Spandidos Publications Logo
  • About
    • About Spandidos
    • Aims and Scopes
    • Abstracting and Indexing
    • Editorial Policies
    • Reprints and Permissions
    • Job Opportunities
    • Terms and Conditions
    • Contact
  • Journals
    • All Journals
    • Oncology Letters
      • Oncology Letters
      • Information for Authors
      • Editorial Policies
      • Editorial Board
      • Aims and Scope
      • Abstracting and Indexing
      • Bibliographic Information
      • Archive
    • International Journal of Oncology
      • International Journal of Oncology
      • Information for Authors
      • Editorial Policies
      • Editorial Board
      • Aims and Scope
      • Abstracting and Indexing
      • Bibliographic Information
      • Archive
    • Molecular and Clinical Oncology
      • Molecular and Clinical Oncology
      • Information for Authors
      • Editorial Policies
      • Editorial Board
      • Aims and Scope
      • Abstracting and Indexing
      • Bibliographic Information
      • Archive
    • Experimental and Therapeutic Medicine
      • Experimental and Therapeutic Medicine
      • Information for Authors
      • Editorial Policies
      • Editorial Board
      • Aims and Scope
      • Abstracting and Indexing
      • Bibliographic Information
      • Archive
    • International Journal of Molecular Medicine
      • International Journal of Molecular Medicine
      • Information for Authors
      • Editorial Policies
      • Editorial Board
      • Aims and Scope
      • Abstracting and Indexing
      • Bibliographic Information
      • Archive
    • Biomedical Reports
      • Biomedical Reports
      • Information for Authors
      • Editorial Policies
      • Editorial Board
      • Aims and Scope
      • Abstracting and Indexing
      • Bibliographic Information
      • Archive
    • Oncology Reports
      • Oncology Reports
      • Information for Authors
      • Editorial Policies
      • Editorial Board
      • Aims and Scope
      • Abstracting and Indexing
      • Bibliographic Information
      • Archive
    • Molecular Medicine Reports
      • Molecular Medicine Reports
      • Information for Authors
      • Editorial Policies
      • Editorial Board
      • Aims and Scope
      • Abstracting and Indexing
      • Bibliographic Information
      • Archive
    • World Academy of Sciences Journal
      • World Academy of Sciences Journal
      • Information for Authors
      • Editorial Policies
      • Editorial Board
      • Aims and Scope
      • Abstracting and Indexing
      • Bibliographic Information
      • Archive
    • International Journal of Functional Nutrition
      • International Journal of Functional Nutrition
      • Information for Authors
      • Editorial Policies
      • Editorial Board
      • Aims and Scope
      • Abstracting and Indexing
      • Bibliographic Information
      • Archive
    • International Journal of Epigenetics
      • International Journal of Epigenetics
      • Information for Authors
      • Editorial Policies
      • Editorial Board
      • Aims and Scope
      • Abstracting and Indexing
      • Bibliographic Information
      • Archive
    • Medicine International
      • Medicine International
      • Information for Authors
      • Editorial Policies
      • Editorial Board
      • Aims and Scope
      • Abstracting and Indexing
      • Bibliographic Information
      • Archive
  • Articles
  • Information
    • Information for Authors
    • Information for Reviewers
    • Information for Librarians
    • Information for Advertisers
    • Conferences
  • Language Editing
Spandidos Publications Logo
  • About
    • About Spandidos
    • Aims and Scopes
    • Abstracting and Indexing
    • Editorial Policies
    • Reprints and Permissions
    • Job Opportunities
    • Terms and Conditions
    • Contact
  • Journals
    • All Journals
    • Biomedical Reports
      • Information for Authors
      • Editorial Policies
      • Editorial Board
      • Aims and Scope
      • Abstracting and Indexing
      • Bibliographic Information
      • Archive
    • Experimental and Therapeutic Medicine
      • Information for Authors
      • Editorial Policies
      • Editorial Board
      • Aims and Scope
      • Abstracting and Indexing
      • Bibliographic Information
      • Archive
    • International Journal of Epigenetics
      • Information for Authors
      • Editorial Policies
      • Editorial Board
      • Aims and Scope
      • Abstracting and Indexing
      • Bibliographic Information
      • Archive
    • International Journal of Functional Nutrition
      • Information for Authors
      • Editorial Policies
      • Editorial Board
      • Aims and Scope
      • Abstracting and Indexing
      • Bibliographic Information
      • Archive
    • International Journal of Molecular Medicine
      • Information for Authors
      • Editorial Policies
      • Editorial Board
      • Aims and Scope
      • Abstracting and Indexing
      • Bibliographic Information
      • Archive
    • International Journal of Oncology
      • Information for Authors
      • Editorial Policies
      • Editorial Board
      • Aims and Scope
      • Abstracting and Indexing
      • Bibliographic Information
      • Archive
    • Medicine International
      • Information for Authors
      • Editorial Policies
      • Editorial Board
      • Aims and Scope
      • Abstracting and Indexing
      • Bibliographic Information
      • Archive
    • Molecular and Clinical Oncology
      • Information for Authors
      • Editorial Policies
      • Editorial Board
      • Aims and Scope
      • Abstracting and Indexing
      • Bibliographic Information
      • Archive
    • Molecular Medicine Reports
      • Information for Authors
      • Editorial Policies
      • Editorial Board
      • Aims and Scope
      • Abstracting and Indexing
      • Bibliographic Information
      • Archive
    • Oncology Letters
      • Information for Authors
      • Editorial Policies
      • Editorial Board
      • Aims and Scope
      • Abstracting and Indexing
      • Bibliographic Information
      • Archive
    • Oncology Reports
      • Information for Authors
      • Editorial Policies
      • Editorial Board
      • Aims and Scope
      • Abstracting and Indexing
      • Bibliographic Information
      • Archive
    • World Academy of Sciences Journal
      • Information for Authors
      • Editorial Policies
      • Editorial Board
      • Aims and Scope
      • Abstracting and Indexing
      • Bibliographic Information
      • Archive
  • Articles
  • Information
    • For Authors
    • For Reviewers
    • For Librarians
    • For Advertisers
    • Conferences
  • Language Editing
Login Register Submit
  • This site uses cookies
  • You can change your cookie settings at any time by following the instructions in our Cookie Policy. To find out more, you may read our Privacy Policy.

    I agree
Search articles by DOI, keyword, author or affiliation
Search
Advanced Search
presentation
Medicine International
Join Editorial Board Propose a Special Issue
Print ISSN: 2754-3242 Online ISSN: 2754-1304
Journal Cover
May-June 2026 Volume 6 Issue 3

Full Size Image

Sign up for eToc alerts
Recommend to Library

Journals

International Journal of Molecular Medicine

International Journal of Molecular Medicine

International Journal of Molecular Medicine is an international journal devoted to molecular mechanisms of human disease.

International Journal of Oncology

International Journal of Oncology

International Journal of Oncology is an international journal devoted to oncology research and cancer treatment.

Molecular Medicine Reports

Molecular Medicine Reports

Covers molecular medicine topics such as pharmacology, pathology, genetics, neuroscience, infectious diseases, molecular cardiology, and molecular surgery.

Oncology Reports

Oncology Reports

Oncology Reports is an international journal devoted to fundamental and applied research in Oncology.

Experimental and Therapeutic Medicine

Experimental and Therapeutic Medicine

Experimental and Therapeutic Medicine is an international journal devoted to laboratory and clinical medicine.

Oncology Letters

Oncology Letters

Oncology Letters is an international journal devoted to Experimental and Clinical Oncology.

Biomedical Reports

Biomedical Reports

Explores a wide range of biological and medical fields, including pharmacology, genetics, microbiology, neuroscience, and molecular cardiology.

Molecular and Clinical Oncology

Molecular and Clinical Oncology

International journal addressing all aspects of oncology research, from tumorigenesis and oncogenes to chemotherapy and metastasis.

World Academy of Sciences Journal

World Academy of Sciences Journal

Multidisciplinary open-access journal spanning biochemistry, genetics, neuroscience, environmental health, and synthetic biology.

International Journal of Functional Nutrition

International Journal of Functional Nutrition

Open-access journal combining biochemistry, pharmacology, immunology, and genetics to advance health through functional nutrition.

International Journal of Epigenetics

International Journal of Epigenetics

Publishes open-access research on using epigenetics to advance understanding and treatment of human disease.

Medicine International

Medicine International

An International Open Access Journal Devoted to General Medicine.

Journal Cover
May-June 2026 Volume 6 Issue 3

Full Size Image

Sign up for eToc alerts
Recommend to Library

  • Article
  • Citations
    • Cite This Article
    • Download Citation
    • Create Citation Alert
    • Remove Citation Alert
    • Cited By
  • Similar Articles
    • Related Articles (in Spandidos Publications)
    • Similar Articles (Google Scholar)
    • Similar Articles (PubMed)
  • Download PDF
  • Download XML
  • View XML
Article Open Access

Kynurenine levels are elevated in patients with heart failure with reduced ejection fraction or atrial fibrillation undergoing hemodialysis

  • Authors:
    • Maria Divani
    • Aikaterini Katsanaki
    • Panagiota Makri
    • Christina Poulianiti
    • Evangelos Lykotsetas
    • Andriani Balatsouka
    • Maria Tziastoudi
    • Ioannis Stefanidis
    • Theodoros Eleftheriadis
  • View Affiliations / Copyright

    Affiliations: Department of Nephrology, Faculty of Medicine, University of Thessaly, 41110 Larissa, Greece
    Copyright: © Divani et al. This is an open access article distributed under the terms of Creative Commons Attribution License [CC BY 4.0].
  • Article Number: 29
    |
    Published online on: April 1, 2026
       https://doi.org/10.3892/mi.2026.313
  • Expand metrics +
Metrics: Total Views: 0 (Spandidos Publications: | PMC Statistics: )
Metrics: Total PDF Downloads: 0 (Spandidos Publications: | PMC Statistics: )
Cited By (CrossRef): 0 citations Loading Articles...

