Spandidos Publications Logo
  • About
    • About Spandidos
    • Aims and Scopes
    • Abstracting and Indexing
    • Editorial Policies
    • Reprints and Permissions
    • Job Opportunities
    • Terms and Conditions
    • Contact
  • Journals
    • All Journals
    • Oncology Letters
      • Oncology Letters
      • Information for Authors
      • Editorial Policies
      • Editorial Board
      • Aims and Scope
      • Abstracting and Indexing
      • Bibliographic Information
      • Archive
    • International Journal of Oncology
      • International Journal of Oncology
      • Information for Authors
      • Editorial Policies
      • Editorial Board
      • Aims and Scope
      • Abstracting and Indexing
      • Bibliographic Information
      • Archive
    • Molecular and Clinical Oncology
      • Molecular and Clinical Oncology
      • Information for Authors
      • Editorial Policies
      • Editorial Board
      • Aims and Scope
      • Abstracting and Indexing
      • Bibliographic Information
      • Archive
    • Experimental and Therapeutic Medicine
      • Experimental and Therapeutic Medicine
      • Information for Authors
      • Editorial Policies
      • Editorial Board
      • Aims and Scope
      • Abstracting and Indexing
      • Bibliographic Information
      • Archive
    • International Journal of Molecular Medicine
      • International Journal of Molecular Medicine
      • Information for Authors
      • Editorial Policies
      • Editorial Board
      • Aims and Scope
      • Abstracting and Indexing
      • Bibliographic Information
      • Archive
    • Biomedical Reports
      • Biomedical Reports
      • Information for Authors
      • Editorial Policies
      • Editorial Board
      • Aims and Scope
      • Abstracting and Indexing
      • Bibliographic Information
      • Archive
    • Oncology Reports
      • Oncology Reports
      • Information for Authors
      • Editorial Policies
      • Editorial Board
      • Aims and Scope
      • Abstracting and Indexing
      • Bibliographic Information
      • Archive
    • Molecular Medicine Reports
      • Molecular Medicine Reports
      • Information for Authors
      • Editorial Policies
      • Editorial Board
      • Aims and Scope
      • Abstracting and Indexing
      • Bibliographic Information
      • Archive
    • World Academy of Sciences Journal
      • World Academy of Sciences Journal
      • Information for Authors
      • Editorial Policies
      • Editorial Board
      • Aims and Scope
      • Abstracting and Indexing
      • Bibliographic Information
      • Archive
    • International Journal of Functional Nutrition
      • International Journal of Functional Nutrition
      • Information for Authors
      • Editorial Policies
      • Editorial Board
      • Aims and Scope
      • Abstracting and Indexing
      • Bibliographic Information
      • Archive
    • International Journal of Epigenetics
      • International Journal of Epigenetics
      • Information for Authors
      • Editorial Policies
      • Editorial Board
      • Aims and Scope
      • Abstracting and Indexing
      • Bibliographic Information
      • Archive
    • Medicine International
      • Medicine International
      • Information for Authors
      • Editorial Policies
      • Editorial Board
      • Aims and Scope
      • Abstracting and Indexing
      • Bibliographic Information
      • Archive
  • Articles
  • Information
    • Information for Authors
    • Information for Reviewers
    • Information for Librarians
    • Information for Advertisers
    • Conferences
  • Language Editing
Spandidos Publications Logo
  • About
    • About Spandidos
    • Aims and Scopes
    • Abstracting and Indexing
    • Editorial Policies
    • Reprints and Permissions
    • Job Opportunities
    • Terms and Conditions
    • Contact
  • Journals
    • All Journals
    • Biomedical Reports
      • Information for Authors
      • Editorial Policies
      • Editorial Board
      • Aims and Scope
      • Abstracting and Indexing
      • Bibliographic Information
      • Archive
    • Experimental and Therapeutic Medicine
      • Information for Authors
      • Editorial Policies
      • Editorial Board
      • Aims and Scope
      • Abstracting and Indexing
      • Bibliographic Information
      • Archive
    • International Journal of Epigenetics
      • Information for Authors
      • Editorial Policies
      • Editorial Board
      • Aims and Scope
      • Abstracting and Indexing
      • Bibliographic Information
      • Archive
    • International Journal of Functional Nutrition
      • Information for Authors
      • Editorial Policies
      • Editorial Board
      • Aims and Scope
      • Abstracting and Indexing
      • Bibliographic Information
      • Archive
    • International Journal of Molecular Medicine
      • Information for Authors
      • Editorial Policies
      • Editorial Board
      • Aims and Scope
      • Abstracting and Indexing
      • Bibliographic Information
      • Archive
    • International Journal of Oncology
      • Information for Authors
      • Editorial Policies
      • Editorial Board
      • Aims and Scope
      • Abstracting and Indexing
      • Bibliographic Information
      • Archive
    • Medicine International
      • Information for Authors
      • Editorial Policies
      • Editorial Board
      • Aims and Scope
      • Abstracting and Indexing
      • Bibliographic Information
      • Archive
    • Molecular and Clinical Oncology
      • Information for Authors
      • Editorial Policies
      • Editorial Board
      • Aims and Scope
      • Abstracting and Indexing
      • Bibliographic Information
      • Archive
    • Molecular Medicine Reports
      • Information for Authors
      • Editorial Policies
      • Editorial Board
      • Aims and Scope
      • Abstracting and Indexing
      • Bibliographic Information
      • Archive
    • Oncology Letters
      • Information for Authors
      • Editorial Policies
      • Editorial Board
      • Aims and Scope
      • Abstracting and Indexing
      • Bibliographic Information
      • Archive
    • Oncology Reports
      • Information for Authors
      • Editorial Policies
      • Editorial Board
      • Aims and Scope
      • Abstracting and Indexing
      • Bibliographic Information
      • Archive
    • World Academy of Sciences Journal
      • Information for Authors
      • Editorial Policies
      • Editorial Board
      • Aims and Scope
      • Abstracting and Indexing
      • Bibliographic Information
      • Archive
  • Articles
  • Information
    • For Authors
    • For Reviewers
    • For Librarians
    • For Advertisers
    • Conferences
  • Language Editing
Login Register Submit
  • This site uses cookies
  • You can change your cookie settings at any time by following the instructions in our Cookie Policy. To find out more, you may read our Privacy Policy.

    I agree
Search articles by DOI, keyword, author or affiliation
Search
Advanced Search
presentation
Molecular Medicine Reports
Join Editorial Board Propose a Special Issue
Print ISSN: 1791-2997 Online ISSN: 1791-3004
Journal Cover
July 2013 Volume 8 Issue 1

Full Size Image

Sign up for eToc alerts
Recommend to Library

Journals

International Journal of Molecular Medicine

International Journal of Molecular Medicine

International Journal of Molecular Medicine is an international journal devoted to molecular mechanisms of human disease.

International Journal of Oncology

International Journal of Oncology

International Journal of Oncology is an international journal devoted to oncology research and cancer treatment.

Molecular Medicine Reports

Molecular Medicine Reports

Covers molecular medicine topics such as pharmacology, pathology, genetics, neuroscience, infectious diseases, molecular cardiology, and molecular surgery.

Oncology Reports

Oncology Reports

Oncology Reports is an international journal devoted to fundamental and applied research in Oncology.

Experimental and Therapeutic Medicine

Experimental and Therapeutic Medicine

Experimental and Therapeutic Medicine is an international journal devoted to laboratory and clinical medicine.

