Spandidos Publications Logo
  • About
    • About Spandidos
    • Aims and Scopes
    • Abstracting and Indexing
    • Editorial Policies
    • Reprints and Permissions
    • Job Opportunities
    • Terms and Conditions
    • Contact
  • Journals
    • All Journals
    • Oncology Letters
      • Oncology Letters
      • Information for Authors
      • Editorial Policies
      • Editorial Board
      • Aims and Scope
      • Abstracting and Indexing
      • Bibliographic Information
      • Archive
    • International Journal of Oncology
      • International Journal of Oncology
      • Information for Authors
      • Editorial Policies
      • Editorial Board
      • Aims and Scope
      • Abstracting and Indexing
      • Bibliographic Information
      • Archive
    • Molecular and Clinical Oncology
      • Molecular and Clinical Oncology
      • Information for Authors
      • Editorial Policies
      • Editorial Board
      • Aims and Scope
      • Abstracting and Indexing
      • Bibliographic Information
      • Archive
    • Experimental and Therapeutic Medicine
      • Experimental and Therapeutic Medicine
      • Information for Authors
      • Editorial Policies
      • Editorial Board
      • Aims and Scope
      • Abstracting and Indexing
      • Bibliographic Information
      • Archive
    • International Journal of Molecular Medicine
      • International Journal of Molecular Medicine
      • Information for Authors
      • Editorial Policies
      • Editorial Board
      • Aims and Scope
      • Abstracting and Indexing
      • Bibliographic Information
      • Archive
    • Biomedical Reports
      • Biomedical Reports
      • Information for Authors
      • Editorial Policies
      • Editorial Board
      • Aims and Scope
      • Abstracting and Indexing
      • Bibliographic Information
      • Archive
    • Oncology Reports
      • Oncology Reports
      • Information for Authors
      • Editorial Policies
      • Editorial Board
      • Aims and Scope
      • Abstracting and Indexing
      • Bibliographic Information
      • Archive
    • Molecular Medicine Reports
      • Molecular Medicine Reports
      • Information for Authors
      • Editorial Policies
      • Editorial Board
      • Aims and Scope
      • Abstracting and Indexing
      • Bibliographic Information
      • Archive
    • World Academy of Sciences Journal
      • World Academy of Sciences Journal
      • Information for Authors
      • Editorial Policies
      • Editorial Board
      • Aims and Scope
      • Abstracting and Indexing
      • Bibliographic Information
      • Archive
    • International Journal of Functional Nutrition
      • International Journal of Functional Nutrition
      • Information for Authors
      • Editorial Policies
      • Editorial Board
      • Aims and Scope
      • Abstracting and Indexing
      • Bibliographic Information
      • Archive
    • International Journal of Epigenetics
      • International Journal of Epigenetics
      • Information for Authors
      • Editorial Policies
      • Editorial Board
      • Aims and Scope
      • Abstracting and Indexing
      • Bibliographic Information
      • Archive
    • Medicine International
      • Medicine International
      • Information for Authors
      • Editorial Policies
      • Editorial Board
      • Aims and Scope
      • Abstracting and Indexing
      • Bibliographic Information
      • Archive
  • Articles
  • Information
    • Information for Authors
    • Information for Reviewers
    • Information for Librarians
    • Information for Advertisers
    • Conferences
  • Language Editing
Spandidos Publications Logo
  • About
    • About Spandidos
    • Aims and Scopes
    • Abstracting and Indexing
    • Editorial Policies
    • Reprints and Permissions
    • Job Opportunities
    • Terms and Conditions
    • Contact
  • Journals
    • All Journals
    • Biomedical Reports
      • Information for Authors
      • Editorial Policies
      • Editorial Board
      • Aims and Scope
      • Abstracting and Indexing
      • Bibliographic Information
      • Archive
    • Experimental and Therapeutic Medicine
      • Information for Authors
      • Editorial Policies
      • Editorial Board
      • Aims and Scope
      • Abstracting and Indexing
      • Bibliographic Information
      • Archive
    • International Journal of Epigenetics
      • Information for Authors
      • Editorial Policies
      • Editorial Board
      • Aims and Scope
      • Abstracting and Indexing
      • Bibliographic Information
      • Archive
    • International Journal of Functional Nutrition
      • Information for Authors
      • Editorial Policies
      • Editorial Board
      • Aims and Scope
      • Abstracting and Indexing
      • Bibliographic Information
      • Archive
    • International Journal of Molecular Medicine
      • Information for Authors
      • Editorial Policies
      • Editorial Board
      • Aims and Scope
      • Abstracting and Indexing
      • Bibliographic Information
      • Archive
    • International Journal of Oncology
      • Information for Authors
      • Editorial Policies
      • Editorial Board
      • Aims and Scope
      • Abstracting and Indexing
      • Bibliographic Information
      • Archive
    • Medicine International
      • Information for Authors
      • Editorial Policies
      • Editorial Board
      • Aims and Scope
      • Abstracting and Indexing
      • Bibliographic Information
      • Archive
    • Molecular and Clinical Oncology
      • Information for Authors
      • Editorial Policies
      • Editorial Board
      • Aims and Scope
      • Abstracting and Indexing
      • Bibliographic Information
      • Archive
    • Molecular Medicine Reports
      • Information for Authors
      • Editorial Policies
      • Editorial Board
      • Aims and Scope
      • Abstracting and Indexing
      • Bibliographic Information
      • Archive
    • Oncology Letters
      • Information for Authors
      • Editorial Policies
      • Editorial Board
      • Aims and Scope
      • Abstracting and Indexing
      • Bibliographic Information
      • Archive
    • Oncology Reports
      • Information for Authors
      • Editorial Policies
      • Editorial Board
      • Aims and Scope
      • Abstracting and Indexing
      • Bibliographic Information
      • Archive
    • World Academy of Sciences Journal
      • Information for Authors
      • Editorial Policies
      • Editorial Board
      • Aims and Scope
      • Abstracting and Indexing
      • Bibliographic Information
      • Archive
  • Articles
  • Information
    • For Authors
    • For Reviewers
    • For Librarians
    • For Advertisers
    • Conferences
  • Language Editing
Login Register Submit
  • This site uses cookies
  • You can change your cookie settings at any time by following the instructions in our Cookie Policy. To find out more, you may read our Privacy Policy.

