Spandidos Publications Logo
  • About
    • About Spandidos
    • Aims and Scopes
    • Abstracting and Indexing
    • Editorial Policies
    • Reprints and Permissions
    • Job Opportunities
    • Terms and Conditions
    • Contact
  • Journals
    • All Journals
    • Oncology Letters
      • Oncology Letters
      • Information for Authors
      • Editorial Policies
      • Editorial Board
      • Aims and Scope
      • Abstracting and Indexing
      • Bibliographic Information
      • Archive
    • International Journal of Oncology
      • International Journal of Oncology
      • Information for Authors
      • Editorial Policies
      • Editorial Board
      • Aims and Scope
      • Abstracting and Indexing
      • Bibliographic Information
      • Archive
    • Molecular and Clinical Oncology
      • Molecular and Clinical Oncology
      • Information for Authors
      • Editorial Policies
      • Editorial Board
      • Aims and Scope
      • Abstracting and Indexing
      • Bibliographic Information
      • Archive
    • Experimental and Therapeutic Medicine
      • Experimental and Therapeutic Medicine
      • Information for Authors
      • Editorial Policies
      • Editorial Board
      • Aims and Scope
      • Abstracting and Indexing
      • Bibliographic Information
      • Archive
    • International Journal of Molecular Medicine
      • International Journal of Molecular Medicine
      • Information for Authors
      • Editorial Policies
      • Editorial Board
      • Aims and Scope
      • Abstracting and Indexing
      • Bibliographic Information
      • Archive
    • Biomedical Reports
      • Biomedical Reports
      • Information for Authors
      • Editorial Policies
      • Editorial Board
      • Aims and Scope
      • Abstracting and Indexing
      • Bibliographic Information
      • Archive
    • Oncology Reports
      • Oncology Reports
      • Information for Authors
      • Editorial Policies
      • Editorial Board
      • Aims and Scope
      • Abstracting and Indexing
      • Bibliographic Information
      • Archive
    • Molecular Medicine Reports
      • Molecular Medicine Reports
      • Information for Authors
      • Editorial Policies
      • Editorial Board
      • Aims and Scope
      • Abstracting and Indexing
      • Bibliographic Information
      • Archive
    • World Academy of Sciences Journal
      • World Academy of Sciences Journal
      • Information for Authors
      • Editorial Policies
      • Editorial Board
      • Aims and Scope
      • Abstracting and Indexing
      • Bibliographic Information
      • Archive
    • International Journal of Functional Nutrition
      • International Journal of Functional Nutrition
      • Information for Authors
      • Editorial Policies
      • Editorial Board
      • Aims and Scope
      • Abstracting and Indexing
      • Bibliographic Information
      • Archive
    • International Journal of Epigenetics
      • International Journal of Epigenetics
      • Information for Authors
      • Editorial Policies
      • Editorial Board
      • Aims and Scope
      • Abstracting and Indexing
      • Bibliographic Information
      • Archive
    • Medicine International
      • Medicine International
      • Information for Authors
      • Editorial Policies
      • Editorial Board
      • Aims and Scope
      • Abstracting and Indexing
      • Bibliographic Information
      • Archive
  • Articles
  • Information
    • Information for Authors
    • Information for Reviewers
    • Information for Librarians
    • Information for Advertisers
    • Conferences
  • Language Editing
Spandidos Publications Logo
  • About
    • About Spandidos
    • Aims and Scopes
    • Abstracting and Indexing
    • Editorial Policies
    • Reprints and Permissions
    • Job Opportunities
    • Terms and Conditions
    • Contact
  • Journals
    • All Journals
    • Biomedical Reports
      • Information for Authors
      • Editorial Policies
      • Editorial Board
      • Aims and Scope
      • Abstracting and Indexing
      • Bibliographic Information
      • Archive
    • Experimental and Therapeutic Medicine
      • Information for Authors
      • Editorial Policies
      • Editorial Board
      • Aims and Scope
      • Abstracting and Indexing
      • Bibliographic Information
      • Archive
    • International Journal of Epigenetics
      • Information for Authors
      • Editorial Policies
      • Editorial Board
      • Aims and Scope
      • Abstracting and Indexing
      • Bibliographic Information
      • Archive
    • International Journal of Functional Nutrition
      • Information for Authors
      • Editorial Policies
      • Editorial Board
      • Aims and Scope
      • Abstracting and Indexing
      • Bibliographic Information
      • Archive
    • International Journal of Molecular Medicine
      • Information for Authors
      • Editorial Policies
      • Editorial Board
      • Aims and Scope
      • Abstracting and Indexing
      • Bibliographic Information
      • Archive
    • International Journal of Oncology
      • Information for Authors
      • Editorial Policies
      • Editorial Board
      • Aims and Scope
      • Abstracting and Indexing
      • Bibliographic Information
      • Archive
    • Medicine International
      • Information for Authors
      • Editorial Policies
      • Editorial Board
      • Aims and Scope
      • Abstracting and Indexing
      • Bibliographic Information
      • Archive
    • Molecular and Clinical Oncology
      • Information for Authors
      • Editorial Policies
      • Editorial Board
      • Aims and Scope
      • Abstracting and Indexing
      • Bibliographic Information
      • Archive
    • Molecular Medicine Reports
      • Information for Authors
      • Editorial Policies
      • Editorial Board
      • Aims and Scope
      • Abstracting and Indexing
      • Bibliographic Information
      • Archive
    • Oncology Letters
      • Information for Authors
      • Editorial Policies
      • Editorial Board
      • Aims and Scope
      • Abstracting and Indexing
      • Bibliographic Information
      • Archive
    • Oncology Reports
      • Information for Authors
      • Editorial Policies
      • Editorial Board
      • Aims and Scope
      • Abstracting and Indexing
      • Bibliographic Information
      • Archive
    • World Academy of Sciences Journal
      • Information for Authors
      • Editorial Policies
      • Editorial Board
      • Aims and Scope
      • Abstracting and Indexing
      • Bibliographic Information
      • Archive
  • Articles
  • Information
    • For Authors
    • For Reviewers
    • For Librarians
    • For Advertisers
    • Conferences
  • Language Editing
Login Register Submit
  • This site uses cookies
  • You can change your cookie settings at any time by following the instructions in our Cookie Policy. To find out more, you may read our Privacy Policy.