Oncology Letters

Oncology Letters

Oncology Letters is an international journal devoted to Experimental and Clinical Oncology.

Biomedical Reports

Biomedical Reports

Explores a wide range of biological and medical fields, including pharmacology, genetics, microbiology, neuroscience, and molecular cardiology.

Molecular and Clinical Oncology

Molecular and Clinical Oncology

International journal addressing all aspects of oncology research, from tumorigenesis and oncogenes to chemotherapy and metastasis.

World Academy of Sciences Journal

World Academy of Sciences Journal

Multidisciplinary open-access journal spanning biochemistry, genetics, neuroscience, environmental health, and synthetic biology.

International Journal of Functional Nutrition

International Journal of Functional Nutrition

Open-access journal combining biochemistry, pharmacology, immunology, and genetics to advance health through functional nutrition.

International Journal of Epigenetics

International Journal of Epigenetics

Publishes open-access research on using epigenetics to advance understanding and treatment of human disease.

Medicine International

Medicine International

An International Open Access Journal Devoted to General Medicine.

Journal Cover
July 2013 Volume 8 Issue 1

Full Size Image

Sign up for eToc alerts
Recommend to Library

  • Article
  • Citations
    • Cite This Article
    • Download Citation
    • Create Citation Alert
    • Remove Citation Alert
    • Cited By
  • Similar Articles
    • Related Articles (in Spandidos Publications)
    • Similar Articles (Google Scholar)
    • Similar Articles (PubMed)
  • Download PDF
  • Download XML
  • View XML
Article

HMGB1 release by human liver L02 and HepG2 cells induced by lipopolysaccharide

  • Authors:
    • Ze-Bing Huang
    • Xia-Hong Dai
    • Mei-Fang Xiao
    • Rong-Rong Zhou
    • Shu-Shan Zhao
    • Bao-Xin Zhang
    • Pan-Pan Yi
    • Ruo-Chan Chen
    • Wen-Ting Li
    • Ai-Madhagi Yaser
    • Yan Huang
    • Xue-Gong Fan
  • View Affiliations / Copyright

    Affiliations: Department of Infectious Diseases, Xiangya Hospital, Central South University, Hunan, P.R. China, State Key Laboratory for Diagnosis and Treatment of Infectious Diseases, Zhejiang University, Hangzhou, Zhejiang, P.R. China, Health Management Center, Xiangya Hospital, Central South University, Changsha, Hunan, P.R. China, Key Laboratory of Viral Hepatitis, Hunan, P.R. China, Eight-Year Program, Xiangya Hospital, Central South University, Changsha, Hunan, P.R. China, Department of Infectious Diseases, Hunan Provincial Corps Hospital of Chinese People's Armed Police Forces, Changsha, Hunan, P.R. China
  • Pages: 103-112
    |
    Published online on: May 17, 2013
       https://doi.org/10.3892/mmr.2013.1482
  • Expand metrics +
Metrics: Total Views: 0 (Spandidos Publications: | PMC Statistics: )
Metrics: Total PDF Downloads: 0 (Spandidos Publications: | PMC Statistics: )
Cited By (CrossRef): 0 citations Loading Articles...

This article is mentioned in:


Abstract

Liver cells release the high mobility group box-1 (HMGB1) protein when exposed to lipopolysaccharides (LPSs). However, the timing and levels of protein released remain unclear. The present study aimed to characterize the secretion of the late pro-inflammatory cytokine HMGB1 by liver L02 and HepG2 cells. The human mononuclear macrophage cell line U937 was used as a control. Various concentrations of LPS were added to human U937, L02 and HepG2 cells for different durations, and the cells were analyzed at different time-points following this addition. Reverse transcription polymerase chain reaction (RT-PCR) was used to measure cellular HMGB1 mRNA levels, western blotting was performed to detect HMGB1 in cellular supernatants and the translocation of HMGB1 from the nucleus to the cytosol was examined using immunofluorescence staining. L02 and HepG2 cells exhibited higher HMGB1 mRNA levels compared with the control U937 cells 20 and 24 h following continuous exposure to LPS. U937 cells exhibited higher HMGB1 mRNA levels compared with the corresponding L02 and HepG2 cells 16 h following LPS exposure. The phase of HMGB1 protein detected in the cellular supernatants of L02 and HepG2 cells (16 h) was later than that of U937 cells (8 h). For the three cell lines, HMGB1 levels demonstrated a time dependency; however, the protein level was the highest in U937 cells. In the three cell lines, translocation of HMGB1 from the nucleus to the cytosol occurred; however, the phases of HMGB1 translocation in L02 and HepG2 cells occurred later than in U937 cells. LPS-induced secretion of the late pro‑inflammatory cytokine HMGB1 by liver cells is characterized by a late phase of release and smaller quantity, and the process of HMGB1 secretion appears to be associated with HMGB1 translocation.

Introduction

High mobility group box-1 (HMGB1) protein, discovered in the 1970s, is a non-histone nucleoprotein, rich in eukaryotes. It has a highly conserved structure; the homology of the amino acid sequence between humans and rodents is >99% (1). HMGB1 is widely distributed across different organs, including the lymph, heart, liver, kidney, lung and brain tissues of various species, and has evolved to be a substance necessary for life. Studies have demonstrated that HMGB1 knock-out mice die several hours following their birth (2). The localization of HMGB1 in the nucleus is determined by two lysine-rich nuclear localization sequences (NLS). The N-terminus of HMGB1 contains two repeats of positively charged domains (A box and B box), and a negatively charged C-terminus; these domains allow HMGB1 to bind to chromatin DNA, thus participating in DNA repair, replication, transcription and translation and the regulation of various cellular activities (3–5). The function of HMGB1 is related to its localization. HMGB1 in the nucleus participates in gene expression and regulation (6), whereas dynamically moving HMGB1 in the cytoplasm and nucleus is involved in regulating axon growth, the taxis of smooth muscle cells and the transfer of tumor cells (7,8). Recent studies have demonstrated that when nuclear HMGB1 is released into the extracellular space, it serves as an inflammatory mediator that participates in numerous pathological and physiological processes, maintaining and augmenting inflammatory responses (9). Thus it has a key role in the complex cytokine secretion and regulatory network (10).

It is necessary for HMGB1 to be released into the extracellular space in order to exert an inflammatory effect. In the extracellular space, HMGB1 is a key ‘late’ pro-inflammatory cytokine. In 1999, Wang et al reported the important role of HMGB1 in sepsis (9). In recent years, there have been an increasing number of studies demonstrating that HMGB1 is involved in various diseases. As a pro-inflammatory cytokine, the pathogenic action of HMGB1 has two prominent characteristics. Firstly, the time at which HMGB1 takes effect is relatively late. Unlike early pro-inflammatory cytokines, such as the commonly seen tumor necrosis factor-α (TNF-α), HMGB1 is not released into the extracellular space to exert its inflammatory effect until at least 20 h following stimulation (2,9). However, this is not the case in ischemia-reperfusion injuries (11); it has been demostrated that in ischemia-reperfusion models, HMGB1 release occurs within 4 h of stimulation, although the mechanism of this process remains unclear. Secondly, HMGB1 is capable of sustaining and augmenting the inflammatory response. It serves as an inflammatory cytokine that participates in signal transduction and also interacts with multiple pro-inflammatory cytokines to mutually induce expression (12); it may also lead to the nuclear translocation of the inflammatory signal molecule nuclear factor (NF)-κB (13,14). HMGB1 contributes to a complex cytokine secretion and regulatory network that initiates, sustains and augments the inflammatory response. HMGB1 is a key component of the inflammatory cytokine network (10), not only due to the cascade effect of its own secretions, but also due to its role in regulating the secretions of other inflammatory factors. HMGB1 has two methods of release; active ‘secretion’ (15) by activated immune cells and passive ‘leaking’ from apoptotic cells (16). HMGB1 secretion by activated immune cells has been widely studied, however there have been relatively few studies with regard to HMGB1 secretion by non-apoptotic cell entities. Previous studies by our group have found that under TNF-α and LPS stimulation, a large amount of HMGB1 may be detected in the supernatants of liver cell cultures (17,18), consistent with the results of Tsung et al(19). This was a novel finding for the physiological function of the liver. However, the process of HMGB1 release by liver cells remains unclear. In this study, HMGB1 release by the human mononuclear macrophage cell line U937 was used as a reference, and the release of the late pro-inflammatory cytokine HMGB1 by apoptotic liver cells was investigated.

