Spandidos Publications Logo
  • About
    • About Spandidos
    • Aims and Scopes
    • Abstracting and Indexing
    • Editorial Policies
    • Reprints and Permissions
    • Job Opportunities
    • Terms and Conditions
    • Contact
  • Journals
    • All Journals
    • Oncology Letters
      • Oncology Letters
      • Information for Authors
      • Editorial Policies
      • Editorial Board
      • Aims and Scope
      • Abstracting and Indexing
      • Bibliographic Information
      • Archive
    • International Journal of Oncology
      • International Journal of Oncology
      • Information for Authors
      • Editorial Policies
      • Editorial Board
      • Aims and Scope
      • Abstracting and Indexing
      • Bibliographic Information
      • Archive
    • Molecular and Clinical Oncology
      • Molecular and Clinical Oncology
      • Information for Authors
      • Editorial Policies
      • Editorial Board
      • Aims and Scope
      • Abstracting and Indexing
      • Bibliographic Information
      • Archive
    • Experimental and Therapeutic Medicine
      • Experimental and Therapeutic Medicine
      • Information for Authors
      • Editorial Policies
      • Editorial Board
      • Aims and Scope
      • Abstracting and Indexing
      • Bibliographic Information
      • Archive
    • International Journal of Molecular Medicine
      • International Journal of Molecular Medicine
      • Information for Authors
      • Editorial Policies
      • Editorial Board
      • Aims and Scope
      • Abstracting and Indexing
      • Bibliographic Information
      • Archive
    • Biomedical Reports
      • Biomedical Reports
      • Information for Authors
      • Editorial Policies
      • Editorial Board
      • Aims and Scope
      • Abstracting and Indexing
      • Bibliographic Information
      • Archive
    • Oncology Reports
      • Oncology Reports
      • Information for Authors
      • Editorial Policies
      • Editorial Board
      • Aims and Scope
      • Abstracting and Indexing
      • Bibliographic Information
      • Archive
    • Molecular Medicine Reports
      • Molecular Medicine Reports
      • Information for Authors
      • Editorial Policies
      • Editorial Board
      • Aims and Scope
      • Abstracting and Indexing
      • Bibliographic Information
      • Archive
    • World Academy of Sciences Journal
      • World Academy of Sciences Journal
      • Information for Authors
      • Editorial Policies
      • Editorial Board
      • Aims and Scope
      • Abstracting and Indexing
      • Bibliographic Information
      • Archive
    • International Journal of Functional Nutrition
      • International Journal of Functional Nutrition
      • Information for Authors
      • Editorial Policies
      • Editorial Board
      • Aims and Scope
      • Abstracting and Indexing
      • Bibliographic Information
      • Archive
    • International Journal of Epigenetics
      • International Journal of Epigenetics
      • Information for Authors
      • Editorial Policies
      • Editorial Board
      • Aims and Scope
      • Abstracting and Indexing
      • Bibliographic Information
      • Archive
    • Medicine International
      • Medicine International
      • Information for Authors
      • Editorial Policies
      • Editorial Board
      • Aims and Scope
      • Abstracting and Indexing
      • Bibliographic Information
      • Archive
  • Articles
  • Information
    • Information for Authors
    • Information for Reviewers
    • Information for Librarians
    • Information for Advertisers
    • Conferences
  • Language Editing
Spandidos Publications Logo
  • About
    • About Spandidos
    • Aims and Scopes
    • Abstracting and Indexing
    • Editorial Policies
    • Reprints and Permissions
    • Job Opportunities
    • Terms and Conditions
    • Contact
  • Journals
    • All Journals
    • Biomedical Reports
      • Information for Authors
      • Editorial Policies
      • Editorial Board
      • Aims and Scope
      • Abstracting and Indexing
      • Bibliographic Information
      • Archive
    • Experimental and Therapeutic Medicine
      • Information for Authors
      • Editorial Policies
      • Editorial Board
      • Aims and Scope
      • Abstracting and Indexing
      • Bibliographic Information
      • Archive
    • International Journal of Epigenetics
      • Information for Authors
      • Editorial Policies
      • Editorial Board
      • Aims and Scope
      • Abstracting and Indexing
      • Bibliographic Information
      • Archive
    • International Journal of Functional Nutrition
      • Information for Authors
      • Editorial Policies
      • Editorial Board
      • Aims and Scope
      • Abstracting and Indexing
      • Bibliographic Information
      • Archive
    • International Journal of Molecular Medicine
      • Information for Authors
      • Editorial Policies
      • Editorial Board
      • Aims and Scope
      • Abstracting and Indexing
      • Bibliographic Information
      • Archive
    • International Journal of Oncology
      • Information for Authors
      • Editorial Policies
      • Editorial Board
      • Aims and Scope
      • Abstracting and Indexing
      • Bibliographic Information
      • Archive
    • Medicine International
      • Information for Authors
      • Editorial Policies
      • Editorial Board
      • Aims and Scope
      • Abstracting and Indexing
      • Bibliographic Information
      • Archive
    • Molecular and Clinical Oncology
      • Information for Authors
      • Editorial Policies
      • Editorial Board
      • Aims and Scope
      • Abstracting and Indexing
      • Bibliographic Information
      • Archive
    • Molecular Medicine Reports
      • Information for Authors
      • Editorial Policies
      • Editorial Board
      • Aims and Scope
      • Abstracting and Indexing
      • Bibliographic Information
      • Archive
    • Oncology Letters
      • Information for Authors
      • Editorial Policies
      • Editorial Board
      • Aims and Scope
      • Abstracting and Indexing
      • Bibliographic Information
      • Archive
    • Oncology Reports
      • Information for Authors
      • Editorial Policies
      • Editorial Board
      • Aims and Scope
      • Abstracting and Indexing
      • Bibliographic Information
      • Archive
    • World Academy of Sciences Journal
      • Information for Authors
      • Editorial Policies
      • Editorial Board
      • Aims and Scope
      • Abstracting and Indexing
      • Bibliographic Information
      • Archive
  • Articles
  • Information
    • For Authors
    • For Reviewers
    • For Librarians
    • For Advertisers
    • Conferences
  • Language Editing
Login Register Submit
  • This site uses cookies
  • You can change your cookie settings at any time by following the instructions in our Cookie Policy. To find out more, you may read our Privacy Policy.

    I agree
Search articles by DOI, keyword, author or affiliation
Search
Advanced Search
presentation
Molecular and Clinical Oncology
Join Editorial Board Propose a Special Issue
Print ISSN: 2049-9450 Online ISSN: 2049-9469
Journal Cover
March-2026 Volume 24 Issue 3

Full Size Image

Sign up for eToc alerts
Recommend to Library

Journals

International Journal of Molecular Medicine

International Journal of Molecular Medicine

International Journal of Molecular Medicine is an international journal devoted to molecular mechanisms of human disease.

International Journal of Oncology

International Journal of Oncology

International Journal of Oncology is an international journal devoted to oncology research and cancer treatment.

Molecular Medicine Reports

Molecular Medicine Reports

Covers molecular medicine topics such as pharmacology, pathology, genetics, neuroscience, infectious diseases, molecular cardiology, and molecular surgery.

Oncology Reports

Oncology Reports

Oncology Reports is an international journal devoted to fundamental and applied research in Oncology.

Experimental and Therapeutic Medicine

Experimental and Therapeutic Medicine

Experimental and Therapeutic Medicine is an international journal devoted to laboratory and clinical medicine.

Oncology Letters

Oncology Letters

Oncology Letters is an international journal devoted to Experimental and Clinical Oncology.

Biomedical Reports

Biomedical Reports

Explores a wide range of biological and medical fields, including pharmacology, genetics, microbiology, neuroscience, and molecular cardiology.

Molecular and Clinical Oncology

Molecular and Clinical Oncology

International journal addressing all aspects of oncology research, from tumorigenesis and oncogenes to chemotherapy and metastasis.

World Academy of Sciences Journal

World Academy of Sciences Journal

Multidisciplinary open-access journal spanning biochemistry, genetics, neuroscience, environmental health, and synthetic biology.

