Spandidos Publications Logo
  • About
    • About Spandidos
    • Aims and Scopes
    • Abstracting and Indexing
    • Editorial Policies
    • Reprints and Permissions
    • Job Opportunities
    • Terms and Conditions
    • Contact
  • Journals
    • All Journals
    • Oncology Letters
      • Oncology Letters
      • Information for Authors
      • Editorial Policies
      • Editorial Board
      • Aims and Scope
      • Abstracting and Indexing
      • Bibliographic Information
      • Archive
    • International Journal of Oncology
      • International Journal of Oncology
      • Information for Authors
      • Editorial Policies
      • Editorial Board
      • Aims and Scope
      • Abstracting and Indexing
      • Bibliographic Information
      • Archive
    • Molecular and Clinical Oncology
      • Molecular and Clinical Oncology
      • Information for Authors
      • Editorial Policies
      • Editorial Board
      • Aims and Scope
      • Abstracting and Indexing
      • Bibliographic Information
      • Archive
    • Experimental and Therapeutic Medicine
      • Experimental and Therapeutic Medicine
      • Information for Authors
      • Editorial Policies
      • Editorial Board
      • Aims and Scope
      • Abstracting and Indexing
      • Bibliographic Information
      • Archive
    • International Journal of Molecular Medicine
      • International Journal of Molecular Medicine
      • Information for Authors
      • Editorial Policies
      • Editorial Board
      • Aims and Scope
      • Abstracting and Indexing
      • Bibliographic Information
      • Archive
    • Biomedical Reports
      • Biomedical Reports
      • Information for Authors
      • Editorial Policies
      • Editorial Board
      • Aims and Scope
      • Abstracting and Indexing
      • Bibliographic Information
      • Archive
    • Oncology Reports
      • Oncology Reports
      • Information for Authors
      • Editorial Policies
      • Editorial Board
      • Aims and Scope
      • Abstracting and Indexing
      • Bibliographic Information
      • Archive
    • Molecular Medicine Reports
      • Molecular Medicine Reports
      • Information for Authors
      • Editorial Policies
      • Editorial Board
      • Aims and Scope
      • Abstracting and Indexing
      • Bibliographic Information
      • Archive
    • World Academy of Sciences Journal
      • World Academy of Sciences Journal
      • Information for Authors
      • Editorial Policies
      • Editorial Board
      • Aims and Scope
      • Abstracting and Indexing
      • Bibliographic Information
      • Archive
    • International Journal of Functional Nutrition
      • International Journal of Functional Nutrition
      • Information for Authors
      • Editorial Policies
      • Editorial Board
      • Aims and Scope
      • Abstracting and Indexing
      • Bibliographic Information
      • Archive
    • International Journal of Epigenetics
      • International Journal of Epigenetics
      • Information for Authors
      • Editorial Policies
      • Editorial Board
      • Aims and Scope
      • Abstracting and Indexing
      • Bibliographic Information
      • Archive
    • Medicine International
      • Medicine International
      • Information for Authors
      • Editorial Policies
      • Editorial Board
      • Aims and Scope
      • Abstracting and Indexing
      • Bibliographic Information
      • Archive
  • Articles
  • Information
    • Information for Authors
    • Information for Reviewers
    • Information for Librarians
    • Information for Advertisers
    • Conferences
  • Language Editing
Spandidos Publications Logo
  • About
    • About Spandidos
    • Aims and Scopes
    • Abstracting and Indexing
    • Editorial Policies
    • Reprints and Permissions
    • Job Opportunities
    • Terms and Conditions
    • Contact
  • Journals
    • All Journals
    • Biomedical Reports
      • Information for Authors
      • Editorial Policies
      • Editorial Board
      • Aims and Scope
      • Abstracting and Indexing
      • Bibliographic Information
      • Archive
    • Experimental and Therapeutic Medicine
      • Information for Authors
      • Editorial Policies
      • Editorial Board
      • Aims and Scope
      • Abstracting and Indexing
      • Bibliographic Information
      • Archive
    • International Journal of Epigenetics
      • Information for Authors
      • Editorial Policies
      • Editorial Board
      • Aims and Scope
      • Abstracting and Indexing
      • Bibliographic Information
      • Archive
    • International Journal of Functional Nutrition
      • Information for Authors
      • Editorial Policies
      • Editorial Board
      • Aims and Scope
      • Abstracting and Indexing
      • Bibliographic Information
      • Archive
    • International Journal of Molecular Medicine
      • Information for Authors
      • Editorial Policies
      • Editorial Board
      • Aims and Scope
      • Abstracting and Indexing
      • Bibliographic Information
      • Archive
    • International Journal of Oncology
      • Information for Authors
      • Editorial Policies
      • Editorial Board
      • Aims and Scope
      • Abstracting and Indexing
      • Bibliographic Information
      • Archive
    • Medicine International
      • Information for Authors
      • Editorial Policies
      • Editorial Board
      • Aims and Scope
      • Abstracting and Indexing
      • Bibliographic Information
      • Archive
    • Molecular and Clinical Oncology
      • Information for Authors
      • Editorial Policies
      • Editorial Board
      • Aims and Scope
      • Abstracting and Indexing
      • Bibliographic Information
      • Archive
    • Molecular Medicine Reports
      • Information for Authors
      • Editorial Policies
      • Editorial Board
      • Aims and Scope
      • Abstracting and Indexing
      • Bibliographic Information
      • Archive
    • Oncology Letters
      • Information for Authors
      • Editorial Policies
      • Editorial Board
      • Aims and Scope
      • Abstracting and Indexing
      • Bibliographic Information
      • Archive
    • Oncology Reports
      • Information for Authors
      • Editorial Policies
      • Editorial Board
      • Aims and Scope
      • Abstracting and Indexing
      • Bibliographic Information
      • Archive
    • World Academy of Sciences Journal
      • Information for Authors
      • Editorial Policies
      • Editorial Board
      • Aims and Scope
      • Abstracting and Indexing
      • Bibliographic Information
      • Archive
  • Articles
  • Information
    • For Authors
    • For Reviewers
    • For Librarians
    • For Advertisers
    • Conferences
  • Language Editing
Login Register Submit
  • This site uses cookies
  • You can change your cookie settings at any time by following the instructions in our Cookie Policy. To find out more, you may read our Privacy Policy.