Materials and methods

Cell lines

Human mononuclear macrophage cell line U937 and human liver cell lines L02 and HepG2 were purchased from the cell bank of Shanghai Institute of Biochemistry and Cell Biology, Chinese Academy of Science (Shanghai, China).

Study design

Cell lines L02, HepG2 and U937 were regularly cultured. The number of cells was adjusted to 2.0×106, and the cells were transferred to opti-MEM1 low-serum medium (Gibco, Carlsbad, CA, USA) for 4 h. Subsequently, LPS at a specific final concentration was added and cellular supernatants were collected at various time-points (0, 4, 8, 12, 16, 20 and 24 h). Western blotting was performed to measure the HMGB1 protein level and a methyl thiazolyl tetrazolium (MTT) assay was performed in order to detect the survival rate of the cells. HMGB1 mRNA levels were measured by reverse transcription polymerase chain reaction (RT-PCR), apoptosis was detected using a fluorescent TUNEL assay (Roche, USA) and HMGB1 translocation was examined by immunofluorescence. Three independent measurements were performed and results were averaged.

MTT assay

L02, HepG2 and U937 cells were cultured in 96-well plates and treated with varying concentrations of LPS for different durations. MTT (20 μl; Sigma, St. Louis, MO, USA) was added to each well and cultured in an incubator at 37°C for 4 h. The supernatant was then discarded and 150 μl DMSO was added to each well and agitated for 10 min. An automated ELISA analyzer (Chondrex, USA) was used for chromatometry. For the corresponding control group, normal saline (NS) of the same volume as LPS was added; DMSO and a low-serum medium were used for the baseline group. The cell survival rate was calculated according to the following formula: survival rate = (OD experimental group - OD baseline group)/(OD control group - OD baseline group).

Measurement of lactic dehydrogenase (LDH) content

Cellular supernatants of the HepG2, L02 and U937 cells were collected at various time-points (0, 4, 8, 12, 16, 20 and 24 h) and centrifuged to remove cell fragments. An Amicon Ultra-4 ml 10 KD ultrafiltration centrifugal tube (Millipore Inc., Billerica, MA, USA) was used to concentrate the solution 20–50 times. LDH contents of the groups were subjected to routine detection at the biochemistry laboratory of Xiangya Hospital, Central South University (Changsha, China).

Detection of apoptosis by fluorescent TUNEL assay

After each of the groups were treated, the cells were fixed with 4% pre-cooled paraformaldehyde, placed on a horizontal shaker at 25°C and subjected to gentle agitation for 60 min. Next, 0.1 ml permeating liquid was added and allowed to settle at 4°C for 10 min; 50 μl TUNEL reaction mixture (Boehringer Mannheim, Germany) was added to the wells of each experimental group and reacted in the dark for 60 min at 37°C. Freshly prepared DAPI working solution (1–2 drops of 2 mg/l) was added to stain the nuclei and cells were observed under a fluorescent microscope. Negative and positive control wells were also prepared. In the negative control well, the reaction mixture was replaced by Vial 2 solution (Roche) and the well was placed in the dark for 1 h. In the positive control well, following permeation, 3 U/ml DNase I (Sigma) was added and allowed to react for 10 min at 25°C. Subsequently, the reaction mixture was added for the TUNEL reaction.

Detection of HMGB1 mRNA level by RT-PCR

After treating each group, total RNA extraction and RT were performed according to the manufacturer’s instructions (Qiagen RNeasy Mini Extraction kit, Qiagen, Inc., Hilden, Germany). The PCR primer was designed using Primer premier 5.0 software based on human HMGB1 and β-actin cDNA sequences in the Genbank. The primers were synthesized by Shanghai Sangon Biotech Co., Ltd. (Shanghai, China) and their sequences were as follows: HMGB1, GAG CAT AAG AAG AAG CAC CCA GAT GGG CGA TAC TCA GAG CAG AAG (target fragment, 257 bp); and β-actin, GAC AGG ATG CAG AAG GAG ATT ACT TGA TCC ACA TCT GCT GGA AGG T (target fragment, 142 bp). The PCR reaction conditions for HMGB1 were as follows: 94°C for 4 min, 94°C for 30 sec, 58°C for 30 sec, 72°C for 30 sec, and 32 cycles of 72°C for 7 min. The PCR reaction conditions for β-actin were as follows: 94°C for 5 min, 94°C for 30 sec, 55°C for 30 sec, 72°C for 30 sec and 30 cycles of 72°C for 7 min. Subsequently, PCR products (5 μl) were subjected to 2% agarose gel electrophoresis and images were captured under UV light. A bandscan imaging analysis system (Eagle Eye II, Stralagene, USA) was used to scan the bands and the photodensity of each band was acquired. The relative band density of HMGB1 was calculated.

Measurement of HMGB1 protein by western blotting

The cell culture supernatants from each group were collected and the cell fragments were filtered out. An Amicon Ultra-4ml 10 KD ultrafiltration centrifugal tube (Millipore Inc.) was used to concentrate the solution and the Coomassie brilliant blue method (Sigma) was used to measure the protein content. To a 40 μl sample, a loading buffer of the same volume was added and mixed, and the mixture was subjected to denaturation by boiling. Separating gel (10% SDS-PAGE) and 5% spacer gel were prepared, and the samples were loaded for electrophoresis in an electrophoresis buffer. The gels were electrotransferred to polyvinylidine difluoride (PVDF) membranes. After blocking with a buffer containing 5% skim milk powder for 30 min, rabbit anti-human polyclonal antibody (Abcam, USA; 1:1,000 dilution)was added for an overnight reaction at 4°C. Following washing with Tris-buffered saline with Tween-20 (TBST), the PVDF membranes were incubated with a secondary antibody (Merck, Germany; 1:500 dilution) for 1 h at 37°C. Following a further TBST wash, exposure, development, fixation and positive image production were performed using the ECL Western Blotting Detection kit (Amersham Pharmacia Biotech, Amersham, UK), according to the manufacturer’s instructions . The film was scanned and photodensity was analyzed using Quantity One software (Bio-Rad, Hercules, CA, USA). The relative protein content of different samples was calculated based on the known concentration of recombinant human HMGB1.