International Journal of Functional Nutrition

International Journal of Functional Nutrition

Open-access journal combining biochemistry, pharmacology, immunology, and genetics to advance health through functional nutrition.

International Journal of Epigenetics

International Journal of Epigenetics

Publishes open-access research on using epigenetics to advance understanding and treatment of human disease.

Medicine International

Medicine International

An International Open Access Journal Devoted to General Medicine.

Journal Cover
March-2026 Volume 24 Issue 3

Full Size Image

Sign up for eToc alerts
Recommend to Library

  • Article
  • Citations
    • Cite This Article
    • Download Citation
    • Create Citation Alert
    • Remove Citation Alert
    • Cited By
  • Similar Articles
    • Related Articles (in Spandidos Publications)
    • Similar Articles (Google Scholar)
    • Similar Articles (PubMed)
  • Download PDF
  • Download XML
  • View XML

  • Supplementary Files
    • Supplementary_Data.pdf
Article Open Access

Prognostic value and predictive biomarkers of synergistic interaction between tumor‑associated macrophages and cancer stem cells in colorectal cancer

  • Authors:
    • Yu Kou
    • Yuqing Wang
    • Runying Yang
    • Huizi Tang
    • Feng Gu
    • Baowei Han
    • Yunshuai Wang
  • View Affiliations / Copyright

    Affiliations: School of Traditional Chinese Medicine, Faculty of Medicine, Yangzhou University, Yangzhou, Jiangsu 225009, P.R. China, Luoyang Maternal and Child Health Hospital, Luoyang, Henan 471000, P.R. China, Department of General Surgery, Luoyang Central Hospital Affiliated with Zhengzhou University, Luoyang, Henan 471000, P.R. China
    Copyright: © Kou et al. This is an open access article distributed under the terms of Creative Commons Attribution License.
  • Article Number: 16
    |
    Published online on: January 14, 2026
       https://doi.org/10.3892/mco.2026.2925
  • Expand metrics +
Metrics: Total Views: 0 (Spandidos Publications: | PMC Statistics: )
Metrics: Total PDF Downloads: 0 (Spandidos Publications: | PMC Statistics: )
Cited By (CrossRef): 0 citations Loading Articles...

This article is mentioned in:


Abstract

Cancer stem cells (CSCs) and tumor‑associated macrophages (TAMs) are associated with the prognosis of colorectal cancer (CRC). Emerging studies indicate active crosstalk between CSCs and TAMs within the tumor microenvironment. However, the prognostic implications of integrating CSC‑ and TAM‑associated markers for risk stratification remain incompletely defined in CRC. Expression levels of CD86, CD163, CD44 and CD133 were assessed by immuno­histochemistry. Pearson's chi‑square test was employed to analyze correlations between marker expression and clinicopathological parameters. The Kaplan‑Meier method and log‑rank test were used to determine survival differences and identify potential prognostic factors. Variables achieving statistical significance (P<0.05) in the univariate analysis were subsequently included in a multivariate Cox proportional hazards regression model to analyze independent predictors of overall survival. The results demonstrated that a combined expression profile of high CD86 with low CD163, CD44 and CD133 was significantly associated with prolonged survival. CD86 expression was negatively correlated with CD133 and CD44, while CD163 showed positive correlations with both markers. In addition, elevated CD163 and CD133 levels were positively correlated with poorer prognosis in patients with CRC. In conclusion, it was suggested that different TAM phenotypes in combination with CSC‑related biomarkers serve as potential biomarkers for CRC onset and progression.

Introduction

Colorectal cancer (CRC) represents a pressing global health burden. Contemporary CRC management adopts a multimodal approach integrating surgical resection, chemotherapy, radiotherapy, immunotherapy, and complementary modalities such as traditional Chinese medicine (TCM) (1). Surgical intervention remains the cornerstone for localized disease, while systemic therapy is predominantly based on chemotherapy regimens incorporating fluorouracil, oxaliplatin and irinotecan. Radiotherapy plays a crucial role in the management of rectal cancer, particularly in the neoadjuvant setting where it reduces local recurrence (3). Recent advances in immunotherapy, especially for mismatch repair-deficient tumors, have shown encouraging clinical outcomes (4). Additionally, TCM and novel nanomedicine approaches are being increasingly explored as complementary approaches to enhance treatment efficacy and reduce side effects (5,6). Despite these diverse treatment options, CRC remains one of the most common malignancies globally and ranks as the third leading cause of cancer-related mortality (7). In the United States alone, ~153,020 new CRC cases were projected in 2023, with 52,550 deaths, including 19,550 cases and 3,750 deaths among individuals under 50 years of age (8). Although regular screening, surveillance and high-quality treatment can prevent a substantial proportion of CRC morbidity and mortality (9), recurrence and metastasis remain frequent. Among patients with metastatic CRC, ~70-75% survive beyond 1 year, 30-35% remain alive at 3 years, while the 5-year survival rate falls below 20% (10). Therefore, there is an urgent need to identify reliable biomarkers that can enable early and accurate prognostic assessment.

In a variety of solid tumors, both the density and polarization status of TAMs are strongly associated with patient prognostic outcomes. In CRC, high infiltration of M1-polarized TAMs is associated with a favorable prognosis across various disease stages (11), whereas elevated levels of M2 TAMs often portend a poorer prognosis, a phenomenon observed in multiple cancer types, including thyroid, lung, stomach and breast cancers (12). While macrophage enrichment is usually linked to adverse tumor outcomes, this correlation appears to be reversed in CRC (13). Nevertheless, the role of TAMs within the CRC tumor microenvironment (TME) remains complex, and some studies have shown that TAMs are associated with poor prognosis in patients with CRC (14). Several investigations have found that CD68+ TAMs are predominantly distributed in the CRC tumor stroma, especially at the invasive front, and that CD68+ TAMs infiltration at these sites correlates with improved prognosis in patients with CRC (15). However, TAMs of distinct subtypes and spatial distributions exert different prognostic significance in CRC: For instance, infiltration of CD68+ TAMs and M2-type TAMs is linked to unfavorable outcomes (16). Collectively, TAMs play diverse roles in the prognosis of CRC, and their number, subtype, and spatial distribution within the TME, as well as their impact on patient outcomes, are complex. These findings emphasize the importance of in-depth studies of TAM properties and the search for specific TAM markers to inform therapeutic strategies and improve prognostic assessment.

In recent years, cancer stem cells (CSCs) have been extensively studied as key drivers underlying core hallmarks of tumor progression, including distant metastasis, recurrence and drug resistance (17). CSCs exhibit long-term self-renewal capacity and metastatic potential across a variety of malignancies, including CRC (18). In CRC, CD133+/CD44+ CSCs populations have been shown to correlate negatively with both disease-free survival (DFS) and overall survival (OS) (19). Combined detection of CD133/CD44 expression enhances the identification of colorectal CSCs (20). The TME engages in complex crosstalk with CSCs, which are often characterized by immune suppression and low immunogenicity in CRCs (21). Furthermore, Luo et al (22) reported that CSCs can recruit TAMs into the TME and accelerate their polarization into tumor-promoting phenotypes, whereas TAMs in turn maintain CSC stemness and construct niches unfavorable to the survival of patients with CSC. Although the prognostic values of TAMs or CSC markers have been investigated individually, studies analyzing their combined effects and synergistic interactions on patient prognosis are scarce. Most previous studies have examined TAMs or CSC markers in isolation, failing to capture the prognostic power embedded within their interplay. Therefore, it was hypothesized that a combined biomarker panel reflecting this TAM-CSC synergy may provide superior prognostic stratification compared with individual markers alone.

In the present study, the expression of key TAM markers (CD86 for M1-like and CD163 for M2-like phenotypes) and CSC markers (CD44 and CD133) was simultaneously investigated in a cohort of patients with CRC. The primary objective of the present study was to evaluate the prognostic impact of their combined expression and to determine whether this synergistic biomarker panel could serve as an independent predictor of survival, potentially offering a more refined tool for risk assessment in CRC.

