Spandidos Publications Logo
  • About
    • About Spandidos
    • Aims and Scopes
    • Abstracting and Indexing
    • Editorial Policies
    • Reprints and Permissions
    • Job Opportunities
    • Terms and Conditions
    • Contact
  • Journals
    • All Journals
    • Oncology Letters
      • Oncology Letters
      • Information for Authors
      • Editorial Policies
      • Editorial Board
      • Aims and Scope
      • Abstracting and Indexing
      • Bibliographic Information
      • Archive
    • International Journal of Oncology
      • International Journal of Oncology
      • Information for Authors
      • Editorial Policies
      • Editorial Board
      • Aims and Scope
      • Abstracting and Indexing
      • Bibliographic Information
      • Archive
    • Molecular and Clinical Oncology
      • Molecular and Clinical Oncology
      • Information for Authors
      • Editorial Policies
      • Editorial Board
      • Aims and Scope
      • Abstracting and Indexing
      • Bibliographic Information
      • Archive
    • Experimental and Therapeutic Medicine
      • Experimental and Therapeutic Medicine
      • Information for Authors
      • Editorial Policies
      • Editorial Board
      • Aims and Scope
      • Abstracting and Indexing
      • Bibliographic Information
      • Archive
    • International Journal of Molecular Medicine
      • International Journal of Molecular Medicine
      • Information for Authors
      • Editorial Policies
      • Editorial Board
      • Aims and Scope
      • Abstracting and Indexing
      • Bibliographic Information
      • Archive
    • Biomedical Reports
      • Biomedical Reports
      • Information for Authors
      • Editorial Policies
      • Editorial Board
      • Aims and Scope
      • Abstracting and Indexing
      • Bibliographic Information
      • Archive
    • Oncology Reports
      • Oncology Reports
      • Information for Authors
      • Editorial Policies
      • Editorial Board
      • Aims and Scope
      • Abstracting and Indexing
      • Bibliographic Information
      • Archive
    • Molecular Medicine Reports
      • Molecular Medicine Reports
      • Information for Authors
      • Editorial Policies
      • Editorial Board
      • Aims and Scope
      • Abstracting and Indexing
      • Bibliographic Information
      • Archive
    • World Academy of Sciences Journal
      • World Academy of Sciences Journal
      • Information for Authors
      • Editorial Policies
      • Editorial Board
      • Aims and Scope
      • Abstracting and Indexing
      • Bibliographic Information
      • Archive
    • International Journal of Functional Nutrition
      • International Journal of Functional Nutrition
      • Information for Authors
      • Editorial Policies
      • Editorial Board
      • Aims and Scope
      • Abstracting and Indexing
      • Bibliographic Information
      • Archive
    • International Journal of Epigenetics
      • International Journal of Epigenetics
      • Information for Authors
      • Editorial Policies
      • Editorial Board
      • Aims and Scope
      • Abstracting and Indexing
      • Bibliographic Information
      • Archive
    • Medicine International
      • Medicine International
      • Information for Authors
      • Editorial Policies
      • Editorial Board
      • Aims and Scope
      • Abstracting and Indexing
      • Bibliographic Information
      • Archive
  • Articles
  • Information
    • Information for Authors
    • Information for Reviewers
    • Information for Librarians
    • Information for Advertisers
    • Conferences
  • Language Editing
Spandidos Publications Logo
  • About
    • About Spandidos
    • Aims and Scopes
    • Abstracting and Indexing
    • Editorial Policies
    • Reprints and Permissions
    • Job Opportunities
    • Terms and Conditions
    • Contact
  • Journals
    • All Journals
    • Biomedical Reports
      • Information for Authors
      • Editorial Policies
      • Editorial Board
      • Aims and Scope
      • Abstracting and Indexing
      • Bibliographic Information
      • Archive
    • Experimental and Therapeutic Medicine
      • Information for Authors
      • Editorial Policies
      • Editorial Board
      • Aims and Scope
      • Abstracting and Indexing
      • Bibliographic Information
      • Archive
    • International Journal of Epigenetics
      • Information for Authors
      • Editorial Policies
      • Editorial Board
      • Aims and Scope
      • Abstracting and Indexing
      • Bibliographic Information
      • Archive
    • International Journal of Functional Nutrition
      • Information for Authors
      • Editorial Policies
      • Editorial Board
      • Aims and Scope
      • Abstracting and Indexing
      • Bibliographic Information
      • Archive
    • International Journal of Molecular Medicine
      • Information for Authors
      • Editorial Policies
      • Editorial Board
      • Aims and Scope
      • Abstracting and Indexing
      • Bibliographic Information
      • Archive
    • International Journal of Oncology
      • Information for Authors
      • Editorial Policies
      • Editorial Board
      • Aims and Scope
      • Abstracting and Indexing
      • Bibliographic Information
      • Archive
    • Medicine International
      • Information for Authors
      • Editorial Policies
      • Editorial Board
      • Aims and Scope
      • Abstracting and Indexing
      • Bibliographic Information
      • Archive
    • Molecular and Clinical Oncology
      • Information for Authors
      • Editorial Policies
      • Editorial Board
      • Aims and Scope
      • Abstracting and Indexing
      • Bibliographic Information
      • Archive
    • Molecular Medicine Reports
      • Information for Authors
      • Editorial Policies
      • Editorial Board
      • Aims and Scope
      • Abstracting and Indexing
      • Bibliographic Information
      • Archive
    • Oncology Letters
      • Information for Authors
      • Editorial Policies
      • Editorial Board
      • Aims and Scope
      • Abstracting and Indexing
      • Bibliographic Information
      • Archive
    • Oncology Reports
      • Information for Authors
      • Editorial Policies
      • Editorial Board
      • Aims and Scope
      • Abstracting and Indexing
      • Bibliographic Information
      • Archive
    • World Academy of Sciences Journal
      • Information for Authors
      • Editorial Policies
      • Editorial Board
      • Aims and Scope
      • Abstracting and Indexing
      • Bibliographic Information
      • Archive
  • Articles
  • Information
    • For Authors
    • For Reviewers
    • For Librarians
    • For Advertisers
    • Conferences
  • Language Editing
Login Register Submit
  • This site uses cookies
  • You can change your cookie settings at any time by following the instructions in our Cookie Policy. To find out more, you may read our Privacy Policy.

    I agree
Search articles by DOI, keyword, author or affiliation
Search
Advanced Search
presentation
Molecular and Clinical Oncology
Join Editorial Board Propose a Special Issue
Print ISSN: 2049-9450 Online ISSN: 2049-9469
Journal Cover
September-2024 Volume 21 Issue 3

Full Size Image

Sign up for eToc alerts
Recommend to Library

Journals

International Journal of Molecular Medicine

International Journal of Molecular Medicine

International Journal of Molecular Medicine is an international journal devoted to molecular mechanisms of human disease.

