Spandidos Publications Logo
  • About
    • About Spandidos
    • Aims and Scopes
    • Abstracting and Indexing
    • Editorial Policies
    • Reprints and Permissions
    • Job Opportunities
    • Terms and Conditions
    • Contact
  • Journals
    • All Journals
    • Oncology Letters
      • Oncology Letters
      • Information for Authors
      • Editorial Policies
      • Editorial Board
      • Aims and Scope
      • Abstracting and Indexing
      • Bibliographic Information
      • Archive
    • International Journal of Oncology
      • International Journal of Oncology
      • Information for Authors
      • Editorial Policies
      • Editorial Board
      • Aims and Scope
      • Abstracting and Indexing
      • Bibliographic Information
      • Archive
    • Molecular and Clinical Oncology
      • Molecular and Clinical Oncology
      • Information for Authors
      • Editorial Policies
      • Editorial Board
      • Aims and Scope
      • Abstracting and Indexing
      • Bibliographic Information
      • Archive
    • Experimental and Therapeutic Medicine
      • Experimental and Therapeutic Medicine
      • Information for Authors
      • Editorial Policies
      • Editorial Board
      • Aims and Scope
      • Abstracting and Indexing
      • Bibliographic Information
      • Archive
    • International Journal of Molecular Medicine
      • International Journal of Molecular Medicine
      • Information for Authors
      • Editorial Policies
      • Editorial Board
      • Aims and Scope
      • Abstracting and Indexing
      • Bibliographic Information
      • Archive
    • Biomedical Reports
      • Biomedical Reports
      • Information for Authors
      • Editorial Policies
      • Editorial Board
      • Aims and Scope
      • Abstracting and Indexing
      • Bibliographic Information
      • Archive
    • Oncology Reports
      • Oncology Reports
      • Information for Authors
      • Editorial Policies
      • Editorial Board
      • Aims and Scope
      • Abstracting and Indexing
      • Bibliographic Information
      • Archive
    • Molecular Medicine Reports
      • Molecular Medicine Reports
      • Information for Authors
      • Editorial Policies
      • Editorial Board
      • Aims and Scope
      • Abstracting and Indexing
      • Bibliographic Information
      • Archive
    • World Academy of Sciences Journal
      • World Academy of Sciences Journal
      • Information for Authors
      • Editorial Policies
      • Editorial Board
      • Aims and Scope
      • Abstracting and Indexing
      • Bibliographic Information
      • Archive
    • International Journal of Functional Nutrition
      • International Journal of Functional Nutrition
      • Information for Authors
      • Editorial Policies
      • Editorial Board
      • Aims and Scope
      • Abstracting and Indexing
      • Bibliographic Information
      • Archive
    • International Journal of Epigenetics
      • International Journal of Epigenetics
      • Information for Authors
      • Editorial Policies
      • Editorial Board
      • Aims and Scope
      • Abstracting and Indexing
      • Bibliographic Information
      • Archive
    • Medicine International
      • Medicine International
      • Information for Authors
      • Editorial Policies
      • Editorial Board
      • Aims and Scope
      • Abstracting and Indexing
      • Bibliographic Information
      • Archive
  • Articles
  • Information
    • Information for Authors
    • Information for Reviewers
    • Information for Librarians
    • Information for Advertisers
    • Conferences
  • Language Editing
Spandidos Publications Logo
  • About
    • About Spandidos
    • Aims and Scopes
    • Abstracting and Indexing
    • Editorial Policies
    • Reprints and Permissions
    • Job Opportunities
    • Terms and Conditions
    • Contact
  • Journals
    • All Journals
    • Biomedical Reports
      • Information for Authors
      • Editorial Policies
      • Editorial Board
      • Aims and Scope
      • Abstracting and Indexing
      • Bibliographic Information
      • Archive
    • Experimental and Therapeutic Medicine
      • Information for Authors
      • Editorial Policies
      • Editorial Board
      • Aims and Scope
      • Abstracting and Indexing
      • Bibliographic Information
      • Archive
    • International Journal of Epigenetics
      • Information for Authors
      • Editorial Policies
      • Editorial Board
      • Aims and Scope
      • Abstracting and Indexing
      • Bibliographic Information
      • Archive
    • International Journal of Functional Nutrition
      • Information for Authors
      • Editorial Policies
      • Editorial Board
      • Aims and Scope
      • Abstracting and Indexing
      • Bibliographic Information
      • Archive
    • International Journal of Molecular Medicine
      • Information for Authors
      • Editorial Policies
      • Editorial Board
      • Aims and Scope
      • Abstracting and Indexing
      • Bibliographic Information
      • Archive
    • International Journal of Oncology
      • Information for Authors
      • Editorial Policies
      • Editorial Board
      • Aims and Scope
      • Abstracting and Indexing
      • Bibliographic Information
      • Archive
    • Medicine International
      • Information for Authors
      • Editorial Policies
      • Editorial Board
      • Aims and Scope
      • Abstracting and Indexing
      • Bibliographic Information
      • Archive
    • Molecular and Clinical Oncology
      • Information for Authors
      • Editorial Policies
      • Editorial Board
      • Aims and Scope
      • Abstracting and Indexing
      • Bibliographic Information
      • Archive
    • Molecular Medicine Reports
      • Information for Authors
      • Editorial Policies
      • Editorial Board
      • Aims and Scope
      • Abstracting and Indexing
      • Bibliographic Information
      • Archive
    • Oncology Letters
      • Information for Authors
      • Editorial Policies
      • Editorial Board
      • Aims and Scope
      • Abstracting and Indexing
      • Bibliographic Information
      • Archive
    • Oncology Reports
      • Information for Authors
      • Editorial Policies
      • Editorial Board
      • Aims and Scope
      • Abstracting and Indexing
      • Bibliographic Information
      • Archive
    • World Academy of Sciences Journal
      • Information for Authors
      • Editorial Policies
      • Editorial Board
      • Aims and Scope
      • Abstracting and Indexing
      • Bibliographic Information
      • Archive
  • Articles
  • Information
    • For Authors
    • For Reviewers
    • For Librarians
    • For Advertisers
    • Conferences
  • Language Editing
Login Register Submit
  • This site uses cookies
  • You can change your cookie settings at any time by following the instructions in our Cookie Policy. To find out more, you may read our Privacy Policy.