    I agree
Search articles by DOI, keyword, author or affiliation
Search
Advanced Search
presentation
Medicine International
Join Editorial Board Propose a Special Issue
Print ISSN: 2754-3242 Online ISSN: 2754-1304
Journal Cover
March-April 2024 Volume 4 Issue 2

Full Size Image

Sign up for eToc alerts
Recommend to Library

Journals

International Journal of Molecular Medicine

International Journal of Molecular Medicine

International Journal of Molecular Medicine is an international journal devoted to molecular mechanisms of human disease.

International Journal of Oncology

International Journal of Oncology

International Journal of Oncology is an international journal devoted to oncology research and cancer treatment.

Molecular Medicine Reports

Molecular Medicine Reports

Covers molecular medicine topics such as pharmacology, pathology, genetics, neuroscience, infectious diseases, molecular cardiology, and molecular surgery.

Oncology Reports

Oncology Reports

Oncology Reports is an international journal devoted to fundamental and applied research in Oncology.

Experimental and Therapeutic Medicine

Experimental and Therapeutic Medicine

Experimental and Therapeutic Medicine is an international journal devoted to laboratory and clinical medicine.

Oncology Letters

Oncology Letters

Oncology Letters is an international journal devoted to Experimental and Clinical Oncology.

Biomedical Reports

Biomedical Reports

Explores a wide range of biological and medical fields, including pharmacology, genetics, microbiology, neuroscience, and molecular cardiology.

Molecular and Clinical Oncology

Molecular and Clinical Oncology

International journal addressing all aspects of oncology research, from tumorigenesis and oncogenes to chemotherapy and metastasis.

World Academy of Sciences Journal

World Academy of Sciences Journal

Multidisciplinary open-access journal spanning biochemistry, genetics, neuroscience, environmental health, and synthetic biology.

International Journal of Functional Nutrition

International Journal of Functional Nutrition

Open-access journal combining biochemistry, pharmacology, immunology, and genetics to advance health through functional nutrition.

International Journal of Epigenetics

International Journal of Epigenetics

Publishes open-access research on using epigenetics to advance understanding and treatment of human disease.

Medicine International

Medicine International

An International Open Access Journal Devoted to General Medicine.

