Spandidos Publications Logo
  • About
    • About Spandidos
    • Aims and Scopes
    • Abstracting and Indexing
    • Editorial Policies
    • Reprints and Permissions
    • Job Opportunities
    • Terms and Conditions
    • Contact
  • Journals
    • All Journals
    • Oncology Letters
      • Oncology Letters
      • Information for Authors
      • Editorial Policies
      • Editorial Board
      • Aims and Scope
      • Abstracting and Indexing
      • Bibliographic Information
      • Archive
    • International Journal of Oncology
      • International Journal of Oncology
      • Information for Authors
      • Editorial Policies
      • Editorial Board
      • Aims and Scope
      • Abstracting and Indexing
      • Bibliographic Information
      • Archive
    • Molecular and Clinical Oncology
      • Molecular and Clinical Oncology
      • Information for Authors
      • Editorial Policies
      • Editorial Board
      • Aims and Scope
      • Abstracting and Indexing
      • Bibliographic Information
      • Archive
    • Experimental and Therapeutic Medicine
      • Experimental and Therapeutic Medicine
      • Information for Authors
      • Editorial Policies
      • Editorial Board
      • Aims and Scope
      • Abstracting and Indexing
      • Bibliographic Information
      • Archive
    • International Journal of Molecular Medicine
      • International Journal of Molecular Medicine
      • Information for Authors
      • Editorial Policies
      • Editorial Board
      • Aims and Scope
      • Abstracting and Indexing
      • Bibliographic Information
      • Archive
    • Biomedical Reports
      • Biomedical Reports
      • Information for Authors
      • Editorial Policies
      • Editorial Board
      • Aims and Scope
      • Abstracting and Indexing
      • Bibliographic Information
      • Archive
    • Oncology Reports
      • Oncology Reports
      • Information for Authors
      • Editorial Policies
      • Editorial Board
      • Aims and Scope
      • Abstracting and Indexing
      • Bibliographic Information
      • Archive
    • Molecular Medicine Reports
      • Molecular Medicine Reports
      • Information for Authors
      • Editorial Policies
      • Editorial Board
      • Aims and Scope
      • Abstracting and Indexing
      • Bibliographic Information
      • Archive
    • World Academy of Sciences Journal
      • World Academy of Sciences Journal
      • Information for Authors
      • Editorial Policies
      • Editorial Board
      • Aims and Scope
      • Abstracting and Indexing
      • Bibliographic Information
      • Archive
    • International Journal of Functional Nutrition
      • International Journal of Functional Nutrition
      • Information for Authors
      • Editorial Policies
      • Editorial Board
      • Aims and Scope
      • Abstracting and Indexing
      • Bibliographic Information
      • Archive
    • International Journal of Epigenetics
      • International Journal of Epigenetics
      • Information for Authors
      • Editorial Policies
      • Editorial Board
      • Aims and Scope
      • Abstracting and Indexing
      • Bibliographic Information
      • Archive
    • Medicine International
      • Medicine International
      • Information for Authors
      • Editorial Policies
      • Editorial Board
      • Aims and Scope
      • Abstracting and Indexing
      • Bibliographic Information
      • Archive
  • Articles
  • Information
    • Information for Authors
    • Information for Reviewers
    • Information for Librarians
    • Information for Advertisers
    • Conferences
  • Language Editing
Spandidos Publications Logo
  • About
    • About Spandidos
    • Aims and Scopes
    • Abstracting and Indexing
    • Editorial Policies
    • Reprints and Permissions
    • Job Opportunities
    • Terms and Conditions
    • Contact
  • Journals
    • All Journals
    • Biomedical Reports
      • Information for Authors
      • Editorial Policies
      • Editorial Board
      • Aims and Scope
      • Abstracting and Indexing
      • Bibliographic Information
      • Archive
    • Experimental and Therapeutic Medicine
      • Information for Authors
      • Editorial Policies
      • Editorial Board
      • Aims and Scope
      • Abstracting and Indexing
      • Bibliographic Information
      • Archive
    • International Journal of Epigenetics
      • Information for Authors
      • Editorial Policies
      • Editorial Board
      • Aims and Scope
      • Abstracting and Indexing
      • Bibliographic Information
      • Archive
    • International Journal of Functional Nutrition
      • Information for Authors
      • Editorial Policies
      • Editorial Board
      • Aims and Scope
      • Abstracting and Indexing
      • Bibliographic Information
      • Archive
    • International Journal of Molecular Medicine
      • Information for Authors
      • Editorial Policies
      • Editorial Board
      • Aims and Scope
      • Abstracting and Indexing
      • Bibliographic Information
      • Archive
    • International Journal of Oncology
      • Information for Authors
      • Editorial Policies
      • Editorial Board
      • Aims and Scope
      • Abstracting and Indexing
      • Bibliographic Information
      • Archive
    • Medicine International
      • Information for Authors
      • Editorial Policies
      • Editorial Board
      • Aims and Scope
      • Abstracting and Indexing
      • Bibliographic Information
      • Archive
    • Molecular and Clinical Oncology
      • Information for Authors
      • Editorial Policies
      • Editorial Board
      • Aims and Scope
      • Abstracting and Indexing
      • Bibliographic Information
      • Archive
    • Molecular Medicine Reports
      • Information for Authors
      • Editorial Policies
      • Editorial Board
      • Aims and Scope
      • Abstracting and Indexing
      • Bibliographic Information
      • Archive
    • Oncology Letters
      • Information for Authors
      • Editorial Policies
      • Editorial Board
      • Aims and Scope
      • Abstracting and Indexing
      • Bibliographic Information
      • Archive
    • Oncology Reports
      • Information for Authors
      • Editorial Policies
      • Editorial Board
      • Aims and Scope
      • Abstracting and Indexing
      • Bibliographic Information
      • Archive
    • World Academy of Sciences Journal
      • Information for Authors
      • Editorial Policies
      • Editorial Board
      • Aims and Scope
      • Abstracting and Indexing
      • Bibliographic Information
      • Archive
  • Articles
  • Information
    • For Authors
    • For Reviewers
    • For Librarians
    • For Advertisers
    • Conferences
  • Language Editing
Login Register Submit
  • This site uses cookies
  • You can change your cookie settings at any time by following the instructions in our Cookie Policy. To find out more, you may read our Privacy Policy.

