Spandidos Publications Logo
  • About
    • About Spandidos
    • Aims and Scopes
    • Abstracting and Indexing
    • Editorial Policies
    • Reprints and Permissions
    • Job Opportunities
    • Terms and Conditions
    • Contact
  • Journals
    • All Journals
    • Oncology Letters
      • Oncology Letters
      • Information for Authors
      • Editorial Policies
      • Editorial Board
      • Aims and Scope
      • Abstracting and Indexing
      • Bibliographic Information
      • Archive
    • International Journal of Oncology
      • International Journal of Oncology
      • Information for Authors
      • Editorial Policies
      • Editorial Board
      • Aims and Scope
      • Abstracting and Indexing
      • Bibliographic Information
      • Archive
    • Molecular and Clinical Oncology
      • Molecular and Clinical Oncology
      • Information for Authors
      • Editorial Policies
      • Editorial Board
      • Aims and Scope
      • Abstracting and Indexing
      • Bibliographic Information
      • Archive
    • Experimental and Therapeutic Medicine
      • Experimental and Therapeutic Medicine
      • Information for Authors
      • Editorial Policies
      • Editorial Board
      • Aims and Scope
      • Abstracting and Indexing
      • Bibliographic Information
      • Archive
    • International Journal of Molecular Medicine
      • International Journal of Molecular Medicine
      • Information for Authors
      • Editorial Policies
      • Editorial Board
      • Aims and Scope
      • Abstracting and Indexing
      • Bibliographic Information
      • Archive
    • Biomedical Reports
      • Biomedical Reports
      • Information for Authors
      • Editorial Policies
      • Editorial Board
      • Aims and Scope
      • Abstracting and Indexing
      • Bibliographic Information
      • Archive
    • Oncology Reports
      • Oncology Reports
      • Information for Authors
      • Editorial Policies
      • Editorial Board
      • Aims and Scope
      • Abstracting and Indexing
      • Bibliographic Information
      • Archive
    • Molecular Medicine Reports
      • Molecular Medicine Reports
      • Information for Authors
      • Editorial Policies
      • Editorial Board
      • Aims and Scope
      • Abstracting and Indexing
      • Bibliographic Information
      • Archive
    • World Academy of Sciences Journal
      • World Academy of Sciences Journal
      • Information for Authors
      • Editorial Policies
      • Editorial Board
      • Aims and Scope
      • Abstracting and Indexing
      • Bibliographic Information
      • Archive
    • International Journal of Functional Nutrition
      • International Journal of Functional Nutrition
      • Information for Authors
      • Editorial Policies
      • Editorial Board
      • Aims and Scope
      • Abstracting and Indexing
      • Bibliographic Information
      • Archive
    • International Journal of Epigenetics
      • International Journal of Epigenetics
      • Information for Authors
      • Editorial Policies
      • Editorial Board
      • Aims and Scope
      • Abstracting and Indexing
      • Bibliographic Information
      • Archive
    • Medicine International
      • Medicine International
      • Information for Authors
      • Editorial Policies
      • Editorial Board
      • Aims and Scope
      • Abstracting and Indexing
      • Bibliographic Information
      • Archive
  • Articles
  • Information
    • Information for Authors
    • Information for Reviewers
    • Information for Librarians
    • Information for Advertisers
    • Conferences
  • Language Editing
Spandidos Publications Logo
  • About
    • About Spandidos
    • Aims and Scopes
    • Abstracting and Indexing
    • Editorial Policies
    • Reprints and Permissions
    • Job Opportunities
    • Terms and Conditions
    • Contact
  • Journals
    • All Journals
    • Biomedical Reports
      • Information for Authors
      • Editorial Policies
      • Editorial Board
      • Aims and Scope
      • Abstracting and Indexing
      • Bibliographic Information
      • Archive
    • Experimental and Therapeutic Medicine
      • Information for Authors
      • Editorial Policies
      • Editorial Board
      • Aims and Scope
      • Abstracting and Indexing
      • Bibliographic Information
      • Archive
    • International Journal of Epigenetics
      • Information for Authors
      • Editorial Policies
      • Editorial Board
      • Aims and Scope
      • Abstracting and Indexing
      • Bibliographic Information
      • Archive
    • International Journal of Functional Nutrition
      • Information for Authors
      • Editorial Policies
      • Editorial Board
      • Aims and Scope
      • Abstracting and Indexing
      • Bibliographic Information
      • Archive
    • International Journal of Molecular Medicine
      • Information for Authors
      • Editorial Policies
      • Editorial Board
      • Aims and Scope
      • Abstracting and Indexing
      • Bibliographic Information
      • Archive
    • International Journal of Oncology
      • Information for Authors
      • Editorial Policies
      • Editorial Board
      • Aims and Scope
      • Abstracting and Indexing
      • Bibliographic Information
      • Archive
    • Medicine International
      • Information for Authors
      • Editorial Policies
      • Editorial Board
      • Aims and Scope
      • Abstracting and Indexing
      • Bibliographic Information
      • Archive
    • Molecular and Clinical Oncology
      • Information for Authors
      • Editorial Policies
      • Editorial Board
      • Aims and Scope
      • Abstracting and Indexing
      • Bibliographic Information
      • Archive
    • Molecular Medicine Reports
      • Information for Authors
      • Editorial Policies
      • Editorial Board
      • Aims and Scope
      • Abstracting and Indexing
      • Bibliographic Information
      • Archive
    • Oncology Letters
      • Information for Authors
      • Editorial Policies
      • Editorial Board
      • Aims and Scope
      • Abstracting and Indexing
      • Bibliographic Information
      • Archive
    • Oncology Reports
      • Information for Authors
      • Editorial Policies
      • Editorial Board
      • Aims and Scope
      • Abstracting and Indexing
      • Bibliographic Information
      • Archive
    • World Academy of Sciences Journal
      • Information for Authors
      • Editorial Policies
      • Editorial Board
      • Aims and Scope
      • Abstracting and Indexing
      • Bibliographic Information
      • Archive
  • Articles
  • Information
    • For Authors
    • For Reviewers
    • For Librarians
    • For Advertisers
    • Conferences
  • Language Editing
Login Register Submit
  • This site uses cookies
  • You can change your cookie settings at any time by following the instructions in our Cookie Policy. To find out more, you may read our Privacy Policy.