International Journal of Oncology

International Journal of Oncology

International Journal of Oncology is an international journal devoted to oncology research and cancer treatment.

Molecular Medicine Reports

Molecular Medicine Reports

Covers molecular medicine topics such as pharmacology, pathology, genetics, neuroscience, infectious diseases, molecular cardiology, and molecular surgery.

Oncology Reports

Oncology Reports

Oncology Reports is an international journal devoted to fundamental and applied research in Oncology.

Experimental and Therapeutic Medicine

Experimental and Therapeutic Medicine

Experimental and Therapeutic Medicine is an international journal devoted to laboratory and clinical medicine.

Oncology Letters

Oncology Letters

Oncology Letters is an international journal devoted to Experimental and Clinical Oncology.

Biomedical Reports

Biomedical Reports

Explores a wide range of biological and medical fields, including pharmacology, genetics, microbiology, neuroscience, and molecular cardiology.

Molecular and Clinical Oncology

Molecular and Clinical Oncology

International journal addressing all aspects of oncology research, from tumorigenesis and oncogenes to chemotherapy and metastasis.

World Academy of Sciences Journal

World Academy of Sciences Journal

Multidisciplinary open-access journal spanning biochemistry, genetics, neuroscience, environmental health, and synthetic biology.

International Journal of Functional Nutrition

International Journal of Functional Nutrition

Open-access journal combining biochemistry, pharmacology, immunology, and genetics to advance health through functional nutrition.

International Journal of Epigenetics

International Journal of Epigenetics

Publishes open-access research on using epigenetics to advance understanding and treatment of human disease.

Medicine International

Medicine International

An International Open Access Journal Devoted to General Medicine.

Journal Cover
September-2024 Volume 21 Issue 3

Full Size Image

Sign up for eToc alerts
Recommend to Library

  • Article
  • Citations
    • Cite This Article
    • Download Citation
    • Create Citation Alert
    • Remove Citation Alert
    • Cited By
  • Similar Articles
    • Related Articles (in Spandidos Publications)
    • Similar Articles (Google Scholar)
    • Similar Articles (PubMed)
  • Download PDF
  • Download XML
  • View XML

  • Supplementary Files
    • Supplementary_Data1.pdf
    • Supplementary_Data2.pdf
Article Open Access

Age‑integrated breast imaging reporting and data system assessment model to improve the accuracy of breast cancer diagnosis

  • Authors:
    • Jingwen Deng
    • Manman Shi
    • Min Wang
    • Ni Liao
    • Yan Jia
    • Wenliang Lu
    • Feng Yao
    • Shengrong Sun
    • Yimin Zhang
  • View Affiliations / Copyright

    Affiliations: Department of Breast and Thyroid Surgery, Renmin Hospital of Wuhan University, Wuhan, Hubei 430060, P.R. China, Department of Thyroid and Breast Surgery, Maternal and Child Health Hospital of Hubei Province, Wuhan, Hubei 430070, P.R. China, Department of Medical Ultrasonography, Renmin Hospital of Wuhan University, Wuhan, Hubei 430060, P.R. China
    Copyright: © Deng et al. This is an open access article distributed under the terms of Creative Commons Attribution License.
  • Article Number: 60
    |
    Published online on: July 3, 2024
       https://doi.org/10.3892/mco.2024.2758
  • Expand metrics +
Metrics: Total Views: 0 (Spandidos Publications: | PMC Statistics: )
Metrics: Total PDF Downloads: 0 (Spandidos Publications: | PMC Statistics: )
Cited By (CrossRef): 0 citations Loading Articles...

This article is mentioned in:



Abstract

Early diagnosis is an effective strategy for decreasing breast cancer mortality. Ultrasonography is one of the most predominant imaging modalities for breast cancer owing to its convenience and non‑invasiveness. The present study aimed to develop a model that integrates age with Breast Imaging Reporting and Data System (BI‑RADS) lexicon to improve diagnostic accuracy of ultrasonography in breast cancer. This retrospective study comprised two cohorts: A training cohort with 975 female patients from Renmin Hospital of Wuhan University (Wuhan, China) and a validation cohort with 500 female patients from Maternal and Child Health Hospital of Hubei Province (Wuhan, China). Logistic regression was used to construct a model combining BI‑RADS score with age and to determine the age‑based prevalence of breast cancer to predict a cut‑off age. The model that integrated age with BI‑RADS scores demonstrated the best performance compared with models based solely on age or BI‑RADS scores, with an area under the curve (AUC) of 0.872 (95% CI: 0.850‑0.894, P<0.001). Furthermore, among participants aged <30 years, the prevalence of breast cancer was lower than the lower limit of the reference range (2%) for BI‑RADS subcategory 4A lesions but within the reference range for BI‑RADS category 3 lesions, as indicated by linear regression analysis. Therefore, it is recommended that management for this subset of participants are categorized as BI‑RADS category 3, meaning that biopsies typically indicated could be replaced with short‑term follow‑up. In conclusion, the integrated assessment model based on age and BI‑RADS may enhance accuracy of ultrasonography in diagnosing breast lesions and young patients with BI‑RADS subcategory 4A lesions may be exempted from biopsy.

Introduction

Breast cancer remains the leading type of cancer globally according to the 2023 Global Cancer Statistics from the American Cancer Society, accounting for 31% of female cancers (1). Accurate diagnosis of breast lesions and use of appropriate surgical approach are important to improving breast cancer prognosis. Breast cancer screening is an effective method of decreasing breast cancer-associated mortality. There are numerous methods of breast cancer screening, such as mammography, ultrasonography (US) and magnetic resonance imaging (2). Mammography is recommended for patients aged >40 years and is not sensitive for patients with high breast density (3,4). Digital breast tomosynthesis improves breast lesion visibility and cancer detection rates in both dense and fatty breasts but is not widely used in clinical practice (5). US is an important tool for breast cancer screening that can better detect mammographically occult breast cancer in patients with high mammary parenchymal density (6). In patients with predominantly fatty breasts, the sensitivity of mammography and US are 82.2 and 71.1%, respectively, while in patients with heterogeneously dense breasts they are 23.7 and 57.0%, respectively (7). Magnetic resonance imaging (MRI) is less commonly used for screening due to its high cost and lengthy time consumption (8).