    I agree
Search articles by DOI, keyword, author or affiliation
Search
Advanced Search
presentation
Molecular and Clinical Oncology
Join Editorial Board Propose a Special Issue
Print ISSN: 2049-9450 Online ISSN: 2049-9469
Journal Cover
December-2023 Volume 19 Issue 6

Full Size Image

Sign up for eToc alerts
Recommend to Library

Journals

International Journal of Molecular Medicine

International Journal of Molecular Medicine

International Journal of Molecular Medicine is an international journal devoted to molecular mechanisms of human disease.

International Journal of Oncology

International Journal of Oncology

International Journal of Oncology is an international journal devoted to oncology research and cancer treatment.

Molecular Medicine Reports

Molecular Medicine Reports

Covers molecular medicine topics such as pharmacology, pathology, genetics, neuroscience, infectious diseases, molecular cardiology, and molecular surgery.

Oncology Reports

Oncology Reports

Oncology Reports is an international journal devoted to fundamental and applied research in Oncology.

Experimental and Therapeutic Medicine

Experimental and Therapeutic Medicine

Experimental and Therapeutic Medicine is an international journal devoted to laboratory and clinical medicine.

Oncology Letters

Oncology Letters

Oncology Letters is an international journal devoted to Experimental and Clinical Oncology.

Biomedical Reports

Biomedical Reports

Explores a wide range of biological and medical fields, including pharmacology, genetics, microbiology, neuroscience, and molecular cardiology.

Molecular and Clinical Oncology

Molecular and Clinical Oncology

International journal addressing all aspects of oncology research, from tumorigenesis and oncogenes to chemotherapy and metastasis.

World Academy of Sciences Journal

World Academy of Sciences Journal

Multidisciplinary open-access journal spanning biochemistry, genetics, neuroscience, environmental health, and synthetic biology.

International Journal of Functional Nutrition

International Journal of Functional Nutrition

Open-access journal combining biochemistry, pharmacology, immunology, and genetics to advance health through functional nutrition.

International Journal of Epigenetics

International Journal of Epigenetics

Publishes open-access research on using epigenetics to advance understanding and treatment of human disease.

Medicine International

Medicine International

An International Open Access Journal Devoted to General Medicine.

