Spandidos Publications Logo
  • About
    • About Spandidos
    • Aims and Scopes
    • Abstracting and Indexing
    • Editorial Policies
    • Reprints and Permissions
    • Job Opportunities
    • Terms and Conditions
    • Contact
  • Journals
    • All Journals
    • Oncology Letters
      • Oncology Letters
      • Information for Authors
      • Editorial Policies
      • Editorial Board
      • Aims and Scope
      • Abstracting and Indexing
      • Bibliographic Information
      • Archive
    • International Journal of Oncology
      • International Journal of Oncology
      • Information for Authors
      • Editorial Policies
      • Editorial Board
      • Aims and Scope
      • Abstracting and Indexing
      • Bibliographic Information
      • Archive
    • Molecular and Clinical Oncology
      • Molecular and Clinical Oncology
      • Information for Authors
      • Editorial Policies
      • Editorial Board
      • Aims and Scope
      • Abstracting and Indexing
      • Bibliographic Information
      • Archive
    • Experimental and Therapeutic Medicine
      • Experimental and Therapeutic Medicine
      • Information for Authors
      • Editorial Policies
      • Editorial Board
      • Aims and Scope
      • Abstracting and Indexing
      • Bibliographic Information
      • Archive
    • International Journal of Molecular Medicine
      • International Journal of Molecular Medicine
      • Information for Authors
      • Editorial Policies
      • Editorial Board
      • Aims and Scope
      • Abstracting and Indexing
      • Bibliographic Information
      • Archive
    • Biomedical Reports
      • Biomedical Reports
      • Information for Authors
      • Editorial Policies
      • Editorial Board
      • Aims and Scope
      • Abstracting and Indexing
      • Bibliographic Information
      • Archive
    • Oncology Reports
      • Oncology Reports
      • Information for Authors
      • Editorial Policies
      • Editorial Board
      • Aims and Scope
      • Abstracting and Indexing
      • Bibliographic Information
      • Archive
    • Molecular Medicine Reports
      • Molecular Medicine Reports
      • Information for Authors
      • Editorial Policies
      • Editorial Board
      • Aims and Scope
      • Abstracting and Indexing
      • Bibliographic Information
      • Archive
    • World Academy of Sciences Journal
      • World Academy of Sciences Journal
      • Information for Authors
      • Editorial Policies
      • Editorial Board
      • Aims and Scope
      • Abstracting and Indexing
      • Bibliographic Information
      • Archive
    • International Journal of Functional Nutrition
      • International Journal of Functional Nutrition
      • Information for Authors
      • Editorial Policies
      • Editorial Board
      • Aims and Scope
      • Abstracting and Indexing
      • Bibliographic Information
      • Archive
    • International Journal of Epigenetics
      • International Journal of Epigenetics
      • Information for Authors
      • Editorial Policies
      • Editorial Board
      • Aims and Scope
      • Abstracting and Indexing
      • Bibliographic Information
      • Archive
    • Medicine International
      • Medicine International
      • Information for Authors
      • Editorial Policies
      • Editorial Board
      • Aims and Scope
      • Abstracting and Indexing
      • Bibliographic Information
      • Archive
  • Articles
  • Information
    • Information for Authors
    • Information for Reviewers
    • Information for Librarians
    • Information for Advertisers
    • Conferences
  • Language Editing
Spandidos Publications Logo
  • About
    • About Spandidos
    • Aims and Scopes
    • Abstracting and Indexing
    • Editorial Policies
    • Reprints and Permissions
    • Job Opportunities
    • Terms and Conditions
    • Contact
  • Journals
    • All Journals
    • Biomedical Reports
      • Information for Authors
      • Editorial Policies
      • Editorial Board
      • Aims and Scope
      • Abstracting and Indexing
      • Bibliographic Information
      • Archive
    • Experimental and Therapeutic Medicine
      • Information for Authors
      • Editorial Policies
      • Editorial Board
      • Aims and Scope
      • Abstracting and Indexing
      • Bibliographic Information
      • Archive
    • International Journal of Epigenetics
      • Information for Authors
      • Editorial Policies
      • Editorial Board
      • Aims and Scope
      • Abstracting and Indexing
      • Bibliographic Information
      • Archive
    • International Journal of Functional Nutrition
      • Information for Authors
      • Editorial Policies
      • Editorial Board
      • Aims and Scope
      • Abstracting and Indexing
      • Bibliographic Information
      • Archive
    • International Journal of Molecular Medicine
      • Information for Authors
      • Editorial Policies
      • Editorial Board
      • Aims and Scope
      • Abstracting and Indexing
      • Bibliographic Information
      • Archive
    • International Journal of Oncology
      • Information for Authors
      • Editorial Policies
      • Editorial Board
      • Aims and Scope
      • Abstracting and Indexing
      • Bibliographic Information
      • Archive
    • Medicine International
      • Information for Authors
      • Editorial Policies
      • Editorial Board
      • Aims and Scope
      • Abstracting and Indexing
      • Bibliographic Information
      • Archive
    • Molecular and Clinical Oncology
      • Information for Authors
      • Editorial Policies
      • Editorial Board
      • Aims and Scope
      • Abstracting and Indexing
      • Bibliographic Information
      • Archive
    • Molecular Medicine Reports
      • Information for Authors
      • Editorial Policies
      • Editorial Board
      • Aims and Scope
      • Abstracting and Indexing
      • Bibliographic Information
      • Archive
    • Oncology Letters
      • Information for Authors
      • Editorial Policies
      • Editorial Board
      • Aims and Scope
      • Abstracting and Indexing
      • Bibliographic Information
      • Archive
    • Oncology Reports
      • Information for Authors
      • Editorial Policies
      • Editorial Board
      • Aims and Scope
      • Abstracting and Indexing
      • Bibliographic Information
      • Archive
    • World Academy of Sciences Journal
      • Information for Authors
      • Editorial Policies
      • Editorial Board
      • Aims and Scope
      • Abstracting and Indexing
      • Bibliographic Information
      • Archive
  • Articles
  • Information
    • For Authors
    • For Reviewers
    • For Librarians
    • For Advertisers
    • Conferences
  • Language Editing
Login Register Submit
  • This site uses cookies
  • You can change your cookie settings at any time by following the instructions in our Cookie Policy. To find out more, you may read our Privacy Policy.

    I agree
Search articles by DOI, keyword, author or affiliation
Search
Advanced Search
presentation
International Journal of Oncology
Join Editorial Board Propose a Special Issue
Print ISSN: 1019-6439 Online ISSN: 1791-2423
Journal Cover
October-2022 Volume 61 Issue 4

Full Size Image

Cover Legend PDF

Sign up for eToc alerts
Recommend to Library

Journals

International Journal of Molecular Medicine

International Journal of Molecular Medicine

International Journal of Molecular Medicine is an international journal devoted to molecular mechanisms of human disease.

International Journal of Oncology

International Journal of Oncology

International Journal of Oncology is an international journal devoted to oncology research and cancer treatment.

Molecular Medicine Reports

Molecular Medicine Reports

Covers molecular medicine topics such as pharmacology, pathology, genetics, neuroscience, infectious diseases, molecular cardiology, and molecular surgery.

Oncology Reports

Oncology Reports

Oncology Reports is an international journal devoted to fundamental and applied research in Oncology.

Experimental and Therapeutic Medicine

Experimental and Therapeutic Medicine

Experimental and Therapeutic Medicine is an international journal devoted to laboratory and clinical medicine.

Oncology Letters

Oncology Letters

Oncology Letters is an international journal devoted to Experimental and Clinical Oncology.

Biomedical Reports

Biomedical Reports

Explores a wide range of biological and medical fields, including pharmacology, genetics, microbiology, neuroscience, and molecular cardiology.

Molecular and Clinical Oncology

Molecular and Clinical Oncology

International journal addressing all aspects of oncology research, from tumorigenesis and oncogenes to chemotherapy and metastasis.