    I agree
Search articles by DOI, keyword, author or affiliation
Search
Advanced Search
presentation
Medicine International
Join Editorial Board Propose a Special Issue
Print ISSN: 2754-3242 Online ISSN: 2754-1304
Journal Cover
September-October 2024 Volume 4 Issue 5

Full Size Image

Sign up for eToc alerts
Recommend to Library

Journals

International Journal of Molecular Medicine

International Journal of Molecular Medicine

International Journal of Molecular Medicine is an international journal devoted to molecular mechanisms of human disease.

International Journal of Oncology

International Journal of Oncology

International Journal of Oncology is an international journal devoted to oncology research and cancer treatment.

Molecular Medicine Reports

Molecular Medicine Reports

Covers molecular medicine topics such as pharmacology, pathology, genetics, neuroscience, infectious diseases, molecular cardiology, and molecular surgery.

Oncology Reports

Oncology Reports

Oncology Reports is an international journal devoted to fundamental and applied research in Oncology.

Experimental and Therapeutic Medicine

Experimental and Therapeutic Medicine

Experimental and Therapeutic Medicine is an international journal devoted to laboratory and clinical medicine.

Oncology Letters

Oncology Letters

Oncology Letters is an international journal devoted to Experimental and Clinical Oncology.

Biomedical Reports

Biomedical Reports

Explores a wide range of biological and medical fields, including pharmacology, genetics, microbiology, neuroscience, and molecular cardiology.

Molecular and Clinical Oncology

Molecular and Clinical Oncology

International journal addressing all aspects of oncology research, from tumorigenesis and oncogenes to chemotherapy and metastasis.

World Academy of Sciences Journal

World Academy of Sciences Journal

Multidisciplinary open-access journal spanning biochemistry, genetics, neuroscience, environmental health, and synthetic biology.

International Journal of Functional Nutrition

International Journal of Functional Nutrition

Open-access journal combining biochemistry, pharmacology, immunology, and genetics to advance health through functional nutrition.

