Spandidos Publications Logo
  • About
    • About Spandidos
    • Aims and Scopes
    • Abstracting and Indexing
    • Editorial Policies
    • Reprints and Permissions
    • Job Opportunities
    • Terms and Conditions
    • Contact
  • Journals
    • All Journals
    • Oncology Letters
      • Oncology Letters
      • Information for Authors
      • Editorial Policies
      • Editorial Board
      • Aims and Scope
      • Abstracting and Indexing
      • Bibliographic Information
      • Archive
    • International Journal of Oncology
      • International Journal of Oncology
      • Information for Authors
      • Editorial Policies
      • Editorial Board
      • Aims and Scope
      • Abstracting and Indexing
      • Bibliographic Information
      • Archive
    • Molecular and Clinical Oncology
      • Molecular and Clinical Oncology
      • Information for Authors
      • Editorial Policies
      • Editorial Board
      • Aims and Scope
      • Abstracting and Indexing
      • Bibliographic Information
      • Archive
    • Experimental and Therapeutic Medicine
      • Experimental and Therapeutic Medicine
      • Information for Authors
      • Editorial Policies
      • Editorial Board
      • Aims and Scope
      • Abstracting and Indexing
      • Bibliographic Information
      • Archive
    • International Journal of Molecular Medicine
      • International Journal of Molecular Medicine
      • Information for Authors
      • Editorial Policies
      • Editorial Board
      • Aims and Scope
      • Abstracting and Indexing
      • Bibliographic Information
      • Archive
    • Biomedical Reports
      • Biomedical Reports
      • Information for Authors
      • Editorial Policies
      • Editorial Board
      • Aims and Scope
      • Abstracting and Indexing
      • Bibliographic Information
      • Archive
    • Oncology Reports
      • Oncology Reports
      • Information for Authors
      • Editorial Policies
      • Editorial Board
      • Aims and Scope
      • Abstracting and Indexing
      • Bibliographic Information
      • Archive
    • Molecular Medicine Reports
      • Molecular Medicine Reports
      • Information for Authors
      • Editorial Policies
      • Editorial Board
      • Aims and Scope
      • Abstracting and Indexing
      • Bibliographic Information
      • Archive
    • World Academy of Sciences Journal
      • World Academy of Sciences Journal
      • Information for Authors
      • Editorial Policies
      • Editorial Board
      • Aims and Scope
      • Abstracting and Indexing
      • Bibliographic Information
      • Archive
    • International Journal of Functional Nutrition
      • International Journal of Functional Nutrition
      • Information for Authors
      • Editorial Policies
      • Editorial Board
      • Aims and Scope
      • Abstracting and Indexing
      • Bibliographic Information
      • Archive
    • International Journal of Epigenetics
      • International Journal of Epigenetics
      • Information for Authors
      • Editorial Policies
      • Editorial Board
      • Aims and Scope
      • Abstracting and Indexing
      • Bibliographic Information
      • Archive
    • Medicine International
      • Medicine International
      • Information for Authors
      • Editorial Policies
      • Editorial Board
      • Aims and Scope
      • Abstracting and Indexing
      • Bibliographic Information
      • Archive
  • Articles
  • Information
    • Information for Authors
    • Information for Reviewers
    • Information for Librarians
    • Information for Advertisers
    • Conferences
  • Language Editing
Spandidos Publications Logo
  • About
    • About Spandidos
    • Aims and Scopes
    • Abstracting and Indexing
    • Editorial Policies
    • Reprints and Permissions
    • Job Opportunities
    • Terms and Conditions
    • Contact
  • Journals
    • All Journals
    • Biomedical Reports
      • Information for Authors
      • Editorial Policies
      • Editorial Board
      • Aims and Scope
      • Abstracting and Indexing
      • Bibliographic Information
      • Archive
    • Experimental and Therapeutic Medicine
      • Information for Authors
      • Editorial Policies
      • Editorial Board
      • Aims and Scope
      • Abstracting and Indexing
      • Bibliographic Information
      • Archive
    • International Journal of Epigenetics
      • Information for Authors
      • Editorial Policies
      • Editorial Board
      • Aims and Scope
      • Abstracting and Indexing
      • Bibliographic Information
      • Archive
    • International Journal of Functional Nutrition
      • Information for Authors
      • Editorial Policies
      • Editorial Board
      • Aims and Scope
      • Abstracting and Indexing
      • Bibliographic Information
      • Archive
    • International Journal of Molecular Medicine
      • Information for Authors
      • Editorial Policies
      • Editorial Board
      • Aims and Scope
      • Abstracting and Indexing
      • Bibliographic Information
      • Archive
    • International Journal of Oncology
      • Information for Authors
      • Editorial Policies
      • Editorial Board
      • Aims and Scope
      • Abstracting and Indexing
      • Bibliographic Information
      • Archive
    • Medicine International
      • Information for Authors
      • Editorial Policies
      • Editorial Board
      • Aims and Scope
      • Abstracting and Indexing
      • Bibliographic Information
      • Archive
    • Molecular and Clinical Oncology
      • Information for Authors
      • Editorial Policies
      • Editorial Board
      • Aims and Scope
      • Abstracting and Indexing
      • Bibliographic Information
      • Archive
    • Molecular Medicine Reports
      • Information for Authors
      • Editorial Policies
      • Editorial Board
      • Aims and Scope
      • Abstracting and Indexing
      • Bibliographic Information
      • Archive
    • Oncology Letters
      • Information for Authors
      • Editorial Policies
      • Editorial Board
      • Aims and Scope
      • Abstracting and Indexing
      • Bibliographic Information
      • Archive
    • Oncology Reports
      • Information for Authors
      • Editorial Policies
      • Editorial Board
      • Aims and Scope
      • Abstracting and Indexing
      • Bibliographic Information
      • Archive
    • World Academy of Sciences Journal
      • Information for Authors
      • Editorial Policies
      • Editorial Board
      • Aims and Scope
      • Abstracting and Indexing
      • Bibliographic Information
      • Archive
  • Articles
  • Information
    • For Authors
    • For Reviewers
    • For Librarians
    • For Advertisers
    • Conferences
  • Language Editing
Login Register Submit
  • This site uses cookies
  • You can change your cookie settings at any time by following the instructions in our Cookie Policy. To find out more, you may read our Privacy Policy.

    I agree
Search articles by DOI, keyword, author or affiliation
Search
Advanced Search
presentation
International Journal of Oncology
Join Editorial Board Propose a Special Issue
Print ISSN: 1019-6439 Online ISSN: 1791-2423
Journal Cover
January-2020 Volume 56 Issue 1

Full Size Image

Cover Legend PDF

Sign up for eToc alerts
Recommend to Library

Journals

International Journal of Molecular Medicine

International Journal of Molecular Medicine

International Journal of Molecular Medicine is an international journal devoted to molecular mechanisms of human disease.

International Journal of Oncology

International Journal of Oncology

International Journal of Oncology is an international journal devoted to oncology research and cancer treatment.

Molecular Medicine Reports

Molecular Medicine Reports

Covers molecular medicine topics such as pharmacology, pathology, genetics, neuroscience, infectious diseases, molecular cardiology, and molecular surgery.

Oncology Reports

Oncology Reports

Oncology Reports is an international journal devoted to fundamental and applied research in Oncology.

Experimental and Therapeutic Medicine

Experimental and Therapeutic Medicine

Experimental and Therapeutic Medicine is an international journal devoted to laboratory and clinical medicine.

Oncology Letters

Oncology Letters

Oncology Letters is an international journal devoted to Experimental and Clinical Oncology.

Biomedical Reports

Biomedical Reports

Explores a wide range of biological and medical fields, including pharmacology, genetics, microbiology, neuroscience, and molecular cardiology.

Molecular and Clinical Oncology

Molecular and Clinical Oncology

International journal addressing all aspects of oncology research, from tumorigenesis and oncogenes to chemotherapy and metastasis.

World Academy of Sciences Journal

World Academy of Sciences Journal

Multidisciplinary open-access journal spanning biochemistry, genetics, neuroscience, environmental health, and synthetic biology.

International Journal of Functional Nutrition

International Journal of Functional Nutrition

Open-access journal combining biochemistry, pharmacology, immunology, and genetics to advance health through functional nutrition.

International Journal of Epigenetics

International Journal of Epigenetics

Publishes open-access research on using epigenetics to advance understanding and treatment of human disease.

Medicine International

Medicine International

An International Open Access Journal Devoted to General Medicine.