World Academy of Sciences Journal

World Academy of Sciences Journal

Multidisciplinary open-access journal spanning biochemistry, genetics, neuroscience, environmental health, and synthetic biology.

International Journal of Functional Nutrition

International Journal of Functional Nutrition

Open-access journal combining biochemistry, pharmacology, immunology, and genetics to advance health through functional nutrition.

International Journal of Epigenetics

International Journal of Epigenetics

Publishes open-access research on using epigenetics to advance understanding and treatment of human disease.

Medicine International

Medicine International

An International Open Access Journal Devoted to General Medicine.

Journal Cover
October-2022 Volume 61 Issue 4

Full Size Image

Cover Legend PDF

Sign up for eToc alerts
Recommend to Library

  • Article
  • Citations
    • Cite This Article
    • Download Citation
    • Create Citation Alert
    • Remove Citation Alert
    • Cited By
  • Similar Articles
    • Related Articles (in Spandidos Publications)
    • Similar Articles (Google Scholar)
    • Similar Articles (PubMed)
  • Download PDF
  • Download XML
  • View XML

  • Supplementary Files
    • Supplementary_Data.pdf
Article Open Access

Ex vivo assessment of cancer drug sensitivity in epithelial ovarian cancer and its association with histopathological type, treatment history and clinical outcome

  • Authors:
    • Kathrine Bjersand
    • Kristin Blom
    • Inger Sundström Poromaa
    • Karin Stålberg
    • Ann-Marie Lejon
    • Fatma Bäckman
    • Åsa Nyberg
    • Claes Andersson
    • Rolf Larsson
    • Peter Nygren
  • View Affiliations / Copyright

    Affiliations: Department of Women's and Children's Health, Uppsala University, S‑751 85 Uppsala, Sweden, Department of Medical Sciences, Uppsala University, S‑751 85 Uppsala, Sweden, Department of Medical Sciences, Örebro University Hospital, S‑701 85 Örebro, Sweden, Department of Gynecology, Falun Hospital, S‑791 31 Falun, Sweden, Department of Immunology, Genetics and Pathology, Uppsala University, S‑751 85 Uppsala, Sweden
    Copyright: © Bjersand et al. This is an open access article distributed under the terms of Creative Commons Attribution License.
  • Article Number: 128
    |
    Published online on: September 8, 2022
       https://doi.org/10.3892/ijo.2022.5418
  • Expand metrics +
Metrics: Total Views: 0 (Spandidos Publications: | PMC Statistics: )
Metrics: Total PDF Downloads: 0 (Spandidos Publications: | PMC Statistics: )
Cited By (CrossRef): 0 citations Loading Articles...

This article is mentioned in:



Abstract

Epithelial ovarian cancer (EOC) is divided into type I and type II based on histopathological features. Type I is clinically more indolent, but also less sensitive to chemotherapy, compared with type II. The basis for this difference is not fully clarified. The present study investigated the pattern of drug activity in type I and type II EOC for standard cytotoxic drugs and recently introduced tyrosine kinase inhibitors (TKIs), and assessed the association with treatment history and clinical outcome. Isolated EOC tumor cells obtained at surgery were investigated for their sensitivity to seven standard cytotoxic drugs and nine TKIs using a short‑term fluorescent microculture cytotoxicity assay (FMCA). Drug activity was compared with respect to EOC subtype, preoperative chemotherapy, cross‑resistance and association with progression‑free survival (PFS). Out of 128 EOC samples, 120 samples, including 21 type I and 99 type II, were successfully analyzed using FMCA. Patients with EOC type I had a significantly longer PFS time than patients with EOC type II (P=0.01). In line with clinical experience, EOC type I samples were generally more resistant than type II samples to both standard cytotoxic drugs and the TKIs, reaching statistical significance for cisplatin (P=0.03) and dasatinib (P=0.002). A similar pattern was noted in samples from patients treated with chemotherapy prior to surgery compared with treatment‑naive samples, reaching statistical significance for fluorouracil, irinotecan, dasatinib and nintedanib (all P<0.05). PFS time gradually shortened with increasing degree of drug resistance. Cross‑resistance between drugs was in most cases statistically significant yet moderate in degree (r<0.5). The clinically observed relative drug resistance of EOC type I, as well as in patients previously treated, is at least partly due to mechanisms in the tumor cells. These mechanisms seemingly also encompass kinase inhibitors. Ex vivo assessment of drug activity is suggested to have a role in the optimization of drug therapy in EOC.

Introduction

Ovarian cancer is the most lethal gynecological malignancy, responsible for >200,000 deaths globally in 2020 (1). The most common form is epithelial ovarian cancer (EOC). However, despite major research efforts, the exact origin and early pathogenesis of EOC are still not fully understood. EOC can include cells of origin from both the ovarian surface epithelium and the fallopian tube (2). Moreover, EOC is not a single disease, but a heterogenic group of tumors that can be classified by their genetic and histological features. In 2004, Shih and Kurman (3) suggested a dualistic model, with type I and type II EOC, and this model has been helpful in understanding EOC development and tumor biology. Thus, type I (low-grade serous G1, low-grade endometrioid G1/G2, mucinous or clear cell) tumors are associated with corresponding benign ovarian cystic neoplasms, often developing through an intermediate borderline step and have a better prognosis. Type II (high-grade serous G2/G3, high-grade endometrioid G3 or carcinosarcoma) tumors are highly aggressive and genetically unstable tumors that most often present at advanced stages and are responsible for the majority of EOC-associated deaths (3,4).

In most cases, modern treatment of ovarian cancer includes radical cytoreductive surgery, followed by platinum- and paclitaxel-based systemic chemotherapy (5-7). However, current treatment regimens are far from optimal (8). The histopathology of ovarian cancer is heterogeneous, and each subtype harbors specific genetic mutations that can be used for diagnostics and targeted treatment. New drugs target some of the stepwise genetic mutations the neoplastic cells gain to become masters of their growth and proliferation (9). For example, tyrosine kinases play a critical role in growth factor signaling and sustained proliferation, and all histopathological subtypes of EOC seem to have modifications in growth factor signaling. For instance, EOC type I tumors typically are chemoresistant tumors that harbor mutations in BRAF, KRAS and PIK3CA (10).

Tyrosine kinase inhibitors (TKIs) have been trialled in EOC, and one review has summarized the results of 75 completed and ongoing clinical trials (11). While there is still some promise for a few TKIs, the overall findings point to low efficacy (12-15). Furthermore, with the exception of poly(ADP-ribose) polymerase-inhibitors and BRCA1/2 mutations, current systemic treatments are usually based on group-level clinical trial data and do not consider histopathology, molecular characterization or individual drug sensitivity, even though it is well known that response rates to cancer drugs vary (16). As a result, individuals are at risk of side effects, while the tumor may be unresponsive to therapy (17). As clinicopathological parameters are insufficient for the prediction of response to chemotherapy, additional methods are needed to individualize treatment.

The present study used a short-term culture chemotherapy sensitivity assay to evaluate ex vivo EOC tumor cell sensitivity to established cytotoxic drugs and TKIs. The aim was to explore sensitivity patterns in the two EOC subtypes and in samples with or without previous exposure to cytotoxic drugs. Furthermore, the study aimed to explore cross-resistance between drugs and evaluate the association between drug sensitivity and progression-free survival (PFS) in the patients.

