Spandidos Publications Logo
  • About
    • About Spandidos
    • Aims and Scopes
    • Abstracting and Indexing
    • Editorial Policies
    • Reprints and Permissions
    • Job Opportunities
    • Terms and Conditions
    • Contact
  • Journals
    • All Journals
    • Oncology Letters
      • Oncology Letters
      • Information for Authors
      • Editorial Policies
      • Editorial Board
      • Aims and Scope
      • Abstracting and Indexing
      • Bibliographic Information
      • Archive
    • International Journal of Oncology
      • International Journal of Oncology
      • Information for Authors
      • Editorial Policies
      • Editorial Board
      • Aims and Scope
      • Abstracting and Indexing
      • Bibliographic Information
      • Archive
    • Molecular and Clinical Oncology
      • Molecular and Clinical Oncology
      • Information for Authors
      • Editorial Policies
      • Editorial Board
      • Aims and Scope
      • Abstracting and Indexing
      • Bibliographic Information
      • Archive
    • Experimental and Therapeutic Medicine
      • Experimental and Therapeutic Medicine
      • Information for Authors
      • Editorial Policies
      • Editorial Board
      • Aims and Scope
      • Abstracting and Indexing
      • Bibliographic Information
      • Archive
    • International Journal of Molecular Medicine
      • International Journal of Molecular Medicine
      • Information for Authors
      • Editorial Policies
      • Editorial Board
      • Aims and Scope
      • Abstracting and Indexing
      • Bibliographic Information
      • Archive
    • Biomedical Reports
      • Biomedical Reports
      • Information for Authors
      • Editorial Policies
      • Editorial Board
      • Aims and Scope
      • Abstracting and Indexing
      • Bibliographic Information
      • Archive
    • Oncology Reports
      • Oncology Reports
      • Information for Authors
      • Editorial Policies
      • Editorial Board
      • Aims and Scope
      • Abstracting and Indexing
      • Bibliographic Information
      • Archive
    • Molecular Medicine Reports
      • Molecular Medicine Reports
      • Information for Authors
      • Editorial Policies
      • Editorial Board
      • Aims and Scope
      • Abstracting and Indexing
      • Bibliographic Information
      • Archive
    • World Academy of Sciences Journal
      • World Academy of Sciences Journal
      • Information for Authors
      • Editorial Policies
      • Editorial Board
      • Aims and Scope
      • Abstracting and Indexing
      • Bibliographic Information
      • Archive
    • International Journal of Functional Nutrition
      • International Journal of Functional Nutrition
      • Information for Authors
      • Editorial Policies
      • Editorial Board
      • Aims and Scope
      • Abstracting and Indexing
      • Bibliographic Information
      • Archive
    • International Journal of Epigenetics
      • International Journal of Epigenetics
      • Information for Authors
      • Editorial Policies
      • Editorial Board
      • Aims and Scope
      • Abstracting and Indexing
      • Bibliographic Information
      • Archive
    • Medicine International
      • Medicine International
      • Information for Authors
      • Editorial Policies
      • Editorial Board
      • Aims and Scope
      • Abstracting and Indexing
      • Bibliographic Information
      • Archive
  • Articles
  • Information
    • Information for Authors
    • Information for Reviewers
    • Information for Librarians
    • Information for Advertisers
    • Conferences
  • Language Editing
Spandidos Publications Logo
  • About
    • About Spandidos
    • Aims and Scopes
    • Abstracting and Indexing
    • Editorial Policies
    • Reprints and Permissions
    • Job Opportunities
    • Terms and Conditions
    • Contact
  • Journals
    • All Journals
    • Biomedical Reports
      • Information for Authors
      • Editorial Policies
      • Editorial Board
      • Aims and Scope
      • Abstracting and Indexing
      • Bibliographic Information
      • Archive
    • Experimental and Therapeutic Medicine
      • Information for Authors
      • Editorial Policies
      • Editorial Board
      • Aims and Scope
      • Abstracting and Indexing
      • Bibliographic Information
      • Archive
    • International Journal of Epigenetics
      • Information for Authors
      • Editorial Policies
      • Editorial Board
      • Aims and Scope
      • Abstracting and Indexing
      • Bibliographic Information
      • Archive
    • International Journal of Functional Nutrition
      • Information for Authors
      • Editorial Policies
      • Editorial Board
      • Aims and Scope
      • Abstracting and Indexing
      • Bibliographic Information
      • Archive
    • International Journal of Molecular Medicine
      • Information for Authors
      • Editorial Policies
      • Editorial Board
      • Aims and Scope
      • Abstracting and Indexing
      • Bibliographic Information
      • Archive
    • International Journal of Oncology
      • Information for Authors
      • Editorial Policies
      • Editorial Board
      • Aims and Scope
      • Abstracting and Indexing
      • Bibliographic Information
      • Archive
    • Medicine International
      • Information for Authors
      • Editorial Policies
      • Editorial Board
      • Aims and Scope
      • Abstracting and Indexing
      • Bibliographic Information
      • Archive
    • Molecular and Clinical Oncology
      • Information for Authors
      • Editorial Policies
      • Editorial Board
      • Aims and Scope
      • Abstracting and Indexing
      • Bibliographic Information
      • Archive
    • Molecular Medicine Reports
      • Information for Authors
      • Editorial Policies
      • Editorial Board
      • Aims and Scope
      • Abstracting and Indexing
      • Bibliographic Information
      • Archive
    • Oncology Letters
      • Information for Authors
      • Editorial Policies
      • Editorial Board
      • Aims and Scope
      • Abstracting and Indexing
      • Bibliographic Information
      • Archive
    • Oncology Reports
      • Information for Authors
      • Editorial Policies
      • Editorial Board
      • Aims and Scope
      • Abstracting and Indexing
      • Bibliographic Information
      • Archive
    • World Academy of Sciences Journal
      • Information for Authors
      • Editorial Policies
      • Editorial Board
      • Aims and Scope
      • Abstracting and Indexing
      • Bibliographic Information
      • Archive
  • Articles
  • Information
    • For Authors
    • For Reviewers
    • For Librarians
    • For Advertisers
    • Conferences
  • Language Editing
Login Register Submit
  • This site uses cookies
  • You can change your cookie settings at any time by following the instructions in our Cookie Policy. To find out more, you may read our Privacy Policy.