Materials and methods

Patients and specimens

A total of 71 patients with CRC who underwent surgical resection from April 2018 to April 2020 at Luoyang Central Hospital Affiliated with Zhengzhou University (Luoyang, China) were included in the present study. In addition, 20 adjacent normal tissue samples were collected as controls. Inclusion criteria were as follows: i) age ≥18 years; ii) availability of complete clinical and pathological data; and iii) follow-up duration >6 months. Exclusion criteria included: i) receipt of neoadjuvant therapy prior to surgery; ii) presence of other synchronous malignancies; and iii) incomplete medical records or loss to follow-up. Clinicopathological parameters, including age, sex, tumor differentiation, depth of invasion and TNM stage, were obtained from pathology reports and electronic surgical records. All cases were histologically confirmed as primary colorectal adenocarcinoma. Patients were followed up until April 10, 2024. Tissue samples from these patients were subsequently subjected to immunohistochemical (IHC) analysis. The study was approved (approval no. LWLL-2018-03-07-01) by the Institutional Review Board and Human Ethics Committee of Luoyang Central Hospital Affiliated with Zhengzhou University. Written informed consent was obtained from all participants or their legal guardians prior to inclusion in the study.

IHC

For IHC reactions, tissue specimens were fixed in 10% buffered formalin for 24-48 h, embedded in paraffin, and sectioned at a thickness of 4 µm. Sections were dewaxed in xylene and rehydrated through a graded series of ethanol. Endogenous peroxidase activity was blocked by incubating sections in 3% hydrogen peroxide (H2O2) for 10 min, followed by microwave heating for 3 min to reduce nonspecific binding activity. Nonspecific binding sites were further blocked with 5% bovine serum albumin (Boster Biological Technology) at 37˚C or 30 min. Slides were then incubated overnight at 4˚C with primary antibodies against CD86 (1:200; cat. no. 26903-1-AP), CD163 (1:200; cat no. 16646-1-AP), CD44 (1:200; cat no. 15675-1-AP), or CD133 (1:200; cat no. 18470-1-AP; all from Proteintech Group, Inc.). While CD86 is expressed on various antigen-presenting cells, including dendritic cells, its expression on TAMs has been well documented in CRC and serves as a valuable marker for assessing antitumor immune responses within the TME (23). The current analysis specifically focused on CD86+ cells within the tumor stroma and their correlation with clinical outcomes. The next day, slides were washed three times with phosphate-buffered saline and then treated with a biotin-labeled secondary antibody (cat. no. BA1003; Boster Biological Technology) for 30 min at room temperature, followed by treatment with streptavidin-biotin complex. Slides were then washed and stained with 3,3 -diaminobenzidine (cat. no. AR1022; Bausch Biotechnology, Inc.), counterstained with hematoxylin, dehydrated, and sealed with neutral resin. Immunostaining for CD86, CD163, CD44 and CD133 was quantified after digital scanning under consistent lighting conditions. IHC staining for all markers was quantified using Image-Pro Plus 6.0 software (Media Cybernetics, Inc.). The staining intensity was graded on a 0-3 scale by two independent pathologists, and a final immunoreactivity score (range 0-300) was calculated for each sample by multiplying the intensity score by the percentage of positive cells (0-100%).

Statistical analyses

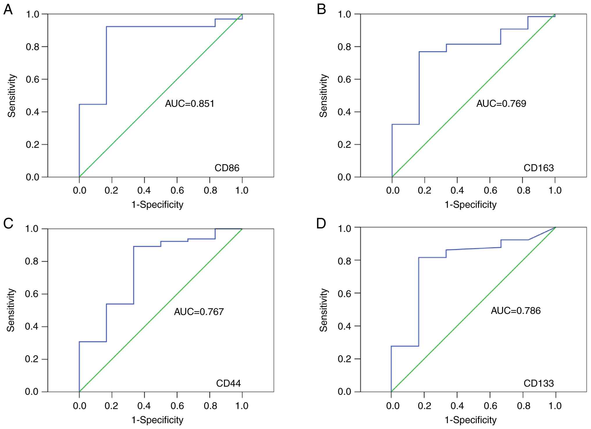
All statistical analyses were conducted using SPSS 21.0 (IBM Corp.). Optimal cut-off values for CD86, CD163, CD44 and CD133 IHC scores were determined using Receiver Operating Characteristic (ROC) curve analysis, with OS as the endpoint. Cut-off points were selected based on the maximum Youden Index (sensitivity + specificity-1). The area under the curve (AUC) values were as follows: CD86: 0.851, CD163: 0.769, CD44: 0.767, CD133: 0.786. Correlations between CD86, CD163, CD44, CD133 and clinicopathological parameters were analyzed using Pearson s chi-square test. Survival differences and prognostic factors were determined using the Kaplan-Meier method and the log-rank test. Correlations among CD86, CD163, CD44 and CD133 were assessed using Pearson s correlation coefficient with corresponding P-values. Variable selection for the multivariate Cox regression model was performed using a stepwise forward method. The Variance Inflation Factor (VIF) was employed to assess multicollinearity among all included variables, with all VIF values below 2, indicating no significant multicollinearity concerns. OS was analyzed using Cox proportional hazards regression models restricted to variables with P<0.05 in the univariate analysis. Survival curves for the relevant factors were plotted using the Kaplan-Meier method. In all statistical analyses, P<0.05 was considered to indicate a statistically significant difference.

Results

Patient characteristics and expression of TAM and CSC biomarkers in human CRC

A total of 71 patients with CRC were included in the survival analysis cohort, with detailed clinicopathologic characteristics of patients with CRC after resection listed in Tables I and II. CD86 was selected as a representative marker of M1-like TAMs, and CD163 as a representative marker of M2-like phenotype. Combined detection of multiple markers can improve the accuracy of CSC identification. In CRC, the use of a marker panel, including CD133, CD44, CD166, ALDH1 and CD16, has been shown to reliably identify CSCs (24). To evaluate potential differences in the expression levels of CD86, CD163, CD44 and CD133 in CRC tissues, IHC staining was performed (Fig. 1). Using ROC analysis, optimal cut-off values for distinguishing high and low levels of these markers were determined in a cohort of 71 CRC samples (Fig. 2). The established thresholds were as follows: for CD86, high expression was defined as an IHC score >93.38, and low expression as <93.38; for CD163, high expression corresponded to an IHC score >16.13, and low expression to <16.13; for CD44, high expression was classified as >5.37, and low as <5.37; and for CD133, high expression was defined as >1.45, with low expression below this value. Based on these cut-off values, 61 patients (85.9%) were categorized as CD86-low and 10 (14.1%) as CD86-high. Among the cohort, 20 patients (28.2%) were designated as CD163-low and 51 (71.8%) as CD163-high. Likewise, 11 patients (15.5%) were categorized as CD44-low and 60 (84.5%) as CD44-high. 17 patients (23.9%) were classified as CD133-low and 54 (76.1%) as CD133-high.

Detection of CD86, CD163, CD44 and
CD133 in low- and high-expressing CRCs using IHC staining. (A)
Representative IHC staining images of CD86. (B) Representative IHC
staining images of CD44. (C) Representative IHC staining images of
CD163. (D) Representative IHC staining images of CD133. CRC,
colorectal cancer; IHC, immunohistochemical.

Figure 1

Detection of CD86, CD163, CD44 and CD133 in low- and high-expressing CRCs using IHC staining. (A) Representative IHC staining images of CD86. (B) Representative IHC staining images of CD44. (C) Representative IHC staining images of CD163. (D) Representative IHC staining images of CD133. CRC, colorectal cancer; IHC, immunohistochemical.

Receiver Operating Characteristics
statistics were used to detect the cut-points of the IHC score for
CD86, CD163, CD44 and CD133. (A) CD86, (B) CD163, (C) CD44 and (D)
CD133 in colorectal cancer samples. AUC, area under the curve.