Materials and methods

Patients and tumor samples

In total, 128 patients scheduled for ovarian cancer surgery between May 2006 and December 2016 at Uppsala University Hospital (Uppsala, Sweden), Örebro University Hospital (Örebro, Sweden), Falun hospital (Falun, Sweden) and the private Uppsala Cancer Clinic (Uppsala, Sweden) were included in the study, with the majority included during the last 5 years. A successful chemotherapy sensitivity assay was obtained in 120 patients, and these were included for further analysis. Of these, 93 patients were scheduled for potentially curative cytoreductive surgery, whereas 18 underwent laparotomy, but were too advanced for cytoreductive surgery and underwent debulking surgery for symptom relief or only diagnostic laparotomy. As the private clinic closed during the study, information about surgery could not be obtained for the remaining 9 patients that were included at this site. However, at all sites, surgery was performed by gynecological surgeons and patient tumor burden was assessed according to the Peritoneal Cancer Index (PCI) (18) at the start of surgery. Residual disease after surgery was quantified according to the completeness of cytoreduction (CC) score (19,20), where a CC score of 0 (no macroscopic tumor left) and 1 (residual tumor <0.25 cm) were considered as complete cytoreduction. Preoperative performance status was classified according to the American Society of Anesthesiologists (ASA) Physical Status Classification System (21). Tumor samples were collected during surgery and immediately sent for ex vivo drug activity assessment.

Tumor sample classifications of type I (low-grade serous G1, low-grade endometrioid G1/G2, mucinous or clear cell) or type II (high-grade serous G2/G3, high-grade endometroid G3 or carcinosarcoma) made by an experienced pathologist at a Swedish tertiary care hospital were collected from the patient medical records (3).

Following surgery, patients started chemotherapy within 4 to 6 weeks, most commonly with paclitaxel 175 mg/m2 and carboplatin (area under the curve, 5). After completing treatment, patients were followed up with computed tomography (CT) scans, and then clinical examination, a transvaginal ultrasound and cancer antigen 125 assessment every 3 months for 2 years, every 6 months for another 3 years, and every 12 months up to 10 years. Findings at the clinical examination and/or increased tumor marker levels would trigger a CT scan for the verification of relapse (22). Characteristics of the patients included are detailed in Table I. Information on histopathological subtype, clinical characteristics, chemotherapy, surgery, disease status and survival were obtained from the medical records of Uppsala University Hospital and the other participating centers. Among patients in which complete cytoreduction (n=74) was achieved, data for PFS were collected until February 2017. All tumor sampling and data collection was performed once written informed consent had been obtained, and the study was approved by the Regional Ethical Committee in Uppsala (approval no. Dnr 2007/237).

Table I

Clinical characteristics of the ovarian cancer samples successfully analyzed ex vivo (n=120).

Table I

Clinical characteristics of the ovarian cancer samples successfully analyzed ex vivo (n=120).

CharacteristicValue
Mean age (range), years59 (19-81)
Mean BMI (range), kg/m225 (16-44)
ASA, n (%)
 116 (13.3)
 262 (51.7)
 321 (17.5)
 Unknown21 (17.5)
Histopathology, n (%)
 Type I21 (17.5)
  Low-grade serous13 (10.8)
  Low-grade endometroid3 (2.5)
  Mucinous2 (1.7)
  Clear cell3 (2.5)
 Type II99 (82.5)
  High-grade serous93 (77.5)
  High-grade endometroid3 (2.5)
  Carcinosarcoma3 (2.5)
Prior chemotherapy, n (%)52 (43.3)
Peritoneal cancer index, n (%)
 1-1011 (9.2)
 11-2030 (25.0)
 21-3944 (36.7)
 Unknown35 (29.2)
Operable, n (%)
 Yes93 (77.5)
 No18 (15.0)
 Unknown9 (7.5)
Complete cytoreductive surgery, n (%)a
 Yes74 (79.6)
 No18 (19.4)
 Not detailed1 (1.1)

a In patients in which curative surgery was attempted (n=93). ASA, American Society of Anesthesiology; BMI, body mass index.

Ex vivo assessment of drug sensitivity

The tumor specimens were kept in a transport culture medium at room temperature until cell preparation, which mostly started within 3 h of tumor sampling. Tumor cells were prepared by collagenase digestion as described previously (23). The cells obtained were mostly single cells or small cell clusters, in cell suspension, with ≥90% viability and <30% contaminating non-malignant cells, as judged by viability staining, using toluidine blue, and morphological examinations of May-Grünwald-Giemsa-stained cytocentrifuge preparations, respectively (Fig. S1). Cytocentrifuge glasses (100 µl, 700 g; 5 min at room temperature) were stained using May-Grünwald for 5 min followed by Giemsa stain for 10 min. The glasses were then left to air dry, in room temperature, before examination using light microscopy.

Seven standard solid tumor cytotoxic drugs and nine recently introduced TKIs with different indications were tested ex vivo. The drugs were commercially available clinical preparations (cisplatin) or obtained from Selleck Chemicals (oxaliplatin and crizotinib), MilliporeSigma (irinotecan and 5-fluorouracil) or LC Laboratories (gemcitabine, dasatinib, docetaxel, doxorubicin, erlotinib, lapatinib, nintedanib, regorafenib, sorafenib and sunitinib). From 2006 until mid-2013, the drugs were tested at three 10-fold dilutions from the maximal concentration of 1,000 µM for 5-fluorouracil (5-FU), gemcitabine and irinotecan, and 100 µM for oxaliplatin, cisplatin, docetaxel, doxorubicin, erlotinib, lapatinib, sorafenib and sunitinib. From mid-2013, five concentrations were tested with four three-fold dilutions from a lowered maximal concentration, including some recently introduced TKIs: 180 µM for 5-FU and irinotecan, 90 µM for oxaliplatin, docetaxel, gemcitabine, crizotinib, dasatinib, erlotinib, lapatinib, nintedanib, regorafenib, sorafenib and sunitinib, 45 µM for doxorubicin and vemurafenib, and finally 30 µM for cisplatin. The drug concentrations used ex vivo were chosen empirically to produce concentration-response curves allowing estimation of the half maximal inhibitory concentrations (IC50), i.e., the drug concentration producing a cell survival rate of 50% compared with the unexposed control. From 2006 until mid-2013, 384-well microplates (Nalge Nunc International) were prepared with 5 µl drug solution at 10 times the final drug concentration using the pipetting robot BioMek 2000 (Beckman Coulter, Inc.). The plates were prepared freshly every 3 months, tested for stability, and then stored at -70°C until further use.

The semiautomated fluorometric microculture cytotoxicity assay (FMCA) assessed drug sensitivity (24,25). Briefly, tumor cells from patient samples (5,000 cells/well) in 45 µl RPMI 1640 culture medium [supplemented with 10% fetal calf serum, glutamine and penicillin-streptomycin (all from MilliporeSigma)] were seeded in the drug-prepared 384-well plates using the pipetting robot Precision 2000 (Bio-Tek Instruments, Inc.). From mid-2013, the drugs were added immediately after cell seeding using the liquid handling system ECHO® 550 (Labcyte, Inc.). This allowed for fast transfer of volumes ≥2.5 nl from source plates into destination wells. In ECHO® experiments, source plates were prepared with appropriate concentrations of drugs in DMSO (except cisplatin, where the clinical preparation was used) and stored in the oxygen and moisture free MiniPod™ system (Roylan Developments Ltd.) until further use. The method for drug addition did not affect the assay results. Three columns without drugs served as negative controls, and one column with medium only served as a blank control.

The culture plates were incubated at 37°C in a humidified atmosphere containing 95% air and 5% CO2. After 72 h of incubation, the culture medium was washed away and 50 µl/well of a physiological buffer containing 10 µg/ml of the vital dye fluorescein diacetate (FDA) was added to the negative control, experimental and blank control wells. After incubation for 30-45 min at 37°C, the fluorescence from each well was read in a FluosStar Optima (BMG Labtech GmbH).

Quality criteria for a successful assay were: ≥70% tumor cells in the cell preparation before incubation and/or on the assay day, a fluorescence signal in control cultures of ≥5 times the mean blank values and a coefficient of variation of cell survival in control cultures of ≤30%. A total of 8 out of the 128 samples (6%) did not fulfill these quality criteria and were not included in the results presentation. The results obtained by the viability indicator FDA were calculated as the survival index (SI), defined as the fluorescence of the drug-exposed wells as a percentage of control cultures, with blank values subtracted: SI (%)=100×[(Fexperimental-Fblank control)/(Fnegative control-Fblank control)], where Fi corresponds to the average fluorescence signal in i=experimental, negative control and blank control wells, respectively.