Journal Cover
January-2020 Volume 56 Issue 1

Full Size Image

Cover Legend PDF

Sign up for eToc alerts
Recommend to Library

  • Article
  • Citations
    • Cite This Article
    • Download Citation
    • Create Citation Alert
    • Remove Citation Alert
    • Cited By
  • Similar Articles
    • Related Articles (in Spandidos Publications)
    • Similar Articles (Google Scholar)
    • Similar Articles (PubMed)
  • Download PDF
  • Download XML
  • View XML
Article

Anti‑survival and pro‑apoptotic effects of meridianin C derivatives on MV4‑11 human acute myeloid leukemia cells

  • Authors:
    • Hyorim Cho
    • Anil Kumar Yadav
    • Youngrok Do
    • Mihwa Heo
    • David Bishop‑Bailey
    • Jinho Lee
    • Byeong‑Churl Jang
  • View Affiliations / Copyright

    Affiliations: Department of Molecular Medicine, College of Medicine, Keimyung University, Daegu 42601, Republic of Korea, Department of Hematology and Oncology, College of Medicine, Keimyung University, Daegu 42601, Republic of Korea, Comparative Biomedical Sciences, Royal Veterinary College, London NW 10TU, United Kingdom, Department of Chemistry, College of Life Science, Keimyung University, Daegu 42601, Republic of Korea
  • Pages: 368-378
    |
    Published online on: November 27, 2019
       https://doi.org/10.3892/ijo.2019.4925
  • Expand metrics +
Metrics: Total Views: 0 (Spandidos Publications: | PMC Statistics: )
Metrics: Total PDF Downloads: 0 (Spandidos Publications: | PMC Statistics: )
Cited By (CrossRef): 0 citations Loading Articles...

This article is mentioned in:



Abstract

Meridianin C is a marine natural product with anticancer activity. Several meridianin C derivatives (compounds 7a‑j) were recently synthesized, and their inhibitory effects on pro‑viral integration site for Moloney murine leukemia virus (PIM) kinases, as well as their antiproliferative effects on human leukemia cells, were reported. However, the anti‑leukemic effects and mechanisms of action of meridianin C and its derivatives remain largely unknown. The aim of the present study was to investigate the effects of meridianin C and its derivatives on MV4‑11 human acute myeloid leukemia cell growth. The parent compound meridianin C did not markedly affect the viability and survival of MV4‑11 cells. By contrast, MV4‑11 cell viability and survival were reduced by meridianin C derivatives, with compound 7a achieving the most prominent reduction. Compound 7a notably inhibited the expression and activity of PIM kinases, as evidenced by reduced B‑cell lymphoma‑2 (Bcl‑2)‑associated death promoter phosphorylation at Ser112. However, meridianin C also suppressed PIM kinase expression and activity, and the pan‑PIM kinase inhibitor AZD1208 only slightly suppressed the survival of MV4‑11 cells. Thus, the anti‑survival effect of compound 7a on MV4‑11 cells was unrelated to PIM kinase inhibition. Moreover, compound 7a induced apoptosis, caspase‑9 and ‑3 activation and poly(ADP‑ribose) polymerase (PARP) cleavage, but did not affect death receptor (DR)‑4 or DR‑5 expression in MV4‑11 cells. Compound 7a also induced the generation of cleaved Bcl‑2, and the downregulation of myeloid cell leukemia (Mcl)‑1 and X‑linked inhibitor of apoptosis (XIAP) in MV4‑11 cells. Furthermore, compound 7a increased eukaryotic initiation factor (eIF)‑2α phosphorylation and decreased S6 phosphorylation, whereas GRP‑78 expression was unaffected. Importantly, treatment with a pan‑caspase inhibitor (z‑VAD‑fmk) significantly attenuated compound 7a‑induced apoptosis, caspase‑9 and ‑3 activation, PARP cleavage, generation of cleaved Bcl‑2 and downregulation of Mcl‑1 and XIAP in MV4‑11 cells. Collectively, these findings demonstrated the strong anti‑survival and pro‑apoptotic effects of compound 7a on MV4‑11 cells through regulation of caspase‑9 and ‑3, Bcl‑2, Mcl‑1, XIAP, eIF‑2α and S6 molecules.

Introduction

Acute myeloid leukemia (AML) is a malignant hematopoietic stem cell disorder with markedly heterogeneous cytogenetic and genomic alterations (1,2). In 2018, 60,300 new AML cases were reported in the United States (3). Despite the development and clinical application of novel targeted chemotherapeutic agents, improved radiation techniques, hematopoietic stem cell transplantation and other treatment protocols, the overall survival rates have increased only minimally over the last two decades (4). Therefore, more effective and non-toxic therapeutics are urgently needed in leukemia treatment.

Several therapeutic and chemopreventive drugs eliminate cancerous cells by inducing apoptosis. Cancer cells undergoing apoptosis display a number of characteristics, such as plasma membrane blebbing, cell shrinkage, mitochondrial depolarization, chromatin condensation and DNA fragmentation (5,6). Caspases are vital for the execution of apoptosis triggered by apoptotic stimuli (7). Caspase activities are regulated by the expression of B-cell lymphoma-2 (Bcl-2) and inhibitor of apoptosis protein (IAP) families (8,9) Mounting evidence has demonstrated the modulation of Bcl-2 and IAP expression by anticancer agents in several leukemia cells (10-13). The pro-virus integration site for Moloney murine leukemia virus (PIM) kinases, including PIM-1, -2 and -3, are active serine/threonine kinases with overlapping functions and substrate specificities (14). Previous studies demonstrated the overexpression of PIM kinases in a number of hematological malignancies and solid tumors (15-19). Moreover, growth suppression and/or apoptosis induction due to silencing and/or pharmacological inhibition of PIM kinases were reported in several blood and solid cancer cells (20-22). These results strongly support the oncogenic role of PIM kinases.

Meridianin C is one of the natural indole alkaloids (meridianin A-G) isolated from the marine sponge Aplidium meridianum (23,24). The inhibitory and/or antiproliferative effects of meridianin C, D or G analogues/derivatives on hematological and solid cancer cells were previously investigated (25-27). Meridianin C and several meridianin C derivatives (compounds 7a-j) were previously synthesized, and their PIM kinase inhibitory and antiproliferative activities in human leukemia cells were reported (27). In addition, the strong anti-survival, but not pro-apoptotic, effects of meridianin C on YD-10B human tongue cancer cells through macropinocytosis and downregulation of Dickkopf-related protein-3 (DKK-3) were recently reported (28). However, the anti-leukemic effects and underlying mechanisms of action of meridianin C and its derivatives remain largely unknown. The aim of the present study was to investigate these anti-leukemic effects and mechanisms of action of meridianin C and its derivatives using MV4-11 human AML cells.

Materials and methods

Chemicals and antibodies

Meridianin C and its derivatives (compounds 7a-j) were synthesized as previously described (27) and prepared as 10 mM stock solutions in DMSO. AZD1208 (cat. no. S7104) was purchased from Selleck Chemicals. RPMI-1640 (cat. no. LM011-01), fetal bovine serum (FBS; S001-01), and penicillin/streptomycin cocktail (cat. no. LS202-02) were purchased from Welgene, Inc. Anti-procaspase-9 antibody (cat. no. ADI-AAM-139) was purchased from Enzo Life Sciences, Inc. Anti-death receptor (DR)-5 antibody (cat. no. NBP1-45951) was purchased from Novus Biologicals. Anti-poly(ADP-ribose) polymerase (PARP) antibody (cat. no. 11835238001) was purchased from Roche Diagnostics; anti-β-actin antibody (cat. no. A5441) was obtained from Sigma-Aldrich; Merck KGaA; anti-human X-linked inhibitor of apoptosis protein (XIAP) antibody (cat. no. AF221) was purchased from R&D Systems, Inc. Anti-phosphorylated (p)-eukaryotic initiation factor (eIF)-2α (S51) antibody (cat. no. ab32157) was purchased from Abcam. Anti-p-S6 (S235/236; cat. no. 2211), anti-S6 (cat. no. 2317), anti-eIF-2α (cat. no. 9722), anti-p-extracellular signal-regulated kinase (ERK)-1/2 (T202/Y204; cat. no. 9101), and anti-ERK-1/2 (cat. no. 9102) antibodies were purchased from Cell Signaling Technology, Inc. Anti-DR-4 (cat. no. sc-8411), anti-PIM-1 (cat. no. sc-13513), anti-PIM-2 (cat. no. sc-271844), anti-PIM-3 (cat. no. sc-293237), anti-p-Bcl-2-associated death promoter (BAD) (Ser112) (cat. no. sc-7998), anti-BAD (cat. no. sc-8044), anti-glucose-regulated protein (GRP)-78 (cat. no. sc-13968), anti-Bcl-2 (cat. no. sc-509), anti-myeloid cell leukemia (Mcl)-1 (cat. no. sc-819), secondary goat anti-rabbit (cat. no. sc-2004), and goat anti-mouse IgG (cat. no. sc-2005) antibodies were purchased from Santa Cruz Biotechnology, Inc. z-VAD-fmk (627610) and protease inhibitor cocktail (PIC, 100X) (539134) were purchased from EMD Millipore. Super Signal™ West Pico PLUS Enhanced chemiluminescence (ECL; cat. no. 34080) was purchased from Thermo Fisher Scientific, Inc. Well plates (6- and 24-wells) were obtained from SPL Life Sciences.