This article is mentioned in:


Abstract

Cardiovascular disease (CVD) is the leading cause of mortality in patients undergoing hemodialysis (HD). Uremic toxins may play a role in this process. One such toxin is kynurenine, a product of tryptophan metabolism that is not cleared sufficiently by HD. In the present study, serum kynurenine and tryptophan levels were measured using ELISA in 119 patients undergoing HD and 25 healthy subjects. In total, 41 patients had coronary heart disease (CHD), 61 patients had heart failure (HF), 27 patients had HF with reduced ejection fraction (HFrEF) and 33 patients had atrial fibrillation (AF). Factors that may influence kynurenine levels in patients undergoing HD, and the associations between kynurenine and CHD, HF and AF were examined. Compared with the healthy individuals, patients undergoing HD had higher kynurenine levels (7.56 vs. 2.33 µM; P<0.001). In patients undergoing HD, kynurenine negatively correlated with inflammatory markers. Kynurenine levels were significantly higher in patients undergoing HD with HFrEF (8.78 vs. 7.56 µM; P=0.03) and AF (9.15 vs. 7.30 µM; P=0.011). Following adjustment, for every 1 µM increase in serum kynurenine levels, the odds ratios for HFrEF and AF were 1.65 (P=0.008) and 1.37 (P=0.039), respectively. On the whole, the present study demonstrates that in patients undergoing HD, serum kynurenine levels are elevated, and are associated with HFrEF and AF. These findings suggest a potential role for this uremic toxin in the development of these cardiovascular disorders. 

Introduction

Cardiovascular disease (CVD) is the leading cause of mortality among patients undergoing hemodialysis (HD), with cardiovascular-related mortality being 10-20-fold higher patients undergoing HD than in the general population (1). Among the non-traditional factors that increase the risk of CVD in patients undergoing HD, are uremic toxins. Kynurenine is one such toxin. It is the initial molecule in the tryptophan breakdown through the kynurenine pathway. There are three reasons for kynurenine accumulation in patients undergoing HD. First, persistent inflammation, a characteristic of patients undergoing HD, increases indoleamine 2,3-dioxygenase (IDO)-1 expression in various tissues, mainly in monocytes, which then degrades tryptophan into kynurenine (2-4). The second enzyme that catalyzes tryptophan degradation to kynurenine is liver L-tryptophan 2,3-dioxygenase (TDO), and experimental data indicate that TDO activity increases in chronic kidney disease (CKD) (5). Finally, circulating kynurenine levels increase in patients undergoing HD due to reduced renal excretion (3,6). Notably, since kynurenine is a protein-bound toxin, HD or hemodiafiltration does not effectively lower its blood levels (3,7). Although an HD session may reduce the plasma free fraction of the kynurenine concentration by ~60%, 67% protein binding precludes the elimination of total kynurenine, which rapidly replenishes free kynurenine levels (7,8). As multiple factors affect circulating kynurenine levels, the use of the serum kynurenine-to-tryptophan ratio (KTR) as an indicator of IDO-1 activity has been challenged (9), particularly in patients undergoing HD (10). More precisely, in a previous study, in a cohort of 228 patients undergoing HD, plasma KTR and peripheral blood mononuclear cell IDO-1 mean fluorescence intensity (MFI) were higher than those in the healthy controls, but they did not correlate with each other. Only the IDO-1 MFI was associated with immune suppression, as evidenced by its negative correlation with skin induration diameter in tuberculin skin testing and its positive correlation with clinical infection (10). Once produced, kynurenine exerts its effects by activating the aryl hydrocarbon receptor (AhR), thereby altering multiple cellular functions (11-15).

In the general population, kynurenine pathway metabolites have been associated with the incidence of heart failure (HF) and atrial fibrillation (AF), as well as with worse outcomes in patients with existing HF (16-18). In patients undergoing HD, kynurenine pathway metabolites have been linked to inflammation and prevalent atherosclerotic CVD (19), carotid intima-media thickness (20,21), time to a new CV event (21), and a 1-year risk of mortality (22). However, other researchers have failed to find a connection between kynurenine pathway metabolites and new CV events or overall mortality (7). Of note, a recent study on patients with CKD not undergoing HD found that kynurenine levels were associated with both the prevalence and incidence of HF (23).

Further mechanistic studies are required to confirm the role of kynurenine in CKD-related complications. Nonetheless, some data already exist. In a previous study on 116 patients with CKD stage 3-5D, the sera of the patients exhibited potent AhR-activating potential compared with the healthy controls (24). Additionally, the expression of the AhR target gene, CYP1A1, was upregulated in whole blood from patients with CKD. Survival analysis revealed that cardiovascular events were more common in patients with CKD with AhR-activating potential above the median (24). Another study analyzed samples from two large multicenter studies; one on patients with end-stage kidney disease and another on patients with CKD stage 2-3(25). In the first study, patients with arteriovenous fistula thrombosis had elevated kynurenine levels and AhR activity. In the second study, patients with postangioplasty thrombosis had higher kynurenine levels and AhR-activating potential. Mechanistic analyses in vivo revealed that kynurenine promotes thrombosis following vascular injury in an animal model and exerts its effects via AhR pathways. In primary human vascular smooth muscle cell cultures, kynurenine elevated AhR activity and tissue factor expression (25).

Considering the critical role of CVD in the mortality and morbidity of patients undergoing HD, it is crucial to investigate the underlying pathophysiological pathways responsible for CVD and, if possible, identify biomarkers for the early detection of CVD in this population. Studies conducted in patients undergoing HD have assessed kynurenine levels in relation to prevalent atherosclerotic disease, defined collectively as coronary heart disease (CHD), stroke, or peripheral arterial disease (19,20); incident atherosclerotic events and heart failure (21); incident atherosclerotic disease and all-cause mortality (7); or overall mortality (22). However, although CVDs have overlapping pathogenic pathways, these mechanisms are not completely identical. Therefore, the present study examined whether serum kynurenine levels are independently associated with prevalent CHD, HF or AF among patients undergoing HD. To the best of our knowledge, this is the first study to assess the association of kynurenine with prevalent HF and AF among patients undergoing HD.

Patients and methods

Patients

A total of 119 patients undergoing HD participated in the present study. The mean age of the patients was 65.98±11.87 years, including 87 males and 32 females. The causes of end-stage kidney disease were diabetic nephropathy (n=29), hypertension (n=24), primary glomerulonephritis (n=22), cardiorenal syndrome (n=7), autosomal dominant polycystic kidney disease (n=6), secondary focal segmental glomerulosclerosis (n=6), vasculitis (n=4), obstructive nephropathy (n=2), analgesic nephropathy (n=1) and unknown (n=18).

In total, 41 patients had diabetes mellitus, 103 patients had hypertension, 41 patients had a history of CHD, 33 patients had AF, and, according to a recent, within-3-months, transthoracic echocardiogram, 34 patients were diagnosed with HF with preserved ejection fraction (HFpEF), while 27 patients were diagnosed with HF with reduced ejection fraction (HFrEF). CHD was ascertained by coronary artery angiography performed for angina symptoms or after a myocardial infarction. The majority of patients received anti-hypertensive medications, and statins were prescribed to 79 of these patients. All patients with CHD were on clopidogrel or aspirin, along with a β-blocker. Patients with HFrEF received a β-blocker and a low-dose angiotensin receptor blocker. Those with AF were prescribed a β-blocker and anticoagulation. The policy of the HD unit of the University of Thessaly is to avoid anti-inflammatory medications. The attending nephrologists determined the need for phosphate binders, vitamin D analogs, calcimimetics, erythropoietin and intravenous iron. All patients had been undergoing HD for at least 6 months prior to inclusion. Each patient underwent 4-h HD sessions, three times a week, using polysulfone dialyzers and bicarbonate-based dialysate with calcium concentrations of either 1.25 or 1.5 mmol/l.

The exclusion criteria included active infection, autoimmune disease, malignancy, liver pathology, or treatment with cytotoxic, immunosuppressive, or corticosteroid medications within the prior 6 months. The clinical, laboratory and demographic features of the patients undergoing HD are presented in Table I.

Table I

Characteristics of the patients undergoing hemodialysis.

Table I

Characteristics of the patients undergoing hemodialysis.

CharacteristicNMedian25-75% percentile
Age (years)1196759-76
Duration of HD treatment (months)1194222-42
Males/females87/32  
Diabetes mellitus (yes/no)44/75  
Hypertension (yes/no)103/14  
Coronary heart disease (yes/no)41/78  
HFrEF/HFpEF/no HF27/34/58  
Atrial fibrillation (yes/no)33/86  
White blood cell count (c/µl)1197,8005,360-8,500
Neutrophils (c/µl)1194,3103,277-6,120
Lymphocytes (c/µl)1191,7251,236-2,064
Neutrophil-to-lymphocyte ratio1193.0391.839-3.778
Hemoglobin (g/dl)11911.711.2-12.4
Platelets (c/µl)119199,000 162,000-242,000
Creatinine (mg/dl)1196.04.7-7.5
Urea (mg/dl)119122107-144
Urea reduction rate (%)11967.79763.115-72.727
Residual diuresis (ml)11900-600
Body mass index (kg/m²)11925.33322.773-29.201
Protein catabolic rate (g/kg/day)1190.8800.715-0.990
Albumin (g/dl)1193.63.5-3.8
Cholesterol (mg/dl)119136.0100.0-153.0
Triglyceride (mg/dl)119109.082.0-167.0
Calcium (mg/dl)1199.18.9-9.5
Phosphorous (mg/dl)1195.14.5-5.9
Parathyroid hormone (pg/ml)119240.81155.61-471.80
Alkaline phosphatase (U/l)119186.0147.0-224.0
SGOT (U/l)11912.09.0-15.0
SGPT (U/l)1199.06.0-15.0
Ferritin (ng/ml)11912058.9-228.4
TSAT (%)11916.74812.136-22.434
CRP (mg/dl)1190.880.69-1.4
CRP >1 mg/dl (yes/no)56/63  
Kynurenine (µM)1197.5626.317-9.572
Tryptophan (µM)11931.1726.27-44.56
Kynurenine-to-tryptophan ratio1190.2350.187-0.326

[i] HD, hemodialysis; HFrEF, heart failure with reduced ejection fraction; HFpEF, heart failure with preserved ejection fraction; HF, heart failure; SGOT, serum glutamic oxaloacetic transaminase; SGPT, serum glutamic pyruvic transaminase; TSAT, transferrin saturation; CRP, C-reactive protein.

