Spandidos Publications Logo
  • About
    • About Spandidos
    • Aims and Scopes
    • Abstracting and Indexing
    • Editorial Policies
    • Reprints and Permissions
    • Job Opportunities
    • Terms and Conditions
    • Contact
  • Journals
    • All Journals
    • Oncology Letters
      • Oncology Letters
      • Information for Authors
      • Editorial Policies
      • Editorial Board
      • Aims and Scope
      • Abstracting and Indexing
      • Bibliographic Information
      • Archive
    • International Journal of Oncology
      • International Journal of Oncology
      • Information for Authors
      • Editorial Policies
      • Editorial Board
      • Aims and Scope
      • Abstracting and Indexing
      • Bibliographic Information
      • Archive
    • Molecular and Clinical Oncology
      • Molecular and Clinical Oncology
      • Information for Authors
      • Editorial Policies
      • Editorial Board
      • Aims and Scope
      • Abstracting and Indexing
      • Bibliographic Information
      • Archive
    • Experimental and Therapeutic Medicine
      • Experimental and Therapeutic Medicine
      • Information for Authors
      • Editorial Policies
      • Editorial Board
      • Aims and Scope
      • Abstracting and Indexing
      • Bibliographic Information
      • Archive
    • International Journal of Molecular Medicine
      • International Journal of Molecular Medicine
      • Information for Authors
      • Editorial Policies
      • Editorial Board
      • Aims and Scope
      • Abstracting and Indexing
      • Bibliographic Information
      • Archive
    • Biomedical Reports
      • Biomedical Reports
      • Information for Authors
      • Editorial Policies
      • Editorial Board
      • Aims and Scope
      • Abstracting and Indexing
      • Bibliographic Information
      • Archive
    • Oncology Reports
      • Oncology Reports
      • Information for Authors
      • Editorial Policies
      • Editorial Board
      • Aims and Scope
      • Abstracting and Indexing
      • Bibliographic Information
      • Archive
    • Molecular Medicine Reports
      • Molecular Medicine Reports
      • Information for Authors
      • Editorial Policies
      • Editorial Board
      • Aims and Scope
      • Abstracting and Indexing
      • Bibliographic Information
      • Archive
    • World Academy of Sciences Journal
      • World Academy of Sciences Journal
      • Information for Authors
      • Editorial Policies
      • Editorial Board
      • Aims and Scope
      • Abstracting and Indexing
      • Bibliographic Information
      • Archive
    • International Journal of Functional Nutrition
      • International Journal of Functional Nutrition
      • Information for Authors
      • Editorial Policies
      • Editorial Board
      • Aims and Scope
      • Abstracting and Indexing
      • Bibliographic Information
      • Archive
    • International Journal of Epigenetics
      • International Journal of Epigenetics
      • Information for Authors
      • Editorial Policies
      • Editorial Board
      • Aims and Scope
      • Abstracting and Indexing
      • Bibliographic Information
      • Archive
    • Medicine International
      • Medicine International
      • Information for Authors
      • Editorial Policies
      • Editorial Board
      • Aims and Scope
      • Abstracting and Indexing
      • Bibliographic Information
      • Archive
  • Articles
  • Information
    • Information for Authors
    • Information for Reviewers
    • Information for Librarians
    • Information for Advertisers
    • Conferences
  • Language Editing
Spandidos Publications Logo
  • About
    • About Spandidos
    • Aims and Scopes
    • Abstracting and Indexing
    • Editorial Policies
    • Reprints and Permissions
    • Job Opportunities
    • Terms and Conditions
    • Contact
  • Journals
    • All Journals
    • Biomedical Reports
      • Information for Authors
      • Editorial Policies
      • Editorial Board
      • Aims and Scope
      • Abstracting and Indexing
      • Bibliographic Information
      • Archive
    • Experimental and Therapeutic Medicine
      • Information for Authors
      • Editorial Policies
      • Editorial Board
      • Aims and Scope
      • Abstracting and Indexing
      • Bibliographic Information
      • Archive
    • International Journal of Epigenetics
      • Information for Authors
      • Editorial Policies
      • Editorial Board
      • Aims and Scope
      • Abstracting and Indexing
      • Bibliographic Information
      • Archive
    • International Journal of Functional Nutrition
      • Information for Authors
      • Editorial Policies
      • Editorial Board
      • Aims and Scope
      • Abstracting and Indexing
      • Bibliographic Information
      • Archive
    • International Journal of Molecular Medicine
      • Information for Authors
      • Editorial Policies
      • Editorial Board
      • Aims and Scope
      • Abstracting and Indexing
      • Bibliographic Information
      • Archive
    • International Journal of Oncology
      • Information for Authors
      • Editorial Policies
      • Editorial Board
      • Aims and Scope
      • Abstracting and Indexing
      • Bibliographic Information
      • Archive
    • Medicine International
      • Information for Authors
      • Editorial Policies
      • Editorial Board
      • Aims and Scope
      • Abstracting and Indexing
      • Bibliographic Information
      • Archive
    • Molecular and Clinical Oncology
      • Information for Authors
      • Editorial Policies
      • Editorial Board
      • Aims and Scope
      • Abstracting and Indexing
      • Bibliographic Information
      • Archive
    • Molecular Medicine Reports
      • Information for Authors
      • Editorial Policies
      • Editorial Board
      • Aims and Scope
      • Abstracting and Indexing
      • Bibliographic Information
      • Archive
    • Oncology Letters
      • Information for Authors
      • Editorial Policies
      • Editorial Board
      • Aims and Scope
      • Abstracting and Indexing
      • Bibliographic Information
      • Archive
    • Oncology Reports
      • Information for Authors
      • Editorial Policies
      • Editorial Board
      • Aims and Scope
      • Abstracting and Indexing
      • Bibliographic Information
      • Archive
    • World Academy of Sciences Journal
      • Information for Authors
      • Editorial Policies
      • Editorial Board
      • Aims and Scope
      • Abstracting and Indexing
      • Bibliographic Information
      • Archive
  • Articles
  • Information
    • For Authors
    • For Reviewers
    • For Librarians
    • For Advertisers
    • Conferences
  • Language Editing
Login Register Submit
  • This site uses cookies
  • You can change your cookie settings at any time by following the instructions in our Cookie Policy. To find out more, you may read our Privacy Policy.

    I agree
Search articles by DOI, keyword, author or affiliation
Search
Advanced Search
presentation
Molecular and Clinical Oncology
Join Editorial Board Propose a Special Issue
Print ISSN: 2049-9450 Online ISSN: 2049-9469
Journal Cover
February-2026 Volume 24 Issue 2

Full Size Image

Sign up for eToc alerts
Recommend to Library

Journals

International Journal of Molecular Medicine

International Journal of Molecular Medicine

International Journal of Molecular Medicine is an international journal devoted to molecular mechanisms of human disease.

International Journal of Oncology

International Journal of Oncology

International Journal of Oncology is an international journal devoted to oncology research and cancer treatment.

Molecular Medicine Reports

Molecular Medicine Reports

Covers molecular medicine topics such as pharmacology, pathology, genetics, neuroscience, infectious diseases, molecular cardiology, and molecular surgery.

Oncology Reports

Oncology Reports

Oncology Reports is an international journal devoted to fundamental and applied research in Oncology.

Experimental and Therapeutic Medicine

Experimental and Therapeutic Medicine

Experimental and Therapeutic Medicine is an international journal devoted to laboratory and clinical medicine.

Oncology Letters

Oncology Letters

Oncology Letters is an international journal devoted to Experimental and Clinical Oncology.

Biomedical Reports

Biomedical Reports

Explores a wide range of biological and medical fields, including pharmacology, genetics, microbiology, neuroscience, and molecular cardiology.

Molecular and Clinical Oncology

Molecular and Clinical Oncology

International journal addressing all aspects of oncology research, from tumorigenesis and oncogenes to chemotherapy and metastasis.

