Spandidos Publications Logo
  • About
    • About Spandidos
    • Aims and Scopes
    • Abstracting and Indexing
    • Editorial Policies
    • Reprints and Permissions
    • Job Opportunities
    • Terms and Conditions
    • Contact
  • Journals
    • All Journals
    • Oncology Letters
      • Oncology Letters
      • Information for Authors
      • Editorial Policies
      • Editorial Board
      • Aims and Scope
      • Abstracting and Indexing
      • Bibliographic Information
      • Archive
    • International Journal of Oncology
      • International Journal of Oncology
      • Information for Authors
      • Editorial Policies
      • Editorial Board
      • Aims and Scope
      • Abstracting and Indexing
      • Bibliographic Information
      • Archive
    • Molecular and Clinical Oncology
      • Molecular and Clinical Oncology
      • Information for Authors
      • Editorial Policies
      • Editorial Board
      • Aims and Scope
      • Abstracting and Indexing
      • Bibliographic Information
      • Archive
    • Experimental and Therapeutic Medicine
      • Experimental and Therapeutic Medicine
      • Information for Authors
      • Editorial Policies
      • Editorial Board
      • Aims and Scope
      • Abstracting and Indexing
      • Bibliographic Information
      • Archive
    • International Journal of Molecular Medicine
      • International Journal of Molecular Medicine
      • Information for Authors
      • Editorial Policies
      • Editorial Board
      • Aims and Scope
      • Abstracting and Indexing
      • Bibliographic Information
      • Archive
    • Biomedical Reports
      • Biomedical Reports
      • Information for Authors
      • Editorial Policies
      • Editorial Board
      • Aims and Scope
      • Abstracting and Indexing
      • Bibliographic Information
      • Archive
    • Oncology Reports
      • Oncology Reports
      • Information for Authors
      • Editorial Policies
      • Editorial Board
      • Aims and Scope
      • Abstracting and Indexing
      • Bibliographic Information
      • Archive
    • Molecular Medicine Reports
      • Molecular Medicine Reports
      • Information for Authors
      • Editorial Policies
      • Editorial Board
      • Aims and Scope
      • Abstracting and Indexing
      • Bibliographic Information
      • Archive
    • World Academy of Sciences Journal
      • World Academy of Sciences Journal
      • Information for Authors
      • Editorial Policies
      • Editorial Board
      • Aims and Scope
      • Abstracting and Indexing
      • Bibliographic Information
      • Archive
    • International Journal of Functional Nutrition
      • International Journal of Functional Nutrition
      • Information for Authors
      • Editorial Policies
      • Editorial Board
      • Aims and Scope
      • Abstracting and Indexing
      • Bibliographic Information
      • Archive
    • International Journal of Epigenetics
      • International Journal of Epigenetics
      • Information for Authors
      • Editorial Policies
      • Editorial Board
      • Aims and Scope
      • Abstracting and Indexing
      • Bibliographic Information
      • Archive
    • Medicine International
      • Medicine International
      • Information for Authors
      • Editorial Policies
      • Editorial Board
      • Aims and Scope
      • Abstracting and Indexing
      • Bibliographic Information
      • Archive
  • Articles
  • Information
    • Information for Authors
    • Information for Reviewers
    • Information for Librarians
    • Information for Advertisers
    • Conferences
  • Language Editing
Spandidos Publications Logo
  • About
    • About Spandidos
    • Aims and Scopes
    • Abstracting and Indexing
    • Editorial Policies
    • Reprints and Permissions
    • Job Opportunities
    • Terms and Conditions
    • Contact
  • Journals
    • All Journals
    • Biomedical Reports
      • Information for Authors
      • Editorial Policies
      • Editorial Board
      • Aims and Scope
      • Abstracting and Indexing
      • Bibliographic Information
      • Archive
    • Experimental and Therapeutic Medicine
      • Information for Authors
      • Editorial Policies
      • Editorial Board
      • Aims and Scope
      • Abstracting and Indexing
      • Bibliographic Information
      • Archive
    • International Journal of Epigenetics
      • Information for Authors
      • Editorial Policies
      • Editorial Board
      • Aims and Scope
      • Abstracting and Indexing
      • Bibliographic Information
      • Archive
    • International Journal of Functional Nutrition
      • Information for Authors
      • Editorial Policies
      • Editorial Board
      • Aims and Scope
      • Abstracting and Indexing
      • Bibliographic Information
      • Archive
    • International Journal of Molecular Medicine
      • Information for Authors
      • Editorial Policies
      • Editorial Board
      • Aims and Scope
      • Abstracting and Indexing
      • Bibliographic Information
      • Archive
    • International Journal of Oncology
      • Information for Authors
      • Editorial Policies
      • Editorial Board
      • Aims and Scope
      • Abstracting and Indexing
      • Bibliographic Information
      • Archive
    • Medicine International
      • Information for Authors
      • Editorial Policies
      • Editorial Board
      • Aims and Scope
      • Abstracting and Indexing
      • Bibliographic Information
      • Archive
    • Molecular and Clinical Oncology
      • Information for Authors
      • Editorial Policies
      • Editorial Board
      • Aims and Scope
      • Abstracting and Indexing
      • Bibliographic Information
      • Archive
    • Molecular Medicine Reports
      • Information for Authors
      • Editorial Policies
      • Editorial Board
      • Aims and Scope
      • Abstracting and Indexing
      • Bibliographic Information
      • Archive
    • Oncology Letters
      • Information for Authors
      • Editorial Policies
      • Editorial Board
      • Aims and Scope
      • Abstracting and Indexing
      • Bibliographic Information
      • Archive
    • Oncology Reports
      • Information for Authors
      • Editorial Policies
      • Editorial Board
      • Aims and Scope
      • Abstracting and Indexing
      • Bibliographic Information
      • Archive
    • World Academy of Sciences Journal
      • Information for Authors
      • Editorial Policies
      • Editorial Board
      • Aims and Scope
      • Abstracting and Indexing
      • Bibliographic Information
      • Archive
  • Articles
  • Information
    • For Authors
    • For Reviewers
    • For Librarians
    • For Advertisers
    • Conferences
  • Language Editing
Login Register Submit
  • This site uses cookies
  • You can change your cookie settings at any time by following the instructions in our Cookie Policy. To find out more, you may read our Privacy Policy.

