Spandidos Publications Logo
  • About
    • About Spandidos
    • Aims and Scopes
    • Abstracting and Indexing
    • Editorial Policies
    • Reprints and Permissions
    • Job Opportunities
    • Terms and Conditions
    • Contact
  • Journals
    • All Journals
    • Oncology Letters
      • Oncology Letters
      • Information for Authors
      • Editorial Policies
      • Editorial Board
      • Aims and Scope
      • Abstracting and Indexing
      • Bibliographic Information
      • Archive
    • International Journal of Oncology
      • International Journal of Oncology
      • Information for Authors
      • Editorial Policies
      • Editorial Board
      • Aims and Scope
      • Abstracting and Indexing
      • Bibliographic Information
      • Archive
    • Molecular and Clinical Oncology
      • Molecular and Clinical Oncology
      • Information for Authors
      • Editorial Policies
      • Editorial Board
      • Aims and Scope
      • Abstracting and Indexing
      • Bibliographic Information
      • Archive
    • Experimental and Therapeutic Medicine
      • Experimental and Therapeutic Medicine
      • Information for Authors
      • Editorial Policies
      • Editorial Board
      • Aims and Scope
      • Abstracting and Indexing
      • Bibliographic Information
      • Archive
    • International Journal of Molecular Medicine
      • International Journal of Molecular Medicine
      • Information for Authors
      • Editorial Policies
      • Editorial Board
      • Aims and Scope
      • Abstracting and Indexing
      • Bibliographic Information
      • Archive
    • Biomedical Reports
      • Biomedical Reports
      • Information for Authors
      • Editorial Policies
      • Editorial Board
      • Aims and Scope
      • Abstracting and Indexing
      • Bibliographic Information
      • Archive
    • Oncology Reports
      • Oncology Reports
      • Information for Authors
      • Editorial Policies
      • Editorial Board
      • Aims and Scope
      • Abstracting and Indexing
      • Bibliographic Information
      • Archive
    • Molecular Medicine Reports
      • Molecular Medicine Reports
      • Information for Authors
      • Editorial Policies
      • Editorial Board
      • Aims and Scope
      • Abstracting and Indexing
      • Bibliographic Information
      • Archive
    • World Academy of Sciences Journal
      • World Academy of Sciences Journal
      • Information for Authors
      • Editorial Policies
      • Editorial Board
      • Aims and Scope
      • Abstracting and Indexing
      • Bibliographic Information
      • Archive
    • International Journal of Functional Nutrition
      • International Journal of Functional Nutrition
      • Information for Authors
      • Editorial Policies
      • Editorial Board
      • Aims and Scope
      • Abstracting and Indexing
      • Bibliographic Information
      • Archive
    • International Journal of Epigenetics
      • International Journal of Epigenetics
      • Information for Authors
      • Editorial Policies
      • Editorial Board
      • Aims and Scope
      • Abstracting and Indexing
      • Bibliographic Information
      • Archive
    • Medicine International
      • Medicine International
      • Information for Authors
      • Editorial Policies
      • Editorial Board
      • Aims and Scope
      • Abstracting and Indexing
      • Bibliographic Information
      • Archive
  • Articles
  • Information
    • Information for Authors
    • Information for Reviewers
    • Information for Librarians
    • Information for Advertisers
    • Conferences
  • Language Editing
Spandidos Publications Logo
  • About
    • About Spandidos
    • Aims and Scopes
    • Abstracting and Indexing
    • Editorial Policies
    • Reprints and Permissions
    • Job Opportunities
    • Terms and Conditions
    • Contact
  • Journals
    • All Journals
    • Biomedical Reports
      • Information for Authors
      • Editorial Policies
      • Editorial Board
      • Aims and Scope
      • Abstracting and Indexing
      • Bibliographic Information
      • Archive
    • Experimental and Therapeutic Medicine
      • Information for Authors
      • Editorial Policies
      • Editorial Board
      • Aims and Scope
      • Abstracting and Indexing
      • Bibliographic Information
      • Archive
    • International Journal of Epigenetics
      • Information for Authors
      • Editorial Policies
      • Editorial Board
      • Aims and Scope
      • Abstracting and Indexing
      • Bibliographic Information
      • Archive
    • International Journal of Functional Nutrition
      • Information for Authors
      • Editorial Policies
      • Editorial Board
      • Aims and Scope
      • Abstracting and Indexing
      • Bibliographic Information
      • Archive
    • International Journal of Molecular Medicine
      • Information for Authors
      • Editorial Policies
      • Editorial Board
      • Aims and Scope
      • Abstracting and Indexing
      • Bibliographic Information
      • Archive
    • International Journal of Oncology
      • Information for Authors
      • Editorial Policies
      • Editorial Board
      • Aims and Scope
      • Abstracting and Indexing
      • Bibliographic Information
      • Archive
    • Medicine International
      • Information for Authors
      • Editorial Policies
      • Editorial Board
      • Aims and Scope
      • Abstracting and Indexing
      • Bibliographic Information
      • Archive
    • Molecular and Clinical Oncology
      • Information for Authors
      • Editorial Policies
      • Editorial Board
      • Aims and Scope
      • Abstracting and Indexing
      • Bibliographic Information
      • Archive
    • Molecular Medicine Reports
      • Information for Authors
      • Editorial Policies
      • Editorial Board
      • Aims and Scope
      • Abstracting and Indexing
      • Bibliographic Information
      • Archive
    • Oncology Letters
      • Information for Authors
      • Editorial Policies
      • Editorial Board
      • Aims and Scope
      • Abstracting and Indexing
      • Bibliographic Information
      • Archive
    • Oncology Reports
      • Information for Authors
      • Editorial Policies
      • Editorial Board
      • Aims and Scope
      • Abstracting and Indexing
      • Bibliographic Information
      • Archive
    • World Academy of Sciences Journal
      • Information for Authors
      • Editorial Policies
      • Editorial Board
      • Aims and Scope
      • Abstracting and Indexing
      • Bibliographic Information
      • Archive
  • Articles
  • Information
    • For Authors
    • For Reviewers
    • For Librarians
    • For Advertisers
    • Conferences
  • Language Editing
Login Register Submit
  • This site uses cookies
  • You can change your cookie settings at any time by following the instructions in our Cookie Policy. To find out more, you may read our Privacy Policy.