    I agree
Search articles by DOI, keyword, author or affiliation
Search
Advanced Search
presentation
Medicine International
Join Editorial Board Propose a Special Issue
Print ISSN: 2754-3242 Online ISSN: 2754-1304
Journal Cover
March-April 2025 Volume 5 Issue 2

Full Size Image

Sign up for eToc alerts
Recommend to Library

Journals

International Journal of Molecular Medicine

International Journal of Molecular Medicine

International Journal of Molecular Medicine is an international journal devoted to molecular mechanisms of human disease.

International Journal of Oncology

International Journal of Oncology

International Journal of Oncology is an international journal devoted to oncology research and cancer treatment.

Molecular Medicine Reports

Molecular Medicine Reports

Covers molecular medicine topics such as pharmacology, pathology, genetics, neuroscience, infectious diseases, molecular cardiology, and molecular surgery.

Oncology Reports

Oncology Reports

Oncology Reports is an international journal devoted to fundamental and applied research in Oncology.

Experimental and Therapeutic Medicine

Experimental and Therapeutic Medicine

Experimental and Therapeutic Medicine is an international journal devoted to laboratory and clinical medicine.

Oncology Letters

Oncology Letters

Oncology Letters is an international journal devoted to Experimental and Clinical Oncology.

Biomedical Reports

Biomedical Reports

Explores a wide range of biological and medical fields, including pharmacology, genetics, microbiology, neuroscience, and molecular cardiology.

Molecular and Clinical Oncology

Molecular and Clinical Oncology

International journal addressing all aspects of oncology research, from tumorigenesis and oncogenes to chemotherapy and metastasis.

World Academy of Sciences Journal

World Academy of Sciences Journal

Multidisciplinary open-access journal spanning biochemistry, genetics, neuroscience, environmental health, and synthetic biology.

International Journal of Functional Nutrition

International Journal of Functional Nutrition

Open-access journal combining biochemistry, pharmacology, immunology, and genetics to advance health through functional nutrition.

International Journal of Epigenetics

International Journal of Epigenetics

Publishes open-access research on using epigenetics to advance understanding and treatment of human disease.

Medicine International

Medicine International

An International Open Access Journal Devoted to General Medicine.