A control group of 25 healthy individuals (mean age, 64.60±6.69 years; 16 males and 9 females) was included following a review of their medical records and a physical examination.

Written informed consent was obtained from each participant, and the study protocol was approved by the Ethics Committee of the Faculty of Medicine, University of Thessaly, Larissa, Greece (approval no. 558/10-2-2017).

Sample collection

Blood samples were collected at the beginning of the second HD session of the week, and serum was stored at -80˚C. Serum total kynurenine levels were measured using the Kynurenine ELISA kit (cat. no. KA6140, Abnova Corporation), which has a detection limit of 0.22 µM and a calibration range of 0.30-48 µM. Serum total tryptophan levels were measured using the Tryptophan ELISA kit (cat. no. BA E-2700, Labor Diagnostika Nord GmbH & CoKG), which has a detection limit of 3.18 µM and a calibration range of 0-1223 µM. All other parameters were part of routine laboratory assessments conducted alongside serum collection for kynurenine and tryptophan measurement.

Statistical analysis

Statistical analysis was performed using IBM SPSS Statistics version 29 (IBM Corp.) and JASP version 0.95.4 (University of Amsterdam, Amsterdam, The Netherlands). As the one-sample Kolmogorov-Smirnov test revealed that the analyzed variables were not normally distributed, non-parametric methods were employed. Specifically, for group comparisons, the Mann-Whitney U test was used, with data presented as the median (interquartile range). A post hoc power analysis for the kynurenine-related Mann-Whitney U test was performed using the observed rank-biserial correlation (r), group sample sizes, and a two-tailed significance level of α=0.05 to estimate achieved statistical power under the nonparametric framework. Additionally, Spearman's Rho was calculated to assess correlations between continuous variables, while the Chi-squared test, with Fisher's exact test when needed, were applied to evaluate the associations between categorical variables. Receiver operating characteristic (ROC) curve analysis was performed to assess the diagnostic utility of kynurenine. However, as the pathogenesis of the evaluated diseases is multifactorial, a single factor is unlikely to achieve good discrimination (AUC >0.8). Therefore, the possible pathogenetic role of kynurenine was evaluated using binary logistic regression, including all factors associated with the evaluated diseases. Multicollinearity among predictors was evaluated using the variance inflation factor (VIF). Given the small sample size, VIF values <2.5 were considered acceptable. To assess whether kynurenine enhances discrimination of the evaluated diseases, along with other confounding factors, the model fit was re-evaluated using the change of Χ2 (ΔΧ2) and its statistical significance, as well as AUC and Nagelkerke R2, for each logistic regression analysis after removing kynurenine from the model. A value of P<0.05 was considered to indicate a statistically significant difference.

Results

Kynurenine levels in healthy individuals and in patients undergoing HD

Serum kynurenine levels were significantly higher in patients undergoing HD than in the healthy individuals [7.56 (3.26) µM vs. 2.33 (1.32) µM, respectively; P<0.001] (Table II). A post hoc power analysis was conducted using the observed effect size derived from the Mann-Whitney U test (r=0.989; approximated Cohen's d=5.34), α=0.05, and the achieved sample sizes (n1=25, n2=119). The calculated power was 1.00 (Table III).

Table II

Kynurenine, tryptophan and kynurenine-to-tryptophan ratio in healthy controls and patients undergoing hemodialysis, and subgroups of patients undergoing hemodialysis.

Table II

Kynurenine, tryptophan and kynurenine-to-tryptophan ratio in healthy controls and patients undergoing hemodialysis, and subgroups of patients undergoing hemodialysis.

ComparisonKynurenine (µM)P-valueTryptophan (µM)P-value Kynurenine-to-tryptophan ratioP-value
HD patients vs. healthy controls7.56 (3.26) vs. 2.33 (1.32) <0.00131.17 (18.67) vs. 53.66 (18.87) <0.001(0.235 (0.143) vs. 0.05 (0.027) <0.001
Patients undergoing HD      
     Males vs. females7.53 (2.84) vs. 8.34 (4.27)0.80131.49 (15.83) vs. 30.39 (28.81)0.5840.239 (0.127) vs. 0.218 (0.189)0.540
     Diabetes mellitus, yes vs. no6.91 (3.86) vs. 7.60 (3.43)0.06231.79 (19.74) vs. 30.83 (17.97)0.9160.206 (0.167) vs. 0.242 (0.139)0.079
     Hypertension, yes vs. no7.60 (3.15) vs. 7.23 (3.10)0.27130.83 (19.39) vs. 34.85 (8.07)0.3120.236 (0.154) vs. 0.207 (0.064)0.210
     Coronary heart disease, yes vs. no6.87 (3.60) vs. 8.05 (3.14)0.34536.86(19.99) vs. 28.62 (15.83)0.0010.194 (0.095) vs. 0.249 (0.126) <0.001
     Heart failure, yes vs. no7.37 (3.53) vs. 7.62 (3.53)0.31232.35 (18.50) vs. 29.82 (18.71)0.7800.232 (0.147) vs. 0.242 (0.143)0.951
     HFrEF, yes vs. no8.78 (3.74) vs. 7.56 (3.32)0.03028.48 (20.14) vs. 31.33 (18.6)0.7410.246 (0.194) vs. 0.231 (0.121)0.201
     Atrial fibrillation, yes vs. no9.15 (3.57) vs. 7.30 (3.34)0.01128.83 (18.68) vs. 31.90 (18.58)0.6210.254 (0.158) vs. 0.226 (0.119)0.024
     CRP >1 mg/dl, yes vs. no6.68 (4.13) vs. 8.08 (2.70)0.02429.55 (18.98) vs. 32.08 (18.15)0.5600.228 (0.060) vs. 0.249 (0.182)0.163

[i] Values in bold font indicate statistically significant differences (P<0.05). HD, hemodialysis; HFrEF, heart failure with reduced ejection fraction; CRP, C-reactive protein.

Table III

Post hoc power analyses for kynurenine-related Mann-Whitney U tests.

Table III

Post hoc power analyses for kynurenine-related Mann-Whitney U tests.

ComparisonObserved effect size (r)Cohen's d (approx.)Sample size (n)Significance level (α)Post hoc power (1-β)
Kynurenine: Controls vs. patients undergoing HD0.9895.34Control: 250.051.00
   HD patients: 119  
Kynurenine: HFrEF vs. no HFrEF0.2750.57HFrEF: 270.050.77
   No HFrEF: 92  
Kynurenine: AF vs. no AF0.3030.64AF: 330.050.88
   No AF: 86  

[i] HD, hemodialysis; HFrEF, heart failure with reduced ejection fraction; AF, atrial fibrillation.

Notably, serum tryptophan levels were significantly lower in patients undergoing HD than in the healthy individuals [31.17 (18.67) µM vs. 53.66 (18.87) µM, respectively; P<0.001]. The KTR was higher in patients undergoing HD [0.235 (0.143) vs. 0.05 (0.027); P<0.001] (Table II).

In patients undergoing HD, sex, diabetes mellitus, hypertension, CHD and HF as a whole did not affect kynurenine levels. However, kynurenine levels were higher in patients undergoing HD with HFrEF [8.78 (3.74) Μm vs. 7.56 (3.32) µM; P=0.030] (Table II). A post hoc power analysis was conducted using the observed effect size derived from the Mann-Whitney U test (r=0.275; approximated Cohen's d=0.57), α=0.05, and the achieved sample sizes (n1=27, n2=92) (Table III). The calculated power was 0.77. Kynurenine levels were also higher in patients with AF [9.15 (3.57) µM vs. 7.30 (3.34) µM; P=0.011] (Table II). A post hoc power analysis was conducted using the observed effect size derived from the Mann-Whitney U test (r=0.303; approximated Cohen's d=0.64), α=0.05, and the achieved sample sizes (n1=33, n2=86). The calculated power was 0.88 (Table III).

In patients with C-reactive protein (CRP) levels >1 mg/dl, serum kynurenine levels were lower [6.68 (4.13) µM vs. 8.08 (2.70) µM; P=0.024]. Notably, serum tryptophan levels did not differ between patients with or without HFrEF [28.48 (20.14) µM vs. 31.33 (18.6) µM, respectively; P=0.741] or between patients with or without AF [28.83 (18.68) µM vs. 31.90 (18.58) µM, respectively; P=0.621]. KTR did not differ between patients undergoing HD with or without HFrEF [0.246 (0.194) vs. 0.231 (0.121), respectively; P=0.201]. However, KTR was higher in patients undergoing HD with AF [0.254 (0.158) vs. 0.226 (0.119); P=0.024] (Table II).