Data evaluation and statistical analysis

IC50 calculations and statistical analyses thereof were performed using GraphPad Prism version 5.0 for Mac (GraphPad Software, Inc.). Drug IC50 was calculated using non-linear regression to a standard sigmoidal dose-response model. Sample sensitivity for regression analysis was categorized as follows: Low drug resistance (LDR), IC50 below the median; intermediate drug resistance (IDR), IC50 between the median and the median plus one standard deviation (SD); or extreme drug resistance (EDR), IC50 above the median plus one SD, based on all samples investigated ex vivo (24-26). Drug sensitivity correlations for assessment of cross-resistance were calculated at the drug concentration where the tumor samples showed the greatest scatter of SI-values and evaluated using the Pearson correlation test in GraphPad Prism (Graphpad Software, Inc.).

As the IC50 values for the drugs did not follow a normal distribution as evaluated by Shapiro-Wilk and Kolmogorov-Smirnov tests, comparisons between histopathological subtypes and those who had or had not received preoperative cytotoxic drug treatment were made by Mann-Whitney U test. The prognostic importance of ex vivo drug sensitivity on PFS was evaluated using the Cox proportional hazard model in SPSS version 28.0 (IBM Corp.). Several confounders were tested in these analyses, but the only one with significant influence was the EOC tumor type. Due to the prognostic value of the EOC tumor type, subsequent analysis of the importance of ex vivo drug sensitivity was performed in patients with type II tumors only (n=61), with adjustment for ASA class and PCI. The significance level for all statistical tests was set to P<0.05. Data are presented as the mean ± SD unless otherwise stated.

Results

A successful ex vivo assay was obtained in 120 out of 128 samples (94%). The remaining 8 samples did not pass technical quality control (see Materials and methods section for details). A total of 99 patients had type II tumors, of which 93 had high-grade serous histology (Table I). Among the patients with type I tumors (n=21), low-grade serous histology was the most common type. A total of 52 patients (43%) had received chemotherapy prior to surgery, 50 of these with paclitaxel and carboplatin. According to the ASA classification, most patients had no or mild functional limitation (Table I). Curative cytoreductive surgery was attempted in 93 patients and was achieved in 74 (80%), of which 13 had type I and 61 type II tumors, respectively.

As expected, patients with complete cytoreduction and type I tumors had longer PFS times than patients with type II tumors, at 60.9 months (95% CI, 41.7-80.2) vs. 32.0 months (95% CI, 20.9-43.0) (Fig. 1).

Figure 1

Progression-free survival of patients with complete cytoreductive surgery (n=74) divided into those with type I and type II epithelial ovarian cancer.

Cytotoxic drug sensitivity varied considerably between patient samples, as indicated by the high SDs in the IC50 values for the tested drugs (Table II). Tumors previously exposed to chemotherapy were less sensitive, i.e., had higher IC50, to all cytotoxic drugs and to three out of the nine kinase inhibitors, reaching statistical significance for 5-FU, irinotecan, dasatinib and nintedanib. Notably, for cisplatin, the difference in sensitivity with respect to treatment status was minimal, and for erlotinib, sorafenib and sunitinib, samples from previously treated patients were slightly more, although not statistically significantly, sensitive compared with treatment naïve samples.

Table II

Half maximal inhibitory concentration values for standard drugs in ovarian cancer samples (n=120), according to preoperative cytotoxic drug treatment and histopathological subtype.

Table II

Half maximal inhibitory concentration values for standard drugs in ovarian cancer samples (n=120), according to preoperative cytotoxic drug treatment and histopathological subtype.

DrugTotal patients, nPreoperative cytotoxic drug treatment
Histopathological subtype
Yes (n=52)No (n=68)P-valueType I (n=21)Type II (n=99)P-value
Cytotoxic
 5-FU, µM119309±328171±1810.015a267±313224±2540.806
 Oxaliplatin, µM11832.9±32.122.8±24.20.05535.3±37.025.4±25.90.557
 Cisplatin, µM10611.9±15.410.0±14.20.12616.5±22.59.81±12.60.030a
 Docetaxel, µM10545.9±46.742.0±38.00.89565.7±66.539.2±34.60.321
 Irinotecan, µM11990.8±79.966.7±62.20.021a85.4±75.175.5±70.60.378
 Doxorubicin, µM1071.77±3.371.10±1.530.0851.66±1.641.37±2.730.081
 Gemcitabine, µM92396±386240±3350.058253±330314±3700.651
TKI
 Crizotinib, µM6916.7±23.69.44±16.10.05320.2±27.111.0±18.00.064
 Dasatinib, µM6711.3±11.26.64±9.040.013a18.3±13.66.71±8.350.002a
 Erlotinib, µM9261.3±35.662.0±36.80.87457.3±37.062.6±36.00.612
 Lapatinib, µM7515.9±24.214.2±18.50.87716.0±19.914.6±20.90.686
 Nintedanib, µM4423.8±29.511.5±21.70.008a26.4±36.014.0±23.30.171
Regorafenib, µM7115.4±7.9112.4±9.050.05414.0±7.6813.6±8.880.607
 Sorafenib, µM9913.8±9.8915.4±18.40.56012.5±7.4415.1±16.30.879
 Sunitinib, µM1045.14±3.726.42±6.890.5596.93±6.525.62±5.490.735
 Vemurafenib, µM6232.3±11.929.7±12.30.36237.7±11.929.5±11.80.066

a P<0.05. Comparisons made by Mann-Whitney U-test. Data are presented as the mean ± standard deviation. 5-FU, 5-fluorouracil; tyrosine kinase inhibitor.

Compared with type I tumors, type II tumors were more sensitive to all drugs except gemcitabine, reaching statistical significance for cisplatin (Table II). The pattern was similar for the TKIs, with type II tumors being more sensitive to all TKIs except for erlotinib and sorafenib, with statistical significance for dasatinib.

