lu Y, Kuo W-L, Baldocchi R, Godfrey T, Collins C, Pinkel D, Powell B, Mills GB and Gray JW: PIK3CA is implicated as an oncogene in ovarian cancer. Nat Genet. 21:99–102. 1999. View Article : Google Scholar : PubMed/NCBI

14 

Levine DA, Bogomolniy F, Yee CJ, Lash A, Barakat RR, Borgen PI and Boyd J: Frequent mutation of the PIK3CA gene in ovarian and breast cancers. Clin Cancer Res. 11:2875–2878. 2005. View Article : Google Scholar : PubMed/NCBI

15 

Andjelković M, Alessi DR, Meier R, Fernandez A, Lamb NJ, Frech M, Cron P, Cohen P, Lucocq JM and Hemmings BA: Role of translocation in the activation and function of protein kinase B. J Biol Chem. 272:31515–31524. 1997. View Article : Google Scholar

16 

Carnero A and Paramio JM: The PTEN/PI3K/AKT Pathway in vivo, Cancer Mouse Models. Front Oncol. 4:2522014. View Article : Google Scholar : PubMed/NCBI

17 

Conus NM, Hannan KM, Cristiano BE, Hemmings BA and Pearson RB: Direct identification of tyrosine 474 as a regulatory phosphorylation site for the Akt protein kinase. J Biol Chem. 277:38021–38028. 2002. View Article : Google Scholar : PubMed/NCBI

18 

Legate KR, Montañez E, Kudlacek O and Fässler R: ILK, PINCH and parvin: The tIPP of integrin signalling. Nat Rev Mol Cell Biol. 7:20–31. 2006. View Article : Google Scholar : PubMed/NCBI

19 

Jhaveri K and Modi S: Ganetespib: Research and clinical development. Onco Targets Ther. 8:1849–1858. 2015.PubMed/NCBI

20 

O‘Neill AK, Niederst MJ and Newton AC: Suppression of survival signalling pathways by the phosphatase PHLPP. FEBS J. 280:572–583. 2013. View Article : Google Scholar :

21 

Fresno Vara JA, Casado E, de Castro J, Cejas P, Belda-Iniesta C and González-Barón M: PI3K/Akt signalling pathway and cancer. Cancer Treat Rev. 30:193–204. 2004. View Article : Google Scholar : PubMed/NCBI

22 

Altomare DA and Khaled AR: Homeostasis and the importance for a balance between AKT/mTOR activity and intracellular signaling. Curr Med Chem. 19:3748–3762. 2012. View Article : Google Scholar : PubMed/NCBI

23 

Cohen MM Jr: The AKT genes and their roles in various disorders. Am J Med Genet A. 161A:2931–2937. 2013. View Article : Google Scholar : PubMed/NCBI

24 

Emamian ES: AKT/GSK3 signaling pathway and schizophrenia. Front Mol Neurosci. 5:332012. View Article : Google Scholar : PubMed/NCBI

25 

Mackenzie RWA and Elliott BT: Akt/PKB activation and insulin signaling: A novel insulin signaling pathway in the treatment of type 2 diabetes. Diabetes Metab Syndr Obes. 7:55–64. 2014. View Article : Google Scholar : PubMed/NCBI

26 

Osorio-Fuentealba C and Klip A: Dissecting signalling by individual Akt/PKB isoforms, three steps at once. Biochem J. 470:e13–e16. 2015. View Article : Google Scholar : PubMed/NCBI

27 

Easton RM, Cho H, Roovers K, Shineman DW, Mizrahi M, Forman MS, Lee VM, Szabolcs M, de Jong R, Oltersdorf T, et al: Role for Akt3/protein kinase Bgamma in attainment of normal brain size. Mol Cell Biol. 25:1869–1878. 2005. View Article : Google Scholar : PubMed/NCBI

28 

West KA, Castillo SS and Dennis PA: Activation of the PI3K/Akt pathway and chemotherapeutic resistance. Drug Resist Updat. 5:234–248. 2002. View Article : Google Scholar

29 

Candido S, Rapisarda V, Marconi A, Malaponte G, Bevelacqua V, Gangemi P, Scalisi A, McCubrey JA, Maestro R, Spandidos DA, et al: Analysis of the B-RafV600E mutation in cutaneous melanoma patients with occupational sun exposure. Oncol Rep. 31:1079–1082. 2014.PubMed/NCBI

30 

Shi Y, Liu X, Han EK, Guan R, Shoemaker AR, Oleksijew A, Woods KW, Fisher JP, Klinghofer V, Lasko L, et al: Optimal classes of chemotherapeutic agents sensitized by specific small-molecule inhibitors of akt in vitro and in vivo. Neoplasia. 7:992–1000. 2005. View Article : Google Scholar : PubMed/NCBI

31 

Hafsi S, Pezzino FM, Candido S, Ligresti G, Spandidos DA, Soua Z, McCubrey JA, Travali S and Libra M: Gene alterations in the PI3K/PTEN/AKT pathway as a mechanism of drug-resistance (Review). Int J Oncol. 40:639–644. 2012.

32 

Carnero A: The PKB/AKT pathway in cancer. Curr Pharm Des. 16:34–44. 2010. View Article : Google Scholar : PubMed/NCBI

33 

Nagata Y, Lan K-H, Zhou X, Tan M, Esteva FJ, Sahin AA, Klos KS, Li P, Monia BP, Nguyen NT, et al: PTEN activation contributes to tumor inhibition by trastuzumab, and loss of PTEN predicts trastuzumab resistance in patients. Cancer Cell. 6:117–127. 2004. View Article : Google Scholar : PubMed/NCBI

34 

Fujita T, Doihara H, Washio K, Kawasaki K, Takabatake D, Takahashi H, Tsukuda K, Ogasawara Y and Shimizu N: Proteasome inhibitor bortezomib increases PTEN expression and enhances trastuzumab-induced growth inhibition in trastuzumab-resistant cells. Anticancer Drugs. 17:455–462. 2006. View Article : Google Scholar : PubMed/NCBI

35 

Olaru OT, Niţulescu GM, Orţan A and Dinu-Pîrvu CE: Ethnomedicinal, Phytochemical and Pharmacological Profile of Anthriscus sylvestris as an Alternative Source for Anticancer Lignans. Molecules. 20:15003–15022. 2015. View Article : Google Scholar : PubMed/NCBI