Cell culture

MV4-11 human AML cells [CRL-9591™, American Type Culture Collection (ATCC)] and K562 human chronic myeloid leukemia (CML) cells (CCL-243™, ATCC) were grown in RPMI-1640 supplemented with 10% heat-inactivated FBS and 1% penicillin/streptomycin at 37°C in humidified air (95% air and 5% CO2). MV4-11 and K562 cells carried a Fms-like tyrosine kinase 3 internal tandem duplication and a breakpoint cluster region-Abelson mutation, respectively (29,30).

Cell count analysis

MV4-11 or K562 cells were treated with vehicle control (DMSO; 0.1%), meridianin C, meridianin C derivatives and/or AZD1208 at indicated concentrations (1, 5 and 10 µM) for different durations (24 and 48 h). The number of surviving cells was counted with the trypan blue exclusion method, which based on the principle that live cells have intact cell membranes and cannot be stained. Briefly, equal amounts (15 µl) of 0.4% trypan blue dye (cat. no. 15250-061, Gibco; Thermo Fisher Scientific, Inc.) were added to the cell suspension and mixed by pipetting up and down. The mixture was incubated for 1 min at room temperature (25-27°C), after which time 10 µl of the mixture was added to the hemocytometer and cells were counted under a phase-contrast microscope. Approximately 50 cells were counted in each evaluation.

Cell viability assay

MV4-11 cells were treated with vehicle control (DMSO; 0.1%), meridianin C, meridianin C derivatives and/or AZD1208 at indicated concentrations (1, 5 and 10 µM) for different durations (24 and 48 h). At the end of treatment, 20 µl of MTS solution was added to each well, and the plates were incubated at 37°C for 1 h. The absorbance of each well was measured at 490 nm using a microplate reader (SPECTRA max 340PC; Molecular Devices, LLC).

Measurement of DNA fragmentation

Measurement of DNA fragmentation was conducted as previously described (21). Briefly, MV4-11 cells were seeded into 6-well plates at a density of 2×105 cells/ml with a volume of 2 ml in each well on the day prior to treatment. Cells were treated with vehicle control (DMSO) or compound 7a (1, 5 and 10 µM) and/or z-VAD-fmk (50 µM) at the indicated concentrations for 24 and 48 h. MV4-11 cells were then harvested, washed and lysed in a lysis buffer [50 mM Tris (pH 8.0), 0.5% sarkosyl, 0.5 mg/ml proteinase K and 1 mM EDTA] at 55°C for 3 h. Subsequently, RNase A (0.5 µg/ml) was added and the lysate was further incubated at 55°C for 18 h. Finally, the lysate was centrifuged at 10,000 × g at 4°C for 20 min. Genomic DNA was extracted and analyzed via electrophoresis at 100 V on a 1.8% agarose gel for 20 min. The DNA was visualized and photographed under UV illumination after staining with ethidium bromide (0.1 µg/ml; Sigma-Aldrich; Merck KGaA) using a gel documentation system (Gel Doc-XR; Bio-Rad Laboratories, Inc.).

Preparation of whole-cell lysates

MV4-11 cells were grown in 6-well plates at a density of 0.25×106 cells/ml on the day prior to treatment. After treatment and at each time point, the cells were washed twice with PBS, and proteins were extracted using modified RIPA buffer [50 mM Tris-Cl (pH 7.4), 150 mM NaCl, 0.1% sodium dodecyl sulfate, 0.25% sodium deoxycho-late, 1% Triton X-100, 1% Nonidet P-40, 1 mM EDTA, 1 mM EGTA and PIC (1X)]. Cell lysates were collected and centrifuged at 12,074 × g for 20 min at 4°C. Protein concentration in the supernatant was determined by using a bicinchoninic acid protein assay kit (Thermo Fisher Scientific, Inc.).

Western blotting

Western blotting was performed as previously described (10,21). Briefly, equal amounts of protein (50 µg) were separated via 10% SDS-PAGE and transferred onto polyvinylidene fluoride membranes (EMD Millipore) by electroplating. The membranes were washed with Tris-buffered saline (TBS; 10 mM Tris, 150 mM NaCl, pH 7.5) supplemented with 0.05% (v/v) Tween-20 (TBS-T), followed by blocking with TBS-T containing 5% (w/v) non-fat dried milk. The membranes were probed overnight using antibodies against PIM-1 (1:2,000), PIM-2 (1:2,000), PIM-3 (1:2,000), p-BAD (1:2,000), T-BAD (1:2,000), procaspase-9 (1:2,000), procaspase-3 (1:2,000), DR-4 (1:2000), DR-5 (1:2,000), PARP (1:2,000), XIAP (1:1,000), Bcl-2 (1:1,000), Mcl-1 (1:1,000), p-eIF-2α (1:2,000), T-eIF-2α (1:2,000), GRP-78 (1:1,000), p-S6 (1:3,000), S6 (1:3,000), p-ERK-1/2 (1:2,000), T-ERK-1/2 (1:2,000) or β-actin (1:10,000) at 4°C, followed by incubation with secondary antibodies conjugated to horseradish peroxidase at room temperature for 2 h. The membranes were washed, and immune reactivities were detected by Super Signal™ West Pico PLUS ECL (Thermo Fisher Scientific, Inc.) according to the manufacturer's instructions. Equal protein loading was assessed via β-actin expression levels.

Reverse-transcription polymerase chain reaction (RT-PCR) analysis

Total cellular RNA from conditioned MV4-11 cells was isolated using TRIzol® reagent (Thermo Fisher Scientific, Inc.) according to the manufacturer's protocol. RT-PCR was performed as previously described (10,21). Briefly, equal amounts of total RNA (5 µg) were reverse-transcribed in a 40-µl reaction mixture containing 8 µl Molony Murine Leukemia Virus Reverse Transcriptase (M-MLV RT) 5X buffer, 3 µl 10 mM dNTPs, 0.45 µl 40 U/µl RNase inhibitor, 0.3 µl 200 U/µl M-MLV RT (Promega Corporation) and 3.75 µl 20 µM oligo dT (Bioneer Corporation). Single-stranded cDNA was amplified by PCR using 4 µl 5X Green Go-Taq® Flexi reaction buffer, 0.4 µM 10 mM dNTPs, 0.1 µl 5 U/µl Taq polymerase, 1.2 µl 25 mM MgCl2 (Promega Corporation), and 0.4 µl primer (20 pM/µl). The following primer pairs were used: DR-4 sense, 5′-CTGAGCAACGCAGACTCGCTGTCCAC-3′ and antisense, 5′-AAGGACACGGCAGAGCCTGTGCCAT-3′; DR-5 sense, 5′-AGCCGCTCATGAGGAAGTTGG-3′ and antisense, 5′-GGCAAGTCTCTCTCCCAGCGTCTC-3′ Mcl-1 sense, 5′-ATCTCTCGGTACCTTCGGGAG-3′ and antisense, 5′-ACCAGCTCCTACTCCAGCAAC-3′; Bcl-2 sense, 5′-GTGGAGGAGCTCTTCAGGGA-3′ and antisense, 5′-AGGCACCCAGGGTGATGCAA-3′; XIAP sense, 5′-CGTCGATTTTGTGCTCGTCAG-3′ and antisense, 5′-GAAGCATTTATCAGGGTTATTGTCTCATG-3′; and actin sense, 5′-TCAAGATCATTGCTCCTCCTG-3′ and antisense, 5′-CTG CTTGCTGATCCACATCTG-3′. The PCR conditions were as follows: For DR-4 and DR-5: 35 cycles of denaturation at 95°C for 30 sec, annealing at 63°C for 30 sec and extension at 72°C for 30 sec; for Mcl-1: 25 cycles of denaturation at 95°C for 45 sec, annealing at 56°C for 45 sec and extension at 72°C for 45 sec; for Bcl-2: 30 cycles of denaturation at 95°C for 45 sec, annealing at 56°C for 45 sec and extension at 72°C for 45 sec; for XIAP: 30 cycles of denaturation at 95°C for 35 sec, annealing at 54°C for 40 sec and extension at 72°C for 30 sec; and for β-actin: 25 cycles of denaturation at 95°C for 30 sec, annealing at 56°C for 30 sec and extension at 72°C for 30 sec. β-actin was used as an internal control to evaluate the relative expressions of DR-4, DR-5, Mcl-1, Bcl-2 and XIAP.

Statistical analyses

Cell count analysis and MTS assay were performed in triplicate and repeated three times. All other data were obtained via at least three independent measurements. Data are expressed as mean ± standard error of the mean. One-way ANOVA followed by Dunnett's post hoc test was performed using SPSS 11.5 software (SPSS, Inc). P<0.05 was considered to indicate statistically significant differences.