International Journal of Epigenetics

International Journal of Epigenetics

Publishes open-access research on using epigenetics to advance understanding and treatment of human disease.

Medicine International

Medicine International

An International Open Access Journal Devoted to General Medicine.

Journal Cover
September-October 2024 Volume 4 Issue 5

Full Size Image

Sign up for eToc alerts
Recommend to Library

  • Article
  • Citations
    • Cite This Article
    • Download Citation
    • Create Citation Alert
    • Remove Citation Alert
    • Cited By
  • Similar Articles
    • Related Articles (in Spandidos Publications)
    • Similar Articles (Google Scholar)
    • Similar Articles (PubMed)
  • Download PDF
  • Download XML
  • View XML
Article Open Access

Prevalence of ACA variations: A systematic review and meta‑analysis

  • Authors:
    • George Fotakopoulos
    • Alexandros G. Brotis
    • Ourania Fotakopoulou
    • Charalampos Gatos
    • Konstantinos Mantzarlis
    • Vasiliki Epameinondas Georgakopoulou
    • Pagona Sklapani
    • Nikolaos Trakas
    • Kostas N. Fountas
  • View Affiliations / Copyright

    Affiliations: Department of Neurosurgery, General University Hospital of Larissa, 41221 Larissa, Greece, Department of Pediatrics, General Hospital of Zakynthos ‘Agios Dionysios’, 29100 Zakynthos, Greece, Department of Critical Care Medicine, University Hospital of Larissa, 41221 Larissa, Greece, Department of Pathophysiology, National and Kapodistrian University of Athens, 11527 Athens, Greece, Department of Biochemistry, Sismanogleio Hospital, 15126 Athens, Greece
    Copyright: © Fotakopoulos et al. This is an open access article distributed under the terms of Creative Commons Attribution License [CC BY 4.0].
  • Article Number: 54
    |
    Published online on: July 15, 2024
       https://doi.org/10.3892/mi.2024.178
  • Expand metrics +
Metrics: Total Views: 0 (Spandidos Publications: | PMC Statistics: )
Metrics: Total PDF Downloads: 0 (Spandidos Publications: | PMC Statistics: )
Cited By (CrossRef): 0 citations Loading Articles...

This article is mentioned in:



Abstract

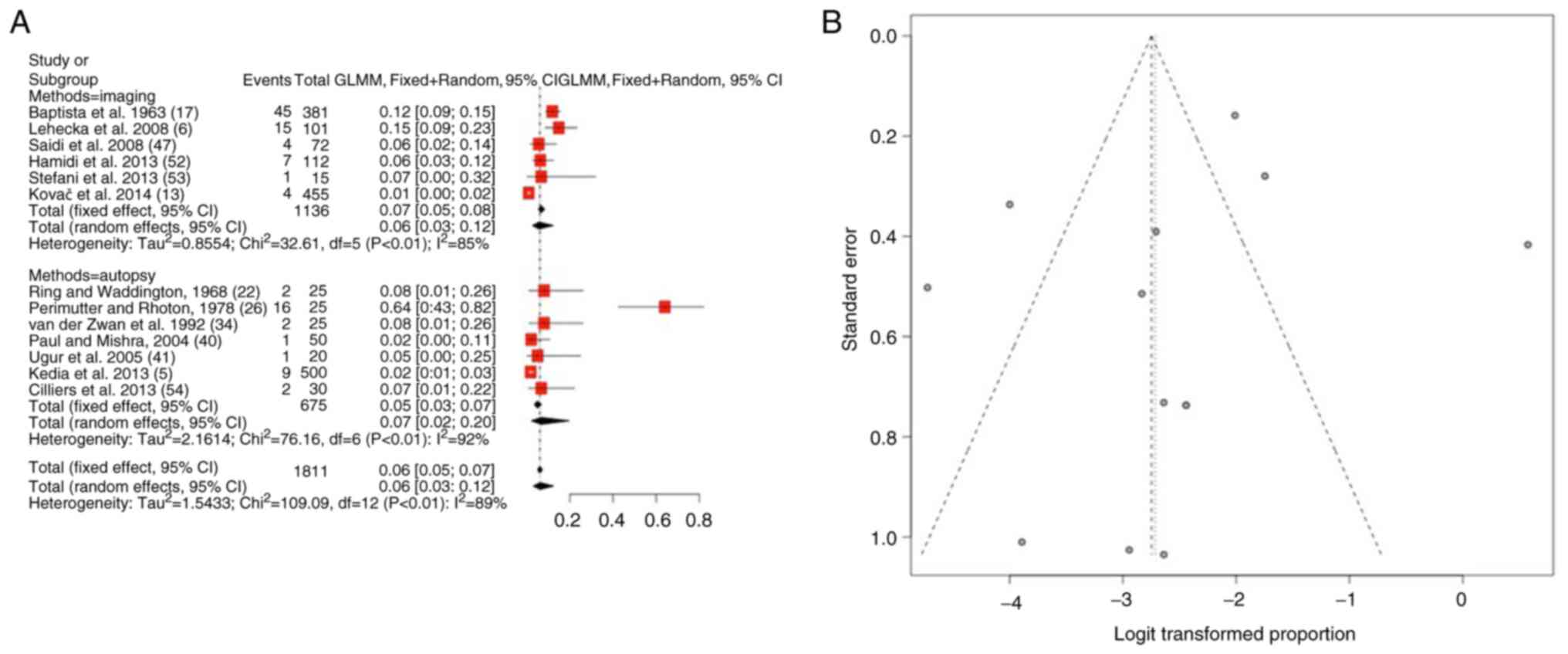
The anterior cerebral artery (ACA) and its divisions enclose symptomatically critical and supplementary differentiations. Anatomical variations of the distal ACA that are irregularly detected can be separated into three major groups, namely, azygos, bihemispheric and median ACA variations. The present study performed a systematic review and meta‑analysis. The PICOS criteria and electronic databases, namely the Cochrane Library, PubMed (until December, 2023), Embase (until December, 2023) and MEDLINE (until December, 2023) were used to identify 48 articles to fulfill the eligible criteria. As a limited number of studies exist on the prevalence of ACA anatomical variations, the present meta‑analysis aimed to determine the precise incidence of these variants. In addition, with the comparative description between cadaveric (autopsy) and imaging cases, more accurate results were extract from the prevalence presentation of the distal ACA variants. On the whole, no statistically significant differences were found between autopsy and imaging studies. 
View Figures

Figure 1

Figure 2

Figure 3

Figure 4

Figure 5

View References

1 

Jinkins JR: 2000 Atlas of Neuroradiologic Embryology, Anatomy, and Variants. Lippincott Williams and Wilkins, PA, 2000.

2 

Burbank NS and Morris PP: Unique anomalous origin of the left anterior cerebral artery. AJNR Am J Neuroradiol. 26:2533–2535. 2005.PubMed/NCBI

3 

Cavalcanti DD, Albuquerque FC, Silva BF, Spetzler RF and Preul MC: The anatomy of the callosomarginal artery: Applications to microsurgery and endovascular surgery. Neurosurgery. 66:602–610. 2010.PubMed/NCBI View Article : Google Scholar

4 

Hussain Z, Corkill RA, Kuker W and Byrne JV: Distal aneurysms of the unpaired ACA: Embryologic and therapeutic aspects. Neuroradiology. 47:209–214. 2005.PubMed/NCBI View Article : Google Scholar

5 

Kedia S, Daisy S, Mukherjee KK, Salunke P, Srinivasa R and Narain MS: Microsurgical anatomy of the anterior cerebral artery in Indian cadavers. Neurol India. 61:117–121. 2013.PubMed/NCBI View Article : Google Scholar

6 

Lehecka M, Dashti R, Hernesniemi J, Niemelä M, Koivisto T, Ronkainen A, Rinne J and Jääskeläinen J: Microneurosurgical management of aneurysms at the A2 segment of anterior cerebral artery (proximal pericallosal artery) and its frontobasal branches. Surg Neurol. 70:232–246. 2008.PubMed/NCBI View Article : Google Scholar

