Spandidos Publications Logo
  • About
    • About Spandidos
    • Aims and Scopes
    • Abstracting and Indexing
    • Editorial Policies
    • Reprints and Permissions
    • Job Opportunities
    • Terms and Conditions
    • Contact
  • Journals
    • All Journals
    • Oncology Letters
      • Oncology Letters
      • Information for Authors
      • Editorial Policies
      • Editorial Board
      • Aims and Scope
      • Abstracting and Indexing
      • Bibliographic Information
      • Archive
    • International Journal of Oncology
      • International Journal of Oncology
      • Information for Authors
      • Editorial Policies
      • Editorial Board
      • Aims and Scope
      • Abstracting and Indexing
      • Bibliographic Information
      • Archive
    • Molecular and Clinical Oncology
      • Molecular and Clinical Oncology
      • Information for Authors
      • Editorial Policies
      • Editorial Board
      • Aims and Scope
      • Abstracting and Indexing
      • Bibliographic Information
      • Archive
    • Experimental and Therapeutic Medicine
      • Experimental and Therapeutic Medicine
      • Information for Authors
      • Editorial Policies
      • Editorial Board
      • Aims and Scope
      • Abstracting and Indexing
      • Bibliographic Information
      • Archive
    • International Journal of Molecular Medicine
      • International Journal of Molecular Medicine
      • Information for Authors
      • Editorial Policies
      • Editorial Board
      • Aims and Scope
      • Abstracting and Indexing
      • Bibliographic Information
      • Archive
    • Biomedical Reports
      • Biomedical Reports
      • Information for Authors
      • Editorial Policies
      • Editorial Board
      • Aims and Scope
      • Abstracting and Indexing
      • Bibliographic Information
      • Archive
    • Oncology Reports
      • Oncology Reports
      • Information for Authors
      • Editorial Policies
      • Editorial Board
      • Aims and Scope
      • Abstracting and Indexing
      • Bibliographic Information
      • Archive
    • Molecular Medicine Reports
      • Molecular Medicine Reports
      • Information for Authors
      • Editorial Policies
      • Editorial Board
      • Aims and Scope
      • Abstracting and Indexing
      • Bibliographic Information
      • Archive
    • World Academy of Sciences Journal
      • World Academy of Sciences Journal
      • Information for Authors
      • Editorial Policies
      • Editorial Board
      • Aims and Scope
      • Abstracting and Indexing
      • Bibliographic Information
      • Archive
    • International Journal of Functional Nutrition
      • International Journal of Functional Nutrition
      • Information for Authors
      • Editorial Policies
      • Editorial Board
      • Aims and Scope
      • Abstracting and Indexing
      • Bibliographic Information
      • Archive
    • International Journal of Epigenetics
      • International Journal of Epigenetics
      • Information for Authors
      • Editorial Policies
      • Editorial Board
      • Aims and Scope
      • Abstracting and Indexing
      • Bibliographic Information
      • Archive
    • Medicine International
      • Medicine International
      • Information for Authors
      • Editorial Policies
      • Editorial Board
      • Aims and Scope
      • Abstracting and Indexing
      • Bibliographic Information
      • Archive
  • Articles
  • Information
    • Information for Authors
    • Information for Reviewers
    • Information for Librarians
    • Information for Advertisers
    • Conferences
  • Language Editing
Spandidos Publications Logo
  • About
    • About Spandidos
    • Aims and Scopes
    • Abstracting and Indexing
    • Editorial Policies
    • Reprints and Permissions
    • Job Opportunities
    • Terms and Conditions
    • Contact
  • Journals
    • All Journals
    • Biomedical Reports
      • Information for Authors
      • Editorial Policies
      • Editorial Board
      • Aims and Scope
      • Abstracting and Indexing
      • Bibliographic Information
      • Archive
    • Experimental and Therapeutic Medicine
      • Information for Authors
      • Editorial Policies
      • Editorial Board
      • Aims and Scope
      • Abstracting and Indexing
      • Bibliographic Information
      • Archive
    • International Journal of Epigenetics
      • Information for Authors
      • Editorial Policies
      • Editorial Board
      • Aims and Scope
      • Abstracting and Indexing
      • Bibliographic Information
      • Archive
    • International Journal of Functional Nutrition
      • Information for Authors
      • Editorial Policies
      • Editorial Board
      • Aims and Scope
      • Abstracting and Indexing
      • Bibliographic Information
      • Archive
    • International Journal of Molecular Medicine
      • Information for Authors
      • Editorial Policies
      • Editorial Board
      • Aims and Scope
      • Abstracting and Indexing
      • Bibliographic Information
      • Archive
    • International Journal of Oncology
      • Information for Authors
      • Editorial Policies
      • Editorial Board
      • Aims and Scope
      • Abstracting and Indexing
      • Bibliographic Information
      • Archive
    • Medicine International
      • Information for Authors
      • Editorial Policies
      • Editorial Board
      • Aims and Scope
      • Abstracting and Indexing
      • Bibliographic Information
      • Archive
    • Molecular and Clinical Oncology
      • Information for Authors
      • Editorial Policies
      • Editorial Board
      • Aims and Scope
      • Abstracting and Indexing
      • Bibliographic Information
      • Archive
    • Molecular Medicine Reports
      • Information for Authors
      • Editorial Policies
      • Editorial Board
      • Aims and Scope
      • Abstracting and Indexing
      • Bibliographic Information
      • Archive
    • Oncology Letters
      • Information for Authors
      • Editorial Policies
      • Editorial Board
      • Aims and Scope
      • Abstracting and Indexing
      • Bibliographic Information
      • Archive
    • Oncology Reports
      • Information for Authors
      • Editorial Policies
      • Editorial Board
      • Aims and Scope
      • Abstracting and Indexing
      • Bibliographic Information
      • Archive
    • World Academy of Sciences Journal
      • Information for Authors
      • Editorial Policies
      • Editorial Board
      • Aims and Scope
      • Abstracting and Indexing
      • Bibliographic Information
      • Archive
  • Articles
  • Information
    • For Authors
    • For Reviewers
    • For Librarians
    • For Advertisers
    • Conferences
  • Language Editing
Login Register Submit
  • This site uses cookies
  • You can change your cookie settings at any time by following the instructions in our Cookie Policy. To find out more, you may read our Privacy Policy.