Journal Cover
March-April 2024 Volume 4 Issue 2

Full Size Image

Sign up for eToc alerts
Recommend to Library

  • Article
  • Citations
    • Cite This Article
    • Download Citation
    • Create Citation Alert
    • Remove Citation Alert
    • Cited By
  • Similar Articles
    • Related Articles (in Spandidos Publications)
    • Similar Articles (Google Scholar)
    • Similar Articles (PubMed)
  • Download PDF
  • Download XML
  • View XML
Article Open Access

Comparative evaluation of GSH, total protein and albumin levels in patients using smokeless tobacco with oral precancerous and cancerous lesions

  • Authors:
    • Anand Nimbal
    • Bhagyashri Ahirrao
    • Aruna Vishwakarma
    • Prashanth Vishwakarma
    • Alisha Bhushan Wani
    • Asmita Anant Patil
  • View Affiliations / Copyright

    Affiliations: Department of Dentistry, B M Patil Medical College, Hospital and Research Centre, Vijaypura, Karnataka 586103, India, Department of Pathology, Jawahar Medical Foundation's ACPM Medical College, Dhule, Maharashtra 424001, India, Department of Pedodontics, Jawahar Medical Foundation's ACPM Dental College, Dhule, Maharashtra 424001, India, Department of Public Health Dentistry, Jawahar Medical Foundation's ACPM Dental College, Dhule, Maharashtra 424001, India, Department of Conservative Dentistry and Endodontics, Jawahar Medical Foundation's ACPM Dental College, Dhule, Maharashtra 424001, India
    Copyright: © Nimbal et al. This is an open access article distributed under the terms of Creative Commons Attribution License [CC BY 4.0].
  • Article Number: 15
    |
    Published online on: February 15, 2024
       https://doi.org/10.3892/mi.2024.139
  • Expand metrics +
Metrics: Total Views: 0 (Spandidos Publications: | PMC Statistics: )
Metrics: Total PDF Downloads: 0 (Spandidos Publications: | PMC Statistics: )
Cited By (CrossRef): 0 citations Loading Articles...

This article is mentioned in:



Abstract

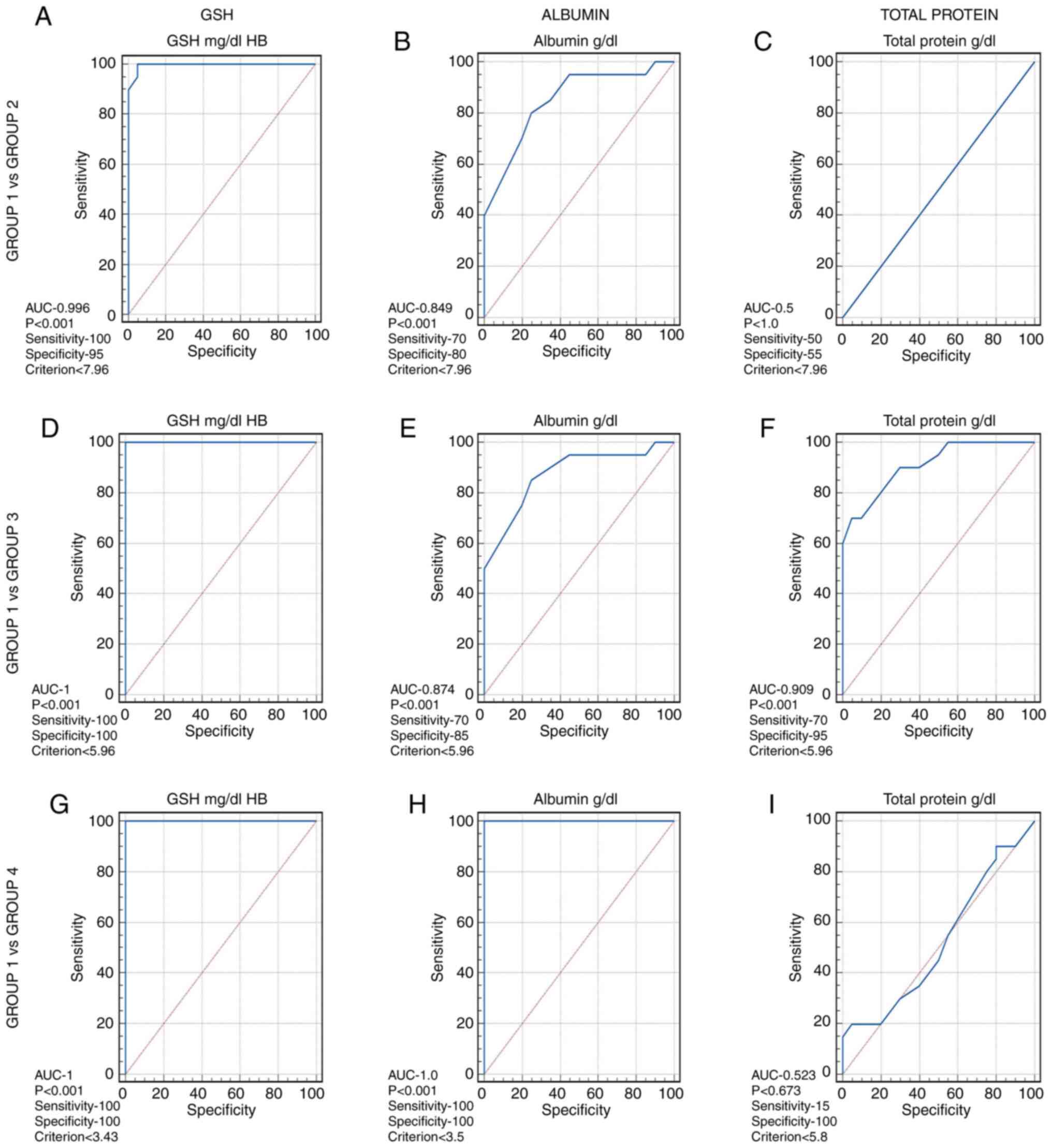
Smokeless tobacco (SLT) causes the excessive production of reactive oxygen species, leading to oxidative damage and carcinogenesis. The present study aimed to evaluate the levels of biomarkers, such as glutathione (GSH) in the blood, as well as serum albumin and total protein levels in SLT users with oral precancerous and cancerous lesions. A cross‑sectional, prospective study was conducted on 240 patients aged 30‑60 years, divided into four groups with 60 patients in each group as follows: Group 1, control group, non‑tobacco users; group 2, 60 subjects with a history of SLT use and no oral lesions; group 3, SLT users with precancerous oral lesions; and group 4, SLT users with cancerous lesions. GSH levels in the blood, serum albumin levels and total protein levels were evaluated in all groups. ANOVA and Tukey's test post hoc were used to compare the levels of the biomarkers in all groups. Receiver operating characteristic curves were used to assess the reliability of the biomarkers, and regression analysis was used to determine the associations between the variables. The use of SLT was predominantly observed in males. The mean GSH and serum albumin levels were lowest in group 4 and highest in the control group (P<0.001). The total serum protein levels were higher in group 4 than in group 3. On the whole, as demonstrated herein, GSH and serum albumin were reliable biomarkers, whereas total protein was a weak biomarker. GSH and serum albumin levels may thus be efficiently used for the early diagnosis and prognosis of oral malignancies in SLT users
View Figures