    I agree
Search articles by DOI, keyword, author or affiliation
Search
Advanced Search
presentation
Molecular and Clinical Oncology
Join Editorial Board Propose a Special Issue
Print ISSN: 2049-9450 Online ISSN: 2049-9469
Journal Cover
November-2015 Volume 3 Issue 6

Full Size Image

Sign up for eToc alerts
Recommend to Library

Journals

International Journal of Molecular Medicine

International Journal of Molecular Medicine

International Journal of Molecular Medicine is an international journal devoted to molecular mechanisms of human disease.

International Journal of Oncology

International Journal of Oncology

International Journal of Oncology is an international journal devoted to oncology research and cancer treatment.

Molecular Medicine Reports

Molecular Medicine Reports

Covers molecular medicine topics such as pharmacology, pathology, genetics, neuroscience, infectious diseases, molecular cardiology, and molecular surgery.

Oncology Reports

Oncology Reports

Oncology Reports is an international journal devoted to fundamental and applied research in Oncology.

Experimental and Therapeutic Medicine

Experimental and Therapeutic Medicine

Experimental and Therapeutic Medicine is an international journal devoted to laboratory and clinical medicine.

Oncology Letters

Oncology Letters

Oncology Letters is an international journal devoted to Experimental and Clinical Oncology.

Biomedical Reports

Biomedical Reports

Explores a wide range of biological and medical fields, including pharmacology, genetics, microbiology, neuroscience, and molecular cardiology.

Molecular and Clinical Oncology

Molecular and Clinical Oncology

International journal addressing all aspects of oncology research, from tumorigenesis and oncogenes to chemotherapy and metastasis.