7 

Nowinski WL, Thirunavuukarasuu A, Volkau I, Marchenko Y, Aminah B, Puspitasari F and Runge VM: A three-dimensional interactive atlas of cerebral arterial variants. Neuroinformatics. 7:255–264. 2009.PubMed/NCBI View Article : Google Scholar

8 

Dimmick SJ and Faulder KC: Normal variants of the cerebral circulation at multidetector CT angiography. Radiographics. 29:1027–1043. 2009.PubMed/NCBI View Article : Google Scholar

9 

Parmar H, Sitoh YY and Hui F: Normal variants of the intracranial circulation demonstrated by MR angiography at 3T. Eur J Radiol. 56:220–228. 2005.PubMed/NCBI View Article : Google Scholar

10 

Kapoor K, Singh B and Dewan LI: Variations in the configuration of the circle of Willis. Anat Sci Int. 83:96–106. 2008.PubMed/NCBI View Article : Google Scholar

11 

Niederberger E, Gauvrit JY, Morandi X, Carsin-Nicol B, Gauthier T and Ferré JC: Anatomic variants of the anterior part of the cerebral arterial circle at multidetector computed tomography angiography. J Neuroradiol. 37:139–147. 2010.PubMed/NCBI View Article : Google Scholar

12 

Stefani MA, Schneider FL, Marrone AC, Severino AG, Jackowski AP and Wallace MC: Anatomic variations of anterior cerebral artery cortical branches. Clin Anat. 13:231–236. 2000.PubMed/NCBI View Article : Google Scholar

13 

Kovač JD, Stanković A, Stanković D, Kovač B and Šaranović D: Intracranial arterial variations: A comprehensive evaluation using CT angiography. Med Sci Monit. 20:420–427. 2014.PubMed/NCBI View Article : Google Scholar

14 

Wells GA, Shea B, O'Connell D, Peterson J, Welch V, Losos M and Tugwell P: The Newcastle-Ottawa scale (NOS) for assessing the quality of nonrandomised studies in meta-analyses. 2014. Available from: http://www.ohri.ca/programs/clinical_epidemiology/oxford.asp.

15 

Windle BC: The arteries forming the circle of Willis. J Anat Physiol. 22 (Pt 2):289–293. 1888.PubMed/NCBI

16 

Fawcett E and Blachford JV: The circle of Willis: An examination of 700 specimens. J Anat Physiol. 40 (Pt 1):63.2–70. 1905.PubMed/NCBI

17 

Baptista AG: Studies on the arteries of the brain. ii. The anterior cerebral artery: Some anatomic features and their clinical implications. Neurology. 13:825–835. 1963.PubMed/NCBI View Article : Google Scholar

18 

Jain KK: Some observations on the anatomy of the middle cerebral artery. Can J Surg. 7:134–139. 1964.PubMed/NCBI

19 

Fisher CM: The Circle of Willis: Anatomical Variations. Annals of Vasc Dis. 2:99–105. 1965.

20 

LeMay M and Gooding CA: The clinical significance of the azygos anterior cerebral artery (A.C.A.). Am J Roentgenol Radium Ther Nucl Med. 98:602–610. 1966.PubMed/NCBI View Article : Google Scholar

21 

Wollschlaeger G, Wollschlaeger PB, Lucas FV and Lopez VF: Experience and result with postmortem cerebral angiography performed as routine procedure of the autopsy. Am J Roentgenol Radium Ther Nucl Med. 101:68–87. 1967.PubMed/NCBI View Article : Google Scholar

22 

Ring BA and Waddington MM: Roentgenographic anatomy of the pericallosal arteries. Am J Roentgenol Radium Ther Nucl Med. 104:109–118. 1968.PubMed/NCBI View Article : Google Scholar

23 

Dunker RO and Harris AB: Surgical anatomy of the proximal anterior cerebral artery. J Neurosurg. 44:359–367. 1976.PubMed/NCBI View Article : Google Scholar

24 

Tulleken CA: A study of the anatomy of the anterior communicating artery with the aid of the operating microscope. Clin Neurol Neurosurg. 80:169–173. 1978.PubMed/NCBI View Article : Google Scholar