World Academy of Sciences Journal

World Academy of Sciences Journal

Multidisciplinary open-access journal spanning biochemistry, genetics, neuroscience, environmental health, and synthetic biology.

International Journal of Functional Nutrition

International Journal of Functional Nutrition

Open-access journal combining biochemistry, pharmacology, immunology, and genetics to advance health through functional nutrition.

International Journal of Epigenetics

International Journal of Epigenetics

Publishes open-access research on using epigenetics to advance understanding and treatment of human disease.

Medicine International

Medicine International

An International Open Access Journal Devoted to General Medicine.

Journal Cover
February-2026 Volume 24 Issue 2

Full Size Image

Sign up for eToc alerts
Recommend to Library

  • Article
  • Citations
    • Cite This Article
    • Download Citation
    • Create Citation Alert
    • Remove Citation Alert
    • Cited By
  • Similar Articles
    • Related Articles (in Spandidos Publications)
    • Similar Articles (Google Scholar)
    • Similar Articles (PubMed)
  • Download PDF
  • Download XML
  • View XML
Article Open Access

Prognostic value of serum uric acid levels following radiotherapy and chemotherapy in nasopharyngeal carcinoma

  • Authors:
    • Xianming He
    • Qiwei Luo
    • Yuhao Ding
    • Jianwu Ding
    • Ronghuan Hu
    • Jia-Li Hu
    • Lei Tao
    • Jianze Zhang
    • Zhenxing Huang
    • Xiaoqiang Chen
    • Jiayin Wu
    • Su Deng
    • Shubin Luo
    • Lei Zeng
    • Mengmeng Liu
  • View Affiliations / Copyright

    Affiliations: Department of Oncology, The Second Affiliated Hospital, Jiangxi Medical College, Nanchang University, Nanchang, Jiangxi 330006, P.R. China, The Rehabilitation College of Nanchang University, Nanchang, Jiangxi 330031, P.R. China
    Copyright: © He et al. This is an open access article distributed under the terms of Creative Commons Attribution License.
  • Article Number: 15
    |
    Published online on: January 8, 2026
       https://doi.org/10.3892/mco.2026.2924
  • Expand metrics +
Metrics: Total Views: 0 (Spandidos Publications: | PMC Statistics: )
Metrics: Total PDF Downloads: 0 (Spandidos Publications: | PMC Statistics: )
Cited By (CrossRef): 0 citations Loading Articles...

This article is mentioned in:


Abstract

To evaluate the association between serum uric acid (SUA) levels and prognosis in patients with nasopharyngeal carcinoma (NPC) treated with a comprehensive regimen of induction chemotherapy, intensity‑modulated radiation therapy (IMRT), and adjuvant chemotherapy. A total of 182 patients with NPC treated at the Second Affiliated Hospital of Nanchang University between 2017 and 2021 were retrospectively analyzed. SUA levels were recorded at four time points: Pre‑treatment, post‑induction chemotherapy, post‑IMRT and post‑adjuvant chemotherapy. Based on the median post‑adjuvant chemotherapy SUA level (350.48 µmol/l), patients were stratified into high (SUA >350 µmol/l) and low (SUA ≤350 µmol/l) groups. Survival outcomes were compared using Kaplan‑Meier analysis and log‑rank tests. Cox proportional hazards models were employed to identify independent prognostic factors. Changes in SUA levels over time were assessed using repeated‑measures ANOVA. The high SUA group demonstrated improved 3‑year overall survival (OS; P=0.037), progression‑free survival (PFS; P<0.001), and distant metastasis‑free survival (DMFS; P=0.001) compared with the low SUA group. No significant difference in locoregional relapse‑free survival (P=0.41) was observed. Post‑adjuvant chemotherapy SUA levels were an independent prognostic factor for OS, PFS and DMFS. Repeated‑measures ANOVA showed a significant reduction in SUA levels post‑IMRT compared with baseline, post‑induction chemotherapy, and post‑adjuvant chemotherapy (all P<0.001). In conclusion, elevated post‑adjuvant chemotherapy SUA levels are associated with improved survival outcomes in patients with advanced‑stage NPC. IMRT induces a transient decrease in SUA levels. These findings suggested that SUA levels may serve as a valuable prognostic biomarker for NPC.

Introduction

Nasopharyngeal carcinoma (NPC) poses a global health burden with the highest incidence rates in Southeast Asia, South China and North Africa. Based on the 2020 global cancer statistics, there were ~133,000 new cases of NPC worldwide, accounting for 0.7% of all newly diagnosed cancer cases, with 80,000 deaths, representing 0.8% of global cancer deaths (1). Both incidence and mortality rates have increased compared with 2018 statistics (129,079 new cases and 72,987 deaths), suggesting a potential upward trend (2). In 2022, China is estimated to have ~64,165 new cases of NPC and 36,315 deaths (3), despite advancements in diagnostic and therapeutic technologies, NPC incidence and mortality rates have not substantially declined. Common clinical manifestations of NPC include nasal congestion, epistaxis, otalgia or ear fullness, hearing loss, diplopia and headaches. Currently, a combination of chemotherapy and radiotherapy is a key strategy for treating advanced-stage NPC. Due to improvements in diagnostic imaging, early detection through large-scale screening, and the emergence of Intensity Modulated Radiation Therapy (IMRT), the survival rate of locally advanced NPC has increased (4,5). However, even after treatment, ~5-15% of patients with advanced NPC experience local recurrence, and clinical manifestations of distant metastasis are observed in 15-30% of patients (4). Distant metastasis is the most common post-treatment failure pattern (6). For locally advanced NPC, clinical trials have demonstrated that adjuvant chemotherapy after radiotherapy significantly improves the failure-free survival rate in patients with advanced NPC. It is not only manageable in terms of safety but also does not affect the quality of life (7).

Previous studies have explored the impact of clinical, histological and biochemical factors on patients with NPC. Among them, disease staging and plasma Epstein-Barr virus (EBV) DNA concentration have been considered routine prognostic factors in clinical practice (8,9). Baseline serum lactate dehydrogenase (LDH) levels are also associated with prognosis in patients with NPC undergoing radical IMRT treatment (10). However, even among patients with identical disease stages and pretreatment EBV DNA levels, NPC exhibits significant biological heterogeneity, making prognosis prediction challenging. Exploring new prognostic factors to guide clinical decisions and provide favorable and accurate treatment for NPC patients is urgently needed.

Serum uric acid (SUA) is the final product of purine metabolism, possessing dual functions of antioxidation and pro-oxidation (11). As a systemic antioxidant, it plays a crucial role in protecting cells from damage induced by free radicals. Previous studies on elevated SUA indicate a risk of poor survival in patients with advanced HCC (12). Furthermore, research has demonstrated a positive correlation between uric acid levels and the incidence of kidney cancer, especially in female subjects (13). Meanwhile, the latest studies suggest the practicality of UA as a clinical target for breast cancer prevention. The public and clinical significance of reducing SUA may help reduce the incidence of breast cancer in overweight postmenopausal women (14). Most previous studies have focused on pre-treatment SUA, observing its predictive role in diseases, with little exploration of post-chemotherapy SUA. The predictive value of SUA levels after the end of the treatment cycle in patients with advanced NPC has not been determined. The present study aimed to confirm whether post-chemotherapy SUA levels have prognostic significance for patients with advanced NPC, potentially informing optimal treatment selection.

