Spandidos Publications Logo
  • About
    • About Spandidos
    • Aims and Scopes
    • Abstracting and Indexing
    • Editorial Policies
    • Reprints and Permissions
    • Job Opportunities
    • Terms and Conditions
    • Contact
  • Journals
    • All Journals
    • Oncology Letters
      • Oncology Letters
      • Information for Authors
      • Editorial Policies
      • Editorial Board
      • Aims and Scope
      • Abstracting and Indexing
      • Bibliographic Information
      • Archive
    • International Journal of Oncology
      • International Journal of Oncology
      • Information for Authors
      • Editorial Policies
      • Editorial Board
      • Aims and Scope
      • Abstracting and Indexing
      • Bibliographic Information
      • Archive
    • Molecular and Clinical Oncology
      • Molecular and Clinical Oncology
      • Information for Authors
      • Editorial Policies
      • Editorial Board
      • Aims and Scope
      • Abstracting and Indexing
      • Bibliographic Information
      • Archive
    • Experimental and Therapeutic Medicine
      • Experimental and Therapeutic Medicine
      • Information for Authors
      • Editorial Policies
      • Editorial Board
      • Aims and Scope
      • Abstracting and Indexing
      • Bibliographic Information
      • Archive
    • International Journal of Molecular Medicine
      • International Journal of Molecular Medicine
      • Information for Authors
      • Editorial Policies
      • Editorial Board
      • Aims and Scope
      • Abstracting and Indexing
      • Bibliographic Information
      • Archive
    • Biomedical Reports
      • Biomedical Reports
      • Information for Authors
      • Editorial Policies
      • Editorial Board
      • Aims and Scope
      • Abstracting and Indexing
      • Bibliographic Information
      • Archive
    • Oncology Reports
      • Oncology Reports
      • Information for Authors
      • Editorial Policies
      • Editorial Board
      • Aims and Scope
      • Abstracting and Indexing
      • Bibliographic Information
      • Archive
    • Molecular Medicine Reports
      • Molecular Medicine Reports
      • Information for Authors
      • Editorial Policies
      • Editorial Board
      • Aims and Scope
      • Abstracting and Indexing
      • Bibliographic Information
      • Archive
    • World Academy of Sciences Journal
      • World Academy of Sciences Journal
      • Information for Authors
      • Editorial Policies
      • Editorial Board
      • Aims and Scope
      • Abstracting and Indexing
      • Bibliographic Information
      • Archive
    • International Journal of Functional Nutrition
      • International Journal of Functional Nutrition
      • Information for Authors
      • Editorial Policies
      • Editorial Board
      • Aims and Scope
      • Abstracting and Indexing
      • Bibliographic Information
      • Archive
    • International Journal of Epigenetics
      • International Journal of Epigenetics
      • Information for Authors
      • Editorial Policies
      • Editorial Board
      • Aims and Scope
      • Abstracting and Indexing
      • Bibliographic Information
      • Archive
    • Medicine International
      • Medicine International
      • Information for Authors
      • Editorial Policies
      • Editorial Board
      • Aims and Scope
      • Abstracting and Indexing
      • Bibliographic Information
      • Archive
  • Articles
  • Information
    • Information for Authors
    • Information for Reviewers
    • Information for Librarians
    • Information for Advertisers
    • Conferences
  • Language Editing
Spandidos Publications Logo
  • About
    • About Spandidos
    • Aims and Scopes
    • Abstracting and Indexing
    • Editorial Policies
    • Reprints and Permissions
    • Job Opportunities
    • Terms and Conditions
    • Contact
  • Journals
    • All Journals
    • Biomedical Reports
      • Information for Authors
      • Editorial Policies
      • Editorial Board
      • Aims and Scope
      • Abstracting and Indexing
      • Bibliographic Information
      • Archive
    • Experimental and Therapeutic Medicine
      • Information for Authors
      • Editorial Policies
      • Editorial Board
      • Aims and Scope
      • Abstracting and Indexing
      • Bibliographic Information
      • Archive
    • International Journal of Epigenetics
      • Information for Authors
      • Editorial Policies
      • Editorial Board
      • Aims and Scope
      • Abstracting and Indexing
      • Bibliographic Information
      • Archive
    • International Journal of Functional Nutrition
      • Information for Authors
      • Editorial Policies
      • Editorial Board
      • Aims and Scope
      • Abstracting and Indexing
      • Bibliographic Information
      • Archive
    • International Journal of Molecular Medicine
      • Information for Authors
      • Editorial Policies
      • Editorial Board
      • Aims and Scope
      • Abstracting and Indexing
      • Bibliographic Information
      • Archive
    • International Journal of Oncology
      • Information for Authors
      • Editorial Policies
      • Editorial Board
      • Aims and Scope
      • Abstracting and Indexing
      • Bibliographic Information
      • Archive
    • Medicine International
      • Information for Authors
      • Editorial Policies
      • Editorial Board
      • Aims and Scope
      • Abstracting and Indexing
      • Bibliographic Information
      • Archive
    • Molecular and Clinical Oncology
      • Information for Authors
      • Editorial Policies
      • Editorial Board
      • Aims and Scope
      • Abstracting and Indexing
      • Bibliographic Information
      • Archive
    • Molecular Medicine Reports
      • Information for Authors
      • Editorial Policies
      • Editorial Board
      • Aims and Scope
      • Abstracting and Indexing
      • Bibliographic Information
      • Archive
    • Oncology Letters
      • Information for Authors
      • Editorial Policies
      • Editorial Board
      • Aims and Scope
      • Abstracting and Indexing
      • Bibliographic Information
      • Archive
    • Oncology Reports
      • Information for Authors
      • Editorial Policies
      • Editorial Board
      • Aims and Scope
      • Abstracting and Indexing
      • Bibliographic Information
      • Archive
    • World Academy of Sciences Journal
      • Information for Authors
      • Editorial Policies
      • Editorial Board
      • Aims and Scope
      • Abstracting and Indexing
      • Bibliographic Information
      • Archive
  • Articles
  • Information
    • For Authors
    • For Reviewers
    • For Librarians
    • For Advertisers
    • Conferences
  • Language Editing
Login Register Submit
  • This site uses cookies
  • You can change your cookie settings at any time by following the instructions in our Cookie Policy. To find out more, you may read our Privacy Policy.