Journal Cover
December-2023 Volume 19 Issue 6

Full Size Image

Sign up for eToc alerts
Recommend to Library

  • Article
  • Citations
    • Cite This Article
    • Download Citation
    • Create Citation Alert
    • Remove Citation Alert
    • Cited By
  • Similar Articles
    • Related Articles (in Spandidos Publications)
    • Similar Articles (Google Scholar)
    • Similar Articles (PubMed)
  • Download PDF
  • Download XML
  • View XML
Article Open Access

Altered expression of imprinted genes in patients with cytogenetically normal‑acute myeloid leukemia: Implications for leukemogenesis and survival outcomes

  • Authors:
    • Ming-Yu Yang
    • Cheng-Ming Hsu
    • Pai-Mei Lin
    • Chao-Hui Yang
    • Ming-Luen Hu
    • I-Ya Chen
    • Sheng-Fung Lin
  • View Affiliations / Copyright

    Affiliations: Graduate Institute of Clinical Medical Sciences, College of Medicine, Chang Gung University, Taoyuan 33302, Taiwan, R.O.C., Department of Otolaryngology-Head and Neck Surgery, Chiayi Chang Gung Memorial Hospital, Puzi, Chiayi 61363, Taiwan, R.O.C., School of Medicine for International Students and Department of Nursing, I-Shou University, Kaohsiung 82445, Taiwan, R.O.C., Division of Hepatogastroenterology, Department of Internal Medicine, Kaohsiung Chang Gung Memorial Hospital and Chang Gung University College of Medicine, Taiwan 83302, Taiwan, R.O.C., Division of Hematology and Oncology, Department of Internal Medicine, E-Da Hospital, Kaohsiung 82445, Taiwan, R.O.C.
    Copyright: © Yang et al. This is an open access article distributed under the terms of Creative Commons Attribution License.
  • Article Number: 94
    |
    Published online on: October 5, 2023
       https://doi.org/10.3892/mco.2023.2690
  • Expand metrics +
Metrics: Total Views: 0 (Spandidos Publications: | PMC Statistics: )
Metrics: Total PDF Downloads: 0 (Spandidos Publications: | PMC Statistics: )
Cited By (CrossRef): 0 citations Loading Articles...

This article is mentioned in:



Abstract

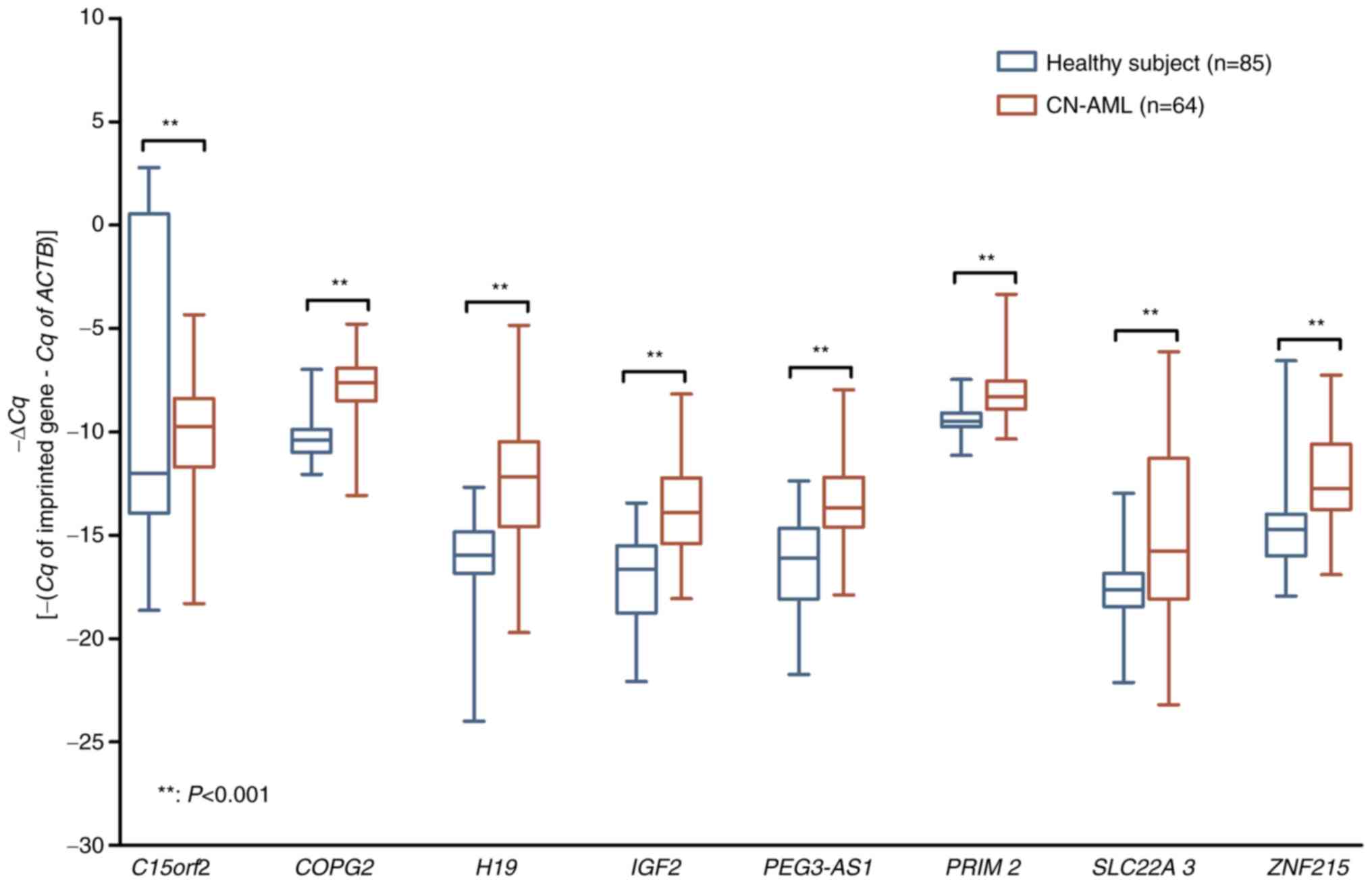
Genomic imprinting, an epigenetic mechanism that regulates gene expression from parental chromosomes, holds substantial relevance in multiple cancers, including hematopoietic malignancies. In the present study, the expression of a panel of 16 human imprinted genes in bone marrow samples from 64 patients newly diagnosed with cytogenetically normal‑acute myeloid leukemia (CN‑AML) were examined alongside peripheral blood samples from 85 healthy subjects. The validated findings of the present study revealed significant upregulation of seven genes [COPI coat complex subunit gamma 2 (COPG2), H19 imprinted maternally expressed transcript (H19), insulin like growth factor 2 (IGF2), PEG3 antisense RNA 1 (PEG3‑AS1), DNA primase subunit 2 (PRIM2), solute carrier family 22 member 3 SLC22A3 and Zinc finger protein 215 (ZNF215)] in patients with CN‑AML (P<0.001). Notably, the expression level of H19 exhibited an inverse association with the survival duration of the patients (P=0.018), establishing it as a predictive marker for two‑ and five‑year survival in patients with CN‑AML. Kaplan‑Meier analysis demonstrated that patients with lower H19 expression had superior two‑ and five‑year survival rates compared with those with higher H19 expression. The results of the present study highlighted the association between loss of imprinting and leukemogenesis in CN‑AML, underscoring the significance of H19 imprinting loss as a prognostic indicator for unfavorable two‑ and five‑year survival in CN‑AML patients.
View Figures

Figure 1

Figure 2

Figure 3

View References

1 

Pelcovits A and Niroula R: Acute myeloid leukemia: A review. R I Med J (2013). 103:38–40. 2020.PubMed/NCBI

2 

Department of Health Promotion Administration, Ministry of Health and Welfare. Cancer Registry Annual Report, Taiwan, 2016.