    I agree
Search articles by DOI, keyword, author or affiliation
Search
Advanced Search
presentation
Molecular and Clinical Oncology
Join Editorial Board Propose a Special Issue
Print ISSN: 2049-9450 Online ISSN: 2049-9469
Journal Cover
May-2016 Volume 4 Issue 5

Full Size Image

Sign up for eToc alerts
Recommend to Library

Journals

International Journal of Molecular Medicine

International Journal of Molecular Medicine

International Journal of Molecular Medicine is an international journal devoted to molecular mechanisms of human disease.

International Journal of Oncology

International Journal of Oncology

International Journal of Oncology is an international journal devoted to oncology research and cancer treatment.

Molecular Medicine Reports

Molecular Medicine Reports

Covers molecular medicine topics such as pharmacology, pathology, genetics, neuroscience, infectious diseases, molecular cardiology, and molecular surgery.

Oncology Reports

Oncology Reports

Oncology Reports is an international journal devoted to fundamental and applied research in Oncology.

Experimental and Therapeutic Medicine

Experimental and Therapeutic Medicine

Experimental and Therapeutic Medicine is an international journal devoted to laboratory and clinical medicine.

Oncology Letters

Oncology Letters

Oncology Letters is an international journal devoted to Experimental and Clinical Oncology.

Biomedical Reports

Biomedical Reports

Explores a wide range of biological and medical fields, including pharmacology, genetics, microbiology, neuroscience, and molecular cardiology.

Molecular and Clinical Oncology

Molecular and Clinical Oncology

International journal addressing all aspects of oncology research, from tumorigenesis and oncogenes to chemotherapy and metastasis.

World Academy of Sciences Journal

World Academy of Sciences Journal

Multidisciplinary open-access journal spanning biochemistry, genetics, neuroscience, environmental health, and synthetic biology.

International Journal of Functional Nutrition

International Journal of Functional Nutrition

Open-access journal combining biochemistry, pharmacology, immunology, and genetics to advance health through functional nutrition.

International Journal of Epigenetics

International Journal of Epigenetics

Publishes open-access research on using epigenetics to advance understanding and treatment of human disease.

Medicine International

Medicine International

An International Open Access Journal Devoted to General Medicine.