    I agree
Search articles by DOI, keyword, author or affiliation
Search
Advanced Search
presentation
Molecular and Clinical Oncology
Join Editorial Board Propose a Special Issue
Print ISSN: 2049-9450 Online ISSN: 2049-9469
Journal Cover
March-April 2014 Volume 2 Issue 2

Full Size Image

Sign up for eToc alerts
Recommend to Library

Journals

International Journal of Molecular Medicine

International Journal of Molecular Medicine

International Journal of Molecular Medicine is an international journal devoted to molecular mechanisms of human disease.

International Journal of Oncology

International Journal of Oncology

International Journal of Oncology is an international journal devoted to oncology research and cancer treatment.

Molecular Medicine Reports

Molecular Medicine Reports

Covers molecular medicine topics such as pharmacology, pathology, genetics, neuroscience, infectious diseases, molecular cardiology, and molecular surgery.

Oncology Reports

Oncology Reports

Oncology Reports is an international journal devoted to fundamental and applied research in Oncology.

Experimental and Therapeutic Medicine

Experimental and Therapeutic Medicine

Experimental and Therapeutic Medicine is an international journal devoted to laboratory and clinical medicine.

Oncology Letters

Oncology Letters

Oncology Letters is an international journal devoted to Experimental and Clinical Oncology.

Biomedical Reports

Biomedical Reports

Explores a wide range of biological and medical fields, including pharmacology, genetics, microbiology, neuroscience, and molecular cardiology.

Molecular and Clinical Oncology

Molecular and Clinical Oncology

International journal addressing all aspects of oncology research, from tumorigenesis and oncogenes to chemotherapy and metastasis.

World Academy of Sciences Journal

World Academy of Sciences Journal

Multidisciplinary open-access journal spanning biochemistry, genetics, neuroscience, environmental health, and synthetic biology.

International Journal of Functional Nutrition

International Journal of Functional Nutrition

Open-access journal combining biochemistry, pharmacology, immunology, and genetics to advance health through functional nutrition.

International Journal of Epigenetics

International Journal of Epigenetics

Publishes open-access research on using epigenetics to advance understanding and treatment of human disease.

Medicine International

Medicine International

An International Open Access Journal Devoted to General Medicine.

Journal Cover
March-April 2014 Volume 2 Issue 2

Full Size Image

Sign up for eToc alerts
Recommend to Library

  • Article
  • Citations
    • Cite This Article
    • Download Citation
    • Create Citation Alert
    • Remove Citation Alert
    • Cited By
  • Similar Articles
    • Related Articles (in Spandidos Publications)
    • Similar Articles (Google Scholar)
    • Similar Articles (PubMed)
  • Download PDF
  • Download XML
  • View XML
Article

Prognostic significance of NPM1 mutations in acute myeloid leukemia: A meta-analysis

  • Authors:
    • Yanfeng Liu
    • Pengcheng He
    • Feng Liu
    • Lili Shi
    • Huachao Zhu
    • Jing Zhao
    • Yuan Wang
    • Xiaoyan Chen
    • Mei Zhang
  • View Affiliations / Copyright

    Affiliations: Department of Hematology, The First Affiliated Hospital, School of Medicine, Xi'an Jiaotong University, Xi'an, Shaanxi 710061, P.R. China
  • Pages: 275-281
    |
    Published online on: December 10, 2013
       https://doi.org/10.3892/mco.2013.222
  • Expand metrics +
Metrics: Total Views: 0 (Spandidos Publications: | PMC Statistics: )
Metrics: Total PDF Downloads: 0 (Spandidos Publications: | PMC Statistics: )
Cited By (CrossRef): 0 citations Loading Articles...

This article is mentioned in:


Abstract

Nucleophosmin 1 (NPM1) mutations have been identified in a substantial number of patients with acute myeloid leukemia (AML). Favorable outcomes in AML cases with NPM1 mutations have been previously reported. However, widely differing survival estimates have been indicated. Therefore, a meta‑analysis of nine studies including a total of 4509 subjects was performed. The frequency of NPM1 mutations was found to be 6.45-56.08%. NPM1‑mutation type (NPM1‑mt) patients had >2-fold higher odds of achieving complete remission compared with NPM1-wild-type (NPM1‑wt). The summary hazard ratio (HR) of NPM1-mt/NPM1-wt for disease-free survival (DFS) and OS was 0.67 and 0.63, respectively. In conclusion, these findings suggest that the NPM1 mutation has a favorable effect on the outcome for AML. The present meta‑analysis was based on data abstracted from observational studies. However, the results obtained may justify the risk-adapted therapeutic strategies for AML according to the NPM1 status.