    I agree
Search articles by DOI, keyword, author or affiliation
Search
Advanced Search
presentation
Molecular and Clinical Oncology
Join Editorial Board Propose a Special Issue
Print ISSN: 2049-9450 Online ISSN: 2049-9469
Journal Cover
May-2025 Volume 22 Issue 5

Full Size Image

Sign up for eToc alerts
Recommend to Library

Journals

International Journal of Molecular Medicine

International Journal of Molecular Medicine

International Journal of Molecular Medicine is an international journal devoted to molecular mechanisms of human disease.

International Journal of Oncology

International Journal of Oncology

International Journal of Oncology is an international journal devoted to oncology research and cancer treatment.

Molecular Medicine Reports

Molecular Medicine Reports

Covers molecular medicine topics such as pharmacology, pathology, genetics, neuroscience, infectious diseases, molecular cardiology, and molecular surgery.

Oncology Reports

Oncology Reports

Oncology Reports is an international journal devoted to fundamental and applied research in Oncology.

Experimental and Therapeutic Medicine

Experimental and Therapeutic Medicine

Experimental and Therapeutic Medicine is an international journal devoted to laboratory and clinical medicine.

Oncology Letters

Oncology Letters

Oncology Letters is an international journal devoted to Experimental and Clinical Oncology.

Biomedical Reports

Biomedical Reports

Explores a wide range of biological and medical fields, including pharmacology, genetics, microbiology, neuroscience, and molecular cardiology.

Molecular and Clinical Oncology

Molecular and Clinical Oncology

International journal addressing all aspects of oncology research, from tumorigenesis and oncogenes to chemotherapy and metastasis.

World Academy of Sciences Journal

World Academy of Sciences Journal

Multidisciplinary open-access journal spanning biochemistry, genetics, neuroscience, environmental health, and synthetic biology.

International Journal of Functional Nutrition

International Journal of Functional Nutrition

Open-access journal combining biochemistry, pharmacology, immunology, and genetics to advance health through functional nutrition.

International Journal of Epigenetics

International Journal of Epigenetics

Publishes open-access research on using epigenetics to advance understanding and treatment of human disease.

Medicine International

Medicine International

An International Open Access Journal Devoted to General Medicine.