    I agree
Search articles by DOI, keyword, author or affiliation
Search
Advanced Search
presentation
Molecular Medicine Reports
Join Editorial Board Propose a Special Issue
Print ISSN: 1791-2997 Online ISSN: 1791-3004
Journal Cover
March-2015 Volume 11 Issue 3

Full Size Image

Sign up for eToc alerts
Recommend to Library

Journals

International Journal of Molecular Medicine

International Journal of Molecular Medicine

International Journal of Molecular Medicine is an international journal devoted to molecular mechanisms of human disease.

International Journal of Oncology

International Journal of Oncology

International Journal of Oncology is an international journal devoted to oncology research and cancer treatment.

Molecular Medicine Reports

Molecular Medicine Reports

Covers molecular medicine topics such as pharmacology, pathology, genetics, neuroscience, infectious diseases, molecular cardiology, and molecular surgery.

Oncology Reports

Oncology Reports

Oncology Reports is an international journal devoted to fundamental and applied research in Oncology.

Experimental and Therapeutic Medicine

Experimental and Therapeutic Medicine

Experimental and Therapeutic Medicine is an international journal devoted to laboratory and clinical medicine.

Oncology Letters

Oncology Letters

Oncology Letters is an international journal devoted to Experimental and Clinical Oncology.

Biomedical Reports

Biomedical Reports

Explores a wide range of biological and medical fields, including pharmacology, genetics, microbiology, neuroscience, and molecular cardiology.

Molecular and Clinical Oncology

Molecular and Clinical Oncology

International journal addressing all aspects of oncology research, from tumorigenesis and oncogenes to chemotherapy and metastasis.

World Academy of Sciences Journal

World Academy of Sciences Journal

Multidisciplinary open-access journal spanning biochemistry, genetics, neuroscience, environmental health, and synthetic biology.

International Journal of Functional Nutrition

International Journal of Functional Nutrition

Open-access journal combining biochemistry, pharmacology, immunology, and genetics to advance health through functional nutrition.

International Journal of Epigenetics

International Journal of Epigenetics

Publishes open-access research on using epigenetics to advance understanding and treatment of human disease.

Medicine International

Medicine International

An International Open Access Journal Devoted to General Medicine.

Journal Cover
March-2015 Volume 11 Issue 3

Full Size Image

Sign up for eToc alerts
Recommend to Library

  • Article
  • Citations
    • Cite This Article
    • Download Citation
    • Create Citation Alert
    • Remove Citation Alert
    • Cited By
  • Similar Articles
    • Related Articles (in Spandidos Publications)
    • Similar Articles (Google Scholar)
    • Similar Articles (PubMed)
  • Download PDF
  • Download XML
  • View XML
Article

Reduction of isoproterenol-induced cardiac hypertrophy and modulation of myocardial connexin43 by a KATP channel agonist

  • Authors:
    • Ji‑Min Sun
    • Chun‑Miao Wang
    • Zeng Guo
    • Yu‑Yu Hao
    • Yang‑Jing Xie
    • Jian Gu
    • Ai‑Ling Wang
  • View Affiliations / Copyright

    Affiliations: Department of Pharmacy, The First Affiliated Hospital of Anhui Medical University, Hefei, Anhui 230022, P.R. China, Department of Cardiology, The First Affiliated Hospital of Anhui Medical University, Hefei, Anhui 230022, P.R. China, Department of Emergency, The First People's Hospital of Hefei, Hefei, Anhui 230051, P.R. China, Department of Cardiology, The First People's Hospital of Hefei, Hefei, Anhui 230051, P.R. China
  • Pages: 1845-1850
    |
    Published online on: November 20, 2014
       https://doi.org/10.3892/mmr.2014.2988
  • Expand metrics +
Metrics: Total Views: 0 (Spandidos Publications: | PMC Statistics: )
Metrics: Total PDF Downloads: 0 (Spandidos Publications: | PMC Statistics: )
Cited By (CrossRef): 0 citations Loading Articles...

This article is mentioned in:



Abstract

Cardiac hypertrophy is a compensatory mechanism that occurs in conjunction with cardiovascular diseases. Although hypertrophy of the myocardium provides certain benefits during the early stages of cardiovascular disease, prolonged hypertrophy is potentially harmful to the heart and can result in arrhythmia and heart failure. The aim of this study was to investigate whether an ATP‑sensitive K+ (KATP) channel agonist was capable of reducing isoproterenol (Iso)‑induced cardiac hypertrophy and modulating myocardial connexin43 (Cx43) expression. Fifty male Sprague Dawley rats were randomly assigned to five groups: Normal, vehicle, nicorandil, glibenclamide and nicorandil plus glibenclamide. Rats in the four treatment groups received Iso injection for seven days, followed by administration with saline, nicorandil, glibenclamide or a combination of nicorandil and glibenclamide, respectively, for four weeks. Cardiac hypertrophy was then evaluated by measuring body weight, heart weight and left‑ventricular weight, and plasma B‑type natriuretic peptide levels were evaluated by ELISA. Immunocytochemistry and a reverse transcription‑polymerase chain reaction were performed to detect the spatial distribution and gene expression of myocardial Cx43, respectively. The KATP channel agonist nicorandil markedly attenuated the degree of myocardial hypertrophy induced by Iso as compared with the vehicle group. Myocardial Cx43 expression was significantly decreased and redistributed following cardiac hypertrophy. The decrease and redistribution of Cx43 was reduced following treatment with the KATP channel agonist nicorandil. Addition of the KATP channel blocker glibenclamide eliminated the beneficial effects of nicorandil against hypertrophy and on connexin43. In conclusion, the present study indicated that chronic use of KATP channel agonists following cardiac hypertrophy can attenuate ventricular remodeling and upregulate the expression level and spatial distribution of Cx43.