    I agree
Search articles by DOI, keyword, author or affiliation
Search
Advanced Search
presentation
Molecular Medicine Reports
Join Editorial Board Propose a Special Issue
Print ISSN: 1791-2997 Online ISSN: 1791-3004
Journal Cover
May-2015 Volume 11 Issue 5

Full Size Image

Sign up for eToc alerts
Recommend to Library

Journals

International Journal of Molecular Medicine

International Journal of Molecular Medicine

International Journal of Molecular Medicine is an international journal devoted to molecular mechanisms of human disease.

International Journal of Oncology

International Journal of Oncology

International Journal of Oncology is an international journal devoted to oncology research and cancer treatment.

Molecular Medicine Reports

Molecular Medicine Reports

Covers molecular medicine topics such as pharmacology, pathology, genetics, neuroscience, infectious diseases, molecular cardiology, and molecular surgery.

Oncology Reports

Oncology Reports

Oncology Reports is an international journal devoted to fundamental and applied research in Oncology.

Experimental and Therapeutic Medicine

Experimental and Therapeutic Medicine

Experimental and Therapeutic Medicine is an international journal devoted to laboratory and clinical medicine.

Oncology Letters

Oncology Letters

Oncology Letters is an international journal devoted to Experimental and Clinical Oncology.

Biomedical Reports

Biomedical Reports

Explores a wide range of biological and medical fields, including pharmacology, genetics, microbiology, neuroscience, and molecular cardiology.

Molecular and Clinical Oncology

Molecular and Clinical Oncology

International journal addressing all aspects of oncology research, from tumorigenesis and oncogenes to chemotherapy and metastasis.

World Academy of Sciences Journal

World Academy of Sciences Journal

Multidisciplinary open-access journal spanning biochemistry, genetics, neuroscience, environmental health, and synthetic biology.

International Journal of Functional Nutrition

International Journal of Functional Nutrition

Open-access journal combining biochemistry, pharmacology, immunology, and genetics to advance health through functional nutrition.

International Journal of Epigenetics

International Journal of Epigenetics

Publishes open-access research on using epigenetics to advance understanding and treatment of human disease.