36 

Peuhu E, Rivero-Müller A, Stykki H, Torvaldson E, Holmbom T, Eklund P, Unkila M, Sjöholm R and Eriksson JE: Inhibition of Akt signaling by the lignan matairesinol sensitizes prostate cancer cells to TRAIL-induced apoptosis. Oncogene. 29:898–908. 2010. View Article : Google Scholar

37 

Shoji K, Oda K, Nakagawa S, Hosokawa S, Nagae G, Uehara Y, Sone K, Miyamoto Y, Hiraike H, Hiraike-Wada O, et al: The oncogenic mutation in the pleckstrin homology domain of AKT1 in endometrial carcinomas. Br J Cancer. 101:145–148. 2009. View Article : Google Scholar : PubMed/NCBI

38 

Rychahou PG, Kang J, Gulhati P, Doan HQ, Chen LA, Xiao SY, Chung DH and Evers BM: Akt2 overexpression plays a critical role in the establishment of colorectal cancer metastasis. Proc Natl Acad Sci USA. 105:20315–20320. 2008. View Article : Google Scholar : PubMed/NCBI

39 

Graff JR, Konicek BW, McNulty AM, Wang Z, Houck K, Allen S, Paul JD, Hbaiu A, Goode RG, Sandusky GE, et al: Increased AKT activity contributes to prostate cancer progression by dramatically accelerating prostate tumor growth and diminishing p27Kip1 expression. J Biol Chem. 275:24500–24505. 2000. View Article : Google Scholar : PubMed/NCBI

40 

Altomare DA, Tanno S, De Rienzo A, Klein-Szanto AJ, Tanno S, Skele KL, Hoffman JP and Testa JR: Frequent activation of AKT2 kinase in human pancreatic carcinomas. J Cell Biochem. 87:470–476. 2002. View Article : Google Scholar

41 

Lin HP, Lin CY, Huo C, Jan YJ, Tseng JC, Jiang SS, Kuo YY, Chen SC, Wang CT, Chan TM, et al: AKT3 promotes prostate cancer proliferation cells through regulation of Akt, B-Raf, and TSC1/TSC2. Oncotarget. 6:27097–27112. 2015. View Article : Google Scholar : PubMed/NCBI

42 

Cristiano BE, Chan JC, Hannan KM, Lundie NA, Marmy-Conus NJ, Campbell IG, Phillips WA, Robbie M, Hannan RD and Pearson RB: A specific role for AKT3 in the genesis of ovarian cancer through modulation of G(2)-M phase transition. Cancer Res. 66:11718–11725. 2006. View Article : Google Scholar : PubMed/NCBI

43 

Mattmann ME, Stoops SL and Lindsley CW: Inhibition of Akt with small molecules and biologics: Historical perspective and current status of the patent landscape. Expert Opin Ther Pat. 21:1309–1338. 2011. View Article : Google Scholar : PubMed/NCBI

44 

Kumar CC and Madison V: AKT crystal structure and AKT-specific inhibitors. Oncogene. 24:7493–7501. 2005. View Article : Google Scholar : PubMed/NCBI

45 

Böckmann S and Nebe B: The in vitro effects of H-89, a specific inhibitor of protein kinase A, in the human colonic carcinoma cell line Caco-2. Eur J Cancer Prev. 12:469–478. 2003. View Article : Google Scholar : PubMed/NCBI

46 

Reuveni H, Livnah N, Geiger T, Klein S, Ohne O, Cohen I, Benhar M, Gellerman G and Levitzki A: Toward a PKB inhibitor: Modification of a selective PKA inhibitor by rational design. Biochemistry. 41:10304–10314. 2002. View Article : Google Scholar : PubMed/NCBI

47 

Breitenlechner CB, Wegge T, Berillon L, Graul K, Marzenell K, Friebe WG, Thomas U, Schumacher R, Huber R, Engh RA, et al: Structure-based optimization of novel azepane derivatives as PKB inhibitors. J Med Chem. 47:1375–1390. 2004. View Article : Google Scholar : PubMed/NCBI

48 

Murray AJ: Pharmacological PKA inhibition: All may not be what it seems. Sci Signal. 1:re4-re42008. View Article : Google Scholar

49 

Heerding DA, Rhodes N, Leber JD, Clark TJ, Keenan RM, Lafrance LV, Li M, Safonov IG, Takata DT, Venslavsky JW, et al: Identification of 4-(2-(4-amino-1,2,5-oxadiazol-3-yl)-1-ethyl-7-{[(3S)-3-piperidinylmethyl]oxy}-1H-imidazo[4,5-c]pyridin-4-yl)-2-methyl-3-butyn-2-ol (GSK690693), a novel inhibitor of AKT kinase. J Med Chem. 51:5663–5679. 2008. View Article : Google Scholar : PubMed/NCBI

50 

Levy DS, Kahana JA and Kumar R: AKT inhibitor, GSK690693, induces growth inhibition and apoptosis in acute lymphoblastic leukemia cell lines. Blood. 113:1723–1729. 2009. View Article : Google Scholar

51 

Carol H, Morton CL, Gorlick R, Kolb EA, Keir ST, Reynolds CP, Kang MH, Maris JM, Billups C, Smith MA, et al: Initial testing (stage 1) of the Akt inhibitor GSK690693 by the pediatric preclinical testing program. Pediatr Blood Cancer. 55:1329–1337. 2010. View Article : Google Scholar : PubMed/NCBI

52 

Crouthamel MC, Kahana JA, Korenchuk S, Zhang SY, Sundaresan G, Eberwein DJ, Brown KK and Kumar R: Mechanism and management of AKT inhibitor-induced hyperglycemia. Clin Cancer Res. 15:217–225. 2009. View Article : Google Scholar : PubMed/NCBI

53 

Donald A, McHardy T, Rowlands MG, Hunter LJ, Davies TG, Berdini V, Boyle RG, Aherne GW, Garrett MD and Collins I: Rapid evolution of 6-phenylpurine inhibitors of protein kinase B through structure-based design. J Med Chem. 50:2289–2292. 2007. View Article : Google Scholar : PubMed/NCBI