Introduction

Acute myeloid leukemia (AML) is a heterogeneous clonal disorder characterized by autonomous proliferation and impaired differentiation of hematopoietic progenitor cells (1,2). It is the most common malignant myeloid disorder in adults. Cytogenetic aberrations and molecular genetic alterations provide significant prognostic information for determining the response to chemotherapy and survival outcome (3,4). An increasing number of genetic abnormalities revealed in AML have also contributed to our understanding of the mechanisms and process of leukemogenesis, which leads to an improvement of risk-stratification, and the development of individualized therapies and response assessment (5).

Among these genetic alterations, a potential prognostic genetic marker is the nucleophosmin 1 (NPM1) gene, which is important in many tumor-associated chromosomal translocations (6). NPM1 is an ubiquitously expressed phosphoprotein and continuously shuttles between the cytoplasm and nucleus (7,8). Several functions for this protein have been described, including the binding of p53 (9), the initiation of centrosome duplication (10), and ribosomal protein assembly and transport (11). More recently, NPM1 exon 12 mutations have been reported to be involved in leukemogenesis, and detected in ~35% of AML cases (12,13). However, the prognostic implications of NPM1 mutations are less clear and are notably variable among different institutions (13–18). A study conducted by Konoplev et al including 252 AML patients suggested NPM1 mutations did not impact overall survival (OS) and event-free survival (EFS) (17). However, findings of previous studes have indicated that the NPM1 mutation has a favorable effect on the outcome for AML (13–16,19–22). For this reason, we performed an updated meta-analysis of 9 published studies in order to investigate the prognostic significance of NPM1 mutations for AML.

Materials and methods

Selection of studies

Studies were eligible for inclusion in the meta-analysis if they were: i) original articles written in English and published up to January 2013; ii) dealt only with untreated AML patients; iii) offered survival information based on the NPM1 status, including, NPM1 mutations and NPM1-wild-type (NPM1-wt), and iv) provided survival information on response to induction therapy, including, complete remission (CR), disease-free survival (DFS) and/or OS. Studies were excluded if they focused exclusively on acute promyelocytic leukemia. Multiple reports of a single study were considered as one publication, and only the most recent article was examined.

A computerized literature search of the PubMed, Medline and EMBASE databases was conducted using the free text search term AML AND nucleophosmin AND survival, with the publication period limited to prior to January 2013, and the language to English. The initial search yielded a total of 64 articles, and the titles and abstracts of these papers were reviewed, resulting in the exclusion of 42 articles, with 22 candidate articles. Of the 22 articles, 13 full-text articles were excluded as survival information was unavailable. In total, 9 studies satisfied the eligibility criteria and were included in the meta-analysis (Table I). The reasons for excluding articles are shown in Fig. 1 (23–35).

Figure 1

Flow diagram showing the process of identifying and selecting relevant studies.

Table I

List of studies included in the meta-analysis.

Table I

List of studies included in the meta-analysis.

Author (Refs.)Publication yearRegionSubjects (n)NPM1 mutation (%)Normal karyotype (%)
Thiede et al (14)2006Germany148527.4779.41
Döhner et al (15)2005Germany and USA30048.33NR
Schnittger et al (16)2005Germany and Italy40152.90100.00
Suzuki et al (19)2005Japan19030.5363.79
Verhaak et al (13)2005The Netherlands27534.5577.89
Mullighan et al (18)2007USA936.4550.00
Gale et al (20)2008United Kingdom121741.3367.59
Becker et al (21)2010Germany and USA14856.08NR
Boonthimat et al (22)2008Thailand40026.2586.67

[i] NPM1, nucleophosmin 1; NR, not reported.

Data extraction and quality assessment

In order to avoid bias in the data abstraction process, the reviewers Y.F. Liu and P.C. He independently retrieved the data from the articles and subsequently compared the results. All data were assessed for internal consistency and disagreements were resolved by discussion. Characteristics abstracted from the articles included the name of the first author, year of publication, location of the study, number of subjects, mean or median values of age and median white blood cell (WBC) counts, the incidence of NPM1 mutations, percentage of cases with normal karyotype, outcomes including hematologic CR rate, hazard ratio (HR) and 95% confidence interval (CI) for DFS and OS according to the NPM1 status based on multivariate analysis. When the data required for the analysis could not be abstracted, attempts were made to contact the investigators who conducted the studies.

The quality of evidence and the strength of recommendations were evaluated by GRADE profiler (version 3.2) (36). Any discrepancies in quality assessments were resolved by consensus among the authors. The overall quality of the data was graded as moderate.

Quantitative data synthesis

HR was used to assess the survival effect of NPM1 mutations compared with wild-type. The natural logarithm of a crude HR and its variance within the study was calculated by using the abstracted survival probabilities at each time point with the methods proposed by Parmar et al (37), and those described previously (38). HR was calculated to show how many times higher the probability of survival failure was for the patients with NPM1 mutations cmpared with those with wild-type, as an HR less than unity suggests that NPM1 mutations yield a better survival rate compared with wild-type.

The odds ratio (OR) was calculated to describe the probability of CR following induction therapy based on NPM1 mutation status. An OR >1 indicates that patients with NPM1 mutations are associated with an improved CR rate compared with those without the mutations.