Medicine International

Medicine International

An International Open Access Journal Devoted to General Medicine.

Journal Cover
May-2015 Volume 11 Issue 5

Full Size Image

Sign up for eToc alerts
Recommend to Library

  • Article
  • Citations
    • Cite This Article
    • Download Citation
    • Create Citation Alert
    • Remove Citation Alert
    • Cited By
  • Similar Articles
    • Related Articles (in Spandidos Publications)
    • Similar Articles (Google Scholar)
    • Similar Articles (PubMed)
  • Download PDF
  • Download XML
  • View XML
Article

Identification of suitable reference genes for gene expression studies using quantitative polymerase chain reaction in lung cancer in vitro

  • Authors:
    • Hassan Ali
    • Zhenwu Du
    • Xiuying Li
    • Qiwei Yang
    • Yu  Cheng Zhang
    • Mei Wu
    • Yi Li
    • Guizhen Zhang
  • View Affiliations / Copyright

    Affiliations: Department of Central Laboratory, Second Hospital, Jilin University, Changchun, Jilin 130041, P.R. China, Department of Central Research, China‑Japan Hospital, Jilin University, Changchun, Jilin 130033, P.R. China, Department of Immunology, Norman Bethune College of Medicine, Jilin University, Changchun, Jilin 130021, P.R. China
  • Pages: 3767-3773
    |
    Published online on: January 8, 2015
       https://doi.org/10.3892/mmr.2015.3159
  • Expand metrics +
Metrics: Total Views: 0 (Spandidos Publications: | PMC Statistics: )
Metrics: Total PDF Downloads: 0 (Spandidos Publications: | PMC Statistics: )
Cited By (CrossRef): 0 citations Loading Articles...

This article is mentioned in:



Abstract

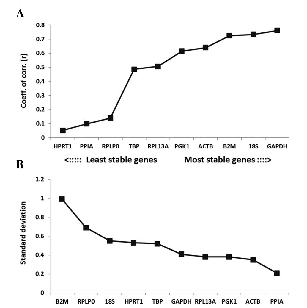
The present study aimed to examine 10 housekeeping genes (HKGs), including 18s ribosomal RNA (18S), glyceraldehyde‑3‑phosphate dehydrogenase (GAPDH), ribosomal protein large P0 (RPLP0), β‑actin (ACTB), peptidylprolyl isomerase A (PPIA), phosphoglycerate kinase‑1 (PGK1), β‑2‑microglobulin (B2M), ribosomal protein LI3a (RPL13A), hypoxanthine phosphoribosyl transferase‑1 (HPRT1) and TATA box binding protein (TBP) in order to identify the most stable and suitable reference genes for use in expression studies in non‑small cell lung cancer. The mRNA expression encoding the panel of the 10 HKGs was determined using reverse transcription‑quantitative PCR (RT‑qPCR) in human lung cancer cell lines. Three software programs, BestKeeper, NormFinder and geNorm, were used to ascertain the most suitable reference genes to normalize the RNA input. The present study examined three lung cancer cell lines (A549, NCI‑H446 and NCI‑H460). The analysis of the experimental data using BestKeeper software revealed that all 10 HKGs were stable, with GADPH, followed by 18S being the most stable genes and PPIA and HPRT1 being the least stable genes. The NormFinder software results demonstrated that PPIA followed by ACTB were the most stable and B2M and RPLP0 were the least stable. The geNorm software results revealed that ACTB and PGK1, followed by PPIA were the most stable genes and B2M and RPLP0 were identified as the least stable genes. Due to discrepancies in the ranking orders of the reference genes obtained by different analyzing software programs, it was not possible to determine a single universal reference gene. The suitability of selected reference genes requires unconditional validation prior to each study. Based on the three analyzing programs, ACTB, PPIA and PGK1 were the most stable reference genes in lung cancer cell lines.
View Figures

Figure 1

Figure 2

Figure 3

Figure 4

Figure 5

View References

1 

Koutsokera A, Kiagia M, Saif MW, Souliotis K and Syrigos KN: Nutrition habits, physical activity and lung cancer: an authoritative review. Clin Lung Cancer. 14:342–350. 2013. View Article : Google Scholar : PubMed/NCBI