HMGB1 translocation detection

Following each treatment period, the cell supernatant from each group was discarded. After three washes with PBS, cells were fixed with 4% paraformaldehyde for 15 min. The cells were dried at room temperature, subsequently treated with 0.1% Triton x-100 at 4°C for 10 min and then blocking at room temperature was performed for 30 min using a blocking buffer. The cells were spun dry and rabbit anti-human polyclonal antibody (1:1000 dilution) was added for an overnight incubation at 4°C. Subsequently, following three washes with PBS, a fluorescein isothiocyanate (FITC)-labeled fluorescent secondary antibody (1:750 dilution) was added for incubation at 37°C for 120 min. Following a further three washes with PBS, DAPI (final concentration, 5 μmol/l) was used for double staining at room temperature for 10 min, and glycerol jelly was used to mount the slides. The slides were examined under a fluorescent microscope, and Image-Pro Plus software (Media Cybernetics, Rockville, MD, USA) was used for semi-quantitative analysis of the relative fluorescence intensity in the nuclei and cytoplasm.

Statistical analysis

The SPSS 13.0 software package was used to analyze and process the data. A t-test was performed for comparison between the groups and analysis of variance (ANOVA) was performed for comparison within a group. P<0.05 was considered to indicate a statistically significant difference.

Results

Effects of stimulation with various concentrations of LPS

Western blotting was performed to measure HMGB1 levels in the supernatants of L02 cells 20 h after the addition of various concentrations of LPS. The results demonstrated that when the LPS concentration was in the range of 0–400 ng/ml, the concentration of HMGB1 in the cell culture supernatant increased as the LPS concentration increased. However, when the LPS concentration was >400 ng/ml, the concentration of HMGB1 in the supernatant no longer increased. At the final LPS concentration of 800 ng/ml, the HMGBI content was significantly lower than that when the LPS concentration was 400 ng/ml (P<0.05, Fig. 1). The MTT assay measured the survival rates of L02 cells following 20 h of continuous exposure to LPS at various concentrations (100, 400, 800 ng/ml). The results demonstrated that when the LPS concentration was in the range 0–400 ng/ml, the survival rate of L02 cells was >95% (99.99±0.01, 98.97±0.52 and 96.18±0.34% for the control, LPS 100 ng/ml and 400 ng/ml groups, respectively). However, when the concentration of LPS was increased to 800 ng/ml, the survival rate of the L02 cells significantly decreased to 90.59±0.76% (Fig. 2).

Figure 1

Relative high mobility group box-1 (HMGB1) protein content in the supernatant of L02 cells using western blotting 20 h after the addition of various concentrations of lipopolysaccharide (LPS). *HMGB1 content at 400 ng/ml LPS was significantly higher than that at the other three LPS concentrations (P<0.05, n=3).

Figure 2

Survival rate (%, mean ± SD) of L02 cells 20 h after the addition of various concentrations of lipopolysaccharide (LPS). *When the concentration of LPS reached 800 ng/ml, the survival rate decreased significantly (P<0.05).

Survival rates of HepG2, L02 and U937 cells at various time-points following the addition of LPS

As shown in Table I, at 0–24 h following the addition of LPS, the survival rates of HepG2, L02 and U937 cells were all >90%. However, at 48 h, the survival rates significantly decreased (P<0.05), and the level of HMGBl released passively by apoptotic cells also increased. Therefore, we selected 0–24 h following treatment with LPS to be the range for the measurement of damage-related factor LDH, apoptosis detection, measurement of HMGB1 mRNA levels using RT-PCR and the measurement of HMGB1 protein levels using western blotting.

Table I

Survival rates of HepG2, L02 and U937 cells at various time-points following the addition of LPS, measured by an MTT assay (mean ± SD, n=3).

Table I

Survival rates of HepG2, L02 and U937 cells at various time-points following the addition of LPS, measured by an MTT assay (mean ± SD, n=3).

Survival rate (%)

Group4 h8 h12 h16 h20 h24 h48 h
HepG299.30±0.1898.63±0.2296.98±0.7995.47±2.1494.24±0.9991.01±1.1783.54±1.26a
LO299.52±0.2998.37±0.8995.94±4.1395.46±1.7392.87±1.7990.76±0.9182.77±1.06a
U93799.41±0.3597.73±0.8696.65±0.3194.42±1.8691.75±3.1191.21±2.03381.88±0.96a

a At 48 h following the addition of LPS, the survival rates of cells from all groups significantly decreased (P<0.05).

{ label (or @symbol) needed for fn[@id='tfn2-mmr-08-01-0103'] } LPS, lipopolysaccharide; MTT, methyl thiazolyl tetrazolium.

LDH contents in the supernatants of HepG2, L02 and U937 cells at various time-points following the addition of LPS

The LDH content in the supernatants of HepG2, L02 and U937 cells were measured at different time-points (0–24 h) following the addition of 400 ng/ml LPS. The results demonstrated that the LDH content in the cell supernatants of different groups gradually increased with time; for each group, the LDH content in the supernatant at 24 h was significantly higher than that at 0–20 h (P<0.05). However, at each time-point, there was no significant difference in the LDH content in the cell supernatants between the LPS-treated and corresponding control groups (P>0.05; Table II).

Table II

LDH content in the supernatant of cells from different groups at various time-points following the addition of LPS (mean ± SD, n=3).

Table II

LDH content in the supernatant of cells from different groups at various time-points following the addition of LPS (mean ± SD, n=3).

LDH content (U/l)

Group4 h8 h12 h16 h20 h24 h
HepG2 + NS0.0257±0.00210.1428±0.00240.1868±0.00680.2607±0.01750.4234±0.05631.1049±0.0831
HepG2 + LPS0.0274±0.00180.1382±0.00460.1948±0.00570.2768±0.03680.4580±0.02421.1830±0.0732
L02 + NS0.0247±0.00070.1091±0.00940.1162±0.00540.1191±0.00490.4173±0.02001.3330±0.2947
L02 + LPS0.0252±0.00490.1181±0.01180.1212±0.00220.1374±0.00500.4221±0.03421.2616±0.1579
U937 + NS0.0265±0.00220.1369±0.00210.1350±0.00920.1354±0.01420.4365±0.00961.7306±0.0373
U937 + LPS0.0294±0.00240.1398±0.00860.1454±0.02320.1477±0.01990.4487±0.02881.5532±0.2679

[i] There was no significant difference between any of the LPS-treated and corresponding control groups (P>0.05). LDH, lactic dehydrogenase; LPS, lipopolysaccharide; NS, normal saline.

Effect of LPS stimulation on the apoptosis of HepG2, L02 and U937 cells

A TUNEL assay was used to detect the effect of LPS (400 ng/ml) stimulation on the apoptosis of HepG2, L02 and U937 cells at various time-points following the addition of LPS (4, 8, 12, 16, 20 and 24 h); NS of the same volume was added to the corresponding control groups. In the positive control, green fluorescence was observed in complete or broken nuclei and blue fluorescence in the same field of view marked cell nuclei double-stained by DAPI. As shown in Figs. 3–5, it was observed that there was little non-specific fluorescence in the HepG2, L02 and U937 cells at various time-points (high magnification). The relative fluorescence intensities of various cells are shown in Table III; there were no significant differences between the different time-points. Furthermore, at the same time-points, there were no significant differences between the LPS-treated and corresponding control groups (P>0.05).

Figure 3

Effect of lipopolysaccharide (LPS) stimuli on HepG2 apoptosis, as determined by a TUNEL assay. At 0–20 h, neither cells from LPS-treated groups nor those from the corresponding control groups demonstrated notable fluorescence; at 24 h, a small amount of non-specific fluorescence was observed. Semi-quantitative analysis demonstrated that there was no significant difference between the rates of apoptosis in the experimental and control groups (P>0.05).