3 

Wu SJ, Chiang CJ, Lin CT, Tien HF and Lai MS: A nationwide population-based cross-sectional comparison of hematological malignancies incidences between Taiwan and the United States of America. Ann Hematol. 95:165–167. 2016.PubMed/NCBI View Article : Google Scholar

4 

Doulatov S, Notta F, Laurenti E and Dick JE: Hematopoiesis: A human perspective. Cell Stem Cell. 10:120–136. 2012.PubMed/NCBI View Article : Google Scholar

5 

Marcucci G, Haferlach T and Döhner H: Molecular genetics of adult acute myeloid leukemia: Prognostic and therapeutic implications. J Clin Oncol. 29:475–486. 2011.PubMed/NCBI View Article : Google Scholar

6 

Čolović N, Denčić-Fekete M, Peruničić M and Jurišić V: Clinical characteristics and treatment outcome of hypocellular acute myeloid leukemia based on WHO classification. Indian J Hematol Blood Transfus. 36:59–63. 2020.PubMed/NCBI View Article : Google Scholar

7 

Jurisić V, Pavlović S, Colović N, Djordjevic V, Bunjevacki V, Janković G and Colović M: Single institute study of FLT3 mutation in acute myeloid leukemia with near tetraploidy in Serbia. J Genet. 88:149–152. 2009.PubMed/NCBI View Article : Google Scholar

8 

Rowe JM: The increasing genomic complexity of acute myeloid leukemia. Best Pract Res Clin Haematol. 27:209–213. 2014.PubMed/NCBI View Article : Google Scholar

9 

Li S, Mason CE and Melnick A: Genetic and epigenetic heterogeneity in acute myeloid leukemia. Curr Opin Genet Dev. 36:100–106. 2016.PubMed/NCBI View Article : Google Scholar

10 

Zhang TJ, Zhou JD, Zhang W, Lin J, Ma JC, Wen XM, Yuan Q, Li XX, Xu ZJ and Qian J: H19 overexpression promotes leukemogenesis and predicts unfavorable prognosis in acute myeloid leukemia. Clin Epigenetics. 10(47)2018.PubMed/NCBI View Article : Google Scholar

11 

Wrzeska M and Rejduch B: Genomic imprinting in mammals. J Appl Genet. 45:427–433. 2004.PubMed/NCBI

12 

Tucci V, Isles AR, Kelsey G and Ferguson-Smith AC: Erice Imprinting Group. Genomic imprinting and physiological processes in mammals. Cell. 176:952–965. 2019.PubMed/NCBI View Article : Google Scholar

13 

Ferguson-Smith AC and Bourc'his D: The discovery and importance of genomic imprinting. Elife. 7(e42368)2018.PubMed/NCBI View Article : Google Scholar

14 

Yang MY, Lin PM, Yang CH, Hu ML, Chen IY, Lin SF and Hsu CM: Loss of ZNF215 imprinting is associated with poor five-year survival in patients with cytogenetically abnormal-acute myeloid leukemia. Blood Cells Mol Dis. 90(102577)2021.PubMed/NCBI View Article : Google Scholar

15 

Sellers ZP, Bolkun L, Kloczko J, Wojtaszewska ML, Lewandowski K, Moniuszko M, Ratajczak MZ and Schneider G: Increased methylation upstream of the MEG3 promotor is observed in acute myeloid leukemia patients with better overall survival. Clin Epigenetics. 11(50)2019.PubMed/NCBI View Article : Google Scholar

16 

Yu Y, Kou D, Liu B, Huang Y, Li S, Qi Y, Guo Y, Huang T, Qi X and Jia L: LncRNA MEG3 contributes to drug resistance in acute myeloid leukemia by positively regulating ALG9 through sponging miR-155. Int J Lab Hematol. 42:464–472. 2020.PubMed/NCBI View Article : Google Scholar

17 

Shaffer LG, McGowan-Jordan J and Schmid M: ISCN 2016: An International System for Human Cytogenetic Nomenclature. Basel, Switzerland, Karger, 2013.

18 

Campbell LJ and White JS: Cytogenetic analysis in acute myeloid leukaemia. Methods Mol Biol. 730:63–77. 2011.PubMed/NCBI View Article : Google Scholar

19 

Morison IM, Paton CJ and Cleverley SD: The imprinted gene and parent-of-origin effect database. Nucleic Acids Res. 29:275–276. 2001.PubMed/NCBI View Article : Google Scholar

20 

Hsu CM, Lin PM, Lin HC, Lai CC, Yang CH, Lin SF and Yang MY: Altered expression of imprinted genes in squamous cell carcinoma of the head and neck. Anticancer Res. 36:2251–2258. 2016.PubMed/NCBI