    I agree
Search articles by DOI, keyword, author or affiliation
Search
Advanced Search
presentation
Molecular Medicine Reports
Join Editorial Board Propose a Special Issue
Print ISSN: 1791-2997 Online ISSN: 1791-3004
Journal Cover
July-2015 Volume 12 Issue 1

Full Size Image

Sign up for eToc alerts
Recommend to Library

Journals

International Journal of Molecular Medicine

International Journal of Molecular Medicine

International Journal of Molecular Medicine is an international journal devoted to molecular mechanisms of human disease.

International Journal of Oncology

International Journal of Oncology

International Journal of Oncology is an international journal devoted to oncology research and cancer treatment.

Molecular Medicine Reports

Molecular Medicine Reports

Covers molecular medicine topics such as pharmacology, pathology, genetics, neuroscience, infectious diseases, molecular cardiology, and molecular surgery.

Oncology Reports

Oncology Reports

Oncology Reports is an international journal devoted to fundamental and applied research in Oncology.

Experimental and Therapeutic Medicine

Experimental and Therapeutic Medicine

Experimental and Therapeutic Medicine is an international journal devoted to laboratory and clinical medicine.

Oncology Letters

Oncology Letters

Oncology Letters is an international journal devoted to Experimental and Clinical Oncology.

Biomedical Reports

Biomedical Reports

Explores a wide range of biological and medical fields, including pharmacology, genetics, microbiology, neuroscience, and molecular cardiology.

Molecular and Clinical Oncology

Molecular and Clinical Oncology

International journal addressing all aspects of oncology research, from tumorigenesis and oncogenes to chemotherapy and metastasis.

World Academy of Sciences Journal

World Academy of Sciences Journal

Multidisciplinary open-access journal spanning biochemistry, genetics, neuroscience, environmental health, and synthetic biology.

International Journal of Functional Nutrition

International Journal of Functional Nutrition

Open-access journal combining biochemistry, pharmacology, immunology, and genetics to advance health through functional nutrition.

International Journal of Epigenetics

International Journal of Epigenetics

Publishes open-access research on using epigenetics to advance understanding and treatment of human disease.

Medicine International

Medicine International

An International Open Access Journal Devoted to General Medicine.

Journal Cover
July-2015 Volume 12 Issue 1

Full Size Image

Sign up for eToc alerts
Recommend to Library

  • Article
  • Citations
    • Cite This Article
    • Download Citation
    • Create Citation Alert
    • Remove Citation Alert
    • Cited By
  • Similar Articles
    • Related Articles (in Spandidos Publications)
    • Similar Articles (Google Scholar)
    • Similar Articles (PubMed)
  • Download PDF
  • Download XML
  • View XML
Article

Evaluation of the effects of Angelicae dahuricae radix on the morphology and viability of mesenchymal stem cells

  • Authors:
    • Su‑Hyeon Jeong
    • Bo‑Bae Kim
    • Ji‑Eun Lee
    • Youngkyung Ko
    • Jun‑Beom Park
  • View Affiliations / Copyright