Materials and methods

The present study included 182 patients with locally advanced NPC who were admitted in January 2020, confirmed by pathological diagnosis and without distant metastasis at presentation. The cohort consisted of 119 male (65.4%) and 63 female (34.6%) patients. The median age was 50 years (range: 18-78 years). Inclusion criteria (all required): i) Patients initially diagnosed with NPC by the Department of Pathology of The Second Affiliated Hospital of Nanchang University (Nanchang, China); ii) exclusion of hyperuricemia or gout before treatment; iii) patients staged from III to IVb according to the 7th edition of AJCC staging criteria in 2010; iv) patients who have not undergone antitumor treatments such as radiotherapy and chemotherapy in other hospitals; and v) availability of complete clinical data. Exclusion criteria (any of the following): i) Patients with incomplete clinical data; ii) patients with contraindications to radiotherapy and chemotherapy; iii) patients with a history of diabetes, hypertension, rheumatic autoimmune diseases, or other conditions that may affect kidney function; iv) patients with a history of hyperuricemia, gout, renal insufficiency, or other conditions affecting SUA levels; v) patients with a history of malignant tumors; vi) patients concurrently suffering from malignant tumors in other organs; and vii) patients who did not complete intensity-modulated radiation therapy within the specified time. Pretreatment evaluation included blood biochemistry, fiberoptic nasopharyngoscopy, nasopharyngeal and neck magnetic resonance imaging (MRI), chest computed tomography (CT), abdominal ultrasonography and whole-body bone scan. All SUA measurements were performed in the same central laboratory of the Second Affiliated Hospital of Nanchang University following standardized clinical procedures. The flowchart for patient selection is shown in Fig. 1.

Flowchart for patient selection. NPC,
nasopharyngeal carcinoma.

Figure 1

Flowchart for patient selection. NPC, nasopharyngeal carcinoma.

Treatment methods

The present study was approved (approval no. IIT-O-2023-169; Nanchang, China) by the Ethics Committee of the Second Affiliated Hospital of Nanchang University. All 182 patients received comprehensive treatment.

Regarding chemotherapy, all patients were treated under a comprehensive model for advanced NPC. This model combines induction chemotherapy with adjuvant chemotherapy based on radical IMRT. Regardless of concurrent or sequential chemotherapy, all patients completed the full course of induction chemotherapy and adjuvant chemotherapy. The chemotherapy regimen included drugs such as gemcitabine, docetaxel, or paclitaxel in combination with platinum-based agents. The platinum-based chemotherapy drugs used were cisplatin, carboplatin, or nedaplatin. Of the included patients with NPC, 100 (54.9%) received concurrent chemotherapy. Monotherapy (single-agent gemcitabine or single-agent platinum-based synchronous chemotherapy) and combination chemotherapy with two drugs were used as synchronous chemotherapy regimens. The two-drug chemotherapy was based on platinum agents.

Radiotherapy was planned according to the 2010 NPC Intensity-Modulated Radiation Therapy Target Area and Dose Design Expert Consensus, and the 2017 NPC Clinical Target Volume International Guidelines, and other relevant literature. Radiotherapy planning followed the 2010 NPC Intensity-Modulated Radiation Therapy Target Area and Dose Design Expert Consensus and the 2017 NPC Clinical Target Volume International Guidelines. The prescribed doses for each planned target area are as follows: the primary tumor (GTVnx) is 70-74 Gy, positive lymph nodes (GTVnd) is 66-70 Gy, high-risk clinical target volume (CTV1) is 60-66 Gy, ow-risk clinical target volume (CTV2) is 56-60 Gy, and bilateral neck lymph drainage area (CTVLn) is 50-54 Gy. Patients included in the study were treated with conventional radiotherapy, once a day, 5 times a week. According to the standards of the Radiation Therapy Oncology Group 0255 trial, the irradiation doses to organs at risk were kept within the specified tolerable dose range (6). Patients with MRI-detected residual lesions after intensified radiotherapy received an additional 2-3 fractions of 4-6 Gy to improve local control. For well-responding small primary lesions, a slight reduction in the total dose can be considered (for example, 66-68 Gy). Overall, out of 182 patients, 82 received only IMRT, and 100 patients received concurrent chemotherapy on the basis of IMRT. Treatment modifications were made for patients with age-related limitations or organ dysfunction that might indicate intolerance to standard chemotherapy regimens.

Follow-up and statistical analysis

Follow-up commenced from the date of NPC treatment and continued until patient death or the last follow-up. Survival endpoints include overall survival (OS), progression-free survival (PFS), distant metastasis-free survival (DMFS) and locoregional relapse-free survival (LRFS). OS was defined as the time from the initiation of treatment to death from any cause or the last follow-up if no death occurred; PFS was defined as the time from the initiation of treatment to disease progression, death from any cause, or the last follow-up, whichever occurred first. DMFS was defined as the time from the initiation of treatment to the occurrence of distant metastasis or the last follow-up if no distant metastasis occurred. LRFS was defined as the time from the initiation of treatment to the first local primary lesion or neck lymph node treatment failure (including recurrence) or the last follow-up if no treatment failure occurred. Patients were assessed every 3 months for the first 3 years, and then every 6 months thereafter until death. The last follow-up time was July 15, 2023, with a median follow-up time of 50 months (range 30.0-71.0 months).

All statistical analyses were performed using SPSS 26.0 software (IBM Corp.). Survival analysis employed the Kaplan-Meier method, with log-rank tests for comparing two groups. Continuous variables were compared using independent samples t-tests, while categorical variables were analyzed using chi-square tests. Multivariate analysis was performed using the Cox proportional hazards model, with independent significance tested by backward elimination of non-significant explanatory variables. All trials include host factors (including age and sex) and clinical factors (including T classification, N classification and the presence of synchronous radio-chemotherapy) as covariates. The statistical significance criterion was set at P<0.05, with P-values using two-sided tests. A repeated measures analysis of variance was employed to compare pretreatment SUA, post-induction chemotherapy SUA, post-radiotherapy SUA and post-adjuvant chemotherapy SUA for all patients.

Results

Patient characteristics and prognosis

Baseline characteristics of 182 patients with NPC were analyzed to evaluate correlations between SUA levels and clinical features. Patients were stratified into high (SUA >350 µmol/l) and low (SUA ≤350 µmol/l) groups based on the median post-adjuvant chemotherapy SUA level (350.48 µmol/l) of the entire cohort. This median value was close to the upper limit of the normal reference range for SUA in numerous clinical laboratories, thus providing both a statistical and clinically relevant cutoff point for analysis. Demographically, the mean ages of the two groups were 51.77 years and 49.11 years, respectively, showing a slight but statistically significant difference (P=0.026). In terms of sex distribution, a higher proportion of men were observed in the higher SUA group (69.2 vs. 61.5%, P=0.027), while women were slightly more prevalent in the lower SUA group. WHO Type III was the predominant histopathological subtype in both groups (70.4 and 76.9%), with no statistically significant difference (P=0.313). There was also no statistically significant difference in the distribution of EBV-DNA status between the two groups (P=0.182). Smoking history and family history did not show statistically significant differences between the groups (P=0.553). Regarding TNM staging, the proportions of T3-T4 and N2-N3 stages were slightly higher in the high SUA group; only N staging approached statistical significance (P=0.097), while T staging showed no statistically significant difference (P=0.344). Treatment modalities (radiotherapy alone vs. chemoradiotherapy) were similarly distributed between the two groups (P=0.766). These baseline data (Table I) provide important context for further analysis of the impact of SUA levels on treatment response and prognosis in patients with NPC.

Table I

Demographical characteristics and clinical data of the patients.

Table I

Demographical characteristics and clinical data of the patients.