Results

Compound 7a strongly reduces the survival and viability of MV4-11 cells, and inhibits PIM kinase activity

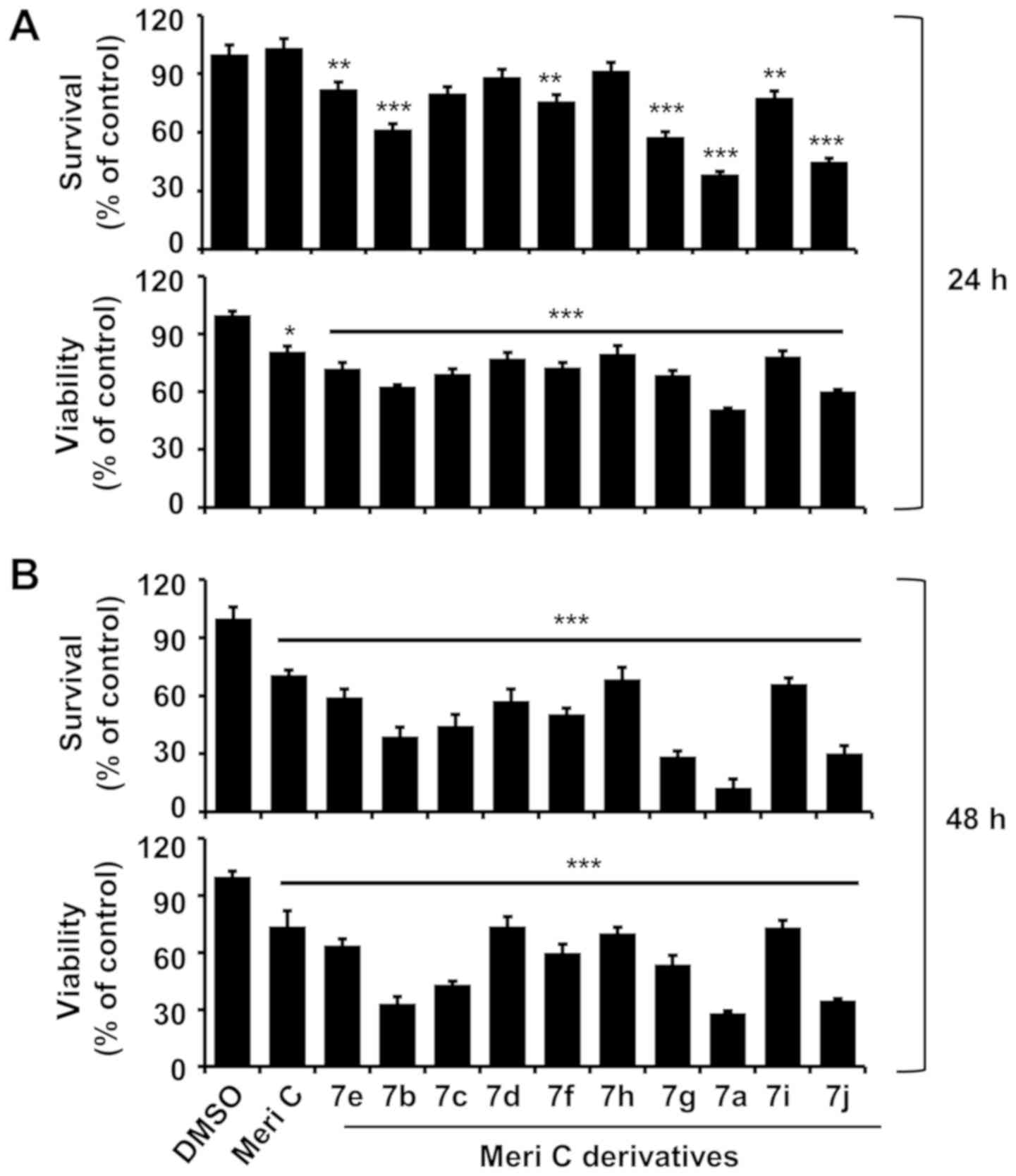
We first examined the effects of meridianin C and its derivatives (compounds 7a-j) at a concentration of 10 µM for 24 and 48 h on the survival and viability of MV4-11 cells. The parent compound meridianin C did not markedly affect cell growth. By contrast, some of its derivatives, such as compounds 7a, 7g and 7j, strongly reduced MV4-11 survival and viability after treatment for 24 and 48 h (Fig. 1A and B). We next investigated the effects of compounds 7a, 7g and 7j on MV4-11 cell survival and viability at different concentrations (1, 5 and 10 µM) and treatment durations (24 or 48 h) (Fig. 1C and D). The highest reduction in MV4-11 cell survival and viability was achieved by compound 7a in a concentration-dependent manner. The effects of compounds 7g and 7j were substantial as well. Compared with the other compounds, meridianin C exerted no or a very weak inhibitory effect on MV4-11 survival and viability within the tested concentration and for the specified treatment durations. Taking into consideration the PIM kinase inhibitory activities of meridianin C derivatives (27), we next investigated whether MV4-11 cells expressed PIM kinases and whether compound 7a affected PIM kinase expression and activity. PIM kinase activity was assessed by measuring the levels of phosphorylated BAD (Ser112), a downstream target of PIM kinases (31). High and low levels of PIM-3 and PIM-1/PIM-2, respectively, were detected in control MV4-11 cells (Fig. 1E). BAD phosphorylation was also observed. Treatment with compound 7a for 24 and 48 h inhibited PIM kinase activity in MV4-11 cells, as evidenced by reduced PIM kinase expression and decreased BAD phosphorylation levels. Densitometry data (PIM-3/actin or p-BAD/T-BAD ratio) were obtained by analyzing Fig. 1E using ImageJ software (version 1.8.0; National Institutes of Health) (Fig. 1F). The 2D structures of meridianin C and compound 7a are shown in Fig. 1G. Due to the stronger inhibitory effect of compound 7a on MV4-11 cell growth, we only focused on this particular meridianin C derivative in the following analyses.

Figure 1

Effects of meridianin C and its derivatives on the growth and/or the expression and activity of PIM kinases in MV4-11 cells. (A and B) MV4-11 cells were treated with vehicle control (DMSO; 0.1%), meridianin C and meridianin C derivative (compounds 7a-j) at a final concentration of 10 µM for 24 and 48 h. The survival percentage or viable cells was measured by cell counting or by using the MTS assay. Experiments were performed in triplicate. Data are the means ± standard error of the mean of three independent experiments. *P<0.05, **P<0.01, ***P<0.001 compared with the value of vehicle control at the indicated times. (C and D) MV4-11 cells were treated with vehicle control and compounds 7a, 7g or 7j at the indicated concentrations for 24 and 48 h. The survival percentage or viable cells were measured by cell counting or by using the MTS assay. Experiments were performed in triplicate. Data are the means ± standard error of the mean of three independent experiments. *P<0.05, **P<0.01, ***P<0.001 compared with the value of vehicle control at the indicated times. (E) MV4-11 cells were treated with vehicle control or compound 7a at the indicated concentrations for 24 and 48 h. Whole-cell lysates were prepared and analyzed by western blotting. Each image is representative of three independent experiments. (F) Densitometry data of (E). *P<0.05, **P<0.01, ***P<0.001 compared with the value of vehicle control at 24 h. @@@P<0.001 compared with the value of vehicle control at 48 h. (G) 2D structures of compound 7a and meridianin C. ns, non-significant; Meri C, meridianin C; p-BAD, phosphorylated BAD; T-BAD, total BAD; PIM, pro-viral integration site for Moloney murine leukemia virus kinase; BAD, Bcl-2-associated death promoter.

Compound 7a induces nuclear DNA fragmentation, caspase-9 and -3 activation and PARP cleavage in MV4-11 cells

Whether treatment with compound 7a induced apoptosis in MV4-11 cells was next determined by measuring the level of nuclear DNA fragmentation, a hallmark of apoptosis. Treatment with 5 and 10 µM compound 7a for 24 or 48 h resulted in marked accumulation of nuclear DNA fragments in MV4-11 cells (Fig. 2A). The expression and activation levels of caspases in MV4-11 cells treated with compound 7a were next determined in order to investigate a possible association between compound 7a-induced apoptosis and caspase activation. Treatment with 5 or 10 µM compound 7a increased and decreased the levels of upstream caspase-9 (proteolytically cleaved active caspase form) and downstream effector caspase-3 (inactive caspase proform) in MV4-11 cells, respectively (Fig. 2B). Caspase activation often leads to the proteolytic cleavage of several target proteins, such as PARP. PARP cleavage was observed in MV4-11 cells following treatment with compound 7a for 24 and 48 h. The densitometry data of Fig. 2B are shown in Fig. 2C-E. Finally, DR-4 and -5 expression levels were measured in MV4-11 cells treated with compound 7a for 24 h in order to assess whether compound 7a-induced apoptosis occurred via the extrinsic pathway. The protein and mRNA expression levels of DR-4 and -5 were unaffected in MV4-11 cells treated with 1, 5 and 10 µM of compound 7a (Fig. 2F and G). Actin expression levels (control) also remained constant.