Figure 1

Figure 2

Figure 3

Figure 4

View References

1 

Acharya S, Singh S and Bhatia SK: Association between smokeless tobacco and risk of malignant and premalignant conditions of oral cavity: A systematic review of Indian literature. J Oral MaxillofacPathol. 25(371)2021.PubMed/NCBI View Article : Google Scholar

2 

Diaz MC, Kierstead EC, Edwards D, Kim Y, Rose SW, Emery S, Khatib B, Liu M and Kostygina G: Online tobacco advertising and current chew, dip, snuff and snus use among youth and young adults, 2018-2019. Int J Environ Res Public Health. 19(4786)2022.PubMed/NCBI View Article : Google Scholar

3 

Niaz K, Maqbool F, Khan F, Bahadar H, Hassan FI and Abdollahi M: Smokeless tobacco (paan and gutkha) consumption, prevalence, and contribution to oral cancer. Epidemiol Health. 9(e2017009)2017.PubMed/NCBI View Article : Google Scholar

4 

Gupta PC and Ray CS: Smokeless tobacco and health in India and south Asia. Respirology. 8:419–431. 2003.PubMed/NCBI View Article : Google Scholar

5 

Garg S, Pandeshwar P and Padmashree S: Estimation of serum superoxide dismutase and glutathione peroxidase levels in tobacco chewers and smokers: A comparative study. J Oral Med Oral Surg Oral Pathol Oral Radiol. 4:147–154. 2018.