Introduction

Cardiac hypertrophy is a pathology associated with numerous heart conditions and contributes to increased morbidity and mortality in patients (1,2). As an adaptive response and a crucial compensatory mechanism to a variety of intrinsic and extrinsic stimuli (3,4), cardiac remodeling is a complex process involving numerous nervous and signaling pathway activities (5,6). A change in cardiac structure ultimately leads to changes in cardiac function, which can result in coronary heart disease, congestive heart failure, ventricular arrhythmia or sudden mortality (7).

Connexin43 (Cx43) is one of the major gap junction (GJ) proteins and is distributed in the intercalated disc of the myocardium. Cx43 mediates the cell-to-cell movement of ions, metabolites and cell signaling molecules and plays an important role in providing the basis for the electrical syncytial properties of the heart (8). The reduction and redistribution of Cx43 in the hypertrophic myocardium have been implicated in the pathogenesis of ventricular arrhythmias (9).

Mitochondrial ATP-sensitive K+ (mitoKATP) channels are one of the factors involved in the regulation of GJs. Activation of the KATP channel inhibits GJ permeability and subsequently attenuates arrhythmias in the acute ischemic myocardium (10). Numerous studies have demonstrated the protective effect of Cx43 against ischemic injury by the administration of a KATP channel agonist (11–13). However, no favorable effects have been shown in transgenic animals with a Cx43 deficiency (10). Although KATP channel agonists provide beneficial effects against ischemia and arrhythmia, it remains unclear whether similar benefits can be observed by modulating Cx43 expression in chronic cardiac hypertrophy. Therefore, the aims of the present study were to investigate whether KATP channel agonist administration attenuated isoproterenol (Iso)-induced cardiac hypertrophy and modulated the expression of Cx43 in the myocardium.

Materials and methods

Animals

Male Sprague Dawley rats were obtained from the Experimental Animal Center of Anhui Province (Hefei, China). All animals used in this study were maintained according to the Guide for the Care and Use of Laboratory Animals (National Institutes of Health publication No. 85-23, revised 1996). This study was approved by the ethics committee of the Experimental Animal Center of Anhui Province.

Rats were acclimated for one week prior to being randomly divided into a normal control group and four cardiac hypertrophy groups. The cardiac hypertrophy model was established in rats by subcutaneous injection of Iso (5 mg/kg/day; Shanghai Harvest Pharmaceutical Co., Ltd., Shanghai, China) for seven days. The groups were treated as follows: i) Normal, received saline injection and saline by gastric gavage; ii) vehicle, received Iso injection and orally administered saline; iii) nicorandil, received Iso injection and orally administered nicorandil (a specific mitochondrial KATP channel agonist; Chugai Pharmaceutical Co., Tokyo, Japan); iv) glibenclamide (Tianjin Pacific Pharmaceutical Co., Ltd., Tianjin, China), received Iso injection and orally administered glibenclamide (a KATP channel blocker); v) nicorandil plus glibenclamide, received Iso injection and a co-administration of nicorandil and glibenclamide. Nicorandil and glibenclamide were administered orally by gastric gavage at doses of 5 mg/kg/day, while the same volume of 0.9% saline was administered in an identical manner. To prevent hypoglycemic attacks during the administration of glibenclamide, 2.5% (wt/vol) sucrose in filtered water was supplied. Throughout the study, rats were fed ad libitum. Glucose examinations were performed once a week by the OneTouch® method (OneTouch Ultra; Johnson & Johnson, New Brunswick, NJ, USA). Body weight (BW) was measured every three days in order to adjust the drug dosage.

ELISA

Following the final drug administration, rats were fasted for 12 h and then weighed using an electronic balance. The rats were subsequently sacrificed by cervical dislocation and blood samples were collected from the abdominal aorta. The plasma was harvested by centrifugation and B-type natriuretic peptide (BNP) concentration was measured using a commercial ELISA kit (Shanghai DoBio Biotech Co. Ltd., Shanghai, China) according to the manufacturer’s instructions. Standard points and samples were performed in either duplicate or triplicate.

Assessment of myocardial hypertrophy

The hearts were isolated following blood collection to evaluate their mass. The pericardium and large vessels were first removed, then washed with saline and dried on filter paper. Total heart weight (HW) and left ventricular weight (LVW) were determined using an electronic balance. The interventricular septum remained as a part of the left ventricle (LV). The ratios of HW/BW and LVW/BW were then calculated. Following the measurements, the LV was sectioned into two slices for subsequent experiments.

