Spandidos Publications Logo
  • About
    • About Spandidos
    • Aims and Scopes
    • Abstracting and Indexing
    • Editorial Policies
    • Reprints and Permissions
    • Job Opportunities
    • Terms and Conditions
    • Contact
  • Journals
    • All Journals
    • Oncology Letters
      • Oncology Letters
      • Information for Authors
      • Editorial Policies
      • Editorial Board
      • Aims and Scope
      • Abstracting and Indexing
      • Bibliographic Information
      • Archive
    • International Journal of Oncology
      • International Journal of Oncology
      • Information for Authors
      • Editorial Policies
      • Editorial Board
      • Aims and Scope
      • Abstracting and Indexing
      • Bibliographic Information
      • Archive
    • Molecular and Clinical Oncology
      • Molecular and Clinical Oncology
      • Information for Authors
      • Editorial Policies
      • Editorial Board
      • Aims and Scope
      • Abstracting and Indexing
      • Bibliographic Information
      • Archive
    • Experimental and Therapeutic Medicine
      • Experimental and Therapeutic Medicine
      • Information for Authors
      • Editorial Policies
      • Editorial Board
      • Aims and Scope
      • Abstracting and Indexing
      • Bibliographic Information
      • Archive
    • International Journal of Molecular Medicine
      • International Journal of Molecular Medicine
      • Information for Authors
      • Editorial Policies
      • Editorial Board
      • Aims and Scope
      • Abstracting and Indexing
      • Bibliographic Information
      • Archive
    • Biomedical Reports
      • Biomedical Reports
      • Information for Authors
      • Editorial Policies
      • Editorial Board
      • Aims and Scope
      • Abstracting and Indexing
      • Bibliographic Information
      • Archive
    • Oncology Reports
      • Oncology Reports
      • Information for Authors
      • Editorial Policies
      • Editorial Board
      • Aims and Scope
      • Abstracting and Indexing
      • Bibliographic Information
      • Archive
    • Molecular Medicine Reports
      • Molecular Medicine Reports
      • Information for Authors
      • Editorial Policies
      • Editorial Board
      • Aims and Scope
      • Abstracting and Indexing
      • Bibliographic Information
      • Archive
    • World Academy of Sciences Journal
      • World Academy of Sciences Journal
      • Information for Authors
      • Editorial Policies
      • Editorial Board
      • Aims and Scope
      • Abstracting and Indexing
      • Bibliographic Information
      • Archive
    • International Journal of Functional Nutrition
      • International Journal of Functional Nutrition
      • Information for Authors
      • Editorial Policies
      • Editorial Board
      • Aims and Scope
      • Abstracting and Indexing
      • Bibliographic Information
      • Archive
    • International Journal of Epigenetics
      • International Journal of Epigenetics
      • Information for Authors
      • Editorial Policies
      • Editorial Board
      • Aims and Scope
      • Abstracting and Indexing
      • Bibliographic Information
      • Archive
    • Medicine International
      • Medicine International
      • Information for Authors
      • Editorial Policies
      • Editorial Board
      • Aims and Scope
      • Abstracting and Indexing
      • Bibliographic Information
      • Archive
  • Articles
  • Information
    • Information for Authors
    • Information for Reviewers
    • Information for Librarians
    • Information for Advertisers
    • Conferences
  • Language Editing
Spandidos Publications Logo
  • About
    • About Spandidos
    • Aims and Scopes
    • Abstracting and Indexing
    • Editorial Policies
    • Reprints and Permissions
    • Job Opportunities
    • Terms and Conditions
    • Contact
  • Journals
    • All Journals
    • Biomedical Reports
      • Information for Authors
      • Editorial Policies
      • Editorial Board
      • Aims and Scope
      • Abstracting and Indexing
      • Bibliographic Information
      • Archive
    • Experimental and Therapeutic Medicine
      • Information for Authors
      • Editorial Policies
      • Editorial Board
      • Aims and Scope
      • Abstracting and Indexing
      • Bibliographic Information
      • Archive
    • International Journal of Epigenetics
      • Information for Authors
      • Editorial Policies
      • Editorial Board
      • Aims and Scope
      • Abstracting and Indexing
      • Bibliographic Information
      • Archive
    • International Journal of Functional Nutrition
      • Information for Authors
      • Editorial Policies
      • Editorial Board
      • Aims and Scope
      • Abstracting and Indexing
      • Bibliographic Information
      • Archive
    • International Journal of Molecular Medicine
      • Information for Authors
      • Editorial Policies
      • Editorial Board
      • Aims and Scope
      • Abstracting and Indexing
      • Bibliographic Information
      • Archive
    • International Journal of Oncology
      • Information for Authors
      • Editorial Policies
      • Editorial Board
      • Aims and Scope
      • Abstracting and Indexing
      • Bibliographic Information
      • Archive
    • Medicine International
      • Information for Authors
      • Editorial Policies
      • Editorial Board
      • Aims and Scope
      • Abstracting and Indexing
      • Bibliographic Information
      • Archive
    • Molecular and Clinical Oncology
      • Information for Authors
      • Editorial Policies
      • Editorial Board
      • Aims and Scope
      • Abstracting and Indexing
      • Bibliographic Information
      • Archive
    • Molecular Medicine Reports
      • Information for Authors
      • Editorial Policies
      • Editorial Board
      • Aims and Scope
      • Abstracting and Indexing
      • Bibliographic Information
      • Archive
    • Oncology Letters
      • Information for Authors
      • Editorial Policies
      • Editorial Board
      • Aims and Scope
      • Abstracting and Indexing
      • Bibliographic Information
      • Archive
    • Oncology Reports
      • Information for Authors
      • Editorial Policies
      • Editorial Board
      • Aims and Scope
      • Abstracting and Indexing
      • Bibliographic Information
      • Archive
    • World Academy of Sciences Journal
      • Information for Authors
      • Editorial Policies
      • Editorial Board
      • Aims and Scope
      • Abstracting and Indexing
      • Bibliographic Information
      • Archive
  • Articles
  • Information
    • For Authors
    • For Reviewers
    • For Librarians
    • For Advertisers
    • Conferences
  • Language Editing
Login Register Submit
  • This site uses cookies
  • You can change your cookie settings at any time by following the instructions in our Cookie Policy. To find out more, you may read our Privacy Policy.