Journal Cover
March-April 2025 Volume 5 Issue 2

Full Size Image

Sign up for eToc alerts
Recommend to Library

  • Article
  • Citations
    • Cite This Article
    • Download Citation
    • Create Citation Alert
    • Remove Citation Alert
    • Cited By
  • Similar Articles
    • Related Articles (in Spandidos Publications)
    • Similar Articles (Google Scholar)
    • Similar Articles (PubMed)
  • Download PDF
  • Download XML
  • View XML

  • Supplementary Files
    • Supplementary_Data1.pdf
    • Supplementary_Data2.pdf
Article Open Access

Recent 5‑year trends in biliary tract cancer survival rates: An analytical big data survey

  • Authors:
    • Ji Yoon Lee
    • Ju Won Kim
  • View Affiliations / Copyright

    Affiliations: Department of Biostatistics, Korea University College of Medicine, Seoul 02841, Republic of Korea, Division of Oncology/Hematology, Department of Internal Medicine, Korea University Anam Hospital, Korea University College of Medicine, Seoul 02841, Republic of Korea
    Copyright: © Lee et al. This is an open access article distributed under the terms of Creative Commons Attribution License [CC BY 4.0].
  • Article Number: 15
    |
    Published online on: January 10, 2025
       https://doi.org/10.3892/mi.2025.214
  • Expand metrics +
Metrics: Total Views: 0 (Spandidos Publications: | PMC Statistics: )
Metrics: Total PDF Downloads: 0 (Spandidos Publications: | PMC Statistics: )
Cited By (CrossRef): 0 citations Loading Articles...

This article is mentioned in:



Abstract

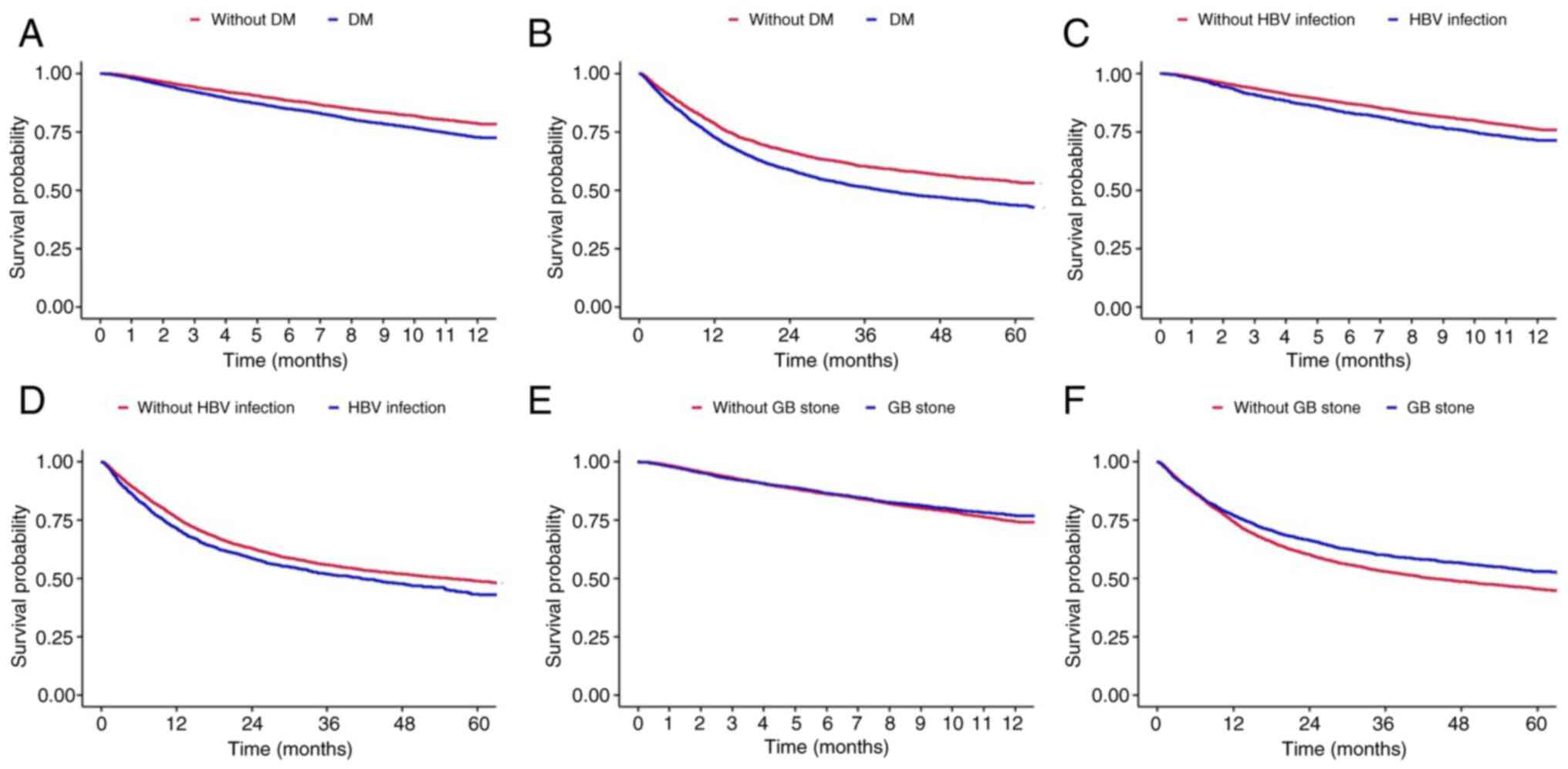
Biliary tract cancer (BTC), also known as cholangiocarcinoma, is a relatively rare type of cancer with a poor prognosis. Despite the combination of chemotherapy and advances in targeted therapy, which have potentially improved the prognosis of patients with BTC, research on outcomes remains inadequate. The present study thus analyzed the survival trends of patients with BTC. The present study used anonymized data from a public national database and focused on 13,600 individuals diagnosed with BTC between 2015 and 2020. The overall and 1‑year mortality rates were analyzed according to cancer anatomic sites, along with the impact of comorbidities, such as diabetes and hepatitis on these rates. A total of 13,600 patients were included in the analysis; 26.31% of the patients had intrahepatic BTC, 27.46% had extrahepatic BTC and 46.24% had gallbladder (GB) cancer. For all BTC types, the 1‑year survival hazard ratio (HR) in 2018 was 0.992 compared with that in 2015, and 0.986 in 2019. Compared with intrahepatic BTC, the 1‑year survival rate was 0.349 for GB cancer and 0.641 for extrahepatic BTC. Patients with diabetes had an HR of 1.318 compared with those without diabetes. For patients with BTC previously diagnosed with GB stones, the survival HR was 0.902, compared to those without GB stones. On the whole, the analysis of national healthcare big data indicated an improvement in the overall prognosis of patients with BTC from 2018. Moreover, these data highlight that the prognosis of patients with BTC is influenced by the anatomical location of the cancer, and that co‑existing medical conditions in patients affect the survival rate.
View Figures