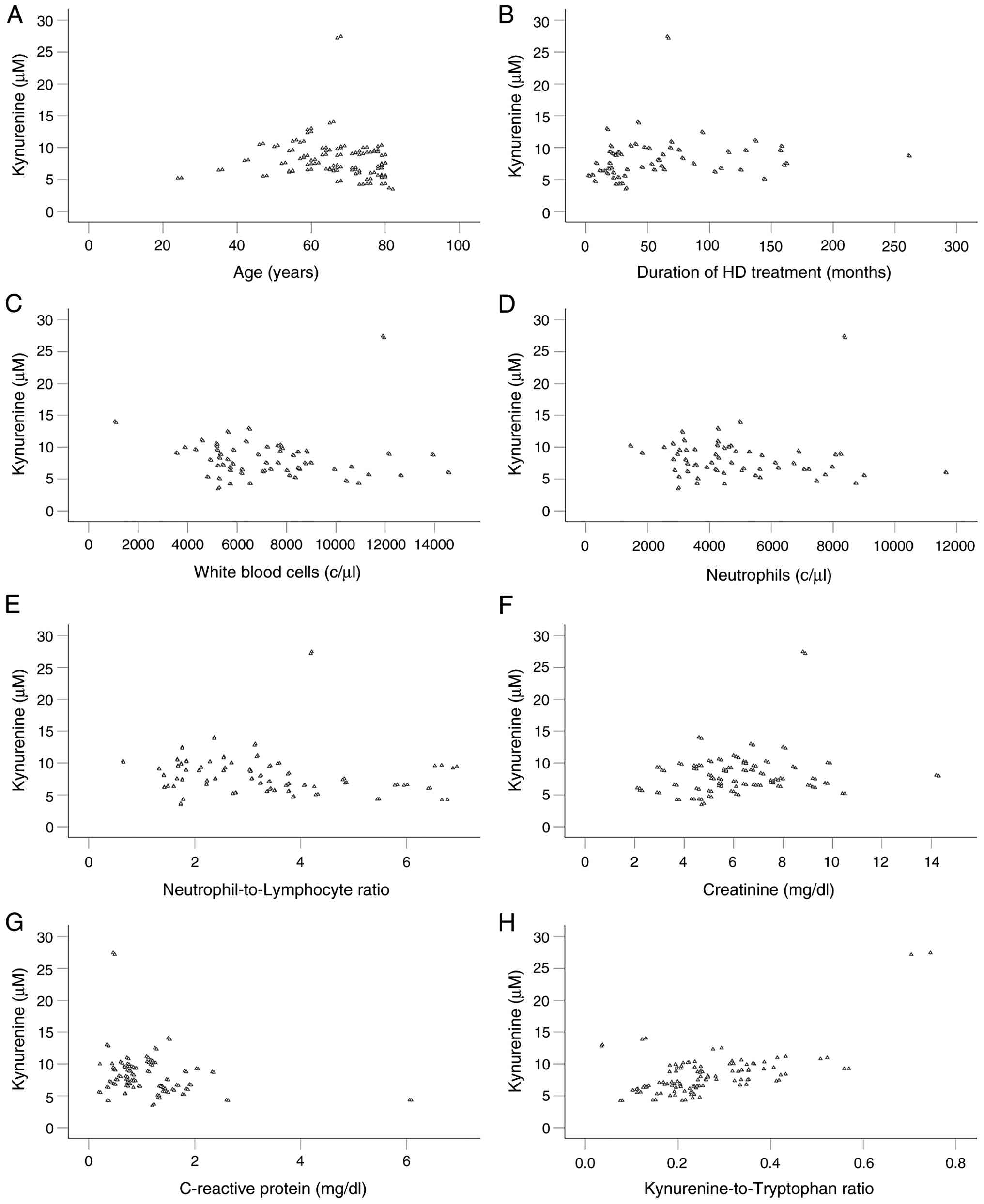
Among the factors analyzed in the present study and shown in Table I, serum kynurenine levels correlated with age (Rho=-0.245, P=0.007), the duration of HD (Rho=0.330, P<0.001), white blood cell count (Rho=-0.255, P=0.005), neutrophil count (Rho=-0.228, P=0.013), neutrophil-to-lymphocyte ratio (Rho=-0.265, P=0.004), creatinine (Rho=0.183, P=0.046) and CRP (Rho=-0.268, P=0.003). Notably, kynurenine did not correlate with tryptophan (Rho=0.143, P=0.126), whereas a positive correlation was observed with KRT (Rho=0.486, P<0.001) (Table IV). Scatterplots illustrating kynurenine and its statistically significant correlated factors are presented in Fig. 1.

Scatterplots of statistically
significant correlations of kynurenine with other variables in
patients undergoing hemodialysis. Scatterplots depicting kynurenine
in relation to (A) age, (B) the duration of hemodialysis treatment,
(C) white blood cell count, (D) neutrophil count, (E)
neutrophil-to-lymphocyte ratio, (F) creatinine levels, (G)
C-reactive protein, and (H) the kynurenine-to-tryptophan ratio.

Figure 1

Scatterplots of statistically significant correlations of kynurenine with other variables in patients undergoing hemodialysis. Scatterplots depicting kynurenine in relation to (A) age, (B) the duration of hemodialysis treatment, (C) white blood cell count, (D) neutrophil count, (E) neutrophil-to-lymphocyte ratio, (F) creatinine levels, (G) C-reactive protein, and (H) the kynurenine-to-tryptophan ratio.

Table IV

Correlations of kynurenine with other variables in patients undergoing hemodialysis.

Table IV

Correlations of kynurenine with other variables in patients undergoing hemodialysis.

 RhoP-value
Age-0.2450.007
Duration of HD treatment0.330 <0.001
White blood cells-0.2550.005
Neutrophils-0.2280.013
Lymphocytes0.0700.451
Neutrophil-to-Lymphocyte ratio-0.2650.004
Hemoglobin-0.1280.165
Platelets-0.1100.235
Creatinine0.1830.046
Urea0.0340.714
Urea reduction ratio-0.0210.863
Residual diuresis-0.0080.934
Body mass index0.1000.277
Protein catabolic ratio0.1760.055
Albumin0.1000.281
Cholesterol-0.1720.061
Triglycerides0.0710.442
Calcium0.0450.625
Phosphoros-0.1520.099
Parathyroid hormone0.1420.122
Alkaline phosphatase0.1250.176
SGOT0.0590.521
SGPT0.1140.216
Ferritin0.0860.353
Transferrin saturation-0.1090.239
C-reactive protein-0.2680.003
Tryptophan0.1430.126
Kynurenine-to-tryptophan ratio0.486 <0.001

[i] Values in bold font indicate statistically significant differences (P<0.05). HD, hemodialysis; SGOT, serum glutamic oxaloacetic transaminase; SGPT, serum glutamic pyruvic transaminase.

Kynurenine as a determinant of HFrEF in patients undergoing HD

In addition to elevated kynurenine levels, patients undergoing HD with HFrEF were on HD treatment for a longer period of time [66 (54.0) months vs. 32 (49.5) months; P=0.034], had an elevated neutrophil-to-lymphocyte ratio [3.600 (1.713) vs. 2.706 (1.725); P=0.026] and had lower triglyceride levels [87.0 (48.0) vs. 114.5 (78.5) mg/dl; P=0.012]. HFrEF was associated with the male sex (Pearson χ2=6.743, P=0.009) and CHD (Pearson χ2=29.027, P<0.001) (Table V).

Table V

Characteristics of patients undergoing hemodialysis with and without heart failure with a reduced ejection fraction.

Table V

Characteristics of patients undergoing hemodialysis with and without heart failure with a reduced ejection fraction.

 No HFrEF (n=92)HFrEF (n=27)P-value
Age (years)67 (16.75)67 (15.0)0.706
Duration of HD treatment (months)32 (49.5)66 (54.0)0.034
Males/females62/3025/20.009
Diabetes mellitus (yes/no)36/568/190.369
Hypertension (yes/no)78/1225/20.517
Coronary heart disease (yes/no)20/7221/6 <0.001
Atrial fibrillation (yes/no)22/7011/160.086
White blood cell count (c/µl)7,205 (2,817.5)6,890 (3,980.0)0.146
Neutrophils (c/µl)4,379.5 (2,369.3)4,226 (3,472.0)0.814
Lymphocytes (c/µl)1,790(703)1,645(974)0.075
Neutrophil-to-lymphocyte ratio2.706 (1.725)3.600 (1.713)0.026
Hemoglobin (g/dl)11.80 (1.20)11.70 (1.40)0.228
Platelets (c/µl)199,000 (74,500)202,000 (117,000)0.914
Creatinine (mg/dl)5.90 (2.97)6.10 (1.70)0.671
Urea (mg/dl)122.5 (34.5)122.0 (37.0)0.542
Urea reduction rate (%)67.93 (9.75)67.68 (9.43)0.785
Residual diuresis (ml)0(600)300(600)0.464
Body mass index (kg/m2)25.183 (6.29)25.432 (6.07)0.310
Protein catabolic rate (g/kg/day)0.852 (0.263)0.926 (0.229)0.207
Albumin (g/dl)3.65 (0.3)3.60 (0.2)0.336
Cholesterol (mg/dl)139 (53.5)124 (55.0)0.050
Triglyceride (mg/dl)114.5 (78.5)87.0 (48.0)0.012
Calcium (mg/dl)9.1 (0.4)9.2 (1.2)0.506
Phosphorous (mg/dl)5.1 (1.47)5.2 (1.30)0.295
Parathyroid hormone (pg/ml)285.66 (300.4)208.31 (238.5)0.243
Alkaline phosphatase (U/l)192 (97.5)179 (57.0)0.650
SGOT (U/l)12 (6.75)12 (4.00)0.944
SGPT (U/l)9(8)9(11)0.325
Ferritin (ng/ml)114.3 (145.82)141.1 (254.60)0.542
Transferrin saturation (%)17.17 (11.82)14.52 (4.82)0.129
CRP (mg/dl)1.0 (0.72)0.85 (0.71)0.854
CRP >1 mg/dl (yes/no)46/4610/170.235
Kynurenine (µM)7.52 (3.41)8.78 (3.74)0.030
Tryptophan (µM)31.33 (18.6)28.48 (20.14)0.741
Kynurenine-to-tryptophan ratio0.231 (0.121)0.246 (0.194)0.201

[i] Values in bold font indicate statistically significant differences (P<0.05). HD, hemodialysis; HFrEF, heart failure with reduced ejection fraction; SGOT, serum glutamic oxaloacetic transaminase; SGPT, serum glutamic pyruvic transaminase.