The Breast Imaging Reporting and Data System (BI-RADS) (9) of the American College of Radiology is a widely used breast lesion imaging evaluation system for standardizing risk evaluation of breast lesions. Several diagnostic imaging features of the risk of breast cancer are incorporated into the BI-RADS lexicon, such as fuzzy boundary, irregular shape, calcification and vascularity (10,11). Moreover, age is widely accepted as an independent prognostic factor for breast cancer and is associated with breast density, hormone levels and breast cancer subtypes (12-15). Moreover, the peak age of breast cancer diagnosis in China (45-59 years) is significantly lower than that in Western countries (60-70 years) (16,17). Some studies have discovered that the incidence of breast cancer increases with age for lesions with identical BI-RADS category (17-19). To the best of our knowledge, however, the diagnostic value of age has not been integrated into the BI-RADS lexicon. The clinical criteria for BI-RADS subcategory 4A and category 3 are different, with BI-RADS 4A recommending biopsy and BI-RADS 3 recommending short-term follow-up; thus, reclassifying a lesion from BI-RADS 4A to 3 has clinical implications, indicating a change in clinical management. Age can affect BI-RADS categorization, primarily because the risk of breast lesions and breast density vary with age. However, the specific age cut-off for adjusting BI-RADS 4A to BI-RADS 3 based on risk probability remains unknown. To the best of our knowledge, the effect of age on characteristic US features of breast cancer has not been reported recently.

The present study focused on breast lesions classified as BI-RADS category 4, which have a high level of uncertainty (2-95%) regarding their diagnosis as breast cancer during biopsy (18). The present study aimed to construct a model that integrates age with BI-RADS lexicon to improve the diagnostic accuracy of US in breast cancer.

Patients and methods

Patients

According to the BI-RADS guidelines (Table I), breast lesion biopsy was performed for patients diagnosed with BI-RADS category ≥4 lesion by US (19). In this retrospective study, patients were screened for BI-RADS classification by breast US, and results were collected from the existing clinical records of the US department. From November 2018 to November 2020, a total of 38,453 patients underwent breast US examination, of whom 9,116 were diagnosed with BI-RADS category 2 lesion, 16,642 with BI-RADS category 3 lesion, 1,969 with BI-RADS category 4 lesion, 136 with BI-RADS category 5 lesion and 10,590 with other diseases, such as mastitis and simple breast hyperplasia. In the training cohort, 975 female patients with US BI-RADS category 4 breast lesions from the Renmin Hospital of Wuhan University (Wuhan, China) were analyzed. A total of 202 patients were diagnosed with two BI-RADS category 4 lesions. Therefore, 1,177 lesions were included in the training cohort. The validation cohort included 500 female patients with 524 BI-RADS category 4 lesions from the Maternal and Child Health Hospital of Hubei Province (Wuhan, China). The training cohort had an age range of 15-85 years, while the validation cohort a had an age range of 19-79 years.

Table I

Ultrasonic Breast Imaging Reporting and Data System categorization and recommended action.

Table I

Ultrasonic Breast Imaging Reporting and Data System categorization and recommended action.

CategoryDescriptionProbability of malignancy, %Recommendation
0Incomplete assessmentNot applicableAdditional evaluation
1Normal breast0Not applicable
2Benign lesions0Not applicable
3Highly probable benign lesions<2Regular follow-up
4aLow malignant potential lesions2-10Biopsy
4bIntermediate malignant potential lesions10-50 
4cHigh malignant potential lesions50-95 
5Highly probable malignant lesions>95Appropriate treatment

The inclusion criteria were as follows: i) Patients were aged 15-85 years, ii) lesions were diagnosed as BI-RADS category 4 by US and iii) lesions were assessed via pathology and US. If a patient had >1 BI-RADS category 4 lesion, each lesion was considered separately.

The exclusion criteria were as follows: i) Patients with abnormal breast anatomy or breast implants, ii) patients without pathological examination, iii) patients with a history of breast cancer or recent chemotherapy, radiotherapy or surgery for breast cancer and iv) time between US and biopsy was >2 months (Fig. 1).

Figure 1

Inclusion and exclusion criteria. BI-RADS, breast imaging reporting and data system.

US

ESOTE MEGAS GPX FD570A (Esaote SpA), a US diagnostic instrument with probe frequencies of 5-13 MHz was used to examine the patients. The patients were placed in a supine or side-lying position with both arms lifted and abducted to fully expose the breast.

The diagnostic criteria were based on the guidelines of the American College of Radiology BI-RADS (9) for the diagnosis of benign and malignant lesions. US was performed independently by two experienced breast sonographers, who were medical doctors with specialized knowledge of breast US. Results that did not conform to the diagnostic criteria were interpreted by a senior doctor.

Data on the characteristic US features of breast lesions, including shape, boundary, calcification and blood flow signal were collected to further determine the influence of age on these features. Basic information, including BI-RADS category and patient age, was obtained from medical records for model development and validation.

Pathological results

Breast lesion biopsy was performed by surgeons. Patient was positioned either supine or laterally on the examination table. The designated area was disinfected and draped with a sterile cover. Optimal needle trajectory and depth were determined prior to the procedure. A disposable core needle biopsy (CNB) needle was prepared, and local anesthesia was administered using 1% lidocaine. The lesion was accurately localized within the needle's path under ultrasound guidance. Upon confirming the correct localization, the CNB safety mechanism was engaged, and the biopsy needle was activated to procure the tissue sample. Hemostasis was achieved by applying pressure to the biopsy site. The collected specimen was subsequently fixed in a 10% neutral buffered formalin solution and forwarded to the Department of Pathology at each hospital. All pathological results were obtained from the existing clinical records and verified by at least two experienced pathologists. The pathological samples diagnosed strictly according to the WHO Classification of Tumors 5th Edition (20) standard procedures. Pathological diagnosis is the gold standard for breast cancer diagnosis.

Pathological and US examinations were performed separately. The pathologists were not aware of the results obtained by the sonographers, and vice versa, to avoid subjective bias.

Statistical analysis

All statistical analyses were performed using R version 4.2.1 (mirrors.tuna.tsinghua.edu.cn/CRAN/src/base/R-4/). Data are presented as the mean ± SD. The prevalence of breast cancer in patients with BI-RADS category 4 breast lesions in each age group was determined. For dichotomous variables, Pearson χ2 test and Fisher's exact test of association was performed. A logistic regression model was used for multivariate analysis. Collinearity of age and BI-RADS was evaluated.

Based on differences in age-specific incidence rate of breast cancer among female Chinese patients (16,21,22), which peaks between the ages of 45 and 59 years, and variations in menopausal status, patients were categorized into three age groups: Group 1, <45 years; group 2, 45-60 years and group 3, >60 years. The positive predictive values (PPVs) of US features in different age groups and each BI-RADS subcategory (4A, 4B and 4C) were calculated. The age-associated PPVs of each BI-RADS subcategory were compared using the χ2 test.

Three models, M1, M2, and M3, were developed. Their covariates were as follows: M1, age; M2, BI-RADS score and M3, BI-RADS score and age. Logistic regression was used to predict prognostic ability of the integrated model (M3). Data of patients from the Renmin Hospital of Wuhan University were used in the training cohort and data of patients from the Maternal and Child Health Hospital of Hubei Province were used in the external validation cohort. By plotting the receiver operating characteristics (ROC) curves, diagnostic accuracies were expressed as the area under the curve (AUC). A linear regression curve was plotted with age as the horizontal coordinate and the percentage of malignant tumors to total tumors in each age group as the vertical coordinate. R2 values were calculated to measure how well the statistical model predicted an outcome. P<0.05 was considered to indicate a statistically significant difference.