25 

Ozaki T, Handa H, Tomimoto K and Hazama F: Anatomical variations of the arterial system of the base of the brain. Nihon Geka Hokan. 46:3–17. 1977.PubMed/NCBI

26 

Perlmutter D and Rhoton AL Jr: Microsurgical anatomy of the distal anterior cerebral artery. J Neurosurg. 49:204–228. 1978.PubMed/NCBI View Article : Google Scholar

27 

Huber P, Braun J, Hirschmann D and Agyeman JF: Incidence of berry aneurysms of the unpaired pericallosal artery: Angiographic study. Neuroradiology. 19:143–147. 1980.PubMed/NCBI View Article : Google Scholar

28 

Kwak R, Niizuma H, Hatanaka M and Suzuki J: Anterior communicating artery aneurysms with associated anomalies. J Neurosurg. 52:162–164. 1980.PubMed/NCBI View Article : Google Scholar

29 

Kayembe KN, Sasahara M and Hazama F: Cerebral aneurysms and variations in the circle of Willis. Stroke. 15:846–850. 1984.PubMed/NCBI View Article : Google Scholar

30 

Gomes FB, Dujovny M, Umansky F, Berman SK, Diaz FG, Ausman JI, Mirchandani HG and Ray WJ: Microanatomy of the anterior cerebral artery. Surg Neurol. 26:129–141. 1986.PubMed/NCBI View Article : Google Scholar

31 

Marinković S, Milisavljević M and Marinković Z: Branches of the anterior communicating artery. Microsurgical anatomy. Acta Neurochir (Wien). 106:78–85. 1990.PubMed/NCBI View Article : Google Scholar

32 

Ogawa A, Suzuki M, Sakurai Y and Yoshimoto T: Vascular anomalies associated with aneurysms of the anterior communicating artery: Microsurgical observations. J Neurosurg. 72:706–709. 1990.PubMed/NCBI View Article : Google Scholar

33 

Nathal E, Yasui N, Sampei T and Suzuki A: Intraoperative anatomical studies in patients with aneurysms of the anterior communicating artery complex. J Neurosurg. 76:629–634. 1992.PubMed/NCBI View Article : Google Scholar

34 

Van der Zwan A, Hillen B, Tulleken CA, Dujovny M and Dragovic L: Variability of the territories of the major cerebral arteries. J Neurosurg. 77:927–940. 1992.PubMed/NCBI View Article : Google Scholar

35 

Sanders WP, Sorek PA and Mehta BA: Fenestration of intracranial arteries with special attention to associated aneurysms and other anomalies. AJNR Am J Neuroradiol. 14:675–680. 1993.PubMed/NCBI

36 

Macchi C, Catini C, Federico C, Gulisano M, Pacini P, Cecchi F, Corcos L and Brizzi E: Magnetic resonance angiographic evaluation of circulus arteriosus cerebri (circle of Willis): A morphologic study in 100 human healthy subjects. Ital J Anat Embryol. 101:115–123. 1996.PubMed/NCBI

37 

Serizawa T, Saeki N and Yamaura A: Microsurgical anatomy and clinical significance of the anterior communicating artery and its perforating branches. Neurosurgery. 40:1211–1216. 1997.PubMed/NCBI View Article : Google Scholar

38 

Avci E, Fossett D, Erdogan A, Egemen N, Attar A and Aslan M: Perforating branches of the anomalous anterior communicating complex. Clin Neurol Neurosurg. 103:19–22. 2001.PubMed/NCBI View Article : Google Scholar

39 

Kulenović A, Dilberović F and Ovcina F: Variation in the flow and branching of the anterior and middle cerebral arteries. Med Arh. 57:3–5. 2003.PubMed/NCBI

40 

Paul S and Mishra S: Variations of the anterior cerebral artery in human cadavers: A dissection study. J Anat Soc India. 53:15–16. 2004.