    Affiliations: Department of Rehabilitation Medicine of Korean Medicine, Chungju Hospital of Korean Medicine, College of Korean Medicine, Semyung University, Jecheon-si, Chungcheongbuk-do 390-711, Republic of Korea, Department of Periodontics, College of Medicine, The Catholic University of Korea, Seoul 137‑701, Republic of Korea
  • Pages: 1556-1560
    |
    Published online on: March 9, 2015
       https://doi.org/10.3892/mmr.2015.3456
  • Expand metrics +
Metrics: Total Views: 0 (Spandidos Publications: | PMC Statistics: )
Metrics: Total PDF Downloads: 0 (Spandidos Publications: | PMC Statistics: )
Cited By (CrossRef): 0 citations Loading Articles...

This article is mentioned in:



Abstract

Angelicae dahuricae radix is a traditional herbal medicine used to treat various diseases in China and Korea, such as colds, headaches, rhinitis and psoriasis. Angelicae dahuricae radix has been used as an anti‑inflammatory, analgesic, antipyretic and antioxidant remedy. This study was performed in order to evaluate the effects of the extracts of Angelicae dahuricae radix on the morphology and viability of mesenchymal stem cells derived from the gingiva. Mesenchymal stem cells derived from the gingiva were grown in the presence of Angelicae dahuricae radix at final concentrations that ranged from 0.001 to 100 µg/ml. The morphology of the cells was viewed under an inverted microscope, and the analysis of cell proliferation was performed with cell counting kit‑8 (CCK‑8) on days 1, 3 and 7. The cells in the control group had spindle‑shaped, fibroblast‑like morphology at days 1, 3 and 7 under optical microscopy. The shapes of the cells in 0.001, 0.01, 0.1, 1, 10 and 100 µg/ml Angelicae dahuricae radix were similar to the shapes of the cells in the control group. The relative values of the CCK‑8 assays of 0.001, 0.01, 0.1, 1, 10, and 100 µg/ml Angelicae dahuricae radix were 102.5±0.6, 133.3±9.6, 148.4±20.5, 147.7±12.6, 132.3±27.7 and 101.1±4.6%, respectively, when the CCK‑8 result of the control group on day 1 was considered to be 100%. There was a marginal increase in cell proliferation at 0.1 and 1 µg/ml groups at day 1; however, this did not achieve statistical significance (P=0.052). The relative values of the CCK‑8 assays of 0.001, 0.01, 0.1, 1, 10 and 100 µg/ml Angelicae dahuricae radix were 96.5±1.3, 89.3±0.9, 90.3±3.0, 84.8±12.2, 92.3±4.5 and 86.8±11.7%, respectively, when the CCK‑8 result of the control group on day 3 was considered to be 100% (P>0.05). The relative values of the CCK‑8 assays of 0.001, 0.01, 0.1, 1, 10 and 100 µg/ml Angelicae dahuricae radix day 7 were 94.9±22.3, 102.8±22.1, 127.4±7.4, 130.4±1.3, 129.2±10.8 and 124.8±9.1%, respectively, when the CCK‑8 result of the control group on day 7 was considered to be 100%, but there were no statistically significant differences among the groups (P>0.05). Within the limits of this study, Angelicae dahuricae radix at the tested concentrations did not produce statistically significant differences in the viability of stem cells derived from the gingiva.

Introduction

Angelicae dahuricae is a perennial plant that grows naturally throughout large areas of China. It has a strong scent, and its leaves are used to make incense (1). Angelicae dahuricae radix is the dried root of Angelica dahurica Bentham et Hooker and Angelica dahurica (Fisch. ex Hoffm). Benth. et Hook. f. var. formosana (Boiss). Shan et Yuan, known as Bai Zhi in Chinese, and is used in traditional Chinese medicine to treat various diseases (2).

Angelicae dahuricae radix has been used for the treatment of colds, headaches, rhinitis and psoriasis in traditional medicine (3). Research has been performed on the anti-inflammatory, analgesic, antipyretic, antioxidant and cytochrome P450 activity of Angelicae dahuricae radix (4–6). Furthermore, Angelicae dahuricae radix has been suggested for use in the treatment of oral diseases, including toothache (3). Limited information is currently available regarding the effects of Angelicae dahuricae radix on dental tissue, and there is no information on its effects on the mesenchymal stem cells derived from the gingiva.

The aim of the present study was to evaluate the effects of extracts of Angelicae dahuricae radix on the morphology and viability of human stem cells derived from the gingiva. To the best of our knowledge, this investigation is the first to elucidate the effect of Angelicae dahuricae radix on stem cells derived from the gingiva.