Figure 2

Receiver Operating Characteristics statistics were used to detect the cut-points of the IHC score for CD86, CD163, CD44 and CD133. (A) CD86, (B) CD163, (C) CD44 and (D) CD133 in colorectal cancer samples. AUC, area under the curve.

Table I

Univariate and multivariate Cox proportional hazards analysis of disease-free survival for patients with colorectal cancer.

Table I

Univariate and multivariate Cox proportional hazards analysis of disease-free survival for patients with colorectal cancer.

VariablesUnivariate analysis HR (95% CI)P-valueMultivariate analysis HR (95% CI)P-value
Age, years    
     ≤601.0000.688  
     >600.902 (0.546-1.492)   
Sex    
     Male1.0000.580  
     Female0.869 (0.528-1.430)   
Tumor location    
     Colon1.0000.071  
     Rectal1.578 (0.957-2.603)   
Tumor size, cm    
     <31.0000.003  
     ≥30.386 (0.198-0.752)   
Differentiation    
     Well/moderate1.0000.077  
     Poor/undifferentiated0.596 (0.334-1.065)   
T stage    
     T1-T21.000<0.0011.0000.006
     T3-T40.320 (0.182-0.564) 0.444 (0.250-0.789) 
TNM stage    
     I1.000<0.001  
     II0.114 (0.038-0.338)   
     III0.295 (0.101-0.866)   
     IV0.425 (0.156-1.153)   
Lymph node metastasis    
     No1.000<0.001  
     Yes0.413 (0.250-0.685)   
Distant metastasis    
     No1.0000.016  
     Yes0.296 (0.103-0.857)   
Preoperative CEA level (ng/ml)    
     ≤51.0000.036  
     >50.599 (0.365-0.982)   
Preoperative CA19-9 level (U/ml)    
     <371.000<0.0011.000<0.001
     ≥370.370 (0.0.9-0.654) 0.314 (0.168-0.588) 
CD86 protein expression    
     Low1.000<0.001  
     High4.553 (1.784-11.616)   
CD163 protein expression    
     Low1.000<0.0011.000<0.001
     High0.210 (0.110-0.402) 0.259 (0.128-0.522) 
CD44 protein expression    
     Low1.000<0.001  
     High0.228 (0.102-0.512)   
CD133 protein expression    
     Low1.000<0.0011.000<0.001
     High0.149 (0.070-0.319) 0.203 (0.091-0.457) 

[i] HR, hazard ratio; CI, confidence interval; CEA, carcinoembryonic antigen.

Table II

Univariate and multivariate Cox proportional hazards analysis of overall survival for patients with colorectal cancer.

Table II

Univariate and multivariate Cox proportional hazards analysis of overall survival for patients with colorectal cancer.

VariablesUnivariate analysis HR (95% CI)P-valueMultivariate analysis HR (95% CI)P-value
Age, years    
     ≤601.0000.797  
     >600.936 (0.566-1.549)   
Sex    
     Male1.0000.525  
     Female0.851 (0.518-1.398)   
Tumor location    
     Colon1.0000.076  
     Rectal0.637 (0.386-1.052)   
Tumor size, cm    
     <31.0000.002  
     ≥30.362 (0.184-0.710)   
Differentiation    
     Well/moderate1.0000.057  
     Poor/undifferentiated0.573 (0.320-1.024)   
T stage    
     T1-T21.000<0.0011.0000.003
     T3-T40.305 (0.173-0.541) 0.420 (0.236-0.748) 
TNM stage    
     I1.000<0.001  
     II0.115 (0.039-0.341)   
     III0.327 (0.112-0.954)   
     IV0.444 (0.164-1.203)   
Lymph node metastasis    
     No1.000<0.001  
     Yes0.407 (0.244-0.677)   
Distant metastasis    
     No1.0000.023  
     Yes0.316 (0.110-0.911)   
Preoperative CEA level (ng/ml)    
     ≤51.0000.043  
     >50.609 (0.370-1.001)   
Preoperative CA19-9 level (U/ml)    
     <371.0000.0011.000<0.001
     ≥370.379 (0.215-0.670) 0.333 (0.179-0.618) 
CD86 protein expression    
     Low1.000<0.001  
     High4.437 (1.751-11.242)   
CD163 protein expression    
     Low1.000<0.0011.000<0.001
     High0.212 (0.111-0.404) 0.274 (0.136-0.549) 
CD44 protein expression    
     Low1.000<0.001  
     High0.208 (0.092-0.471)   
CD133 protein expression    
     Low1.000<0.0011.000<0.001
     High0.126 (0.054-0.290) 0.177 (0.074-0.426) 

[i] HR, hazard ratio; CI, confidence interval; CEA, carcinoembryonic antigen.

TAM and CSC biomarkers in relation to clinicopathological characteristics in CRC

The expression of TAM-associated biomarkers CD86 and CD163, as well as the CSC-associated biomarkers CD44 and CD133, showed significant associations with a variety of clinicopathologic characteristics in CRC (Table III). Elevated CD86 expression was significantly correlated with smaller tumor size (P=0.025) and a lower incidence of distant metastasis (P=0.034). By contrast, patients with high CD163 expression had significantly larger tumors (P=0.027), more advanced T stage (P=0.006), higher TNM stage (P=0.015), and increased lymph node metastases (P=0.033). In addition, high CD44 expression was associated with deeper tumor invasion (T stage, P=0.032), more advanced TNM stage (P=0.044), and a higher frequency of lymph node metastasis (P=0.009). Similarly, high CD133 expression was significantly associated with larger tumor volume (P=0.035), advanced T-stage (P=0.004), later TNM stage (P=0.009), increased lymph node metastasis (P=0.041) and higher preoperative carcinoembryonic antigen (CEA; P=0.009) and CA19-9 levels (P=0.045).

Table III

Expression of CD86, CD163, CD44 and CD133 protein and clinicopathological parameters in colorectal cancer tissues.

Table III

Expression of CD86, CD163, CD44 and CD133 protein and clinicopathological parameters in colorectal cancer tissues.

VariablesCD86 HighLowP-valueCD163 HighLowP-valueCD44 HighLowP-valueCD133 HighLowP-value
Age            
     ≤605230.4612260.3082350.6571990.191
     >60538 2914 376 358 
Sex            
     Male5340.73528110.9943360.97828110.353
     Female527 239 275 266 
Tumor location            
     Colon5230.4612350.1192530.3692350.332
     Rectal538 2815 358 3112 
Tumor size, cm            
     <35110.025880.0271240.232970.035
     ≥3550 4312 487 4510 
Differentiation            
     Well/moderate10450.06637180.1134780.68241140.580
     Poor016 142 133 133 
T stage            
     T1-T25200.29113120.0061870.03214110.004
     T3-t4541 388 424 406 
TNM stage            
     I5180.12811120.0151670.04412110.009
     II114 123 123 123 
     III226 235 271 253 
     IV23 50 50 50 
Lymph node metastasis            
     No6330.72824150.03329100.00926130.041
     Yes428 275 311 284 
Distant metastasis            
     No8590.03447200.19756110.37850170.248
     Yes22 40 40 40 
Preoperative CEA level (ng/ml)            
     ≤57320.30125140.1103090.05125140.009
     >5329 266 302 293 
Preoperative CA19-9 level (U/ml)            
     <378460.75337170.2694590.62638160.045
     ≥37215 143 152 161 

[i] CEA, carcinoembryonic antigen.

Correlations between TAM and CSC biomarker expression

Correlations between TAM- and CSC-associated proteins are presented in Table IV. CD86, a TAM biomarker, was negatively correlated with the CSC biomarkers CD44 (P=0.008, r=-0.286) and CD133 (P=0.016, r=-0.342). By contrast, CD163, a TAMs biomarker, exhibited a positive correlation with the CSC biomarkers CD44 (P<0.001, r=0.549) and CD133 (P<0.001, r=0.529).

Table IV

The relationship between the expression of CD86, CD163, CD44 and CD133 protein.

Table IV

The relationship between the expression of CD86, CD163, CD44 and CD133 protein.