A DerSimonian Laird random method was used to calculate summary HR or OR and their 95% CI. Initially, the fixed effect and random-effect models were used to calculate summary HRs, but eventually the random-effect model was selected. Begg’s funnel plots (39) and Egger’s test (40) were used to detect possible publication bias. The between-study variation (τ2) from the Q statistic was also calculated (41).

Statistical analysis

Statistical analyses were performed using STATA 12 software (College Station, TX, USA). P<0.05 was considered to indicate a statistically significant test result for summary HR or OR.

Results

Study characteristics

As shown in Table I, 9 studies including a total of 4,509 subjects (2,903 with NPM1-wt, 1,606 with NPM1 mutations) were included in the meta-analysis. Four studies originated from Europe (13,14,16,20), two from Asia (19,22) and three from the USA, two of which contained information pertaining to Germany (15,18,21). The frequency of NPM1 mutations varied between 6.45 and 56.08% for AML patients. NPM1 mutations were associated with a higher frequency of FLT3-ITD mutations in 7 studies (Table II) (13–15,19–22). The frequency of the normal karyotype was higher among NPM1 mutant patients (Table I) (13,14,16,18–20,22). No graphical or statistical evidence of publication bias for DFS or OS was identified.

Table II

Diagnostic characteristics according to the NPM1 status in the AML patients.

Table II

Diagnostic characteristics according to the NPM1 status in the AML patients.

Author (Refs.)NPM1 statusSubjects (n)Age (years)Median WBC count (109/l)FLT3-ITD mutation (%)
Thiede et al (14)NPM1-wt107758.0 (15.0–87.0)0.3–465 13.74a
NPM1-mt40860.0 (18.0–83.0)0.5–38040.20
Döhner et al (5)NPM1-wt15516.0–60.00.41–369 24.52a
NPM1-mt14518.0–60.00.2–34540.69
Schnittger et al (16)NPM1-wt18958.110.0 (0.1–361)NR
NPM1-mt21255.838.7 (0.2–486)NR
Suzuki et al (19)NPM1-wt14147.0 (15.0–85.0)23.3 (0.9–337.6) 11.35a
NPM1-mt4958.0 (15.0–77.0)52.2 (1.0–372)55.10
Verhaak et al (13)NPM1-wt18039.7±13.3NA 16.76a
NPM1-mt9547.3±10.7NA49.47
Mullighan et al (18)NPM1-wt879.738.0NR
NPM1-mt614.635.316.67
Gale et al (20)NPM1-wt71441.018.5 19.19a
NPM1-mt50346.035.441.35
Becker et al (21)NPM1-wt6571.0 (60.0–83.0)7.0 (1.0–434.1) 20.00a
NPM1-mt8367.0 (60.0–81.0)26.2 (1.0–249.3)39.76
Boonthimat et al (22)NPM1-wt29540.025.4 20.68a
NPM1-mt10551.047.043.81

[i] NPM1, nucleophosmin 1; AML, acute myeloid leukemia; WBC, white blood cell; NR, not reported; NA, not assessed; NPM1-mt, NPM1-mutation type; NPM1-wt, NPM1-wild-type. Statistically significant difference (aP<0.05).

Treatment outcomes

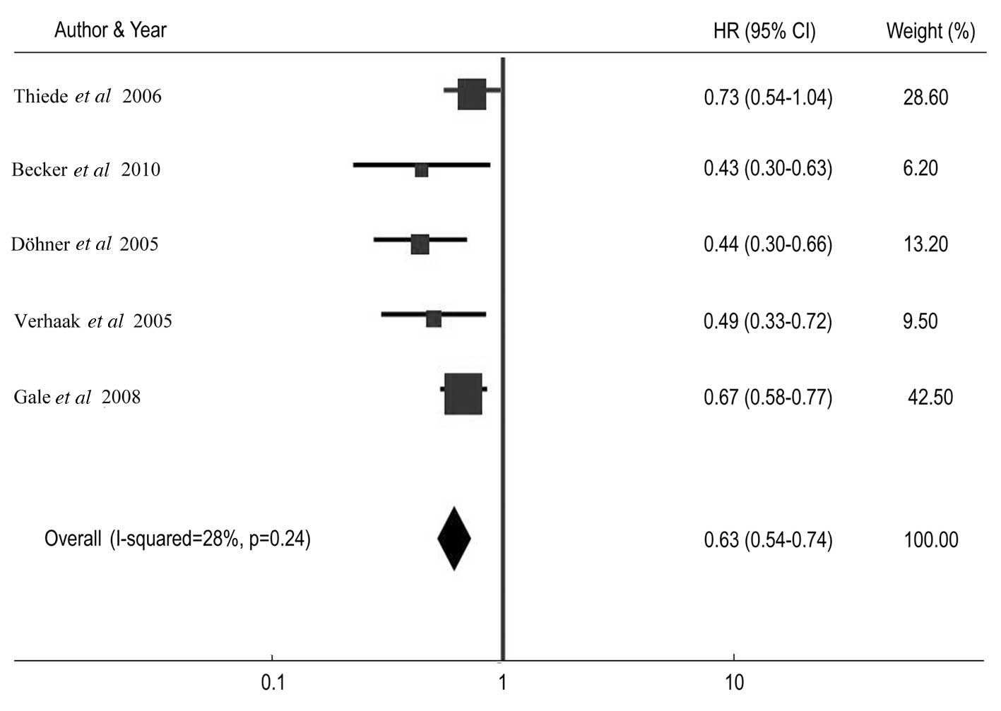
Table III shows the CR rate and HR for DFS and OS among AML patients with NPM1 mutations compared with patients without the mutations in individual studies. The summary OR for CR in the NPM1 mutant group was 2.23 (95% CI: 1.86–2.67, P<0.001) (Fig. 2). The summary HR for DFS of NPM1-mt/NPM1-wt was 0.67 (95% CI: 0.58–0.78; P<0.001) (Fig. 3), and the overall HR for OS of NPM1-mt/NPM1-wt was 0.63 (95% CI: 0.54–0.74; P<0.001) (Fig. 4). The test for heterogeneity, which evaluates the variation in study outcomes between studies in a meta-analysis, showed no significant heterogeneity among studies included in the DFS analysis (Q=4.08, df=4, P=0.40, τ2=2) and OS analysis (Q=5.52, d=4, P=0.24, τ2=28).