2 

Perroud MW Jr, Honma HN, Barbeiro AS, et al: Mature autologous dendritic cell vaccines in advanced non-small cell lung cancer: a phase I pilot study. J Exp Clin Cancer Res. 30:652011. View Article : Google Scholar : PubMed/NCBI

3 

Travis WD: Pathology of lung cancer. Clin Chest Med. 32:669–692. 2011. View Article : Google Scholar : PubMed/NCBI

4 

Watanabe T, Miura T, Degawa Y, et al: Comparison of lung cancer cell lines representing four histopathological subtypes with gene expression profiling using quantitative real-time PCR. Cancer Cell Int. 10:22010. View Article : Google Scholar : PubMed/NCBI

5 

Guenin S, Mauriat M, Pelloux J, Van Wuytswinkel O, Bellini C and Gutierrez L: Normalization of qRT-PCR data: the necessity of adopting a systematic, experimental conditions-specific, validation of references. J Exp Bot. 60:487–493. 2009. View Article : Google Scholar : PubMed/NCBI

6 

Dheda K, Huggett JF, Bustin SA, Johnson MA, Rook G and Zumla A: Validation of housekeeping genes for normalizing RNA expression in real-time PCR. Biotechniques. 37:112–114. 2004.PubMed/NCBI

7 

Hendriks-Balk MC, Michel MC and Alewijnse AE: Pitfalls in the normalization of real-time polymerase chain reaction data. Basic Res Cardiol. 102:195–197. 2007. View Article : Google Scholar : PubMed/NCBI

8 

Eisenberg E and Levanon EY: Human housekeeping genes, revisited. Trends Genet. 29:569–574. 2013. View Article : Google Scholar : PubMed/NCBI

9 

Arenas-Hernandez M and Vega-Sanchez R: Housekeeping gene expression stability in reproductive tissues after mitogen stimulation. BMC Res Notes. 6:2852013. View Article : Google Scholar : PubMed/NCBI

10 

Huggett J, Dheda K, Bustin S and Zumla A: Real-time RT-PCR normalisation; strategies and considerations. Genes Immun. 6:279–284. 2005. View Article : Google Scholar : PubMed/NCBI

11 

Barber RD, Harmer DW, Coleman RA and Clark BJ: GAPDH as a housekeeping gene: analysis of GAPDH mRNA expression in a panel of 72 human tissues. Physiol Genomics. 21:389–395. 2005. View Article : Google Scholar : PubMed/NCBI

12 

Bas A, Forsberg G, Hammarstrom S and Hammarstrom ML: Utility of the housekeeping genes 18S rRNA, beta-actin and glyceraldehyde-3-phosphate-dehydrogenase for normalization in real-time quantitative reverse transcriptase-polymerase chain reaction analysis of gene expression in human T lymphocytes. Scand J Immun. 59:566–573. 2004. View Article : Google Scholar

13 

Selvey S, Thompson EW, Matthaei K, Lea RA, Irving MG and Griffiths LR: Beta-actin - an unsuitable internal control for RT-PCR. Mol Cell Probes. 15:307–311. 2001. View Article : Google Scholar : PubMed/NCBI

14 

Andersen CL, Jensen JL and Orntoft TF: Normalization of real-time quantitative reverse transcription-PCR data: a model-based variance estimation approach to identify genes suited for normalization, applied to bladder and colon cancer data sets. Can Res. 64:5245–5250. 2004. View Article : Google Scholar

15 

Rodriguez-Mulero S and Montanya E: Selection of a suitable internal control gene for expression studies in pancreatic islet grafts. Transplantation. 80:650–652. 2005. View Article : Google Scholar : PubMed/NCBI

16 

Sorby LA, Andersen SN, Bukholm IR and Jacobsen MB: Evaluation of suitable reference genes for normalization of real-time reverse transcription PCR analysis in colon cancer. J Exp Clinical Cancer Res. 29:1442010. View Article : Google Scholar

17 

Chua SL, See Too WC, Khoo BY and Few LL: UBC and YWHAZ as suitable reference genes for accurate normalisation of gene expression using MCF7, HCT116 and HepG2 cell lines. Cytotechnology. 63:645–654. 2011. View Article : Google Scholar : PubMed/NCBI