Journal Cover
May-2016 Volume 4 Issue 5

Full Size Image

Sign up for eToc alerts
Recommend to Library

  • Article
  • Citations
    • Cite This Article
    • Download Citation
    • Create Citation Alert
    • Remove Citation Alert
    • Cited By
  • Similar Articles
    • Related Articles (in Spandidos Publications)
    • Similar Articles (Google Scholar)
    • Similar Articles (PubMed)
  • Download PDF
  • Download XML
  • View XML
Article

Effect of acid suppressants on the efficacy of tyrosine kinase inhibitors in patients with epidermal growth factor receptor‑mutated non‑small‑cell lung cancer

  • Authors:
    • Kunihiko Miyazaki
    • Shinya Sato
    • Takahide Kodama
    • Tomohiro Tamura
    • Katsunori Kagohashi
    • Hiroaki Satoh
    • Nobuyuki Hizawa
  • View Affiliations / Copyright

    Affiliations: Ryugasaki Saiseikai General Hospital, Ryugasaki, Ibaraki 135‑0033, Japan, Faculty of Medicine, Institute of Clinical Medicine, University of Tsukuba, Tsukuba 305‑8575, Japan, Division of Respiratory Medicine, Mito Medical Center, University of Tsukuba Hospital, University of Tsukuba, Mito, Ibaraki 310‑0015, Japan
  • Pages: 873-877
    |
    Published online on: March 9, 2016
       https://doi.org/10.3892/mco.2016.810
  • Expand metrics +
Metrics: Total Views: 0 (Spandidos Publications: | PMC Statistics: )
Metrics: Total PDF Downloads: 0 (Spandidos Publications: | PMC Statistics: )
Cited By (CrossRef): 0 citations Loading Articles...

This article is mentioned in:



Abstract

This retrospective study was conducted to evaluate whether oral acid suppressant (AS) therapy is associated with decreased efficacy of gefitinib and erlotinib, particularly in patients with mutated epidermal growth factor receptor (EGFR). A total of 46 consecutive patients with pathologically confirmed non‑small‑cell lung cancer (NSCLC), who were treated with tyrosine kinase inhibitors (TKIs) in two tertiary hospitals between September, 2005 and May, 2013, were retrospectively analyzed. of the 46 patients, 11 received AS treatment. As regards age, gender, smoking history, performance status, histology of lung cancer, clinical stage, body surface area (BSA) and type of EGFR mutation, there were no statistically significant differences between patients with and those without AS treatment. There was no statistically significant difference in progression‑free survival (PFS) or overall survival (OS) between the two groups of patients (P=0.296 and 0.613, respectively). As regards the relative dose of TKI̸BSA and survival in patients with and those without AS treatment, there were no statistically significant differences in PFS and OS between the two groups of patients. Our study indicates that AS treatment may not compromise TKI efficacy (gefitinib or erlotinib) in NSCLC patients with mutated EGFR. Prospective studies and large‑scale confirmation studies investigating the effect of AS co‑administration with TKIs in patients with mutated EGFR may be meaningful in clinical practice.

Introduction

As gastroesophageal reflux disease is highly prevalent among the elderly (1) and peptic ulcer and diffuse erosive gastritis are not uncommon among cancer patients who are under severe mental stress (2), acid suppressant (AS) therapy with a histamine type-2 receptor antagonist (H2RA) and/or a proton pump inhibitor (PPI) are usually prescribed in these patients. Although not common, dyspepsia and abdominal discomfort are two of the possible adverse effects of epidermal growth factor receptor tyrosine kinase inhibitors (EGFR-TKIs) (3). Therefore, drug interactions between AS and TKIs are a clinical issue in the management of patients treated with TKIs. During preclinical evaluation, one of the TKIs, erlotinib, was found to exhibit pH-dependent solubility, with a dissociation constant of 5.4 (3). This pH-dependent solubility was reflected in a study that compared its plasma concentrations in healthy subjects who were or were not receiving AS therapy (4). In addition, the H2RA ranitidine decreased the median area under the curve (AUC) of erlotinib by 33% (3). Recently, two clinical evaluations of the interaction between AS therapy and erlotinib have been reported, and they reported opposing findings, namely that AS therapy was associated with decreased erlotinib efficacy (5) and that there was no such an association (6). These studies included patients with unknown EGFR mutation status and only evaluated the efficacy of erlotinib therapy (5,6). On the other hand, however, Ter Heine et al reported lower than expected erlotinib trough concentrations in a patient who received pantoprazole, an intravenous PPI, but this discrepancy was not observed when oral pantoprazole was prescribed (7). The EGFR mutation status was not described in that case report.