Journal Cover
May-2025 Volume 22 Issue 5

Full Size Image

Sign up for eToc alerts
Recommend to Library

  • Article
  • Citations
    • Cite This Article
    • Download Citation
    • Create Citation Alert
    • Remove Citation Alert
    • Cited By
  • Similar Articles
    • Related Articles (in Spandidos Publications)
    • Similar Articles (Google Scholar)
    • Similar Articles (PubMed)
  • Download PDF
  • Download XML
  • View XML

  • Supplementary Files
    • Supplementary_Data.pdf
Article Open Access

Diagnostic value of miR‑21 and miR‑221 as potential biomarkers for early diagnosis of prostate cancer

  • Authors:
    • Imane Mharrach
    • Kaoutar Anouar Tadlaoui
    • Mouna Aqerrout
    • Abdelilah Laraqui
    • Ahmed Ameur
    • Anouar El Ghazzaly
    • Khalid Ennibi
    • Moulay Mustapha Ennaji
  • View Affiliations / Copyright

    Affiliations: Laboratory of Virology, Oncology, Biosciences, Environment and New Energies, Faculty of Sciences and Techniques, Hassan II University of Casablanca, Casablanca 20650, Morocco, Royal School of Military Health Service, Sequencing Unit, Laboratory of Virology, Center of Virology, Infectious and Tropical Diseases, Mohammed V Military Teaching Hospital, Faculty of Medicine and Pharmacy, Mohammed V University, Rabat 10000, Morocco, Department of Urology, Mohammed V Military Teaching Hospital, Faculty of Medicine and Pharmacy, Mohammed V University, Rabat 10000, Morocco, Center of Virology, Infectious and Tropical Diseases, Mohammed V Military Teaching Hospital, Faculty of Medicine and Pharmacy, Mohammed V University, Rabat 10000, Morocco
    Copyright: © Mharrach et al. This is an open access article distributed under the terms of Creative Commons Attribution License.
  • Article Number: 40
    |
    Published online on: March 11, 2025
       https://doi.org/10.3892/mco.2025.2835
  • Expand metrics +
Metrics: Total Views: 0 (Spandidos Publications: | PMC Statistics: )
Metrics: Total PDF Downloads: 0 (Spandidos Publications: | PMC Statistics: )
Cited By (CrossRef): 0 citations Loading Articles...

This article is mentioned in:



Abstract

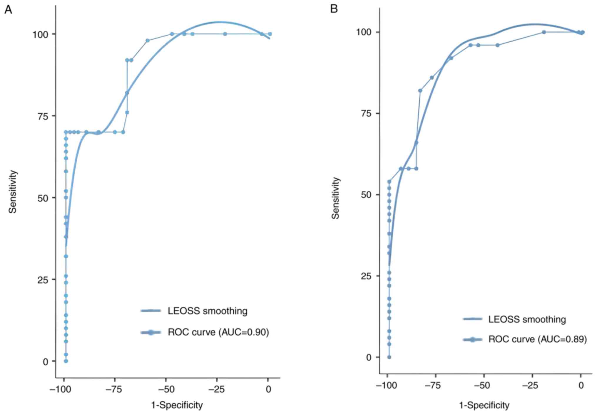
Prostate cancer (PCa) is globally the second most diagnosed malignancy in men, with >1.5 million new cases reported in 2020. Given the limitations of classical detection methods, the discovery of new predictive PCa biomarkers is critical. MicroRNAs (miRs), which are small, single‑stranded, non‑coding RNA molecules, have emerged as potential biomarkers for cancer diagnosis and prognosis. The present study aimed to evaluate the diagnostic value of miR‑21 and miR‑221 in PCa and their association with clinicopathological parameters. The expression of miR‑21 and miR‑221 was assessed using reverse transcription‑quantitative PCR in 50 tumour and 50 control tissue samples. The results demonstrated that miR‑21 and miR‑221 were significantly upregulated in PCa tissues compared with that of the normal control tissues. Receiver operating characteristic curve analysis revealed that miR‑21 had an area under the curve (AUC) of 0.90, with a sensitivity of 70% and a specificity of 96%. Similarly, miR‑221 demonstrated an AUC of 0.89, with a sensitivity of 86% and a specificity of 78%. High expression of miR‑21 and miR‑221 was also demonstrated to be associated with higher Gleason scores and advanced tumour stages. The findings of the present study indicate the potential role of miR‑21 and miR‑221 as biomarkers in the diagnosis of PCa. However, further studies in non‑invasive samples such as serum, blood and urine are needed to support the results of the present study.
View Figures