    I agree
Search articles by DOI, keyword, author or affiliation
Search
Advanced Search
presentation
Molecular Medicine Reports
Join Editorial Board Propose a Special Issue
Print ISSN: 1791-2997 Online ISSN: 1791-3004
Journal Cover
July-2015 Volume 12 Issue 1

Full Size Image

Sign up for eToc alerts
Recommend to Library

Journals

International Journal of Molecular Medicine

International Journal of Molecular Medicine

International Journal of Molecular Medicine is an international journal devoted to molecular mechanisms of human disease.

International Journal of Oncology

International Journal of Oncology

International Journal of Oncology is an international journal devoted to oncology research and cancer treatment.

Molecular Medicine Reports

Molecular Medicine Reports

Covers molecular medicine topics such as pharmacology, pathology, genetics, neuroscience, infectious diseases, molecular cardiology, and molecular surgery.

Oncology Reports

Oncology Reports

Oncology Reports is an international journal devoted to fundamental and applied research in Oncology.

Experimental and Therapeutic Medicine

Experimental and Therapeutic Medicine

Experimental and Therapeutic Medicine is an international journal devoted to laboratory and clinical medicine.

Oncology Letters

Oncology Letters

Oncology Letters is an international journal devoted to Experimental and Clinical Oncology.

Biomedical Reports

Biomedical Reports

Explores a wide range of biological and medical fields, including pharmacology, genetics, microbiology, neuroscience, and molecular cardiology.

Molecular and Clinical Oncology

Molecular and Clinical Oncology

International journal addressing all aspects of oncology research, from tumorigenesis and oncogenes to chemotherapy and metastasis.

World Academy of Sciences Journal

World Academy of Sciences Journal

Multidisciplinary open-access journal spanning biochemistry, genetics, neuroscience, environmental health, and synthetic biology.

International Journal of Functional Nutrition

International Journal of Functional Nutrition

Open-access journal combining biochemistry, pharmacology, immunology, and genetics to advance health through functional nutrition.

International Journal of Epigenetics

International Journal of Epigenetics

Publishes open-access research on using epigenetics to advance understanding and treatment of human disease.

Medicine International

Medicine International

An International Open Access Journal Devoted to General Medicine.

Journal Cover
July-2015 Volume 12 Issue 1

Full Size Image

Sign up for eToc alerts
Recommend to Library

  • Article
  • Citations
    • Cite This Article
    • Download Citation
    • Create Citation Alert
    • Remove Citation Alert
    • Cited By
  • Similar Articles
    • Related Articles (in Spandidos Publications)
    • Similar Articles (Google Scholar)
    • Similar Articles (PubMed)
  • Download PDF
  • Download XML
  • View XML
Article

Angiotensin‑(1‑7) stimulates cholesterol efflux from angiotensin II‑treated cholesterol‑loaded THP‑1 macrophages through the suppression of p38 and c‑Jun N‑terminal kinase signaling

  • Authors:
    • Hui‑Yu Yang
    • Yun‑Fei Bian
    • Chuan‑Shi Xiao
    • Bin Liang
    • Nana Zhang
    • Fen Gao
    • Zhi‑Ming Yang
  • View Affiliations / Copyright

    Affiliations: Department of Cardiology, The Second Hospital of Shanxi Medical University, Taiyuan, Shanxi 030001, P.R. China
  • Pages: 1387-1392
    |
    Published online on: March 13, 2015
       https://doi.org/10.3892/mmr.2015.3484
  • Expand metrics +
Metrics: Total Views: 0 (Spandidos Publications: | PMC Statistics: )
Metrics: Total PDF Downloads: 0 (Spandidos Publications: | PMC Statistics: )
Cited By (CrossRef): 0 citations Loading Articles...

This article is mentioned in:



Abstract

Angiotensin II (Ang II) and Ang‑(1‑7) are key effector peptides of the renin‑angiotensin system. The present study aimed to investigate the effects of Ang‑(1‑7) on Ang II‑stimulated cholesterol efflux and the associated molecular mechanisms. Differentiated THP‑1 macrophages were treated with Ang II (1 µM) and/or Ang‑(1‑7) (10 and 100 nM) for 24 h and the cholesterol efflux and gene expression levels were assessed. Pharmacological inhibition of peroxisome proliferator‑activated receptor (PPAR)γ and mitogen‑activated protein kinases (MAPKs) were performed to identify the signaling pathways involved. The results demonstrated that Ang II significantly inhibited the cholesterol efflux from cholesterol‑loaded THP‑1 macrophages. Treatment with Ang‑(1‑7) led to a dose‑dependent restoration of cholesterol efflux in the Ang II‑treated cells. The co‑treatment with Ang‑(1‑7) and Ang II significantly increased the expression levels of adenosine triphosphate (ATP)‑binding cassette (ABC)A1 and ABCG1 compared with treatment with Ang II alone. This was coupled with increased expression levels of PPARγ and liver X receptor (LXR)α. The pharmacological inhibition of PPARγ significantly (P<0.05) eliminated the Ang‑(1‑7)‑mediated induction of ABCA1 and ABCG1 mRNA expression. Treatment with Ang‑(1‑7) caused the inactivation of c‑Jun N‑terminal kinases (JNK) and p38 MAPK signaling in the Ang II‑treated THP‑1 macrophages. In addition, the inhibition of JNK or p38 MAPK signaling using specific pharmacological inhibitors mimicked the Ang‑(1‑7)‑induced expression of PPARγ and LXRα. In conclusion, the data demonstrated that treatment with Ang‑(1‑7) promoted cholesterol efflux in Ang II‑treated THP‑1 macrophages, partly through inactivation of p38 and JNK signaling and by inducing the expression of PPARγ and LXRα. Ang (1‑7) may, therefore, have therapeutic benefits for the treatment of atherosclerosis.