In the present study, we investigated whether oral AS therapy is truly associated with decreased efficacy of gefitinib and erlotinib, particularly in patients with mutated EGFR.

Patients and methods

Patients

A total of 46 consecutive patients with pathologically confirmed non-small-cell lung cancer (NSCLC), who were treated with TKIs at the Ryugasaki Saiseikai General Hospital and the Mito Medical Center between September, 2005 and May, 2013, were retrospectively analyzed. The histopathological diagnoses were performed according to the World Health Organization classification system (8) and the patients were staged according to the Union for International Cancer Control tumor-node-metastasis staging system (9).

The patient characteristics and the treatment efficacy and safety were evaluated using patient data extracted from the database of each participating institution. Tumor response was classified as complete response, partial response, stable disease, progressive disease or not evaluable, according to the Response Evaluation Criteria in Solid Tumors, version 1.1 (10).

We next evaluated the TKI dose prescribed and patient survival, taking body surface area (BSA) into consideration. Briefly, we defined relative dose of TKI as the prescribed dose divided by the full dose (gefitinib, 250 mg; erlotinib, 150 mg). In addition, we divided the relative dose of TKI by BSA and evaluated the association between relative dose of TKI/BSA and survival of patients with or without AS treatment.

The present retrospective study conformed to the Ethical Guidelines for Clinical Studies issued by the Ministry of Health, Labor and Welfare of Japan. Ethical approval of this study was obtained from the Institutional Review Board of the Ryugasaki Saiseikai Hospital (Ryugasaki, Japan).

Statistical analysis

Statistical significance was determined using the Mann-Whitney U test and the Chi-square test. Survival time was calculated from the day of TKI initiation to death or last follow-up. The survival rate was analyzed with the Kaplan-Meier method and comparisons were performed using the log-rank test. P<0.05 was considered to indicate a statistically significant difference.

Results

Patient characteristics

During the study period, a total of 46 patients were treated with TKIs (29 with gefitinib and 17 with erlotinib). Of the 46 patients, 11 received AS treatment and 35 did not. The characteristics of EGFR-mutated NSCLC patients with or without AS treatment are summarized in Table I. As regards age, gender, smoking history, performance status, cancer histology, clinical stage, BSA and type of EGFR mutation, there were no statistically differences between the two groups.

Table I.

Characteristics of EGFR-mutated NSCLC patients with or without acid suppressant (AS) treatment.

Table I.

Characteristics of EGFR-mutated NSCLC patients with or without acid suppressant (AS) treatment.

CharacteristicsWith AS (n=11)Without AS (n=35)P-value
Age, years [median (range)]74 (52–88)77 (52–89)0.708
Gender 1.000
  Male  2  9
  Female  926
Smoking history 0.559
  Never smokers1131
  Current/former smoker  0  4
ECOG performance status 0.433
  0–11031
  2–4  1  4
Histology 0.138
  Adenocarcinoma  934
  Others  2  1
Stage 1.000
  IIIA  2  8
  IV  927
Body surface area, m2 [median (range)]1.42 (1.11–1.86)1.41 (1.17–1.83)0.588
EGFR mutation 0.133
  Exon 19 deletion  915
  Exon21 L858R  218
  Others  0  2

[i] EGFR, epidermal growth factor receptor; NSCLC, non-small-cell lung cancer; ECOG, Eastern Cooperative Oncology Group.

TKI therapy

The characteristics of TKI therapy are shown in Table II. There were no statistically significant differences in terms of TKI prescribed, dose reduction, prior therapy and relative dose of TKI/BSA between patients with and those without AS treatment.

Table II.

Prescribed TKIs, dose reduction, prior therapy and % of initial dose/BSA in patients with or without AS treatment.

Table II.

Prescribed TKIs, dose reduction, prior therapy and % of initial dose/BSA in patients with or without AS treatment.

VariablesWith ASWithout ASP-value
Prescribed TKI (patient no.) 0.501
  Gefitinib821
  Erlotinib314
TKI dose reduction 0.2419
  Present213
  Absent922
Prior therapy 0.282
  Present414
  Absent721
% of initial dose/BSA (%/m2) 0.471
  Median (range)70.4 (48.9–90.1)70.9 (47.5–85.5)

[i] TKI, tyrosine kinase inhibitor; BSA, body surface area; AS, acid suppressant.