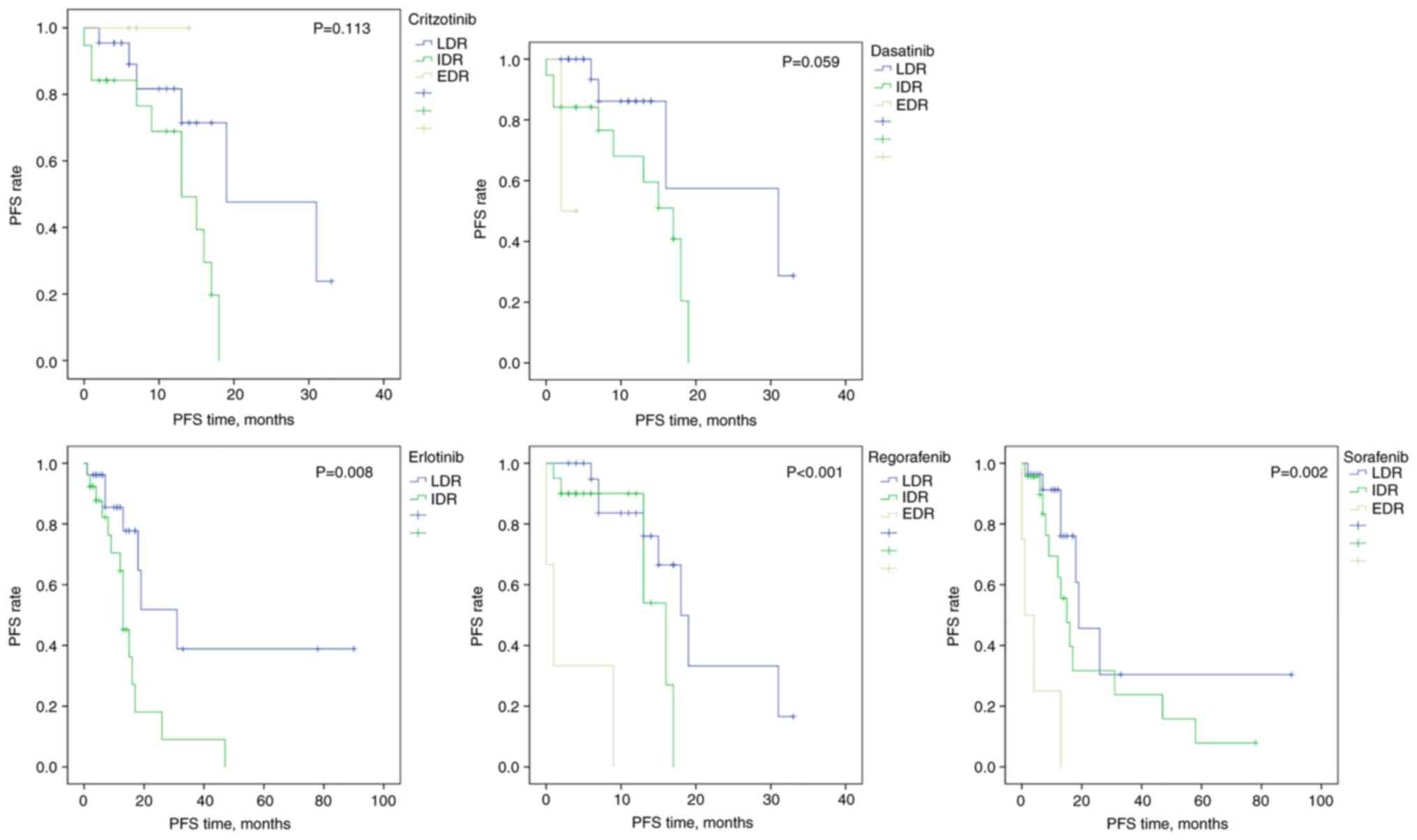
To remove the prognostic influence of tumor type, the analysis of PFS was performed separately for patients with type II tumors with complete cytoreduction (n=61). For all drugs either IDR and/or EDR were associated with a higher risk of progression compared with those with LDR (adjusted HR >1), reaching statistical significance for the kinase inhibitors crizotinib, dasatinib, erlotinib, regorafenib and sorafenib (Table III), although the resistance classification was not significant overall for crizotinib and dasatinib (Fig. 2).

Figure 2

Progression-free survival of patients with type II epithelial ovarian cancer and complete cytoreductive surgery (n=61) based on ex vivo activity of the tyrosine kinase inhibitors indicated and found to provide statistically significant prognostic information, as detailed in Table III. Drug activity was classified into LDR, IDR and EDR as detailed in the Materials and methods section. Overall P-values for the activity classification, as obtained in the Cox proportional hazard regression, is indicated for each drug. All samples were not investigated for all drugs and, therefore, the number of data points does not necessarily add up to 61 in each panel. LDR, low drug resistance; IDR, intermediate drug resistance; EDR, extreme drug resistance.

Table III

Multivariable Cox regression model for progression-free survival according to drug sensitivity in patients with type II ovarian cancer who underwent complete cytoreductive surgery (n=61)a.

Table III

Multivariable Cox regression model for progression-free survival according to drug sensitivity in patients with type II ovarian cancer who underwent complete cytoreductive surgery (n=61)a.

DrugnAdjusted HR95% CIP-value
5-FU
 Low drug resistance291.00
 Intermediate drug resistance261.270.55-2.920.575
 Extreme drug resistance41.670.52-5.420.391
Oxaliplatin
 Low drug resistance281.00
 Intermediate drug resistance221.810.73-4.470.198
 Extreme drug resistance82.440.73-8.170.148
Cisplatin
 Low drug resistance281.00
 Intermediate drug resistance260.920.41-2.070.841
 Extreme drug resistance23.650.76-17.210.102
Docetaxel
 Low drug resistance271.00
 Intermediate drug resistance241.180.48-2.930.715
 Extreme drug resistance52.690.64-11.340.179
Irinotecan
 Low drug resistance291.00
 Intermediate drug resistance261.560.67-3.620.305
 Extreme drug resistance41.400.37-5.220.617
Doxorubicin
 Low drug resistance281.00
 Intermediate drug resistance271.630.69-3.890.268
 Extreme drug resistance21.570.17-14.430.693
Gemcitabin
 Low drug resistance251.00
 Intermediate drug resistance171.600.58-4.420.367
 Extreme drug resistance91.710.55-5.320.358
Crizotinib
 Low drug resistance221.00
 Intermediate drug resistance193.491.08-11.250.037b
 Extreme drug resistance3--0.988c
Dasatinib
 Low drug resistance221.00
 Intermediate drug resistance193.340.90-12.390.072
 Extreme drug resistance216.371.25-2130.033b
Erlotinib
 Low drug resistance261.00
 Intermediate drug resistance253.831.42-10.350.008b
 Extreme drug resistance0
Lapatinib
 Low drug resistance241.00
 Intermediate drug resistance201.390.52-3.770.514
 Extreme drug resistance31.090.23-5.300.913
Nintedanib
 Low drug resistance171.00
 Intermediate drug resistance141.280.17-9.390.812
 Extreme drug resistance34.720.59-37.870.144
Regorafenib
 Low drug resistance221.00
 Intermediate drug resistance203.070.89-15.380.071
 Extreme drug resistance328.314.95-1610.001b
Sorafenib
 Low drug resistance261.00
 Intermediate drug resistance232.280.85-6.130.102
 Extreme drug resistance411.222.96-42.550.001b
Sunitinib
 Low drug resistance281.00
 Intermediate drug resistance261.210.53-2.780.646
 Extreme drug resistance21.880.22-15.790.563
Vemurafenib
 Low drug resistance221.00
 Intermediate drug resistance181.510.49-4.650.472
 Extreme drug resistance0

a Adjusted for Peritoneal Cancer Index group and American Society of Anesthesiology.

b P<0.05.

c No adjusted HR estimates obtained (all patients censored). CI, confidence interval; HR, hazard ratio; 5-FU, 5-fluorouracil.

Cross-resistance between the key ovarian cancer drug cisplatin and certain selected cytotoxic drugs and TKIs was modest or statistically significant in most cases, except for between cisplatin and nintedanib, where there was an absence of cross-resistance (Table IV).

Table IV

Correlations of survival index (%) and linear regression slope between the pairs of drugs indicateda.

Table IV

Correlations of survival index (%) and linear regression slope between the pairs of drugs indicateda.

Drug pairrSlopeP-value
Cisplatin/5-FU0.4990.398±0.1200.0023b
Cisplatin/oxaliplatin0.3070.243±0.0880.0075b
Cisplatin/docetaxel0.2700.349±0.1370.0130b
Cisplatin/irinotecan0.2240.249±0.1890.1962
Cisplatin/doxorubicin0.3010.276±0.1520.0792
Cisplatin/lapatinib0.3440.0335±0.1160.0051b
Cisplatin/nintedanib0.0260.040±0.2160.8539
Cisplatin/sorafenib0.3360.309±0.1010.0030b
Cisplatin/sunitinib0.3850.354±0.0990.0006b
Sorafenib/regorafenib0.3570.325±0.1000.0018b

a Concentrations selected for analyses were 10 µM cisplatin, 1 µM doxorubicin, 20 µM docetaxel, 1,000 µM 5-FU, 100 µM irinotecan, 30 µM oxaliplatin, 10 µM sorafenib, 10 µM sunitinib, 10 µM nintedanib and 10 µM regorafenib. The number of data points for correlations ranged from 35-113.

b P<0.05. 5-FU, 5-fluorouracil.