 CD86CD163
CharacteristicLowHighP-valuerLowHighP-valuer
CD44        
     Low650.001-0.286920.0000.511
     High555  1149  
CD133        
     Low1160.004-0.3421250.0000.529
     High504  846  

[i] r, Pearson correlation coefficient.

Follow-up evaluation and prognostic impact of TAM and CSC biomarker expression in CRC

The mean and median DFS of the 71 patients were 43.81±4.87 and 38.00±3.14 months, respectively (Fig. 3A). Mean and median OS were 47.56±4.76 and 44.00±2.97 months, respectively (Fig. 4A). To investigate the prognostic impact of TAM- and CSC-associated markers, DFS and OS were compared among patients stratified by the expression levels of CD86, CD163, CD44 and CD133. Kaplan-Meier survival analysis demonstrated that high CD86 expression was significantly associated with prolonged DFS and OS (P<0.001) (Figs. 3B and 4B), whereas patients with high CD163 expression had shorter DFS and OS (P<0.001) (Figs. 3C and 4C). Similarly, elevated CD44 expression was significantly linked to decreased DFS and OS (P<0.001) (Figs. 3D and 4D), and high CD133 expression was significantly associated with shorter DFS and OS (P<0.001) (Figs. 3E and 4E).

Aberrant expression of CD86, CD163,
CD44 and CD133 in tumors illustrates the prognosis of DFS in
patients with CRC. (A) Kaplan-Meier survival curves showing DFS in
71 patients. (B and C) High expression of CD86 and low expression
of CD163 correlate with favorable prognosis in human CRC samples.
(D and E) High expression of CD44 and CD133 was associated with
poor prognosis. P-values were derived by log-rank test. DFS,
disease-free survival; CRC, colorectal cancer.

Figure 3

Aberrant expression of CD86, CD163, CD44 and CD133 in tumors illustrates the prognosis of DFS in patients with CRC. (A) Kaplan-Meier survival curves showing DFS in 71 patients. (B and C) High expression of CD86 and low expression of CD163 correlate with favorable prognosis in human CRC samples. (D and E) High expression of CD44 and CD133 was associated with poor prognosis. P-values were derived by log-rank test. DFS, disease-free survival; CRC, colorectal cancer.

Abnormal expression of CD86, CD163,
CD44 and CD133 in tumors illustrates the prognosis of patients with
CRC after surgery. (A) Kaplan-Meier survival curves showed overall
survival in 71 patients. (B and C) High expression of CD86 and low
expression of CD163 were associated with a favorable prognosis in
human CRC samples. (D and E) High expression of CD44 and CD133 was
associated with poor prognosis. P-values were obtained by log-rank
test. CRC, colorectal cancer.

Figure 4

Abnormal expression of CD86, CD163, CD44 and CD133 in tumors illustrates the prognosis of patients with CRC after surgery. (A) Kaplan-Meier survival curves showed overall survival in 71 patients. (B and C) High expression of CD86 and low expression of CD163 were associated with a favorable prognosis in human CRC samples. (D and E) High expression of CD44 and CD133 was associated with poor prognosis. P-values were obtained by log-rank test. CRC, colorectal cancer.

CD163 and CD133 expression, T Stage and preoperative CA19-9 level as independent prognostic factors for DFS and OS

Kaplan-Meier survival analyses of DFS and OS were performed according to tumor size, T stage, TNM stage, lymph node status, M stage, preoperative CEA and CA19-9 levels, as well as the expression of CD86, CD163, CD44 and CD133 (Figs. S1 and S2). The results showed that DFS was significantly associated with tumor size (P=0.003), T stage (P<0.001), TNM stage (P<0.001), lymph node metastasis (P<0.001), distant metastasis (P=0.016), preoperative CEA level (P=0.036), preoperative CA19-9 level (P<0.001), and the expression of CD86 (P<0.001), CD163 (P<0.001), CD44 (P<0.001) and CD133 (P<0.001). Multivariate Cox regression analysis identified that CD163 expression (P<0.001), CD133 expression (P<0.001), T stage (P=0.006), and preoperative CA19-9 level (P<0.001) were independent prognostic factors significantly associated with DFS (Table I). Similarly, OS was significantly associated with tumor size (P=0.002), T stage (P<0.001), TNM stage (P<0.001), lymph node metastasis (P<0.001), distant metastasis (P=0.023), preoperative CEA level (P=0.043), preoperative CA19-9 level (P<0.001), CD86 expression (P<0.001), CD163 expression (P<0.001), CD44 expression (P<0.001) and CD133 expression (P<0.001). For these factors included in the multivariate Cox analysis, CD163 expression (P<0.001), CD133 expression (P<0.001), T stage (P=0.003) and preoperative CA19-9 level (P<0.001) were identified as independent prognostic factors for OS (Table II).

Combined expression of CD163 and CD133 as a prognostic indicator in CRC

Multivariate Cox regression analysis identified CD163 and CD133 expression as independent prognostic factors for DFS and OS (Tables I and II). The combined impact of CD163 and CD133 expression on patient prognosis was therefore evaluated (Fig. 5). Patients with concurrent high expression of both markers exhibited significantly shorter DFS and OS (P<0.001; Fig. 5), indicating that this combination serves as a robust predictor of unfavorable prognosis in CRC.

The co-expression status of CD163 and
CD133 is associated with the prognosis of patients with CRC. (A)
Kaplan-Meier curves of disease-free survival in patients with
different expression level combinations of CD163 and CD133. (B)
Kaplan-Meier curves of overall survival in patients with different
expression level combinations of CD163 and CD133. P-values were
derived by log-rank test.

Figure 5

The co-expression status of CD163 and CD133 is associated with the prognosis of patients with CRC. (A) Kaplan-Meier curves of disease-free survival in patients with different expression level combinations of CD163 and CD133. (B) Kaplan-Meier curves of overall survival in patients with different expression level combinations of CD163 and CD133. P-values were derived by log-rank test.

Discussion

CRC ranks as the third most commonly diagnosed gastrointestinal malignancy worldwide (25). Current treatments for CRC include surgical resection, chemotherapy, radiotherapy and immunomodulatory approaches (26). Despite these interventions, nearly 40% of patients develop disease recurrence or distant metastasis, solidifying CRC s status as the third leading cause of cancer-related mortality (27). TNM staging, while a major prognostic factor, has limitations in accurately predicting CRC patient prognosis (26). Therefore, it was aimed to identify biomarkers with a stronger prognostic correlation with CRC. Given that the combined detection of multiple markers can improve the specificity of CSC and TAM identification, the joint expression of CSC and TAM biomarkers was evaluated to determine a panel with improved prognostic correlation, thereby providing a potential basis for more precise clinical diagnosis and therapeutic decision-making.

CSCs regulate the TME by recruiting immune cells via paracrine signaling. For instance, glioma stem cells promote tumor progression by secreting periostin, recruiting TAMs, and constructing the TME (28). In addition, CSCs secrete cytokines, such as TGF-β, IL-10, IL-4 and IL-13 into the TME, which exert an inhibitory effect on multiple immune cells (29) and thereby promote tumor progression. Reciprocally, TAMs regulate CSC stemness and maintain self-renewal capacity through secretion of cytokines, chemokines, and participation in complex signaling networks. Key pathways mediating this bidirectional crosstalk include the IL-6/STAT3 axis, wherein TAM-derived IL-6 activates STAT3 signaling in CSCs to promote self-renewal and stemness maintenance (30). Additionally, TGF-β signaling plays a pivotal role in mediating the bidirectional communication between TAMs and CSCs. TAM-secreted TGF-β not only enhances CSC stemness but also induces epithelial-mesenchymal transition, further contributing to tumor progression and metastasis (31). Other important pathways, such as NF-κB, can be activated by TAM-derived IL-1 and TNF-α, creating an inflammatory niche that further supports CSC persistence (32).