Reverse transcription-polymerase chain reaction (RT-PCR)

To investigate the mRNA expression of myocardial Cx43, the myocardia were ground on ice and total RNA was extracted using TRIzol® reagent (Invitrogen Life Technologies, Carlsbad, CA, USA). Total RNA concentration was determined and reverse transcription was performed to obtain cDNA using a RevertAid First Strand cDNA Synthesis kit (Thermo Fisher Scientific Inc., Waltham, MA, USA). Gene-specific primers were designed using Primer Premier 5 software (Premier Biosoft International, Palo Alto, CA, USA) based on cDNA sequences from Genebank (https://www.ncbi.nlm.nih.gov/genbank/). For Cx43, the primers were as follows: 5′-AAC CTA CAT CAT CAG CAT CC-3′ (sense) and 5′-TGA TGA AGA TGG TTT TCT CC-3′ (antisense). For GAPDH, the primers were: 5′-CAA GGT CAT CCA TGA CAA CAA CTT TG-3′ (sense) and 5′-GTC CAC CAC CCT GTT GCT GTA G-3′ (antisense). The PCR products were separated by electrophoresis in 1.0% (w/v) agarose gels, visualized by staining with ethidium bromide and imaged using a UVP gel imaging system (JD-801; Jieda, Nanjing, China). The mRNA expression level of Cx43 was normalized to that of the reference mRNA, GAPDH.

Immunohistochemistry

To further detect the spatial distribution and relative density of Cx43, immunohistochemical staining was performed on the myocardium of the LV. Samples were fixed in formalin prior to being embedded in paraffin. Sections, cut at 5 μm, were deparaffinized with xylene and rehydrated through an ethanol series. The sections were then blocked with goat serum for 30 min and incubated with a rabbit polyclonal anti-Cx43 antibody (Santa Cruz Biotechnology, Inc., Santa Cruz, CA, USA) at 4°C overnight. The coverslips were washed three times with phosphate-buffered saline for 5 min/wash and then incubated with a fluorescent secondary antibody (Beijing Zhongshan Golden Bridge Biotechnology Co., Ltd., Beijing, China) at 37°C for 30 min. Ten random fields from each section were visualized and imaged using an Olympus BX51 microscope (Olympus Corp., Tokyo, Japan).

Statistical analyses

Data are presented as the mean ± standard deviation. Statistical analyses were performed using GraphPad Prism 5.0 (GraphPad Software, Inc., La Jolla, CA, USA). Analysis between two groups was performed using an unpaired Student’s t-test. A value of P<0.05 was considered to indicate a statistically significant difference between groups.

Results

General characteristics of rats following hypertrophy induction and drug administration

Following Iso injection and drug administration, rats in the four myocardium hypertrophy groups became less active and exhibited a decrease in appetite, accompanied by a slow gain in body weight. At the end of the experiment, six rats died, two in both the vehicle and nicorandil plus glibenclamide groups, one in both the nicorandil and the glibenclamide groups and none in the control group. Hypoglycemia was not detected in any of the rats throughout the experiment.

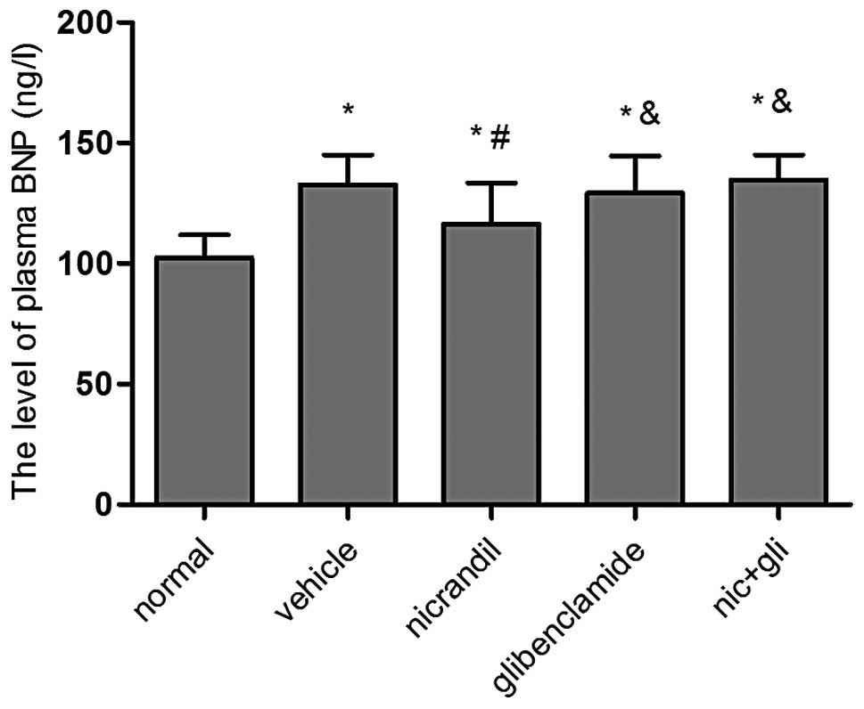
Nicorandil suppresses increases in plasma BNP during cardiac hypertrophy

Cardiac hypertrophy is commonly associated with an increased production of ventricular BNP (14). To evaluate the BNP expression level following treatment, the plasma BNP concentrations at the end of the experiment were assessed by ELISA. The data revealed that plasma BNP levels were markedly higher in the vehicle group (132.52±11.36) than those in the normal group (102.78±9.69) (P<0.01). This increase was significantly suppressed in rats treated with nicorandil compared with those treated with saline (118.71±31.12 vs. 132.52±11.36) (P<0.05). However, plasma BNP levels in the glibenclamide and co-administration groups were not significantly different compared with those in the vehicle group (P>0.05) (Fig. 1).

Figure 1

Levels of plasma BNP. The KATP channel agonist nicorandil significantly attenuated the degree of increase in plasma BNP concentration. The effect was eliminated following the addition of glibenclamide. *P<0.01 vs. the normal group; #P<0.05 and &P>0.05 vs. the vehicle group. Data are presented as the mean ± standard deviation. BNP, B-type natriuretic protein; nic, nicorandil; gli, glibenclamide.