Figure 2

Forest plots of the odds ratio (OR) and 95% confidence intervals for complete remission. The size of the blocks or diamonds represents the weight for the random-effect model in the meta-analysis. OR>1 indicates that the presence of NPM1 mutations is associated with a higher complete remission rate.

Figure 3

Forest plots of the hazard ratio (HR) and 95% confidence intervals (CIs) for disease-free survival. The size of the blocks or diamonds represents the weight for the random-effects model in the meta-analysis. HR<1 indicates that the presence of nucleophosmin 1 (NPM1) mutations is associated with an improved prognosis.

Figure 4

Forest plots of the hazard ratio (HR) and 95% confidence intervals (CIs) for overall survival. The size of the blocks or diamonds represents the weight for the random-effect model in the meta-analysis. HR<1 indicates that the presence of nucleophosmin 1 (NPM1) mutations is associated with an improved prognosis.

Table III

NPM1 mutations and outcomes in acute myeloid leukemia.

Table III

NPM1 mutations and outcomes in acute myeloid leukemia.

Author (Refs.)NPM1 statusSubjects (n)CR (%)HR for OS95% CI for OSHR for DFS95% CI for DFS
Thiede et al (14)NPM1-wt1077 41.60a1.00Reference1.00Reference
NPM1-mt40858.600.730.58–0.910.750.54–1.04
Döhner et al (15)NPM1-wt155 68.50a1.00ReferenceNRNR
NPM1-mt14586.000.440.30–0.66NRNR
Schnittger et al (16)NPM1-wt189 54.70aNRNR1.00Reference
NPM1-mt21270.50NRNR0.530.35–0.79
Suzuki et al (19)NPM1-wt141 68.80aNRNRNRNR
NPM1-mt4985.70NRNRNRNR
Verhaak et al (13)NPM1-wt180NA1.00Reference1.00Reference
NPM1-mt95NA0.490.33–0.720.520.34–0.80
Mullighan et al (18)NPM1-wt8785.06NANANANA
NPM1-mt6100.00NANANANA
Gale et al (20)NPM1-wt714NA1.00Reference1.00Reference
NPM1-mt503NA0.670.58–0.770.720.62–0.84
Becker et al (21)NPM1-wt65 47.69a1.00Reference1.00Reference
NPM1-mt8384.340.430.30–0.630.480.29–0.78

[i] NPM1, nucleophosmin 1; CR, complete remission; HR, hazard ratio; 95% CI, 95% confidence interval; OS, overall survival; NR, not reported; NA, not assessed; DFS, disease-free survival; NPM1-mt, NPM1-mutation type; NPM1-wt, NPM1-wild-type. Statistically significant difference (aP<0.05).

Furthermore, we performed a sensitivity test during the meta-analysis. Exclusion of any single study did not affect the overall results.

Discussion

Previous studies have investigated the prognostic significance of NPM1 mutation status in AML patients. Certain studies demonstrated the positive prognostic effect of NPM1 mutations (13–16,19–22), whereas in other studies no clinical outcome difference between patients with and without NPM1 mutations (17,18). The aim of the present meta-analysis was to clarify the prognostic significance of NPM1 mutation status in AML patients. Meta-analysis is a useful statistical method for integrating results from independent studies for a specified outcome. Combining the relevant studies increases statistical power, thus the effects that may be missed by individual studies may be detected (42). The present meta-analysis demonstrated the effects of NPM1 mutations with the summary OR of 2.23 (95% CI: 1.86–2.67) for CR, HR of 0.67 (95% CI: 0.58–0.78) for DFS, and HR of 0.63 (95% CI: 0.54–0.74) for OS. Furthermore, the present study indicated that NPM1 mutations were associated with a higher frequency of normal karyotype and FLT3-ITD mutations.

Notably, FLT3-ITD mutations have been shown to be the most important abnormality in AML patients and correlated with marked poor outcome (high percentage of bone marrow blast cells, increased risk of relapse from CR, and reduced survival) (43,44). However, our study indicated that patients with FLT3-ITD and NPM1 mutations have an improved CR (14,15,19,20), DFS (14,20) and OS (14,20) compared with those who only have the FLT3-ITD mutation, although this result was inferior to only NPM1 mutation cases.