Figure 2

Effects of compound 7a on DNA fragmentation and expression of procaspase-9 and -3, PARP, and DR-4 and-5 in MV4-11 cells. (A) MV4-11 cells were treated with vehicle control (DMSO) or compound 7a at the indicated concentrations for 24 or 48 h. At each time point, extranuclear fragmented DNA was extracted and analyzed on a 1.8% agarose gel. (B) MV4-11 cells were treated with vehicle control (DMSO) or compound 7a at the indicated concentrations for 24 or 48 h. At each time point, whole-cell lysates were prepared and analyzed by western blotting. (C-E) Densitometry analysis of (B). ns, non-significant; *P<0.05, **P<0.01, ***P<0.001 compared to the value of vehicle control at 24 h. @P<0.01, @@@P<0.001 compared to the value of vehicle control at 48 h. (F and G) MV4-11 cells were treated with vehicle control (DMSO) or compound 7a at the indicated concentrations for 24 h. Whole cells lysates and total cellular RNA were prepared and analyzed by western blotting (F) and reverse transcription-polymerase chain reaction analysis, respectively (G). The image is representative of three independent experiments. DR, death receptor.

Comparison of the effects of compound 7a, meridianin C and AZD1208 on MV4-11 cell survival, PIM kinase expression/activity and PARP cleavage

AZD1208 is a highly selective pan-PIM kinase inhibitor (32). We herein evaluated a possible association between the anti-survival and pro-apoptotic effects of compound 7a and PIM kinase inhibition. For this purpose, MV4-11 cells were treated with compound 7a, meridianin C or AZD1208 at different concentrations (1, 5 and 10 µM), and cell survival, PARP cleavage and PIM kinase expression and activity levels were measured in the conditioned cells. As expected, compound 7a reduced the survival of MV4-11 cells in a concentration-dependent manner (Fig. 3A), and inhibited the expression and activity of PIM kinases (Fig. 3B). There was also slight and marked accumulation of cleaved PARP in MV4-11 cells treated with 5 µM and 10 µM compound 7a, respectively. However, AZD1208 and meridianin C exerted weaker inhibitory effects on MV4-11 survival compared with compound 7a within the tested concentration range. AZD1208 did not affect the expression of PIM kinases, but weakly inhibited BAD phosphorylation in MV4-11 cells. Moreover, PARP cleavage was not observed in MV4-11 cells treated with AZD1208. Meridianin C exerted little or no effect on PARP cleavage in MV4-11 cells, although it strongly inhibited the expression and activity of PIM kinases. Densitometry data of Fig. 3B are shown in Fig. 3C-E. Actin expression (control) was unchanged. Additionally, the viability of MV4-11 cells treated with combinations of compound 7a and AZD1208 was determined at different concentrations (1, 5 and 10 µM) for 24 h, and it was observed that the combination of AZD1208 and compound 7a did not markedly affect the viability of MV4-11 cells (Fig. 3F). These results indicate that AZD1208 does not affect the activity of compound 7a and the activity of compound 7a is not associated with any effects on PIM kinases.

Figure 3

Effects of the pan-PIM inhibitor AZD1208, compound 7a and meridianin C on growth and expression and/or phosphorylation of PIM kinases, BAD and PARP in MV4-11 cells. (A) MV4-11 cells were treated with vehicle control (DMSO; 0.1%), compound 7a and meridianin C at the indicated concentrations (1, 5 and 10 µM) for 24 h. The numbers of surviving cells were measured by using a cell counting assay. The cell counting assay was performed in triplicate. Data are the means ± standard error of the mean of three independent experiments. **P<0.01, ***P<0.001 compared to the value of AZD1208, compound 7a or meridianin C-free control at the indicated times. (B) MV4-11 cells were treated with vehicle control (DMSO; 0.1%), compound 7a and meridianin C at the indicated concentrations (1, 5 and 10 µM) for 24 h. Whole-cell lysates were prepared and analyzed by western blotting. Each picture is representative of three independent experiments. (C-E) Densitometry data of (B). *P<0.05, **P<0.01, ***P<0.001 compared to the value of vehicle control at 24 h. (F) MV4-11 cells were treated with vehicle control (DMSO; 0.1%), compound 7a and/or AZD1208 at the indicated concentrations (1, 5 and 10 µM) for 24 h. The percentage of viable cells was measured using an MTS assay. Experiments were performed in triplicate. Data are the means ± standard error of the mean of three independent experiments. ***P<0.001 compared with the value of vehicle control at the indicated times. ns, non-significant; p-BAD, phosphorylated BAD; T-BAD, total BAD; Meri C; meridianin C; PIM, pro-viral integration site for Moloney murine leukemia virus kinase; BAD, Bcl-2-associated death promoter; PARP, poly(ADP-ribose) polymerase.

Compound 7a alters the expression and/or phosphorylation of caspase-9 and -3, PARP, Mcl-1, XIAP, eIF-2α and S6 in MV4-11 cells

The molecular signaling mechanisms underlying the growth-suppressive and apoptosis-inducing effects of compound 7a were investigated. For this purpose, MV4-11 cells were cultured with or without 5 µM compound 7a for 2, 4, 8 or 24 h, and the expression and phosphorylation levels of growth and apoptosis-related factors were measured. Compound 7a treatment led to early activation of caspase-9 and -3 in MV4-11 cells, as evidenced by increased and decreased expression levels of active caspase-9 and procaspase-3, respectively (Fig. 4A). Compound 7a treatment for 4 h also led to a marked decrease in PARP protein levels. Moreover, the expressions of Mcl-1 and XIAP proteins were strongly downregulated after 2 h of treatment with compound 7a in MV4-11 cells, followed by a further decline in levels of these proteins. eIF-2α phosphorylation increased, whereas S6 phosphorylation decreased in MV4-11 cells after 2 h of treatment with compound 7a. The expression of GRP-78, an endoplasmic reticulum (ER) stress marker, and the phosphorylation of ERK-1/2, a member of the MAPK family involved in cancer cell growth, remained unchanged in MV4-11 cells upon compound 7a treatment. Total eIF-2α, S6 and ERK-1/2 expression levels remained constant throughout the experiment, except for the significant decrease in the total eIF-2α and S6 expression levels at 24 h of compound 7a treatment. Treatment with compound 7a for 2, 4 or 8 h did not significantly affect Mcl-1 mRNA expression in MV4-11 cells; however, Mcl-1 transcript levels substantially decreased with 24 h of treatment (Fig. 4B). By contrast, the XIAP, DR-4 and DR-5 mRNA levels remained unchanged in compound 7a-treated MV4-11 cells for all treatment durations. Actin mRNA expression (control) also remained constant.

Figure 4

Effects of compound 7a on expression and/or phosphorylation of procaspase-9 and -3, PARP, Bcl-2, Mcl-1, XIAP, eIF-2α, GRP-78, S6, ERK-1/2 and DR-4 and -5 in MV4-11 cells. (A and B) MV4-11 cells were treated with vehicle control (DMSO) or compound 7a (5 µM) for the designated times. (A) At each time point, whole-cell lysates were prepared and analyzed by western blotting. (B) At each time point, total cellular RNA was extracted and analyzed by reverse transcription-polymerase chain reaction analysis. Each picture in (A) or (B) is representative of three independent experiments. p-eIF-2α, phosphorylated eIF-2α; T-eIF-2α, total eIF-2α; p-S6, phosphorylated S6; T-S6, total S6; p-ERK-1/2, phosphorylated ERK-1/2; T-ERK-1/2, total ERK-1/2. PARP, poly(ADP-ribose) polymerase; Bcl-2, B-cell lymphoma 2; Mcl-1, myeloid cell leukemia; XIAP, X-linked inhibitor of apoptosis; eIF, eukaryotic initiation factor; GRP, glucose-regulated protein; ERK, extracellular signal-regulated kinase; DR, death receptor.

Pan-caspase inhibitor z-VAD-fmk strongly inhibits compound 7a-induced apoptosis and alteration of PARP, caspase-9 and -3, Bcl-2, Mcl-1 and XIAP expression in MV4-11 cells

The role of caspases in compound 7a-induced apoptosis in MV4-11 cells was next investigated via treatment with the pan-caspase inhibitor z-VAD-fmk. Treatment with 50 µM z-VAD-fmk strongly inhibited compound 7a-induced DNA fragmentation (5 µM, Fig. 5A), caspase-9 and -3 activation and PARP cleavage (Fig. 5B). Moreover, z-VAD-fmk abolished the ability of compound 7a to induce cleaved Bcl-2 and Mcl-1 and XIAP downregulation. Actin protein expression (control) remained constant.