Survival analysis

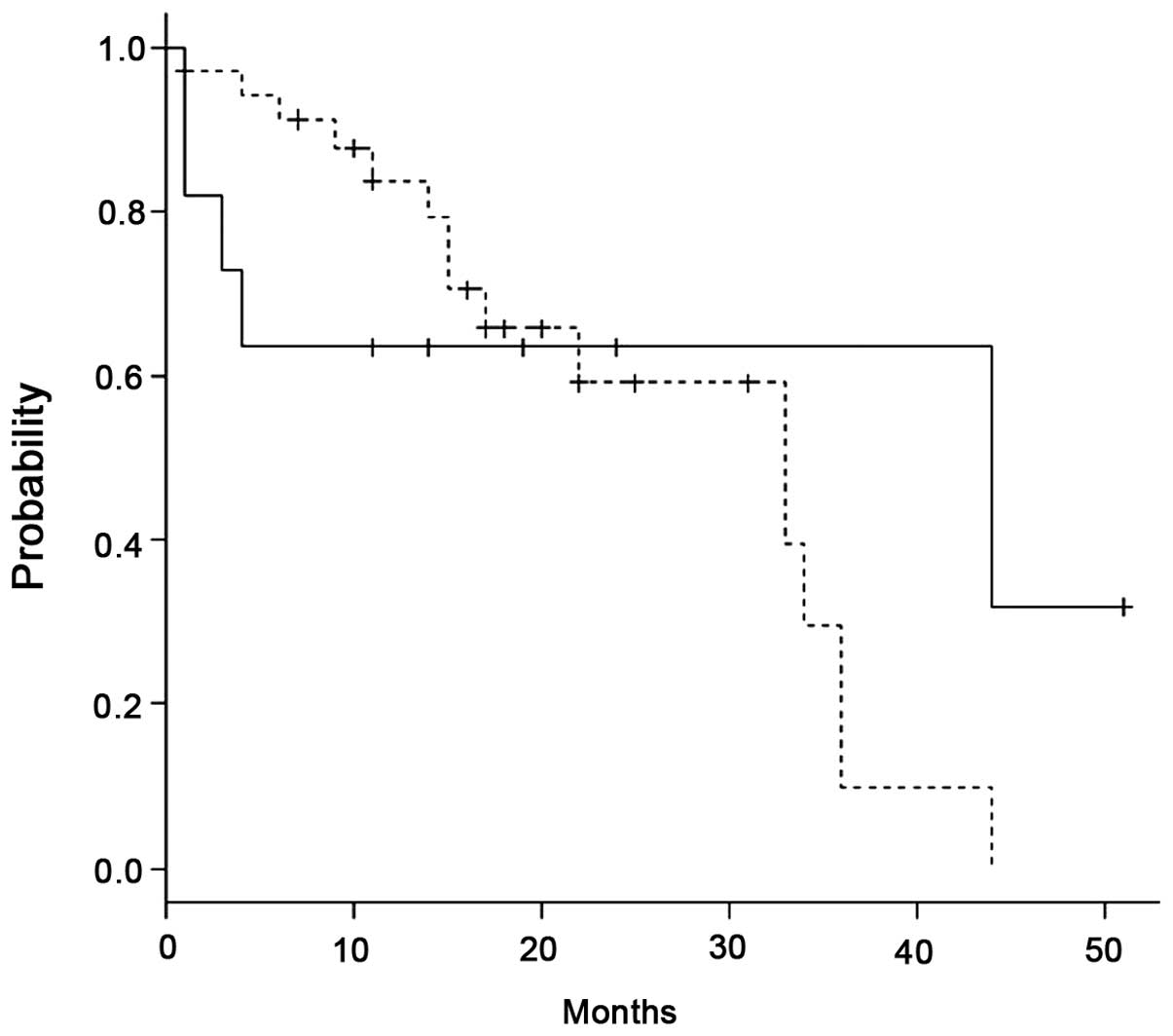
There were no statistically significant differences in PFS between the 11 patients with AS and the 35 patients without AS treatment (Fig. 1) (P=0.296). OS also did not differ significantly between the two groups (Fig. 2) (P=0.613).

Figure 1.

Progression-free survival curves of epidermal growth factor receptor-mutated non-small-cell cancer patients with or without acid supressant (AS) treatment. Solid line, patients with AS; dashed line, patients without AS.

Figure 2.