18 

Kim B, Lee HJ, Choi HY, et al: Clinical validity of the lung cancer biomarkers identified by bioinformatics analysis of public expression data. Cancer Res. 67:7431–7438. 2007. View Article : Google Scholar : PubMed/NCBI

19 

Schlotter YM, Veenhof EZ, Brinkhof B, et al: A GeNorm algorithm-based selection of reference genes for quantitative real-time PCR in skin biopsies of healthy dogs and dogs with atopic dermatitis. Vet Immunol Immunopathol. 129:115–118. 2009. View Article : Google Scholar : PubMed/NCBI

20 

Wang Q, Ishikawa T, Michiue T, Zhu BL, Guan DW and Maeda H: Stability of endogenous reference genes in postmortem human brains for normalization of quantitative real-time PCR data: comprehensive evaluation using geNorm, NormFinder and BestKeeper. Int J Legal Med. 126:943–952. 2012. View Article : Google Scholar : PubMed/NCBI

21 

Pfaffl MW, Tichopad A, Prgomet C and Neuvians TP: Determination of stable housekeeping genes, differentially regulated target genes and sample integrity: BestKeeper - Excel-based tool using pair-wise correlations. Biotechno Lett. 26:509–515. 2004. View Article : Google Scholar

22 

de Oliveira LA, Breton MC, Bastolla FM, et al: Reference genes for the normalization of gene expression in eucalyptus species. Plant Cell Physiol. 53:405–422. 2012. View Article : Google Scholar

23 

Bunn PA Jr: Worldwide overview of the current status of lung cancer diagnosis and treatment. Arch Pathology Lab Med. 136:1478–1481. 2012. View Article : Google Scholar

24 

Tsuboi M, Ohira T, Saji H, et al: The present status of postoperative adjuvant chemotherapy for completely resected non-small cell lung cancer. Ann Thoracic Cardiovasc Surg. 13:73–77. 2007.

25 

Liu J, Lee W, Jiang Z, et al: Genome and transcriptome sequencing of lung cancers reveal diverse mutational and splicing events. Genome Res. 22:2315–2327. 2012. View Article : Google Scholar : PubMed/NCBI

26 

Sokilde R, Kaczkowski B, Podolska A, et al: Global microRNA analysis of the NCI-60 cancer cell panel. Mol Cancer The. 10:375–384. 2011. View Article : Google Scholar

27 

Che CL, Zhang YM, Zhang HH, et al: DNA microarray reveals different pathways responding to paclitaxel and docetaxel in non-small cell lung cancer cell line. Int J Clin Exp Path. 6:1538–1548. 2013.

28 

Gazdar AF, Girard L, Lockwood WW, Lam WL and Minna JD: Lung cancer cell lines as tools for biomedical discovery and research. J Natl Cancer Inst. 102:1310–1321. 2010. View Article : Google Scholar : PubMed/NCBI

29 

Gazdar AF, Gao B and Minna JD: Lung cancer cell lines: Useless artifacts or invaluable tools for medical science? Lung Cancer. 68:309–318. 2010. View Article : Google Scholar : PubMed/NCBI

30 

van Eijk R, Licht J, Schrumpf M, et al: Rapid KRAS, EGFR, BRAF and PIK3CA mutation analysis of fine needle aspirates from non-small-cell lung cancer using allele-specific qPCR. PloS One. 6:e177912011. View Article : Google Scholar : PubMed/NCBI

31 

Saviozzi S, Cordero F, Lo Iacono M, Novello S, Scagliotti GV and Calogero RA: Selection of suitable reference genes for accurate normalization of gene expression profile studies in non-small cell lung cancer. BMC Cancer. 6:2002006. View Article : Google Scholar : PubMed/NCBI

32 

Ho-Pun-Cheung A, Bascoul-Mollevi C, Assenat E, et al: Validation of an appropriate reference gene for normalization of reverse transcription-quantitative polymerase chain reaction data from rectal cancer biopsies. Anal Biochem. 388:348–350. 2009. View Article : Google Scholar : PubMed/NCBI

33 

Ohl F, Jung M, Xu C, et al: Gene expression studies in prostate cancer tissue: which reference gene should be selected for normalization? J Mol Medicine. 83:1014–1024. 2005. View Article : Google Scholar