Figure 5

Effects of z-VAD-fmk on compound 7a-induced apoptosis and expression of procaspase-9 and -3, PARP, Bcl-2, Mcl-1 and XIAP in MV4-11 cells. (A and B) MV4-11 cells were pretreated with vehicle control (DMSO) or compound 7a (5 µM) in the absence or presence of the pan-caspase inhibitor z-VAD-fmk (50 µM) for 24 h. (A) Extranuclear fragmented DNA was extracted and analyzed on a 1.8% agarose gel. (B) Whole-cell lysates were analyzed by western blotting. Each picture in (A) or (B) is a representative of three independent experiments. PARP, poly(ADP-ribose) polymerase; Bcl-2, B-cell lymphoma 2; Mcl-1, myeloid cell leukemia; XIAP, X-linked inhibitor of apoptosis.

Compound 7a strongly reduces the survival of K562 human CML cells

Finally, K562 CML cells were treated with compound 7a or meridianin C at different concentrations (1, 5 and 10 µM) for different durations (24 and 48 h), and K562 cell survival was measured in order to determine whether the growth inhibitory effect of compound 7a is limited to MV4-11 cells. Meridianin C and compound 7a weakly and strongly reduced the survival of K562 cells, respectively (Fig. 6A and B). In particular, treatment with 5 µM compound 7a, rather than meridianin C, for 24 and 48 h resulted in a markedly higher reduction of K562 survival.

Figure 6

Effects of compound 7a and meridianin C on the growth of K562 human chronic myeloid leukemia cells. (A and B) K562 cells were treated with vehicle control (DMSO; 0.1%), compound 7a and meridianin C at the indicated concentrations (1, 5 and 10 µM) for (A) 24 h and (B) 48 h, respectively. At each time point, the numbers of surviving cells were determined by using a cell counting assay. The cell counting assay was performed in triplicate. Data are the means ± standard error of the mean of three independent experiments. *P<0.05, ***P<0.001 compared with the value of DMSO control at the indicated times. ns, non-significant; Meri C, meridianin C.

Discussion

Analogues/derivatives of meridianin C, D or G inhibit the proliferation of hematological and solid tumor cells (25-27). However, the regulation of leukemic cancer cell growth by meridianin C and its derivatives remains unclear. The present study demonstrated that a meridianin C derivative, compound 7a, exerted strong anti-survival and pro-apoptotic effects on MV4-11 human AML cells by regulating the expression of caspase-9 and -3, Bcl-2, Mcl-1, XIAP, eIF-2α and S6 molecules.

Mounting evidence has demonstrated the overexpression of PIM kinases and the oncogenic/pro-survival role of this overexpression in a number of hematological malignancies (15-17,20). PIM kinase inhibitors exhibiting promising antitumor activities in different AML cells, xenograft models and AML patients were recently developed (15-21,32). These results strongly support the use of PIM kinases as targets in leukemia treatment. We previously demonstrated the antiproliferative effects of meridianin C derivatives on human leukemia cells, including MV4-11 cells (27), via an MTT-based cell proliferation assay; however, the underlying mechanism remained elusive. In the present study, while the parent compound meridianin C only weakly affected the survival of MV4-11 cells, compound 7a markedly reduced it. Although other meridianin C derivatives, such as compounds 7g and 7j, also exerted growth inhibitory effects on MV4-11 cells, their effects were notably weaker compared with that of compound 7a, particularly at a concentration of 5 µM. Meridianin C derivatives, including compound 7a, were previously shown to exert inhibitory effects against different PIM kinases with different potencies in cell-free systems (27). In the present study, compound 7a inhibited the expression and activity of PIM kinases in MV4-11 cells, as evidenced by the reduced PIM kinase expression and decreased BAD Ser112 phosphorylation levels. Meridianin C also suppressed PIM kinase expression and activity, and the pan-PIM kinase inhibitor AZD1208 exerted a weak inhibitory effect on MV4-11 cell survival. Combined treatment with AZD1208 and compound 7a did not significantly affect MV4-11 cell viability. Hence, PIM kinase inhibition is unlikely a key mechanism in the anti-survival effect of compound 7a on MV4-11 cells.

Compound 7a notably induced apoptosis in MV4-11 cells, as evidenced by increased nuclear DNA fragmentation and PARP cleavage. Apoptosis is mainly mediated via intrinsic (mitochondrial) and extrinsic (DR-mediated) pathways (33), where either mitochondria-mediated caspase-9 or DR-dependent caspase-8 activation, respectively, mediates the events. In the present study, compound 7a induced caspase-9 and -3 activation without affecting DR-4 or -5 expression in MV4-11 cells, and the pan-caspase inhibitor z-VAD-fmk greatly attenuated compound 7a-induced apoptosis. Hence, the pro-apoptotic effects of compound 7a on MV4-11 cells may be mainly associated with the intrinsic apoptosis pathway.

A hallmark of cancer is apoptosis evasion, which is often associated with the upregulation of anti-apoptotic proteins, such as the Bcl-2 family proteins. The Bcl-2 family of proteins, including Bcl-2 and Mcl-1, regulate apoptosis and caspase activation by controlling the mitochondrial membrane integrity (34). Mcl-1 is a critical survival factor for multiple myeloma cells (35), as deduced from apoptosis induction via downregulation of Mcl-1 by anti-sense RNA, and delay of caspase activation via Mcl-1 overexpression. A role of Mcl-1 in the survival of AML and chronic lymphocytic leukemia cells has also been hypothesized (13,36). Moreover, down-regulation of Bcl-2 family proteins has been associated with the apoptotic effects of certain anticancer agents (10-12). Interestingly, compound 7a treatment in the present study led to the progressive accumulation of cleaved Bcl-2 and the rapid downregulation of Mcl-1 at the protein level in MV4-11 cells. It is worth noting that caspases, particularly caspase-3, mediate the cleavage of anti-apoptotic Bcl-2 (37,38). Proteasome-dependent Mcl-1 protein degradation/downregulation in AML cells upon treatment with anticancer agents was introduced recently (39). AML cells were also reported to express high Mcl-1 levels. shRNA-mediated Mcl-1 depletion induced apoptosis, whereas Mcl-1 overexpression promoted cell survival (40). In the present study, the pan-caspase inhibitor z-VAD-fmk strongly inhibited compound 7a-induced accumulation of cleaved Bcl-2 and Mcl-1 downregulation in MV4-11 cells. Thus, caspase activation is likely responsible for compound 7a-induced Bcl-2 cleavage and Mcl-1 downregulation. Caspase-dependent Bcl-2 degradation and loss of Mcl-1 may further contribute to the pro-apoptotic and/or anti-survival effects of compound 7a. Human IAPs, including XIAP and HIAP-1/2, are anti-apoptotic proteins (8). In particular, XIAP has been reported to directly inhibit caspase family members, including caspase-3 (41) and caspase-9 (42). We herein demonstrated that compound 7a reduced XIAP protein expression in MV4-11 cells, and z-VAD-fmk strongly blocked this process. These data suggest that caspase activation was further responsible for the compound 7a-induced XIAP downregulation in MV4-11 cells, and loss of XIAP is likely to favor caspase activation and apoptosis induction in cells treated with compound 7a.

ER stress induction is a common effect of several anticancer agents (43). Cells undergoing ER stress are characterized by the upregulation of molecular chaperones (e.g., GRP-78) and phosphorylation of eIF-2α along with inhibition of global translation (44). In the present study, compound 7a rapidly induced eIF-2α phosphorylation, yet did not affect GRP-78 expression in MV4-11 cells, suggesting regulation of translation rather than ER stress induction. S6 is a ribosomal protein involved in protein synthesis (45). S6 hyperphosphorylation is associated with increased growth or survival of cancer cells (46). Compound 7a rapidly and sustainably inhibited S6 phosphorylation in MV4-11 cells. Thus, the anti-survival and/or pro-apoptotic effects of compound 7a on MV4-11 cells are partly due to the eIF-2α and S6-dependent translation interference. As aforementioned, we recently reported the strong anti-survival, but not pro-apoptotic, effects of meridianin C on YD-10B cells through macropinocytosis and DKK-3 downregulation (independently of the caspase pathway) (28). Our results demonstrated that, while compound 7a exerts strong anti-survival and pro-apoptotic effects on MV4-11 cells via activation of the caspase pathways, meridianin C does not exert such effects. The discrepancy between these results from MV4-11 cells and those previously obtained from YD-10B cells may be attributed to the differences between the ability of each compound to induce activation of the caspase pathways, and the use of different cell types (e.g., leukemia vs. solid cancer) with different characteristics (e.g., floating vs. adherent). It is also interesting to note how the structural difference between compound 7a and the parent compound meridianin C resulted in differences in biological activity. Unlike meridianin C, a unique structural moiety within the compound 7a structure may be associated with its strong anti-survival, pro-apoptosis and caspase-activating effects on MV4-11 cells. Compound 7a has an ethoxypyrazine substituent, which is bulkier and more polar compared with the bromo substituent of meridianin C. This structural feature may have contributed to the differences in biological activity observed herein.

The effects of compound 7a and meridianin C on the growth of K562 human CML cells were also examined, and compound 7a was found to exert a significantly stronger growth inhibitory effect on K562 cells compared with meridianin C (particularly at a concentration of 5 µM). Hence, the anti-survival effects of compound 7a were not limited to MV4-11 AML cells.