Nicorandil inhibits Iso-induced LV hypertrophy

Hypertrophy was documented by determination of the LVW/BW ratio. The BW of rats in all groups increased significantly from the beginning of the experiment to the end of the administration period (P<0.01 for each). However, the BW of the rats in the four Iso-injection groups was significantly lower relative to that of the rats in the normal control group. In addition, the HW/BW and LVW/BW ratios were significantly higher in the four treatment groups in comparison with those in the control animals. Compared with the increase induced by Iso in the vehicle group, the HW/BW and LVW/BW ratios of rats were significantly lower in the nicorandil group (P<0.05). However, this effect was eliminated by co-administration of nicorandil with glibenclamide. The HW/BW and LVW/BW ratios in the glibenclamide group and the combination group were not significantly different from those in the saline-administered hypertrophy group (P>0.05) (Table I).

Table I

HW/BW and LVW/BW values for rats in each experimental group

Table I

HW/BW and LVW/BW values for rats in each experimental group

GroupHW/BW (mg/g)LVW/BW (mg/g)
Normal2.39±0.161.84±0.12
Vehicle3.09±0.24a2.37±0.26a
Nic2.67±0.25a,b1.98±0.22a,b
Gli3.16±0.32a,c2.42±0.25a,c
Nic+Gli3.08±0.21a,c2.39±0.36a,c

{ label (or @symbol) needed for fn[@id='tfn1-mmr-11-03-1845'] } Data are presented as the mean ± standard deviation.

a P<0.05 vs. the normal group;

b P<0.05 and

c P>0.05 vs. the vehicle group.

{ label (or @symbol) needed for fn[@id='tfn5-mmr-11-03-1845'] } Nic, nicorandil; Gli, glibenclamide; HW/BW, ratio of heart weight to body weight; LVW/BW, ratio of left ventricular weight to body weight.

Cx43 mRNA expression

The expression of Cx43 mRNA was detected by RT-PCR (Fig. 2). PCR amplification of the cDNA revealed that the Cx43 mRNA levels in the LV of the nicorandil group exhibited a significant increase compared with those in the vehicle group (82.99±14.10 vs. 32.33±8.18%; P<0.01); however, they remained lower than those in the normal group (P<0.05). The increased Cx43 mRNA level, which was mediated by the KATP channel agonist nicorandil, was reversed to levels similar to those of the vehicle group following administration of the blocker glibenclamide. This was clearly shown in the groups administered glibenclamide (34.67±7.61%) or glibenclamide plus nicorandil (39.53±10.20%), where the levels of Cx43 mRNA were significantly decreased compared with those in the nicorandil group (82.99±14.10%) (P<0.01) and were reduced to the level of saline-treated hypertrophic rats. The relative Cx43 mRNA was expressed by setting the normal group as 100%.

Figure 2

LV Cx43 mRNA level. (A) Cx43 mRNA and GAPDH mRNA levels. (B) Relative level of Cx43 mRNA. The expression of each mRNA was normalized to the mRNA level of GAPDH, and the expression of normal group Cx43 mRNA was set as 100%. *P<0.05 vs. the normal group; #P<0.01 and &P>0.05 vs. the vehicle group. Data are presented as the mean ± standard deviation. Cx43, connexin43; Nic, nicorandil; gli, glibenclamide.

Immunohistochemical analyses of Cx43

To further investigate the spatial distribution and expression of Cx43, immunohistochemical analysis was performed in LV tissue sections. In the longitudinal axis of the myocardium fibers, myocardial Cx43 was distributed in the form of a stripe in the intercalated disc, stained brown-yellow, in the normal group. Hypertrophy resulted in markedly diminished expression of Cx43 as well as spatial redistribution. Immunohistochemical images showed that the positively stained areas were different in size and color intensity compared with those of the normal myocardium, and some Cx43 expression was redistributed from the intercalated disc to the entire cell membrane (Fig. 3). Compared with the vehicle group, the expression of Cx43 in the myocardium in the nicorandil group was significantly increased, and the majority of Cx43 expression was confined to the intercalated disc. Conversely, following co-administration of nicorandil plus glibenclamide, Cx43 expression was reduced and the distribution remained irregular; similar results were observed in the group treated with glibenclamide alone.

Figure 3

Immunohistochemical analyses for Cx43 expression from hypertrophic myocardium. (A) Cx43 expression in normal control myocardium without hypertrophy. (B) Vehicle group: Hypertrophy resulted in a decrease in Cx43 expression level and disordered spatial distribution. (C) Administration of nicorandil modulated the expression of Cx43 with regard to expression level and spatial distribution. (D) The change was eliminated following the addition of glibenclamide alone or (E) in combination with nicorandil. Scale bar=50 μm (magnification, ×100).

Discussion

This study demonstrated that long-term oral treatment with the KATP channel agonist nicorandil for four weeks could prevent the development of LV remodeling and preserve myocardial Cx43 expression levels and distribution in Iso-induced rat models of myocardial hypertrophy. The beneficial effects of nicorandil were eliminated following the administration of the KATP channel blocker glibenclamide. It was observed that the mass of the hypertrophic myocardium and the expression of Cx43 in the glibenclamide and co-treatment groups exhibited similarities to hearts in the saline-treated hypertrophy group, which further confirmed the crucial role of KATP channel agonists in the reduction of hypertrophy and protection of myocardial Cx43 expression.