The present study has several limitations. Firstly, the analyses were based on observational studies rather than prospective controlled studies or randomized trials. Secondly, we used abstracted data, while an individual patient data-based meta-analysis would have provided a more robust estimate of the association. The results reported should therefore be interpreted carefully by clinical physicians. Thirdly, as is often the case with meta-analysis, a substantial effect of heterogeneity should be considered. Although median WBC counts at the time of diagnosis were not identified as sources of heterogeneity, we cannot rule out the potential effect of other factors, such as differences in treatment and distinct cytogenetic categories, which were not examined in our analysis. Publication bias, although not directly detected in the present study, may also have had an impact on the accuracy of our study (42,45).

Although these limitations should be considered, the results of our meta-analysis demonstrated that NPM1 mutations have a favorable effect on the outcome for AML. Thus, distinguishing AML with NPM1 mutations from AML without mutations and justifying the risk-adapted therapeutic strategy for AML based on the NPM1 status.

A large number of patients should be prospectively studied in order for definitive conclusions to be reached. In addition to the presence or absence of NPM1 mutations, several factors relevant to NPM1 have been suggested to have a prognostic value, including the expression levels of NPM1 transcripts, mutant/wild-type allelic ratios for NPM1, and certain types of NPM1 exon mutations. These factors should be investigated in order to arrive at a more accurate estimation of the prognosis for AML.

Acknowledgements

The authors would like to thank Dr Di Wu and Dr Jieying Xi for their technological assistance.

References

1 

Estey E and Döhner H: Acute myeloid leukemia. Lancet. 368:1894–1907. 2006. View Article : Google Scholar

2 

Rubnitz JE, Gibson B and Smith FO: Acute myeloid leukemia. Hematol Oncol Clin North Am. 24:35–63. 2010. View Article : Google Scholar

3 

Harrison CJ, Hills RK, Moorman AV, et al: Cytogenetics of childhood acute myeloid leukemia: United Kingdom Medical Research Council Treatment trials AML 10 and 12. J Clin Oncol. 28:2674–2681. 2010. View Article : Google Scholar : PubMed/NCBI

4 

Grimwade D: The clinical significance of cytogenetic abnormalities in acute myeloid leukaemia. Best Pract Res Clin Haematol. 14:497–529. 2001. View Article : Google Scholar : PubMed/NCBI

5 

Döhner H, Estey EH, Amadori S, et al: Diagnosis and management of acute myeloid leukemia in adults: recommendations from an international expert panel, on behalf of the European LeukemiaNet. Blood. 115:453–474. 2010.PubMed/NCBI

6 

Naoe T, Suzuki T, Kiyoi H and Urano T: Nucleophosmin: a versatile molecule associated with hematological malignancies. Cancer Sci. 97:963–969. 2006. View Article : Google Scholar : PubMed/NCBI

7 

Borer RA, Lehner CF, Eppenberger HM and Nigg EA: Major nucleolar proteins shuttle between nucleus and cytoplasm. Cell. 56:379–390. 1989. View Article : Google Scholar : PubMed/NCBI

8 

Chan WY, Liu QR, Borjigin J, et al: Characterization of the cDNA encoding human nucleophosmin and studies of its role in normal and abnormal growth. Biochemistry. 28:1033–1039. 1989. View Article : Google Scholar : PubMed/NCBI

9 

Colombo E, Marine JC, Danovi D, Falini B and Pelicci PG: Nucleophosmin regulates the stability and transcriptional activity of p53. Nat Cell Biol. 4:529–533. 2002. View Article : Google Scholar : PubMed/NCBI

10 

Okuda M, Horn HF, Tarapore P, et al: Nucleophosmin/B23 is a target of CDK2/cyclin E in centrosome duplication. Cell. 103:127–140. 2000. View Article : Google Scholar : PubMed/NCBI

11 

Lindstrom MS: NPM1/B23: A multifunctional chaperone in ribosome biogenesis and chromatin remodeling. Biochem Res Int. 2011:1952092011. View Article : Google Scholar : PubMed/NCBI

12 

Falini B, Mecucci C, Tiacci E, et al: Cytoplasmic nucleophosmin in acute myelogenous leukemia with a normal karyotype. N Engl J Med. 352:254–266. 2005. View Article : Google Scholar : PubMed/NCBI

13 

Verhaak RG, Goudswaard CS, van Putten W, et al: Mutations in nucleophosmin (NPM1) in acute myeloid leukemia (AML): association with other gene abnormalities and previously established gene expression signatures and their favorable prognostic significance. Blood. 106:3747–3754. 2005. View Article : Google Scholar

14 

Thiede C, Koch S, Creutzig E, et al: Prevalence and prognostic impact of NPM1 mutations in 1485 adult patients with acute myeloid leukemia (AML). Blood. 107:4011–4020. 2006. View Article : Google Scholar : PubMed/NCBI

15 

Döhner K, Schlenk RF, Habdank M, et al: Mutant nucleophosmin (NPM1) predicts favorable prognosis in younger adults with acute myeloid leukemia and normal cytogenetics: interaction with other gene mutations. Blood. 106:3740–3746. 2005.PubMed/NCBI

16 

Schnittger S, Schoch C, Kern W, et al: Nucleophosmin gene mutations are predictors of favorable prognosis in acute myelogenous leukemia with a normal karyotype. Blood. 106:3733–3739. 2005. View Article : Google Scholar : PubMed/NCBI

17 

Konoplev S, Huang X, Drabkin HA, et al: Cytoplasmic localization of nucleophosmin in bone marrow blasts of acute myeloid leukemia patients is not completely concordant with NPM1 mutation and is not predictive of prognosis. Cancer. 115:4737–4744. 2009. View Article : Google Scholar : PubMed/NCBI