In summary, to the best of our knowledge, the present study is the first to demonstrate the strong anti-survival and pro-apoptotic effects of compound 7a, a meridianin C derivative, on MV4-11 AML cells. These effects were mediated via control of the expression and phosphorylation of caspase-9 and -3, Mcl-1, Bcl-2, XIAP, eIF-2α and S6 molecules. Although important issues remain to be further elucidated, such as the antitumor effects of compound 7a on animal models, these findings suggest that compound 7a may serve as a basis for the development of novel anti-leukemic agents.

Funding

The present study was supported and funded by a National Research Foundation of Korea (NRF) grant from the Korean Government (MSIP) (no. 2014R1A5A2010008).

Availability of data and materials

All the data generated or analysed during the present study are included in this published article.

Authors' contributions

HRC and AKY performed the experiments. YRD, MHH and DBB analyzed the data. JL and BCJ designed and supervised the study. AKY, DBB and BCJ wrote the paper.

Ethics approval and consent to participate

Not applicable.

Patient consent to publication

Not applicable.

Competing interests

All the authors declare that they have no competing interests.

Acknowledgments

Not applicable.

References

1 

Kornblau SM, Tibes R, Qiu YH, Chen W, Kantarjian HM, Andreeff M, Coombes KR and Mills GB: Functional proteomic profiling of AML predicts response and survival. Blood. 113:154–164. 2009. View Article : Google Scholar

2 

Short NJ, Rytting ME and Cortes JE: Acute myeloid leukaemia. Lancet. 392:593–606. 2018. View Article : Google Scholar : PubMed/NCBI

3 

National Cancer Institute: Cancer Stat Facts: Leukemia. https://seer.cancer.gov/statfacts/html/leuks.html Accessed March 2, 2019.

4 

Ossenkoppele G and Löwenberg B: How I treat the older patient with acute myeloid leukemia. Blood. 125:767–774. 2015. View Article : Google Scholar

5 

Wyllie AH, Kerr JF and Currie AR: Cell death: The significance of apoptosis. Int Rev Cytol. 68:251–306. 1980. View Article : Google Scholar : PubMed/NCBI

6 

Chen Q, Kang J and Fu C: The independence of and associations among apoptosis, autophagy, and necrosis. Signal Transduct Target Ther. 3:182018. View Article : Google Scholar : PubMed/NCBI

7 

Cohen GM: Caspases: The executioners of apoptosis. Biochem J. 326:1–16. 1997. View Article : Google Scholar : PubMed/NCBI

8 

Deveraux QL and Reed JC: IAP family proteins--suppressors of apoptosis. Genes Dev. 13:239–252. 1999. View Article : Google Scholar : PubMed/NCBI

9 

Kale J, Osterlund EJ and Andrews DW: BCL-2 family proteins: Changing partners in the dance towards death. Cell Death Differ. 25:65–80. 2018. View Article : Google Scholar : PubMed/NCBI

10 

Jang BC, Paik JH, Jeong HY, Oh HJ, Park JW, Kwon TK, Song DK, Park JG, Kim SP, Bae JH, et al: Leptomycin B-induced apoptosis is mediated through caspase activation and down-regulation of Mcl-1 and XIAP expression, but not through the generation of ROS in U937 leukemia cells. Biochem Pharmacol. 68:263–274. 2004. View Article : Google Scholar : PubMed/NCBI

11 

Rao J, Xu DR, Zheng FM, Long ZJ, Huang SS, Wu X, Zhou WH, Huang RW and Liu Q: Curcumin reduces expression of Bcl-2, leading to apoptosis in daunorubicin-insensitive CD34+ acute myeloid leukemia cell lines and primary sorted CD34+ acute myeloid leukemia cells. J Transl Med. 9:712011. View Article : Google Scholar : PubMed/NCBI

12 

Kitada S, Zapata JM, Andreeff M and Reed JC: Protein kinase inhibitors flavopiridol and 7-hydroxy-staurosporine down-regulate antiapoptosis proteins in B-cell chronic lymphocytic leukemia. Blood. 96:393–397. 2000. View Article : Google Scholar : PubMed/NCBI

13 

Luedtke DA, Niu X, Pan Y, Zhao J, Liu S, Edwards H, Chen K, Lin H, Taub JW and Ge Y: Inhibition of Mcl-1 enhances cell death induced by the Bcl-2-selective inhibitor ABT-199 in acute myeloid leukemia cells. Signal Transduct Target Ther. 2:170122017. View Article : Google Scholar : PubMed/NCBI

14 

Nawijn MC, Alendar A and Berns A: For better or for worse: The role of Pim oncogenes in tumorigenesis. Nat Rev Cancer. 11:23–34. 2011. View Article : Google Scholar

15 

Decker S, Finter J, Forde AJ, Kissel S, Schwaller J, Mack TS, Kuhn A, Gray N, Follo M, Jumaa H, et al: PIM kinases are essential for chronic lymphocytic leukemia cell survival (PIM2/3) and CXCR4-mediated microenvironmental interactions (PIM1). Mol Cancer Ther. 13:1231–1245. 2014. View Article : Google Scholar : PubMed/NCBI

16 

Lu J, Zavorotinskaya T, Dai Y, Niu XH, Castillo J, Sim J, Yu J, Wang Y, Langowski JL, Holash J, et al: Pim2 is required for maintaining multiple myeloma cell growth through modulating TSC2 phosphorylation. Blood. 122:1610–1620. 2013. View Article : Google Scholar : PubMed/NCBI

17 

Gómez-Abad C, Pisonero H, Blanco-Aparicio C, Roncador G, González-Menchén A, Martinez-Climent JA, Mata E, Rodríguez ME, Muñoz-González G, Sánchez-Beato M, et al: PIM2 inhibition as a rational therapeutic approach in B-cell lymphoma. Blood. 118:5517–5527. 2011. View Article : Google Scholar : PubMed/NCBI

18 

Guo S, Mao X, Chen J, Huang B, Jin C, Xu Z and Qiu S: Overexpression of Pim-1 in bladder cancer. J Exp Clin Cancer Res. 29:1612010. View Article : Google Scholar : PubMed/NCBI

19 

Wang J, Anderson PD, Luo W, Gius D, Roh M and Abdulkadir SA: Pim1 kinase is required to maintain tumorigenicity in MYC-expressing prostate cancer cells. Oncogene. 31:1794–1803. 2012. View Article : Google Scholar

20 

Keane NA, Reidy M, Natoni A, Raab MS and O'Dwyer M: Targeting the Pim kinases in multiple myeloma. Blood Cancer J. 5:e3252015. View Article : Google Scholar : PubMed/NCBI

21 

Yadav AK, Kumar V, Bailey DB and Jang BC: AZD1208, a Pan-Pim Kinase Inhibitor, Has Anti-Growth Effect on 93T449 Human Liposarcoma Cells via Control of the Expression and Phosphorylation of Pim-3, mTOR, 4EBP-1, S6, STAT-3 and AMPK. Int J Mol Sci. 20:22019. View Article : Google Scholar

22 

Cervantes-Gomez F, Chen LS, Orlowski RZ and Gandhi V: Biological effects of the Pim kinase inhibitor, SGI-1776, in multiple myeloma. Clin Lymphoma Myeloma Leuk. 13(Suppl 2): S317–S329. 2013. View Article : Google Scholar : PubMed/NCBI

23 

Gompel M, Leost M, De Kier Joffe EB, Puricelli L, Franco LH, Palermo J and Meijer L: Meridianins, a new family of protein kinase inhibitors isolated from the ascidian Aplidium meridianum. Bioorg Med Chem Lett. 14:1703–1707. 2004. View Article : Google Scholar : PubMed/NCBI

24 

Bharate SB, Yadav RR, Battula S and Vishwakarma RA: Meridianins: Marine-derived potent kinase inhibitors. Mini Rev Med Chem. 12:618–631. 2012. View Article : Google Scholar : PubMed/NCBI

25 

Giraud F, Alves G, Debiton E, Nauton L, Théry V, Durieu E, Ferandin Y, Lozach O, Meijer L, Anizon F, et al: Synthesis, protein kinase inhibitory potencies, and in vitro antiproliferative activities of meridianin derivatives. J Med Chem. 54:4474–4489. 2011. View Article : Google Scholar : PubMed/NCBI

26 

Radwan MA and El-Sherbiny M: Synthesis and antitumor activity of indolylpyrimidines: Marine natural product meridianin D analogues. Bioorg Med Chem. 15:1206–1211. 2007. View Article : Google Scholar

27 

More KN, Jang HW, Hong VS and Lee J: Pim kinase inhibitory and antiproliferative activity of a novel series of meridianin C derivatives. Bioorg Med Chem Lett. 24:2424–2428. 2014. View Article : Google Scholar : PubMed/NCBI