21 

Livak KJ and Schmittgen TD: Analysis of relative gene expression data using real-time quantitative PCR and the 2(-Delta Delta C(T)) method. Methods. 25:402–408. 2001.PubMed/NCBI View Article : Google Scholar

22 

Walker A and Marcucci G: Molecular prognostic factors in cytogenetically normal acute myeloid leukemia. Expert Rev Hematol. 5:547–558. 2012.PubMed/NCBI View Article : Google Scholar

23 

Sun H, Pan Y, He B, Deng Q, Li R, Xu Y, Chen J, Gao T, Ying H, Wang F, et al: Gene therapy for human colorectal cancer cell lines with recombinant adenovirus 5 based on loss of the insulin-like growth factor 2 imprinting. Int J Oncol. 46:1759–1767. 2015.PubMed/NCBI View Article : Google Scholar

24 

Pan Y, He B, Li T, Zhu C, Zhang L, Wang B, Xu Y, Qu L, Hoffman AR, Wang S and Hu J: Targeted tumor gene therapy based on loss of IGF2 imprinting. Cancer Biol Ther. 10:290–298. 2010.PubMed/NCBI View Article : Google Scholar

25 

Zhang Y and Tycko B: Monoallelic expression of the human H19 gene. Nat Genet. 1:40–44. 1992.PubMed/NCBI View Article : Google Scholar

26 

Zhao TT and Liu X: LncRNA-H19 inhibits apoptosis of acute myeloid leukemia cells via targeting miR-29a-3p. Eur Rev Med Pharmacol Sci. 23(3 Suppl):224–231. 2019.PubMed/NCBI View Article : Google Scholar

27 

Zhao TF, Jia HZ, Zhang ZZ, Zhao XS, Zou YF, Zhang W, Wan J and Chen XF: LncRNA H19 regulates ID2 expression through competitive binding to hsa-miR-19a/b in acute myelocytic leukemia. Mol Med Rep. 16:3687–3693. 2017.PubMed/NCBI View Article : Google Scholar

28 

Hofmann WK, Takeuchi S, Frantzen MA, Hoelzer D and Koeffler HP: Loss of genomic imprinting of insulin-like growth factor 2 is strongly associated with cellular proliferation in normal hematopoietic cells. Exp Hematol. 30:318–323. 2002.PubMed/NCBI View Article : Google Scholar

29 

Mofidi M, Rahgozar S and Pouyanrad S: Increased level of long non coding RNA H19 is correlated with the downregulation of miR-326 and BCL-2 genes in pediatric acute lymphoblastic leukemia, a possible hallmark for leukemogenesis. Mol Biol Rep. 48:1531–1538. 2021.PubMed/NCBI View Article : Google Scholar

30 

Asadi M, Gholampour MA, Kompani F and Alizadeh S: Expression of long non-coding RNA H19 in acute lymphoblastic leukemia. Cell J. 25:1–10. 2023.PubMed/NCBI View Article : Google Scholar

31 

Zhou JD, Lin J, Zhang TJ, Ma JC, Li XX, Wen XM, Guo H, Xu ZJ, Deng ZQ, Zhang W and Qian J: Hypomethylation-mediated H19 overexpression increases the risk of disease evolution through the association with BCR-ABL transcript in chronic myeloid leukemia. J Cell Physiol. 233:2444–2450. 2018.PubMed/NCBI View Article : Google Scholar

32 

Yang J, Yin Z, Li Y, Liu Y, Huang G, Gu C and Fei J: The identification of long non-coding RNA H19 target and its function in chronic myeloid leukemia. Mol Ther Nucleic Acids. 19:1368–1378. 2020.PubMed/NCBI View Article : Google Scholar

33 

Liu FT, Pan H, Xia GF, Qiu C and Zhu ZM: Prognostic and clinicopathological significance of long noncoding RNA H19 overexpression in human solid tumors: Evidence from a meta-analysis. Oncotarget. 7:83177–83186. 2016.PubMed/NCBI View Article : Google Scholar

34 

Hashemi M, Moosavi MS, Abed HM, Dehghani M, Aalipour M, Heydari EA, Behroozaghdam M, Entezari M, Salimimoghadam S, Gunduz ES, et al: Long non-coding RNA (lncRNA) H19 in human cancer: From proliferation and metastasis to therapy. Pharmacol Res. 184(106418)2022.PubMed/NCBI View Article : Google Scholar