World Academy of Sciences Journal

World Academy of Sciences Journal

Multidisciplinary open-access journal spanning biochemistry, genetics, neuroscience, environmental health, and synthetic biology.

International Journal of Functional Nutrition

International Journal of Functional Nutrition

Open-access journal combining biochemistry, pharmacology, immunology, and genetics to advance health through functional nutrition.

International Journal of Epigenetics

International Journal of Epigenetics

Publishes open-access research on using epigenetics to advance understanding and treatment of human disease.

Medicine International

Medicine International

An International Open Access Journal Devoted to General Medicine.

Journal Cover
November-2015 Volume 3 Issue 6

Full Size Image

Sign up for eToc alerts
Recommend to Library

  • Article
  • Citations
    • Cite This Article
    • Download Citation
    • Create Citation Alert
    • Remove Citation Alert
    • Cited By
  • Similar Articles
    • Related Articles (in Spandidos Publications)
    • Similar Articles (Google Scholar)
    • Similar Articles (PubMed)
  • Download PDF
  • Download XML
  • View XML
Article

Clinical characteristics and prognostic analysis of Krukenberg tumor

  • Authors:
    • Fang Wu
    • Xiaoai Zhao
    • Baibing Mi
    • Lu Feng
    • Na Yuan
    • Fuxi Lei
    • Min Li
    • Xinhan Zhao
  • View Affiliations / Copyright

    Affiliations: Department of Medical Oncology, The First Affiliated Hospital of Xi'an Jiaotong University School of Medicine, Xi'an, Shaanxi 710061, P.R. China, Department of Epidemiology and Biostatistics, School of Public Health, Xi'an Jiaotong University Health Science Center, Xi'an, Shaanxi 710061, P.R. China
  • Pages: 1323-1328
    |
    Published online on: September 2, 2015
       https://doi.org/10.3892/mco.2015.634
  • Expand metrics +
Metrics: Total Views: 0 (Spandidos Publications: | PMC Statistics: )
Metrics: Total PDF Downloads: 0 (Spandidos Publications: | PMC Statistics: )
Cited By (CrossRef): 0 citations Loading Articles...

This article is mentioned in:



Abstract

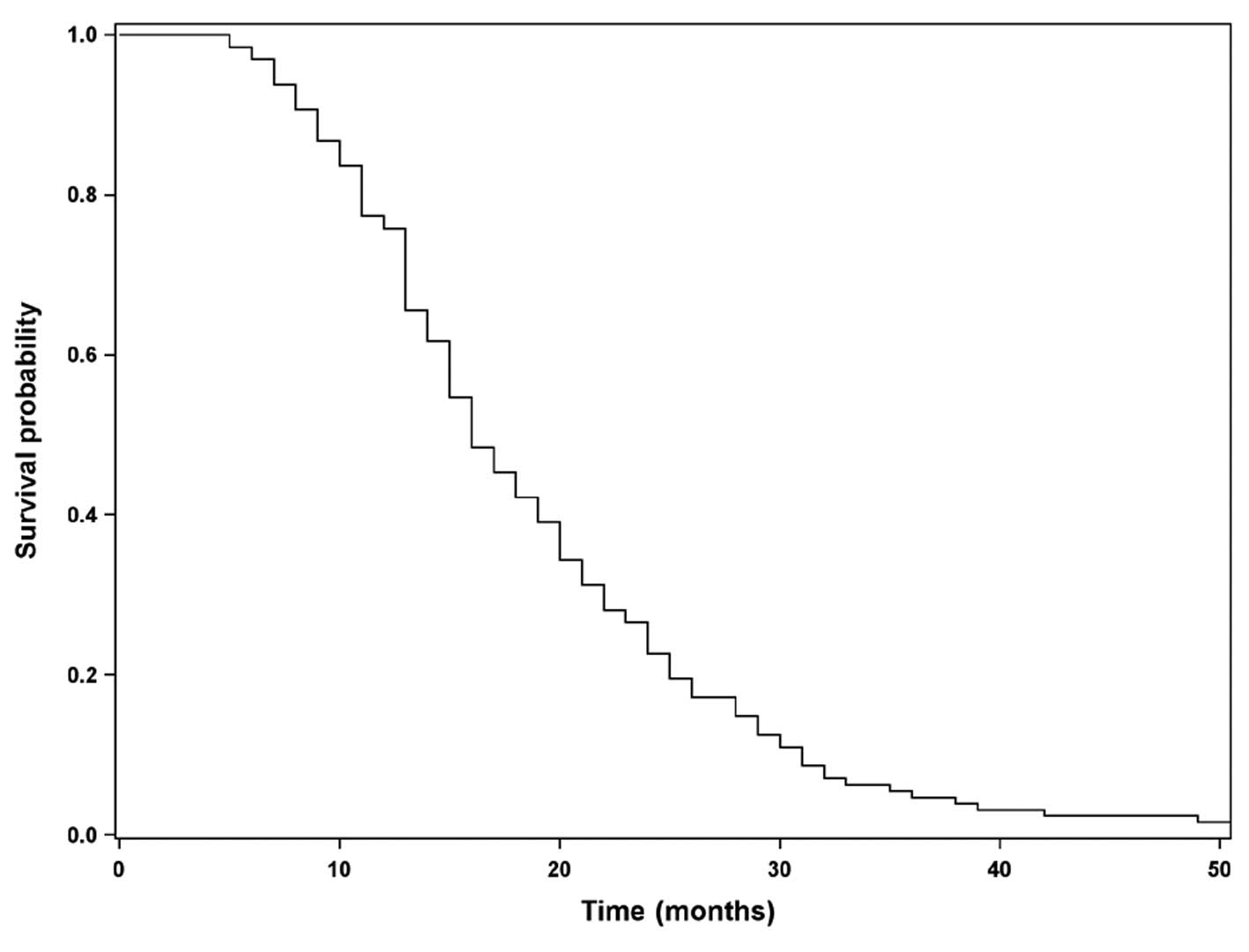
Krukenberg tumor is a rare metastastic tumor of the ovary, characterized by poor prognosis. In order to analyze the clinical characteristics and prognostic factors, we retrospectively investigated 128 patients who were diagnosed with Krukenberg tumor between January, 1990 and December, 2010. The median patient age was 48 years. The median overall survival (OS) of Krukenberg tumor for all patients was 16 months (95% CI: 15‑19 months). The median OS among patients with Krukenberg tumors of gastric, colorectal, breast and other origins (including appendix, gallbladder, small intestine and unknown primary) was 11, 21.5, 31 and 19.5 months, respectively (P<0.0001). In the univariate analysis, synchronous metastasis, no chemotherapy, ovarian metastasis beyond the pelvis, ascites and no metastasectomy were identified as significant poor prognostic factors. The multivariate analysis suggested that synchronous metastasis (P=0.0080), pelvic invasion (P=0.0138), ascites (P<0.0001) and no metastasectomy (P=0.0060) were independent factors for predicting unfavorable OS. It was suggested that the prognosis of Krukenberg tumor is dismal and ovarian metastasectomy may prove beneficial. adequate treatment planning is required for this group of patients.
View Figures

Figure 1

Figure 2

View References

1 

Al-Agha OM and Nicastri AD: An in-depth look at Krukenberg tumor: An overview. Arch Pathol Lab Med. 130:1725–1730. 2006.PubMed/NCBI

2 

Young RH: From Krukenberg to today: The ever present problems posed by metastatic tumors in the ovary: Part I. Historical perspective, general principles, mucinous tumors including the Krukenberg tumor. Adv Anat Pathol. 13:205–227. 2006.PubMed/NCBI

3 

Novak C and Gray LA: Krukenberg tumor of the ovary: Clinical and pathological study of four cases. Surg Gynecol Obstet. 66:157–165. 1938.

4 

Serov SF and Scully RE: Histological typing of ovarian tumors. International Histological Classification of Tumours. 9:(Geneva). WHO. 1973.