The biological significance of these cytokine-mediated interactions lies in their ability to establish a sustainable niche that maintains CSC populations, drives tumor heterogeneity, and confers therapeutic resistance. For instance, in hepatocellular carcinoma, TAMs can induce STAT3 activation via IL-6, stimulating further cytokine release and forming a positive feedback loop that amplifies CSC self-renewal (33). Similarly, in breast cancer, TAMs have been reported to enhance the stemness characteristics of CSCs through Ephrin-EphA4 interactions, which in turn stimulate CSCs to produce inflammatory cytokines, including IL-1, IL-6 and IL-8(34).

In summary, a bidirectional communication exists between CSCs and TAMs. To investigate this relationship, the protein expression of TAM and CSC biomarkers in CRC tumor tissues was detected by IHC. It was found that high expression of CD163, CD44 and CD133 was associated with poor prognosis, while high CD86 expression was correlated with favorable prognosis. Indeed, the prognostic role of CD86+ TAMs in CRC is complex and context-dependent. Certain studies suggested that CD86 is associated with improved survival, and patients with high CD86 gene expression have higher OS rates than those with low CD86 expression. This indicates that low expression of this marker is linked to tumor progression and aggressiveness (35), which is in line with the present findings. While certain studies report CD86 as a general M1 marker associated with antitumor effects, the present data suggest its prognostic significance may be context-dependent (36,37). Discrepancies with previous studies could stem from heterogeneity in TMEs, differences in antibody clones, or variations in cohort demographics. By contrast, CD163+ TAMs are known to drive tumor progression by suppressing antitumor immunity, enhancing angiogenesis, and promoting metastasis. The association between CD163+ M2-like TAMs and poor prognosis has been more consistently reported across various cancer types, including CRC (38,39). Therefore, Certain studies suggested that combined analysis of CD86+ TAMs and CD163+ TAMs appears to be more suitable for determining relapse and mortality rates (40,41). In addition, the correlations between TAM and CSC markers, clinicopathologic parameters and patient prognosis were investigated. CD86 expression was markedly correlated with tumor size and distant metastasis, whereas CD163 expression was significantly correlated with tumor size and T-stage. Additionally, CD44 and CD133 expression were strongly linked to TNM staging and lymph node metastasis, respectively. Moreover, both CD163 and CD133 were identified as independent prognostic factors in CRC. The present analysis revealed significant prognostic value for both CD86 (M1-like) and CD133, as well as a negative correlation between them. While the combination of CD86 and CD133 is of interest, the present study was strategically designed to investigate the synergistic pro-tumorigenic interaction between TAMs and CSCs. In this context, the concurrent high expression of CD163 (M2-like TAMs) and CD133 represents a functionally coherent and biologically synergistic unit that collectively fosters an immunosuppressive and pro-stemness TME, leading to the most aggressive disease phenotype. This is substantiated by the present multivariate Cox regression analysis, which identified both CD163 and CD133 as the most robust and independent prognostic factors (P<0.001 for both DFS and OS). Therefore, prioritizing the CD163+/CD133+ profile was a deliberate strategy to most directly test our core hypothesis and to establish a clinically actionable biomarker for identifying the highest-risk patient subgroup.

The present analysis revealed significant prognostic value for both CD86 and CD133, as well as a negative correlation between them. While the combination of CD86 and CD133 is of interest, the present study was strategically designed to investigate the synergistic pro-tumorigenic interaction between TAMs and CSCs. In this context, the concurrent high expression of CD163 and CD133 represents a functionally coherent and biologically synergistic unit that collectively fosters an immunosuppressive and pro-stemness TME, leading to the most aggressive disease phenotype. This is substantiated by our multivariate Cox regression analysis, which identified both CD163 and CD133 as the most robust and independent prognostic factors (P<0.001 for both DFS and OS). Therefore, prioritizing the CD163+/CD133+ profile was a deliberate strategy to most directly test our core hypothesis and to establish a clinically actionable biomarker for identifying the highest-risk patient subgroup.

Current studies of TAMs and CSCs in CRC remain relatively limited, typically focusing either on the prognostic significance of different TAM subtypes or on the relationship between CSC expression and CRC occurrence and progression (42,43). By contrast, the present study combines the assessment of TAM and CSC biomarkers, specifically CD163 and CD133, providing a more robust prognostic tool than evaluating either marker alone in CRC. This integrative approach distinguishes the current study from prior works that primarily focused on single-marker systems. By assessing TAMs in conjunction with CSCs, the roles of different subtypes of TAMs and CSCs in CRC were more comprehensively and accurately explored. Both univariate and multivariate analyses identified CD163+ TAMs and CD133+ CSCs as independent prognostic factors for DFS and OS. The prognostic significance of their combined expression was therefore further examined, finding that concurrent high levels of CD163 and CD133 were strongly associated with shorter DFS and OS, indicating poor prognosis. These results suggested that the TAM-CSC functional unit, rather than either component in isolation, represents a key determinant of tumor aggressiveness in CRC.

In conclusion, the novel contribution of our research lies in establishing and validating a combined CD163/CD133 biomarker profile that captures the synergistic interaction between pro-tumorigenic TAMs and stem-like cancer cells. While TNM staging provides an anatomical framework, the CD163+/CD133+ profile directly reflects the pro-tumorigenic and treatment-resistant potential of the TME. This dual-marker panel identifies a high-risk patient subgroup with significantly shorter DFS and OS, thereby significantly improving the accuracy of prognostic predictions in patients with CRC. These findings carry important clinical implications for developing more effective prognostic assessment tools and personalized treatment strategies. Future research should focus on validating these biomarkers in larger, multicenter cohorts and exploring targeted therapies that disrupt the TAM-CSC interaction axis to improve patient outcomes. Furthermore, this approach holds promise for predicting responses to both conventional chemotherapy and emerging immunotherapies, potentially guiding more effective, personalized treatment strategies.

Supplementary Material

Kaplan-Meier survival curves showing DFS for clinicopathologic factors in CRC. (A) Tumor size. (B) T-stage. (C) TNM stage. (D) Lymph nodes status. (E) M-stage. (F) Preoperative CEA level. (G) Preoperative CA19-9 level. P-values were derived by log-rank test. CEA, carcinoembryonic antigen.
Kaplan-Meier survival curves showing the influence of clinicopathological factors on colorectal cancer. (A) T stage. (B) Tumor size. (C) TNM stage. (D) Lymph node status. (E) M-stage. (F) Preoperative CEA level. (G) Preoperative CA19-9 level. P-values were obtained by log-rank test. CEA, carcinoembryonic antigen.

Acknowledgements

Not applicable.

Funding

Funding: The present study was supported by the National Natural Science Foundation of China (grant no. 81803780), the Natural Science Foundation of Jiangsu (grant no. BK20180928) and the Science and Technology Tackling Project of Henan (grant no. 232102310131).

Availability of data and materials

The data generated in the present study may be requested from the corresponding author.

Authors  contributions

YK supervised the study and wrote the original draft. YunW proposed the research concept and designed the research plan. BH managed the planning and execution of the research activities. YuqW collected and interpretated data. RY developed methodology and validated data. HT and FG conducted investigation and data validation, and prepared figures and tables. YK and YunW confirm the authenticity of all the raw data. All authors wrote, reviewed and edited the manuscript. All authors read and approved the final version of the manuscript.

Ethics approval and consent to participate

The present study was approved by the Institutional Review Board and Human Ethics Committee of Luoyang Central Hospital Affiliated with Zhengzhou University (approval no. LWLL-2018-03-07-01; Luoyang, China). All participants or their legal guardians signed an informed consent form.

Patient consent for publication

Not applicable.

Competing interests

The authors declare that they have no competing interests.