Introduction

Atherosclerosis is a progressive chronic inflammatory disease, characterized by the development of plaques in the artery, which ultimately lead to cardiovascular disease (1). One of the early events in atherogenesis is the formation of foam cells, which are macrophages containing ingested oxidized low-density lipoprotein (LDL) (2). It has been suggested that macrophages become foam cells as a consequence of the loss of the normal balance between cholesterol uptake from lipoproteins and cholesterol efflux. This has led to investigations to elucidate the regulation of cholesterol efflux from macrophages (3).

The adenosine triphosphate (ATP)-binding cassette (ABC) transporters, ABCA1 and ABCG1, are important in the removal of cholesterol from lipid-laden macrophages as a primary anti-atherogenic mechanism (4). ABCA1 promotes cholesterol efflux from foam cells to lipid-free apolipoprotein A-1 (apoA-1), but not to mature high-density lipoprotein (HDL) particles, whereas ABCG1 mediates cholesterol efflux to HDL and not to the lipid-poor apoA-1 (5,6). Biochemical studies have identified ABCA1 and ABCG1 as direct transcriptional targets of liver X receptor/retinoid X receptor (LXR/RXR) (7,8). Peroxisome proliferator-activated receptor gamma (PPARγ) is also involved in the transcriptional activation of the ABC transporters in an LXRα-dependent manner (9). Chawla et al (9) demonstrated that LXRα activation-induced expression levels of ABCA1 and ABCG1 are markedly reduced in PPARγ-deficient macrophages, suggesting the involvement of PPARγ in the LXRα-mediated upregulation of ABC proteins. PPARγ and LXRα have been demonstrated to exert anti-atherogenic effects by facilitating the removal of cholesterol from foam cells (10).

The renin-angiotensin system (RAS) is considered to be involved in the pathogenesis of atherosclerosis (11,12). Angiotensin II (Ang II), the most important component of the RAS, has been found to promote the development of atherosclerosis in apolipoprotein-E (ApoE)-deficient mice (13). Ang-converting enzyme (ACE) 2 is a homolog of ACE, which is responsible for generating Ang II from Ang I. ACE2 efficiently degrades Ang II to form Ang-(1-7), a peptide exerting actions opposite to those of Ang II (14). Our previous study demonstrated that Ang-(1-7) ameliorates Ang-II-induced apoptosis in human umbilical vein endothelial cells (15). A previous study demonstrated that Ang-(1-7) dose-dependently inhibits early atherosclerotic lesions and increases plaque stability by targeting vascular cells in ApoE(−/−) mice (16). Takata et al (17) reported that Ang II alters macrophage cholesterol homeostasis by repressing the expression of ABCA1, therefore, promoting foam cell formation. However, the effects of Ang-(1-7) on macrophage cholesterol metabolism remain to be elucidated. The present study investigated the effects of Ang-(1-7) on Ang II-stimulated cholesterol efflux and the associated molecular mechanisms.

Materials and methods

Reagents and antibodies

Ang II, Ang-(1-7), phorbol 12-my ristate 13-acetate (PMA), apoA-1, SB203580 (a p38 MAPK inhibitor), SP600125 (a JNK inhibitor) and GW9662 were purchased from Sigma-Aldrich (St. Louis, MO, USA). Primary mouse anti-human monoclonal antibodies (1:300) against ABCA1 (sc-53482), ABCG1 (sc-20795), PPARγ (sc-390740) and LXRα (sc-271064) were purchased from Santa Cruz Biotechnology, Inc. (Santa Cruz, CA, USA). Primary mouse or rabbit anti-human monoclonal antibodies (1:300) against total p38 (#9212), phosphorylated (p-)p38 (#9216), total extracellular signal-regulated protein kinases 1 and 2 (ERK1/2) (#9102), p-ERK1/2 (#9108), total c-Jun NH2-terminal kinase (JNK) (#9252), p-JNK (#9255) and β-actin (#4967) were purchased from Cell Signaling Technology, Inc. (Beverly, MA, USA). Horseradish peroxidase-conjugated goat anti-mouse or anti-rabbit secondary antibodies (1:2,000 dilution) were purchased from Santa Cruz Biotechnology, Inc.

Culture and differentiation of THP-1 cells

Human THP-1 cells were purchased from the Cell Bank of Chinese Academy of Sciences (Shanghai, China) and cultured in RPMI-1640 medium, containing 10% fetal bovine serum (FBS), 10 μg/ml streptomycin and 100 U/ml penicillin (Invitrogen Life Technologies, Carlsbad, CA, USA) at 37°C with 5% CO2. To differentiate these cells into macrophages, the monocytes were seeded into 12-well plates at a density of 1×106 cells/well in complete RPMI-1640 medium containing 160 nM PMA and incubated for 24 h at 37°C.

Drug treatment

The differentiated THP-1 macrophages were washed three times in phosphate-buffered saline (PBS; Invitrogen Life Technologies) and labeled by incubation for 48 h at 37°C in the presence of (3H)cholesterol (0.37×109 Bq/l; GE Healthcare, Piscataway, NJ, USA) in RPMI-1640 medium, supplemented with 10% FBS. Following washing three times in PBS, the labeled cells were treated with Ang II (1 μM) and/or 10 or 100 nM Ang-(1-7) (18) for 24 h at 37°C. Unless stated otherwise, 100 nM Ang-(1-7) was used. To investigate the role of PPARγ in the Ang-(1-7)-mediated induction of ABCA1 and ABCG1 expression, the THP-1 macrophages were treated with GW9662 (1 μM) for 1 h (19), prior to incubation for 24 h with 1 μM Ang II with or without 100 nM Ang-(1-7). To investigate the role of mitogen-activated protein kinases (MAPKs) in the regulation of PPARγ and LXRα expression, SB203580 (10 μM) and/or SP600125 (10 μM) (20) were added to the cell culture and incubated for 1 h at 37°C prior to the addition of 1 μM Ang II.

Cholesterol efflux assay

Following the treatment described above, the labeled cells were washed three times in PBS and incubated in serum-free RPMI-1640 medium containing 10 mg/l apoA-1 as a cholesterol receptor for 12 h at 37°C. The medium was then collected and centrifuged at 1,000 × g for 10 min at room temperature to remove cellular debris. Radioactivity in the medium and cells was analyzed by liquid scintillation counting (ZX34-LS6500; Beckman Coulter, Inc., Fullerton, CA, USA). The percentage of cholesterol efflux was calculated as: Counts/min (cpm) in the medium / (cpm in the cell + cpm in the medium) × 100.