18 

Mullighan CG, Kennedy A, Zhou X, et al: Pediatric acute myeloid leukemia with NPM1 mutations is characterized by a gene expression profile with dysregulated HOX gene expression distinct from MLL-rearranged leukemias. Leukemia. 21:2000–2009. 2007. View Article : Google Scholar

19 

Suzuki T, Kiyoi H, Ozeki K, et al: Clinical characteristics and prognostic implications of NPM1 mutations in acute myeloid leukemia. Blood. 106:2854–2861. 2005. View Article : Google Scholar : PubMed/NCBI

20 

Gale RE, Green C, Allen C, et al: The impact of FLT3 internal tandem duplication mutant level, number, size, and interaction with NPM1 mutations in a large cohort of young adult patients with acute myeloid leukemia. Blood. 111:2776–2784. 2008. View Article : Google Scholar : PubMed/NCBI

21 

Becker H, Marcucci G, Maharry K, et al: Favorable prognostic impact of NPM1 mutations in older patients with cytogenetically normal de novo acute myeloid leukemia and associated gene- and microRNA-expression signatures: a Cancer and Leukemia Group B study. J Clin Oncol. 28:596–604. 2010. View Article : Google Scholar

22 

Boonthimat C, Thongnoppakhun W and Auewarakul CU: Nucleophosmin mutation in Southeast Asian acute myeloid leukemia: eight novel variants, FLT3 coexistence and prognostic impact of NPM1/FLT3 mutations. Haematologica. 93:1565–1569. 2008. View Article : Google Scholar : PubMed/NCBI

23 

Schnittger S, Haferlach C, Ulke M, Alpermann T, Kern W and Haferlach T: IDH1 mutations are detected in 6.6% of 1414 AML patients and are associated with intermediate risk karyotype and unfavorable prognosis in adults younger than 60 years and unmutated NPM1 status. Blood. 116:5486–5496. 2010.

24 

Yan L, Chen S, Liang J, et al: Analysis of NPM1 gene mutations in Chinese adults with acute myeloid leukemia. Int J Hematol. 86:143–146. 2007. View Article : Google Scholar : PubMed/NCBI

25 

Haferlach C, Mecucci C, Schnittger S, et al: AML with mutated NPM1 carrying a normal or aberrant karyotype show overlapping biologic, pathologic, immunophenotypic, and prognostic features. Blood. 114:3024–3032. 2009. View Article : Google Scholar : PubMed/NCBI

26 

Chen W, Rassidakis GZ, Li J, et al: High frequency of NPM1 gene mutations in acute myeloid leukemia with prominent nuclear invaginations (‘cuplike’ nuclei). Blood. 108:1783–1784. 2006.PubMed/NCBI

27 

Paschka P, Schlenk RF, Gaidzik VI, et al: IDH1 and IDH2 mutations are frequent genetic alterations in acute myeloid leukemia and confer adverse prognosis in cytogenetically normal acute myeloid leukemia with NPM1 mutation without FLT3 internal tandem duplication. J Clin Oncol. 28:3636–3643. 2010. View Article : Google Scholar

28 

Koh Y, Park J, Bae EK, et al: Non-A type nucleophosmin 1 gene mutation predicts poor clinical outcome in de novo adult acute myeloid leukemia: differential clinical importance of NPM1 mutation according to subtype. Int J Hematol. 90:1–5. 2009. View Article : Google Scholar

29 

Palmisano M, Grafone T, Ottaviani E, Testoni N, Baccarani M and Martinelli G: NPM1 mutations are more stable than FLT3 mutations during the course of disease in patients with acute myeloid leukemia. Haematologica. 92:1268–1269. 2007. View Article : Google Scholar : PubMed/NCBI

30 

Zhang Y, Zhang M, Yang L and Xiao Z: NPM1 mutations in myelodysplastic syndromes and acute myeloid leukemia with normal karyotype. Leuk Res. 31:109–111. 2007. View Article : Google Scholar : PubMed/NCBI

31 

Wertheim G and Bagg A: Nucleophosmin (NPM1) mutations in acute myeloid leukemia: an ongoing (cytoplasmic) tale of dueling mutations and duality of molecular genetic testing methodologies. J Mol Diagn. 10:198–202. 2008. View Article : Google Scholar

32 

Green CL, Koo KK, Hills RK, Burnett AK, Linch DC and Gale RE: Prognostic significance of CEBPA mutations in a large cohort of younger adult patients with acute myeloid leukemia: impact of double CEBPA mutations and the interaction with FLT3 and NPM1 mutations. J Clin Oncol. 28:2739–2747. 2010. View Article : Google Scholar

33 

Noguera NI, Ammatuna E, Zangrilli D, et al: Simultaneous detection of NPM1 and FLT3-ITD mutations by capillary electrophoresis in acute myeloid leukemia. Leukemia. 19:1479–1482. 2005. View Article : Google Scholar : PubMed/NCBI

34 

Burnett AK, Hills RK, Green C, et al: The impact on outcome of the addition of all-trans retinoic acid to intensive chemotherapy in younger patients with nonacute promyelocytic acute myeloid leukemia: overall results and results in genotypic subgroups defined by mutations in NPM1, FLT3, and CEBPA. Blood. 115:948–956. 2010.