References

1 

Wang F, Chen G, Zhang Z, Yuan Y, Wang Y, Gao YH, Sheng W, Wang Z, Li X, Yuan X, et al: The Chinese society of clinical oncology (CSCO): Clinical guidelines for the diagnosis and treatment of colorectal cancer, 2024 update. Cancer Commun (Lond). 45:332–379. 2025.PubMed/NCBI View Article : Google Scholar

2 

Hao VDT, Tri PM, My DT, Anh LT, Trung LV, Bac NH and Vuong NL: FOLFOXIRI for first-line treatment of unresectable colorectal cancer with liver metastases in a resource-limited setting. J Gastrointest Cancer. 56(12)2025.PubMed/NCBI View Article : Google Scholar

3 

Sebag-Montefiore D, Stephens RJ, Steele R, Monson J, Grieve R, Khanna S, Quirke P, Couture J, de Metz C, Myint AS, et al: Preoperative radiotherapy versus selective postoperative chemoradiotherapy in patients with rectal cancer (MRC CR07 and NCIC-CTG C016): A multicentre, randomised trial. Lancet. 373:811–820. 2009.PubMed/NCBI View Article : Google Scholar

4 

Xiao BY, Zhang X, Cao TY, Li DD, Jiang W, Kong LH, Tang JH, Han K, Zhang CZ, Mei WJ, et al: Neoadjuvant immunotherapy leads to major response and low recurrence in localized mismatch repair-deficient colorectal cancer. J Natl Compr Cancer Netw. 21:60–66. 2023.PubMed/NCBI View Article : Google Scholar

5 

Guo KC, Wang ZZ and Su XQ: Chinese medicine in colorectal cancer treatment: From potential targets and mechanisms to clinical application. Chin J Integr Med: Sep 27, 2024 (Epub ahead of print).

6 

Jiang Y, Wang C, Zu C, Rong X, Yu Q and Jiang J: Synergistic potential of nanomedicine in prostate cancer immunotherapy: Breakthroughs and prospects. Int J Nanomedicine. 19:9459–9486. 2024.PubMed/NCBI View Article : Google Scholar

7 

Siegel RL, Miller KD, Fuchs HE and Jemal A: Cancer statistics, 2022. CA Cancer J Clin. 72:7–33. 2022.PubMed/NCBI View Article : Google Scholar

8 

Siegel RL, Wagle NS, Cercek A, Smith RA and Jemal A: Colorectal cancer statistics, 2023. CA Cancer J Clin. 73:233–254. 2023.PubMed/NCBI View Article : Google Scholar

9 

Winawer SJ and Zauber AG: The advanced adenoma as the primary target of screening. Gastrointest Endosc Clin N Am. 12:1–9. 2002.PubMed/NCBI View Article : Google Scholar

10 

Biller LH and Schrag D: Diagnosis and treatment of metastatic colorectal cancer: A review. JAMA. 325:669–685. 2021.PubMed/NCBI View Article : Google Scholar

11 

Edin S, Wikberg ML, Dahlin AM, Rutegård J, Öberg Å, Oldenborg PA and Palmqvist R: The distribution of macrophages with a M1 or M2 phenotype in relation to prognosis and the molecular characteristics of colorectal cancer. PLoS One. 7(e47045)2012.PubMed/NCBI View Article : Google Scholar

12 

Khan SU, Khan MU, Din MA, Khan IM, Khan MI, Bungau S and Hassan SSU: Reprogramming tumor-associated macrophages as a unique approach to target tumor immunotherapy. Front Immunol. 14(1166487)2023.PubMed/NCBI View Article : Google Scholar

13 

Bruni D, Angell HK and Galon J: The immune contexture and Immunoscore in cancer prognosis and therapeutic efficacy. Nat Rev Cancer. 20:662–680. 2020.PubMed/NCBI View Article : Google Scholar

14 

Wang H, Tian T and Zhang J: Tumor-associated macrophages (TAMs) in colorectal cancer (CRC): From mechanism to therapy and prognosis. Int J Mol Sci. 22(8470)2021.PubMed/NCBI View Article : Google Scholar

15 

Li J, Li L, Li Y, Long Y, Zhao Q, Ouyang Y, Bao W and Gong K: Tumor-associated macrophage infiltration and prognosis in colorectal cancer: Systematic review and meta-analysis. Int J Colorectal Dis. 35:1203–1210. 2020.PubMed/NCBI View Article : Google Scholar

16 

Wei C, Yang C, Wang S, Shi D, Zhang C, Lin X, Liu Q, Dou R and Xiong B: Crosstalk between cancer cells and tumor associated macrophages is required for mesenchymal circulating tumor cell-mediated colorectal cancer metastasis. Mol Cancer. 18(64)2019.PubMed/NCBI View Article : Google Scholar

17 

Massague J and Ganesh K: Metastasis-initiating cells and ecosystems. Cancer Discov. 11:971–994. 2021.PubMed/NCBI View Article : Google Scholar

18 

Gao W, Chen L, Ma Z, Du Z, Zhao Z, Hu Z and Li Q: Isolation and phenotypic characterization of colorectal cancer stem cells with organ-specific metastatic potential. Gastroenterology. 145:636–646. 2013.PubMed/NCBI View Article : Google Scholar

19 

Fekir K, Dubois-Pot-Schneider H, Désert R, Daniel Y, Glaise D, Rauch C, Morel F, Fromenty B, Musso O, Cabillic F and Corlu A: Retrodifferentiation of human tumor hepatocytes to stem cells leads to metabolic reprogramming and chemoresistance. Cancer Res. 79:1869–1883. 2019.PubMed/NCBI View Article : Google Scholar

20 

Nagata T, Sakakura C, Komiyama S, Miyashita A, Nishio M, Murayama Y, Komatsu S, Shiozaki A, Kuriu Y, Ikoma H, et al: Expression of cancer stem cell markers CD133 and CD44 in locoregional recurrence of rectal cancer. Anticancer Res. 31:495–500. 2011.PubMed/NCBI

21 

Miranda A, Hamilton PT, Zhang AW, Pattnaik S, Becht E, Mezheyeuski A, Bruun J, Micke P, de Reynies A and Nelson BH: Cancer stemness, intratumoral heterogeneity, and immune response across cancers. Proc Natl Acad Sci USA. 116:9020–9029. 2019.PubMed/NCBI View Article : Google Scholar

22 

Luo S, Yang G, Ye P, Cao N, Chi X, Yang WH and Yan X: Macrophages are a double-edged sword: Molecular crosstalk between tumor-associated macrophages and cancer stem cells. Biomolecules. 12(850)2022.PubMed/NCBI View Article : Google Scholar

23 

Sato T, Takagi K, Higuchi M, Abe H, Kojimahara M, Sagawa M, Tanaki M, Miki Y, Suzuki T and Hojo H: Immunolocalization of CD80 and CD86 in non-small cell lung carcinoma: CD80 as a potent prognostic factor. Acta Histochem Cytochem. 55:25–35. 2022.PubMed/NCBI View Article : Google Scholar

24 

Murar M and Vaidya A: Cancer stem cell markers: Premises and prospects. Biomark Med. 9:1331–1342. 2015.PubMed/NCBI View Article : Google Scholar

25 

Schreuders EH, Ruco A, Rabeneck L, Schoen RE, Sung JJ, Young GP and Kuipers EJ: Colorectal cancer screening: A global overview of existing programmes. Gut. 64:1637–1649. 2015.PubMed/NCBI View Article : Google Scholar

26 

Basak D, Uddin MN and Hancock J: The role of oxidative stress and its counteractive utility in colorectal cancer (CRC). Cancers (Basel). 12(3336)2020.PubMed/NCBI View Article : Google Scholar

27 

DeDecker L, Coppedge B, Avelar-Barragan J, Karnes W and Whiteson K: Microbiome distinctions between the CRC carcinogenic pathways. Gut Microbes. 13(1854641)2021.PubMed/NCBI View Article : Google Scholar

28 

Zhou W, Ke SQ, Huang Z, Flavahan W, Fang X, Paul J, Wu L, Sloan AE, McLendon RE, Li X, et al: Periostin secreted by glioblastoma stem cells recruits M2 tumour-associated macrophages and promotes malignant growth. Nat Cell Biol. 17:170–182. 2015.PubMed/NCBI View Article : Google Scholar

29 

Clara JA, Monge C, Yang Y and Takebe N: Targeting signalling pathways and the immune microenvironment of cancer stem cells-a clinical update. Nat Rev Clin Oncol. 17:204–232. 2020.PubMed/NCBI View Article : Google Scholar