Overall survival curves of epidermal growth factor receptor-mutated non-small-cell cancer patients with or without acid supressant (AS) treatment. Solid line, patients with AS; dashed line, patients without AS.

Association between relative dose of TKI/BSA and survival

We next evaluated the association between the relative dose of TKI/BSA and survival in NSCLC patients with or without AS treatment. The median of the relative dose of TKI/BSA in patients with AS and those without AS was 70.4 and 70.9 %/m2, respectively (Table II); therefore, we performed the analysis in patients with a relative dose of TKI/BSA of ≥70 and in those with a relative dose of TKI/BSA of <70 %/m2. There were no statistically significant differences in PFS and OS between the two groups of patients (Table III).

Table III.

Relative dose of TKI/BSA and survival in patients with or without AS treatment.

Table III.

Relative dose of TKI/BSA and survival in patients with or without AS treatment.

Survival

Relative dose of TKIa/BSAWith ASWithout ASP-value
≥70 (%/m2)
  Number of patients517
  PFS, months (range)24 (1-NA)18 (2-NA)0.959
  OS, months (range)44 (1-NA)34 (17-NA)0.342
<70 (%/m2)
  Number of patients618
  PFS, months (range)6 (1-NA)13 (2–29)0.959
  OS, months (range)4 (1-NA)22 (11-NA)0.361

a Prescribed dose/full dose (gefitinib, 250 mg; erlotinib, 150 mg). TKI, tyrosine kinase inhibitor; BSA, body surface area; AS, acid suppressant; PFS, progression-free survival; OS, overall survival; NA, not applicable.

Discussion

In the present study, we evaluated whether oral AS therapy is truly associated with decreased efficacy of gefitinib and erlotinib, particularly in patients with mutated EGFR. Our results demonstrated that oral AS therapy is not associated with decreased efficacy of gefitinib and erlotinib in patients with mutated EGFR, which was inconsistent (5) or consistent (6) with previous studies. Chu et al (5) reported that gastric acid suppression was associated with decreased erlotinib efficacy in NSCLC patients. That retrospective study included 507 patients with advanced NSCLC, but there were 487 patients with unknown EGFR mutation status. By contrast, Hilton et al (6) reported that the co-administration of AS treatment with erlotinib did not appear to exert a significant effect on the median plasma drug levels or the outcome. The study evaluated pharmacokinetics and survival in the patients of a phase III clinical trial (BR.21), but there was no information regarding the association among AS treatment, EGFR mutation status and patient survival (6). Although it is clear that AS administration may affect the absorption of erlotinib in an experimental setting, it is uncertain whether the decreased erlotinib efficacy associated with AS in the study by Chu et al (5) can be generalized when AS agents are prescribed for oral use, or when other TKIs, such as gefitinib, are prescribed in patients with mutated EGFR. This inconsistence in the results may be attributed to a number of possible reasons, such as the difference in EGFR mutation status, difference in BSA of the patients, difference in the AS agent prescribed, and different ethnicities. All our patients had mutated EGFR, the median BSA of the patients was 1.41–1.42 m2, all the patients had received oral AS treatment, and all our patients were Asians and Caucasians similar to the study by Chu et al (5).

It is well known that the association between the maximum tolerated dose (MTD) and recommended dose (RD) in erlotinib and gefitinib treatment may be associated with this inconsistency. The RD of gefitinib (250 mg/day) for NSCLC is only one-third of its MTD, whereas the RD used for erlotinib (150 mg/day) is its MTD (11,12). Cigarette smoking is a well-known factor that may alter erlotinib plasma levels (13). In our study, there was no difference in smoking status between patients with and those without AS treatment. In addition, no patients were smoking during the TKI administration. Another explanation for the inconsistency may be that it reflects the presence of comorbidities where AS use was indicated, such as aspirin for cardiovascular disease, dexamethasone for symptomatic NSCLC, gastroesophageal reflux or treatment for duodenal or gastric ulcers. Taking this evidence into consideration, we hypothesized that, in patients with mutated EGFR, decreased AUC by AS therapy may exert a relatively smaller effect on TKI efficacy compared with that in patients with wild-type EGFR, i.e., prevalence of an EGFR mutation may allow a significantly lower than standard TKI dose to be effective, thereby circumventing the reduced TKI absorption caused by AS therapy, as suggested by Yeo et al in a study on erlotinib therapy (14).