54 

Caldwell JJ, Davies TG, Donald A, McHardy T, Rowlands MG, Aherne GW, Hunter LK, Taylor K, Ruddle R, Raynaud FI, et al: Identification of 4-(4-aminopiperidin-1-yl)-7H-pyrrolo[2,3-d] pyrimidines as selective inhibitors of protein kinase B through fragment elaboration. J Med Chem. 51:2147–2157. 2008. View Article : Google Scholar : PubMed/NCBI

55 

Yap TA, Walton MI, Hunter L-JK, Valenti M, de Haven Brandon A, Eve PD, Ruddle R, Heaton SP, Henley A, Pickard L, et al: Preclinical pharmacology, antitumor activity, and development of pharmacodynamic markers for the novel, potent AKT inhibitor CCT128930. Mol Cancer Ther. 10:360–371. 2011. View Article : Google Scholar

56 

Freeman-Cook KD, Autry C, Borzillo G, Gordon D, Barbacci-Tobin E, Bernardo V, Briere D, Clark T, Corbett M, Jakubczak J, et al: Design of selective, ATP-competitive inhibitors of Akt. J Med Chem. 53:4615–4622. 2010. View Article : Google Scholar : PubMed/NCBI

57 

Lippa B, Pan G, Corbett M, Li C, Kauffman GS, Pandit J, Robinson S, Wei L, Kozina E, Marr ES, et al: Synthesis and structure based optimization of novel Akt inhibitors. Bioorg Med Chem Lett. 18:3359–3363. 2008. View Article : Google Scholar : PubMed/NCBI

58 

McHardy T, Caldwell JJ, Cheung KM, Hunter LJ, Taylor K, Rowlands M, Ruddle R, Henley A, de Haven Brandon A, Valenti M, et al: Discovery of 4-amino-1-(7H-pyrrolo[2,3-d] pyrimidin-4-yl)piperidine-4-carboxamides as selective, orally active inhibitors of protein kinase B (Akt). J Med Chem. 53:2239–2249. 2010. View Article : Google Scholar : PubMed/NCBI

59 

Addie M, Ballard P, Buttar D, et al: Discovery of 4-amino-N-[(1S)-1-(4-chlorophenyl)-3-hydroxypropyl]-1-(7H-pyrrolo[2,3-d] pyrimidin-4-yl)piperidine-4-carboxamide (AZD5363), an orally bioavailable, potent inhibitor of Akt kinases. J Med Chem. 56:2059–2073. 2013. View Article : Google Scholar : PubMed/NCBI

60 

Crafter C, Vincent JP, Tang E, Dudley P, James NH, Klinowska T and Davies BR: Combining AZD8931, a novel EGFR/HER2/HER3 signalling inhibitor, with AZD5363 limits AKT inhibitor induced feedback and enhances antitumour efficacy in HER2-amplified breast cancer models. Int J Oncol. 47:446–454. 2015.PubMed/NCBI

61 

Lamoureux F and Zoubeidi A: Dual inhibition of autophagy and the AKT pathway in prostate cancer. Autophagy. 9:1119–1120. 2013. View Article : Google Scholar : PubMed/NCBI

62 

Blake JF, Xu R, Bencsik JR, Xiao D, Kallan NC, Schlachter S, Mitchell IS, Spencer KL, Banka AL, Wallace EM, et al: Discovery and preclinical pharmacology of a selective ATP-competitive Akt inhibitor (GDC-0068) for the treatment of human tumors. J Med Chem. 55:8110–8127. 2012. View Article : Google Scholar : PubMed/NCBI

63 

Lin J, Sampath D, Nannini MA, Lee BB, Degtyarev M, Oeh J, Savage H, Guan Z, Hong R, Kassees R, et al: Targeting activated Akt with GDC-0068, a novel selective Akt inhibitor that is efficacious in multiple tumor models. Clin Cancer Res. 19:1760–1772. 2013. View Article : Google Scholar : PubMed/NCBI

64 

Kim S, Tan AR, Im S, Villanueva R, Valero V, Saura C, Oliveira M, Isakoff SJ, Singel SM and Dent RA: LOTUS: A randomized, phase II, multicenter, placebo-controlled study of ipatasertib (Ipat, GDC-0068), an inhibitor of Akt, in combination with paclitaxel (Pac) as front-line treatment for patients (pts) with metastatic triple-negative breast cancer (TNBC). ASCO Meet Abstr. 33:TPS11112015.

65 

Luo Y, Shoemaker AR, Liu X, Woods KW, Thomas SA, de Jong R, Han EK, Li T, Stoll VS, Powlas JA, et al: Potent and selective inhibitors of Akt kinases slow the progress of tumors in vivo. Mol Cancer Ther. 4:977–986. 2005. View Article : Google Scholar : PubMed/NCBI

66 

Woods KW, Fischer JP, Claiborne A, Li T, Thomas SA, Zhu GD, Diebold RB, Liu X, Shi Y, Klinghofer V, et al: Synthesis and SAR of indazole-pyridine based protein kinase B/Akt inhibitors. Bioorg Med Chem. 14:6832–6846. 2006. View Article : Google Scholar : PubMed/NCBI

67 

Lin H, Yamashita DS, Xie R, Zeng J, Wang W, Leber J, Safonov IG, Verma S, Li M, Lafrance L, et al: Tetrasubstituted pyridines as potent and selective AKT inhibitors: Reduced CYP450 and hERG inhibition of aminopyridines. Bioorg Med Chem Lett. 20:684–688. 2010. View Article : Google Scholar

68 

Ko JH, Yeon SW, Ryu JS, Kim TY, Song EH, You HJ, Park RE and Ryu CK: Synthesis and biological evaluation of 5-arylamino-6-chloro-1H-indazole-4,7-diones as inhibitors of protein kinase B/Akt. Bioorg Med Chem Lett. 16:6001–6005. 2006. View Article : Google Scholar : PubMed/NCBI

69 

Bencsik JR, Xiao D, Blake JF, Kallan NC, Mitchell IS, Spencer KL, Xu R, Gloor SL, Martinson M, Risom T, et al: Discovery of dihydrothieno- and dihydrofuropyrimidines as potent pan Akt inhibitors. Bioorg Med Chem Lett. 20:7037–7041. 2010. View Article : Google Scholar : PubMed/NCBI