Figure 1

Figure 2

Figure 3

Figure 4

View References

1 

Valle JW, Kelley RK, Nervi B, Oh DY and Zhu AX: Biliary tract cancer. Lancet. 397:428–444. 2021.PubMed/NCBI View Article : Google Scholar

2 

Kang MJ, Jung KW, Bang SH, Choi SH, Park EH, Yun EH, Kim HJ, Kong HJ, Im JS and Seo HG: Community of population-based regional cancer registries*. Cancer statistics in Korea: Incidence, mortality, survival, and prevalence in 2020. Cancer Res Treat. 55:385–399. 2023.PubMed/NCBI View Article : Google Scholar

3 

Lee J, Park SH, Chang HM, Kim JS, Choi HJ, Lee MA, Jang JS, Jeung HC, Kang JH, Lee HW, et al: Gemcitabine and oxaliplatin with or without erlotinib in advanced biliary-tract cancer: A multicentre, open-label, randomised, phase 3 study. Lancet Oncol. 13:181–188. 2012.PubMed/NCBI View Article : Google Scholar

4 

Jung KW, Won YJ, Kong HJ, Oh CM, Seo HG and Lee JS: Cancer statistics in Korea: Incidence, mortality, survival and prevalence in 2010. Cancer Res Treat. 45:1–14. 2013.PubMed/NCBI View Article : Google Scholar

5 

Banales JM, Marin JJG, Lamarca A, Rodrigues PM, Khan SA, Roberts LR, Cardinale V, Carpino G, Andersen JB, Braconi C, et al: Cholangiocarcinoma 2020: The next horizon in mechanisms and management. Nat Rev Gastroenterol Hepatol. 17:557–588. 2020.PubMed/NCBI View Article : Google Scholar

6 

Shi Y, Wang Y, Zhang W, Niu K, Mao X, Feng K and Zhang Y: N6-methyladenosine with immune infiltration and PD-L1 in hepatocellular carcinoma: novel perspective to personalized diagnosis and treatment. Front Endocrinol (Lausanne). 14(1153802)2023.PubMed/NCBI View Article : Google Scholar