The main limitation of our study is due to its retrospective design and the small sample size. In addition, there were no data on pharmacokinetics and its effect on treatment efficacy. In addition, no data are available on whether AS treatment decreases TKI serum levels in Japanese patients. If so, it is not known whether the serum level is decreased below what would be clinically efficient. However, despite these limitations, the difference in our outcomes compared with those of previous studies on erlotinib therapy may be of clinical value when administering TKIs and AS therapy in NSCLC patients with mutated EGFR.

In conclusion, our study suggests that AS treatment may not compromise TKI efficacy in patients with mutated EGFR. Prospective studies and large-scale confirmation studies investigating the effect of AS and TKI co-administration in NSCLC patients with mutated EGFR may be meaningful in clinical practice.

References

1 

Achem SR and DeVault KR: Gastroesophageal reflux disease and the elderly. Gastroenterol Clin North Am. 43:147–160. 2014. View Article : Google Scholar : PubMed/NCBI

2 

Keynes WM: Medical response to mental stress. J R Soc Med. 87:536–539. 1994.PubMed/NCBI

3 

US Food and Drug Administration: Center for Drug Evaluation and Research. Tarceva NDA 21–743/S000 clinical pharmacology and biopharmaceutics review. November 18–2004.http://www.accessdata.fda.gov/drugsatfda_docs/nda/2004/21-743_Tarceva_biopharmr.PDFAccessed. May 01–2014

4 

Budha NR, Frymoyer A, Smelick GS, Jin JY, Yago MR, Dresser MJ, Holden SN, Benet LZ and Ware JA: Drug absorption interactions between oral targeted anticancer agents and PPIs: Is pH-dependent solubility the Achilles heel of targeted therapy? Clin Pharmacol Ther. 92:203–213. 2012. View Article : Google Scholar : PubMed/NCBI

5 

Chu MP, Ghosh S, Chambers CR, Basappa N, Butts CA, Chu Q, Fenton D, Joy AA, Sangha R, Smylie M and Sawyer MB: Gastric acid suppression is associated with decreased erlotinib efficacy in non-small-cell lung cancer. Clin Lung Cancer. 16:33–39. 2015. View Article : Google Scholar : PubMed/NCBI

6 

Hilton JF, Tu D, Seymour L, Shepherd FA and Bradbury PA: An evaluation of the possible interaction of gastric acid suppressing medication and the EGFR tyrosine kinase inhibitor erlotinib. Lung Cancer. 82:136–142. 2013. View Article : Google Scholar : PubMed/NCBI

7 

Ter Heine R, Fanggiday JC, Lankheet NA, Beijnen JH, Van Der Westerlaken MM, Staaks GH and Malingré MM: Erlotinib and pantoprazole: A relevant interaction or not? Br J Clin Pharmacol. 70:908–911. 2010. View Article : Google Scholar : PubMed/NCBI

8 

Travis WD, Brambilla E, Muller-Hermelink HK and Harris CC: Pathology and genetics: Tumours of the Lung, Pleura, Thymus and Heart. IARC Press. Lyon: 9–122. 2004.

9 

Vallières E, Shepherd FA, Crowley J, et al: International Association for the Study of Lung Cancer International Staging Committee and Participating Institutions: The IASLC Lung Cancer Staging Project: Proposals regarding the relevance of TNM in the pathologic staging of small cell lung cancer in the forthcoming (seventh) edition of the TNM classification for lung cancer. J Thorac Oncol. 4:1049–1059. 2009. View Article : Google Scholar : PubMed/NCBI

10 

Eisenhauer EA, Therasse P, Bogaerts J, Schwartz LH, Sargent D, Ford R, Dancey J, Arbuck S, Gwyther S, Mooney M, et al: New response evaluation criteria in solid tumours: Revised RECIST guideline (version 1.1). Eur J Cancer. 45:228–247. 2009. View Article : Google Scholar : PubMed/NCBI

11 

Costa DB, Nguyen KS, Cho BC, Sequist LV, Jackman DM, Riely GJ, Yeap BY, Halmos B, Kim JH, Jänne PA, et al: Effects of erlotinib in EGFR mutated non-small cell lung cancers with resistance to gefitinib. Clin Cancer Res. 14:7060–7077. 2008. View Article : Google Scholar : PubMed/NCBI

12 

Rukazenkov Y, Speake G, Marshall G, Anderton J, Davies BR, Wilkinson RW, Hickinson Mark D and Swaisland A: Epidermal growth factor receptor tyrosine kinase inhibitors: Similar but different? Anticancer Drugs. 20:856–866. 2009. View Article : Google Scholar : PubMed/NCBI