70 

Saxty G, Woodhead SJ, Berdini V, Davies TG, Verdonk ML, Wyatt PG, Boyle RG, Barford D, Downham R, Garrett MD, et al: Identification of inhibitors of protein kinase B using fragment-based lead discovery. J Med Chem. 50:2293–2296. 2007. View Article : Google Scholar : PubMed/NCBI

71 

Grimshaw KM, Hunter L-JK, Yap TA, Heaton SP, Walton MI, Woodhead SJ, Fazal L, Reule M, Davies TG, Seavers LC, et al: AT7867 is a potent and oral inhibitor of AKT and p70 S6 kinase that induces pharmacodynamic changes and inhibits human tumor xenograft growth. Mol Cancer Ther. 9:1100–1110. 2010. View Article : Google Scholar : PubMed/NCBI

72 

Yap TA, Walton MI, Grimshaw KM, Te Poele RH, Eve PD, Valenti MR, de Haven Brandon AK, Martins V, Zetterlund A, Heaton SP, et al: AT13148 is a novel, oral multi-AGC kinase inhibitor with potent pharmacodynamic and antitumor activity. Clin Cancer Res. 18:3912–3923. 2012. View Article : Google Scholar : PubMed/NCBI

73 

Lin X, Murray JM, Rico AC, Wang MX, Chu DT, Zhou Y, Del Rosario M, Kaufman S, Ma S, Fang E, et al: Discovery of 2-pyrimidyl-5-amidothiophenes as potent inhibitors for AKT: Synthesis and SAR studies. Bioorg Med Chem Lett. 16:4163–4168. 2006. View Article : Google Scholar : PubMed/NCBI

74 

Dumble M, Crouthamel MC, Zhang SY, Schaber M, Levy D, Robell K, Liu Q, Figueroa DJ, Minthorn EA, Seefeld MA, et al: Discovery of novel AKT inhibitors with enhanced anti-tumor effects in combination with the MEK inhibitor. PLoS One. 9:e1008802014. View Article : Google Scholar : PubMed/NCBI

75 

Chang S, Zhang Z, Zhuang X, Luo J, Cao X, Li H, Tu Z, Lu X, Ren X and Ding K: New thiazole carboxamides as potent inhibitors of Akt kinases. Bioorg Med Chem Lett. 22:1208–1212. 2012. View Article : Google Scholar

76 

Deng R, Yang F, Chang SH, Tang J, Qin J, Feng GK, Ding K and Zhu XF: DC120, a novel and potent inhibitor of AKT kinase, induces tumor cell apoptosis and suppresses tumor growth. Mol Pharmacol. 82:189–198. 2012. View Article : Google Scholar : PubMed/NCBI

77 

Spencer A, Yoon SS, Harrison SJ, Morris SR, Smith DA, Brigandi RA, Gauvin J, Kumar R, Opalinska JB and Chen C: The novel AKT inhibitor afuresertib shows favorable safety, pharmacokinetics, and clinical activity in multiple myeloma. Blood. 124:2190–2195. 2014. View Article : Google Scholar : PubMed/NCBI

78 

Faiman B and Richards T: Innovative agents in multiple myeloma. J Adv Pract Oncol. 5:193–202. 2014.PubMed/NCBI

79 

Wu WI, Voegtli WC, Sturgis HL, Dizon FP, Vigers GPA and Brandhuber BJ: Crystal structure of human AKT1 with an allosteric inhibitor reveals a new mode of kinase inhibition. PLoS One. 5:e129132010. View Article : Google Scholar : PubMed/NCBI

80 

Lu S, Li S and Zhang J: Harnessing allostery: A novel approach to drug discovery. Med Res Rev. 34:1242–1285. 2014. View Article : Google Scholar : PubMed/NCBI

81 

Lindsley CW, Zhao Z, Leister WH, Robinson RG, Barnett SF, Defeo-Jones D, Jones RE, Hartman GD, Huff JR, Huber HE, et al: Allosteric Akt (PKB) inhibitors: Discovery and SAR of isozyme selective inhibitors. Bioorg Med Chem Lett. 15:761–764. 2005. View Article : Google Scholar : PubMed/NCBI

82 

Bilodeau MT, Balitza AE, Hoffman JM, Manley PJ, Barnett SF, Defeo-Jones D, Haskell K, Jones RE, Leander K, Robinson RG, et al: Allosteric inhibitors of Akt1 and Akt2: A naphthyridinone with efficacy in an A2780 tumor xenograft model. Bioorg Med Chem Lett. 18:3178–3182. 2008. View Article : Google Scholar : PubMed/NCBI

83 

Li Y, Liang J, Siu T, Hu E, Rossi MA, Barnett SF, Defeo-Jones D, Jones RE, Robinson RG, Leander K, et al: Allosteric inhibitors of Akt1 and Akt2: Discovery of [1,2,4]triazolo[3,4-f][1,6]naphthyridines with potent and balanced activity. Bioorg Med Chem Lett. 19:834–836. 2009. View Article : Google Scholar

84 

Hirai H, Sootome H, Nakatsuru Y, Miyama K, Taguchi S, Tsujioka K, Ueno Y, Hatch H, Majumder PK, Pan BS, et al: MK-2206, an allosteric Akt inhibitor, enhances antitumor efficacy by standard chemotherapeutic agents or molecular targeted drugs in vitro and in vivo. Mol Cancer Ther. 9:1956–1967. 2010. View Article : Google Scholar : PubMed/NCBI

85 

Fang Z, Simard JR, Plenker D, Nguyen HD, Phan T, Wolle P, Baumeister S and Rauh D: Discovery of inter-domain stabilizers-a novel assay system for allosteric akt inhibitors. ACS Chem Biol. 10:279–288. 2015. View Article : Google Scholar

86 

Jiao P, Zhou YS, Yang JX, Zhao YL, Liu QQ, Yuan C and Wang FZ: MK-2206 induces cell cycle arrest and apoptosis in HepG2 cells and sensitizes TRAIL-mediated cell death. Mol Cell Biochem. 382:217–224. 2013. View Article : Google Scholar : PubMed/NCBI