5 

Lu W, Yuan L, Liu X and Guo SW: Identification of prognostic factors for Krukenberg tumor. GMIT. 2:52–56. 2013.

6 

La Fianza A, Alberici E, Pistorio A and Generoso P: Differential diagnosis of Krukenberg tumors using multivariate analysis. Tumori. 88:284–287. 2002.PubMed/NCBI

7 

Yoo CH, Noh SH, Shin DW, Choi SH and Min JS: Recurrence following curative resection for gastric carcinoma. Br J Surg. 87:236–242. 2000. View Article : Google Scholar : PubMed/NCBI

8 

Shin DW, Hyung WJ, Noh SH and Min JS: Risk factors for recurrence after curative surgery for early gastric cancer. J Korean Gastric Cancer Assoc. 1:106–112. 2001.

9 

Kauff ND and Barakat RR: Risk-reducing salpingo-oophorectomy in patients with germline mutations in BRCA1 or BRCA2. J Clin Oncol. 25:2921–2927. 2007. View Article : Google Scholar : PubMed/NCBI

10 

Januszewska M, Emerich J, Dibniak J, Sliwinski W and Stukan M: Clinical analysis of patients with Krukenberg tumor of the ovary. Ginekol Pol. 77:203–208. 2006.((In Polish)). PubMed/NCBI

11 

Kiyokawa T, Young RH and Scully RE: Krukenberg tumors of the ovary: A clinicopathologic analysis of 120 cases with emphasis on their variable pathologic manifestations. Am J Surg Pathol. 30:277–299. 2006.PubMed/NCBI

12 

Moore RG, Chung M, Granai CO, Gajewski W and Steinhoff MM: Incidence of metastasis to the ovaries from nongenital tract primary tumors. Gynecol Oncol. 93:87–91. 2004. View Article : Google Scholar : PubMed/NCBI

13 

Jiang R, Tang J, Cheng X and Zang RY: Surgical treatment for patients with different origins of Krukenberg tumors: Outcomes and prognostic factors. Eur J Surg Oncol. 35:92–97. 2009. View Article : Google Scholar : PubMed/NCBI

14 

Xue Z, Yan H, Li J, Liang S, Cai X, Chen X, Wu Q, Gao L, Wu K, Nie Y, et al: Identification of cancer stem cells in vincristine preconditioned SGC7901 gastric cancer cell line. J Cell Biochem. 113:302–312. 2012. View Article : Google Scholar : PubMed/NCBI

15 

Li W, Wang H, Wang JLVF, Zhu X and Wang Z: Ovarian metastases resection from extragenital primary sites: Outcome and prognostic factor analysis of 147 patients. BMC Cancer. 12:2782012. View Article : Google Scholar : PubMed/NCBI

16 

Peng W, Hua RX, Jiang R, Ren C, Jia YN, Li J and Guo WJ: Surgical treatment for patients with Krukenberg tumor of stomach origin: Clinical outcome and prognostic factors analysis. PLoS One. 8:e682272013. View Article : Google Scholar : PubMed/NCBI

17 

Kim HK, Heo DS, Bang YJ and Kim NK: Prognostic factors of Krukenberg's tumor. Gynecol Oncol. 82:105–109. 2001. View Article : Google Scholar : PubMed/NCBI

18 

Yonemura Y, Bandou E, Kinoshita K, Kawamura T, Takahashi S, Endou Y and Sasaki T: Effective therapy for peritoneal dissemination in gastric cancer. Surg Oncol Clin N Am. 12:635–648. 2003. View Article : Google Scholar : PubMed/NCBI

19 

Ayhan A, Guvenal T, Salman MC, Ozyuncu O, Sakinci M and Basaran M: The role of cytoreductive surgery in nongenital cancers metastatic to the ovaries. Gynecol Oncol. 98:235–241. 2005. View Article : Google Scholar : PubMed/NCBI