6 

IARC Working Group on the Evaluation of Carcinogenic Risks to Humans. Smokeless tobacco and some tobacco-specific N-nitrosamines. IARC Monogr Eval Carcinog Risks Hum. 89:1–592. 2007.PubMed/NCBI

7 

Tilashalski K, Rodu B and Cole P: A pilot study of smokeless tobacco in smoking cessation. Am J Med. 104:456–458. 1998.PubMed/NCBI View Article : Google Scholar

8 

Young I and Woodside J: Antioxidants in health and disease. J Clin Pathol. 54:176–186. 2001.PubMed/NCBI View Article : Google Scholar

9 

Bagchi M, Bagchi D, Hassoun EA and Stohs SJ: Subchronic effects of smokeless tobacco extract (STE) on hepatic lipid peroxidation, DNA damage and excretion of urinary metabolites in rats. Toxicology. 127:29–38. 1998.PubMed/NCBI View Article : Google Scholar

10 

Zitka O, Skalickova S, Gumulec J, Masarik M, Adam V, Hubalek J, Trnkova L, Kruseova J, Eckschlager T and Kizek R: Redox status expressed as GSH:GSSG ratio as a marker for oxidative stress in paediatric tumour patients. Oncol Lett. 4:1247–1253. 2012.PubMed/NCBI View Article : Google Scholar

11 

Pizzorno J: Glutathione! Integr Med (Encinitas). 13:8–12. 2014.PubMed/NCBI

12 

Lobo V, Patil A, Phatak A and Chandra N: Free radicals, antioxidants and functional foods: Impact on human health. Pharmacogn Rev. 4:118–126. 2010.PubMed/NCBI View Article : Google Scholar

13 

Gupta N, Verma K, Nalla S, Kulshreshtha A, Lall R and Prasad S: Free radicals as a double-edged sword: The cancer preventive and therapeutic roles of curcumin. Molecules. 25(5390)2020.PubMed/NCBI View Article : Google Scholar

14 

Benowitz NL: Smokeless tobacco as a nicotine delivery device: Harm or harm reduction? Clin Pharmacol Ther. 90:491–493. 2011.PubMed/NCBI View Article : Google Scholar

15 

Kosova F, Cetin B, Akinci M, Aslan S, Ari Z, Sepici A, Altan N and Cetin A: Advanced oxidation protein products, ferrous oxidation in xylenol orange, and malondialdehyde levels in thyroid cancer. Ann Surg Oncol. 14:2616–2620. 2007.PubMed/NCBI View Article : Google Scholar

16 

Patidar KA, Parwani RN and Wanjari SP: Correlation of salivary and serum IgG, IgA levels with total protein in oral submucous fibrosis. J Oral Sci. 53:97–102. 2011.PubMed/NCBI View Article : Google Scholar

17 

Rasool M, Khan SR, Malik A, Khan KM, Zahid S, Manan A, Qazi MH and Naseer MI: Comparative studies of salivary and blood sialic acid, lipid peroxidation and antioxidative status in oral squamous cell carcinoma (OSCC). Pak J Med Sci. 30:466–471. 2014.PubMed/NCBI View Article : Google Scholar

18 

Beutler E, Duron O and Kelly BM: Improved method for the determination of blood glutathione. J Lab Clin Med. 61:882–888. 1963.PubMed/NCBI

19 

Wokes F and Still BM: The estimation of protein by the biuret and Greenberg methods. Biochem J. 36:797–806. 1942.PubMed/NCBI View Article : Google Scholar

20 

Rodkey FL: Direct spectrophotometric determination of albumin in human serum. Clin Chem. 11:478–487. 1965.PubMed/NCBI

21 

Sharma M, Rajappa M, Kumar G and Sharma A: Oxidant-antioxidant status in Indian patients with carcinoma of posterior one-third of tongue. Cancer Biomark. 5:253–260. 2009.PubMed/NCBI View Article : Google Scholar

22 

Mohideen K, Sudhakar U, Jeddy N, Sankari SL, Radhika T and Vani N: Assessment of the anti-oxidant reduced glutathione in oral squamous cell carcinoma-Systematic review and meta-analysis. J Oral Maxillofac Pathol. 26(592)2022.PubMed/NCBI View Article : Google Scholar

23 

Zhu Y, Carvey PM and Ling Z: Age-related changes in glutathione and glutathione-related enzymes in rat brain. Brain Res. 1090:35–44. 2006.PubMed/NCBI View Article : Google Scholar

24 

Begum SF, Nagajothi G, Latha KS, Sandeep G, Sreekanth B, Kumar CS, Rajendra W and Maddu N: Possible role of nicotine and cotinine on nitroxidative stress and antioxidant content in saliva of smokeless tobacco consumers. Pract Lab Med. 12(e00105)2018.PubMed/NCBI View Article : Google Scholar