Discussion

Type I epithelial ovarian tumors are reported to have a better prognosis than the highly aggressive and genetically more unstable type II tumors (4). This assumption was also confirmed in the present study. Type II tumors are characterized by initial sensitivity to cytotoxic agents that often affect DNA repair pathways. By contrast, type I tumors show more indolent behavior and are less sensitive to conventional treatment than type II tumors (27,28). The ex vivo results reported in the present study are in line with this clinical experience. The type I tumors were generally less sensitive to cytotoxic agents than the type II tumors, typically illustrated by the difference for cisplatin. Hence, the difference in PFS in favor of the type I histology combined with the reduced cytotoxic drug sensitivity in type I tumors suggests that the overall improved prognosis is due to their more indolent tumor biology. To improve the prognosis in type I tumors further, the present study points to erlotinib and sorafenib as drugs with some promise to be relatively active in this subgroup. However, the limited clinical experience with erlotinib and sorafenib in EOC points to very low activity, but available studies have not reported on histopathological subgroups (12-15).

Furthermore, the present study observed a stepwise increase in risk for disease progression or death with decreasing drug sensitivity. This finding, that the clinical pattern of drug activity is reflected in an ex vivo total cell kill assay like the FMCA, lends support for a clinical role for such assays in clinical treatment decision-making for cancer drug therapy in EOC, much in line with the findings by von Heideman et al (29). This pattern of drug sensitivity also applied to most TKIs and was also observed when comparing samples from previously untreated and treated patients, indicating that cancer drug resistance is somewhat of a general phenomenon and not isolated to one or a few individual drugs. This means that once drug resistance has been observed in the clinic, the probability that another drug, irrespective of mechanistic class, will work decreases. However, given the considerable variability and modest cross-resistance between drugs, response in later line therapy is not excluded.

Samples from patients previously exposed to cytotoxic drugs generally tended to be more resistant to most drugs than samples from unexposed patients. This observation is in line with clinical experience and findings, supporting the notion that exposure to cytotoxic treatments contributes to development of more or less general resistance mechanisms (30). Induced chemoresistance seems to be less or absent for cisplatin, supporting the fact that platinum is often active even in treating relapses (31). On the other hand, resistance to the TKIs after exposure varied, but was seemingly less pronounced than for standard cytotoxic drugs. Sorafenib and sunitinib seemingly lack development of resistance after prior cytotoxic drug exposure, and they may be notable drugs for further investigation in the treatment of resistant disease (32); however, as aforementioned, the results from limited clinical experience with these drugs is not very promising (12-15).

A limitation of the present study was that the genetic constitution of the tumors was not available for use as a covariate. Such data would enable an integrated precision medicine study in which novel genetic markers for effect could be identified.

Drug sensitivity varied considerably between patient samples, indicating that ex vivo drug sensitivity testing may be helpful prior to the treatment of patients with EOC. Previous studies with FMCA and similar assays have proven useful in providing prognostic information (29,33,34). On the other hand, assay-based drug selection for EOC treatment has shown variable results. A randomized controlled trial with 180 patients suggested a trend towards improved responses and more prolonged PFS time from assay-guided therapy. Still, no significant impact on overall survival could be demonstrated (35). In another comparative yet non-randomized trial in patients with EOC relapse, a cell-based assay was useful and revealed longer PFS and overall survival times in patients with platinum-sensitive disease (36).

In the present study, the cross-resistance in vitro between the platinum drugs cisplatin and oxaliplatin was modest and significant, in line with previous findings in preclinical and clinical settings (37-40) Oxaliplatin differs somewhat from cisplatin concerning mechanism of action and resistance (30). Oxaliplatin is effective in EOC, but cisplatin is the platinum drug established in first-line treatment of EOC (41,42). Previously published FMCA EOC results suggested no cross-resistance between docetaxel and cisplatin, supporting different pathways of action and clinical benefits with combinations of platinum and docetaxel in EOC treatment (29,43-45). Cross-resistance between cisplatin and docetaxel was modest to low in the present study and supported the suitability of clinical use of this combination.

In conclusion, ex vivo assessment of drug activity based on total cell kill reveals that EOC type I and II are differently sensitive to standard cytotoxic drugs and recently introduced TKIs, and that none of these seem very promising for the treatment of drug-resistant type I disease. Ex vivo reported tumor cell drug sensitivity in EOC is in line with clinical experience and outcome, pointing towards a role for such assays to optimize drug therapy in EOC.

Supplementary Data

Availability of data and materials

The datasets used and/or analyzed during the current study are available from the corresponding author on reasonable request.

Authors' contributions

KBj, ISP, RL and PN were responsible for study conception and design. Drug sensitivity assays were performed by KBl. KBj, KBl, ISP, KS, AML, FB, ÅN, CA, RL and PN were responsible for data acquisition, analysis and interpretation. KBj and PN drafted the manuscript followed by its review and revision by all authors. All authors approved the final manuscript and take responsibility for its content. KBj, KBl and PN confirm the authenticity of all the raw data.

Ethics approval and consent to participate

All tumor sampling and data collection was performed once written informed consent had been obtained, and the study was approved by the Regional Ethical Committee in Uppsala (approval no. Dnr 2007/237).

Patient consent for publication

Not applicable.

Competing interests

The authors declare that they have no competing interests.

Acknowledgments

The authors would like to thank Ms. Annika Jonasson and Mrs. Anna-Karin Lannergård from Uppsala University Hospital (Uppsala, Sweden) for providing skillful technical assistance.

Funding

This study was supported by grants from the Swedish Cancer Society (no. 17 0661), the Uppsala-Örebro Regional Research Fund (no. RFR-228691) and the Lions Research Cancer Fund (no. 2014).

Abbreviations:

5-FU

5-fluorouracil

ASA

American Society of Anesthesiology

CC

completeness of cytoreduction

CT

computed tomography

EDR

extreme drug resistance

EOC

epithelial ovarian cancer

FMCA

fluorometric microculture cytotoxicity assay

LDR

low drug resistance

PCI

Peritoneal Cancer Index

PFS

progression-free survival

SD

standard deviation

TKI

tyrosine kinase inhibitor

References

1 

Sung H, Ferlay J, Siegel RL, Laversanne M, Soerjomataram I, Jemal A and Bray F: Global cancer statistics 2020: GLOBOCAN estimates of incidence and mortality worldwide for 36 cancers in 185 countries. CA Cancer J Clin. 71:209–249. 2021. View Article : Google Scholar : PubMed/NCBI

2 

Zhang S, Dolgalev I, Zhang T, Ran H, Levine DA and Neel BG: Both fallopian tube and ovarian surface epithelium are cells-of-origin for high-grade serous ovarian carcinoma. Nat Commun. 10:53672019. View Article : Google Scholar : PubMed/NCBI

3 

Shih IeM and Kurman RJ: Ovarian Tumorigenesis: A Proposed model based on morphological and molecular genetic analysis. Am J Pathol. 164:1511–1518. 2004. View Article : Google Scholar : PubMed/NCBI

4 

Kurman RJ and Shih IeM: The origin and pathogenesis of epithelial ovarian cancer: A proposed unifying theory. Am J Surg Pathol. 34:433–443. 2010. View Article : Google Scholar : PubMed/NCBI

5 

Chang SJ, Bristow RE, Chi DS and Cliby WA: Role of aggressive surgical cytoreduction in advanced ovarian cancer. J Gynecol Oncol. 26:336–342. 2015. View Article : Google Scholar : PubMed/NCBI

6 

McGuire WP, Hoskins WJ, Brady MF, Kucera PR, Partridge EE, Look KY, Clarke-Pearson DL and Davidson M: Cyclophosphamide and Cisplatin compared with paclitaxel and Cisplatin in patients with stage III and stage IV ovarian cancer. N Engl J Med. 334:1–6. 1996. View Article : Google Scholar : PubMed/NCBI

7 

Bookman MA, McGuire WP III, Kilpatrick D, Keenan E, Hogan WM, Johnson SW, O'Dwyer P, Rowinsky E, Gallion HH and Ozols RF: Carboplatin and paclitaxel in ovarian carcinoma: A phase I study of the gynecologic oncology group. J Clin Oncol. 14:1895–1902. 1996. View Article : Google Scholar : PubMed/NCBI