Figure 5

Effect of lipopolysaccharide (LPS) stimuli on U937 apoptosis, as determined by a TUNEL assay. At 0–20 h, neither cells from LPS-treated groups nor those from the corresponding control groups exhibited notable fluorescence; at 24 h a small amount of non-specific fluorescence was observed. Semi-quantitative analysis demonstrated that there was no significant difference between the apoptosis rates in any of the experimental and control groups (P>0.05).

Table III

Relative fluorescence intensity indicating apoptosis in cells from different groups at various time-points following the addition of LPS (mean ± SD, n=3), measured by fluorescence TUNEL assay.

Table III

Relative fluorescence intensity indicating apoptosis in cells from different groups at various time-points following the addition of LPS (mean ± SD, n=3), measured by fluorescence TUNEL assay.

Fluorescence intensity (U/l)

GroupPositive controlNegative control0 h4 h8 h12 h16 h20 h24 h
L02 + LPS6.3640±0.60840.0660±0.02610.0753±0.02460.0647±0.02600.0615±0.01120.0790±0.01970.0937±0.00910.0960±0.03130.1393±0.0325
L02 + NS6.3640±0.60840.0660±0.02610.0607±0.01170.0780±0.01970.0740±0.02360.0743±0.04310.0877±0.04230.0947±0.03200.1270±0.0201
HepG2 + LPS7.4211±0.74800.0377±0.01720.1047±0.01870.1257±0.04930.1190±0.04680.1213±0.01990.1320±0.02950.1047±0.02400.2143±0.0991
HepG2 + NS7.4211±0.74800.0377±0.01720.0920±0.01660.1287±0.02520.1370±0.02750.1380±0.05560.1300±0.03930.1307±0.03350.2347±0.0735
U937 + LPS4.9257±1.11010.0400±0.01900.1303±0.03450.1433±0.05450.1470±0.05780.1433±0.05390.1673±0.05240.1820±0.01740.2133±0.0467
U937 + NS4.9257±1.11010.0400±0.01900.1127±0.03270.1400±0.04230.1443±0.04850.1420±0.06510.1707±0.07480.1920±0.02170.2077±0.0142

[i] There was no significant difference between various time-points for the same type of cell; there was also no significant difference between the LPS-treated and the corresponding control groups at the same time-points (P>0.05). LPS, lipopolysaccharide. NS, normal saline.

Effect of LPS stimulation on HMGB1 translocation in HepG2, L02 and U937 cells

An immunofluorescence assay was used to examine HMGBl translocation in HepG2, L02 and U937 cells at different time-points following the addition of LPS (400 ng/ml; 0, 4, 8, 12, 16, 20 and 24 h). Under normal conditions, HMGB1 in HepG2, L02 and U937 cells was concentrated in the nuclei. Following treatment with 400 ng/ml LPS, green fluorescence from specifically labeled HMGBl was observed at 12 h in the cytosol of HepG2 and L02 cells; the fluorescence in the cytoplasm increased, whereas that in the nuclei decreased with time, suggestive of the translocation of HMGBl from the nuclei to the cytoplasm. In the corresponding control group, a small amount of fluorescence was observed in the cytoplasm, but the majority remained in the nuclei (Figs. 6 and 7). Relative fluorescence intensities of the groups were analyzed further by Image-Pro Plus software and are shown in Table IV. The results revealed that compared with 16 and 20 h following the addition of LPS, the total fluorescence at 24 h in the cytoplasm and nuclei of HepG2 and L02 cells was significantly reduced (P<0.05). Furthermore, at 0, 4 and 8 h following the addition of LPS, there was no difference in fluorescence intensity in the cytoplasm or nuclei of cells between the LPS-treated HepG2 or L02 group and the corresponding control group (P>0.05). However, at 12–24 h, the fluorescence intensities in the cytoplasm of cells from the LPS-treated HepG2 and L02 groups were significantly higher than those of the corresponding control groups (P<0.05).

Figure 6

High mobility group box-1 (HMGB1) translocation in HepG2 cells, as detected by an immunofluorescence assay at various time-points following the addition of lipopolysaccharide (LPS; 400 ng/ml; magnification, ×200). At 12–24 h, substantial fluorescence was detected in the cytosol of LPS-treated HepG2 cells; however, in the corresponding control group, fluorescence was mainly detected in the nuclei. Semi-quantitative analysis revealed that this difference was significant (*P<0.05).

Figure 7

High mobility group box-1 (HMGB1) translocation in L02 cells, as detected by an immunofluorescence assay at various time-points following the addition of lipopolysaccharide (LPS; 400 ng/ml; magnification, ×200). At 12–24 h, substantial fluorescence was detected in the cytosol of LPS-treated L02 cells, whereas in the corresponding control group, fluorescence was mainly detected in the nuclei. Semi-quantitative analysis revealed that this difference was significant (*P<0.05).

Table IV

Relative fluorescence intensity of cells from different groups at various time-points following the addition of LPS (mean ± SD, n=3).

Table IV

Relative fluorescence intensity of cells from different groups at various time-points following the addition of LPS (mean ± SD, n=3).

Fluorescence intenstity (%)

Group0 h4 h8 h12 h16 h20 h24 h
L02 + LPS
 N64.58±3.11..63.95±4.66..64.16±1.52..49.75±3.0339.24±3.2028.48±5.1522.36±3.38
 C5.16±1.434.65±0.593.90±1.28 19.04±1.42a 28.83±3.61a 42.04±9.54a 34.07±5.12a
L02 + NS
 N63.09±3.83..62.21±5.44..64.05±4.03..60.93±8.9361.37±7.6856.85±6.9849.85±6.47
 C4.52±0.564.37±1.544.32±0.995.68±1.177.05±1.479.74±2.8714.40±4.07
HepG2 + LPS
 N69.13±1.69..68.38±3.21..68.20±2.93..59.48±3.8144.32±4.4634.21±3.4026.70±7.32
 C3.65±0.673.86±1.394.55±1.81 14.74±1.34a 27.06±3.59a 45.51±5.16a 33.67±3.86a
HepG2 + NS
 N69.87±4.72..71.17±4.28..71.05±1.81..70.77±8.1867.52±7.7463.77±5.0751.95±5.93
 C3.14±1.503.62±1.674.77±2.424.73±1.665.89±2.547.72±2.7016.29±3.01
U937 + LPS
 N52.47±3.61..50.30±4.36..42.50±1.80..35.41±2.4730.07±2.5525.65±3.5123.96±4.64
 C1.90±0.653.94±1.15 10.91±1.17b. 19.35±1.50b 25.44±1.06b 34.31±2.97b 26.67±3.87b
U937 + NS
 N53.45±4.31..52.77±6.76..52.45±5.17..53.51±3.1051.40±6.3448.38±7.2242.26±7.17
 C1.95±1.691.87±0.992.30±1.212.16±0.572.8±0.676.98±1.5112.77±1.24

[i] Semi-quantitative fluorescence analysis showed that at 12–24 h, the fluorescence intensities in the cytoplasm of HepG2 and L02 cells from the LPS-treated group were significantly higher than those in the corresponding controls (aP<0.05); whereas in U937 cells, starting at 8 h, the fluorescence intensity in the cytoplasm of cells from the LPS-treated group was significantly higher than in the corresponding controls (bP<0.05). LPS, lipopolysaccharide; NS, normal saline; N, nuclei; C, cytoplasm.