Iso-induced hypertrophy is an accessible and standardized model to study the effects of various drugs on cardiac hypertrophy (15). The duration of the present experiment was set at four weeks, since the majority of the myocardial remodeling in the rat (70–80%) occurs within three weeks (16). Several factors that may affect hypertrophy or Cx43 expression had to be excluded, for example hemodynamics. Previous studies have demonstrated that an oral dosage of nicorandil (5 mg/kg/day) does not exert any hemodynamic effects (5), but the reduction of hypertrophy in animals has been previously assumed to be due to the blood pressure-lowing effect of the drug (17). In addition, the effect of insulin levels had to be excluded. Lee et al (18) reported that Cx43 expression in infarcted rats administered nicorandil was markedly upregulated compared with the expression in those treated with vehicle. However, the insulin levels in these two groups were not significantly different, suggesting that insulin levels were not a factor affecting the expression of Cx43 (18).

As a predictor of myocardial hypertrophy and heart failure, BNP levels increase in the early stages of the disease and are strongly associated with the incidence of cardiovascular mortality in patients with coronary artery disease (19). The Task Force for the Diagnosis and Treatment of Chronic Heart Failure of the European Society of Cardiology recommended BNP or N-terminal-proBNP assays as a necessary step for the diagnosis of heart failure or LV dysfunction (20). In the present study, the increased concentration of plasma BNP in rats with cardiac hypertrophy was attenuated following treatment with nicorandil compared with those treated with saline. By contrast, the plasma BNP concentration showed no statistically significant differences following the administration of glibenclamide or glibenclamide plus nicorandil as compared with the vehicle group. These results indicated the crucial role of the KATP channel agonist in protecting the heart against hypertrophic injury, in part by decreasing BNP expression levels. In addition, a previous clinical study reported that nicorandil treatment may reduce the BNP expression levels by reducing the central blood pressure in patients with chronic kidney disease (21).

The HW/BW and LVW/BW ratios were used to reflect the degree of cardiac hypertrophy. A ratio of LVW/BW >2.35 mg/g was regarded as an indicator of a successful hypertrophy model. In the vehicle group, the ratio of LVW/BW was 2.37±0.26, which confirmed the success of hypertrophy induction by Iso injection. Similar to the aforementioned changes in BNP level, HW/BW and LVW/BW ratios were significantly decreased following treatment with the KATP channel agonist nicorandil. The reduction in the LVW/BW and HW/BW ratios was reversed following administration of nicorandil, thus verifying the effect of KATP against cardiac hypertrophy.

The mechanical and electrical activation of the heart is in part dependent on the spatial distribution of GJs (22). Changes in GJ patterning and expression level can result in the development of arrhythmias in numerous cardiovascular diseases (23–25). The alteration in the expression level and spatial distribution of Cx43 in the hypertrophic myocardium suggests that this protein is influenced by ventricular remodeling (18). Naitoh et al (26) proposed that the mitoKATP channel was one of the mechanisms regulating GJ permeability, thus leading to cardioprotective effects against ischemia. Previous studies have reported that decreasing Cx43 expression in the myocardium results in high susceptibility to arrythmogenesis (18,25). However, the restoration of expression levels and distribution of Cx43 improves conductivity, decreases the spatial heterogeneity of repolarization and reduces the susceptibility of the remodeled heart to fatal arrhythmias (27). The beneficial effects of the KATP channel agonist on Cx43 observed in this study and the elimination of this effect following the addition of the KATP channel blocker together confirmed the crucial role of KATP channel agonists in maintaining normal Cx43 expression.

As a nitrate-like KATP channel agonist, nicorandil has been widely used in Japan, Europe and Korea. Clinical reports from Japan and Europe have shown that nicorandil has equivalent anti-angina effects to nitrates, calcium-channel blockers and β-blockers (28–30). A double-blind, multicenter, active-controlled, randomized clinical trial previously assessed the safety and efficacy of nicorandil in patients with stable angina pectoris (AP) in China, suggesting that nicorandil is an effective drug for AP (31). Numerous clinical and experimental studies in non-hypertrophied myocardium have demonstrated a protective effect of nicorandil against ischemic injury through activation of the potassium channel (32–34). Sakai (17) reported that nicorandil exerted blood pressure-lowing effects, which subsequently reduced cardiac hypertrophy in animals (17). Regardless of the precise mechanism of nicorandil in cardiovascular diseases, our previous study also demonstrated the protective effects of nicorandil against myocardial ischemia-reperfusion injury, which were due in part to the opening of mitoKATP channels (13). It was found in the present study that long-term oral administration of nicorandil is beneficial for the reduction of cardiac hypertrophy and modulation of myocardial Cx43 in Iso-induced rat models of cardiac hypertrophy. Since nicorandil is expected to have a wider range of clinical use in cardiovascular diseases, other potential mechanisms remain to be further investigated.

Acknowledgements

This study was supported by a research grant from the Research Grants Council of Anhui Province (Project nos. 11040606M155 and 2012jyzd09w).

References

1 

Weber KT, Anversa P, Armstrong PW, et al: Remodeling and reparation of the cardiovascular system. J Am Coll Cardiol. 20:3–16. 1992. View Article : Google Scholar : PubMed/NCBI

2 

Verdecchia P, Carini G and Circo A; MAVI (MAssa Ventricolare sinistra nell'Ipertensione) Study Group. Left ventricular mass and cardiovascular morbidity in essential hypertension: the MAVI study. J Am Coll Cardiol. 38:1829–1835. 2001. View Article : Google Scholar : PubMed/NCBI

3 

Choudhary R, Mishra KP and Subramanyam C: Prevention of isoproterenol-induced cardiac hypertrophy by eugenol, an antioxidant. Indian J Clin Biochem. 21:107–113. 2006. View Article : Google Scholar : PubMed/NCBI

4 

Rajesh KG, Sasaguri S, Suzuki R, Xing Y and Maeda H: Ischemic preconditioning prevents reperfusion heart injury in cardiac hypertrophy by activation of mitochondrial KATP channels. Int J Cardiol. 96:41–49. 2004. View Article : Google Scholar : PubMed/NCBI