Reverse transcription-quantitative polymerase chain reaction (RT-qPCR)

The total RNA was extracted using TRIzol reagent, according to the manufacturer’s instructions (Invitrogen Life Technologies). RT was performed using an AMV First Strand cDNA Synthesis kit (Bio Basic, Inc., Amhurst, NY, USA). qPCR amplification was performed using an Applied Biosystems StepOnePlus Real-Time PCR system (Applied Biosystems, Foster City, CA, USA) using a SYBR green PCR master mix (Applied Biosystems). The primers used for qPCR are listed in Table I. Each PCR reaction (20 μl) contained 10 ng cDNA and ther thermal cyclin conditions were as follows: 95°C for 10 min, followed by 35 cycles of 95°C for 15 sec and 60°C for 50 sec. As an internal quantitative control, glyceraldehyde 3-phosphate dehydrogenase (GAPDH) was amplified in a parallel reaction. All assays were performed in triplicate and the threshold cycle (Ct) value was determined as the cycle number at which the fluorescence signal reached the exponential phase. The relative mRNA expression levels were normalized against GAPDH and were determined using the 2−ΔΔCt method (21).

Table I

Primer sequences for reverse transcription-quantitative polymerase chain reaction.

Table I

Primer sequences for reverse transcription-quantitative polymerase chain reaction.

GeneSequence (5′–3′)Primer size (bp)
ABCA1
 Forward GCTTTCAATCATCCCCTGAA20
 Reverse TGACAGGCTTCACTCCACTG20
ABCG1
 Forward CTCCGGCTTCCTCTTCTTCT20
 Reverse TACACGATGCTGCAGTAGGC20
PPARγ
 Forward GAGCCCAAGTTTGAGTTTGC20
 Reverse CTGTGAGGACTCAGGGTGGT20
LXRα
 Forward ACGGTGATGCTTCTGGAGAC20
 Reverse AGCAATGAGCAAGGCAAACT20
GAPDH
 Forward CGACCACTTTGTCAAGCTCA20
 Reverse AGGGGAGATTCAGTGTGGTG20

[i] ABCA1, adenosine triphosphate-binding cassette, sub-family A member 1; ABCG1, ATP-binding cassette sub-family G member 1; PPARγ, peroxisome proliferator-activated receptor γ; LXRα, liver X receptor α.

Western blot analysis

Following treatment, the cells were lysed in lysis buffer (Santa Cruz Biotechnology, Inc.), containing 50 mmol/l Tris (pH 7.4), 150 mmol/l NaCl, 1% NP-40 and 0.1% sodium dodecyl sulphate (SDS; Sigma-Aldrich), supplemented with protease and phosphatase inhibitors, including pepstatin, leupeptin, aprotinin and phenylmethylsulfonyl fluoride, which were purchased from Sigma-Aldrich. The protein samples were separated on polyacrylamide gels (Bio-Rad Laboratories, Inc., Hercules, CA, USA) containing 0.1% SDS, and then transferred onto a nitrocellulose membrane (Millipore, Bedford, MA, USA). Following blocking for 4 h in a Tris-buffered solution, containing 5% non-fat dried milk and 0.5% Tween-20 (Sigma-Aldrich), the membrane was incubated with individual primary antibodies (1:300; as described above) overnight at 4°C. The membrane was then washed three times in PBS and incubated for 1 h with secondary antibodies at room temperature. The signals were visualized using the enhanced chemiluminescence detection system (Amersham Biosciences, Little Chalfont, UK) and developed on X-ray film (GE Healthcare). The band density was measured using the GelDoc 2000 system equipped with Quantity One 4.6 software (Bio-Rad Laboratories, Inc.) and normalized against β-actin.

Statistical analysis

The data are expressed as the mean ± standard deviation. All statistical analyses were performed using SPSS 19.0 software (IBM, Armonk, NY, USA). Statistical differences among multiple groups were calculated using a one-way analysis of variance followed by Tukey’s post-hoc test. P<0.05 was considered to indicate a statistically significant difference.

Results

Ang-(1-7) antagonizes the Ang II-mediated repression of cholesterol efflux

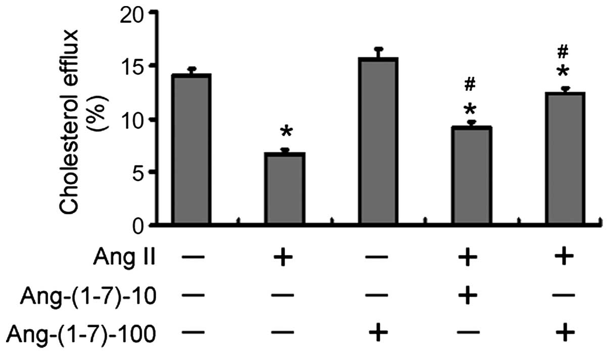
Compared with the untreated control THP-1 macrophages, treatment with Ang II (1 μM) for 48 h significantly reduced the rate of cholesterol efflux to apoA-1 by ~50% (7.69±0.48, vs. 14.06±0.56%; P<0.05; Fig. 1),. Notably, treatment with Ang-(1-7) led to a dose-dependent restoration in cholesterol efflux to apoA-1. When the cells were treated with 100 nM Ang-(1-7), the cholesterol efflux rate (12.39±0.50) increased to a level similar to that observed in the control group.

Figure 1

Effects of Ang-(1-7) on cholesterol efflux from Ang II-treated THP-1 macrophages. Differentiated THP-1 macrophages were labeled by incubation for 48 h in the presence of (3H)cholesterol and treated with Ang II and/or Ang-(1-7) for a further 24 h. Following treatment, the efflux of cholesterol to apoA-1 was measured. The data are expressed as the mean ± standard deviation of three independent experiments (*P<0.05, vs. untreated cells; #P<0.05, vs. Ang II-only cells). Ang-(1-7)-10 and Ang-(1-7)-100 indicate treatment with 10 or 100 nM Ang-(1-7), respectively. Ang, angiotensin.