Results

Patient information

The basic information of the patients in the training and validation cohorts is summarized in Table II. Significant differences were exhibited in age, malignancy distribution and BI-RADS 4 subcategories distribution between cohorts. The training cohort had an age range of 15-85 years, with a mean age of 48±12 years, while the validation cohort age range from 19 to 79 years, with a mean age of 39±11 years. The training cohort had 718 benign (61.0%) and 459 malignant (39.0%) cases, whereas the validation cohort presented with 444 benign (84.7%) and 80 malignant (15.3%) cases. Regarding BI-RADS 4 subcategories, the training cohort reported 794 cases (67.5%) as 4A, 197 (16.7%) as 4B, and 186 (15.8%) as 4C. By contrast, the validation cohort had a higher proportion of 4A cases at 435 (83.0%), with fewer 4B and 4C cases at 68 (13.0%) and 21 (4.0%), respectively.

Table II

Comparison of basic information between the training cohort and the validation cohort.

Table II

Comparison of basic information between the training cohort and the validation cohort.

CharacteristicTraining cohort (n=1,177)Validation cohort (n=524)P-value
Mean age (range), years48±12 (15-85)39±11 (19-79)<0.001
Pathology (%)  <0.001
     Benign718 (61.0)444 (84.7%) 
     Malignant459 (39.0%)80 (15.3%) 
Breast Imaging Reporting and Data   
System category  <0.001
     4A794 (67.5%)435 (83.0%) 
     4B197 (16.7%)68 (13.0%) 
     4C186 (15.8%)21 (4.0%) 
Effect of age on PPV of the BI-RADS lesion categories

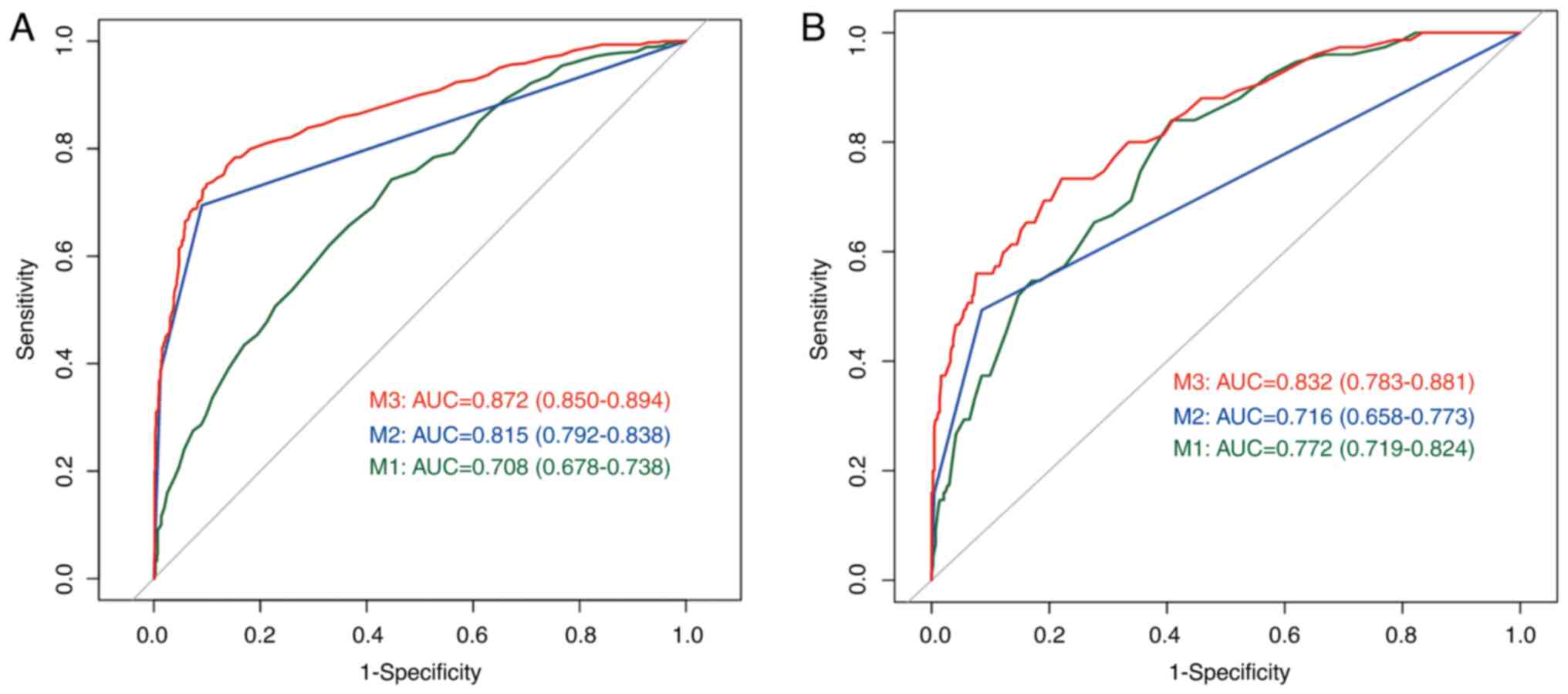
The influence of age on the PPV of BI-RADS lesion categories was determined. The proportion of malignant lesions varied significantly between the three age groups in all three BI-RADS subcategory 4 lesions (Table III). There was a significant positive association between proportion of malignant lesions and increasing age in training cohort (4A, 10.7 vs. 17.6 vs. 47.7; 4B, 54.4 vs. 78.8 vs. 80.6 and 4C, 89.5 vs. 95.6 vs. 98.2 for groups 1-3, respectively). The performances of models based on the ROC curves are illustrated in Fig. 2. The ROC curves of data in the training and validation cohorts showed similar results. The integrated model (M3) showed the best predictive ability in both the training (AUC=0.872, 95% CI: 0.850-0.894) and validation cohorts (AUC=0.832, 95% CI: 0.783-0.881). For the ROC curve in the training cohort, the age model (M1) showed the worst performance with an AUC of 0.708 (95% CI: 0.678-0.738); BI-RADS score model (M2) performed better with an AUC of 0.815 (95% CI: 0.792-0.838). For the ROC curve in the validation cohorts, M2 (AUC=0.716, 95% CI: 0.658-0.773) performed worse than M1 (AUC=0.772, 95% CI: 0.719-0.824).