87 

Molife LR, Yan L, Vitfell-Rasmussen J, Zernhelt AM, Sullivan DM, Cassier PA, Chen E, Biondo A, Tetteh E, Siu LL, et al: Phase 1 trial of the oral AKT inhibitor MK-2206 plus carboplatin/paclitaxel, docetaxel, or erlotinib in patients with advanced solid tumors. J Hematol Oncol. 7:12014. View Article : Google Scholar : PubMed/NCBI

88 

Kümler I, Tuxen MK and Nielsen DL: A systematic review of dual targeting in HER2-positive breast cancer. Cancer Treat Rev. 40:259–270. 2014. View Article : Google Scholar

89 

Konopleva MY, Walter RB, Faderl SH, Jabbour EJ, Zeng Z, Borthakur G, Huang X, Kadia TM, Ruvolo PP, Feliu JB, et al: Preclinical and early clinical evaluation of the oral AKT inhibitor, MK-2206, for the treatment of acute myelogenous leukemia. Clin Cancer Res. 20:2226–2235. 2014. View Article : Google Scholar : PubMed/NCBI

90 

Do K, Speranza G, Bishop R, Khin S, Rubinstein L, Kinders RJ, Datiles M, Eugeni M, Lam MH, Doyle LA, et al: Biomarker-driven phase 2 study of MK-2206 and selumetinib (AZD6244, ARRY-142886) in patients with colorectal cancer. Invest New Drugs. 33:720–728. 2015. View Article : Google Scholar : PubMed/NCBI

91 

Meuillet EJ: Novel inhibitors of AKT: Assessment of a different approach targeting the pleckstrin homology domain. Curr Med Chem. 18:2727–2742. 2011. View Article : Google Scholar : PubMed/NCBI

92 

Gills JJ and Dennis PA: Perifosine: Update on a novel Akt inhibitor. Curr Oncol Rep. 11:102–110. 2009. View Article : Google Scholar : PubMed/NCBI

93 

van Blitterswijk WJ and Verheij M: Anticancer mechanisms and clinical application of alkylphospholipids. Biochim Biophys Acta. 1831.663–674. 2013.

94 

van der Luit AH, Vink SR, Klarenbeek JB, Perrissoud D, Solary E, Verheij M and van Blitterswijk WJ: A new class of anticancer alkylphospholipids uses lipid rafts as membrane gateways to induce apoptosis in lymphoma cells. Mol Cancer Ther. 6:2337–2345. 2007. View Article : Google Scholar : PubMed/NCBI

95 

Reis-Sobreiro M, Roué G, Moros A, Gajate C, de la Iglesia-Vicente J, Colomer D and Mollinedo F: Lipid raft-mediated Akt signaling as a therapeutic target in mantle cell lymphoma. Blood Cancer J. 3:e1182013. View Article : Google Scholar : PubMed/NCBI

96 

de Pachioni JA, Magalhães JG, Lima EJC, de Bueno LM, Barbosa JF, de Sá MM and Rangel-Yagui CO: Alkylphospholipids - a promising class of chemotherapeutic agents with a broad pharmacological spectrum. J Pharm Pharm Sci. 16:742–759. 2013.

97 

Giantonio BJ, Derry C, McAleer C, McPhillips JJ and O‘Dwyer PJ: Phase I and pharmacokinetic study of the cytotoxic ether lipid ilmofosine administered by weekly two-hour infusion in patients with advanced solid tumors. Clin Cancer Res. 10:1282–1288. 2004. View Article : Google Scholar : PubMed/NCBI

98 

Verweij J, Krzemieniecki K, Kok T, Poveda A, van Pottelsberghe C, van Glabbeke M and Mouridsen H: Phase II study of miltefosine (hexadecylphosphocholine) in advanced soft tissue sarcomas of the adult - an EORTC Soft Tissue and Bone Sarcoma Group Study. Eur J Cancer. 29A:208–209. 1993. View Article : Google Scholar

99 

Becher R, Kloke K, Füger A, Bremer K, Drozd A, Kleeberg UR, Fritze D, Rieche K and Sindermann H: Phase II Trial of Orally Administered Miltefosine in Advanced Colorectal Cancer. Onkologie. 16:11–15. 1993. View Article : Google Scholar

100 

Clive S, Gardiner J and Leonard RCF: Miltefosine as a topical treatment for cutaneous metastases in breast carcinoma. Cancer Chemother Pharmacol Suppl. 44:2000.

101 

Dorlo TPC, Balasegaram M, Beijnen JH and de Vries PJ: Miltefosine: A review of its pharmacology and therapeutic efficacy in the treatment of leishmaniasis. J Antimicrob Chemother. 67:2576–2597. 2012. View Article : Google Scholar : PubMed/NCBI

102 

Orlowski RZ: Novel agents for multiple myeloma to overcome resistance in phase III clinical trials. Semin Oncol. 40:634–651. 2013. View Article : Google Scholar : PubMed/NCBI

103 

Henke G, Lindner LH, Vogeser M, Eibl HJ, Wörner J, Müller AC, Bamberg M, Wachholz K, Belka C and Jendrossek V: Pharmacokinetics and biodistribution of Erufosine in nude mice - implications for combination with radiotherapy. Radiat Oncol. 4:462009. View Article : Google Scholar :

104 

Rübel A, Handrick R, Lindner LH, Steiger M, Eibl H, Budach W, Belka C and Jendrossek V: The membrane targeted apoptosis modulators erucylphosphocholine and erucylphosphohomocholine increase the radiation response of human glioblastoma cell lines in vitro. Radiat Oncol. 1:62006. View Article : Google Scholar : PubMed/NCBI

105 

Kaleağasıoğlu F and Berger MR: Differential effects of erufosine on proliferation, wound healing and apoptosis in colorectal cancer cell lines. Oncol Rep. 31:1407–1416. 2014.