Ang-(1-7) relieves the Ang II-mediated suppression of the gene expression levels of ABCA1 and ABCG1

The mRNA expression levels of ABCA1 and ABCG1 were significantly (P<0.05) reduced in the Ang II-treated THP-1 macrophages compared with the control cells (Fig. 2A). The co-treatment with Ang-(1-7) and Ang II significantly increased the mRNA expression levels of ABCA1 and ABCG1 in a dose-dependent manner (P<0.05), compared with Ang II only (Fig. 2A). In addition, western blot analysis revealed that treatment with Ang-(1-7) significantly (P<0.05) attenuated the Ang II-mediated reduction in the protein expression levels of ABCA1 and ABCG1 in a dose-dependent manner (Fig. 2B).

Figure 2

Effects of Ang-(1-7) on the expression levels of ABCA1 and ABCG1 in Ang II-treated THP-1 macrophages. Differentiated THP-1 macrophages were treated with Ang II and/or Ang-(1-7) for 24 h and the (A) mRNA and (B) protein expression levels of ABCA1 and ABCG1 were determined by reverse transcription-quantitative polymerase chain reaction and western blot analysis, respectively. The data are expressed as the mean ± standard deviation of three independent experiments (*P<0.05, vs. untreated cells; #P<0.05, vs. Ang II-only cells). Ang-(1-7)-10 and Ang-(1-7)-100 indicate treatment with 10 or 100 nM Ang-(1-7), respectively. Ang, angiotensin; ABC, adenosine triphosphate-binding cassette transporters.

Ang-(1-7) restores the expression levels of PPARγ and LXRα in Ang II-treated cells

Treatment with Ang II alone significantly (P<0.05) reduced the mRNA expression levels of PPARγ and LXRα in the THP-1 macrophages, compared with the control cells (Fig. 3A). Treatment with Ang-(1-7) inhibited the Ang II-mediated suppression of PPARγ and LXRα expression in a dose-dependent manner (Fig. 3A). Similarly, the Ang II-mediated reduction in the protein expression of PPARγ and LXRα was almost completely inhibited following treatment with Ang-(1-7), as determined by western blot analysis (Fig. 3B).

Figure 3

Ang-(1-7) stimulates the expression levels of PPARγ and LXRα in Ang II-treated THP-1 macrophages. The THP-1 macrophages were treated with Ang II and/or Ang-(1-7) for 24 h. (A) Reverse transcription quantitative polymerase chain reaction analysis of the mRNA expression levels of PPARγ and LXRα and (B) western blot analysis of the protein expression levels of PPARγ and LXRα. were performed. Representative blots of three independent experiments and densitometric quantification of the blots are shown (*P<0.05, vs. untreated cells; #P<0.05, vs. Ang II-only cells). Ang-(1-7)-10 and Ang-(1-7)-100 indicate treatment with 10 or 100 nM Ang-(1-7), respectively. PPAR, peroxisome proliferator-activated receptor; LXR, liver X receptor; Ang, angiotensin.

Pharmacological inactivation of PPARγ attenuates the stimulatory effects of Ang-(1-7) on the mRNA expression levels of ABCA1 and ABCG1

Subsequently, the present study inhibited the activity of PPARγ to investigate whether the Ang-(1-7)-mediated stimulation of ABCA1 and ABCG1 expression was PPARγ-dependent. As shown in Fig. 4, inhibition of PPARγ with GW9662, an irreversible and selective PPARγ antagonist, significantly (P<0.05) eliminated the Ang-(1-7)-mediated induction of the mRNA expression of ABCA1 and ABCG1.

Figure 4

Pharmacological inactivation of PPARγ reverses the inductive effects of Ang-(1-7) on the expression levels of ABCA1 and ABCG1. The THP-1 macrophages were treated with Ang II with or without Ang-(1-7) with or without pretreatment with the PPARγ inhibitor, GW9662. Following incubation for 24 h, the mRNA expression≠ levels of ABCA1 and ABCG1 were determined by reverse transcription-quantitative polymerase chain reaction. The data are expressed as the mean ± standard deviation of three independent experiments (*P<0.05, vs. untreated cells; #P<0.05, vs. Ang II-only-cells; †P<0.05, vs. cells treated with Ang II and Ang-1-7). ABC, adenosine triphosphate-binding cassette transporter; Ang, angiotensin; PPAR, peroxisome proliferator-activated receptor.

Inactivation of JNK and p38 MAPKs is associated with the Ang-(1-7)-mediated induction of PPARγ and LXRα expression

To elucidate the mechanisms underlying the Ang-(1-7)-induced expression of PPARγ and LXRα, MAPK signaling pathways were investigated by western blot analysis. It was revealed that treatment with Ang-(1-7) significantly (P<0.05) antagonized the inductive effect of Ang II on the phosphorylation of JNK and p38 MAPKs, but not ERK1/2 (Fig. 5A). The total protein expression levels of the MAPKs were not affected by treatment with Ang-(1-7). Notably, co-incubation with SB203580, a specific inhibitor of p38 MAPK, significantly (P<0.05) restored the expression levels of PPARγ and LXRα in Ang II-treated THP-1 macrophages (Fig. 5B), which mimicked the indusive effects of Ang-(1-7). Similarly, inhibition of JNK signaling using SP600125 significantly (P<0.05) attenuated the inhibition of PPARγ and LXRα expression by Ang II. Taken together, these results suggested that inactivation of p38 and JNK MAPK signaling was involved in the Ang-(1-7)-mediated induction of PPARγ and LXRα expression.