28 

Park NS, Park YK, Ramalingam M, Yadav AK, Cho HR, Hong VS, More KN, Bae JH, Bishop-Bailey D, Kano J, et al: Meridianin C inhibits the growth of YD-10B human tongue cancer cells through macropinocytosis and the down-regulation of Dickkopf-related protein-3. J Cell Mol Med. 22:5833–5846. 2018. View Article : Google Scholar : PubMed/NCBI

29 

Drexler HG, MacLeod RA and Uphoff CC: Leukemia cell lines: In vitro models for the study of Philadelphia chromosome-positive leukemia. Leuk Res. 23:207–215. 1999.PubMed/NCBI

30 

Meshinchi S and Appelbaum FR: Structural and functional alterations of FLT3 in acute myeloid leukemia. Clin Cancer Res. 15:4263–4269. 2009. View Article : Google Scholar : PubMed/NCBI

31 

Macdonald A, Campbell DG, Toth R, McLauchlan H, Hastie CJ and Arthur JS: Pim kinases phosphorylate multiple sites on Bad and promote 14-3-3 binding and dissociation from Bcl-XL. BMC Cell Biol. 7:12006. View Article : Google Scholar : PubMed/NCBI

32 

Keeton EK, McEachern K, Dillman KS, Palakurthi S, Cao Y, Grondine MR, Kaur S, Wang S, Chen Y, Wu A, et al: AZD1208, a potent and selective pan-Pim kinase inhibitor, demonstrates efficacy in preclinical models of acute myeloid leukemia. Blood. 123:905–913. 2014. View Article : Google Scholar :

33 

Galluzzi L, Vitale I, Aaronson SA, Abrams JM, Adam D, Agostinis P, Alnemri ES, Altucci L, Amelio I, Andrews DW, et al: Molecular mechanisms of cell death: Recommendations of the Nomenclature Committee on Cell Death 2018. Cell Death Differ. 25:486–541. 2018. View Article : Google Scholar : PubMed/NCBI

34 

Festjens N, van Gurp M, van Loo G, Saelens X and Vandenabeele P: Bcl-2 family members as sentinels of cellular integrity and role of mitochondrial intermembrane space proteins in apoptotic cell death. Acta Haematol. 111:7–27. 2004. View Article : Google Scholar

35 

Zhang B, Gojo I and Fenton RG: Myeloid cell factor-1 is a critical survival factor for multiple myeloma. Blood. 99:1885–1893. 2002. View Article : Google Scholar : PubMed/NCBI

36 

Bose P and Grant S: Mcl-1 as a Therapeutic Target in Acute Myelogenous Leukemia (AML). Leuk Res Rep. 2:12–14. 2013.PubMed/NCBI

37 

Cheng EH, Kirsch DG, Clem RJ, Ravi R, Kastan MB, Bedi A, Ueno K and Hardwick JM: Conversion of Bcl-2 to a Bax-like death effector by caspases. Science. 278:1966–1968. 1997. View Article : Google Scholar

38 

Kirsch DG, Doseff A, Chau BN, Lim DS, de Souza-Pinto NC, Hansford R, Kastan MB, Lazebnik YA and Hardwick JM: Caspase-3-dependent cleavage of Bcl-2 promotes release of cytochrome c. J Biol Chem. 274:21155–21161. 1999. View Article : Google Scholar : PubMed/NCBI

39 

Kapoor S, Natarajan K, Baldwin PR, Doshi KA, Lapidus RG, Mathias TJ, Scarpa M, Trotta R, Davila E, Kraus M, et al: Concurrent Inhibition of Pim and FLT3 Kinases Enhances Apoptosis of FLT3-ITD Acute Myeloid Leukemia Cells through Increased Mcl-1 Proteasomal Degradation. Clin Cancer Res. 24:234–247. 2018. View Article : Google Scholar

40 

Kasper S, Breitenbuecher F, Heidel F, Hoffarth S, Markova B, Schuler M and Fischer T: Targeting MCL-1 sensitizes FLT3-ITD-positive leukemias to cytotoxic therapies. Blood Cancer J. 2. pp. e602012, View Article : Google Scholar

41 

Deveraux QL, Takahashi R, Salvesen GS and Reed JC: X-linked IAP is a direct inhibitor of cell-death proteases. Nature. 388:300–304. 1997. View Article : Google Scholar : PubMed/NCBI

42 

Shiozaki EN, Chai J, Rigotti DJ, Riedl SJ, Li P, Srinivasula SM, Alnemri ES, Fairman R and Shi Y: Mechanism of XIAP-mediated inhibition of caspase-9. Mol Cell. 11:519–527. 2003. View Article : Google Scholar : PubMed/NCBI

43 

Han M, Gao H, Xie J, Yuan YP, Yuan Q, Gao MQ, Liu KL, Chen XH, Han YT and Han ZW7: Hispidulin induces ER stress-mediated apoptosis in human hepatocellular carcinoma cells in vitro and in vivo by activating AMPK signaling pathway. Acta Pharmacol Sin. 40:666–676. 2019. View Article : Google Scholar

44 

de Haro C, Méndez R and Santoyo J: The eIF-2alpha kinases and the control of protein synthesis. FASEB J. 10:1378–1387. 1996. View Article : Google Scholar : PubMed/NCBI

45 

Ruvinsky I and Meyuhas O: Ribosomal protein S6 phos-phorylation: From protein synthesis to cell size. Trends Biochem Sci. 31:342–348. 2006. View Article : Google Scholar : PubMed/NCBI

46 

Chen B, Tan Z, Gao J, Wu W, Liu L, Jin W, Cao Y, Zhao S, Zhang W, Qiu Z, et al: Hyperphosphorylation of ribosomal protein S6 predicts unfavorable clinical survival in non-small cell lung cancer. J Exp Clin Cancer Res. 34:1262015. View Article : Google Scholar : PubMed/NCBI

Related Articles

  • Abstract
  • View
  • Download
  • Twitter
Copy and paste a formatted citation
Spandidos Publications style
Cho H, Yadav AK, Do Y, Heo M, Bishop‑Bailey D, Lee J and Jang BC: Anti‑survival and pro‑apoptotic effects of meridianin C derivatives on MV4‑11 human acute myeloid leukemia cells. Int J Oncol 56: 368-378, 2020.
APA
Cho, H., Yadav, A.K., Do, Y., Heo, M., Bishop‑Bailey, D., Lee, J., & Jang, B. (2020). Anti‑survival and pro‑apoptotic effects of meridianin C derivatives on MV4‑11 human acute myeloid leukemia cells. International Journal of Oncology, 56, 368-378. https://doi.org/10.3892/ijo.2019.4925
MLA
Cho, H., Yadav, A. K., Do, Y., Heo, M., Bishop‑Bailey, D., Lee, J., Jang, B."Anti‑survival and pro‑apoptotic effects of meridianin C derivatives on MV4‑11 human acute myeloid leukemia cells". International Journal of Oncology 56.1 (2020): 368-378.
Chicago
Cho, H., Yadav, A. K., Do, Y., Heo, M., Bishop‑Bailey, D., Lee, J., Jang, B."Anti‑survival and pro‑apoptotic effects of meridianin C derivatives on MV4‑11 human acute myeloid leukemia cells". International Journal of Oncology 56, no. 1 (2020): 368-378. https://doi.org/10.3892/ijo.2019.4925
Copy and paste a formatted citation
x
Spandidos Publications style
Cho H, Yadav AK, Do Y, Heo M, Bishop‑Bailey D, Lee J and Jang BC: Anti‑survival and pro‑apoptotic effects of meridianin C derivatives on MV4‑11 human acute myeloid leukemia cells. Int J Oncol 56: 368-378, 2020.
APA
Cho, H., Yadav, A.K., Do, Y., Heo, M., Bishop‑Bailey, D., Lee, J., & Jang, B. (2020). Anti‑survival and pro‑apoptotic effects of meridianin C derivatives on MV4‑11 human acute myeloid leukemia cells. International Journal of Oncology, 56, 368-378. https://doi.org/10.3892/ijo.2019.4925
MLA
Cho, H., Yadav, A. K., Do, Y., Heo, M., Bishop‑Bailey, D., Lee, J., Jang, B."Anti‑survival and pro‑apoptotic effects of meridianin C derivatives on MV4‑11 human acute myeloid leukemia cells". International Journal of Oncology 56.1 (2020): 368-378.
Chicago
Cho, H., Yadav, A. K., Do, Y., Heo, M., Bishop‑Bailey, D., Lee, J., Jang, B."Anti‑survival and pro‑apoptotic effects of meridianin C derivatives on MV4‑11 human acute myeloid leukemia cells". International Journal of Oncology 56, no. 1 (2020): 368-378. https://doi.org/10.3892/ijo.2019.4925
Follow us
  • Twitter
  • LinkedIn
  • Facebook
About
  • Spandidos Publications
  • Careers
  • Cookie Policy
  • Privacy Policy
How can we help?
  • Help
  • Live Chat
  • Contact
  • Email to our Support Team