106 

Rudner J, Ruiner CE, Handrick R, Eibl HJ, Belka C and Jendrossek V: The Akt-inhibitor Erufosine induces apoptotic cell death in prostate cancer cells and increases the short term effects of ionizing radiation. Radiat Oncol. 5:1082010. View Article : Google Scholar : PubMed/NCBI

107 

Chinni SR and Sarkar FH: Akt inactivation is a key event in indole-3-carbinol-induced apoptosis in PC-3 cells. Clin Cancer Res. 8:1228–1236. 2002.PubMed/NCBI

108 

Aggarwal BB and Ichikawa H: Molecular targets and anticancer potential of indole-3-carbinol and its derivatives. Cell Cycle. 4:1201–1215. 2005. View Article : Google Scholar : PubMed/NCBI

109 

Kim DJ, Reddy K, Kim MO, Li Y, Nadas J, Cho YY, Kim JE, Shim JH, Song NR, Carper A, et al: (3-Chloroacetyl)-indole, a novel allosteric AKT inhibitor, suppresses colon cancer growth in vitro and in vivo. Cancer Prev Res (Phila). 4:1842–1851. 2011. View Article : Google Scholar

110 

Chao WR, Yean D, Amin K, Green C and Jong L: Computer-aided rational drug design: A novel agent (SR13668) designed to mimic the unique anticancer mechanisms of dietary indole-3-carbinol to block Akt signaling. J Med Chem. 50:3412–3415. 2007. View Article : Google Scholar : PubMed/NCBI

111 

Kapetanovic IM, Muzzio M, Hu S-C, Crowell JA, Rajewski RA, Haslam JL, Jong L and McCormick DL: Pharmacokinetics and enhanced bioavailability of candidate cancer preventative agent, SR13668 in dogs and monkeys. Cancer Chemother Pharmacol. 65:1109–1116. 2010. View Article : Google Scholar

112 

Reid JM, Walden CA, Qin R, Ziegler KL, Haslam JL, Rajewski RA, Warndahl R, Fitting CL, Boring D, Szabo E, et al; Cancer Prevention Network. Phase 0 clinical chemoprevention trial of the Akt inhibitor SR13668. Cancer Prev Res (Phila). 4:347–353. 2011. View Article : Google Scholar

113 

Weng JR, Tsai CH, Omar HA, Sargeant AM, Wang D, Kulp SK, Shapiro CL and Chen CS: OSU-A9, a potent indole-3-carbinol derivative, suppresses breast tumor growth by targeting the Akt-NF-kappaB pathway and stress response signaling. Carcinogenesis. 30:1702–1709. 2009. View Article : Google Scholar : PubMed/NCBI

114 

Mahadevan D, Powis G, Mash EA, George B, Gokhale VM, Zhang S, Shakalya K, Du-Cuny L, Berggren M, Ali MA, et al: Discovery of a novel class of AKT pleckstrin homology domain inhibitors. Mol Cancer Ther. 7:2621–2632. 2008. View Article : Google Scholar : PubMed/NCBI

115 

Moses SA, Ali MA, Zuohe S, Du-Cuny L, Zhou LL, Lemos R, Ihle N, Skillman AG, Zhang S, Mash EA, et al: In vitro and in vivo activity of novel small-molecule inhibitors targeting the pleckstrin homology domain of protein kinase B/AKT. Cancer Res. 69:5073–5081. 2009. View Article : Google Scholar : PubMed/NCBI

116 

Meuillet EJ, Zuohe S, Lemos R, Ihle N, Kingston J, Watkins R, Moses SA, Zhang S, Du-Cuny L and Herbst R: Molecular pharmacology and antitumor activity of PHT-427, a novel Akt/phosphatidylinositide-dependent protein kinase 1 pleckstrin homology domain inhibitor. Mol Cancer Ther. 9:706–717. 2010. View Article : Google Scholar : PubMed/NCBI

117 

Miao B, Skidan I, Yang J, Lugovskoy A, Reibarkh M, Long K, Brazell T, Durugkar KA, Maki J, Ramana CV, et al: Small molecule inhibition of phosphatidylinositol-3,4,5-triphosphate (PIP3) binding to pleckstrin homology domains. Proc Natl Acad Sci USA. 107:20126–20131. 2010. View Article : Google Scholar : PubMed/NCBI

118 

Kommagalla Y, Cornea S, Riehle R, Torchilin V, Degterev A and Ramana CV: Optimization of the anti-cancer activity of phosphatidylinositol-3 kinase pathway inhibitor PITENIN-1: Switching a thiourea with 1,2,3-triazole. MedChemComm. 5:1359–1363. 2014. View Article : Google Scholar : PubMed/NCBI

119 

Nitulescu GM, Draghici C, Olaru OT, Matei L, Ioana A, Dragu LD and Bleotu C: Synthesis and apoptotic activity of new pyrazole derivatives in cancer cell lines. Bioorg Med Chem. 23:5799–5808. 2015. View Article : Google Scholar : PubMed/NCBI

120 

Yang L, Dan HC, Sun M, Liu Q, Sun XM, Feldman RI, Hamilton AD, Polokoff M, Nicosia SV, Herlyn M, et al: Akt/protein kinase B signaling inhibitor-2, a selective small molecule inhibitor of Akt signaling with antitumor activity in cancer cells overexpressing Akt. Cancer Res. 64:4394–4399. 2004. View Article : Google Scholar : PubMed/NCBI

121 

Sampath D, Malik A, Plunkett W, Nowak B, Williams B, Burton M, Verstovsek S, Faderl S, Garcia-Manero G, List AF, et al: Phase I clinical, pharmacokinetic, and pharmacodynamic study of the Akt-inhibitor triciribine phosphate monohydrate in patients with advanced hematologic malignancies. Leuk Res. 37:1461–1467. 2013. View Article : Google Scholar : PubMed/NCBI

122 

Berndt N, Yang H, Trinczek B, Betzi S, Zhang Z, Wu B, Lawrence NJ, Pellecchia M, Schönbrunn E, Cheng JQ, et al: The Akt activation inhibitor TCN-P inhibits Akt phosphorylation by binding to the PH domain of Akt and blocking its recruitment to the plasma membrane. Cell Death Differ. 17:1795–1804. 2010. View Article : Google Scholar : PubMed/NCBI

123 

Evangelisti C, Ricci F, Tazzari P, Chiarini F, Battistelli M, Falcieri E, Ognibene A, Pagliaro P, Cocco L, McCubrey JA, et al: Preclinical testing of the Akt inhibitor triciribine in T-cell acute lymphoblastic leukemia. J Cell Physiol. 226:822–831. 2011. View Article : Google Scholar