Figure 2

Performance of each model in ROC curves of the training and validation cohorts. M1 uses age as a predictive variable, M2 uses BI-RADS score and M3 uses both BI-RADS score and age. ROC curves were constructed to evaluate ability to distinguish between patient outcomes. ROC curve for (A) training and (B) validation cohort. ROC, receiver operating characteristic; AUC, area under the curve; BI-RADS, Breast Imaging Reporting and Data System.

Table III

Association between age and BI-RADS category 4 lesions.

Table III

Association between age and BI-RADS category 4 lesions.

A, BI-RADS 4A
 Training cohortValidation cohort
Age groupBenign (%)Malignant (%)P-valueBenign (%)Malignant (%)P-value
1310 (89.9)35 (10.1)<0.001307 (94.2)19 (5.8)<0.001
2299 (82.4)64 (17.6) 80 (85.1)14 (14.9) 
345 (52.3)41 (47.7) 12 (66.7)6 (33.3) 
B, BI-RADS 4B
126 (45.6)31 (54.4)0.00227 (75.0)9 (25.0)0.106
222 (21.2)82 (78.8) 8 (42.1)11 (57.9) 
37 (19.4)29 (80.6) 2 (28.6)5 (71.4) 
C, BI-RADS 4C
14 (10.5)34 (89.5)0.0822 (16.7)10 (83.3)0.062
24 (4.4)87 (95.6) 0 (0.0)8 (100.0) 
31 (1.8)56 (98.2) 0 (0.0)4 (100.0) 

[i] Group 1, <45 year; group 2, 45-60 years; group 3, >60 years; BI-RADS, Breast Imaging Reporting and Data System.

Analysis of the US characteristics

In the training cohort, significant statistical differences were observed in calcification, fuzzy boundary, irregular shape and blood flow signal between benign and malignant lesions, which are commonly considered indications of malignancy and frequently described in breast cancer (23-26) (Table IV). However, there was no significant difference in posterior echo attenuation.

Table IV

Ultrasonographic characteristics of patients.

Table IV

Ultrasonographic characteristics of patients.

CharacteristicBenign (%)Malignancy (%)TotalP-value
Calcification   0.003
     Absent347 (65.7)181 (34.3)528 
     Present371 (57.2)278 (42.8)649 
Fuzzy boundary   <0.001
     Absent466 (72.9)173 (27.1)639 
     Present252 (46.8)286 (53.2)538 
Irregular shape   <0.001
     Absent400 (84.9)71 (15.1)471 
     Present318 (45.0)388 (55.0)706 
Blood flow signal in the tumor   <0.001
     Absent596 (72.0)232 (28.0)828 
     Present122 (35.0)227 (65.0)349 
Posterior echo attenuation   0.084
     Absent657 (60.4)431 (39.6)1,088 
     Present62 (69.7)27 (30.3)89 

Although suspicious imaging descriptors are helpful in predicting breast cancer, their accuracy may be affected by age (14). Young patients with many suspicious imaging descriptors sometimes have false-positive results (27). By contrast, older patients may have malignant tumors with less suspicious imaging descriptors (Fig. 3).

Figure 3

Ultrasonography of young and old patients with Breast Imaging Reporting and Data System score 4B lesions. (A) A 35-year-old female patient with palpable breast mass, fuzzy boundary and blood flow signal, highly indicative of malignancy, was confirmed as fibroadenoma. (B) A 74-year-old female patient with few suspicious imaging descriptors, clear boundary and no angular margin, which was likely to be benign, was confirmed as invasive carcinoma.

The present study explored the association between age groups and the PPVs of the suspicious US image features in the different BI-RADS 4 lesion subcategories (Table V). Irregular shape was associated with the highest PPV for diagnosing malignant breast lesions in all BI-RADS 4 lesion subcategories. Age-related PPVs of fuzzy boundaries varied significantly between the three age groups in the BI-RADS 4A (65.7 vs. 46.9 vs. 28.6 for groups 1-3, respectively) and 4B subcategory (86.7 vs. 67.1 vs. 51.7, for groups 1-3, respectively). The prevalence of fuzzy boundary decreased with age. No other feature was significantly associated with age or BI-RADS subcategories.

Table V

PPVs of ultrasonographic features of BI-RADS 4 subcategories by age group.

Table V

PPVs of ultrasonographic features of BI-RADS 4 subcategories by age group.

A, BI-RADS 4A
Age GroupFeaturePPV (%)1-PPV (%)
1Calcification15 (42.9)20 (57.1)
 Fuzzy boundary23 (65.7)12 (34.3)
 Irregular shape26 (74.3)9 (25.7)
 Blood flow signal15 (42.9)20 (57.1)
2Calcification31 (48.4)33 (51.6)
 Fuzzy boundary30 (46.9)34 (53.1)
 Irregular shape46 (71.9)18 (28.1)
 Blood flow signal22 (34.4)42 (65.6)
3Calcification19 (45.2)22 (54.8)
 Fuzzy boundary12 (28.6)29 (71.4)
 Irregular shape32 (76.2)10 (23.8)
 Blood flow signal13 (31.0)28 (69.0)
B, BI-RADS 4B
1Calcification19 (60.0)12 (40.0)
 Fuzzy boundary26 (86.7)4 (13.3)
 Irregular shape28 (93.3)2 (6.7)
 Blood flow signal20 (66.7)10 (33.3)
2Calcification54 (65.9)28 (34.1)
 Fuzzy boundary55 (67.1)27 (32.9)
 Irregular shape71 (86.6)11 (13.4)
 Blood flow signal38 (46.3)44 (53.7)
3Calcification15 (51.7)14 (48.3)
 Fuzzy boundary15 (51.7)14 (48.3)
 Irregular shape23 (79.3)6 (20.7)
 Blood flow signal16 (55.2)13 (44.8)
C, BI-RADS 4C
1Calcification24 (70.6)10 (29.4)
 Fuzzy boundary25 (73.5)9 (26.5)
 Irregular shape30 (88.2)4 (11.8)
 Blood flow signal24 (70.6)10 (29.4)
2Calcification66 (75.9)21 (24.1)
 Fuzzy boundary63 (72.4)24 (27.6)
 Irregular shape81 (93.1)6 (6.9)
 Blood flow signal48 (55.2)39 (44.8)
3Calcification36 (64.3)20 (35.7)
 Fuzzy boundary37 (66.1)19 (33.9)
 Irregular shape51 (91.1)5 (8.9)
 Blood flow signal31 (55.4)25 (44.6)

[i] Group 1, <45 year; group 2, 45-60 years; group 3, >60 years; PPV, positive predictive value.

Moreover, collinearity test was used to examine whether there was an interaction between age and BI-RADS lesion category in the diagnosis of benign and malignant breast lesions. The results showed that age, BI-RADS and imaging features were independent (all variance inflation factor <10; Table SI).