Figure 5

Ang-(1-7)-mediated induction of PPARγ and LXRα is associated with the suppression of JNK and p38 mitogen-activated protein kinase activation. (A) THP-1 macrophages were exposed to Ang II and/or Ang-(1-7) for 24 h and the phosphorylation levels of MAPKs were examined by western blot analysis. Representative blots of three independent experiments and densitometric quantification of the blots are shown. (B) THP-1 macrophages were treated with 10 μM SB203580 or SP600125 for 1 h prior to the addition of 1 μM Ang II. Following treatment, the protein expression levels of PPARγ and LXRα were determined by western blot analysis. The data are expressed as the mean ± standard deviation of three independent experiments (*P<0.05, vs. untreated cells; #P<0.05 vs. Ang II-only cells). Ang-(1-7)-10 and Ang-(1-7)-100 indicate treatment with 10 or 100 nM Ang-(1-7), respectively. Ang, angiotensin; p-, phosphory-lated; t-, total; JNK, c-Jun NH2-terminal kianse; ERK, extracellular signal-regulated kinase; PPAR, peroxisome proliferator-activated receptor; LXRα, liver X receptor α.

Discussion

Ang II ha been implicated in a variety of cardiovascular diseases, including atherosclerosis, hypertension, left ventricular hypertrophy, myocardial infarction and heart failure (22). It has been demonstrated that Ang II accelerates foam cell formation by upregulating the expression of acyl-coenzyme A:cholesterol acyltransferase-1 (ACAT1), which converts intracellular free cholesterol into cholesterol ester for storage in lipid droplets (23). In addition, the upregulation of ACAT1, suppression of ABCA1 expression and subsequent cholesterol transport is known to mediate the atherosclerotic effect of Ang II (24). Consistently, the present study demonstrated that treatment with Ang II resulted in a significant reduction in cholesterol efflux from the THP-1 foam cells to apoA-1. This inhibition of cholesterol accumulation was coupled with the downregulation of ABCA1 and ABCG1. Notably, the presence of Ang-(1-7) significantly reversed the Ang II-induced repression of cholesterol efflux. Taken together, these results provided evidence that Ang-(1-7) and Ang II exhibited counter-regulatory roles in macrophage cholesterol homeostasis.

The present study revealed that treatment with Ang II caused a significant decrease in the mRNA expression levels of ABCA1 and ABCG1, suggesting its importance in transcriptional regulation. Notably, co-treatment with Ang-(1-7) significantly restored the expression levels of ABCA1 and ABCG1 in the Ang II-treated THP-1 macrophages. Since PPARγ and LXRα are the ‘master’ transcription factors, cooperatively regulate the expression levels of ABCA1 and ABCG1 (8,9), the present study assessed the effects of Ang-(1-7) on the expression levels of PPARγ and LXRα. It was found that the Ang II-mediated suppression of t PPARγ and LXRα expression was significantly reversed following treatment with Ang-(1-7). The Ang-(1-7)-mediated induction of PPARγ expression has also been demonstrated in other biological contexts (25,26). Dhaunsi et al (26) reported that treatment with Ang-(1-7) prevents the inhibition of PPARγ expression in diabetes and/or hypertension. The present study further demonstrated that the pharmacological inhibition of PPARγ with GW9662 significantly inhibited the Ang-(1-7)-mediated induction of ABCA1 and ABCG1 mRNA expression. These results suggested that treatment with Ang-(1-7) facilitated the PPARγ-dependent transcriptional activation of the ABC genes, which provided a possible explanation for its promotion of cholesterol efflux from foam cells.

There is evidence that MAPK signaling is involved in foam cell formation (27–29). Ren et al (27) demonstrated that oxidized HDL accelerates foam cell formation via the p38 MAPK-dependent upregulation of PPARγ and downregulation of cluster of differentiation 36. Mei et al (29) demonstrated that activation of p38 MAPK promotes cholesterol ester accumulation in macrophages. Pharmacological inhibition of p38 MAPK signaling, including treatment with curcumin, has also been revealed to hinder oxidized LDL-induced foam cell formation (30). In addition to p38 MAPK, activation of the JNK MAPK is involved in foam cell formation from macrophages, which are exposed to oxidized LDL (31). In agreement with previous studies, the present study revealed that the Ang-(1-7)-mediated promotion of cholesterol efflux in Ang II-treated THP-1 macrophages is coupled with the inactivation of JNK and p38 MAPK signaling. Additionally, the inhibition of MAPK signaling using specific pharmacological inhibitors mimicked the induction of PPARγ and LXRα expression by Ang-(1-7). These results suggested that the Ang-(1-7)-mediated restoration of PPARγ and LXRα expression was associated, in part, with the suppression of MAPK signaling. The inhibition of MAPK signaling by Ang-(1-7) has also been demonstrated in other biological settings. Santos et al (32) reported that oral treatment with Ang-(1-7) prevents obesity and hepatic inflammation in high-fat fed rats, which is associated with the suppression of the MAPK signaling pathway. Moon et al (33) revealed that Ang II-induced MAPK signaling activation is attenuated by Ang-(1-7) in mesangial cells.

In conclusion, the present study provided the first evidence, to the best of our knowledge, that Ang-(1-7) facilitated cholesterol efflux in Ang II-treated THP-1 macrophages, which, in part, involved the suppression of p38 and JNK signaling and the induction of PPARγ and LXRα expression. These findings suggested that Ang-(1-7) may offer therapeutic benefits in preventing the development of atherosclerosis.

Acknowledgments

This study was published as an abstract in J Am Coll Cardiol 64: S6, 2014. The present study was supported by grants from the Scientific and Technological Project of Shanxi Province of China (no. 20100311098-4), the Doctoral Foundation of The Second Hospital of Shanxi Medical University of China (no. 20100404), the Youth Foundation of Shanxi Medical University of China (no. 02201421) and the Youth Foundation of Health and Family Planning Commission of Shanxi Province of China (no. 2014041).