CharacteristicsSUA after treatment of IC ≤350 µmol/l (%)SUA after treatment of IC >350 µmol/l (%)P-value
Total91 (50.0%)91 (50.0%) 
Age (years, mean ± SD)51.77±8.9549.11±11.870.026
Sex  0.027
     Male56 (61.5%)63 (69.2%) 
     Female35 (38.5%)28 (30.8%) 
Pathological type  0.313
     WhO II27 (29.6%)21 (23.1%) 
     Who III64 (70.4%)70 (76.9%) 
EBV-DNA status  0.182
     EBV-DNA negative52 (57.1%)43 (47.3%) 
     EBV-DNA positive39 (42.9%)48 (52.7%) 
Smoking history  0.553
     No47 (51.6%)38 (41.8%) 
     Yes44 (48.4%)53 (58.2%) 
Family history of nasopharyngeal carcinoma  0.553
     No84 (92.3%)86 (94.5%) 
     Yes7 (7.7%)5 (5.5%) 
T stage  0.344
     T1-T233 (36.3%)27 (29.7%) 
     T3-T458 (63.7%)64 (70.3%) 
N stage  0.097
     N0-N130 (33.3%)20 (22.0%) 
     N2-N361 (67.0%)71 (78.0%) 
Chemotherapy  0.766
     Radiotherapy alone40 (44.0%)42 (46.2%) 
     Chemoradiotherapy51 (56.0%)49 (53.8%) 

[i] Data are presented as n (%) or the mean ± standard deviation. P-values were calculated using the independent samples t-test for age and the Chi-square test for categorical variables. SUA, serum uric acid.

Correlation of post-treatment uric acid levels with prognosis

At the end of follow-up, 6 cases (3.2%) had local or regional recurrence, and 15 cases (8.2%) had distant metastasis, including 5 cases of lung metastasis, 2 cases of bone metastasis, 3 cases of liver metastasis, 1 case of lymph node metastasis, 3 cases of multiple-site metastasis, and 1 case of metastasis to other sites (cardia). In total, 22 patients (12.2%) succumbed, including 20 due to tumor progression, 1 due to cerebral infarction, and 1 due to other causes.

After completing the entire treatment cycle, the median SUA level for the entire cohort was 350.48 µmol/l. Kaplan-Meier analysis revealed significantly superior 3-year OS, PFS and DMFS in the high SUA group compared with the low SUA group: 3-year OS, 95.6% [95% confidence interval (CI):8 5.54-90.30%] vs. 85.3% (95% CI: 79.14-88.57%; P=0.037) (Fig. 2A); 3-year PFS, 93.4% (95% CI: 88.44-95.48%) vs. 72.4% (95% CI: 64.44-78.48%; P<0.001) (Fig. 2B). In the 3-year DMFS analysis, the survival rate was 95.6% (95% CI: 86.14-98.90%c) compared with 79.9% (95% CI: 71.72-86.10%; P=0.0011) (Fig. 2C). However, there was no statistically significant difference in the 3-year LRFS between the two groups: 98.9% (95% CI: 94.12-99.44%) vs. 94.9% (95% CI: 88.39-97.91%; P=0.41) (Fig. 2D). The Kaplan-Meier survival curves for these four subgroups are shown. Post-treatment SUA levels showed statistically significant associations with OS, PFS and DMFS (P=0.037, P<0.001 and P<0.001, respectively). Patients with higher uric acid levels have improved survival rates. However, these increases do not indicate a significant correlation between uric acid levels and LRFS rates (P=0.41).

Kaplan-Meier OS, PFS, DMFS and LRFS
curves for 182 patients stratified with nasopharyngeal carcinoma by
post-treatment SUA level. (A) Patients with SUA >350 µmol/l have
improved OS compared with those with SUA ≤350 µmol/l (P=0.037). (B)
Patients with SUA >350 µmol/l exhibit superior PFS compared with
those with SUA ≤350 µmol/l (P=0.00023). (C) Patients with SUA
>350 µmol/l have improved distant metastasis-free survival
compared with those with SUA ≤350 µmol/l (P=0.0011). (D) There is
no significant difference in local relapse-free survival between
patients with SUA >350 µmol/l and those with SUA ≤350 µmol/l
(P=0.41). OS, overall survival; PFS, progression-free survival;
DMFS, distant metastasis-free survival; LRFS, locoregional
relapse-free survival; SUA, serum uric acid.

Figure 2

Kaplan-Meier OS, PFS, DMFS and LRFS curves for 182 patients stratified with nasopharyngeal carcinoma by post-treatment SUA level. (A) Patients with SUA >350 µmol/l have improved OS compared with those with SUA ≤350 µmol/l (P=0.037). (B) Patients with SUA >350 µmol/l exhibit superior PFS compared with those with SUA ≤350 µmol/l (P=0.00023). (C) Patients with SUA >350 µmol/l have improved distant metastasis-free survival compared with those with SUA ≤350 µmol/l (P=0.0011). (D) There is no significant difference in local relapse-free survival between patients with SUA >350 µmol/l and those with SUA ≤350 µmol/l (P=0.41). OS, overall survival; PFS, progression-free survival; DMFS, distant metastasis-free survival; LRFS, locoregional relapse-free survival; SUA, serum uric acid.

Prognostic factors for survival outcomes in NPC: Univariate and multivariate analysis

The present retrospective study aimed to evaluate the prognostic factors influencing survival outcomes in patients with NPC by assessing the association between various clinical variables and patient outcomes, particularly OS, PFS, DMFS and LRFS. The univariate analysis indicated that age (P=0.007) and EBV-DNA status (P=0.012) were significantly associated with OS. In the multivariate analysis, age [hazard ratio (HR): 1.059, 95% CI: 1.012-1.108; P=0.013] and EBV-DNA status (HR: 4.043; 95% CI: 1.576-10.44; P=0.004) remained independent prognostic factors of OS. An increase in age was associated with a higher HR for decreased OS, and EBV-DNA positivity was linked to a worse prognosis. The univariate analysis showed that age (P=0.22), sex (P=0.04), EBV-DNA status (P=0.003) and N stage (P=0.013) were associated with PFS. In the multivariate analysis, sex (HR: 2.530; 95% CI: 1.098-5.826; P=0.029), EBV-DNA status (HR: 3.631, 95% CI: 1.816-7.258; P<0.001) and N stage (HR: 5.004, 95% CI: 1.516-15.52; P=0.008) were confirmed as independent predictors of PFS. Male sex, EBV-DNA positivity and advanced N stage were all associated with a higher risk of disease progression. The univariate analysis identified sex (P=0.039), EBV-DNA status (P=0.024) and N stage (P=0.169) as factors associated with DMFS. In the multivariate analysis, sex (HR: 5.023; 95% CI: 1.475-17.10; P=0.01) and EBV-DNA status (HR 3.851; 95% CI: 1.562-9.490; P=0.003) emerged as independent predictors of DMFS. Male sex and EBV-DNA positivity were associated with a higher risk of distant metastasis. The univariate analysis revealed that pathological type (P=0.054) and T stage (P=0.033) were associated with LRFS. However, in the multivariate analysis, only SUA level (HR: 0.149; 95% CI: 0.050-0.442; P=0.001) was confirmed as an independent predictor of DMFS. Lower SUA levels were associated with a higher risk of LRFS. SUA level was found to be a significant prognostic factor for OS (multivariate HR: 0.265; 95% CI: 0.101-0.690; P=0.007), PFS (multivariate HR: 0.168; 95% CI: 0.076-0.372; P<0.001) and DMFS (multivariate HR: 0.149; 95% CI: 0.050-0.442; P=0.001). Higher SUA levels were consistently associated with better outcomes across these endpoints (Table II).

Table II

Univariate and multivariate analysis of prognostic factors for patients with nasopharyngeal carcinoma.

Table II

Univariate and multivariate analysis of prognostic factors for patients with nasopharyngeal carcinoma.