Materials and methods

Preparation of the materials

The dry roots of Angelica dahurica Bentham et Hooker (500 g) were immersed in 2,000 ml distilled water for 2 h and boiled under reflux for 2 h 30 min. The resulting extract was centrifuged at 5,000 × g for 10 min. The supernatant was concentrated to 300 ml using a rotary evaporator under reduced pressure (Eyela NE-1001, Tokya Rikakikai Co. Ltd., Tokyo, Japan). The concentrates were then freeze-dried in a lyophilizer (Labconco, Kansas, MO, USA) to obtain 182.5 g of solid residue, resulting in a yield of 36.5% (w/w).

Isolation and culture of the stem cells derived from the gingival

Healthy gingival tissues were obtained from four healthy patients undergoing crown-lengthening procedures. This study was reviewed and approved by the Institutional Review Board of Seoul St. Mary’s Hospital, College of Medicine, The Catholic University of Korea (Seoul, Republic of Korea; KC11SISI0348), and informed consent was obtained from all participants.

The tissues were immediately placed in sterile phosphate-buffered saline (PBS, Welgene, Daegu, Korea) with 100 U/ml penicillin and 100 μg/ml streptomycin (Sigma-Aldrich, St. Louis, MO, USA) at 4°C. The gingival tissue was de-epithelialized, minced, digested with collagenase IV (Sigma-Aldrich) and incubated at 37°C in a humidified incubator with 5% CO2 and 95% O2. The non-adherent cells were washed with PBS after 24 h, replaced with fresh medium, and fed every 2–3 days.

Evaluation of stem cell morphology

The stem cells were plated at a density of 2.0×103 cells/well in 96-well plates. The cells were incubated in minimum Essential medium α (α-MEM, Gibco, Grand Island, NY, USA) that was composed of 15% fetal bovine serum (Gibco), 100 U/ml penicillin and 100 μg/ml streptomycin (Sigma-Aldrich), 200 mM L-Glutamine (Sigma-Aldrich) and 10 mM ascorbic acid 2-phosphate (Sigma-Aldric) in the presence of the Angelicae dahuricae radix at final concentrations that ranged from 0.001 to 100 μg/ml [0 (control), 0.001, 0.01, 0.1, 1, 10, and 100 μg/ml]. The morphology of the cells was viewed under an inverted microscope (Leica DM IRM, Leica Microsystems, Wetzlar, Germany) on days 1, 3 and 7. The images were saved as JPEG fles.

Determination of cell proliferation

The analysis of cell proliferation was performed on days 1, 3 and 7. Viable cells were identified using a cell counting kit-8 (CCK-8, Dojindo, Tokyo, Japan) assay. The spectrophotometric absorbance was measured with a microplate reader (BioTek, Winooski, VT, USA), and the analysis was performed in triplicate.

Statistical analysis

The findings are represented as the mean ± standard deviation of the experiments. Analysis of normality was performed, and a one-way analysis of variance (ANOVA) with post hoc test was performed to determine the differences between the groups using a commercially available program (SPSS 12 for Windows, SPSS Inc., Chicago, IL, USA). P<0.05 was considered to indicate a statistically significant difference.

Results

Evaluation of cell morphology

The morphology of the stem cells at day 1 is shown in Fig. 1. Under optical microscopy, the control group cells had a spindle-shaped, fibroblast-like morphology. The shapes of the cells treated with 0.001, 0.01, 0.1, 1, 10, and 100 μg/ml Angelicae dahuricae radix were similar to the shapes of the cells in the control group. The morphology of the cells on day 3 is shown in Fig. 2. The shapes of the cells treated with 0.001, 0.01, 0.1, 1, 10, and 100 μg/ml were similar to those of cells in the control group. No significant alterations were noted in the treated groups (0.001 to 100 μg/ml groups) when compared with the control group. The morphology of the cells on day 7 is shown in Fig. 3. The shapes of the cells treated with 0.001, 0.01, 0.1, 1, 10, and 100 μg/ml groups were similar to the shapes of the cells in the untreated control group.

Figure 1

Evaluation of cell morphology on day 1 following treatment with different concentrations of Angelicae dahuricae radix. (A) Control, (B) 0.001 μg/ml group, (C) 0.01 μg/ml group, (D) 0.1 μg/ml group, (E) 1 μg/ml group, (F) 10 μg/ml group and (G) 100 μg/ml group.

Figure 2

Cell morphology on day 3 following treatment with different concentrations of Angelicae dahuricae radix. (A) Control, (B) 0.001 μg/ml group, (C) 0.01 μg/ml group, (D) 0.1 μg/ml group, (E) 1 μg/ml group, (F) 10 μg/ml group and (G) 100 μg/ml group.