References

1 

Libby P, Ridker PM and Maseri A: Inflammation and atherosclerosis. Circulation. 105:1135–1143. 2002. View Article : Google Scholar : PubMed/NCBI

2 

Fenyo IM and Gafencu AV: The involvement of the monocytes/macrophages in chronic inflammation associated with atherosclerosis. Immunobiology. 218:1376–1384. 2013. View Article : Google Scholar : PubMed/NCBI

3 

Yu XH, Fu YC, Zhang DW, Yin K and Tang CK: Foam cells in atherosclerosis. Clin Chim Acta. 424:245–252. 2013. View Article : Google Scholar : PubMed/NCBI

4 

Yvan-Charvet L, Wang N and Tall AR: Role of HDL, ABCA1, and ABCG1 transporters in cholesterol efflux and immune responses. Arterioscler Thromb Vasc Biol. 30:139–143. 2010. View Article : Google Scholar :

5 

Smith JD, Le Goff W, Settle M, Brubaker G, Waelde C, Horwitz A and Oda MN: ABCA1 mediates concurrent cholesterol and phospholipid efflux to apolipoprotein A-I. J Lipid Res. 45:635–644. 2004. View Article : Google Scholar : PubMed/NCBI

6 

Matsuura F, Wang N, Chen W, Jiang XC and Tall AR: HDL from CETP-deficient subjects shows enhanced ability to promote cholesterol efflux from macrophages in an apoE- and ABCG1-dependent pathway. J Clin Invest. 116:1435–1442. 2006. View Article : Google Scholar : PubMed/NCBI

7 

Costet P, Luo Y, Wang N and Tall AR: Sterol-dependent transactivation of the ABC1 promoter by the liver X receptor/retinoid X receptor. J Biol Chem. 275:28240–28245. 2000.PubMed/NCBI

8 

Kennedy MA, Venkateswaran A, Tarr PT, Xenarios I, Kudoh J, Shimizu N and Edwards PA: Characterization of the human ABCG1 gene: liver X receptor activates an internal promoter that produces a novel transcript encoding an alternative form of the protein. J Biol Chem. 276:39438–39447. 2001. View Article : Google Scholar : PubMed/NCBI

9 

Chawla A, Boisvert WA, Lee CH, et al: A PPARγ-LXR-ABCA1 pathway in macrophages is involved in cholesterol efflux and atherogenesis. Mol Cell. 7:161–171. 2001. View Article : Google Scholar : PubMed/NCBI

10 

Nagy ZS, Czimmerer Z and Nagy L: Nuclear receptor mediated mechanisms of macrophage cholesterol metabolism. Mol Cell Endocrinol. 368:85–98. 2013. View Article : Google Scholar

11 

Wang Y, Tikellis C, Thomas MC and Golledge J: Angiotensin converting enzyme 2 and atherosclerosis. Atherosclerosis. 226:3–8. 2013. View Article : Google Scholar

12 

Kawahito H, Yamada H, Irie D, et al: Periaortic adipose tissue-specific activation of the renin angiotensin system contributes to atherosclerosis development in uninephrectomized apoE−/− mice. Am J Physiol Heart Circ Physiol. 305:H667–H675. 2013. View Article : Google Scholar : PubMed/NCBI

13 

Fujisaka T, Hoshiga M, Hotchi J, et al: Angiotensin II promotes aortic valve thickening independent of elevated blood pressure in apolipoprotein-E deficient mice. Atherosclerosis. 226:82–87. 2013. View Article : Google Scholar

14 

Santos RA, Ferreira AJ, Verano-Braga T and Bader M: Angiotensin-converting enzyme 2, angiotensin-(1-7) and Mas: new players of the renin-angiotensin system. J Endocrinol. 216:R1–R17. 2013. View Article : Google Scholar

15 

Yang HY, Bian YF, Zhang HP, et al: Angiotensin-(1-7) treatment ameliorates angiotensin II-induced HUVEC apoptosis. Clin Exp Pharmacol Physiol. 39:1004–1010. 2012. View Article : Google Scholar : PubMed/NCBI

16 

Yang JM, Dong M, Meng X, et al: Angiotensin-(1-7) dose-dependently inhibits atherosclerotic lesion formation and enhances plaque stability by targeting vascular cells. Arterioscler Thromb Vasc Biol. 33:1978–1985. 2013. View Article : Google Scholar : PubMed/NCBI

17 

Takata Y, Chu V, Collins AR, et al: Transcriptional repression of ATP-binding cassette transporter A1 gene in macrophages: a novel atherosclerotic effect of angiotensin II. Circ Res. 97:e88–e96. 2005. View Article : Google Scholar : PubMed/NCBI

18 

Sampaio WO, Souza dos Santos RA, Faria-Silva R, da Mata Machado LT, Schiffrin EL and Touyz RM: Angiotensin-(1-7) through receptor Mas mediates endothelial nitric oxide synthase activation via Akt-dependent pathways. Hypertension. 49:185–192. 2007. View Article : Google Scholar

19 

Hwang JS, Kang ES, Ham SA, et al: Activation of peroxisome proliferator-activated receptor γ by rosiglitazone inhibits lipopolysaccharide-induced release of high mobility group box 1. Mediators Inflamm. 2012:3528072012. View Article : Google Scholar

20 

Trasino SE, Kim YS and Wang TT: Ligand, receptor, and cell type-dependent regulation of ABCA1 and ABCG1 mRNA in prostate cancer epithelial cells. Mol Cancer Ther. 8:1934–1945. 2009. View Article : Google Scholar : PubMed/NCBI

21 

Livak KJ and Schmittgen TD: Analysis of relative gene expression data using real-time quantitative PCR and the 2(−ΔΔC(T)) Method. Methods. 25:402–408. 2001. View Article : Google Scholar

22 

Rosenbaugh EG, Savalia KK, Manickam DS and Zimmerman MC: Antioxidant-based therapies for angiotensin II-associated cardiovascular diseases. Am J Physiol Regul Integr Comp Physiol. 304:R917–R928. 2013. View Article : Google Scholar : PubMed/NCBI

23 

Kanome T, Watanabe T, Nishio K, Takahashi K, Hongo S and Miyazaki A: Angiotensin II upregulates acyl-CoA:cholesterol acyltransferase-1 via the angiotensin II Type 1 receptor in human monocyte-macrophages. Hypertens Res. 31:1801–1810. 2008. View Article : Google Scholar : PubMed/NCBI

24 

Wang Y, Chen Z, Liao Y, et al: Angiotensin II increases the cholesterol content of foam cells via down-regulating the expression of ATP-binding cassette transporter A1. Biochem Biophys Res Commun. 353:650–654. 2007. View Article : Google Scholar : PubMed/NCBI