The translocation of HMGBl from the nuclei to the cytoplasm in U937 cells occurred earlier than in HepG2 and L02 cells; at ~4 h, green fluorescence was observed in the cytoplasm and at 8 h, a substantial degree of green fluorescence was observed in the cytoplasm of U937 cells. At 20 and 24 h, the green fluorescence in the cytoplasm was markedly decreased. For cells of the control group (NS-treated), the green fluorescence, representing specifically labeled HMGBl, was localized within the nucleus and no marked translocation was observed. Since the cytoplasm of U937 cells is relatively small, the cytoplasmic staining of U937 cells was less conspicuous than that of the HepG2 and L02 cells (Fig. 8). Relative fluorescence intensities of the different groups were further analyzed by Image-Pro Plus software and are shown in Table IV; from 8 h, the fluorescence intensity in the cytoplasm of cells from the LPS-treated U937 group was significantly higher than that of the corresponding control group (P<0.05).

Figure 8

High mobility group box-1 (HMGB1) translocation in U937 cells, as detected by an immunofluorescence assay at different time-points following the addition of lipopolysaccharide (LPS; 400 ng/ml; magnification, ×400). At 4 h, green fluorescence was observed in the cytosol of LPS-treated U937 cells and at 8–24 h, substantial fluorescence was detected in the cytosol of LPS-treated U937 cells; however, in the corresponding control group, fluorescence was mainly detected in the nuclei. Semi-quantitative analysis revealed that these differences were significant (#P<0.05).

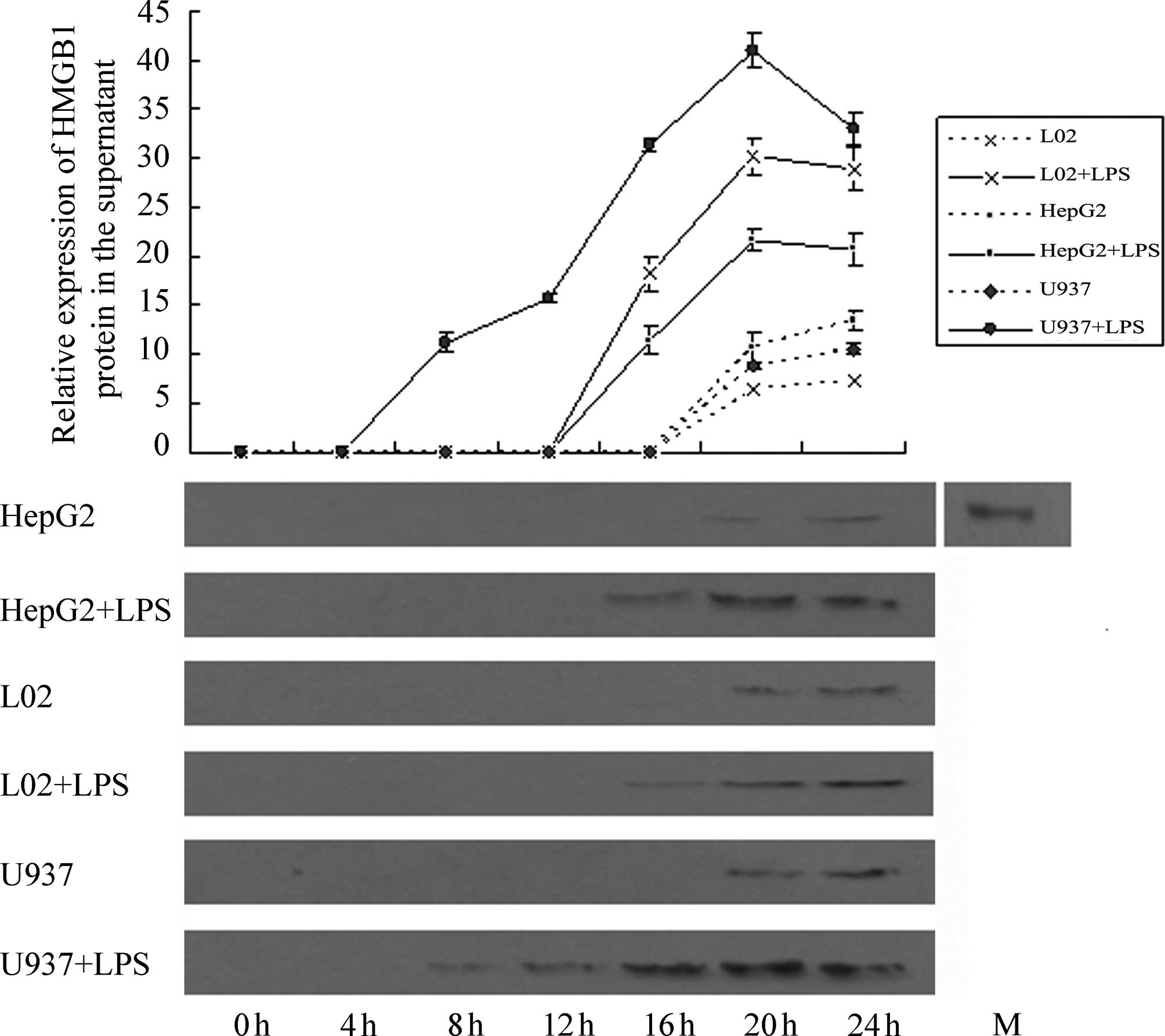
Effect of LPS stimulation on HMGB1 release by HepG2, L02 and U937 cells

Western blotting results (Fig. 9) revealed that at 4 h following the addition of LPS (400 ng/ml), no HMGBl band was detected in the supernatants of HepG2, L02 and U937 cells. At 8 h, a weak HMGBl band was observed in the supernatant of U937 cells and at 16 h, a weak HMGBl band was detected in the supernatants of HepG2 and L02 cells. The photodensities of the HMGB1 bands from the three types of cells gradually increased with time. Semi-quantitative analysis revealed that at 20 h, HMGBl content in the cell culture supernatants of the three cell types peaked. At 20 and 24 h, a small quantity of HMGBl was detected in the cell culture supernatant from the control groups (NS-treated), and this quantity differed significantly from the amount of HMGBl in the cell supernatant of the corresponding experimental group for the three types of cells (P<0.05). Comparison of the quantity of HMGBl secreted by the three cell types following LPS treatment demonstrated that HMGBl secretion by U937 cells was by far the highest, and the differences were significant (P<0.05). Further comparisons revealed that the amount of HMGB1 secreted by L02 cells at 16 h was comparable to that by U937 cells at 13 h, and the amount of HMGB1 secreted by L02 cells at 20 h was comparable to that by U937 cells at 16 h. With increasing time, the amount of HMGB1 secreted by L02 cells at 24 h was significantly lower than that by U937 cells at 20 h (P<0.05). The amount of HMGB1 secreted by HepG2 cells at 20 h was comparable to that by U937 cells at 14 h. With an increase in time, the amount of HMGB1 secreted by HepG2 cells at 24 h was significantly lower than that by U937 cells at 20 h (P<0.05).