Figure 3

Cell morphology on day 7 following treatment with different concentrations of Angelicae dahuricae radix. (A) Control, (B) 0.001 μg/ml group, (C) 0.01 μg/ml group, (D) 0.1 μg/ml group, (E) 1 μg/ml group, (F) 10 μg/ml group and (G) 100 μg/ml group.

Cell proliferation

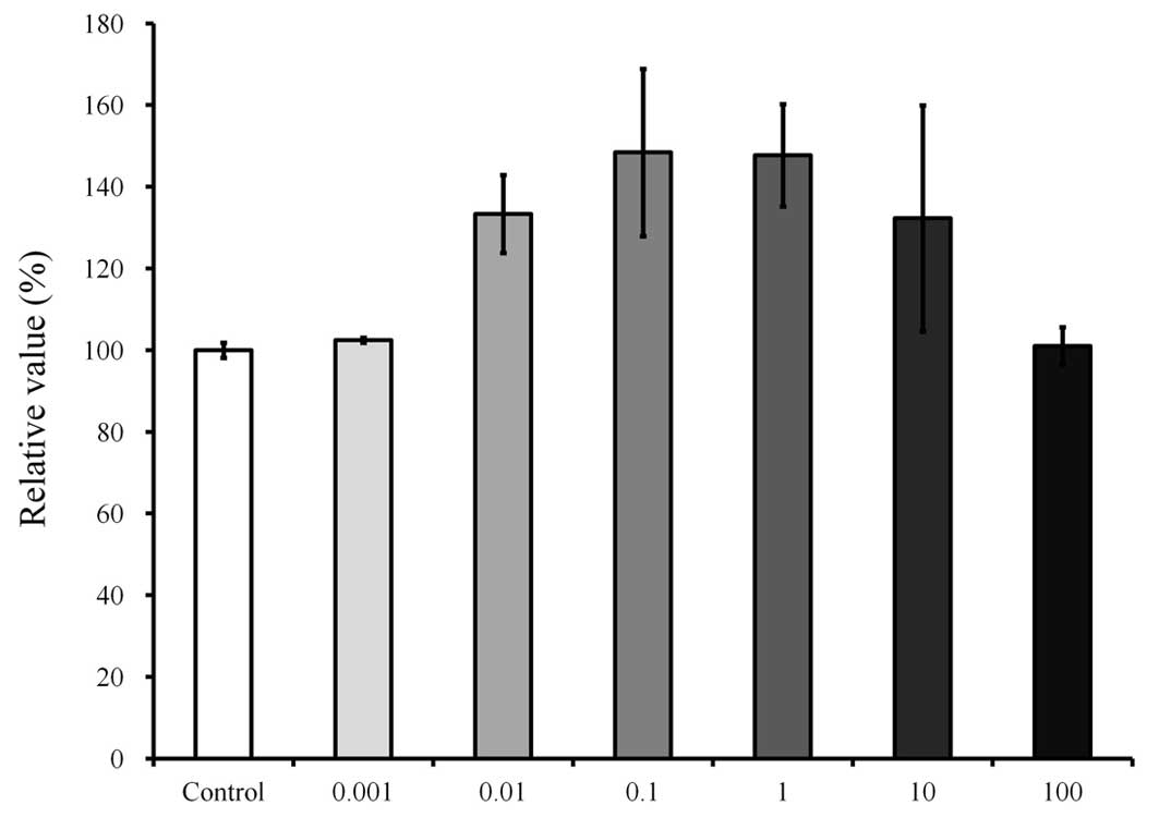
The results of cell proliferation at day 1 are shown in Fig. 4, respectively. The relative values of the CCK-8 assays of 0.001, 0.01, 0.1, 1, 10, and 100 μg/ml Angelicae dahuricae radix were 102.5±0.6, 133.3±9.6%, 148.4±20.5, 147.7±12.6, 132.3±277 and 101.1±4.6%, respectively, when the CCK-8 result of the control group on day 1 was considered to be 100% (100.0±1.8). The proliferation rate of the cultures that were growing in the presence of Angelicae dahuricae radix increased marginally in the 0.1 and 1 μg/ml groups, but this was not indicated to be statistically significant (P=0.052).

Figure 4

Cellular viability on day 1 following treatment with different concentrations of Angelicae dahuricae radix.

The results at day 3 are shown in Fig. 5. The relative values of the CCK-8 assays of 0.001, 0.01, 0.1, 1, 10, and 100 μg/ml of Angelicae dahuricae radix were 96.5±1.3, 89.3±0.9, 90.3±3.0, 84.8±12.2, 92.3±4.5 and 86.8±11.7%, respectively, when the CCK-8 result of the control group on day 3 was considered to be 100% (100.0±6.5). No significant differences were noted among the groups (P>0.05).