 Univariate analysisMultivariate analysis
EndpointVariableP-valueHR (95% CI)P-valueHR (95% CI)
OSAge0.0071.072 (1.019-1.028)0.0131.059 (1.012-1.108)
 Sex0.2841.726 (0.636-4.686)  
 Pathological type0.6511.230 (0.501-3.020)  
 EBV-DNA status0.0123.255 (1.297-8.170)0.0044.043 (1.576-10.44)
 Smoking history0.8691.078 (0.467-2.489)  
 Family history of NPC0.1850.438 (0.129-0.483)  
 T stage0.3461.552 (0.622-3.872)  
 N stage0.0349.038 (1.185-68.96)  
 Chemotherapy0.3771.477 (0.622-3.511)  
 SUA level0.0280.344 (0.133-0.890)0.0070.265 (0.101-0.690)
PFSAge0.2201.022 (0.987-1.058)  
 Sex0.0402.361 (1.038-5.368)0.0292.530 (1.098-5.826)
 Pathological type0.0681.866 (0.973-3.577)  
 EBV-DNA status0.0032.806 (1.411-5.580)0.0003.631 (1.816-7.258)
 Smoking history0.5871.194 (0.629-2.264)  
 Family history of NPC0.2641.807 (0.640-5.105)  
 T stage0.7761.102 (0.563-2.160)  
 N stage0.0133.865 (1.323-11.29)0.0085.004 (1.516-15.52)
 Chemotherapy0.3501.368 (0.709-2.640)  
 SUA level0.0000.238 (0.108-0.526)0.00010.168 (0.076-0.372)
DMFSAge0.6350.990 (0.950-1.032)  
 Sex0.0393.602 (1.069-12.13)0.0105.023 (1.475-17.10)
 Pathological type0.1531.841 (0.797-4.253)  
 EBV-DNA status0.0242.809 (1.144-6.897)0.0033.851 (1.562-9.490)
 Smoking history0.6061.242 (0.545-2.833)  
 Family history of NPC0.7161.451 (0.195-10.77)  
 T stage0.8310.910 (0.381-2.173)  
 N stage0.1692.225 (0.712-6.953)  
 Chemotherapy0.3771.481 (0.619-3.541)  
 SUA level0.0020.180 (0.060-0.539)0.0010.149 (0.050-0.442)
LRFSAge0.2371.061 (0.962-1.170)  
 Sex0.4260.522 (0.105-2.589)  
 Pathological type0.0545.315 (0.972-29.06)  
 EBV-DNA status0.7311.328 (0.264-6.686)  
 Smoking history0.1365.115 (0.597-43.78)  
 Family history of NPC0.6622.251 (0.575-8.527)  
 T stage0.0330.073 (0.007-0.815)  
 N stage0.5790.498 (0.043-5.821)  
 Chemotherapy0.4391.969 (0.354-10.96)  
 SUA level0.7450.748 (0.130-4.292)  

[i] Univariate analysis for survival endpoints was performed using the log-rank test. Multivariate analysis was performed using the Cox proportional hazards model. OS, overall survival; PFS, progression-free survival; DMFS, distant metastasis-free survival; LRFS, locoregional relapse-free survival; HR, hazard ratio; CI, confidence interval.

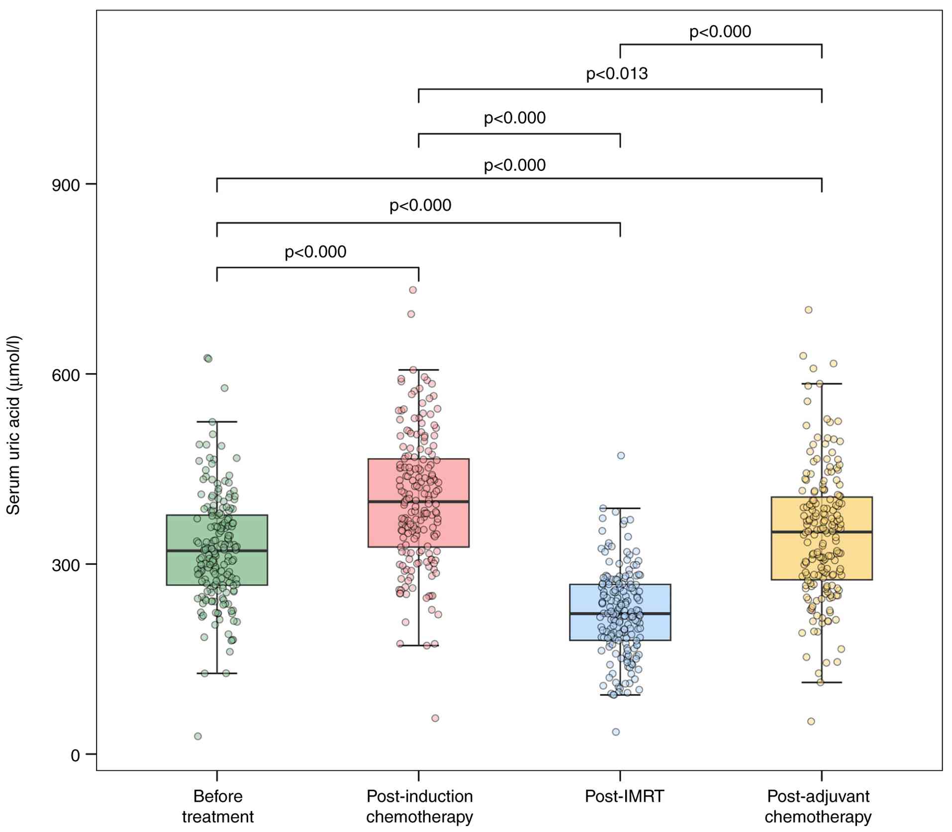
Repeated measures analysis of SUA levels at different time points in patients with NPC

A total of 182 patients with NPC who completed induction chemotherapy, radiotherapy and adjuvant chemotherapy were included in this study. SUA levels were measured at four time points: Pretreatment [mean=323.69 µmol/l, standard deviation (SD)=87.56 µmol/l), post-induction chemotherapy (mean=400.40 µmol/l; SD=104.45 µmol/l), post-radiotherapy (mean=222.84 µmol/l; SD=68.47 µmol/l) and post-adjuvant chemotherapy (mean=346.24 µmol/l; SD=104.05 µmol/l). The Greenhouse-Geisser correction for sphericity was applied, with an estimated ε=0.894, indicating a significant difference in SUA levels across the four measurement points [F (2.68, 485.25)=282.76; P<0.001, partial η²=0.61)].

Post-hoc multiple comparisons using the Bonferroni adjustment revealed significantly lower SUA levels post-radiotherapy compared with pretreatment [t(543)=-19.10; P<0.001; Cohen s d=-1.47], post-induction chemotherapy [t(543)=-29.15; P<0.001; Cohen s d=-2.59] and post-adjuvant chemotherapy [t(543)=-18.50; P<0.001; Cohen s d=-1.80]. Repeated-measures ANOVA confirmed that SUA levels were lowest post-radiotherapy compared with all other time points (Fig. 3).

Repeated measures analysis of serum
uric acid levels at different treatment stages in patients with
nasopharyngeal carcinoma.

Figure 3

Repeated measures analysis of serum uric acid levels at different treatment stages in patients with nasopharyngeal carcinoma.

Discussion

SUA, the end product of purine metabolism excreted by the kidneys and intestines, is a potent antioxidant that scavenges singlet oxygen and free radicals (15). Its role in tumor biology is complex and not fully understood, with elevated levels potentially inhibiting or promoting tumorigenesis. Numerous clinical studies have investigated the association between SUA and the prognosis of various cancers, reporting correlations with tumor incidence, mortality and metastatic potential. Theoretically, elevated SUA levels may prevent tumor occurrence by enhancing antioxidant effects. However, extensive research results suggest that elevated SUA levels are associated with increased tumor incidence, mortality rates (12-14,16-22) and promotion of tumor metastasis (23). Previously, an increasing body of research has confirmed that elevated SUA levels can have a protective effect, contributing to improved patient survival rates (24-27). Therefore, it was investigated whether SUA levels correlate with OS, PFS, DMFS and LRFS in patients with NPC following induction chemotherapy, IMRT and adjuvant chemotherapy.