124 

Dieterle A, Orth R, Daubrawa M, Grotemeier A, Alers S, Ullrich S, Lammers R, Wesselborg S and Stork B: The Akt inhibitor triciribine sensitizes prostate carcinoma cells to TRAIL-induced apoptosis. Int J Cancer. 125:932–941. 2009. View Article : Google Scholar : PubMed/NCBI

125 

Kim R, Yamauchi T, Husain K, Sebti S and Malafa M: Triciribine Phosphate Monohydrate, an AKT Inhibitor, Enhances Gemcitabine Activity in Pancreatic Cancer Cells. Anticancer Res. 35:4599–4604. 2015.PubMed/NCBI

126 

Kim D, Sun M, He L, Zhou QH, Chen J, Sun XM, Bepler G, Sebti SM and Cheng JQ: A small molecule inhibits Akt through direct binding to Akt and preventing Akt membrane translocation. J Biol Chem. 285:8383–8394. 2010. View Article : Google Scholar : PubMed/NCBI

127 

Li B, Ren H, Yue P, Chen M, Khuri FR and Sun SY: The novel Akt inhibitor API-1 induces c-FLIP degradation and synergizes with TRAIL to augment apoptosis independent of Akt inhibition. Cancer Prev Res (Phila). 5:612–620. 2012. View Article : Google Scholar

128 

Ashwell MA, Lapierre J-M, Brassard C, Bresciano K, Bull C, Cornell-Kennon S, Eathiraj S, France DS, Hall T, Hill J, et al: Discovery and optimization of a series of 3-(3-phenyl-3H-imidazo[4,5-b]pyridin-2-yl)pyridin-2-amines: Orally bioavailable, selective, and potent ATP-independent Akt inhibitors. J Med Chem. 55:5291–5310. 2012. View Article : Google Scholar : PubMed/NCBI

129 

Chan TCK, Lapierre JM, Ashwell MA, France DS, Chen CR, Cornell-Kennon S, Bull C, Eathiraj S, Palma R, Liu Y, et al: Abstract A230: Discovery and characterization of ARQ 092, an ATP-independent, potent and selective inhibitor of AKT kinases. Mol Cancer Ther. 10(Suppl 1): A230. 2011. View Article : Google Scholar

130 

Yu Y, Savage RE, Eathiraj S, Meade J, Wick MJ, Hall T, Abbadessa G and Schwartz B: Targeting AKT1-E17K and the PI3K/AKT pathway with an allosteric AKT inhibitor, ARQ 092. PLoS One. 10:e01404792015. View Article : Google Scholar : PubMed/NCBI

131 

Politz O, Scholz A, Haegebarth A, Liu N, Baerfacker L, Ince S, Neuhaus R, Boemer U, Michels M and Mumberg D: Abstract 3685: BAY 1125976, is a selective allosteric AKT1/2 inhibitor with high efficacy in AKT1-mutated cancers. Cancer Res. 74(Suppl 19): 36852014. View Article : Google Scholar

132 

Yilmaz OG, Olmez EO and Ulgen KO: Targeting the Akt1 allosteric site to identify novel scaffolds through virtual screening. Comput Biol Chem. 48:1–13. 2014. View Article : Google Scholar

133 

Estrada AC, Syrovets T, Pitterle K, Lunov O, Büchele B, Schimana-Pfeifer J, Schmidt T, Morad SA and Simmet T: Tirucallic acids are novel pleckstrin homology domain-dependent Akt inhibitors inducing apoptosis in prostate cancer cells. Mol Pharmacol. 77:378–387. 2010. View Article : Google Scholar

134 

Morrow JK, Du-Cuny L, Chen L, Meuillet EJ, Mash EA, Powis G and Zhang S: Recent development of anticancer therapeutics targeting Akt. Recent Patents Anticancer Drug Discov. 6:146–159. 2011. View Article : Google Scholar

135 

Toral-Barza L, Zhang WG, Huang X, McDonald LA, Salaski EJ, Barbieri LR, Ding WD, Krishnamurthy G, Hu YB, Lucas J, et al: Discovery of lactoquinomycin and related pyranonaphthoquinones as potent and allosteric inhibitors of AKT/PKB: Mechanistic involvement of AKT catalytic activation loop cysteines. Mol Cancer Ther. 6:3028–3038. 2007. View Article : Google Scholar : PubMed/NCBI

136 

Salaski EJ, Krishnamurthy G, Ding WD, Yu K, Insaf SS, Eid C, Shim J, Levin JI, Tabei K, Toral-Barza L, et al: Pyranonaphthoquinone lactones: A new class of AKT selective kinase inhibitors alkylate a regulatory loop cysteine. J Med Chem. 52:2181–2184. 2009. View Article : Google Scholar : PubMed/NCBI

137 

Nguyen T, Coover RA, Verghese J, Moran RG and Ellis KC: Phenylalanine-Based Inactivator of AKT Kinase: Design, synthesis, and biological evaluation. ACS Med Chem Lett. 5:462–467. 2014. View Article : Google Scholar : PubMed/NCBI

138 

Shearn CT, Reigan P and Petersen DR: Inhibition of hydrogen peroxide signaling by 4-hydroxynonenal due to differential regulation of Akt1 and Akt2 contributes to decreases in cell survival and proliferation in hepatocellular carcinoma cells. Free Radic Biol Med. 53:1–11. 2012. View Article : Google Scholar : PubMed/NCBI

139 

Weisner J, Gontla R, van der Westhuizen L, Oeck S, Ketzer J, Janning P, Richters A, Mühlenberg T, Fang Z, Taher A, et al: Covalent-allosteric kinase inhibitors. Angew Chem Int Ed Engl. 54:10313–10316. 2015. View Article : Google Scholar : PubMed/NCBI

140 

She QB, Chandarlapaty S, Ye Q, Lobo J, Haskell KM, Leander KR, DeFeo-Jones D, Huber HE and Rosen N: Breast tumor cells with PI3K mutation or HER2 amplification are selectively addicted to Akt signaling. PLoS One. 3:e30652008. View Article : Google Scholar : PubMed/NCBI