Figure 5

Cellular viability on day 3 following treatment with different concentrations of Angelicae dahuricae radix.

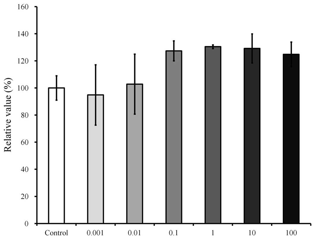
The results at day 7 are shown in Fig. 6. The relative values of the CCK-8 assays of 0.001, 0.01, 0.1, 1, 10, and 100 μg/ml of Angelicae dahuricae radix were 94.9±22.3, 102.8±22.1, 1274±74, 130.4±1.3, 129.2±10.8 and 124.8±9.1%, respectively, when the CCK-8 result of the control group on day 7 was considered to be 100% (100.0±9.0). The cultures that were growing in the presence of Angelicae dahuricae radix exhibited marginally increased proliferation in the 1 and 10 μg/ml groups; however, this was not observed to achieve statistical significance (P>0.05).

Figure 6

Cellular viability on day 7 following treatment with different concentrations of Angelicae dahuricae radix.

Discussion

This study discussed the effects of Angelicae dahuricae radix on the morphology and proliferation of the human mesenchymal stem cells derived from periodontal tissue. This study showed that cell proliferation of the stem cells were influenced by Angelicae dahuricae radix at day 1 and a marginal increase in cell number was observed at certain concentrations (0.1 to 1 μg/ml) (P=0.052); however, a significant increase in cell proliferation was not achieved at day 3 and 7.

Angelicae dahuricae radix is a traditional herbal medicine used to treat various diseases. More recently, it was reported that Angelicae dahuricae radix suppressed the development of atopic dermatitis-like skin lesions and could be used for the treatment of hypertension and asthma (3,7,8). A number of analytical methods have been reported for the determination of several coumarins in Angelicae dahuricae radix, including capillary electrochromatography, high-performance liquid chromatography, liquid chromatography-mass spectrometry, gas chromatography-mass spectrometry and high-speed countercurrent chromatography (7,9–12). It appears that the crude extract and essential oils of Angelicae dahuricae radix may include multiple potentially active chemical compounds. The main components of Angelicae dahuricae radix are reported to be volatile oil and ingredients of coumarin, including imperatorin, isoimperatorin and cnidilin, and these active ingredients of Angelicae dahuricae radix may explain its multiple functions (13). Previous studies have shown that auraptenol, a major coumarin component from Angelicae dahuricae radix, had a robust antinociceptive effect in a chronic neuropathic pain mouse model (1).

Limited studies were performed to evaluate the effects of Angelicae dahuricae radix on the cell viability in vitro and in vivo (14,15), and Angelicae dahuricae radix extract showed cytotoxicity toward cancer cells, including mouse lymphocytic leukemia cells, human promyelocytic leukemia cells, human myelogenous leukemia cells, and mouse melanoma cells (14). Coumarins were isolated from Angelicae dahuricae radix by silica gel column chromatography, and the half maximal inhibitory concentration (IC50) values varied from 8.6 to 14.6 μg/ml cells. However, another study showed that extracts of Angelicae dahuricae radix combined with methanol, water and ethyl acetate at 100 μg/ml did not produce significant cytotoxic effects on a murine macrophage cell line (15). Sprague Dawley rats were administered 0.3, 1.0, and 3.0 g/kg Angelicae dahuricae radix compound corresponding to the unprocessed drug of 2.78, 9.28, and 27.8 g/kg by per os once a day for 12 weeks (16). The amounts were estimated to be equal to 30, 100 and 300 times the clinical dose, and no apparent chronic toxicity was reported during the experimental period. Similarly, the present study showed that cultures growing in the presence of Angelicae dahuricae radix showed marginal increase in cell number in the 0.1 and 1 μg/ml groups; however, statistically significant differences were not identified.

There is increasing interest in mesenchymal stem cells provide as they are an advantageous alternative therapeutic option for tissue regeneration in comparison to current treatment modalities (17). Previous reports showed that stem cells derived from the gingiva exhibited colony-forming abilities, plastic adherence and multilineage differentiation (osteogenic, adipogenic, chondrogenic) potency, and expressed CD44, CD73, CD90 and CD105 (18). Gingiva from the maxillofacial region may be considered as a favorable source of mesenchymal stem cells as the harvesting of stem cells from the mandible or maxilla can be performed easily under local anesthesia (19). Furthermore, harvesting stem cells from the gingiva may be more practical when compared with the bone marrow of the maxilla and mandible as it is less invasive and has less complications, including paresthesia and pain (20–22).