In the present study, based on the median uric acid level in the plasma after adjuvant chemotherapy being 350.45 µmol/l, 182 patients with NPC who completed the full treatment course were divided into two groups, the high SUA group (SUA >350 µmol/l) and the low SUA group (SUA ≤350 µmol/l). The results showed that post-adjuvant chemotherapy SUA levels could serve as prognostic biomarkers for OS, PFS and DMFS. The OS, PFS and DMFS were significantly higher in the high SUA group than in the low SUA group (P=0.037, P<0.001 and P=0.001, respectively). However, the LRFS difference showed no statistical significance (P=0.424). Multifactorial analysis has revealed that the SUA level after adjuvant chemotherapy is an independent prognostic factor for patients with NPC. The high SUA group has an improved prognosis than the low SUA group, which is consistent with the conclusions of the aforementioned study. Consistent with the present findings, previous research reported increased SUA levels in patients with metastatic colorectal cancer (CRC) who responded favorably to bevacizumab chemotherapy (28). This is similar to the results of the present study, suggesting that chemotherapy drugs may be effective in preventing the formation of new microvascular beds in existing tumor tissues. This relative difference between tumor tissues and supplying vascular tissues leads to local ischemia and the subsequent hyperuricemia. Thus, hyperuricemia appears to serve as an alternative biomarker for the efficacy of bevacizumab in treating patients with metastatic CRC.

In the present longitudinal observational study, SUA levels were repeatedly measured at four time points (pretreatment, post-induction chemotherapy, post-radiotherapy and post-adjuvant chemotherapy) in these patients with NPC. Through in-depth analysis, a significant decrease was observed in SUA levels following radiotherapy. Patients were measured for uric acid pretreatment (Mean, 323.69; SD, 87.56), after induction chemotherapy (Mean, 400.40; SD, 104.45), after radiotherapy (Mean, 222.84; SD, 68.47), and after adjuvant chemotherapy (M, 346.24; SD, 104.05). According to repeated measures analysis of variance, uric acid after radiotherapy was significantly lower than uric acid pretreatment [t(543)=-19.10; P<0.001; d=-1.47], uric acid after induction chemotherapy [t(543)=-29.15; P<0.001; d=-2.59] and uric acid after adjuvant chemotherapy [t(543)=-18.5; P<0.001; d=-1.80]. While the present study was not designed to elucidate the precise mechanisms behind this decrease, several potential contributing factors could be hypothesize based on clinical observations. The observed decline may be attributed to a combination of factors, including the systemic side effects of IMRT (for example, damage to taste buds and salivary glands), which often lead to decreased appetite and swallowing difficulties, potentially resulting in reduced nutritional intake and lower purine consumption. Furthermore, the catabolic state associated with advanced cancer and gastrointestinal side effects from platinum-based chemotherapy may exacerbate nutritional deterioration. However, it is crucial to note that these explanations remain speculative, and the present study lacks direct biochemical or clinical data to confirm these specific mechanisms. This represents an important direction for future research.

The observed correlation between elevated post-adjuvant chemotherapy SUA and improved survival outcomes warrants mechanistic discussion: SUA exhibits potent antioxidant activity and is regarded as a major antioxidant in humans, which is considered to scavenge free radicals and contribute to the total antioxidant capacity of plasma. Studies have indicated that uric acid, by providing antioxidant defense, plays a protective role in red blood cells and nerve cells (29,30). In the context of antitumor therapy, Ames et al (31) initially hypothesized that uric acid, through its role as a scavenger of singlet oxygen and hydroxyl radicals (products of singlet oxygen conversion), provides a major defense against human cancer and inhibits lipid peroxidation in red blood cells. Another study supporting the antioxidant ability of uric acid is related to the link between extensive oxidative stress parameters and colon cancer survival. Their conclusion is that only higher levels of uric acid in plasma are associated with longer survival in patients with colon cancer. It was considered that uric acid acts as a major antioxidant by clearing free radicals and stabilizing ascorbic acid in human serum (32). This suggests that high SUA concentration may have a protective effect on patients with NPC after adjuvant chemotherapy, and elevated uric acid levels may be a result of tumor lysis syndrome. Furthermore, by scavenging reactive oxygen species (ROS) generated during radiotherapy and chemotherapy, SUA might help in preserving immune cell function, particularly that of T lymphocytes, thereby indirectly sustaining an effective anti-tumor immune response. It is crucial to note that these potential mechanisms-tumor lysis, immune activation and ROS scavenging-are not mutually exclusive and may operate concurrently. Future studies integrating serial immune monitoring and metabolic profiling are essential to validate these hypotheses and decipher the precise role of SUA in the context of NPC treatment.

As a head and neck malignancy, NPC is primarily treated with IMRT due to its unique biological characteristics (4). However, IMRT inevitably induces side effects, as the oral cavity, pharynx, larynx and adjacent esophagus are often exposed to substantial radiation doses. Early side effects include decreased appetite, taste disturbance and salivary gland dysfunction, and swallowing difficulties, often leading to impaired nutritional intake (33). It is advisable to adopt a low purine diet. Moreover, malignant tumors themselves are a wasting disease. As the tumor progresses, the patient s physical function declines, nutritional status deteriorates, and the body s consumption exceeds intake. Combined with the gastrointestinal reactions caused by the platinum-based chemotherapy drug cisplatin, the nutritional status of patients rapidly deteriorates after radiotherapy (34). This may be a major reason for the post-radiotherapy SUA levels being lower than those of pretreatment.

However, the present study has several limitations. First, this is a single-center, retrospective study, which may limit the generalizability of the present findings to other patient populations and clinical settings. Second, despite the authors  efforts to control for confounding variables via strict inclusion and exclusion criteria, selection bias and unmeasured confounders inherent in retrospective designs may still exist. Factors such as detailed nutritional status, precise renal function metrics (for example, estimated glomerular filtration rate) and the use of medications affecting uric acid levels (for example, diuretics and allopurinol) were not systematically accounted for and could influence the results. Third, the median follow-up duration is only 50 months, therefore extending the follow-up period to evaluate the long-term prognosis of patients with intermediate to locally advanced NPC is essential. Therefore, these findings need confirmation through larger-scale prospective studies, However, the cutoff value of 350 µmol/l for SUA, while based on the median of the current cohort and aligned with common clinical reference standards, was determined post-hoc. Future studies are needed to validate this threshold prospectively or to explore more granular risk stratification using SUA as a continuous variable. Furthermore, as all participants were recruited from a single center in Southern China, an endemic region for NPC, the generalizability of the present findings to other populations with different genetic backgrounds and NPC incidence rates requires careful consideration. Ethnic and genetic variations, such as differences in purine metabolism enzymes or the strong association between NPC and EBV in endemic populations, might influence both baseline SUA levels and the host-tumor interaction.

In this context, the current comparative analysis demonstrated that the prognostic value of post-adjuvant chemotherapy SUA is independent of and complementary to established markers such as EBV-DNA and baseline LDH. This suggests that SUA may reflect distinct pathophysiological processes, such as systemic oxidative stress or metabolic alterations during treatment, which are not fully captured by EBV-DNA or LDH. Therefore, incorporating SUA into existing prognostic models could enhance risk stratification and personalized management for patients with NPC. The findings of the present study have a guiding role in the personalized treatment and health management of patients with cancer. The role of hyperuricemia as an independent risk factor for the occurrence and progression of cancer remains controversial and may vary by sex. Elevated SUA levels may be a valuable long-term surrogate marker rather than an independent risk factor. However, it is worth noting that although our research reveals the impact of radiotherapy and chemotherapy on uric acid levels, which may be used to assess the prognosis of patients with NPC after adjuvant chemotherapy, the specific mechanism of uric acid on the efficacy of radiotherapy and chemotherapy needs further study and large-sample validation. Further biochemical experiments and molecular biology studies will help elucidate the molecular mechanisms behind these biochemical changes, providing a theoretical basis for the development of new drugs and treatment strategies. Incorporating detailed nutritional assessments, purine metabolic profiling and renal function monitoring are warranted to validate these hypotheses. In addition, as biomarker research advances, exploring more correlations between biochemical indicators and treatment outcomes is anticipated to achieve more personalized and precise treatment approaches.