7 

Deng M, Li SH, Fu X, Yan XP, Chen J, Qiu YD and Guo RP: Relationship between PD-L1 expression, CD8+ T-cell infiltration and prognosis in intrahepatic cholangiocarcinoma patients. Cancer Cell Int. 21(371)2021.PubMed/NCBI View Article : Google Scholar

8 

Xie Q, Wang L and Zheng S: Prognostic and clinicopathological significance of PD-L1 in patients with cholangiocarcinoma: A meta-analysis. Dis Markers. 2020(1817931)2020.PubMed/NCBI View Article : Google Scholar

9 

Lee J and Kim DU: Recent Update of Targeted Therapy in Cholangiocarcinoma. Korean J Pancreas Biliary Tract. 28:59–66. 2023.(In Korean).

10 

Dey S, Chatterjee S, Ghosh S and Sikdar N: The geographical, ethnic variations and risk factors of gallbladder carcinoma: A worldwide view. J Investig Genomics. 3:49–54. 2016.

11 

Valle J, Wasan H, Palmer DH, Cunningham D, Anthoney A, Maraveyas A, Madhusudan S, Iveson T, Hughes S, Pereira SP, et al: Cisplatin plus gemcitabine versus gemcitabine for biliary tract cancer. N Engl J Med. 362:1273–1281. 2010.PubMed/NCBI View Article : Google Scholar

12 

Guion-Dusserre JF, Lorgis V, Vincent J, Bengrine L and Ghiringhelli F: FOLFIRI plus bevacizumab as a second-line therapy for metastatic intrahepatic cholangiocarcinoma. World J Gastroenterol. 21(2096)2015.PubMed/NCBI View Article : Google Scholar

13 

Oh DY, Ruth He A, Qin S, Chen LT, Okusaka T, Vogel A, Kim JW, Suksombooncharoen T, Ah Lee M, Kitano M, et al: Durvalumab plus gemcitabine and cisplatin in advanced biliary tract cancer. NEJM Evid. 1(EVIDoa2200015)2022.PubMed/NCBI View Article : Google Scholar

14 

Kelley RK, Ueno M, Yoo C, Finn RS, Furuse J, Ren Z, Yau T, Klümpen HJ, Chan SL, Ozaka M, et al: Pembrolizumab in combination with gemcitabine and cisplatin compared with gemcitabine and cisplatin alone for patients with advanced biliary tract cancer (KEYNOTE-966): A randomised, double-blind, placebo-controlled, phase 3 trial. Lancet. 401:1853–1865. 2023.PubMed/NCBI View Article : Google Scholar

15 

Sanz-Altamira PM, Ferrante K, Jenkins RL, Lewis WD, Huberman MS and Stuart KE: A phase II trial of 5-fluorouracil, leucovorin, and carboplatin in patients with unresectable biliary tree carcinoma. Cancer. 82:2321–2325. 1998.PubMed/NCBI

16 

Lamarca A, Palmer DH, Wasan HS, Ross PJ, Ma YT, Arora A, Falk S, Gillmore R, Wadsley J, Patel K, et al: Second-line FOLFOX chemotherapy versus active symptom control for advanced biliary tract cancer (ABC-06): A phase 3, open-label, randomised, controlled trial. Lancet Oncol. 22:690–701. 2021.PubMed/NCBI View Article : Google Scholar

17 

O'Rourke CJ, Munoz-Garrido P and Andersen JB: Molecular targets in cholangiocarcinoma. Hepatology. 73 (Suppl 1):S62–S74. 2021.PubMed/NCBI View Article : Google Scholar

18 

Goyal L, Saha SK, Liu LY, Siravegna G, Leshchiner I, Ahronian LG, Lennerz JK, Vu P, Deshpande V, Kambadakone A, et al: Polyclonal secondary FGFR2 mutations drive acquired resistance to FGFR inhibition in patients with FGFR2 fusion-positive cholangiocarcinoma. Cancer Discov. 7:252–263. 2017.PubMed/NCBI View Article : Google Scholar

19 

Javle M, Churi C, Kang HC, Shroff R, Janku F, Surapaneni R, Zuo M, Barrera C, Alshamsi H, Krishnan S, et al: HER2/neu-directed therapy for biliary tract cancer. J Hematol Oncol. 8(58)2015.PubMed/NCBI View Article : Google Scholar