Within the limits of this study, Angelicae dahuricae radix at the tested concentrations did not produce statistically significant differences in the viability of stem cells derived from the gingiva.

Acknowledgments

This study was supported by the Basic Science Research Program through the National Research Foundation of Korea (NRF) funded by the Ministry of Science, ICT & Future Planning (grant no. NRF-2014R1A1A1003106).

References

1 

Wang Y, Cao SE, Tian J, Liu G, Zhang X and Li P: Auraptenol attenuates vincristine-induced mechanical hyperalgesia through serotonin 5-HT1A receptors. Sci Rep. 3:33772013.PubMed/NCBI

2 

Zhou RH: Resource science of Chinese medicinal materials. China Medical & Pharmaceutical Sciences Press; Beijing: pp. 19–32. 1993

3 

Lee H, Lee JK, Ha H, Lee MY, Seo CS and Shin HK: Angelicae dahuricae radix inhibits dust mite extract-induced atopic dermatitis-like skin lesions in NC/Nga mice. Evid Based Complement Alternat Med. 2012:7430752012.PubMed/NCBI

4 

Li H, Dai Y, Zhang H and Xie C: Pharmacological studies on the Chinese drug radix Angelicae dahuricae. Zhongguo Zhong Yao Za Zhi. 16:560–562. 5761991.In Chinese.

5 

Kang OH, Chae HS, Oh YC, et al: Anti-nociceptive and anti-inflammatory effects of Angelicae dahuricae radix through inhibition of the expression of inducible nitric oxide synthase and NO production. Am J Chin Med. 36:913–928. 2008. View Article : Google Scholar : PubMed/NCBI

6 

Yi S, Cho JY, Lim KS, et al: Effects of Angelicae tenuissima radix, Angelicae dahuricae radix and Scutellariae radix extracts on cytochrome P450 activities in healthy volunteers. Basic Clin Pharmacol Toxicol. 105:249–256. 2009. View Article : Google Scholar : PubMed/NCBI

7 

Zhao G, Peng C, Du W and Wang S: Pharmacokinetic study of eight coumarins of Radix Angelicae dahuricae in rats by gas chromatography-mass spectrometry. Fitoterapia. 89:250–256. 2013. View Article : Google Scholar : PubMed/NCBI

8 

Tang W and Eisenbrand G: Angelica spp. Chinese drugs of plant origin, chemistry, pharmacology and use in traditional and modern medicine. Springer; Berlin: pp. 113–125. 1992, View Article : Google Scholar

9 

Szucs V and Freitag R: Comparison of a three-peptide separation by capillary electrochromatography, voltage-assisted liquid chromatography and nano-high-performance liquid chromatography. J Chromatogr A. 1044:201–210. 2004. View Article : Google Scholar : PubMed/NCBI

10 

Xie Y, Chen Y, Lin M, Wen J, Fan G and Wu Y: High-performance liquid chromatographic method for the determination and pharmacokinetic study of oxypeucedanin hydrate and byak-angelicin after oral administration of Angelica dahurica extracts in mongrel dog plasma. J Pharm Biomed Anal. 44:166–172. 2007. View Article : Google Scholar : PubMed/NCBI

11 

Zheng X, Zhang X, Sheng X, et al: Simultaneous characterization and quantitation of 11 coumarins in Radix Angelicae dahuricae by high performance liquid chromatography with electrospray tandem mass spectrometry. J Pharm Biomed Anal. 51:599–605. 2010. View Article : Google Scholar

12 

Liu R, Li A and Sun A: Preparative isolation and purification of coumarins from Angelica dahurica (Fisch ex Hoffn) Benth, et Hook f (Chinese traditional medicinal herb) by high-speed counter-current chromatography. J Chromatogr A. 1052:223–227. 2004. View Article : Google Scholar : PubMed/NCBI

13 

Zhu M, Liang XL, Zhao LJ, et al: Elucidation of the transport mechanism of baicalin and the influence of a Radix Angelicae dahuricae extract on the absorption of baicalin in a Caco-2 cell monolayer model. J Ethnopharmacol. 150:553–559. 2013. View Article : Google Scholar : PubMed/NCBI

14 

Thanh PN, Jin W, Song G, Bae K and Kang SS: Cytotoxic coumarins from the root of Angelica dahurica. Arch Pharm Res. 27:1211–1215. 2004. View Article : Google Scholar

15 

Kang OH, Lee GH, Choi HJ, et al: Ethyl acetate extract from Angelica dahuricae Radix inhibits lipopolysaccharide-induced production of nitric oxide, prostaglandin E2 and tumor necrosis factor-alpha via mitogen-activated protein kinases and nuclear factor-kappaB in macrophages. Pharmacol Res. 55:263–270. 2007. View Article : Google Scholar : PubMed/NCBI

16 

Zhao W, Cao Y and Liu J: Research on chronic toxicology of Compound Radix Angelicae dahuricae capsule. J Shaxi Med Univ. 37:160–165. 2006.