In conclusion, the present study identified post-adjuvant chemotherapy SUA level as an independent prognostic factor for OS, PFS and DMFS in patients with locally advanced NPC. Future studies should perform mechanism-based preclinical investigations to enable targeted regulation of SUA levels without promoting tumor development and/or metastasis. This can predict the risk of disease recurrence in NPC patients and guide the development of effective treatment plans.

Acknowledgements

Not applicable.

Funding

Funding: The present study was supported in part, by the Jiangxi natural Science Foundation of China (grant no. 20202BAB206057), the Applied Research Cultivation Program of Jiangxi (grant no. 20212BAG70047), the Beijing Xisike Clinical Oncology Research Foundation (grant no. Y-XD202001/zb-0002) and the Second Affiliated Hospital of Nanchang University Funding Program (grant no. 2022efyB05).

Availability of data and materials

The data generated in the present study may be requested from the corresponding author.

Authors  contributions

XH, QL and YD conceived and designed the study. ZH, XC, JD, SL and RH were responsible for the acquisition of data. JLH and ML performed the data analysis. LT, JW, SD and JZ interpreted the results. LZ drafted the manuscript. All authors critically revised the manuscript for important intellectual content, read and approved the final version of the manuscript. LZ is the guarantor of this work and takes responsibility for the integrity of the data and the accuracy of the analysis. XH, ML and LZ confirm the authenticity of all the raw data.

Ethics approval and consent to participate

The present study was approved by the Ethics Committee of the Second Affiliated Hospital of Nanchang University (approval no. IIT-O-2023-169; Nanchang, China). The research was carried out according to the guidelines of Declaration of Helsinki. Written informed consent was obtained from all individual participants included in the study.

Patient consent for publication

Not applicable.

Competing interests

The authors declare that they have no competing interests.

References

1 

Sung H, Ferlay J, Siegel RL, Laversanne M, Soerjomataram I, Jemal A and Bray F: Global cancer statistics 2020: GLOBOCAN estimates of incidence and mortality worldwide for 36 cancers in 185 countries. CA Cancer J Clin. 71:209–249. 2021.PubMed/NCBI View Article : Google Scholar

2 

Bray F, Ferlay J, Soerjomataram I, Siegel RL, Torre LA and Jemal A: Global cancer statistics 2018: GLOBOCAN estimates of incidence and mortality worldwide for 36 cancers in 185 countries. CA Cancer J Clin. 68:394–424. 2018.PubMed/NCBI View Article : Google Scholar

3 

Xia C, Dong X, Li H, Cao M, Sun D, He S, Yang F, Yan X, Zhang S, Li N and Chen W: Cancer Statistics in China and United States, 2022: Profiles, trends, and determinants. Chin Med J (Engl). 135:584–590. 2022.PubMed/NCBI View Article : Google Scholar

4 

Chen YP, Chan ATC, Le QT, Blanchard P, Sun Y and Ma J: Nasopharyngeal carcinoma. Lancet. 394:64–80. 2019.PubMed/NCBI View Article : Google Scholar

5 

Tang LL, Chen WQ, Xue WQ, He YQ, Zheng RS, Zeng YX and Jia WH: Global trends in incidence and mortality of nasopharyngeal carcinoma. Cancer Lett. 374:22–30. 2016.PubMed/NCBI View Article : Google Scholar

6 

Ribassin-Majed L, Marguet S, Lee AWM, Ng WT, Ma J, Chan ATC, Huang PY, Zhu G, Chua DTT, Chen Y, et al: What is the best treatment of locally advanced nasopharyngeal carcinoma? An individual patient data network Meta-analysis. J Clin Oncol. 35:498–505. 2017.PubMed/NCBI View Article : Google Scholar

7 

Chen YP, Liu X, Zhou Q, Yang KY, Jin F, Zhu XD, Shi M, Hu GQ, Hu WH, Sun Y, et al: Metronomic capecitabine as adjuvant therapy in locoregionally advanced nasopharyngeal carcinoma: A multicentre, open-label, parallel-group, randomised, controlled, phase 3 trial. Lancet. 398:303–313. 2021.PubMed/NCBI View Article : Google Scholar

8 

Lin JC, Wang WY, Chen KY, Wei YH, Liang WM, Jan JS and Jiang RS: Quantification of plasma Epstein-Barr virus DNA in patients with advanced nasopharyngeal carcinoma. N Engl J Med. 350:2461–2470. 2004.PubMed/NCBI View Article : Google Scholar

9 

Leung SF, Zee B, Ma BB, Hui EP, Mo F, Lai M, Chan KC, Chan LY, Kwan WH, Lo YM and Chan AT: Plasma Epstein-Barr viral deoxyribonucleic acid quantitation complements tumor-node-metastasis staging prognostication in nasopharyngeal carcinoma. J Clin Oncol. 24:5414–5418. 2006.PubMed/NCBI View Article : Google Scholar

10 

Zhou GQ, Tang LL, Mao YP, Chen L, Li WF, Sun Y, Liu LZ, Li L, Lin AH and Ma J: Baseline serum lactate dehydrogenase levels for patients treated with Intensity-modulated radiotherapy for nasopharyngeal carcinoma: A predictor of poor prognosis and subsequent liver metastasis. Int J Radiat. 82:e359–e365. 2012.PubMed/NCBI View Article : Google Scholar

11 

Mi S, Gong L and Sui Z: Friend or Foe? An unrecognized role of uric acid in cancer development and the potential anticancer effects of uric Acid-Lowering drugs. J Cancer. 11:5236–5244. 2020.PubMed/NCBI View Article : Google Scholar

12 

Wu L, Yang W, Zhang Y, Du X, Jin N, Chen W, Li H, Zhang S and Xie B: Elevated serum uric acid is associated with poor survival in advanced HCC patients and febuxostat improves prognosis in HCC Rats. Front Pharmacol. 12(778890)2021.PubMed/NCBI View Article : Google Scholar

13 

Dai XY, He QS, Jing Z and Yuan JQ: Serum uric acid levels and risk of kidney cancer incidence and mortality: A prospective cohort study. Cancer Med. 9:5655–5661. 2020.PubMed/NCBI View Article : Google Scholar

14 

Feng Y, Fu M, Guan X, Wang C, Yuan F, Bai Y, Meng H, Li G, Wei W, Li H, et al: Uric acid mediated the association between BMI and postmenopausal breast cancer incidence: A bidirectional mendelian randomization analysis and prospective cohort study. Front Endocrinol (Lausanne). 12(742411)2021.PubMed/NCBI View Article : Google Scholar

15 

Becker BF: Towards the physiological function of uric acid. Free Radic Biol Med. 14:615–631. 1993.PubMed/NCBI View Article : Google Scholar

16 

Mi N, Huang J, Huang C, Lin Y, He Q, Wang H, Yang M, Lu Y, Lawer AL, Yue P, et al: High serum uric acid may associate with the increased risk of colorectal cancer in females: A prospective cohort study. Int J Cancer. 150:263–272. 2022.PubMed/NCBI View Article : Google Scholar

17 

Yiu A, Van Hemelrijck M, Garmo H, Holmberg L, Malmström H, Lambe M, Hammar N, Walldius G, Jungner I, Wulaningsih W, et al: Circulating uric acid levels and subsequent development of cancer in 493,281 individuals: Findings from the AMORIS Study. Oncotarget. 8:42332–42342. 2017.PubMed/NCBI View Article : Google Scholar

18 

Taghizadeh N, Vonk JM and Boezen HM: Serum uric acid levels and cancer mortality risk among males in a large general Population-based cohort study. Cancer Causes Control. 25:1075–1080. 2014.PubMed/NCBI View Article : Google Scholar

19 

Deng Z, Gu Y, Hou X, Zhang L, Bao Y, Hu C and Jia W: Association between uric acid, cancer incidence and mortality in patients with type 2 diabetes: Shanghai diabetes registry study. Diabetes Metab Res Rev. 32:325–332. 2016.PubMed/NCBI View Article : Google Scholar