41 

Ugur HC, Kahilogullari G, Coscarella E, Unlu A, Tekdemir I, Morcos JJ, Elhan A and Baskaya MK: Arterial vascularization of primary motor cortex (precentral gyrus). Surg Neurol. 64 (Suppl 2):S48–S52. 2005.PubMed/NCBI View Article : Google Scholar

42 

Tao X, Yu XJ, Bhattarai B, Li TH, Jin H, Wei GW, Ming JS, Ren W and Jiong C: Microsurgical anatomy of the anterior communicating artery complex in adult Chinese heads. Surg Neurol. 65:155–161. 2006.PubMed/NCBI View Article : Google Scholar

43 

Uchino A, Nomiyama K, Takase Y and Kudo S: Anterior cerebral artery variations detected by MR angiography. Neuroradiology. 48:647–652. 2006.PubMed/NCBI View Article : Google Scholar

44 

Ugur HC, Kahilogullari G, Esmer AF, Comert A, Odabasi AB, Tekdemir I, Elhan A and Kanpolat Y: A neurosurgical view of anatomical variations of the distal anterior cerebral artery: An anatomical study. J Neurosurg. 104:278–284. 2006.PubMed/NCBI View Article : Google Scholar

45 

Bharatha A, Aviv RI, White J, Fox AJ and Symons SP: Intracranial arterial fenestrations: Frequency on CT angiography and association with other vascular lesions. Surg Radiol Anat. 30:397–401. 2008.PubMed/NCBI View Article : Google Scholar

46 

Kahilogullari G, Comert A, Arslan M, Esmer AF, Tuccar E, Elhan A, Tubbs RS and Ugur HC: Callosal branches of the anterior cerebral artery: An anatomical report. Clin Anat. 21:383–388. 2008.PubMed/NCBI View Article : Google Scholar

47 

Saidi H, Kitunguu PK and Ogeng'O JA: Variant anatomy of the anterior cerebral artery in adult brains. Afr J Neurol Scie. 27:97–105. 2008.

48 

Zurada A, Gielecki J, Tubbs RS, Loukas M, Cohen-Gadol AA, Chlebiej M, Maksymowicz W, Nowak D, Zawiliński J and Michalak M: Three-dimensional morphometry of the A2 segment of the anterior cerebral artery with neurosurgical relevance. Clin Anat. 23:759–769. 2010.PubMed/NCBI View Article : Google Scholar

49 

Nordon DG and Rodrigues OF: Variations in the brain circulation-the circle of Willis. J Morphol Sci. 29:243–247. 2012.

50 

Swetha B: Anatomic features of distal anterior cerebral artery supply on corpus callosum: A detailed study on 140 cerebral hemispheres. J Neurol Sci (Turkish). 29:46–56. 2012.

51 

Gunnal S: Variations of anterior cerebral artery in human cadavers. Neurology Asia. 18:249–259. 2013.

52 

Hamidi C, Bükte Y, Hattapoğlu S, Ekici F, Tekbaş G, Önder H, Gümüş H and Bilici A: Display with 64-detector MDCT angiography of cerebral vascular variations. Surg Radiol Anat. 35:729–736. 2013.PubMed/NCBI View Article : Google Scholar

53 

Stefani MA, Schneider FL, Marrone ACH and Severino AG: Influence of the gender on cerebral vascular diameters observed during the magnetic resonance angiographic examination of willis circle. Braz Arch Biol Technol. 56:45–52. 2013.

54 

Cilliers K, Vorster W and Page BJ: The anatomical variation of the circulus arteriosus cerebri in a cadaver cohort representing the population dynamics of the Western Cape. Br J Neurosurg. 32:61–67. 2018.PubMed/NCBI View Article : Google Scholar

55 

Wan-Yin S, Ming-Hua L, Bin-Xian G, Yong-Dong L and Hua-Qiao T: Azygous anterior cerebral artery and associated aneurysms: Detection and identification using 3-dimensional time-of-flight magnetic resonance angiography. J Neuroimaging. 24:18–22. 2014.PubMed/NCBI View Article : Google Scholar

56 

López-Sala P, Alberdi N, Mendigaña M, Bacaicoa MC and Cabada T: Anatomical variants of anterior communicating artery complex. A study by computerized tomographic angiography. J Clin Neurosci. 80:182–187. 2020.PubMed/NCBI View Article : Google Scholar

57 

Nutik S and Dilenge D: Carotid-anterior cerebral artery anastomosis. Case report. J Neurosurg. 44:378–382. 1976.PubMed/NCBI View Article : Google Scholar