141 

Sangai T, Akcakanat A, Chen H, Tarco E, Wu Y, Do KA, Miller TW, Arteaga CL, Mills GB, Gonzalez-Angulo AM and Meric-Bernstam F: Biomarkers of response to Akt inhibitor MK-2206 in breast cancer. Clin Cancer Res. 18:5816–5828. 2012. View Article : Google Scholar : PubMed/NCBI

142 

Davies BR, Greenwood H, Dudley P, Crafter C, Yu DH, Zhang J, Li J, Gao B, Ji Q, Maynard J, et al: Preclinical pharmacology of AZD5363, an inhibitor of AKT: pharmacodynamics, antitumor activity, and correlation of monotherapy activity with genetic background. Mol Cancer Ther. 11:873–887. 2012. View Article : Google Scholar : PubMed/NCBI

143 

Yap TA, Yan L, Patnaik A, Fearen I, Olmos D, Papadopoulos K, Baird RD, Delgado L, Taylor A, Lupinacci L, et al: First-in-man clinical trial of the oral pan-AKT inhibitor MK-2206 in patients with advanced solid tumors. J Clin Oncol. 29:4688–4695. 2011. View Article : Google Scholar : PubMed/NCBI

144 

Saura C, Jones S, Mateo J, Hollebecque A, Cleary JM, Perez DR, Zhu J, Musib LC, Patel PH, Cervantes-Ruiperez A, et al: A phase Ib study of the Akt inhibitor GDC-0068 with docetaxel (D) or mFOLFOX-6 (F) in patients (pts) with advanced solid tumors. J Clin Oncol. 30:Suppl; abstr 3021. 2012.

145 

Yan Y, Wagle M, Punnoose E, Musib L, Budha N, Nannini M, Lin K, Liederer BM, Murli S, Ramakrishnan V, et al: A first-inhuman trial of GDC-0068: A novel, oral, ATP-competitive Akt inhibitor, demonstrates robust suppression of the Akt pathway in surrogate and tumor tissues. Mol Cancer Ther. 10:abstr B154. 2011. View Article : Google Scholar

146 

Banerji U, Ranson M, Schellens J, Schellens JH, Esaki T, Dean EJ and Zivi A: Results of two phase I multicenter trials of AZD5363, an inhibitor of AKT1, 2 and 3: Biomarker and early clinical evaluation in Western and Japanese patients with advanced solid tumors. Cancer Res. 73:abstr LB-66. 2013. View Article : Google Scholar

147 

Dienstmann R, Rodon J, Serra V and Tabernero J: Picking the point of inhibition: A comparative review of PI3K/AKT/mTOR pathway inhibitors. Mol Cancer Ther. 13:1021–1031. 2014. View Article : Google Scholar : PubMed/NCBI

Related Articles

  • Abstract
  • View
  • Download
  • Twitter
Copy and paste a formatted citation
Spandidos Publications style
Nitulescu GM, Margina D, Juzenas P, Peng Q, Olaru OT, Saloustros E, Fenga C, Spandidos DΑ, Libra M, Tsatsakis AM, Tsatsakis AM, et al: Akt inhibitors in cancer treatment: The long journey from drug discovery to clinical use (Review). Int J Oncol 48: 869-885, 2016.
APA
Nitulescu, G.M., Margina, D., Juzenas, P., Peng, Q., Olaru, O.T., Saloustros, E. ... Tsatsakis, A.M. (2016). Akt inhibitors in cancer treatment: The long journey from drug discovery to clinical use (Review). International Journal of Oncology, 48, 869-885. https://doi.org/10.3892/ijo.2015.3306
MLA
Nitulescu, G. M., Margina, D., Juzenas, P., Peng, Q., Olaru, O. T., Saloustros, E., Fenga, C., Spandidos, D. Α., Libra, M., Tsatsakis, A. M."Akt inhibitors in cancer treatment: The long journey from drug discovery to clinical use (Review)". International Journal of Oncology 48.3 (2016): 869-885.
Chicago
Nitulescu, G. M., Margina, D., Juzenas, P., Peng, Q., Olaru, O. T., Saloustros, E., Fenga, C., Spandidos, D. Α., Libra, M., Tsatsakis, A. M."Akt inhibitors in cancer treatment: The long journey from drug discovery to clinical use (Review)". International Journal of Oncology 48, no. 3 (2016): 869-885. https://doi.org/10.3892/ijo.2015.3306
Copy and paste a formatted citation
x
Spandidos Publications style
Nitulescu GM, Margina D, Juzenas P, Peng Q, Olaru OT, Saloustros E, Fenga C, Spandidos DΑ, Libra M, Tsatsakis AM, Tsatsakis AM, et al: Akt inhibitors in cancer treatment: The long journey from drug discovery to clinical use (Review). Int J Oncol 48: 869-885, 2016.
APA
Nitulescu, G.M., Margina, D., Juzenas, P., Peng, Q., Olaru, O.T., Saloustros, E. ... Tsatsakis, A.M. (2016). Akt inhibitors in cancer treatment: The long journey from drug discovery to clinical use (Review). International Journal of Oncology, 48, 869-885. https://doi.org/10.3892/ijo.2015.3306
MLA
Nitulescu, G. M., Margina, D., Juzenas, P., Peng, Q., Olaru, O. T., Saloustros, E., Fenga, C., Spandidos, D. Α., Libra, M., Tsatsakis, A. M."Akt inhibitors in cancer treatment: The long journey from drug discovery to clinical use (Review)". International Journal of Oncology 48.3 (2016): 869-885.
Chicago
Nitulescu, G. M., Margina, D., Juzenas, P., Peng, Q., Olaru, O. T., Saloustros, E., Fenga, C., Spandidos, D. Α., Libra, M., Tsatsakis, A. M."Akt inhibitors in cancer treatment: The long journey from drug discovery to clinical use (Review)". International Journal of Oncology 48, no. 3 (2016): 869-885. https://doi.org/10.3892/ijo.2015.3306
Follow us
  • Twitter
  • LinkedIn
  • Facebook
About
  • Spandidos Publications
  • Careers
  • Cookie Policy
  • Privacy Policy
How can we help?
  • Help
  • Live Chat
  • Contact
  • Email to our Support Team