20 

Riener MO, Bawohl M, Clavien PA and Jochum W: Rare PIK3CA hotspot mutations in carcinomas of the biliary tract. Genes Chromosomes Cancer. 47:363–367. 2008.PubMed/NCBI View Article : Google Scholar

21 

Moeini A, Sia D, Bardeesy N, Mazzaferro V and Llovet JM: Molecular pathogenesis and targeted therapies for intrahepatic cholangiocarcinoma. Clin Cancer Res. 22:291–300. 2016.PubMed/NCBI View Article : Google Scholar

22 

Abou-Alfa GK, Sahai V, Hollebecque A, Vaccaro G, Melisi D, Al-Rajabi R, Paulson AS, Borad MJ, Gallinson D, Murphy AG, et al: Pemigatinib for previously treated, locally advanced or metastatic cholangiocarcinoma: A multicentre, open-label, phase 2 study. Lancet Oncol. 21:671–684. 2020.PubMed/NCBI View Article : Google Scholar

23 

Makawita S, K Abou-Alfa G, Roychowdhury S, Sadeghi S, Borbath I, Goyal L, Cohn A, Lamarca A, Oh DY, Macarulla T, et al: Infigratinib in patients with advanced cholangiocarcinoma with FGFR2 gene fusions/translocations: the PROOF 301 trial. Future Oncol. 16:2375–2384. 2020.PubMed/NCBI View Article : Google Scholar

24 

Rizzo A, Ricci AD and Brandi G: Futibatinib, an investigational agent for the treatment of intrahepatic cholangiocarcinoma: Evidence to date and future perspectives. Expert Opin Investig Drugs. 30:317–324. 2021.PubMed/NCBI View Article : Google Scholar

25 

Abou-Alfa GK, Macarulla T, Javle MM, Kelley RK, Lubner SJ, Adeva J, Cleary JM, Catenacci DV, Borad MJ, Bridgewater J, et al: Ivosidenib in IDH1-mutant, chemotherapy-refractory cholangiocarcinoma (ClarIDHy): A multicentre, randomised, double-blind, placebo-controlled, phase 3 study. Lancet Oncol. 21:796–807. 2020.PubMed/NCBI View Article : Google Scholar

26 

Cho SM, Esmail A, Raza A, Dacha S and Abdelrahim M: Timeline of FDA-approved targeted therapy for cholangiocarcinoma. Cancers (Basel). 14(2641)2022.PubMed/NCBI View Article : Google Scholar

27 

Roa I, de Toro G, Schalper K, de Aretxabala X, Churi C and Javle M: Overexpression of the HER2/neu gene: A new therapeutic possibility for patients with advanced gallbladder cancer. Gastrointest Cancer Res. 7:42–48. 2014.PubMed/NCBI

28 

Yarlagadda B, Kamatham V, Ritter A, Shahjehan F and Kasi PM: Trastuzumab and pertuzumab in circulating tumor DNA ERBB2-amplified HER2-positive refractory cholangiocarcinoma. NPJ Precis Oncol. 3(19)2019.PubMed/NCBI View Article : Google Scholar

29 

Lee CK, Chon HJ, Cheon J, Lee MA, Im HS, Jang JS, Kim MH, Park S, Kang B, Hong M, et al: Trastuzumab plus FOLFOX for HER2-positive biliary tract cancer refractory to gemcitabine and cisplatin: A multi-institutional phase 2 trial of the Korean cancer study group (KCSG-HB19-14). Lancet Gastroenterol Hepatol. 8:56–65. 2023.PubMed/NCBI View Article : Google Scholar

30 

Harding JJ, Fan J, Oh DY, Choi HJ, Kim JW, Chang HM, Bao L, Sun HC, Macarulla T, Xie F, et al: Zanidatamab for HER2-amplified, unresectable, locally advanced or metastatic biliary tract cancer (HERIZON-BTC-01): A multicentre, single-arm, phase 2b study. Lancet Oncol. 24:772–782. 2023.PubMed/NCBI View Article : Google Scholar

31 

Tsilimigras DI, Stecko H, Ntanasis-Stathopoulos I and Pawlik TM: Racial and sex differences in genomic profiling of intrahepatic cholangiocarcinoma. Ann Surg Oncol. 31:9071–9078. 2024.PubMed/NCBI View Article : Google Scholar