34 

Jacob F, Guertler R, Naim S, et al: Careful selection of reference genes is required for reliable performance of RT-qPCR in human normal and cancer cell lines. PloS One. 8:e591802013. View Article : Google Scholar : PubMed/NCBI

35 

Mafra V, Kubo KS, Alves-Ferreira M, et al: Reference genes for accurate transcript normalization in citrus genotypes under different experimental conditions. PloS One. 7:e312632012. View Article : Google Scholar : PubMed/NCBI

36 

Mallona I, Lischewski S, Weiss J, Hause B and Egea-Cortines M: Validation of reference genes for quantitative real-time PCR during leaf and flower development in Petunia hybrida. BMC Plant Biol. 10:42010. View Article : Google Scholar : PubMed/NCBI

37 

Liu DW, Chen ST and Liu HP: Choice of endogenous control for gene expression in nonsmall cell lung cancer. Eur Respir J. 26:1002–1008. 2005. View Article : Google Scholar : PubMed/NCBI

38 

Gresner P, Gromadzinska J and Wasowicz W: Reference genes for gene expression studies on non-small cell lung cancer. Acta Biochim Pol. 56:307–316. 2009.PubMed/NCBI

Related Articles

  • Abstract
  • View
  • Download
  • Twitter
Copy and paste a formatted citation
Spandidos Publications style
Ali H, Du Z, Li X, Yang Q, Zhang YC, Wu M, Li Y and Zhang G: Identification of suitable reference genes for gene expression studies using quantitative polymerase chain reaction in lung cancer in vitro. Mol Med Rep 11: 3767-3773, 2015.
APA
Ali, H., Du, Z., Li, X., Yang, Q., Zhang, Y.C., Wu, M. ... Zhang, G. (2015). Identification of suitable reference genes for gene expression studies using quantitative polymerase chain reaction in lung cancer in vitro. Molecular Medicine Reports, 11, 3767-3773. https://doi.org/10.3892/mmr.2015.3159
MLA
Ali, H., Du, Z., Li, X., Yang, Q., Zhang, Y. C., Wu, M., Li, Y., Zhang, G."Identification of suitable reference genes for gene expression studies using quantitative polymerase chain reaction in lung cancer in vitro". Molecular Medicine Reports 11.5 (2015): 3767-3773.
Chicago
Ali, H., Du, Z., Li, X., Yang, Q., Zhang, Y. C., Wu, M., Li, Y., Zhang, G."Identification of suitable reference genes for gene expression studies using quantitative polymerase chain reaction in lung cancer in vitro". Molecular Medicine Reports 11, no. 5 (2015): 3767-3773. https://doi.org/10.3892/mmr.2015.3159
Copy and paste a formatted citation
x
Spandidos Publications style
Ali H, Du Z, Li X, Yang Q, Zhang YC, Wu M, Li Y and Zhang G: Identification of suitable reference genes for gene expression studies using quantitative polymerase chain reaction in lung cancer in vitro. Mol Med Rep 11: 3767-3773, 2015.
APA
Ali, H., Du, Z., Li, X., Yang, Q., Zhang, Y.C., Wu, M. ... Zhang, G. (2015). Identification of suitable reference genes for gene expression studies using quantitative polymerase chain reaction in lung cancer in vitro. Molecular Medicine Reports, 11, 3767-3773. https://doi.org/10.3892/mmr.2015.3159
MLA
Ali, H., Du, Z., Li, X., Yang, Q., Zhang, Y. C., Wu, M., Li, Y., Zhang, G."Identification of suitable reference genes for gene expression studies using quantitative polymerase chain reaction in lung cancer in vitro". Molecular Medicine Reports 11.5 (2015): 3767-3773.
Chicago
Ali, H., Du, Z., Li, X., Yang, Q., Zhang, Y. C., Wu, M., Li, Y., Zhang, G."Identification of suitable reference genes for gene expression studies using quantitative polymerase chain reaction in lung cancer in vitro". Molecular Medicine Reports 11, no. 5 (2015): 3767-3773. https://doi.org/10.3892/mmr.2015.3159
Follow us
  • Twitter
  • LinkedIn
  • Facebook
About
  • Spandidos Publications
  • Careers
  • Cookie Policy
  • Privacy Policy
How can we help?
  • Help
  • Live Chat
  • Contact
  • Email to our Support Team