Figure 1

Figure 2

View References

1 

Wang L, Lu B, He M, Wang Y, Wang Z and Du L: Prostate cancer incidence and mortality: Global status and temporal trends in 89 countries from 2000 to 2019. Front Public Heal. 10(811044)2022.PubMed/NCBI View Article : Google Scholar

2 

Bratt O, Auvinen A, Arnsrud Godtman R, Hellström M, Hugosson J, Lilja H, Wallström J and Roobol MJ: Screening for prostate cancer: Evidence, ongoing trials, policies and knowledge gaps. BMJ Oncol. 2(e000039)2023.PubMed/NCBI View Article : Google Scholar

3 

Chakrabortty A, Patton DJ, Smith BF and Agarwal P: miRNAs: Potential as biomarkers and therapeutic targets for cancer. Genes (Basel). 14(1375)2023.PubMed/NCBI View Article : Google Scholar

4 

Calin GA, Liu CG, Sevignani C, Ferracin M, Felli N, Dumitru CD, Shimizu M, Cimmino A, Zupo S, Dono M, et al: MicroRNA profiling reveals distinct signatures in B cell chronic lymphocytic leukemias. Proc Natl Acad Sci USA. 101:11755–11760. 2004.PubMed/NCBI View Article : Google Scholar

5 

Porkka KP, Pfeiffer MJ, Waltering KK, Vessella RL, Tammela TL and Visakorpi T: MicroRNA expression profiling in prostate cancer. Cancer Res. 67:6130–6135. 2007.PubMed/NCBI View Article : Google Scholar

6 

Rhim J, Baek W, Seo Y and Kim JH: From molecular mechanisms to therapeutics: Understanding MicroRNA-21 in cancer. Cells. 11(2791)2022.PubMed/NCBI View Article : Google Scholar

7 

Liu LZ, Li C, Chen Q, Jing Y, Carpenter R, Jiang Y, Kung HF, Lai L and Jiang BH: MiR-21 induced angiogenesis through AKT and ERK activation and HIF-1α expression. PLoS One. 6(e19139)2011.PubMed/NCBI View Article : Google Scholar

8 

Vanacore D, Boccellino M, Rossetti S, Cavaliere C, D'Aniello C, Di Franco R, Romano FJ, Montanari M, La Mantia E, Piscitelli R, et al: Micrornas in prostate cancer: An overview. Oncotarget. 8:50240–50251. 2017.PubMed/NCBI View Article : Google Scholar

9 

Galardi S, Mercatelli N, Giorda E, Massalini S, Frajese GV, Ciafrè SA and Farace MG: miR-221 and miR-222 expression affects the proliferation potential of human prostate carcinoma cell lines by targeting p27Kip1. J Biol Chem. 282:23716–23724. 2007.PubMed/NCBI View Article : Google Scholar

10 

Amir S, Ma AH, Shi XB, Xue L, Kung HJ and Devere White RW: Oncomir miR-125b suppresses p14(ARF) to modulate p53-dependent and p53-independent apoptosis in prostate cancer. PLoS One. 8(e61064)2013.PubMed/NCBI View Article : Google Scholar

11 

Kalfert D, Ludvikova M, Pesta M, Ludvik J, Dostalova L and Kholová I: Multifunctional roles of miR-34a in cancer: A review with the emphasis on head and neck squamous cell carcinoma and thyroid cancer with clinical implications. Diagnostics (Basel). 10(563)2020.PubMed/NCBI View Article : Google Scholar

12 

Yamamura S, Saini S, Majid S, Hirata H, Ueno K, Deng G and Dahiya R: MicroRNA-34a modulates c-Myc transcriptional complexes to suppress malignancy in human prostate cancer cells. PLoS One. 7(e29722)2012.PubMed/NCBI View Article : Google Scholar

13 

Cavallari I, Ciccarese F, Sharova E, Urso L, Raimondi V, Silic-Benussi M, D'Agostino DM and Ciminale V: The miR-200 family of microRNAs: Fine tuners of epithelial-mesenchymal transition and circulating cancer biomarkers. Cancers (Basel). 13(5874)2021.PubMed/NCBI View Article : Google Scholar

14 

Livak KJ and Schmittgen TD: Analysis of relative gene expression data using real-time quantitative PCR and the 2(-Delta Delta C(T)) method. Methods. 25:402–408. 2001.PubMed/NCBI View Article : Google Scholar