ROC curve analysis revealed a modest discriminative ability of kynurenine for HFrEF, with an AUC of 0.637 [95% confidence interval (CI), 0.520-0.754; P=0.022] (Fig. 2A). At the optimal cut-off of 6.11 µM, the test had 100% sensitivity and 28.3% specificity, indicating excellent rule-out capability but poor rule-in performance. Binary logistic regression, including kynurenine and other factors linked to HFrEF, as demonstrated in in Table VI, indicated that kynurenine was a significant predictor of HFrEF in patients undergoing HD. For every 1 µM increase in the serum kynurenine level, the odds of HFrEF increased by 65% [odds ratio (OR), 1.649; 95% CI, 1.141-2.381; P=0.008] (Table VI). Removing kynurenine from the model decreased model fit (Χ2 decreases, ΔΧ2=20.722, P<0.001), the AUC from 0.904 to 0.859, and Nagelkerke R2 from 0.581 to 0.449. Thus, kynurenine is unlikely to serve as a standalone diagnostic marker for HFrEF, reflecting the multifactorial nature of the disease; however, it remains a risk factor that may contribute to its pathogenesis.

ROC curve analysis evaluating the
ability of kynurenine to detect HFrEF and AF. (A) ROC curve
analysis revealed a modest discriminative ability of kynurenine for
HFrEF, with an AUC of 0.637 (95% CI, 0.520-0.754; P=0.022). (B)
Similarly, ROC curve analysis demonstrated a modest discriminative
ability of kynurenine for AF, with an AUC of 0.652 (95% CI,
0.545-0.758; P=0.005). ROC, receiver operating characteristic;
HFrEF, heart failure with reduced ejection fraction; AF, atrial
fibrillation.

Figure 2

ROC curve analysis evaluating the ability of kynurenine to detect HFrEF and AF. (A) ROC curve analysis revealed a modest discriminative ability of kynurenine for HFrEF, with an AUC of 0.637 (95% CI, 0.520-0.754; P=0.022). (B) Similarly, ROC curve analysis demonstrated a modest discriminative ability of kynurenine for AF, with an AUC of 0.652 (95% CI, 0.545-0.758; P=0.005). ROC, receiver operating characteristic; HFrEF, heart failure with reduced ejection fraction; AF, atrial fibrillation.

Table VI

Binary logistic regression analysis of factors associated with HFrEF.

Table VI

Binary logistic regression analysis of factors associated with HFrEF.

  95% CI for OR 
ComparisonBS.E.Sig.ORLowerUpperVIF
Duration of HD treatment0.0030.0060.6421.0030.9911.0141.263
Female sex-0.1050.9540.9130.9010.1395.8381.295
Coronary heart disease3.5350.839 <0.00134.3126.628177.6281.864
Neutrophile-to-lymphocyte ratio0.3880.2510.1221.4740.9012.4121.526
Triglycerides (per mg/dl)-0.0220.0070.0030.9780.9650.9921.380
Kynurenine (per µM)0.5000.1880.0081.6491.1412.3811.809

[i] Model fit: Nagelkerke R2 = 0.581, AUC=0.904, model fit: X2=57.254, P<0.001. Values in bold font indicate statistically significant differences (P<0.05). HD, hemodialysis; HFrEF, heart failure with reduced ejection fraction.

Kynurenine as a determinant of AF in patients undergoing HD

In addition to elevated kynurenine levels, patients with AF undergoing HD were older [72 (13.5) years vs. 66 (18.0) years; P=0.033], had an elevated white blood cell count [8,300 (2,245.0) vs. 6,220 (2,802.5) c/µl; P=0.006], neutrophil count [5647.0 (2244.0) vs. 4194.5 (1868.5) c/µl; P<0.001] and neutrophil-to-lymphocyte ratio [3.17 (2.06) vs. 2.72 (1.96); P=0.024]. In addition, they had lower hemoglobin [11.40 (2.30) vs. 11.95 (1.20) g/dl, P=0.003], lower phosphorus [4.8 (1.28) vs. 5.2 (1.53) mg/dl; P=0.030] and higher ferritin [164.4 (258.15) vs. 106.9 (129.7) ng/ml, P=0.043] levels, and a lower transferrin saturation [14.95 (9.11) vs. 17.13 (10.99)%; P=0.042]. As noted, KTR was higher in patients with AF undergoing HD (Table VII).

Table VII

Characteristics of hemodialysis patients with and without atrial fibrillation.

Table VII

Characteristics of hemodialysis patients with and without atrial fibrillation.

CharacteristicNo Atrial fibrillation (n=86)Atrial fibrillation (n=33)P-value
Age (years)66 (18.0)72 (13.5)0.033
Duration of HD treatment (months)33.5 (54.25)48.0 (79.00)0.276
Males/females26/606/270.184
Diabetes mellitus (yes/no)30/5614/190.446
Hypertension (yes/no)74/1029/41.000
Coronary heart disease (yes/no)28/5813/200.482
HFrEF (yes/no)16/7011/220.086
White blood cell count (c/µl)6,220 (2,802.5)8,300 (2,245.0)0.006
Neutrophils (c/µl)4,194.5 (1,868.5)5,647.0 (2,244.0) <0.001
Lymphocytes (c/µl)1,678.5 (841.5)1,821.0 (709.0)0.549
Neutrophil-to-lymphocyte ratio2.72 (1.96)3.17 (2.06)0.024
Hemoglobin (g/dl)11.95 (1.20)11.40 (2.30)0.003
Platelets (c/µl)200500 (77250)196000 (92000)0.523
Creatinine (mg/dl)6.10 (2.72)5.80 (3.20)0.553
Urea (mg/dl)122.5 (39.5)122.0 (35.5)0.722
Urea reduction rate (%)68.19 (10.50)67.33 (7.14)0.854
Residual diuresis (ml)0(700)0(500)0.449
Body mass index (kg/m2)25.24 (6.35)26.81 (6.53)0.254
Protein catabolic rate (g/kg/day)0.848 (0.268)0.898 (0.252)0.219
Albumin (g/dl)3.7 (0.3)3.6 (0.2)0.073
Cholesterol (mg/dl)137.5 (46.5)124.0 (66.0)0.157
Triglyceride (mg/dl)109.5 (85.5)109.0 (98.5)0.856
Calcium (mg/dl)9.1 (0.58)9.1 (0.8)0.260
Phosphorus (mg/dl)5.2 (1.53)4.8 (1.28)0.030
Parathyroid hormone (pg/ml)240.31 (196.9)300.10 (411.2)0.652
Alkaline phosphatase (U/l)175.0 (82.5)198.0 (57.5)0.854
SGOT (U/l)12.0 (6.0)13.0 (4.5)0.128
SGPT (U/l)9.0 (9.25)10.0 (8.5)0.793
Ferritin (ng/ml)106.9 (129.7)164.4 (258.15)0.043
Transferrin saturation (%)17.13 (10.99)14.95 (9.11)0.042
CRP (mg/dl)0.81 (0.66)1.10 (0.83)0.181
CRP >1 mg/dl (yes/no)38/4818/150.311
Kynurenine (µM)7.23 (3.51)9.15 (3.57)0.011
Tryptophan (µM)31.90 (18.58)28.83 (18.68)0.621
Kynurenine-to-tryptophan ratio0.226 (0.119)0.254 (0.158)0.024

[i] Values in bold font indicate statistically significant differences (P<0.05). HD, hemodialysis; HFrEF, heart failure with reduced ejection fraction; HF, heart failure; SGOT, serum glutamic oxaloacetic transaminase; SGPT, serum glutamic pyruvic transaminase; CRP, C-reactive protein.

ROC curve analysis demonstrated a modest discriminative ability of kynurenine for AF, with an AUC of 0.652 (95% CI, 0.545-0.758; P=0.005) (Fig. 2B). At the optimal cut-off value of 9.0 µM, sensitivity was 54.5%, and specificity was 73.3%, indicating moderate diagnostic performance without strong rule-in or rule-out. Binary logistic regression, including kynurenine and other factors linked to AF, demonstrated in Table VIII, revealed that kynurenine was a significant predictor of AF in patients undergoing HD. For each 1 µM increase in serum kynurenine level, the odds of AF increase by 37% (OR, 1.372; 95% CI, 1.016-1.853; P=0.039) (Table VIII). Removing kynurenine and KTR from the model decreased model fit (Χ2 decreases, ΔΧ2=13.817, P<0.001), the AUC from 0.871 to 0.814, and Nagelkerke R2 from 0.498 to 0.371. Thus, kynurenine is unlikely to serve as a standalone diagnostic marker for AF, which is consistent with the multifactorial nature of the disease; however, it appears to be a risk factor that may contribute to the pathogenesis of AF.

Table VIII

Binary logistic regression analysis of factors associated with atrial fibrillation.

Table VIII

Binary logistic regression analysis of factors associated with atrial fibrillation.

  95% CI for OR 
 BS.E.Sig.ORLowerUpperVIF
Age (per year)0.0920.0350.0091.0961.0231.1751.363
Neutrophil-to-lymphocyte ratio0.3740.2110.0771.4530.9602.1981.229
Hemoglobin (per g/dl)-1.1680.4230.0060.3110.1360.7121.173
Phosphorus (per mg/dl)-0.5370.3520.1270.5840.2931.1651.185
Ferritin (per ng/ml)0.0030.0010.0701.0031.0001.0061.461
Transferrin saturation (%)-0.0720.0410.0760.9300.8591.0071.521
Kynurenine (per µM)0.3160.1530.0391.3721.0161.8531.465
Kynurenine-to-tryptophan ratio4.2252.7830.12968.4010.292160081.400

[i] Model fit: Nagelkerke R2=0.498, AUC=0.871, model fit: X2=48.306, P<0.001. Values in bold font indicate statistically significant differences (P<0.05).

Discussion

Considering the high CV morbidity and mortality rates in patients undergoing HD (1), the present study investigated the impact of the uremic toxin kynurenine on CVD by measuring its serum levels in patients undergoing HD with or without CHD, HF or AF.