20 

Kim WY, Kim TJ, Kim SE, Lee JW, Lee JH, Kim BG and Bae DS: The role of cytoreductive surgery for non-genital tract metastatic tumors to the ovaries. Eur J Obstet Gynecol Reprod Biol. 149:97–101. 2010. View Article : Google Scholar : PubMed/NCBI

21 

Erroi F, Scarpa M, Angriman I, Cecchetto A, Pasetto L, Mollica E, Bettiol M, Ruffolo C, Polese L, Cillo U, et al: Ovarian metastasis from colorectal cancer: Prognostic value of radical oophorectomy. J Surg Oncol. 96:113–117. 2007. View Article : Google Scholar : PubMed/NCBI

22 

Cheong JH, Hyung WJ, Chen J, Kim J, Choi SH and Noh SH: Survival benefit of metastasectomy for Krukenberg tumors from gastric cancer. Gynecol Oncol. 94:477–482. 2004. View Article : Google Scholar : PubMed/NCBI

23 

Kim KH, Lee KW, Baek SK, Chang HJ, Kim YJ, Park J, Kim JH, Kim HH and Lee JS: Survival benefit of gastrectomy ± metastasectomy in patients with metastatic gastric cancer receiving chemotherapy. Gastric Cancer. 14:130–138. 2011. View Article : Google Scholar : PubMed/NCBI

Related Articles

  • Abstract
  • View
  • Download
  • Twitter
Copy and paste a formatted citation
Spandidos Publications style
Wu F, Zhao X, Mi B, Feng L, Yuan N, Lei F, Li M and Zhao X: Clinical characteristics and prognostic analysis of Krukenberg tumor. Mol Clin Oncol 3: 1323-1328, 2015.
APA
Wu, F., Zhao, X., Mi, B., Feng, L., Yuan, N., Lei, F. ... Zhao, X. (2015). Clinical characteristics and prognostic analysis of Krukenberg tumor. Molecular and Clinical Oncology, 3, 1323-1328. https://doi.org/10.3892/mco.2015.634
MLA
Wu, F., Zhao, X., Mi, B., Feng, L., Yuan, N., Lei, F., Li, M., Zhao, X."Clinical characteristics and prognostic analysis of Krukenberg tumor". Molecular and Clinical Oncology 3.6 (2015): 1323-1328.
Chicago
Wu, F., Zhao, X., Mi, B., Feng, L., Yuan, N., Lei, F., Li, M., Zhao, X."Clinical characteristics and prognostic analysis of Krukenberg tumor". Molecular and Clinical Oncology 3, no. 6 (2015): 1323-1328. https://doi.org/10.3892/mco.2015.634
Copy and paste a formatted citation
x
Spandidos Publications style
Wu F, Zhao X, Mi B, Feng L, Yuan N, Lei F, Li M and Zhao X: Clinical characteristics and prognostic analysis of Krukenberg tumor. Mol Clin Oncol 3: 1323-1328, 2015.
APA
Wu, F., Zhao, X., Mi, B., Feng, L., Yuan, N., Lei, F. ... Zhao, X. (2015). Clinical characteristics and prognostic analysis of Krukenberg tumor. Molecular and Clinical Oncology, 3, 1323-1328. https://doi.org/10.3892/mco.2015.634
MLA
Wu, F., Zhao, X., Mi, B., Feng, L., Yuan, N., Lei, F., Li, M., Zhao, X."Clinical characteristics and prognostic analysis of Krukenberg tumor". Molecular and Clinical Oncology 3.6 (2015): 1323-1328.
Chicago
Wu, F., Zhao, X., Mi, B., Feng, L., Yuan, N., Lei, F., Li, M., Zhao, X."Clinical characteristics and prognostic analysis of Krukenberg tumor". Molecular and Clinical Oncology 3, no. 6 (2015): 1323-1328. https://doi.org/10.3892/mco.2015.634
Follow us
  • Twitter
  • LinkedIn
  • Facebook
About
  • Spandidos Publications
  • Careers
  • Cookie Policy
  • Privacy Policy
How can we help?
  • Help
  • Live Chat
  • Contact
  • Email to our Support Team