15 

Ahmad J, Hasnain SE, Siddiqui MA, Ahamed M, Musarrat J and Al-Khedhairy AA: MicroRNA in carcinogenesis & cancer diagnostics: A new paradigm. Indian J Med Res. 137:680–694. 2013.PubMed/NCBI

16 

Menon A, Abd-Aziz N, Khalid K, Poh CL and Naidu R: miRNA: A promising therapeutic target in cancer. Int J Mol Sci. 23(11502)2022.PubMed/NCBI View Article : Google Scholar

17 

Folini M, Gandellini P, Longoni N, Profumo V, Callari M, Pennati M, Colecchia M, Supino R, Veneroni S, Salvioni R, et al: miR-21: An oncomir on strike in prostate cancer. Mol Cancer. 9(12)2010.PubMed/NCBI View Article : Google Scholar

18 

Kneitz B, Krebs M, Kalogirou C, Schubert M, Joniau S, van Poppel H, Lerut E, Kneitz S, Scholz CJ, Ströbel P, et al: Survival in patients with high-risk prostate cancer is predicted by miR-221, which regulates proliferation, apoptosis, and invasion of prostate cancer cells by inhibiting IRF2 and SOCS3. Cancer Res. 74:2591–2603. 2014.PubMed/NCBI View Article : Google Scholar

19 

Huang W, Kang XL, Cen S, Wang Y and Chen X: High-level expression of microRNA-21 in peripheral blood mononuclear cells is a diagnostic and prognostic marker in prostate cancer. Genet Test Mol Biomarkers. 19:469–475. 2015.PubMed/NCBI View Article : Google Scholar

20 

Wang W, Li J, Zhu W, Gao C, Jiang R, Li W, Hu Q and Zhang B: MicroRNA-21 and the clinical outcomes of various carcinomas: A systematic review and meta-analysis. BMC Cancer. 14(819)2014.PubMed/NCBI View Article : Google Scholar

21 

Gunawan RR, Astuti I and Danarto HR: miRNA-21 as high potential prostate cancer biomarker in prostate cancer patients in Indonesia. Asian Pac J Cancer Prev. 24:1095–1099. 2023.PubMed/NCBI View Article : Google Scholar

22 

Yaman Agaoglu F, Kovancilar M, Dizdar Y, Darendeliler E, Holdenrieder S, Dalay N and Gezer U: Investigation of miR-21, miR-141, and miR-221 in blood circulation of patients with prostate cancer. Tumor Biol. 32:583–588. 2011.PubMed/NCBI View Article : Google Scholar

23 

Kachris S, Papadaki C, Rounis K, Tsitoura E, Kokkinaki C, Nikolaou C, Sourvinos G and Mavroudis D: Circulating miRNAs as potential biomarkers in prostate cancer patients undergoing radiotherapy. Cancer Manag Res. 13:8257–8271. 2021.PubMed/NCBI View Article : Google Scholar

24 

Sun T, Yang M, Chen S, Balk S, Pomerantz M, Hsieh CL, Brown M, Lee GM and Kantoff PW: The altered expression of MiR-221/-222 and MiR-23b/-27b is associated with the development of human castration resistant prostate cancer. Prostate. 72:1093–1103. 2012.PubMed/NCBI View Article : Google Scholar

25 

Song C, Chen H, Wang T, Zhang W, Ru G and Lang J: Expression profile analysis of microRNAs in prostate cancer by next-generation sequencing. Prostate. 75:500–516. 2015.PubMed/NCBI View Article : Google Scholar

26 

Coarfa C, Fiskus W, Eedunuri VK, Rajapakshe K, Foley C, Chew SA, Shah SS, Geng C, Shou J, Mohamed JS, et al: Comprehensive proteomic profiling identifies the androgen receptor axis and other signaling pathways as targets of microRNAs suppressed in metastatic prostate cancer. Oncogene. 35:2345–2356. 2016.PubMed/NCBI View Article : Google Scholar

27 

Spahn M, Kneitz S, Scholz CJ, Stenger N, Rüdiger T, Ströbel P, Riedmiller H and Kneitz B: Expression of microRNA-221 is progressively reduced in aggressive prostate cancer and metastasis and predicts clinical recurrence. Int J Cancer. 127:394–403. 2010.PubMed/NCBI View Article : Google Scholar