As expected, an increased kynurenine production (2-5), reduced renal elimination (3,6) and the inability of HD to achieve sufficient kynurenine clearance (3,7) led to significantly higher kynurenine levels in patients undergoing HD compared to healthy volunteers. Notably, although previous studies have reported a positive correlation between kynurenine pathway metabolites and inflammation (3,19,20), others have failed to detect such an association (6,7). The present study observed a negative correlation between serum kynurenine and CRP or the neutrophil-to-lymphocyte ratio. IDO-1 is present in various cell types and, upon upregulation by inflammatory stimuli, exerts immunosuppressive and anti-inflammatory effects (26,27). In the immune microenvironment, the upregulation of IDO-1 in monocytes leads to local tryptophan depletion and kynurenine production, which activate general control nonderepressible-2 kinase and AhR, respectively. As a result, cell metabolism shifts to suppress the adaptive immune response by reducing T-cell proliferation and favoring CD4+ T-cell differentiation toward regulatory rather than effector phenotypes (14,28-30). As regards natural killer cells, IDO-1 impairs their function by downregulating NKG2D ligand via A disintegrin and metalloproteinase domain-containing protein 10(31). As regards neutrophils, IDO-1 activity limits neutrophil abundance and pro-inflammatory function (32,33). In epithelial cells, IDO-1 is upregulated following viral infection and subsequently downregulates NF-κB signaling and the production of the pro-inflammatory cytokines, IFN-α, IFN-β and IL-6(34). Of note, in antigen-presenting cells, AhR activation is required for IDO-1 expression, suggesting a positive feedback loop that may enhance IDO-1 immunosuppressive properties (35). It is likely that the negative correlation between serum kynurenine levels and the inflammatory markers CRP and neutrophil-to-lymphocyte ratio detected in the present study reflects IDO-1 upregulation due to chronic inflammation that characterizes patients undergoing HD, which subsequently counteracts inflammation. Notably, compared with healthy controls, IDO-1 expression is higher in monocytes from patients undergoing HD (4). Remarkably, in a previous study, in a group of stable patients undergoing HD, plasma IDO-1 levels were higher than those in healthy subjects and negatively correlated with CRP, IL-6 and TNF-α (36).

In the present study, serum kynurenine levels did not differ between patients undergoing HD with or without CHD. Previous studies have identified a link between kynurenine pathway metabolites and subclinical atherosclerosis, prevalent atherosclerotic CVD, new CV events, and mortality in patients undergoing HD (19-22). However, in a cohort of patients undergoing HD from the CONTRAST trial with a median follow-up of 4.3 years, baseline kynurenine pathway metabolite levels were not associated with all-cause mortality or new CV events (7). Differences in the characteristics of the patients across these studies may account for this discrepancy.

In the general population, kynurenine pathway metabolites have been linked to the occurrence of HF and AF, as well as to worse outcomes in patients with existing HF (16-18). In patients with CKD, the prevalence of HF is high and is associated with increased mortality (37). In a previous study, in a cohort of 673 non-dialysis patients with CKD stages 1-5, kynurenine levels were connected to both prevalent and incident HF (23). The present study assessed whether kynurenine levels varied between patients with and without HF undergoing HD. It was found that serum kynurenine was elevated only in patients with HFrEF. ROC curve analysis demonstrated a modest discriminatory ability of kynurenine as a biomarker for HFrEF in patients undergoing HD, with an AUC of 0.637 (P=0.022). However, given that HFrEF is a multifactorial disorder, a single variable is unlikely to provide strong diagnostic accuracy. Therefore, a binary logistic regression analysis was performed to determine whether kynurenine is an independent risk factor and a potential pathogenetic contributor to HFrEF in this population. After adjusting for other factors associated with HFrEF, kynurenine remained an independent predictor. For each 1 µM increase in serum kynurenine level, the odds of HFrEF increased by 65%. Notably, in the patient cohort in the present study, 21 of the 27 patients with HFrEF also had CHD. Experimental data support the role of kynurenine pathway products in the development of HF. Following myocardial infarction, IDO-1 is upregulated in endothelial cells, leading to increased kynurenine production. This, through the AhR pathway, causes cardiomyocyte apoptosis (38). An elevated expression of IDO-1 has been observed in the hypertrophic myocardium, and increased kynurenine activates the AhR, leading to cardiac hypertrophy (39). Finally, monocyte infiltration plays a significant role in cardiac fibrosis (40), and in patients undergoing HD, monocytes express higher levels of IDO-1(4).

The present study then examined whether kynurenine levels vary between patients with and without AF undergoing HD. In patients undergoing HD, the prevalence of AF is higher than that in the general population and is linked to increased mortality (41). Even following effective treatment of AF with pulmonary vein isolation (42,43), the recurrence rate is significantly higher in patients undergoing HD, indicating the vulnerability of this population to AF (44,45). The present study found that serum kynurenine levels were higher in patients with AF. ROC curve analysis revealed the modest performance of kynurenine as a biomarker for AF in patients undergoing HD, with an AUC of 0.652 (P=0.005). However, for a multifactorial condition such as AF, a single factor is unlikely to achieve good discrimination. Thus, binary logistic regression analysis was used to evaluate whether kynurenine is an independent risk factor and possibly a pathogenetic factor for AF in this population. After adjusting for other factors associated with AF, kynurenine remained an independent predictor. For each 1 µM increase in serum kynurenine, the odds of AF increased by 37%. Whether this is caused by cardiac fibrosis or a direct arrhythmogenic effect of kynurenine pathway products remains to be clarified. Experimentally, kynurenine exerts pro-arrhythmogenic effects by modulating cardiac repolarization, possibly by reducing Kv11.1 channel levels (46). In other cell types, an increased expression of IDO-1 has been shown to upregulate P2X7 purinoceptor expression (47). Experimentally, P2X7 predisposes to AF by altering ion channel protein expression and inducing myocardial hypertrophy and fibrosis (48,49).

To the best of our knowledge, this is the first study to assess the role of kynurenine in HF and AF among patients undergoing HD. However, there are some limitations. Although our study detected an association between serum kynurenine levels and the prevalence of HFrEF and AF, its cross-sectional design cannot establish causality. Future studies that measure kynurenine longitudinally could clarify causal associations and may help establish serum kynurenine as a risk factor for HFrEF and AF among patients undergoing HD. For this reason, the authors plan to follow-up with the patients and enroll additional patients. In addition, the enrollment of patients from other centers will verify the stability of the association between kynurenine and cardiovascular complications. Another limitation of the present study is the inclusion of patients with a known history of CHD, which may have led to an underestimation of the true prevalence of CHD, as no specific diagnostic imaging was performed to detect clinically silent cases. Nevertheless, patients undergoing HD attend the HD unit three times per week, facilitating the early detection of CHD symptoms. Furthermore, these patients receive regular cardiological assessments and transthoracic echocardiography. As regards HF, all patients underwent a transthoracic echocardiogram within 3 months of the study. AF was unlikely to remain undiagnosed, given the frequency of patient visits to the HD unit.

In the event that the contribution of kynurenine to the development of HF or AF in patients undergoing HD is confirmed, strategies to reduce its levels may warrant consideration. As IDO-1 significantly contributes to kynurenine production, reducing its expression by alleviating the chronic inflammation typical of HD is a viable approach. Notably, clinical trials, such as the large phase III clinical trials NCT05021835 and the NCT05485961, are already underway using monoclonal antibodies targeting pro-inflammatory cytokines to reduce chronic inflammation (50). Alternatively, the direct inhibition of IDO-1 is possible. Several specific IDO-1 inhibitors, as well as inhibitors of both IDO-1 and TDO, are available and have been shown to be safe, having been tested as immunomodulatory agents in cancer treatment (51).

In conclusion, as demonstrated in the present study, in patients undergoing HD, serum kynurenine levels are elevated and associated with HFrEF and AF, suggesting a potential role for this uremic toxin in the development of these CV disorders. If proven, efforts to decrease tryptophan metabolism via the kynurenine pathway by reducing inflammation or inhibiting IDO-1 would be beneficial, as removing already formed kynurenine pathway products is challenging due to their binding to serum proteins.

Acknowledgements

Not applicable.

Funding

Funding: No funding was received.

Availability of data and materials

The data generated in the present study may be requested from the corresponding author.

Authors' contributions

TE was involved in the experimental design of the study and wrote the draft of the manuscript. TE, MD, AK, PM, CP, EL, AB and IS were involved in data collection. AK performed the ELISA. TE, MD, AK and MT performed the statistical analysis. TE, MD, AK, CP, EL, AB, MT and IS were involved in the editing of the manuscript. TE, AK and MD confirm the authenticity of all the raw data. All authors have read and approved the final manuscript.

Ethics approval and consent to participate

The present study was conducted in accordance with the Declaration of Helsinki and was approved by the Ethics Committee of the University of Thessaly, Faculty of Medicine (Approval Number: 558/10-2-2017). Informed consent was obtained from all subjects involved in the study.

Patient consent for publication

Not applicable.

Competing interests

The authors declare that they have no competing interests.

References

1 

Jankowski J, Floege J, Fliser D, Böhm M and Marx N: Cardiovascular disease in chronic kidney disease. Circulation. 143:1157–1172. 2021.