35 

Falini B: Therapy-related acute myeloid leukaemia with mutated NPM1: treatment induced or de novo in origin? Leukemia. 22:891–892. 2008. View Article : Google Scholar : PubMed/NCBI

36 

Guyatt GH, Oxman AD, Vist GE, et al: GRADE: an emerging consensus on rating quality of evidence and strength of recommendations. BMJ. 336:924–926. 2008. View Article : Google Scholar : PubMed/NCBI

37 

Parmar MK, Torri V and Stewart L: Extracting summary statistics to perform meta-analyses of the published literature for survival endpoints. Stat Med. 17:2815–2834. 1998. View Article : Google Scholar : PubMed/NCBI

38 

Hotta K, Matsuo K, Ueoka H, Kiura K, Tabata M and Tanimoto M: Meta-analysis of randomized clinical trials comparing Cisplatin to Carboplatin in patients with advanced non-small-cell lung cancer. J Clin Oncol. 22:3852–3859. 2004. View Article : Google Scholar : PubMed/NCBI

39 

Begg CB and Mazumdar M: Operating characteristics of a rank correlation test for publication bias. Biometrics. 50:1088–1101. 1994. View Article : Google Scholar : PubMed/NCBI

40 

Egger M, Davey SG, Schneider M and Minder C: Bias in meta-analysis detected by a simple, graphical test. BMJ. 315:629–634. 1997. View Article : Google Scholar : PubMed/NCBI

41 

DerSimonian R and Laird N: Meta-analysis in clinical trials. Control Clin Trials. 7:177–188. 1986. View Article : Google Scholar : PubMed/NCBI

42 

Yanada M, Matsuo K, Suzuki T, Kiyoi H and Naoe T: Prognostic significance of FLT3 internal tandem duplication and tyrosine kinase domain mutations for acute myeloid leukemia: a meta-analysis. Leukemia. 19:1345–1349. 2005. View Article : Google Scholar : PubMed/NCBI

43 

Small D: FLT3 mutations: biology and treatment. Hematol Am Soc Hematol Educ Program. 178–184. 2006. View Article : Google Scholar

44 

Kottaridis PD, Gale RE and Linch DC: Flt3 mutations and leukaemia. Br J Haematol. 122:523–538. 2003. View Article : Google Scholar : PubMed/NCBI

45 

Feng JH, Guo XP, Chen YY, Wang ZJ, Cheng YP and Tang YM: Prognostic significance of IDH1 mutations in acute myeloid leukemia: a meta-analysis. Am J Blood Res. 2:254–264. 2012.PubMed/NCBI

Related Articles

  • Abstract
  • View
  • Download
  • Twitter
Copy and paste a formatted citation
Spandidos Publications style
Liu Y, He P, Liu F, Shi L, Zhu H, Zhao J, Wang Y, Chen X and Zhang M: Prognostic significance of NPM1 mutations in acute myeloid leukemia: A meta-analysis. Mol Clin Oncol 2: 275-281, 2014.
APA
Liu, Y., He, P., Liu, F., Shi, L., Zhu, H., Zhao, J. ... Zhang, M. (2014). Prognostic significance of NPM1 mutations in acute myeloid leukemia: A meta-analysis. Molecular and Clinical Oncology, 2, 275-281. https://doi.org/10.3892/mco.2013.222
MLA
Liu, Y., He, P., Liu, F., Shi, L., Zhu, H., Zhao, J., Wang, Y., Chen, X., Zhang, M."Prognostic significance of NPM1 mutations in acute myeloid leukemia: A meta-analysis". Molecular and Clinical Oncology 2.2 (2014): 275-281.
Chicago
Liu, Y., He, P., Liu, F., Shi, L., Zhu, H., Zhao, J., Wang, Y., Chen, X., Zhang, M."Prognostic significance of NPM1 mutations in acute myeloid leukemia: A meta-analysis". Molecular and Clinical Oncology 2, no. 2 (2014): 275-281. https://doi.org/10.3892/mco.2013.222
Copy and paste a formatted citation
x
Spandidos Publications style
Liu Y, He P, Liu F, Shi L, Zhu H, Zhao J, Wang Y, Chen X and Zhang M: Prognostic significance of NPM1 mutations in acute myeloid leukemia: A meta-analysis. Mol Clin Oncol 2: 275-281, 2014.
APA
Liu, Y., He, P., Liu, F., Shi, L., Zhu, H., Zhao, J. ... Zhang, M. (2014). Prognostic significance of NPM1 mutations in acute myeloid leukemia: A meta-analysis. Molecular and Clinical Oncology, 2, 275-281. https://doi.org/10.3892/mco.2013.222
MLA
Liu, Y., He, P., Liu, F., Shi, L., Zhu, H., Zhao, J., Wang, Y., Chen, X., Zhang, M."Prognostic significance of NPM1 mutations in acute myeloid leukemia: A meta-analysis". Molecular and Clinical Oncology 2.2 (2014): 275-281.
Chicago
Liu, Y., He, P., Liu, F., Shi, L., Zhu, H., Zhao, J., Wang, Y., Chen, X., Zhang, M."Prognostic significance of NPM1 mutations in acute myeloid leukemia: A meta-analysis". Molecular and Clinical Oncology 2, no. 2 (2014): 275-281. https://doi.org/10.3892/mco.2013.222
Follow us
  • Twitter
  • LinkedIn
  • Facebook
About
  • Spandidos Publications
  • Careers
  • Cookie Policy
  • Privacy Policy
How can we help?
  • Help
  • Live Chat
  • Contact
  • Email to our Support Team