20 

Juraschek SP, Tunstall-Pedoe H and Woodward M: Serum uric acid and the risk of mortality during 23 years follow-up in the Scottish Heart Health Extended Cohort Study. Atherosclerosis. 233:623–629. 2014.PubMed/NCBI View Article : Google Scholar

21 

Kobylecki CJ, Afzal S and Nordestgaard BG: Plasma urate, cancer incidence, and All-cause mortality: A mendelian randomization study. Clin Chem. 63:1151–1160. 2017.PubMed/NCBI View Article : Google Scholar

22 

Kuo CF, Luo SF, See LC, Chou IJ, Fang YF and Yu KH: Increased risk of cancer among gout patients: A nationwide population study. J Bone Spine. 79:375–378. 2012.PubMed/NCBI View Article : Google Scholar

23 

Du XJ, Chen L, Li WF, Tang LL, Mao YP, Guo R, Sun Y, Lin AH and Ma J: Use of pretreatment serum uric acid level to predict metastasis in locally advanced nasopharyngeal carcinoma. Head Neck. 39:492–497. 2017.PubMed/NCBI View Article : Google Scholar

24 

Hsueh CY, Shao M, Cao W, Li S and Zhou L: Pretreatment serum uric acid as an efficient predictor of prognosis in men with laryngeal squamous cell cancer: A retrospective cohort study. Oxid Med Cell Longev. 2019(1821969)2019.PubMed/NCBI View Article : Google Scholar

25 

Fini MA, Elias A, Johnson RJ and Wright RM: Contribution of uric acid to cancer risk, recurrence, and mortality. Clin Transl Med. 1(16)2012.PubMed/NCBI View Article : Google Scholar

26 

Toyokuni S: Oxidative stress as an iceberg in carcinogenesis and cancer biology. Arch Biochem Biophys. 595:46–49. 2016.PubMed/NCBI View Article : Google Scholar

27 

Kim AW, Batus M, Myint R, Fidler MJ, Basu S, Bonomi P, Faber LP, Wightman SC, Warren WH, McIntire M, et al: Prognostic value of xanthine oxidoreductase expression in patients with non-small cell lung cancer. Lung Cancer. 71:186–190. 2011.PubMed/NCBI View Article : Google Scholar

28 

Selcukbiricik F, Kanbay M, Solak Y, Bilici A, Kanıtez M, Balık E and Mandel NM: Serum uric acid as a surrogate marker of favorable response to bevacizumab treatment in patients with metastatic colon cancer. Clin Transl Oncol. 18:1082–1087. 2016.PubMed/NCBI View Article : Google Scholar

29 

Song Y, Tang L, Han J, Gao Y, Tang B, Shao M, Yuan W, Ge W, Huang X, Yao T, et al: Uric acid provides protective role in red blood cells by antioxidant defense: A hypothetical analysis. Oxid Med Cell Longev. 2019(3435174)2019.PubMed/NCBI View Article : Google Scholar

30 

Black CN, Bot M, Scheffer PG, Snieder H and Penninx B: Uric acid in major depressive and anxiety disorders. J Affect Disord. 225:684–690. 2018.PubMed/NCBI View Article : Google Scholar

31 

Ames BN, Cathcart R, Schwiers E and Hochstein P: Uric acid provides an antioxidant defense in humans against oxidant- and radical-caused aging and cancer: A hypothesis. Proc Natl Acad Sci USA. 78:6858–6862. 1981.PubMed/NCBI View Article : Google Scholar

32 

Dziaman T, Banaszkiewicz Z, Roszkowski K, Gackowski D, Wisniewska E, Rozalski R, Foksinski M, Siomek A, Speina E, Winczura A, et al: 8-Oxo-7,8-dihydroguanine and uric acid as efficient predictors of survival in colon cancer patients. Int J Cancer. 134:376–383. 2014.PubMed/NCBI View Article : Google Scholar

33 

Brook I: Early side effects of radiation treatment for head and neck cancer. Cancer Radiother. 25:507–513. 2021.PubMed/NCBI View Article : Google Scholar

34 

Dasari S and Tchounwou PB: Cisplatin in cancer therapy: Molecular mechanisms of action. Eur J Pharmacol. 740:364–378. 2014.PubMed/NCBI View Article : Google Scholar

Related Articles

  • Abstract
  • View
  • Download
  • Twitter
Copy and paste a formatted citation
Spandidos Publications style
He X, Luo Q, Ding Y, Ding J, Hu R, Hu J, Tao L, Zhang J, Huang Z, Chen X, Chen X, et al: Prognostic value of serum uric acid levels following radiotherapy and chemotherapy in nasopharyngeal carcinoma. Mol Clin Oncol 24: 15, 2026.
APA
He, X., Luo, Q., Ding, Y., Ding, J., Hu, R., Hu, J. ... Liu, M. (2026). Prognostic value of serum uric acid levels following radiotherapy and chemotherapy in nasopharyngeal carcinoma. Molecular and Clinical Oncology, 24, 15. https://doi.org/10.3892/mco.2026.2924
MLA
He, X., Luo, Q., Ding, Y., Ding, J., Hu, R., Hu, J., Tao, L., Zhang, J., Huang, Z., Chen, X., Wu, J., Deng, S., Luo, S., Zeng, L., Liu, M."Prognostic value of serum uric acid levels following radiotherapy and chemotherapy in nasopharyngeal carcinoma". Molecular and Clinical Oncology 24.2 (2026): 15.
Chicago
He, X., Luo, Q., Ding, Y., Ding, J., Hu, R., Hu, J., Tao, L., Zhang, J., Huang, Z., Chen, X., Wu, J., Deng, S., Luo, S., Zeng, L., Liu, M."Prognostic value of serum uric acid levels following radiotherapy and chemotherapy in nasopharyngeal carcinoma". Molecular and Clinical Oncology 24, no. 2 (2026): 15. https://doi.org/10.3892/mco.2026.2924
Copy and paste a formatted citation
x
Spandidos Publications style
He X, Luo Q, Ding Y, Ding J, Hu R, Hu J, Tao L, Zhang J, Huang Z, Chen X, Chen X, et al: Prognostic value of serum uric acid levels following radiotherapy and chemotherapy in nasopharyngeal carcinoma. Mol Clin Oncol 24: 15, 2026.
APA
He, X., Luo, Q., Ding, Y., Ding, J., Hu, R., Hu, J. ... Liu, M. (2026). Prognostic value of serum uric acid levels following radiotherapy and chemotherapy in nasopharyngeal carcinoma. Molecular and Clinical Oncology, 24, 15. https://doi.org/10.3892/mco.2026.2924
MLA
He, X., Luo, Q., Ding, Y., Ding, J., Hu, R., Hu, J., Tao, L., Zhang, J., Huang, Z., Chen, X., Wu, J., Deng, S., Luo, S., Zeng, L., Liu, M."Prognostic value of serum uric acid levels following radiotherapy and chemotherapy in nasopharyngeal carcinoma". Molecular and Clinical Oncology 24.2 (2026): 15.
Chicago
He, X., Luo, Q., Ding, Y., Ding, J., Hu, R., Hu, J., Tao, L., Zhang, J., Huang, Z., Chen, X., Wu, J., Deng, S., Luo, S., Zeng, L., Liu, M."Prognostic value of serum uric acid levels following radiotherapy and chemotherapy in nasopharyngeal carcinoma". Molecular and Clinical Oncology 24, no. 2 (2026): 15. https://doi.org/10.3892/mco.2026.2924
Follow us
  • Twitter
  • LinkedIn
  • Facebook
About
  • Spandidos Publications
  • Careers
  • Cookie Policy
  • Privacy Policy
How can we help?
  • Help
  • Live Chat
  • Contact
  • Email to our Support Team