25 

Metgud R and Patel S: Serum and salivary levels of albumin as diagnostic tools for oral pre-malignancy and oral malignancy. Biotech Histochem. 89:8–13. 2014.PubMed/NCBI View Article : Google Scholar

26 

Mohanty V, Subbannayya Y, Patil S, Abdulla R, Ganesh MS, Pal A, Ray JG, Sidransky D, Gowda H, Prasad TSK and Chatterjee A: Molecular alterations in oral cancer between tobacco chewers and smokers using serum proteomics. Cancer Biomark. 31:361–373. 2021.PubMed/NCBI View Article : Google Scholar

27 

More CB, Shah PH and Venkatesh R: Estimation of serum protein in oral potentially malignant disorders and oral malignancy-A cross-sectional study. J Clin Diagn Res. 11:ZC17–ZC19. 2017.PubMed/NCBI View Article : Google Scholar

28 

Shukla AK, Khaitan T, Gupta P and Naik SR: Smokeless tobacco and its adverse effects on hematological parameters: A cross-sectional study. Adv Prev Med. 2019(3182946)2019.PubMed/NCBI View Article : Google Scholar

29 

Cheng SB, Liu HT, Chen SY, Lin PT, Lai CY and Huang YC: Changes of oxidative stress, glutathione, and its dependent antioxidant enzyme activities in patients with hepatocellular carcinoma before and after tumor resection. PLoS One. 12(e0170016)2017.PubMed/NCBI View Article : Google Scholar

Related Articles

  • Abstract
  • View
  • Download
Copy and paste a formatted citation
Spandidos Publications style
Nimbal A, Ahirrao B, Vishwakarma A, Vishwakarma P, Wani AB and Patil AA: Comparative evaluation of GSH, total protein and albumin levels in patients using smokeless tobacco with oral precancerous and cancerous lesions. Med Int 4: 15, 2024.
APA
Nimbal, A., Ahirrao, B., Vishwakarma, A., Vishwakarma, P., Wani, A.B., & Patil, A.A. (2024). Comparative evaluation of GSH, total protein and albumin levels in patients using smokeless tobacco with oral precancerous and cancerous lesions. Medicine International, 4, 15. https://doi.org/10.3892/mi.2024.139
MLA
Nimbal, A., Ahirrao, B., Vishwakarma, A., Vishwakarma, P., Wani, A. B., Patil, A. A."Comparative evaluation of GSH, total protein and albumin levels in patients using smokeless tobacco with oral precancerous and cancerous lesions". Medicine International 4.2 (2024): 15.
Chicago
Nimbal, A., Ahirrao, B., Vishwakarma, A., Vishwakarma, P., Wani, A. B., Patil, A. A."Comparative evaluation of GSH, total protein and albumin levels in patients using smokeless tobacco with oral precancerous and cancerous lesions". Medicine International 4, no. 2 (2024): 15. https://doi.org/10.3892/mi.2024.139
Copy and paste a formatted citation
x
Spandidos Publications style
Nimbal A, Ahirrao B, Vishwakarma A, Vishwakarma P, Wani AB and Patil AA: Comparative evaluation of GSH, total protein and albumin levels in patients using smokeless tobacco with oral precancerous and cancerous lesions. Med Int 4: 15, 2024.
APA
Nimbal, A., Ahirrao, B., Vishwakarma, A., Vishwakarma, P., Wani, A.B., & Patil, A.A. (2024). Comparative evaluation of GSH, total protein and albumin levels in patients using smokeless tobacco with oral precancerous and cancerous lesions. Medicine International, 4, 15. https://doi.org/10.3892/mi.2024.139
MLA
Nimbal, A., Ahirrao, B., Vishwakarma, A., Vishwakarma, P., Wani, A. B., Patil, A. A."Comparative evaluation of GSH, total protein and albumin levels in patients using smokeless tobacco with oral precancerous and cancerous lesions". Medicine International 4.2 (2024): 15.
Chicago
Nimbal, A., Ahirrao, B., Vishwakarma, A., Vishwakarma, P., Wani, A. B., Patil, A. A."Comparative evaluation of GSH, total protein and albumin levels in patients using smokeless tobacco with oral precancerous and cancerous lesions". Medicine International 4, no. 2 (2024): 15. https://doi.org/10.3892/mi.2024.139
Follow us
  • Twitter
  • LinkedIn
  • Facebook
About
  • Spandidos Publications
  • Careers
  • Cookie Policy
  • Privacy Policy
How can we help?
  • Help
  • Live Chat
  • Contact
  • Email to our Support Team