Linear regression model for age and proportion of malignancy

Based on the BI-RADS guidelines (9), the reference ranges for the malignancy probabilities of BI-RADS 4A, 4B, and 4C malignancies are 2-10, 10-50 and 50-95%, respectively. The distribution of benign and malignant tumors with age was normal (Fig. S1). The distribution of the proportion of malignancy with age using a linear regression model is depicted in Fig. 4. R2 values for BI-RADS 4A, 4B, and 4C were 0.792, 0.689 and 0.775, respectively. For patients with BI-RADS subcategory 4A lesions, the likelihood of malignancy was lower than the lower limit of the reference range (2%) for patients aged <30 years. This suggests that short-term follow-up could be performed instead of biopsy.

Figure 4

Linear regression analysis depicting the association between age and the proportion of malignant tumors across age groups. BI-RADS, Breast Imaging Reporting and Data System.

Discussion

The present study categorized patients into age groups to examine the impact of age on the PPV of BI-RADS for breast US. Findings across training and validation cohorts reveal that breast cancer incidence varied by age even within the same BI-RADS score, with older patients more likely to receive a breast cancer diagnosis than younger patients. This indicates that incorporating age into the BI-RADS criteria could refine diagnostic accuracy.

A model combining age with BI-RADS score was developed to evaluate whether this approach enhances breast cancer diagnosis compared with age or BI-RADS scores alone. AUCs demonstrated that both factors independently predicted breast cancer, but the combined model exhibited superior predictive accuracy in both cohorts, highlighting the benefit of this integrative method for more precise diagnosis.

Moreover, the present study proposes adjusting the BI-RADS 4A category with an age cutoff as patients aged <30 years have a lower likelihood of breast cancer than the reference range lower limit (2%). This suggests reclassifying BI-RADS 4A lesions for patients aged <30 years to category 3, potentially avoiding unnecessary biopsies and minimizing harm (19). This suggests that age influences breast cancer risk assessment within BI-RADS categories and supports a more customized diagnostic approach.

To clarify the underlying mechanisms by which age affects BI-RADS classification, the present study analyzed the incidence of malignancy-related US features in the different age groups. In US diagnosis of breast lesions, malignant signs include fuzzy boundary, irregular shape, calcification and blood flow signal (12). The present study assessed age-related PPVs of these US features in BI-RADS category 4 lesions and found that a fuzzy boundary was the only significant age-associated imaging feature. However, as not all suspicious malignant features were analyzed in the present study (such as echo, dilated duct and axillary adenopathy), fuzzy boundaries may not be the only age-related US feature for breast cancer.

Previous research (27-30) has indicated that the likelihood of malignancy in breast lesions, as assessed by BI-RADS score, increases with age. Fu et al (27) and Hu et al (28) demonstrated that age influences the predictive value of BI-RADS categories 3-5 in breast US, using similar age groupings to the present study. Notably, Fu et al found no significant difference (P=0.1853) in the predictive value for category 4C lesions, consistent with the present study. The differences between the present and aforementioned study are the broader focus and the lack of age-specific analysis of BI-RADS category 4 lesions in the aforementioned study. Noonpradej et al (29), assessing patients with BI-RADS category 4 lesions, identified a clear positive link between age and predictive value but did not investigate the connection between US features and age. The present study suggested that fuzzy boundaries in US images may be an age-associated characteristic of breast cancer, warranting further investigation. Xie et al (30) developed a nomogram integrating clinical, MRI, US and mammography data to reclassify patients with BI-RADS 4A lesions to category 3. Although the present model was solely based on US, its accuracy (AUC=0.872) was not inferior to that shown by the comprehensive model (AUC=0.859) in the aforementioned study, especially considering that most outpatients undergo only US examinations, rather than mammography and MRI, due to economic and practical considerations. Therefore, the present model has broader applicability.

The present study analyzed 1,475 patients between the ages of 15 and 85 years, demonstrating the broad applicability of integrating age with BI-RADS for breast cancer diagnosis. Despite age differences between the training and validation cohorts, the findings suggested that combining age with BI-RADS improves breast cancer diagnostic accuracy, suggesting the scientific rigor of the present findings. The larger, age-diverse training cohort resulted in a robust model capable of accurately classifying breast lesions across a wide age range, accounting for age-associated variabilities in lesion characteristics. The efficacy of the model in the relatively younger validation cohort underscored its suitability for the age group most affected by the clinical question of downgrading BI-RADS 4A lesions. The use of US, a common diagnostic tool, further supports the potential of the model to enhance breast cancer screening protocols. There are some limitations to the present study. Firstly, as a retrospective study, a larger lesion sample is necessary to validate the present findings, particularly for establishing a definitive cut-off age. The generalizability of the study may be limited because ultrasound, typically used as an adjunct to mammography rather than a standalone tool in Western countries (31,32), shows significant operator dependency and lacks evidence on its impact in reducing breast cancer mortality, making it less applicable to practices relying solely on its diagnostic efficacy.

Future work should focus on validating the present findings through prospective studies, assessing the real-world effectiveness of integrating age with BI-RADS. Larger sample sizes and multi-center studies are required to enhance the generalizability and reliability of the present findings. Enhancing diagnostic reliability involves standardized scanning protocols, rigorous operator training, quality control programs, advanced technologies such as 3D ultrasonography and elastography, artificial intelligence and machine learning for improved image analysis and cross-verification with multiple imaging modalitie (4,33,34). Additionally, longitudinal studies are key for understanding the long-term benefits of this approach in patient outcomes, especially its effectiveness in decreasing over-diagnosis in younger patients.

The present study has notable clinical application. Integrating age with BI-RADS facilitates age-specific risk assessment, allowing for more tailored breast cancer screening guidelines and improved diagnostic precision. This approach recognizes that different age groups exhibit varying risks and characteristics of breast cancer, necessitating adjustments in screening protocols to enhance effectiveness. For example, younger patients, who typically have denser breast tissue, might benefit from adjusted screening methods. By combining age with BI-RADS categories, clinicians can offer a nuanced understanding of breast lesions, leading to personalized management plans and decreasing overtreatment and associated anxiety in younger patients.

In conclusion, the present study investigated clinical and imaging risk features associated with breast cancer diagnosis in a large population. The present study analyzed predictive risk factors of age-specific US images and the role of age in diagnosing BI-RADS 4 cases. The present results may improve diagnostic accuracy, facilitating clinicians in assessing breast cancer risk based on age and US reports, choosing appropriate treatments, controlling disease progression and improving patient survival rate and quality of life.

Supplementary Material

Distribution of benign and malignant tumors by age. The age distribution of the benign and malignant tumors was normal. With increasing age, ratio of benign to malignant tumors decreases.
Collinearity analysis between age, BI RADS and ultrasonic image features.

Acknowledgements

Not applicable.

Funding

Funding: The present study was supported in part by the National Natural Science Foundation of China (grant no. 81502665).

Availability of data and materials

The data generated in the present study are included in the figures and/or tables of this article.