5 

Lee TM, Lin MS and Chang NC: Effect of ATP-sensitive potassium channel agonists on ventricular remodeling in healed rat infarcts. J Am Coll Cardio. 51:1309–1318. 2008. View Article : Google Scholar

6 

Ennis IL, Escudero EM, Console GM, et al: Regression of isoproterenol-induced cardiac hypertrophy by Na+/H+ exchanger inhibition. Hypertension. 41:1324–1329. 2003. View Article : Google Scholar : PubMed/NCBI

7 

Frohlich ED: State of the Art lecture. Risk mechanisms in hypertensive heart disease. Hypertension. 34:782–789. 1999. View Article : Google Scholar : PubMed/NCBI

8 

Joyner RW: Effects of the discrete pattern of electrical coupling on propagation through an electrical syncytium. Circ Res. 50:192–200. 1982. View Article : Google Scholar : PubMed/NCBI

9 

Danik SB, Liu F, Zhang J, Suk HJ, Morley GE, Fishman GI and Gutstein DE: Modulation of cardiac gap junction expression and arrhythmic susceptibility. Circ Res. 95:1035–1041. 2004. View Article : Google Scholar : PubMed/NCBI

10 

Boengler K, Dodoni G, Rodriguez-Sinovas A, et al: Connexin 43 in cardiomyocyte mitochondria and its increase by ischemic preconditioning. Cardiovasc Res. 67:234–244. 2005. View Article : Google Scholar : PubMed/NCBI

11 

Roell W, Lewalter T, Sasse P, et al: Engraftment of connexin 43-expressing cells prevents post-infarct arrhythmia. Nature. 450:819–824. 2007. View Article : Google Scholar : PubMed/NCBI

12 

Rottlaender D, Boengler K, Wolny M, et al: Connexin 43 acts as a cytoprotective mediator of signal transduction by stimulating mitochondrial KATP channels in mouse cardiomyocytes. J Clin Invest. 120:1441–1453. 2010. View Article : Google Scholar : PubMed/NCBI

13 

Wang A, Chen F, Xie Y, Guo Z and Yu Y: Protective mechanism of nicorandil on rat myocardial ischemia-reperfusion. J Cardiovasc Med (Hagerstown). 13:511–515. 2012. View Article : Google Scholar

14 

de Lemos JA, McGuire DK and Drazner MH: B-type natriuretic peptide in cardiovascular disease. Lancet. 362:316–322. 2003. View Article : Google Scholar : PubMed/NCBI

15 

Tang Y, Wang M, Le X, et al: Antioxidant and cardioprotective effects of Danshensu (3-(3,4-dihydroxyphenyl)-2-hydroxy-propanoic acid from Salvia miltiorrhiza) on isoproterenol-induced myocardial hypertrophy in rats. Phytomedicine. 18:1024–1030. 2011. View Article : Google Scholar : PubMed/NCBI

16 

Pfeffer MA and Braunwald E: Ventricular remodeling after myocardial infarction. Experimental observations and clinical implications. Circulation. 81:1161–1172. 1990. View Article : Google Scholar : PubMed/NCBI

17 

Sakai K: Nicorandil: animal pharmacology. Am J Cardiol. 63:2J–10J. 1989. View Article : Google Scholar : PubMed/NCBI

18 

Lee TM, Lin CC, Lien HY and Chen CC: K ATP channel agonists preserve connexin43 protein in infarcted rats by a protein kinase C-dependent pathway. J Cell Mol Med. 16:776–788. 2012. View Article : Google Scholar

19 

Guéant Rodriguez RM, Spada R, Pooya S, et al: Homocysteine predicts increased NT-pro-BNP through impaired fatty acid oxidation. Int J Cardiol. 167:768–775. 2013. View Article : Google Scholar

20 

Swedberg K, Cleland J, Dargie H, et al: Task Force for the Diagnosis and Treatment of Chronic Heart Failure of the European Society of Cardiology: Guidelines for the diagnosis and treatment of chronic heart failure: executive summary (update 2005): The Task Force for the Diagnosis and Treatment of Chronic Heart Failure of the European Society of Cardiology. Eur Heart J. 26:1115–1140. 2005. View Article : Google Scholar : PubMed/NCBI

21 

Kimura T, Kitamura H, Inoue K, et al: Effects of nicorandil on the reduction of BNP levels in patients with chronic kidney disease. Clin Exp Nephrol. 15:854–860. 2011. View Article : Google Scholar : PubMed/NCBI

22 

Kanno S and Saffitz JE: The role of myocardial gap junctions in electrical conduction and arrhythmogenesis. Cardiovasc Pathol. 10:169–177. 2001. View Article : Google Scholar : PubMed/NCBI

23 

Egashira K, Nishii K, Nakamura K, Kumai M, Morimoto S and Shibata Y: Conduction abnormality in gap junction protein connexin45-deficient embryonic stem cell-derived cardiac myocytes. Anat Rec A Discov Mol Cell Evol Biol. 280:973–979. 2004. View Article : Google Scholar : PubMed/NCBI

24 

Wang Y and Hill JA: Electrophysiological remodeling in heart failure. J Mol Cell Cardiol. 48:619–632. 2010. View Article : Google Scholar : PubMed/NCBI

25 

Ohara T, Ohara K, Cao JM, et al: Increased wave break during ventricular fibrillation in the epicardial border zone of hearts with healed myocardial infarction. Circulation. 103:1465–1472. 2001. View Article : Google Scholar : PubMed/NCBI

26 

Naitoh K, Ichikawa Y, Miura T, et al: MitoKATP channel activation suppresses gap junction permeability in the ischemic myocardium by an ERK-dependent mechanism. Cardiovasc Res. 70:374–383. 2006. View Article : Google Scholar : PubMed/NCBI