2 

Alberati-Giani D, Ricciardi-Castagnoli P, Kohler C and Cesura AM: Regulation of the kynurenine metabolic pathway by interferon-gamma in murine cloned macrophages and microglial cells. J Neurochem. 66:996–1004. 1996.PubMed/NCBI View Article : Google Scholar

3 

Schefold JC, Zeden JP, Fotopoulou C, von Haehling S, Pschowski R, Hasper D, Volk HD, Schuett C and Reinke P: Increased indoleamine 2,3-dioxygenase (IDO) activity and elevated serum levels of tryptophan catabolites in patients with chronic kidney disease: A possible link between chronic inflammation and uraemic symptoms. Nephrol Dial Transplant. 24:1901–1908. 2009.PubMed/NCBI View Article : Google Scholar

4 

Eleftheriadis T, Pissas G, Antoniadi G, Tsogka K, Makri P, Liakopoulos V and Stefanidis I: Increased indoleamine 2,3-dioxygenase in monocytes of patients on hemodialysis. Iran J Kidney Dis. 10:91–93. 2016.PubMed/NCBI

5 

Saito K, Fujigaki S, Heyes MP, Shibata K, Takemura M, Fujii H, Wada H, Noma A and Seishima M: Mechanism of increases in L-kynurenine and quinolinic acid in renal insufficiency. Am J Physiol Renal Physiol. 279:F565–F572. 2000.PubMed/NCBI View Article : Google Scholar

6 

Debnath S, Velagapudi C, Redus L, Thameem F, Kasinath B, Hura CE, Lorenzo C, Abboud HE and O'Connor JC: Tryptophan metabolism in patients with chronic kidney disease secondary to type 2 diabetes: Relationship to inflammatory markers. Int J Tryptophan Res. 10(1178646917694600)2017.PubMed/NCBI View Article : Google Scholar

7 

van Gelder MK, Middel IR, Vernooij RWM, Bots ML, Verhaar MC, Masereeuw R, Grooteman MP, Nubé MJ, van den Dorpel MA, Blankestijn PJ, et al: Protein-Bound uremic toxins in hemodialysis patients relate to residual kidney function, are not influenced by convective transport, and do not relate to outcome. Toxins (Basel). 12(234)2020.PubMed/NCBI View Article : Google Scholar

8 

Zakrocka I, Wicha-Komsta K, Boczkowska S, Załuska W, Papadopoulou E and Nasioulas G: The impact of clinical variables and dialysis modality on kynurenine pathway enzymes expression. Int J Mol Sci. 27(1313)2026.PubMed/NCBI View Article : Google Scholar

9 

Badawy AAB and Guillemin G: The plasma [Kynurenine]/[Tryptophan] ratio and indoleamine 2,3-dioxygenase: Time for appraisal. Int J Tryptophan Res. 12(1178646919868978)2019.PubMed/NCBI View Article : Google Scholar

10 

Chen Y, Xie Z, Xiao C, Zhang M, Li Z, Xie J, Zhang Y, Zhao X, Zeng P, Mo L, et al: Peripheral kynurenine/tryptophan ratio is not a reliable marker of systemic indoleamine 2,3-dioxygenase: A lesson drawn from patients on hemodialysis. Oncotarget. 8:25261–25269. 2017.PubMed/NCBI View Article : Google Scholar

11 

Opitz CA, Litzenburger UM, Sahm F, Ott M, Tritschler I, Trump S, Schumacher T, Jestaedt L, Schrenk D, Weller M, et al: An endogenous tumour-promoting ligand of the human aryl hydrocarbon receptor. Nature. 478:197–203. 2011.PubMed/NCBI View Article : Google Scholar

12 

Beischlag TV, Morales JL, Hollingshead BD and Perdew GH: The aryl hydrocarbon receptor complex and the control of gene expression. Crit Rev Eukaryot Gene Expr. 18:207–250. 2008.PubMed/NCBI View Article : Google Scholar

13 

Eleftheriadis T, Pissas G, Antoniadi G, Liakopoulos V and Stefanidis I: Kynurenine, by activating aryl hydrocarbon receptor, decreases erythropoietin and increases hepcidin production in HepG2 cells: A new mechanism for anemia of inflammation. Exp Hematol. 44:60–67.e61. 2016.PubMed/NCBI View Article : Google Scholar

14 

Eleftheriadis T, Pissas G, Liakopoulos V and Stefanidis I: IDO decreases glycolysis and glutaminolysis by activating GCN2K, while it increases fatty acid oxidation by activating AhR, thus preserving CD4+ T-cell survival and proliferation. Int J Mol Med. 42:557–568. 2018.PubMed/NCBI View Article : Google Scholar

15 

Eleftheriadis T, Pissas G, Golfinopoulos S, Liakopoulos V and Stefanidis I: Role of indoleamine 2,3-dioxygenase in ischemia-reperfusion injury of renal tubular epithelial cells. Mol Med Rep. 23(472)2021.PubMed/NCBI View Article : Google Scholar

16 

Razquin C, Ruiz-Canela M, Toledo E, Hernández-Alonso P, Clish CB, Guasch-Ferré M, Li J, Wittenbecher C, Dennis C, Alonso-Gómez A, et al: Metabolomics of the tryptophan-kynurenine degradation pathway and risk of atrial fibrillation and heart failure: Potential modification effect of Mediterranean diet. Am J Clin Nutr. 114:1646–1654. 2021.PubMed/NCBI View Article : Google Scholar

17 

Dschietzig TB, Kellner KH, Sasse K, Boschann F, Klüsener R, Ruppert J, Armbruster FP, Bankovic D, Meinitzer A, Mitrovic V and Melzer C: Plasma kynurenine predicts severity and complications of heart failure and associates with established biochemical and clinical markers of disease. Kidney Blood Press Res. 44:765–776. 2019.PubMed/NCBI View Article : Google Scholar

18 

Guillemin GJ, Lund A, Nordrehaug JE, Lund A, Nordrehaug JE, Slettom G, Solvang SH, Pedersen EK, Midttun Ø, Ulvik A, et al: Plasma kynurenines and prognosis in patients with heart failure. PLoS One. 15(e0227365)2020.PubMed/NCBI View Article : Google Scholar

19 

Pawlak K, Domaniewski T, Mysliwiec M and Pawlak D: The kynurenines are associated with oxidative stress, inflammation and the prevalence of cardiovascular disease in patients with end-stage renal disease. Atherosclerosis. 204:309–314. 2009.PubMed/NCBI View Article : Google Scholar

20 

Pawlak K, Brzosko S, Mysliwiec M and Pawlak D: Kynurenine, quinolinic acid—The new factors linked to carotid atherosclerosis in patients with end-stage renal disease. Atherosclerosis. 204:561–566. 2009.PubMed/NCBI View Article : Google Scholar

21 

Benitez T, VanDerWoude E, Han Y, Byun J, Konje VC, Gillespie BW, Saran R and Mathew AV: Kynurenine pathway metabolites predict subclinical atherosclerotic disease and new cardiovascular events in chronic kidney disease. Clin Kidney J. 15:1952–1965. 2022.PubMed/NCBI View Article : Google Scholar

22 

Al Awadhi S, Myint L, Guallar E, Clish CB, Wulczyn KE, Kalim S, Thadhani R, Segev DL, DeMarco MM, Moe SM, et al: A metabolomics approach to identify metabolites associated with mortality in patients receiving maintenance hemodialysis. Kidney Int Rep. 9:2718–2726. 2024.PubMed/NCBI View Article : Google Scholar

23 

Mohiti S, Christensen J, Landler NE, Sørensen IM, Thomassen JQ, Bjergfelt SS, Hansen D, Feldt-Rasmussen B, Bro S, Ebrahimi-Mameghani M, et al: Serum tryptophan and kynurenine levels and risk of heart failure among patients with chronic kidney disease. Clin Nutr. 47:14–20. 2025.PubMed/NCBI View Article : Google Scholar

24 

Dou L, Poitevin S, Sallée M, Addi T, Gondouin B, McKay N, Denison MS, Jourde-Chiche N, Duval-Sabatier A, Cerini C, et al: Aryl hydrocarbon receptor is activated in patients and mice with chronic kidney disease. Kidney Int. 93:986–999. 2018.PubMed/NCBI View Article : Google Scholar

25 

Kolachalama VB, Shashar M, Alousi F, Shivanna S, Rijal K, Belghasem ME, Walker J, Matsuura S, Chang GH, Gibson CM, et al: Uremic solute-aryl hydrocarbon receptor-tissue factor axis associates with thrombosis after vascular injury in humans. J Am Soc Nephrol. 29:1063–1072. 2018.PubMed/NCBI View Article : Google Scholar

26 

Muller AJ, Sharma MD, Chandler PR, Duhadaway JB, Everhart ME, Johnson BA III, Kahler DJ, Pihkala J, Soler AP, Munn DH, et al: Chronic inflammation that facilitates tumor progression creates local immune suppression by inducing indoleamine 2,3 dioxygenase. Proc Natl Acad Sci USA. 105:17073–17078. 2008.PubMed/NCBI View Article : Google Scholar

27 

Mor A, Tankiewicz-Kwedlo A, Ciwun M, Lewkowicz J and Pawlak D: Kynurenines as a novel target for the treatment of inflammatory disorders. Cells. 13(1259)2024.PubMed/NCBI View Article : Google Scholar

28 

Eleftheriadis T, Pissas G, Antoniadi G, Spanoulis A, Liakopoulos V and Stefanidis I: Indoleamine 2,3-dioxygenase increases p53 levels in alloreactive human T cells, and both indoleamine 2,3-dioxygenase and p53 suppress glucose uptake, glycolysis and proliferation. Int Immunol. 26:673–684. 2014.PubMed/NCBI View Article : Google Scholar

29 

Eleftheriadis T, Pissas G, Antoniadi G, Liakopoulos V and Stefanidis I: Indoleamine 2,3-dioxygenase depletes tryptophan, activates general control non-derepressible 2 kinase and down-regulates key enzymes involved in fatty acid synthesis in primary human CD4+ T cells. Immunology. 146:292–300. 2015.PubMed/NCBI View Article : Google Scholar

30 

Eleftheriadis T, Pissas G, Sounidaki M, Tsogka K, Antoniadis N, Antoniadi G, Liakopoulos V and Stefanidis I: Indoleamine 2,3-dioxygenase, by degrading L-tryptophan, enhances carnitine palmitoyltransferase I activity and fatty acid oxidation, and exerts fatty acid-dependent effects in human alloreactive CD4+ T-cells. Int J Mol Med. 38:1605–1613. 2016.PubMed/NCBI View Article : Google Scholar

31 

Fang X, Guo L, Xing Z, Shi L, Liang H, Li A, Kuang C, Tao B and Yang Q: IDO1 can impair NK cells function against non-small cell lung cancer by downregulation of NKG2D Ligand via ADAM10. Pharmacol Res. 177(106132)2022.PubMed/NCBI View Article : Google Scholar

32 

El-Zaatari M, Chang YM, Zhang M, Franz M, Shreiner A, McDermott AJ, van der Sluijs KF, Lutter R, Grasberger H, Kamada N, et al: Tryptophan catabolism restricts IFN-γ-expressing neutrophils and clostridium difficile immunopathology. J Immunol. 193:807–816. 2014.PubMed/NCBI View Article : Google Scholar