35 

Colovic M, Jurisic V, Pavlovic S, Terzic T and Colovic N: FLT3/D835 mutation and inversion of chromosome 16 in leukemic transformation of myelofibrosis. Eur J Intern Med. 17:434–435. 2006.PubMed/NCBI View Article : Google Scholar

36 

Döhner H, Estey EH, Amadori S, Appelbaum FR, Büchner T, Burnett AK, Dombret H, Fenaux P, Grimwade D, Larson RA, et al: Diagnosis and management of acute myeloid leukemia in adults: Recommendations from an international expert panel, on behalf of the European LeukemiaNet. Blood. 115:453–474. 2010.PubMed/NCBI View Article : Google Scholar

37 

Shen R, Cheng T, Xu C, Yung RC, Bao J, Li X, Yu H, Lu S, Xu H, Wu H, et al: Novel visualized quantitative epigenetic imprinted gene biomarkers diagnose the malignancy of ten cancer types. Clin Epigenetics. 12(71)2020.PubMed/NCBI View Article : Google Scholar

Related Articles

  • Abstract
  • View
  • Download
  • Twitter
Copy and paste a formatted citation
Spandidos Publications style
Yang M, Hsu C, Lin P, Yang C, Hu M, Chen I and Lin S: Altered expression of imprinted genes in patients with cytogenetically normal‑acute myeloid leukemia: Implications for leukemogenesis and survival outcomes. Mol Clin Oncol 19: 94, 2023.
APA
Yang, M., Hsu, C., Lin, P., Yang, C., Hu, M., Chen, I., & Lin, S. (2023). Altered expression of imprinted genes in patients with cytogenetically normal‑acute myeloid leukemia: Implications for leukemogenesis and survival outcomes. Molecular and Clinical Oncology, 19, 94. https://doi.org/10.3892/mco.2023.2690
MLA
Yang, M., Hsu, C., Lin, P., Yang, C., Hu, M., Chen, I., Lin, S."Altered expression of imprinted genes in patients with cytogenetically normal‑acute myeloid leukemia: Implications for leukemogenesis and survival outcomes". Molecular and Clinical Oncology 19.6 (2023): 94.
Chicago
Yang, M., Hsu, C., Lin, P., Yang, C., Hu, M., Chen, I., Lin, S."Altered expression of imprinted genes in patients with cytogenetically normal‑acute myeloid leukemia: Implications for leukemogenesis and survival outcomes". Molecular and Clinical Oncology 19, no. 6 (2023): 94. https://doi.org/10.3892/mco.2023.2690
Copy and paste a formatted citation
x
Spandidos Publications style
Yang M, Hsu C, Lin P, Yang C, Hu M, Chen I and Lin S: Altered expression of imprinted genes in patients with cytogenetically normal‑acute myeloid leukemia: Implications for leukemogenesis and survival outcomes. Mol Clin Oncol 19: 94, 2023.
APA
Yang, M., Hsu, C., Lin, P., Yang, C., Hu, M., Chen, I., & Lin, S. (2023). Altered expression of imprinted genes in patients with cytogenetically normal‑acute myeloid leukemia: Implications for leukemogenesis and survival outcomes. Molecular and Clinical Oncology, 19, 94. https://doi.org/10.3892/mco.2023.2690
MLA
Yang, M., Hsu, C., Lin, P., Yang, C., Hu, M., Chen, I., Lin, S."Altered expression of imprinted genes in patients with cytogenetically normal‑acute myeloid leukemia: Implications for leukemogenesis and survival outcomes". Molecular and Clinical Oncology 19.6 (2023): 94.
Chicago
Yang, M., Hsu, C., Lin, P., Yang, C., Hu, M., Chen, I., Lin, S."Altered expression of imprinted genes in patients with cytogenetically normal‑acute myeloid leukemia: Implications for leukemogenesis and survival outcomes". Molecular and Clinical Oncology 19, no. 6 (2023): 94. https://doi.org/10.3892/mco.2023.2690
Follow us
  • Twitter
  • LinkedIn
  • Facebook
About
  • Spandidos Publications
  • Careers
  • Cookie Policy
  • Privacy Policy
How can we help?
  • Help
  • Live Chat
  • Contact
  • Email to our Support Team