28 

Guan C, Zhang L, Wang S, Long L, Zhou H, Qian S, Ma M, Bai F, Meng QH and Lyu J: Upregulation of MicroRNA-21 promotes tumorigenesis of prostate cancer cells by targeting KLF5. Cancer Biol Ther. 20:1149–1161. 2019.PubMed/NCBI View Article : Google Scholar

29 

Ibrahim NH, Abdellateif MS, Kassem SH, Abd El Salam MA and El Gammal MM: Diagnostic significance of miR-21, miR-141, miR-18a and miR-221 as novel biomarkers in prostate cancer among Egyptian patients. Andrologia. 51(e13384)2019.PubMed/NCBI View Article : Google Scholar

30 

Stafford MYC, Willoughby CE, Walsh CP and McKenna DJ: Prognostic value of miR-21 for prostate cancer: A systematic review and meta-analysis. Biosci Rep. 42(BSR20211972)2022.PubMed/NCBI View Article : Google Scholar

31 

Sun T, Wang Q, Balk S, Brown M, Lee GS and Kantoff P: The role of microRNA-221 and microRNA-222 in androgen-independent prostate cancer cell lines. Cancer Res. 69:3356–3363. 2009.PubMed/NCBI View Article : Google Scholar

32 

Kang SG, Ha YR, Kim SJ, Kang SH, Park HS, Lee JG, Cheon J and Kim CH: Do microRNA 96, 145 and 221 expressions really aid in the prognosis of prostate carcinoma? Asian J Androl. 14:752–757. 2012.PubMed/NCBI View Article : Google Scholar

33 

Porzycki P, Ciszkowicz E, Semik M and Tyrka M: Combination of three miRNA (miR-141, miR-21, and miR-375) as potential diagnostic tool for prostate cancer recognition. Int Urol Nephrol. 50:1619–1626. 2018.PubMed/NCBI View Article : Google Scholar

34 

Zhou H and Zhu X: MicroRNA-21 and microRNA-30c as diagnostic biomarkers for prostate cancer: A meta-analysis. Cancer Manag Res. 11:2039–2050. 2019.PubMed/NCBI View Article : Google Scholar

35 

Seputra KP, Purnomo BB, Susianti H, Kalim H and Purnomo AF: miRNA-21 as reliable serum diagnostic biomarker candidate for metastatic progressive prostate cancer: Meta-analysis approach. Med Arch. 75:347–350. 2021.PubMed/NCBI View Article : Google Scholar

36 

Hekımler Öztürk K, Mutlu İçduygu F, Özgöz A and Özorak A: miR-221, miR-650 and miR-4534 as diagnostic markers in prostate cancer and their relationship with lymphatic invasion. Turk J Biochem. 47:435–443. 2022.

37 

Li S, Yang X, Yang J, Zhen J and Zhang D: Serum microRNA-21 as a potential diagnostic biomarker for breast cancer: A systematic review and meta-analysis. Clin Exp Med. 16:29–35. 2016.PubMed/NCBI View Article : Google Scholar

38 

Rihane FE, Erguibi D, Abumsimir B, Charoute H, Chehab F and Ennaji MM: Expression of microRNAs in gastric cancerous tissues and their association with Helicobacter pylori and Epstein-Barr virus infections. World Acad Sci J. 4(1)2022.

39 

Lamsisi M, Li G, Benhessou M, El Mzibri M, Bouziyane A, Wakrime L, Laraqui A, Ennaji Y, Abumsimir B, El Karroumi M, et al: Long noncoding RNA HOTAIR as a biomarker for the detection of cervical cancer and cervical intraepithelial neoplasia. Indian J Gynecol Oncol. 19(69)2021.

40 

Shah MY and Calin GA: MicroRNAs miR-221 and miR-222: A new level of regulation in aggressive breast cancer. Genome Med. 3(56)2011.PubMed/NCBI View Article : Google Scholar

41 

Li F: Expression of miR-221 and miR-489 in breast cancer patients and their relationship with prognosis. Oncol Lett. 19:1523–1529. 2020.PubMed/NCBI View Article : Google Scholar

42 

Liang L, Zheng X, Hu M, Cui Y, Zhong Q, Wang S and Huang F: MiRNA-221/222 in thyroid cancer: A meta-analysis. Clin Chim Acta. 484:284–292. 2018.PubMed/NCBI View Article : Google Scholar