Figure 9

Effect of lipopolysaccharide (LPS) stimuli on high mobility group box-1 (HMGB1) secretion by HepG2, L02 and U937 cells. At 8–24 h, HMGB1 content in the supernatant of U937 cells was significantly higher than that in the corresponding control (P<0.05). At 16–24 h, HMGB1 content in the supernatants of HepG2 and L02 cells was significantly higher than that in the corresponding controls (P<0.05). At 20 and 24 h, an extremely small amount of HMGB1 was detected in the three control groups (treated with normal saline; NS) and these amounts were significantly lower than those of the corresponding experimental groups (P<0.05). Comparison of the HMGB1 secretion levels from the three cell types at the same time-points following LPS treatment demonstrated that U937 cells secreted the highest level of HMGB1. M, reference.

Effect of LPS stimulation on HMGB1 mRNA levels in HepG2, L02 and U937 cells

RT-PCR was used to detect the HMGB1 mRNA levels in HepG2, L02 and U937 cells at different time-points following the addition of 400 ng/ml LPS (0, 4, 8, 12, 20 and 24 h). NS of the same volume was added to the corresponding control groups. As shown in Figs. 10–12, at 20 and 24 h following the addition of LPS, HMGB1 mRNA levels in HepG2 and L02 cells were significantly higher than those in the corresponding controls. For U937 cells, the HMGB1 mRNA level at 16 h was already significantly higher than the corresponding control. The increase in HMGB1 mRNA level induced by LPS in U937 cells occurred earlier than in HepG2 and L02 cells, and the magnitude of the increase was also higher; these differences were all deemed to be significant (P<0.05).

Figure 10

Effect of lipopolysaccharide (LPS) stimuli on high mobility group box-1 (HMGB1) mRNA levels in U937 cells. #Comparison with corresponding control group (NS-treated; P<0.05). NS, normal saline; M, reference.

Figure 12

Effect of lipopolysaccharide (LPS) stimuli on high mobility group box-1 (HMGB1) mRNA levels in HepG2 cells. #Comparison with corresponding control group (NS-treated; P<0.05). NS, normal saline; M, reference.

Discussion

Under normal conditions, HMGB1 is localized in the nucleus. Thus, the release of HMGB1 from the intracellular to extracellular space is a prerequisite for its extracellular functions. There are two ways by which HMGB1 may be released; active ‘secretion’ by activated immune cells and passive ‘leaking’ from apoptotic cells. Previous studies have demonstrated that non-apoptotic HepG2 cells are capable of releasing HMGB1 (17,18). In this study, we characterized the secretion of late pro-inflammatory cytokine HMGB1 by liver L02 and HepG2 cells.

LPS-induced HMGB1 release in liver cells was not caused by cell damage. LDH is a damage-related factor; when cultured cells are damaged, a large quantity of LDH may be detected in the culture fluid. Our results revealed that at all time-points, the LDH content in the cell supernatants of every LPS-treated group was not significantly different from that of the corresponding controls, suggesting that at 0–24 h following the addition of 400 ng/ml LPS, none of the cells had incurred substantial damage.

Liver cells (L02, HepG2) and U937 cells release HMGB1 when treated with LPS; however, their release characteristics vary. The first difference is reflected in the timing of the release. For U937 cells, at 8 h following the introduction of LPS, the HMGBl band was detected from the cell culture supernatant, whereas for liver cells (L02, HepG2), a weak HMGBl band was detected from the supernatant at only 16 h following stimulation, suggesting that HMGB1 release from the liver cells occurs substantially later than from the immune cell line U937. The second difference is that the amount of HMGB1 released from the control and liver cells differed. Although the amount of HMGB1 detected in the supernatant of LPS-treated U937 cells was relatively small, it remained larger compared with that in the liver cells (L02, HepG2). RT-PCR results revealed that at 20 and 24 h following the addition of LPS, HMGB1 mRNA levels in the liver cells (L02, HepG2) were significantly higher than those in the corresponding controls. In U937 cells, starting from 16 h, the HMGB1 mRNA levels were already significantly higher than those in the corresponding controls, suggesting that the elevation in HMGB1 mRNA levels occurred earlier in U937 cells vs. liver cells (L02, HepG2). When considering the combined RT-PCR and western blotting results, we noted that for U937 and liver cells (L02, HepG2) at the same effective LPS concentration, the time at which the HMGB1 mRNA level became elevated was later than the time at which the HMGB1 level in the supernatant became elevated, suggesting that increased levels of HMGB1 in the supernatant were not solely from transcription-translation of the increased HMGB1 mRNAs in response to LPS stimulation. The immunofluorescence assay results demonstrated that HMGBl translocation from the nucleus to the cytoplasm was observed at 12 h in liver cells (L02, HepG2); however, in U937 cells, such translocation occurred at 4–8 h, which was substantially earlier than in the liver cells (L02, HepG2). We speculate that at 0–24 h, the main source of HMGB1 in the supernatant was released from the HMGB1 pool in the nuclei, and was not the result of the regulation of the internal signaling pathway (transcription-translation) in response to stimulation. However, as time progressed, the latter may gradually play a dominant role.

Our study demonstrates that living, non-apoptotic liver cells are capable of secreting and releasing the late inflammatory cytokine HMGB1, and the mechanism of this secretion may be closely associated with the translocation of HMGB1 in the nuclei. Compared with HMGB1 secretion from immune cells, HMGB1 secretion from liver cells occurs later and in a smaller quantity. These results provide an experimental basis for a more complete understanding of the physiological function of the liver. During the development of severe hepatitis, immune cells of the liver, including mononuclear macrophage cells and NK cells, are activated and release inflammatory cytokines, leading to a second attack on the liver that aggravates the damage (20). The results from this study reveal that non-apoptotic liver cells are capable of releasing HMGB1, which further exacerbates the aforementioned inflammatory response cascade. However, HMGB1 release to the extracellular space may also serve as a warning signal to nearby liver cells and affect the taxis of endothelial cells in order to promote the aggregation of endothelial cells and tissue repair. Hence, HMGB1 release by liver cells in response to external stimuli may also be an important step in the self-protection mechanism of the body. This study provides a new approach to investigating the pathogenic mechanism of severe hepatitis. Furthermore, due to the characteristic functions of HMGB1 in the inflammatory network, it may be a new target for the clinical treatment of severe hepatitis.

In conclusion, LPS-stimulated liver cells are capable of secreting the late inflammatory cytokine HMGB1. Compared with HMGB1 release by immune cells, HMGB1 release by liver cells occurs later and in a smaller quantity. Furthermore, this release is associated with HMGB1 translocation and is not dependent on cell death or apoptosis.

Acknowledgements

This study was supported by grants from the National Natural Science Foundation of China (30972621 and 81101829), the Funding for Doctoral Program of The University of China (20110162110004), the Special Funding for Hunan Innovation of Scientific Research Technics of China (2011TT2060), the Hunan Natural Science Foundation of China (11JJ4074), the Freedom Explore Program of Central South University of China (2011QNZT14) and the Hunan Innovative Experimental Program for Undergraduates of China (BW11479).