13 

O'Malley M, King AN, Conte M, Ellingrod VL and Ramnath N: Effects of cigarette smoking on metabolism and effectiveness of systemic therapy for lung cancer. J Thorac Oncol. 9:917–926. 2014. View Article : Google Scholar : PubMed/NCBI

14 

Yeo WL, Riely GJ, Yeap BY, Lau MW, Warner JL, Bodio K, Huberman MS, Kris MG, Tenen DG, Pao W, et al: Erlotinib at a dose of 25 mg daily for non-small-cell lung cancers with EGFR mutations. J Thorac Oncol. 5:1048–1053. 2010. View Article : Google Scholar : PubMed/NCBI

Related Articles

  • Abstract
  • View
  • Download
  • Twitter
Copy and paste a formatted citation
Spandidos Publications style
Miyazaki K, Sato S, Kodama T, Tamura T, Kagohashi K, Satoh H and Hizawa N: Effect of acid suppressants on the efficacy of tyrosine kinase inhibitors in patients with epidermal growth factor receptor‑mutated non‑small‑cell lung cancer. Mol Clin Oncol 4: 873-877, 2016.
APA
Miyazaki, K., Sato, S., Kodama, T., Tamura, T., Kagohashi, K., Satoh, H., & Hizawa, N. (2016). Effect of acid suppressants on the efficacy of tyrosine kinase inhibitors in patients with epidermal growth factor receptor‑mutated non‑small‑cell lung cancer. Molecular and Clinical Oncology, 4, 873-877. https://doi.org/10.3892/mco.2016.810
MLA
Miyazaki, K., Sato, S., Kodama, T., Tamura, T., Kagohashi, K., Satoh, H., Hizawa, N."Effect of acid suppressants on the efficacy of tyrosine kinase inhibitors in patients with epidermal growth factor receptor‑mutated non‑small‑cell lung cancer". Molecular and Clinical Oncology 4.5 (2016): 873-877.
Chicago
Miyazaki, K., Sato, S., Kodama, T., Tamura, T., Kagohashi, K., Satoh, H., Hizawa, N."Effect of acid suppressants on the efficacy of tyrosine kinase inhibitors in patients with epidermal growth factor receptor‑mutated non‑small‑cell lung cancer". Molecular and Clinical Oncology 4, no. 5 (2016): 873-877. https://doi.org/10.3892/mco.2016.810
Copy and paste a formatted citation
x
Spandidos Publications style
Miyazaki K, Sato S, Kodama T, Tamura T, Kagohashi K, Satoh H and Hizawa N: Effect of acid suppressants on the efficacy of tyrosine kinase inhibitors in patients with epidermal growth factor receptor‑mutated non‑small‑cell lung cancer. Mol Clin Oncol 4: 873-877, 2016.
APA
Miyazaki, K., Sato, S., Kodama, T., Tamura, T., Kagohashi, K., Satoh, H., & Hizawa, N. (2016). Effect of acid suppressants on the efficacy of tyrosine kinase inhibitors in patients with epidermal growth factor receptor‑mutated non‑small‑cell lung cancer. Molecular and Clinical Oncology, 4, 873-877. https://doi.org/10.3892/mco.2016.810
MLA
Miyazaki, K., Sato, S., Kodama, T., Tamura, T., Kagohashi, K., Satoh, H., Hizawa, N."Effect of acid suppressants on the efficacy of tyrosine kinase inhibitors in patients with epidermal growth factor receptor‑mutated non‑small‑cell lung cancer". Molecular and Clinical Oncology 4.5 (2016): 873-877.
Chicago
Miyazaki, K., Sato, S., Kodama, T., Tamura, T., Kagohashi, K., Satoh, H., Hizawa, N."Effect of acid suppressants on the efficacy of tyrosine kinase inhibitors in patients with epidermal growth factor receptor‑mutated non‑small‑cell lung cancer". Molecular and Clinical Oncology 4, no. 5 (2016): 873-877. https://doi.org/10.3892/mco.2016.810
Follow us
  • Twitter
  • LinkedIn
  • Facebook
About
  • Spandidos Publications
  • Careers
  • Cookie Policy
  • Privacy Policy
How can we help?
  • Help
  • Live Chat
  • Contact
  • Email to our Support Team