Authors' contributions

JD and MW confirm the authenticity of all the raw data. JD, MS and MWanalyzed and interpreted data. NL and YJ interpreted the ultrasound reports. YZ, FY, WL and SS conceived and designed the study. All authors wrote the manuscript. All authors have read and approved the final manuscript.

Ethics approval and consent to participate

The present study was performed in line with the principles of the Declaration of Helsinki. Ethical approval was obtained from the ethics committee of Renmin Hospital of Wuhan University (approval no. WDRY2021-KS025) and Maternal and Child Health Hospital of Hubei Province (approval no. 2024ICE-LW035). As this was a retrospective study, the ethics committees of both institutions waived the requirement for informed consent.

Patient consent for publication

Not applicable.

Competing interests

The authors declare that they have no competing interests.

References

1 

Siegel RL, Miller KD, Wagle NS and Jemal A: Cancer statistics, 2023. CA Cancer J Clin. 73:17–48. 2023.PubMed/NCBI View Article : Google Scholar

2 

Tagliafico AS, Piana M, Schenone D, Lai R, Massone AM and Houssami N: Overview of radiomics in breast cancer diagnosis and prognostication. Breast. 49:74–80. 2020.PubMed/NCBI View Article : Google Scholar

3 

Bevers TB, Helvie M, Bonaccio E, Calhoun KE, DalyMB FarrarWB, Garber JE, Gray R, Greenberg CC, Greenup R, et al: Breast cancer screening and diagnosis, version 3.2018, NCCN clinical practice guidelines in oncology. J Natl Compr Canc Netw. 16:1362–1389. 2018.PubMed/NCBI View Article : Google Scholar

4 

Salmanoglu E, Klinger K, Bhimani C, Sevrukov A and Thakur ML: Advanced approaches to imaging primary breast cancer: An update. Clin Transl Imaging. 7:381–404. 2019.

5 

Chong A, Weinstein SP, McDonald ES and Conant EF: Digital breast tomosynthesis: Concepts and clinical practice. Radiology. 292:1–14. 2019.PubMed/NCBI View Article : Google Scholar

6 

Hou XY, Niu HY, Huang XL and Gao Y: Correlation of breast ultrasound classifications with breast cancer in Chinese women. Ultrasound Med Biol. 42:2616–2621. 2016.PubMed/NCBI View Article : Google Scholar

7 

Devolli-Disha E, Manxhuka-Kërliu S, Ymeri H and Kutllovci A: Comparative accuracy of mammography and ultrasound in women with breast symptoms according to age and breast density. Bosn J Basic Med Sci. 9:131–136. 2009.PubMed/NCBI View Article : Google Scholar

8 

Kuhl CK: Abbreviated magnetic resonance imaging (MRI) for breast cancer screening: Rationale, concept, and transfer to clinical practice. Annu Rev Med. 70:501–519. 2019.PubMed/NCBI View Article : Google Scholar

9 

Magny SJ, Shikhman R and Keppke AL: Breast imaging reporting and data system. In: StatPearls [Internet]. StatPearls Publishing, Treasure Island, FL, 2023.

10 

Lazarus E, Mainiero MB, Schepps B, Koelliker SL and Livingston LS: BI-RADS lexicon for US and mammography: Interobserver variability and positive predictive value. Radiology. 239:385–391. 2006.PubMed/NCBI View Article : Google Scholar

11 

He P, Cui LG, Chen W and Yang RL: Subcategorization of ultrasonographic BI-RADS category 4: Assessment of diagnostic accuracy in diagnosing breast lesions and influence of clinical factors on positive predictive value. Ultrasound Med Biol. 45:1253–1258. 2019.PubMed/NCBI View Article : Google Scholar

12 

Hsu W, Zhou X, Petruse A, Chau N, Lee-Felker S, Hoyt A, Wenger N, Elashoff D and Naeim A: Role of clinical and imaging risk factors in predicting breast cancer diagnosis among BI-RADS 4 cases. Clin Breast Cancer. 19:e142–e151. 2019.PubMed/NCBI View Article : Google Scholar

13 

Kang YJ, Ahn SK, Kim SJ, Oh H, Han J and Ko E: Relationship between mammographic density and age in the United Arab Emirates population. J Oncol. 2019(7351350)2019.PubMed/NCBI View Article : Google Scholar

14 

McGuire A, Brown JAL, Malone C, McLaughlin R and Kerin MJ: Effects of age on the detection and management of breast cancer. Cancers (Basel). 7:908–929. 2015.PubMed/NCBI View Article : Google Scholar

15 

Clendenen TV, Ge W, Koenig KL, Afanasyeva Y, Agnoli C, Brinton LA, Darvishian F, Dorgan JF, Eliassen AH, Falk RT, et al: Breast cancer risk prediction in women aged 35-50 years: Impact of including sex hormone concentrations in the gail model. Breast Cancer Research. 21(42)2019.PubMed/NCBI View Article : Google Scholar

16 

DeSantis C, Ma J, Bryan L and Jemal A: Breast cancer statistics, 2013. CA Cancer J Clin. 64:52–62. 2014.PubMed/NCBI View Article : Google Scholar

17 

Leong SP, Shen ZZ, Liu TJ, Agarwal G, Tajima T, Paik NS, Sandelin K, Derossis A, Cody H, Foulkes WD, et al: Is breast cancer the same disease in Asian and Western countries? World J Surg. 34:2308–2324. 2010.PubMed/NCBI View Article : Google Scholar

18 

Spinelli Varella MA, Teixeira da Cruz J, Rauber A, Varella IS, Fleck JF and Moreira LF: Role of BI-RADS ultrasound subcategories 4A to 4C in predicting breast cancer. Clin Breast Cancer. 18:e507–e511. 2018.PubMed/NCBI View Article : Google Scholar

19 

Raza S, Chikarmane SA, Neilsen SS, Zorn LM and Birdwell RL: BI-RADS 3, 4, and 5 lesions: Value of US in managementfollow-up and outcome. Radiology. 248:773–781. 2008.PubMed/NCBI View Article : Google Scholar

20 

Cheung A (ed): WHO classification of tumours 5th edition. World Health Organization, Geneva, 2018.