30 

Xu J, Lin H, Wu G, Zhu M and Li M: .: IL-6/STAT3 is a promising therapeutic target for hepatocellular carcinoma. Front Oncol. 11(760971)2021.PubMed/NCBI View Article : Google Scholar

31 

Fasano M, Pirozzi M, Miceli CC, Cocule M, Caraglia M, Boccellino M, Vitale P, De Falco V, Farese S, Zotta A, et al: TGF-β modulated pathways in colorectal cancer: New potential therapeutic opportunities. Int J Mol Sci. 25(7400)2024.PubMed/NCBI View Article : Google Scholar

32 

Cornice J, Verzella D, Arboretto P, Vecchiotti D, Capece D, Zazzeroni F and Franzoso G: NF-κB: Governing macrophages in cancer. Genes (Basel). 15(197)2024.PubMed/NCBI View Article : Google Scholar

33 

Wan S, Zhao E, Kryczek I, Vatan L, Sadovskaya A, Ludema G, Simeone DM, Zou W and Welling TH: Tumor-associated macrophages produce interleukin 6 and signal via STAT3 to promote expansion of human hepatocellular carcinoma stem cells. Gastroenterology. 147:1393–1404. 2014.PubMed/NCBI View Article : Google Scholar

34 

Lu H, Clauser KR, Tam WL, Fröse J, Ye X, Eaton EN, Reinhardt F, Donnenberg VS, Bhargava R, Carr SA and Weinberg RA: A breast cancer stem cell niche supported by juxtacrine signalling from monocytes and macrophages. Nat Cell Biol. 16:1105–1117. 2014.PubMed/NCBI View Article : Google Scholar

35 

Aytekin EC, Unal B, Bassorgun CI and Ozkan O: Clinicopathologic evaluation of CD80, CD86, and PD-L1 expressions with immunohistochemical methods in malignant melanoma patients. Turk Patoloji Derg. 40:16–26. 2024.PubMed/NCBI View Article : Google Scholar

36 

Kinouchi M, Miura K, Mizoi T, Ishida K, Fujibuchi W, Ando T, Yazaki N, Saito K, Shiiba K and Sasaki I: Infiltration of CD14-positive macrophages at the invasive front indicates a favorable prognosis in colorectal cancer patients with lymph node metastasis. Hepatogastroenterology. 58:352–358. 2011.PubMed/NCBI

37 

Beider K, Bitner H, Leiba M, Gutwein O, Koren-Michowitz M, Ostrovsky O, Abraham M, Wald H, Galun E, Peled A and Nagler A: Multiple myeloma cells recruit tumor-supportive macrophages through the CXCR4/CXCL12 axis and promote their polarization toward the M2 phenotype. Oncotarget. 5:11283–11296. 2014.PubMed/NCBI View Article : Google Scholar

38 

Jääskeläinen MM, Tumelius R, Hämäläinen K, Rilla K, Oikari S, Rönkä A, Selander T, Mannermaa A, Tiainen S and Auvinen P: High numbers of CD163+tumor-associated macrophages predict poor prognosis in HER2+breast cancer. Cancers (Basel). 16(634)2024.PubMed/NCBI View Article : Google Scholar

39 

Molina OE, LaRue H, Simonyan D, Hovington H, Têtu B, Fradet V, Lacombe L, Toren P, Bergeron A and Fradet Y: High infiltration of CD209+ dendritic cells and CD163+ macrophages in the peritumor area of prostate cancer is predictive of late adverse outcomes. Front Immunol. 14(1205266)2023.PubMed/NCBI View Article : Google Scholar

40 

Xu G, Jiang L, Ye C, Qin G, Luo Z, Mo Y and Chen J: The ratio of CD86+/CD163+macrophages predicts postoperative recurrence in stage II-III colorectal cancer. Front Immunol. 12(724429)2021.PubMed/NCBI View Article : Google Scholar

41 

Liu J, Deng Y, Liu Z, Li X, Zhang M, Yu X, Liu T, Chen K and Li Z: Identification of genes associated with prognosis and immunotherapy prediction in triple-negative breast cancer via M1/M2 macrophage ratio. Medicina (Kaunas). 59(1285)2023.PubMed/NCBI View Article : Google Scholar

42 

Fattahi F, Zanjani LS, Vafaei S, Shams ZH, Kiani J, Naseri M, Gheytanchi E and Madjd Z: Expressions of TWIST1 and CD105 markers in colorectal cancer patients and their association with metastatic potential and prognosis. Diagn Pathol. 16(26)2021.PubMed/NCBI View Article : Google Scholar

43 

Inagaki K, Kunisho S, Takigawa H, Yuge R, Oka S, Tanaka S, Shimamoto F, Chayama K and Kitadai Y: Role of tumor-associated macrophages at the invasive front in human colorectal cancer progression. Cancer Sci. 112:2692–2704. 2021.PubMed/NCBI View Article : Google Scholar

Related Articles

  • Abstract
  • View
  • Download
  • Twitter
Copy and paste a formatted citation
Spandidos Publications style
Kou Y, Wang Y, Yang R, Tang H, Gu F, Han B and Wang Y: <p>Prognostic value and predictive biomarkers of synergistic interaction between tumor‑associated macrophages and cancer stem cells in colorectal cancer</p>. Mol Clin Oncol 24: 16, 2026.
APA
Kou, Y., Wang, Y., Yang, R., Tang, H., Gu, F., Han, B., & Wang, Y. (2026). <p>Prognostic value and predictive biomarkers of synergistic interaction between tumor‑associated macrophages and cancer stem cells in colorectal cancer</p>. Molecular and Clinical Oncology, 24, 16. https://doi.org/10.3892/mco.2026.2925
MLA
Kou, Y., Wang, Y., Yang, R., Tang, H., Gu, F., Han, B., Wang, Y."<p>Prognostic value and predictive biomarkers of synergistic interaction between tumor‑associated macrophages and cancer stem cells in colorectal cancer</p>". Molecular and Clinical Oncology 24.3 (2026): 16.
Chicago
Kou, Y., Wang, Y., Yang, R., Tang, H., Gu, F., Han, B., Wang, Y."<p>Prognostic value and predictive biomarkers of synergistic interaction between tumor‑associated macrophages and cancer stem cells in colorectal cancer</p>". Molecular and Clinical Oncology 24, no. 3 (2026): 16. https://doi.org/10.3892/mco.2026.2925
Copy and paste a formatted citation
x
Spandidos Publications style
Kou Y, Wang Y, Yang R, Tang H, Gu F, Han B and Wang Y: <p>Prognostic value and predictive biomarkers of synergistic interaction between tumor‑associated macrophages and cancer stem cells in colorectal cancer</p>. Mol Clin Oncol 24: 16, 2026.
APA
Kou, Y., Wang, Y., Yang, R., Tang, H., Gu, F., Han, B., & Wang, Y. (2026). <p>Prognostic value and predictive biomarkers of synergistic interaction between tumor‑associated macrophages and cancer stem cells in colorectal cancer</p>. Molecular and Clinical Oncology, 24, 16. https://doi.org/10.3892/mco.2026.2925
MLA
Kou, Y., Wang, Y., Yang, R., Tang, H., Gu, F., Han, B., Wang, Y."<p>Prognostic value and predictive biomarkers of synergistic interaction between tumor‑associated macrophages and cancer stem cells in colorectal cancer</p>". Molecular and Clinical Oncology 24.3 (2026): 16.
Chicago
Kou, Y., Wang, Y., Yang, R., Tang, H., Gu, F., Han, B., Wang, Y."<p>Prognostic value and predictive biomarkers of synergistic interaction between tumor‑associated macrophages and cancer stem cells in colorectal cancer</p>". Molecular and Clinical Oncology 24, no. 3 (2026): 16. https://doi.org/10.3892/mco.2026.2925
Follow us
  • Twitter
  • LinkedIn
  • Facebook
About
  • Spandidos Publications
  • Careers
  • Cookie Policy
  • Privacy Policy
How can we help?
  • Help
  • Live Chat
  • Contact
  • Email to our Support Team