17 

Moshaverinia A, Chen C, Xu X, et al: Bone regeneration potential of stem cells derived from periodontal ligament or gingival tissue sources encapsulated in RGD-modified alginate scaffold. Tissue Eng Part A. 20:611–621. 2014.

18 

Jeong SH, Lee JE, Jin SH, Ko Y and Park JB: Effects of Asiasari radix on the morphology and viability of mesenchymal stem cells derived from the gingiva. Mol Med Rep. 10:3315–3319. 2014.PubMed/NCBI

19 

Tomar GB, Srivastava RK, Gupta N, et al: Human gingiva-derived mesenchymal stem cells are superior to bone marrow-derived mesenchymal stem cells for cell therapy in regenerative medicine. Biochem Biophys Res Commun. 393:377–383. 2010. View Article : Google Scholar : PubMed/NCBI

20 

Park JB, Kim YS, Lee G, Yun BG and Kim CH: The effect of surface treatment of titanium with sand-blasting/acid-etching or hydroxyapaptite-coating and application of bone morphogenetic protein-2 on attachment, proliferation and differentiation of stem cells derived from buccal fat pad. Tissue Eng Regen Med. 10:115–121. 2013. View Article : Google Scholar

21 

Fournier BP, Larjava H and Häkkinen L: Gingiva as a source of stem cells with therapeutic potential. Stem Cells Dev. 22:3157–3177. 2013. View Article : Google Scholar : PubMed/NCBI

22 

Yang H, Gao LN, An Y, et al: Comparison of mesenchymal stem cells derived from gingival tissue and periodontal ligament in different incubation conditions. Biomaterials. 34:7033–7047. 2013. View Article : Google Scholar : PubMed/NCBI

Related Articles

  • Abstract
  • View
  • Download
  • Twitter
Copy and paste a formatted citation
Spandidos Publications style
Jeong SH, Kim BB, Lee JE, Ko Y and Park JB: Evaluation of the effects of Angelicae dahuricae radix on the morphology and viability of mesenchymal stem cells. Mol Med Rep 12: 1556-1560, 2015.
APA
Jeong, S., Kim, B., Lee, J., Ko, Y., & Park, J. (2015). Evaluation of the effects of Angelicae dahuricae radix on the morphology and viability of mesenchymal stem cells. Molecular Medicine Reports, 12, 1556-1560. https://doi.org/10.3892/mmr.2015.3456
MLA
Jeong, S., Kim, B., Lee, J., Ko, Y., Park, J."Evaluation of the effects of Angelicae dahuricae radix on the morphology and viability of mesenchymal stem cells". Molecular Medicine Reports 12.1 (2015): 1556-1560.
Chicago
Jeong, S., Kim, B., Lee, J., Ko, Y., Park, J."Evaluation of the effects of Angelicae dahuricae radix on the morphology and viability of mesenchymal stem cells". Molecular Medicine Reports 12, no. 1 (2015): 1556-1560. https://doi.org/10.3892/mmr.2015.3456
Copy and paste a formatted citation
x
Spandidos Publications style
Jeong SH, Kim BB, Lee JE, Ko Y and Park JB: Evaluation of the effects of Angelicae dahuricae radix on the morphology and viability of mesenchymal stem cells. Mol Med Rep 12: 1556-1560, 2015.
APA
Jeong, S., Kim, B., Lee, J., Ko, Y., & Park, J. (2015). Evaluation of the effects of Angelicae dahuricae radix on the morphology and viability of mesenchymal stem cells. Molecular Medicine Reports, 12, 1556-1560. https://doi.org/10.3892/mmr.2015.3456
MLA
Jeong, S., Kim, B., Lee, J., Ko, Y., Park, J."Evaluation of the effects of Angelicae dahuricae radix on the morphology and viability of mesenchymal stem cells". Molecular Medicine Reports 12.1 (2015): 1556-1560.
Chicago
Jeong, S., Kim, B., Lee, J., Ko, Y., Park, J."Evaluation of the effects of Angelicae dahuricae radix on the morphology and viability of mesenchymal stem cells". Molecular Medicine Reports 12, no. 1 (2015): 1556-1560. https://doi.org/10.3892/mmr.2015.3456
Follow us
  • Twitter
  • LinkedIn
  • Facebook
About
  • Spandidos Publications
  • Careers
  • Cookie Policy
  • Privacy Policy
How can we help?
  • Help
  • Live Chat
  • Contact
  • Email to our Support Team