27 

Amino M, Yoshioka K, Tanabe T, et al: Heavy ion radiation up-regulates Cx43 and ameliorates arrhythmogenic substrates in hearts after myocardial infarction. Cardiovasc Res. 72:412–421. 2006. View Article : Google Scholar : PubMed/NCBI

28 

Döring G: Antianginal and anti-ischemic efficacy of nicorandil in comparison with isosorbide-5-mononitrate and isosorbide dinitrate: results from two multicenter, double-blind, randomized studies with stable coronary heart disease patients. J Cardiovasc Pharmacol. 20(Suppl 3): S74–S81. 1992. View Article : Google Scholar : PubMed/NCBI

29 

The SWAN Study Group. Comparison of the antiischaemic and antianginal effects of nicorandil and amlodipine in patients with symptomatic stable angina pectoris: the SWAN study. J Clin Basic Cardiol. 2:213–217. 1999.

30 

Di Somma S, Liguori V, Petitto M, Carotenuto A, Bokor D, de Divitiis O and de Divitiis M: A double-blind comparison of nicorandil and metoprolol in stable effort angina pectoris. Cardiovasc Drugs Ther. 7:119–123. 1993. View Article : Google Scholar : PubMed/NCBI

31 

Zhu WL, Shan YD, Guo JX, et al: Double-blind, multicenter, active-controlled, randomized clinical trial to assess the safety and efficacy of orally administered nicorandil in patients with stable angina pectoris in China. Circ J. 71:826–833. 2007. View Article : Google Scholar : PubMed/NCBI

32 

Baines CP, Liu GS, Birincioglu M, Critz SD, Cohen MV and Downey JM: Ischemic preconditioning depends on interaction between mitochondrial KATP channels and actin cytoskeleton. Am J Physiol. 276:H1361–H1368. 1999.PubMed/NCBI

33 

Sugimoto K, Ito H, Iwakura K, et al: Intravenous nicorandil in conjunction with coronary reperfusion therapy is associated with better clinical and functional outcomes in patients with acute myocardial infarction. Circ J. 67:295–300. 2003. View Article : Google Scholar : PubMed/NCBI

34 

Garlid KD, Paucek P, Yarov-Yarovoy V, et al: Cardioprotective effect of diazoxide and its interaction with mitochondrial ATP-sensitive K+ channels. Possible mechanism of cardioprotection. Circ Res. 81:1072–1082. 1997. View Article : Google Scholar : PubMed/NCBI

Related Articles

  • Abstract
  • View
  • Download
  • Twitter
Copy and paste a formatted citation
Spandidos Publications style
Sun JM, Wang CM, Guo Z, Hao YY, Xie YJ, Gu J and Wang AL: Reduction of isoproterenol-induced cardiac hypertrophy and modulation of myocardial connexin43 by a KATP channel agonist. Mol Med Rep 11: 1845-1850, 2015.
APA
Sun, J., Wang, C., Guo, Z., Hao, Y., Xie, Y., Gu, J., & Wang, A. (2015). Reduction of isoproterenol-induced cardiac hypertrophy and modulation of myocardial connexin43 by a KATP channel agonist. Molecular Medicine Reports, 11, 1845-1850. https://doi.org/10.3892/mmr.2014.2988
MLA
Sun, J., Wang, C., Guo, Z., Hao, Y., Xie, Y., Gu, J., Wang, A."Reduction of isoproterenol-induced cardiac hypertrophy and modulation of myocardial connexin43 by a KATP channel agonist". Molecular Medicine Reports 11.3 (2015): 1845-1850.
Chicago
Sun, J., Wang, C., Guo, Z., Hao, Y., Xie, Y., Gu, J., Wang, A."Reduction of isoproterenol-induced cardiac hypertrophy and modulation of myocardial connexin43 by a KATP channel agonist". Molecular Medicine Reports 11, no. 3 (2015): 1845-1850. https://doi.org/10.3892/mmr.2014.2988
Copy and paste a formatted citation
x
Spandidos Publications style
Sun JM, Wang CM, Guo Z, Hao YY, Xie YJ, Gu J and Wang AL: Reduction of isoproterenol-induced cardiac hypertrophy and modulation of myocardial connexin43 by a KATP channel agonist. Mol Med Rep 11: 1845-1850, 2015.
APA
Sun, J., Wang, C., Guo, Z., Hao, Y., Xie, Y., Gu, J., & Wang, A. (2015). Reduction of isoproterenol-induced cardiac hypertrophy and modulation of myocardial connexin43 by a KATP channel agonist. Molecular Medicine Reports, 11, 1845-1850. https://doi.org/10.3892/mmr.2014.2988
MLA
Sun, J., Wang, C., Guo, Z., Hao, Y., Xie, Y., Gu, J., Wang, A."Reduction of isoproterenol-induced cardiac hypertrophy and modulation of myocardial connexin43 by a KATP channel agonist". Molecular Medicine Reports 11.3 (2015): 1845-1850.
Chicago
Sun, J., Wang, C., Guo, Z., Hao, Y., Xie, Y., Gu, J., Wang, A."Reduction of isoproterenol-induced cardiac hypertrophy and modulation of myocardial connexin43 by a KATP channel agonist". Molecular Medicine Reports 11, no. 3 (2015): 1845-1850. https://doi.org/10.3892/mmr.2014.2988
Follow us
  • Twitter
  • LinkedIn
  • Facebook
About
  • Spandidos Publications
  • Careers
  • Cookie Policy
  • Privacy Policy
How can we help?
  • Help
  • Live Chat
  • Contact
  • Email to our Support Team