8 

Lheureux S, Karakasis K, Kohn EC and Oza AM: Ovarian cancer treatment: The end of empiricism? Cancer. 121:3203–3211. 2015. View Article : Google Scholar : PubMed/NCBI

9 

Hanahan D and Weinberg RA: Hallmarks of cancer: The next generation. Cell. 144:646–674. 2011. View Article : Google Scholar : PubMed/NCBI

10 

Despierre E, Yesilyurt BT, Lambrechts S, Johnson N, Verheijen R, van der Burg M, Casado A, Rustin G, Berns E, Leunen K, et al: Epithelial ovarian cancer: Rationale for changing the one-fits-all standard treatment regimen to subtype-specific treatment. Int J Gynecol Cancer. 24:468–477. 2014. View Article : Google Scholar : PubMed/NCBI

11 

Ntanasis-Stathopoulos I, Fotopoulos G, Tzanninis IG and Kotteas EA: The emerging role of tyrosine kinase inhibitors in ovarian cancer treatment: A systematic review. Cancer Invest. 34:313–339. 2016. View Article : Google Scholar : PubMed/NCBI

12 

Farley J, Brady WE, Vathipadiekal V, Lankes HA, Coleman R, Morgan MA, Mannel R, Yamada SD, Mutch D, Rodgers WH, et al: Selumetinib in women with recurrent low-grade serous carcinoma of the ovary or peritoneum: An open-label, Single-arm, Phase 2 study. Lancet Oncol. 14:134–140. 2013. View Article : Google Scholar :

13 

Matei D, Sill MW, Lankes HA, DeGeest K, Bristow RE, Mutch D, Yamada SD, Cohn D, Calvert V, Farley J, et al: Activity of sorafenib in recurrent ovarian cancer and primary peritoneal carcinomatosis: A Gynecologic Oncology Group trial. J Clin Oncol. 29:69–75. 2011. View Article : Google Scholar :

14 

Hainsworth JD, Thompson DS, Bismayer JA, Gian VG, Merritt WM, Whorf RC, Finney LH and Dudley BS: Paclitaxel/carboplatin with or without sorafenib in the first-line treatment of patients with stage III/IV epithelial ovarian cancer: A randomized phase II study of the Sarah Cannon Research Institute. Cancer Med. 4:673–681. 2015. View Article : Google Scholar : PubMed/NCBI

15 

Vergote IB, Jimeno A, Joly F, Katsaros D, Coens C, Despierre E, Marth C, Hall M, Steer CB, Colombo N, et al: Randomized phase III study of erlotinib versus observation in patients with no evidence of disease progression after first-line platin-based chemotherapy for ovarian carcinoma: A European Organisation for Research and Treatment of Cancer-Gynaecological Cancer Group, and Gynecologic Cancer Intergroup study. J Clin Oncol. 32:320–326. 2014. View Article : Google Scholar

16 

Omura GA, Brady MF, Homesley HD, Yordan E, Major FJ, Buchsbaum HJ and Park RC: Long-term follow-up and prognostic factor analysis in advanced ovarian carcinoma: The Gynecologic Oncology Group experience. J Clin Oncol. 9:1138–1150. 1991. View Article : Google Scholar : PubMed/NCBI

17 

Blumenthal RD and Goldenberg DM: Methods and goals for the use of in vitro and in vivo chemosensitivity testing. Mol Biotechnol. 35:185–197. 2007. View Article : Google Scholar : PubMed/NCBI

18 

Sugarbaker PH: Peritonectomy procedures. Ann Surg. 221:29–42. 1995. View Article : Google Scholar : PubMed/NCBI

19 

Sugarbaker PH: Management of peritoneal-surface malignancy: The surgeon's role. Langenbecks Arch Surg. 384:576–487. 1999. View Article : Google Scholar

20 

Moran B, Baratti D, Yan TD, Kusamura S and Deraco M: Consensus statement on the loco-regional treatment of appendiceal mucinous neoplasms with peritoneal dissemination (pseudomyxoma peritonei). J Surg Oncol. 98:277–282. 2008. View Article : Google Scholar : PubMed/NCBI

21 

ASA Physical Status Classification System. American Society of Anesthesiologists (ASA); December 13–2020

22 

Moore RG, MacLaughlan S and Bast RC Jr: Current state of biomarker development for clinical application in epithelial ovarian cancer. Gynecol Oncol. 116:240–245. 2010. View Article : Google Scholar

23 

Csóka K, Tholander B, Gerdin E, de La Torre M, Larsson R and Nygren P: In vitro determination of cytotoxic drug response in ovarian carcinoma using the fluorometric microculture cytotoxicity assay (FMCA). Int J Cancer. 72:1008–1012. 1997. View Article : Google Scholar : PubMed/NCBI

24 

Lindhagen E, Nygren P and Larsson R: The fluorometric microculture cytotoxicity assay. Nat Protoc. 3:1364–1369. 2008. View Article : Google Scholar : PubMed/NCBI

25 

Blom K, Nygren P, Alvarsson J, Larsson R and Andersson CR: Ex vivo assessment of drug activity in patient tumor cells as a basis for tailored cancer therapy. J Lab Autom. 21:178–187. 2016. View Article : Google Scholar

26 

Larsson R, Fridborg H, Kristensen J, Sundström C and Nygren P: In vitro testing of chemotherapeutic drug combinations in acute myelocytic leukaemia using the fluorometric microculture cytotoxicity assay (FMCA). Br J Cancer. 67:969–974. 1993. View Article : Google Scholar : PubMed/NCBI

27 

Schmeler KM, Sun CC, Bodurka DC, Deavers MT, Malpica A, Coleman RL, Ramirez PT and Gershenson DM: Neoadjuvant chemotherapy for low-grade serous carcinoma of the ovary or peritoneum. Gynecol Oncol. 108:510–514. 2008. View Article : Google Scholar

28 

Gershenson DM, Sun CC, Bodurka D, Coleman RL, Lu KH, Sood AK, Deavers M, Malpica AL and Kavanagh JJ: Recurrent low-grade serous ovarian carcinoma is relatively chemoresistant. Gynecol Oncol. 114:48–52. 2009. View Article : Google Scholar : PubMed/NCBI

29 

von Heideman A, Tholander B, Grundmark B, Cajander S, Gerdin E, Holm L, Axelsson A, Rosenberg P, Mahteme H, Daniel E, et al: Chemotherapeutic drug sensitivity of primary cultures of epithelial ovarian cancer cells from patients in relation to tumour characteristics and therapeutic outcome. Acta Oncol. 53:242–250. 2014. View Article : Google Scholar

30 

Agarwal R and Kaye SB: Ovarian cancer: Strategies for overcoming resistance to chemotherapy. Nat Rev Cancer. 3:502–516. 2003. View Article : Google Scholar : PubMed/NCBI

31 

Parmar MKB, Ledermann JA, Colombo N, du Bois A, Delaloye JF, Kristensen GB, Wheeler S, Swart AM, Qian W, Torri V, et al: Paclitaxel plus platinum-based chemotherapy versus conventional platinum-based chemotherapy in women with relapsed ovarian cancer: The ICON4/AGO-OVAR-2.2 trial. Lancet. 361:2099–2106. 2003. View Article : Google Scholar : PubMed/NCBI

32 

Jelovac D and Armstrong DK: Recent progress in the diagnosis and treatment of ovarian cancer. CA Cancer J Clin. 61:183–203. 2011. View Article : Google Scholar : PubMed/NCBI

33 

Bjersand K, Mahteme H, Sundström Poromaa I, Andréasson H, Graf W, Larsson R and Nygren P: Drug sensitivity testing in cytoreductive surgery and intraperitoneal chemotherapy of pseudomyxoma peritonei. Ann Surg Oncol. 22(Suppl 3): S810–S816. 2015. View Article : Google Scholar : PubMed/NCBI