43 

Franceschi C and Campisi J: Chronic inflammation (inflammaging) and its potential contribution to age-associated diseases. J Gerontol A Biol Sci Med Sci. 69 (Suppl 1):S4–S9. 2014.PubMed/NCBI View Article : Google Scholar

44 

Grivennikov SI, Greten FR and Karin M: Immunity, inflammation, and cancer. Cell. 140:883–899. 2010.PubMed/NCBI View Article : Google Scholar

45 

Beskow LM and Dean E: Informed consent for biorepositories: Assessing prospective participants' understanding and opinions. Cancer Epidemiol Biomarkers Prev. 17:1440–1451. 2008.PubMed/NCBI View Article : Google Scholar

46 

Mantovani A, Allavena P, Sica A and Balkwill F: Cancer-related inflammation. Nature. 454:436–444. 2008.PubMed/NCBI View Article : Google Scholar

Related Articles

  • Abstract
  • View
  • Download
  • Twitter
Copy and paste a formatted citation
Spandidos Publications style
Mharrach I, Tadlaoui KA, Aqerrout M, Laraqui A, Ameur A, El Ghazzaly A, Ennibi K and Ennaji MM: Diagnostic value of miR‑21 and miR‑221 as potential biomarkers for early diagnosis of prostate cancer. Mol Clin Oncol 22: 40, 2025.
APA
Mharrach, I., Tadlaoui, K.A., Aqerrout, M., Laraqui, A., Ameur, A., El Ghazzaly, A. ... Ennaji, M.M. (2025). Diagnostic value of miR‑21 and miR‑221 as potential biomarkers for early diagnosis of prostate cancer. Molecular and Clinical Oncology, 22, 40. https://doi.org/10.3892/mco.2025.2835
MLA
Mharrach, I., Tadlaoui, K. A., Aqerrout, M., Laraqui, A., Ameur, A., El Ghazzaly, A., Ennibi, K., Ennaji, M. M."Diagnostic value of miR‑21 and miR‑221 as potential biomarkers for early diagnosis of prostate cancer". Molecular and Clinical Oncology 22.5 (2025): 40.
Chicago
Mharrach, I., Tadlaoui, K. A., Aqerrout, M., Laraqui, A., Ameur, A., El Ghazzaly, A., Ennibi, K., Ennaji, M. M."Diagnostic value of miR‑21 and miR‑221 as potential biomarkers for early diagnosis of prostate cancer". Molecular and Clinical Oncology 22, no. 5 (2025): 40. https://doi.org/10.3892/mco.2025.2835
Copy and paste a formatted citation
x
Spandidos Publications style
Mharrach I, Tadlaoui KA, Aqerrout M, Laraqui A, Ameur A, El Ghazzaly A, Ennibi K and Ennaji MM: Diagnostic value of miR‑21 and miR‑221 as potential biomarkers for early diagnosis of prostate cancer. Mol Clin Oncol 22: 40, 2025.
APA
Mharrach, I., Tadlaoui, K.A., Aqerrout, M., Laraqui, A., Ameur, A., El Ghazzaly, A. ... Ennaji, M.M. (2025). Diagnostic value of miR‑21 and miR‑221 as potential biomarkers for early diagnosis of prostate cancer. Molecular and Clinical Oncology, 22, 40. https://doi.org/10.3892/mco.2025.2835
MLA
Mharrach, I., Tadlaoui, K. A., Aqerrout, M., Laraqui, A., Ameur, A., El Ghazzaly, A., Ennibi, K., Ennaji, M. M."Diagnostic value of miR‑21 and miR‑221 as potential biomarkers for early diagnosis of prostate cancer". Molecular and Clinical Oncology 22.5 (2025): 40.
Chicago
Mharrach, I., Tadlaoui, K. A., Aqerrout, M., Laraqui, A., Ameur, A., El Ghazzaly, A., Ennibi, K., Ennaji, M. M."Diagnostic value of miR‑21 and miR‑221 as potential biomarkers for early diagnosis of prostate cancer". Molecular and Clinical Oncology 22, no. 5 (2025): 40. https://doi.org/10.3892/mco.2025.2835
Follow us
  • Twitter
  • LinkedIn
  • Facebook
About
  • Spandidos Publications
  • Careers
  • Cookie Policy
  • Privacy Policy
How can we help?
  • Help
  • Live Chat
  • Contact
  • Email to our Support Team