58 

Huh JS, Park SK, Shin JJ and Kim TH: Saccular aneurysm of the azygos anterior cerebral artery: Three case reports. J Korean Neurosurg Soc. 42:342–345. 2007.PubMed/NCBI View Article : Google Scholar

59 

Tahir RA, Haider S, Kole M, Griffith B and Marin H: Anterior cerebral artery: Variant anatomy and pathology. J Vasc Interv Neurol. 10:16–22. 2019.PubMed/NCBI

60 

Lasjaunias P, Brugge KG and Berenstein A: Surgical neuroangiography. Vol 3. Springer, Berlin, 2006.

61 

Pekcevik Y, Hasbay E and Oncel D: Colloid cyst of the third ventricle associated with anterior cerebral artery trifurcation and agenesis of the corpus callosum: Findings on MRI and CT angiography. Pediatr Radiol. 42:1130–1133. 2012.PubMed/NCBI View Article : Google Scholar

Related Articles

  • Abstract
  • View
  • Download
Copy and paste a formatted citation
Spandidos Publications style
Fotakopoulos G, Brotis AG, Fotakopoulou O, Gatos C, Mantzarlis K, Georgakopoulou VE, Sklapani P, Trakas N and Fountas KN: Prevalence of ACA variations: A systematic review and meta‑analysis. Med Int 4: 54, 2024.
APA
Fotakopoulos, G., Brotis, A.G., Fotakopoulou, O., Gatos, C., Mantzarlis, K., Georgakopoulou, V.E. ... Fountas, K.N. (2024). Prevalence of ACA variations: A systematic review and meta‑analysis. Medicine International, 4, 54. https://doi.org/10.3892/mi.2024.178
MLA
Fotakopoulos, G., Brotis, A. G., Fotakopoulou, O., Gatos, C., Mantzarlis, K., Georgakopoulou, V. E., Sklapani, P., Trakas, N., Fountas, K. N."Prevalence of ACA variations: A systematic review and meta‑analysis". Medicine International 4.5 (2024): 54.
Chicago
Fotakopoulos, G., Brotis, A. G., Fotakopoulou, O., Gatos, C., Mantzarlis, K., Georgakopoulou, V. E., Sklapani, P., Trakas, N., Fountas, K. N."Prevalence of ACA variations: A systematic review and meta‑analysis". Medicine International 4, no. 5 (2024): 54. https://doi.org/10.3892/mi.2024.178
Copy and paste a formatted citation
x
Spandidos Publications style
Fotakopoulos G, Brotis AG, Fotakopoulou O, Gatos C, Mantzarlis K, Georgakopoulou VE, Sklapani P, Trakas N and Fountas KN: Prevalence of ACA variations: A systematic review and meta‑analysis. Med Int 4: 54, 2024.
APA
Fotakopoulos, G., Brotis, A.G., Fotakopoulou, O., Gatos, C., Mantzarlis, K., Georgakopoulou, V.E. ... Fountas, K.N. (2024). Prevalence of ACA variations: A systematic review and meta‑analysis. Medicine International, 4, 54. https://doi.org/10.3892/mi.2024.178
MLA
Fotakopoulos, G., Brotis, A. G., Fotakopoulou, O., Gatos, C., Mantzarlis, K., Georgakopoulou, V. E., Sklapani, P., Trakas, N., Fountas, K. N."Prevalence of ACA variations: A systematic review and meta‑analysis". Medicine International 4.5 (2024): 54.
Chicago
Fotakopoulos, G., Brotis, A. G., Fotakopoulou, O., Gatos, C., Mantzarlis, K., Georgakopoulou, V. E., Sklapani, P., Trakas, N., Fountas, K. N."Prevalence of ACA variations: A systematic review and meta‑analysis". Medicine International 4, no. 5 (2024): 54. https://doi.org/10.3892/mi.2024.178
Follow us
  • Twitter
  • LinkedIn
  • Facebook
About
  • Spandidos Publications
  • Careers
  • Cookie Policy
  • Privacy Policy
How can we help?
  • Help
  • Live Chat
  • Contact
  • Email to our Support Team