34 

Herzog TJ, Krivak TC, Fader AN and Coleman RL: Chemosensitivity testing with ChemoFx and overall survival in primary ovarian cancer. Am J Obstet Gynecol. 203:68.e1–e6. 2010. View Article : Google Scholar

35 

Cree IA, Kurbacher CM, Lamont A, Hindley AC and Love S: A prospective randomized controlled trial of tumour chemosensitivity assay directed chemotherapy versus physician's choice in patients with recurrent platinum-resistant ovarian cancer. Anticancer Drugs. 18:1093–1101. 2007. View Article : Google Scholar : PubMed/NCBI

36 

Loizzi V, Chan JK, Osann K, Cappuccini F, DiSaia PJ and Berman ML: Survival outcomes in patients with recurrent ovarian cancer who were treated with chemoresistance assay-guided chemotherapy. Am J Obstet Gynecol. 189:1301–1307. 2003. View Article : Google Scholar : PubMed/NCBI

37 

Rixe O, Ortuzar W, Alvarez M, Parker R, Reed E, Paull K and Fojo T: Oxaliplatin, tetraplatin, cisplatin, and carboplatin: Spectrum of activity in drug-resistant cell lines and in the cell lines of the National Cancer Institute 's Anticancer Drug Screen panel. Biochem Pharmacol. 52:1855–1865. 1996. View Article : Google Scholar : PubMed/NCBI

38 

Fojo T, Farrell N, Ortuzar W, Tanimura H, Weinstein J and Myers TG: Identification of non-cross-resistant platinum compounds with novel cytotoxicity profiles using the NCI anticancer drug screen and clustered image map visualizations. Crit Rev Oncol Hematol. 53:25–34. 2005. View Article : Google Scholar

39 

Bogliolo S, Cassani C, Gardella B, Musacchi V, Babilonti L, Venturini PL, Ferrero S and Spinillo A: Oxaliplatin for the treatment of ovarian cancer. Expert Opin Investig Drugs. 24:1275–1286. 2015. View Article : Google Scholar : PubMed/NCBI

40 

Vermorken JB: The integration of paclitaxel and new platinum compounds in the treatment of advanced ovarian cancer. Int J Gynecol Cancer. 11(Suppl 1): S21–S30. 2001. View Article : Google Scholar

41 

Herzog TJ, Monk BJ, Rose PG, Braly P, Hines JF, Bell MC, Wenham RM, Secord AA, Roman LD, Einstein MH, et al: A phase II trial of oxaliplatin, docetaxel, and bevacizumab as first-line therapy of advanced cancer of the ovary, peritoneum, and fallopian tube. Gynecol Oncol. 132:517–525. 2014. View Article : Google Scholar : PubMed/NCBI

42 

Perren TJ, Swart AM, Pfisterer J, Ledermann JA, Pujade-Lauraine E, Kristensen G, Carey MS, Beale P, Cervantes A, Kurzeder C, et al: A phase 3 trial of bevacizumab in ovarian cancer. N Engl J Med. 365:2484–2496. 2011. View Article : Google Scholar : PubMed/NCBI

43 

Jayson GC, Kohn EC, Kitchener HC and Ledermann JA: Ovarian cancer. Lancet. 384:1376–1388. 2014. View Article : Google Scholar : PubMed/NCBI

44 

Ozols RF, Bundy BN, Greer BE, Fowler JM, Clarke-Pearson D, Burger RA, Mannel RS, DeGeest K, Hartenbach EM and Baergen R; Gynecologic Oncology Group: Phase III trial of carboplatin and paclitaxel compared with cisplatin and paclitaxel in patients with optimally resected stage III ovarian cancer: A Gynecologic Oncology Group study. J Clin Oncol. 21:3194–3200. 2003. View Article : Google Scholar : PubMed/NCBI

45 

Vasey PA, Jayson GC, Gordon A, Gabra H, Coleman R, Atkinson R, Parkin D, Paul J, Hay A and Kaye SB; Scottish Gynaecological Cancer Trials Group: Phase III randomized trial of docetaxel-carboplatin versus paclitaxel-carboplatin as first-line chemotherapy for ovarian carcinoma. J Natl Cancer Inst. 96:1682–1691. 2004. View Article : Google Scholar : PubMed/NCBI

Related Articles

  • Abstract
  • View
  • Download
  • Twitter
Copy and paste a formatted citation
Spandidos Publications style
Bjersand K, Blom K, Poromaa IS, Stålberg K, Lejon A, Bäckman F, Nyberg Å, Andersson C, Larsson R, Nygren P, Nygren P, et al: <em>Ex vivo</em> assessment of cancer drug sensitivity in epithelial ovarian cancer and its association with histopathological type, treatment history and clinical outcome. Int J Oncol 61: 128, 2022.
APA
Bjersand, K., Blom, K., Poromaa, I.S., Stålberg, K., Lejon, A., Bäckman, F. ... Nygren, P. (2022). <em>Ex vivo</em> assessment of cancer drug sensitivity in epithelial ovarian cancer and its association with histopathological type, treatment history and clinical outcome. International Journal of Oncology, 61, 128. https://doi.org/10.3892/ijo.2022.5418
MLA
Bjersand, K., Blom, K., Poromaa, I. S., Stålberg, K., Lejon, A., Bäckman, F., Nyberg, Å., Andersson, C., Larsson, R., Nygren, P."<em>Ex vivo</em> assessment of cancer drug sensitivity in epithelial ovarian cancer and its association with histopathological type, treatment history and clinical outcome". International Journal of Oncology 61.4 (2022): 128.
Chicago
Bjersand, K., Blom, K., Poromaa, I. S., Stålberg, K., Lejon, A., Bäckman, F., Nyberg, Å., Andersson, C., Larsson, R., Nygren, P."<em>Ex vivo</em> assessment of cancer drug sensitivity in epithelial ovarian cancer and its association with histopathological type, treatment history and clinical outcome". International Journal of Oncology 61, no. 4 (2022): 128. https://doi.org/10.3892/ijo.2022.5418
Copy and paste a formatted citation
x
Spandidos Publications style
Bjersand K, Blom K, Poromaa IS, Stålberg K, Lejon A, Bäckman F, Nyberg Å, Andersson C, Larsson R, Nygren P, Nygren P, et al: <em>Ex vivo</em> assessment of cancer drug sensitivity in epithelial ovarian cancer and its association with histopathological type, treatment history and clinical outcome. Int J Oncol 61: 128, 2022.
APA
Bjersand, K., Blom, K., Poromaa, I.S., Stålberg, K., Lejon, A., Bäckman, F. ... Nygren, P. (2022). <em>Ex vivo</em> assessment of cancer drug sensitivity in epithelial ovarian cancer and its association with histopathological type, treatment history and clinical outcome. International Journal of Oncology, 61, 128. https://doi.org/10.3892/ijo.2022.5418
MLA
Bjersand, K., Blom, K., Poromaa, I. S., Stålberg, K., Lejon, A., Bäckman, F., Nyberg, Å., Andersson, C., Larsson, R., Nygren, P."<em>Ex vivo</em> assessment of cancer drug sensitivity in epithelial ovarian cancer and its association with histopathological type, treatment history and clinical outcome". International Journal of Oncology 61.4 (2022): 128.
Chicago
Bjersand, K., Blom, K., Poromaa, I. S., Stålberg, K., Lejon, A., Bäckman, F., Nyberg, Å., Andersson, C., Larsson, R., Nygren, P."<em>Ex vivo</em> assessment of cancer drug sensitivity in epithelial ovarian cancer and its association with histopathological type, treatment history and clinical outcome". International Journal of Oncology 61, no. 4 (2022): 128. https://doi.org/10.3892/ijo.2022.5418
Follow us
  • Twitter
  • LinkedIn
  • Facebook
About
  • Spandidos Publications
  • Careers
  • Cookie Policy
  • Privacy Policy
How can we help?
  • Help
  • Live Chat
  • Contact
  • Email to our Support Team