References

1 

Yotov WV and St-Arnaud R: Nucleotide sequence of a mouse cDNA encoding the nonhistone chromosomal high mobility group protein-1 (HMG1). Nucleic Acids Res. 20:35161992. View Article : Google Scholar : PubMed/NCBI

2 

Calogero S, Grassi F, Aguzzi A, et al: The lack of chromosomal protein Hmg1 does not disrupt cell growth but causes lethal hypoglycaemia in newborn mice. Nat Genet. 22:276–280. 1999. View Article : Google Scholar : PubMed/NCBI

3 

Landsman D and Bustin M: A signature for the HMG-1 box DNA-binding proteins. Bioessays. 15:539–546. 1993. View Article : Google Scholar : PubMed/NCBI

4 

Landsman D: No HMG-1 box signature. Nature. 363:5901993. View Article : Google Scholar : PubMed/NCBI

5 

Melvin VS and Edwards DP: Coregulatory proteins in steroid hormone receptor action: the role of chromatin high mobility group proteins HMG-1 and -2. Steroids. 64:576–586. 1999. View Article : Google Scholar : PubMed/NCBI

6 

Furuita K, Murata S, Jee JG, et al: Structural feature of bent DNA recognized by HMGB1. J Am Chem Soc. 133:5788–5790. 2011. View Article : Google Scholar : PubMed/NCBI

7 

Huttunen HJ and Rauvala H: Amphoterin as an extracellular regulator of cell motility: from discovery to disease. J Intern Med. 255:351–366. 2004. View Article : Google Scholar : PubMed/NCBI

8 

Degryse B, Bonaldi T, Scaffidi P, et al: The high mobility group (HMG) boxes of the nuclear protein HMG1 induce chemotaxis and cytoskeleton reorganization in rat smooth muscle cells. J Cell Biol. 152:1197–1206. 2001. View Article : Google Scholar : PubMed/NCBI

9 

Wang H, Bloom O, Zhang M, et al: HMG-1 as a late mediator of endotoxin lethality in mice. Science. 285:248–251. 1999. View Article : Google Scholar : PubMed/NCBI

10 

Erlandsson Harris H and Andersson U: Mini-review: the nuclear protein HMGB1 as a proinflammatory mediator. Eur J Immunol. 34:1503–1512. 2004.PubMed/NCBI

11 

Xu H, Yao Y, Su Z, et al: Endogenous HMGB1 contributes to ischemia-reperfusion-induced myocardial apoptosis by potentiating the effect of TNF-alpha/JNK. Am J Physiol Heart Circ Physiol. 300:H913–H921. 2011. View Article : Google Scholar : PubMed/NCBI

12 

Luan ZG, Zhang H, Yang PT, et al: HMGB1 activates nuclear factor-κB signaling by RAGE and increases the production of TNF-α in human umbilical vein endothelial cells. Immunobiology. 215:956–962. 2010.

13 

Fiuza C, Bustin M, Talwar S, et al: Inflammation-promoting activity of HMGB1 on human microvascular endothelial cells. Blood. 101:2652–2660. 2003. View Article : Google Scholar : PubMed/NCBI

14 

Park JS, Svetkauskaite D, He Q, et al: Involvement of toll-like receptors 2 and 4 in cellular activation by high mobility group box 1 protein. J Biol Chem. 279:7370–7377. 2004. View Article : Google Scholar : PubMed/NCBI

15 

Gardella S, Andrei C, Ferrera D, et al: The nuclear protein HMGB1 is secreted by monocytes via a non-classical, vesiclemediated secretory pathway. EMBO Rep. 3:995–1001. 2002. View Article : Google Scholar : PubMed/NCBI

16 

Scaffidi P, Misteli T and Bianchi ME: Release of chromatin protein HMGB1 by necrotic cells triggers inflammation. Nature. 418:191–195. 2002. View Article : Google Scholar : PubMed/NCBI

17 

Zhou RG, Fan XG, Liu HB, et al: Study of the extracellular release of HMGB1 in human liver cell line HepG2 cells induced by lipopolysaccharide. Life Science Research. 4:359–364. 2008.(In Chinese).

18 

Zhou RG, Fan XG, Liu HB, et al: Study of the extracellular release of HMGB1 in human liver cell line HepG2 cells induced by TNF-α. Chin J Immunol. 25:126–131. 2009.(In Chinese).

19 

Tsung A, Klune JR, Zhang X, et al: HMGB1 release induced by liver ischemia involves Toll-like receptor 4 dependent reactive oxygen species production and calcium-mediated signaling. J Exp Med. 204:2913–2923. 2007. View Article : Google Scholar : PubMed/NCBI

20 

Jha AK, Nijhawan S and Suchismita A: Sepsis in acute on chronic liver failure. Dig Dis Sci. 56:1245–1246. 2011. View Article : Google Scholar : PubMed/NCBI

Related Articles

  • Abstract
  • View
  • Download
  • Twitter
Copy and paste a formatted citation
Spandidos Publications style
Huang Z, Dai X, Xiao M, Zhou R, Zhao S, Zhang B, Yi P, Chen R, Li W, Yaser A, Yaser A, et al: HMGB1 release by human liver L02 and HepG2 cells induced by lipopolysaccharide. Mol Med Rep 8: 103-112, 2013.
APA
Huang, Z., Dai, X., Xiao, M., Zhou, R., Zhao, S., Zhang, B. ... Fan, X. (2013). HMGB1 release by human liver L02 and HepG2 cells induced by lipopolysaccharide. Molecular Medicine Reports, 8, 103-112. https://doi.org/10.3892/mmr.2013.1482
MLA
Huang, Z., Dai, X., Xiao, M., Zhou, R., Zhao, S., Zhang, B., Yi, P., Chen, R., Li, W., Yaser, A., Huang, Y., Fan, X."HMGB1 release by human liver L02 and HepG2 cells induced by lipopolysaccharide". Molecular Medicine Reports 8.1 (2013): 103-112.
Chicago
Huang, Z., Dai, X., Xiao, M., Zhou, R., Zhao, S., Zhang, B., Yi, P., Chen, R., Li, W., Yaser, A., Huang, Y., Fan, X."HMGB1 release by human liver L02 and HepG2 cells induced by lipopolysaccharide". Molecular Medicine Reports 8, no. 1 (2013): 103-112. https://doi.org/10.3892/mmr.2013.1482
Copy and paste a formatted citation
x
Spandidos Publications style
Huang Z, Dai X, Xiao M, Zhou R, Zhao S, Zhang B, Yi P, Chen R, Li W, Yaser A, Yaser A, et al: HMGB1 release by human liver L02 and HepG2 cells induced by lipopolysaccharide. Mol Med Rep 8: 103-112, 2013.
APA
Huang, Z., Dai, X., Xiao, M., Zhou, R., Zhao, S., Zhang, B. ... Fan, X. (2013). HMGB1 release by human liver L02 and HepG2 cells induced by lipopolysaccharide. Molecular Medicine Reports, 8, 103-112. https://doi.org/10.3892/mmr.2013.1482
MLA
Huang, Z., Dai, X., Xiao, M., Zhou, R., Zhao, S., Zhang, B., Yi, P., Chen, R., Li, W., Yaser, A., Huang, Y., Fan, X."HMGB1 release by human liver L02 and HepG2 cells induced by lipopolysaccharide". Molecular Medicine Reports 8.1 (2013): 103-112.
Chicago
Huang, Z., Dai, X., Xiao, M., Zhou, R., Zhao, S., Zhang, B., Yi, P., Chen, R., Li, W., Yaser, A., Huang, Y., Fan, X."HMGB1 release by human liver L02 and HepG2 cells induced by lipopolysaccharide". Molecular Medicine Reports 8, no. 1 (2013): 103-112. https://doi.org/10.3892/mmr.2013.1482
Follow us
  • Twitter
  • LinkedIn
  • Facebook
About
  • Spandidos Publications
  • Careers
  • Cookie Policy
  • Privacy Policy
How can we help?
  • Help
  • Live Chat
  • Contact
  • Email to our Support Team