33 

Guo SX, Zhang L, Jiang W and Ma JJ: Indoleamine 2,3-dioxygenase adjusts neutrophils recruitment and chemotaxis in Aspergillus fumigatus keratitis. Int J Ophthalmol. 15:380–387. 2022.PubMed/NCBI View Article : Google Scholar

34 

Zhao F, Huang Y, Ji J, Liu X, Li X, Zou L, Wu K, Liu XD, Zeng S, Wang X, et al: IDO1 promotes CSFV replication by mediating tryptophan metabolism to inhibit NF-κB signaling. J Virol. 98(e0045824)2024.PubMed/NCBI View Article : Google Scholar

35 

Nguyen NT, Kimura A, Nakahama T, Chinen I, Masuda K, Nohara K, Fujii-Kuriyama Y and Kishimoto T: Aryl hydrocarbon receptor negatively regulates dendritic cell immunogenicity via a kynurenine-dependent mechanism. Proc Natl Acad Sci USA. 107:19961–19966. 2010.PubMed/NCBI View Article : Google Scholar

36 

Eleftheriadis T, Liakopoulos V, Antoniadi G, Stefanidis I and Galaktidou G: Indoleamine 2,3-dioxygenase is increased in hemodialysis patients and affects immune response to hepatitis B vaccination. Vaccine. 29:2242–2247. 2011.PubMed/NCBI View Article : Google Scholar

37 

Damman K and Testani JM: The kidney in heart failure: An update. Eur Heart J. 36:1437–1444. 2015.PubMed/NCBI View Article : Google Scholar

38 

Melhem NJ, Chajadine M, Gomez I, Howangyin KY, Bouvet M, Knosp C, Sun Y, Rouanet M, Laurans L, Cazorla O, et al: Endothelial cell indoleamine 2, 3-dioxygenase 1 alters cardiac function after myocardial infarction through kynurenine. Circulation. 143:566–580. 2021.PubMed/NCBI View Article : Google Scholar

39 

Wang Y, Song J, Yu K, Nie D, Zhao C, Jiao L, Wang Z, Zhou L, Wang F, Yu Q, et al: Indoleamine 2,3-dioxygenase 1 deletion-mediated kynurenine insufficiency inhibits pathological cardiac hypertrophy. Hypertension. 80:2099–2111. 2023.PubMed/NCBI View Article : Google Scholar

40 

Sager HB, Hulsmans M, Lavine KJ, Moreira MB, Heidt T, Courties G, Sun Y, Iwamoto Y, Tricot B, Khan OF, et al: Proliferation and recruitment contribute to myocardial macrophage expansion in chronic heart failure. Circ Res. 119:853–864. 2016.PubMed/NCBI View Article : Google Scholar

41 

Winkelmayer WC, Patrick AR, Liu J, Brookhart MA and Setoguchi S: The increasing prevalence of atrial fibrillation among hemodialysis patients. J Am Soc Nephrol. 22:349–357. 2011.PubMed/NCBI View Article : Google Scholar

42 

Nesapiragasan V, Hayıroğlu Mİ, Sciacca V, Sommer P, Sohns C and Fink T: Catheter Ablation approaches for the treatment of arrhythmia recurrence in patients with a durable pulmonary vein isolation. Balkan Med J. 40:386–394. 2023.PubMed/NCBI View Article : Google Scholar

43 

Yumurtaş AÇ, Pay L, Tezen O, Çetin T, Yücedağ FF, Arter E, Kadıoğlu H, Akgün H, Özkan E, Uslu A, et al: Evaluation of risk factors for long-term atrial fibrillation development in patients undergoing typical atrial flutter ablation: A multicenter pilot study. Herz. 50:51–58. 2024.PubMed/NCBI View Article : Google Scholar

44 

Takigawa M, Kuwahara T, Takahashi A, Kobori A, Takahashi Y, Okubo K, Watari Y, Sugiyama T, Kimura S, Takagi K, et al: The impact of haemodialysis on the outcomes of catheter ablation in patients with paroxysmal atrial fibrillation. Europace. 16:327–334. 2013.PubMed/NCBI View Article : Google Scholar

45 

Onishi N, Kaitani K, Nakagawa Y, Kobori A, Inoue K, Kurotobi T, Morishima I, Matsui Y, Yamaji H, Nakazawa Y, et al: Radiofrequency catheter ablation for atrial fibrillation patients on hemodialysis (From the Kansai Plus Atrial Fibrillation Registry)-clinical impact of early recurrence. Circ J. 88:1057–1064. 2024.PubMed/NCBI View Article : Google Scholar

46 

van Ham WB, Cornelissen CM, Polyakova E, van der Voorn SM, Ligtermoet ML, Monshouwer-Kloots J, Vos MA, Bossu A, van Rooij E, van der Heyden MAG and van Veen TAB: Pro-arrhythmic potential of accumulated uremic toxins is mediated via vulnerability of action potential repolarization. Int J Mol Sci. 24(5373)2023.PubMed/NCBI View Article : Google Scholar

47 

Eleftheriadis T, Pissas G, Golfinopoulos S, Liakopoulos V and Stefanidis I: Indoleamine 2,3-dioxygenase controls purinergic receptor-mediated ischemia-reperfusion injury in renal tubular epithelial cells. J Basic Clin Physiol Pharmacol. 34:745–754. 2023.PubMed/NCBI View Article : Google Scholar

48 

Ye T, Yang J, Liu Z, Yu Y, Zhang C, Guo Y, Yu F, Zhou Y, Song Z, Shi J, et al: Inhibition of the P2X7 receptor prevents atrial proarrhythmic remodeling in experimental post-operative atrial fibrillation. Int Immunopharmacol. 129(111536)2024.PubMed/NCBI View Article : Google Scholar

49 

Zhou Y, Ye T, Yu F, Song Z, Wang L, Zhang C, Yang B, Yang J and Wang X: Inhibition of P2X7 receptor mitigates atrial fibrillation susceptibility in isoproterenol-induced rats. Biochem Biophys Res Commun. 749(151340)2025.PubMed/NCBI View Article : Google Scholar

50 

Nowak KL and Chonchol M: Targeting inflammation in CKD. Am J Kidney Dis. 86:803–813. 2025.PubMed/NCBI View Article : Google Scholar

51 

Al-Zoubi RM, Elaarag M, Al-Qudimat AR, Al-Hurani EA, Fares ZE, Farhan A, Al-Zoubi SR, Khan A, Agouni A, Shkoor M, et al: IDO and TDO inhibitors in cancer immunotherapy: Mechanisms, clinical development, and future directions. Front Pharmacol. 16(1632446)2025.PubMed/NCBI View Article : Google Scholar

Related Articles

  • Abstract
  • View
  • Download
Copy and paste a formatted citation
Spandidos Publications style
Divani M, Katsanaki A, Makri P, Poulianiti C, Lykotsetas E, Balatsouka A, Tziastoudi M, Stefanidis I and Eleftheriadis T: Kynurenine levels are elevated in patients with heart failure with reduced ejection fraction or atrial fibrillation undergoing hemodialysis. Med Int 6: 29, 2026.
APA
Divani, M., Katsanaki, A., Makri, P., Poulianiti, C., Lykotsetas, E., Balatsouka, A. ... Eleftheriadis, T. (2026). Kynurenine levels are elevated in patients with heart failure with reduced ejection fraction or atrial fibrillation undergoing hemodialysis. Medicine International, 6, 29. https://doi.org/10.3892/mi.2026.313
MLA
Divani, M., Katsanaki, A., Makri, P., Poulianiti, C., Lykotsetas, E., Balatsouka, A., Tziastoudi, M., Stefanidis, I., Eleftheriadis, T."Kynurenine levels are elevated in patients with heart failure with reduced ejection fraction or atrial fibrillation undergoing hemodialysis". Medicine International 6.3 (2026): 29.
Chicago
Divani, M., Katsanaki, A., Makri, P., Poulianiti, C., Lykotsetas, E., Balatsouka, A., Tziastoudi, M., Stefanidis, I., Eleftheriadis, T."Kynurenine levels are elevated in patients with heart failure with reduced ejection fraction or atrial fibrillation undergoing hemodialysis". Medicine International 6, no. 3 (2026): 29. https://doi.org/10.3892/mi.2026.313
Copy and paste a formatted citation
x
Spandidos Publications style
Divani M, Katsanaki A, Makri P, Poulianiti C, Lykotsetas E, Balatsouka A, Tziastoudi M, Stefanidis I and Eleftheriadis T: Kynurenine levels are elevated in patients with heart failure with reduced ejection fraction or atrial fibrillation undergoing hemodialysis. Med Int 6: 29, 2026.
APA
Divani, M., Katsanaki, A., Makri, P., Poulianiti, C., Lykotsetas, E., Balatsouka, A. ... Eleftheriadis, T. (2026). Kynurenine levels are elevated in patients with heart failure with reduced ejection fraction or atrial fibrillation undergoing hemodialysis. Medicine International, 6, 29. https://doi.org/10.3892/mi.2026.313
MLA
Divani, M., Katsanaki, A., Makri, P., Poulianiti, C., Lykotsetas, E., Balatsouka, A., Tziastoudi, M., Stefanidis, I., Eleftheriadis, T."Kynurenine levels are elevated in patients with heart failure with reduced ejection fraction or atrial fibrillation undergoing hemodialysis". Medicine International 6.3 (2026): 29.
Chicago
Divani, M., Katsanaki, A., Makri, P., Poulianiti, C., Lykotsetas, E., Balatsouka, A., Tziastoudi, M., Stefanidis, I., Eleftheriadis, T."Kynurenine levels are elevated in patients with heart failure with reduced ejection fraction or atrial fibrillation undergoing hemodialysis". Medicine International 6, no. 3 (2026): 29. https://doi.org/10.3892/mi.2026.313
Follow us
  • Twitter
  • LinkedIn
  • Facebook
About
  • Spandidos Publications
  • Careers
  • Cookie Policy
  • Privacy Policy
How can we help?
  • Help
  • Live Chat
  • Contact
  • Email to our Support Team