32 

Jung KW, Won YJ, Kong HJ and Lee ES: Community of Population-Based Regional Cancer Registries. Cancer statistics in Korea: Incidence, mortality, survival, and prevalence in 2015. Cancer Res Treat. 50:303–316. 2018.PubMed/NCBI View Article : Google Scholar

33 

Kang MJ, Won YJ, Lee JJ, Jung KW, Kim HJ, Kong HJ, Im JS and Seo HG: Community of Population-Based Regional Cancer Registries. Cancer statistics in Korea: Incidence, mortality, survival, and prevalence in 2019. Cancer Res Treat. 54:330–344. 2022.PubMed/NCBI View Article : Google Scholar

34 

Yoo C, Kim KP, Jeong JH, Kim I, Kang MJ, Cheon J, Kang BW, Ryu H, Lee JS, Kim KW, et al: Liposomal irinotecan plus fluorouracil and leucovorin versus fluorouracil and leucovorin for metastatic biliary tract cancer after progression on gemcitabine plus cisplatin (NIFTY): A multicentre, open-label, randomised, phase 2b study. Lancet Oncol. 22:1560–1572. 2021.PubMed/NCBI View Article : Google Scholar

35 

Tawarungruang C, Khuntikeo N, Chamadol N, Laopaiboon V, Thuanman J, Thinkhamrop K, Kelly M and Thinkhamrop B: Survival after surgery among patients with cholangiocarcinoma in Northeast Thailand according to anatomical and morphological classification. BMC Cancer. 21(497)2021.PubMed/NCBI View Article : Google Scholar

36 

Hang H, Jeong S, Sha M, Kong D, Xi Z, Tong Y and Xia Q: Cholangiocarcinoma: anatomical location-dependent clinical, prognostic, and genetic disparities. Ann Transl Med. 7(744)2019.PubMed/NCBI View Article : Google Scholar

37 

Ren HB, Yu T, Liu C and Li YQ: Diabetes mellitus and increased risk of biliary tract cancer: Systematic review and meta-analysis. Cancer Causes Control. 22:837–847. 2011.PubMed/NCBI View Article : Google Scholar

38 

Schlesinger S, Aleksandrova K, Pischon T, Jenab M, Fedirko V, Trepo E, Overvad K, Roswall N, Tjønneland A, Boutron-Ruault MC, et al: Diabetes mellitus, insulin treatment, diabetes duration, and risk of biliary tract cancer and hepatocellular carcinoma in a European cohort. Ann Oncol. 24:2449–2455. 2013.PubMed/NCBI View Article : Google Scholar

Related Articles

  • Abstract
  • View
  • Download
Copy and paste a formatted citation
Spandidos Publications style
Lee J and Kim J: Recent 5‑year trends in biliary tract cancer survival rates: An analytical big data survey. Med Int 5: 15, 2025.
APA
Lee, J., & Kim, J. (2025). Recent 5‑year trends in biliary tract cancer survival rates: An analytical big data survey. Medicine International, 5, 15. https://doi.org/10.3892/mi.2025.214
MLA
Lee, J., Kim, J."Recent 5‑year trends in biliary tract cancer survival rates: An analytical big data survey". Medicine International 5.2 (2025): 15.
Chicago
Lee, J., Kim, J."Recent 5‑year trends in biliary tract cancer survival rates: An analytical big data survey". Medicine International 5, no. 2 (2025): 15. https://doi.org/10.3892/mi.2025.214
Copy and paste a formatted citation
x
Spandidos Publications style
Lee J and Kim J: Recent 5‑year trends in biliary tract cancer survival rates: An analytical big data survey. Med Int 5: 15, 2025.
APA
Lee, J., & Kim, J. (2025). Recent 5‑year trends in biliary tract cancer survival rates: An analytical big data survey. Medicine International, 5, 15. https://doi.org/10.3892/mi.2025.214
MLA
Lee, J., Kim, J."Recent 5‑year trends in biliary tract cancer survival rates: An analytical big data survey". Medicine International 5.2 (2025): 15.
Chicago
Lee, J., Kim, J."Recent 5‑year trends in biliary tract cancer survival rates: An analytical big data survey". Medicine International 5, no. 2 (2025): 15. https://doi.org/10.3892/mi.2025.214
Follow us
  • Twitter
  • LinkedIn
  • Facebook
About
  • Spandidos Publications
  • Careers
  • Cookie Policy
  • Privacy Policy
How can we help?
  • Help
  • Live Chat
  • Contact
  • Email to our Support Team