21 

Lei S, Zheng R, Zhang S, Chen R, Wang S, Sun K, Zeng H, Wei W and He J: Breast cancer incidence and mortality in women in China: Temporal trends and projections to 2030. Cancer Biol Med. 18:900–909. 2021.PubMed/NCBI View Article : Google Scholar

22 

Fan L, Strasser-Weippl K, Li JJ, St Louis J, Finkelstein DM, Yu KD, Chen WQ, Shao ZM and Goss PE: Breast cancer in China. Lancet Oncol. 15:e279–e289. 2014.PubMed/NCBI View Article : Google Scholar

23 

Li JW, Zhang K, Shi ZT, Zhang X, Xie J, Liu JY and Chang C: Triple-negative invasive breast carcinoma: The association between the sonographic appearances with clinicopathological feature. Sci Rep. 8(9040)2018.PubMed/NCBI View Article : Google Scholar

24 

Tian L, Wang L, Qin Y and Cai J: Systematic review and meta-analysis of the malignant ultrasound features of triple-negative breast cancer. J Ultrasound Med. 39:2013–2025. 2020.PubMed/NCBI View Article : Google Scholar

25 

Wojcinski S, Soliman AA, Schmidt J, Makowski L, Degenhardt F and Hillemanns P: Sonographic features of triple-negative and non-triple-negative breast cancer. J Ultrasound Med. 31:1531–1541. 2012.PubMed/NCBI View Article : Google Scholar

26 

Wang K, Zou Z, Shen H, Huang G and Yang S: Calcification, posterior acoustic, and blood flow: Ultrasonic characteristics of triple-negative breast cancer. J Healthc Eng. 2022(9336185)2022.PubMed/NCBI View Article : Google Scholar

27 

Fu CY, Hsu HH, Yu JC, Hsu GC, Hsu KF, Chan DC, Ku CH, Lu TC and Chu CH: Influence of age on PPV of sonographic BI-RADS categories 3, 4, and 5. Ultraschall Med. 32 (Suppl 1):S8–S13. 2011.PubMed/NCBI View Article : Google Scholar

28 

Hu Y, Yang Y, Gu R, Jin L, Shen S, Liu F, Wang H, Mei J, Jiang X, Liu Q and Su F: Does patient age affect the PPV3 of ACR BI-RADS ultrasound categories 4 and 5 in the diagnostic setting? Eur Radiol. 28:2492–2498. 2018.PubMed/NCBI View Article : Google Scholar

29 

Noonpradej S, Wangkulangkul P, Woodtichartpreecha P and Laohawiriyakamol S: Prediction for breast cancer in BI-RADS category 4 lesion categorized by age and breast composition of women in Songklanagarind hospital. Asian Pac J Cancer Prev. 22:531–536. 2021.PubMed/NCBI View Article : Google Scholar

30 

Xie Y, Zhu Y, Chai W, Zong S, Xu S, Zhan W and Zhang X: Downgrade BI-RADS 4A patients using nomogram based on breast magnetic resonance imaging, ultrasound, and mammography. Front Oncol. 12(807402)2022.PubMed/NCBI View Article : Google Scholar

31 

Engmann NJ, Golmakani MK, Miglioretti DL, Sprague BL and Kerlikowske K: Breast Cancer Surveillance Consortium. Population-attributable risk proportion of clinical risk factors for breast cancer. JAMA Oncol. 3:1228–1236. 2017.PubMed/NCBI View Article : Google Scholar

32 

Corsetti V, Houssami N, Ferrari A, Ghirardi M, Bellarosa S, Angelini O, Bani C, Sardo P, Remida G, Galligioni E and Ciatto S: Breast screening with ultrasound in women with mammography-negative dense breasts: Evidence on incremental cancer detection and false positives, and associated cost. Eur J Cancer. 44:539–544. 2008.PubMed/NCBI View Article : Google Scholar

33 

Le EPV, Wang Y, Huang Y, Hickman S and Gilbert FJ: Artificial intelligence in breast imaging. Clin Radiol. 74:357–366. 2019.PubMed/NCBI View Article : Google Scholar

34 

Lei YM, Yin M, Yu MH, Yu J, Zeng SE, Lv WZ, Li J, Ye HR, Cui XW and Dietrich CF: Artificial intelligence in medical imaging of the breast. Front Oncol. 11(600557)2021.PubMed/NCBI View Article : Google Scholar

Related Articles

  • Abstract
  • View
  • Download
  • Twitter
Copy and paste a formatted citation
Spandidos Publications style
Deng J, Shi M, Wang M, Liao N, Jia Y, Lu W, Yao F, Sun S and Zhang Y: Age‑integrated breast imaging reporting and data system assessment model to improve the accuracy of breast cancer diagnosis. Mol Clin Oncol 21: 60, 2024.
APA
Deng, J., Shi, M., Wang, M., Liao, N., Jia, Y., Lu, W. ... Zhang, Y. (2024). Age‑integrated breast imaging reporting and data system assessment model to improve the accuracy of breast cancer diagnosis. Molecular and Clinical Oncology, 21, 60. https://doi.org/10.3892/mco.2024.2758
MLA
Deng, J., Shi, M., Wang, M., Liao, N., Jia, Y., Lu, W., Yao, F., Sun, S., Zhang, Y."Age‑integrated breast imaging reporting and data system assessment model to improve the accuracy of breast cancer diagnosis". Molecular and Clinical Oncology 21.3 (2024): 60.
Chicago
Deng, J., Shi, M., Wang, M., Liao, N., Jia, Y., Lu, W., Yao, F., Sun, S., Zhang, Y."Age‑integrated breast imaging reporting and data system assessment model to improve the accuracy of breast cancer diagnosis". Molecular and Clinical Oncology 21, no. 3 (2024): 60. https://doi.org/10.3892/mco.2024.2758
Copy and paste a formatted citation
x
Spandidos Publications style
Deng J, Shi M, Wang M, Liao N, Jia Y, Lu W, Yao F, Sun S and Zhang Y: Age‑integrated breast imaging reporting and data system assessment model to improve the accuracy of breast cancer diagnosis. Mol Clin Oncol 21: 60, 2024.
APA
Deng, J., Shi, M., Wang, M., Liao, N., Jia, Y., Lu, W. ... Zhang, Y. (2024). Age‑integrated breast imaging reporting and data system assessment model to improve the accuracy of breast cancer diagnosis. Molecular and Clinical Oncology, 21, 60. https://doi.org/10.3892/mco.2024.2758
MLA
Deng, J., Shi, M., Wang, M., Liao, N., Jia, Y., Lu, W., Yao, F., Sun, S., Zhang, Y."Age‑integrated breast imaging reporting and data system assessment model to improve the accuracy of breast cancer diagnosis". Molecular and Clinical Oncology 21.3 (2024): 60.
Chicago
Deng, J., Shi, M., Wang, M., Liao, N., Jia, Y., Lu, W., Yao, F., Sun, S., Zhang, Y."Age‑integrated breast imaging reporting and data system assessment model to improve the accuracy of breast cancer diagnosis". Molecular and Clinical Oncology 21, no. 3 (2024): 60. https://doi.org/10.3892/mco.2024.2758
Follow us
  • Twitter
  • LinkedIn
  • Facebook
About
  • Spandidos Publications
  • Careers
  • Cookie Policy
  • Privacy Policy
How can we help?
  • Help
  • Live Chat
  • Contact
  • Email to our Support Team