25 

Mario EG, Santos SH, Ferreira AV, Bader M, Santos RA and Botion LM: Angiotensin-(1-7) Mas-receptor deficiency decreases peroxisome proliferator-activated receptor γ expression in adipocytes. Peptides. 33:174–177. 2012. View Article : Google Scholar

26 

Dhaunsi GS, Yousif MH, Akhtar S, Chappell MC, Diz DI and Benter IF: Angiotensin-(1-7) prevents diabetes-induced attenuation in PPAR-gamma and catalase activities. Eur J Pharmacol. 638:108–114. 2010. View Article : Google Scholar : PubMed/NCBI

27 

Ren J, Jin W and Chen H: oxHDL decreases the expression of CD36 on human macrophages through PPARgamma and p38 MAP kinase dependent mechanisms. Mol Cell Biochem. 342:171–181. 2010. View Article : Google Scholar : PubMed/NCBI

28 

Rohde E, Schallmoser K, Reinisch A, et al: Pro-angiogenic induction of myeloid cells for therapeutic angiogenesis can induce mitogen-activated protein kinase p38-dependent foam cell formation. Cytotherapy. 13:503–512. 2011. View Article : Google Scholar :

29 

Mei S, Gu H, Ward A, et al: p38 mitogen-activated protein kinase (MAPK) promotes cholesterol ester accumulation in macrophages through inhibition of macroautophagy. J Biol Chem. 287:11761–11768. 2012. View Article : Google Scholar : PubMed/NCBI

30 

Min KJ, Um HJ, Cho KH and Kwon TK: Curcumin inhibits oxLDL-induced CD36 expression and foam cell formation through the inhibition of p38 MAPK phosphorylation. Food Chem Toxicol. 58:77–85. 2013. View Article : Google Scholar : PubMed/NCBI

31 

Yin R, Dong YG and Li HL: PPARγ phosphorylation mediated by JNK MAPK: a potential role in macrophage-derived foam cell formation. Acta Pharmacol Sin. 27:1146–1152. 2006. View Article : Google Scholar : PubMed/NCBI

32 

Santos SH, Andrade JM, Fernandes LR, et al: Oral Angiotensin-(1-7) prevented obesity and hepatic inflammation by inhibition of resistin/TLR4/MAPK/NF-κB in rats fed with high-fat diet. Peptides. 46:47–52. 2013. View Article : Google Scholar : PubMed/NCBI

33 

Moon JY, Tanimoto M, Gohda T, et al: Attenuating effect of angiotensin-(1-7) on angiotensin II-mediated NAD(P)H oxidase activation in type 2 diabetic nephropathy of KK-A(y)/Ta mice. Am J Physiol Renal Physiol. 300:F1271–F1282. 2011. View Article : Google Scholar : PubMed/NCBI

Related Articles

  • Abstract
  • View
  • Download
  • Twitter
Copy and paste a formatted citation
Spandidos Publications style
Yang HY, Bian YF, Xiao CS, Liang B, Zhang N, Gao F and Yang ZM: Angiotensin‑(1‑7) stimulates cholesterol efflux from angiotensin II‑treated cholesterol‑loaded THP‑1 macrophages through the suppression of p38 and c‑Jun N‑terminal kinase signaling. Mol Med Rep 12: 1387-1392, 2015.
APA
Yang, H., Bian, Y., Xiao, C., Liang, B., Zhang, N., Gao, F., & Yang, Z. (2015). Angiotensin‑(1‑7) stimulates cholesterol efflux from angiotensin II‑treated cholesterol‑loaded THP‑1 macrophages through the suppression of p38 and c‑Jun N‑terminal kinase signaling. Molecular Medicine Reports, 12, 1387-1392. https://doi.org/10.3892/mmr.2015.3484
MLA
Yang, H., Bian, Y., Xiao, C., Liang, B., Zhang, N., Gao, F., Yang, Z."Angiotensin‑(1‑7) stimulates cholesterol efflux from angiotensin II‑treated cholesterol‑loaded THP‑1 macrophages through the suppression of p38 and c‑Jun N‑terminal kinase signaling". Molecular Medicine Reports 12.1 (2015): 1387-1392.
Chicago
Yang, H., Bian, Y., Xiao, C., Liang, B., Zhang, N., Gao, F., Yang, Z."Angiotensin‑(1‑7) stimulates cholesterol efflux from angiotensin II‑treated cholesterol‑loaded THP‑1 macrophages through the suppression of p38 and c‑Jun N‑terminal kinase signaling". Molecular Medicine Reports 12, no. 1 (2015): 1387-1392. https://doi.org/10.3892/mmr.2015.3484
Copy and paste a formatted citation
x
Spandidos Publications style
Yang HY, Bian YF, Xiao CS, Liang B, Zhang N, Gao F and Yang ZM: Angiotensin‑(1‑7) stimulates cholesterol efflux from angiotensin II‑treated cholesterol‑loaded THP‑1 macrophages through the suppression of p38 and c‑Jun N‑terminal kinase signaling. Mol Med Rep 12: 1387-1392, 2015.
APA
Yang, H., Bian, Y., Xiao, C., Liang, B., Zhang, N., Gao, F., & Yang, Z. (2015). Angiotensin‑(1‑7) stimulates cholesterol efflux from angiotensin II‑treated cholesterol‑loaded THP‑1 macrophages through the suppression of p38 and c‑Jun N‑terminal kinase signaling. Molecular Medicine Reports, 12, 1387-1392. https://doi.org/10.3892/mmr.2015.3484
MLA
Yang, H., Bian, Y., Xiao, C., Liang, B., Zhang, N., Gao, F., Yang, Z."Angiotensin‑(1‑7) stimulates cholesterol efflux from angiotensin II‑treated cholesterol‑loaded THP‑1 macrophages through the suppression of p38 and c‑Jun N‑terminal kinase signaling". Molecular Medicine Reports 12.1 (2015): 1387-1392.
Chicago
Yang, H., Bian, Y., Xiao, C., Liang, B., Zhang, N., Gao, F., Yang, Z."Angiotensin‑(1‑7) stimulates cholesterol efflux from angiotensin II‑treated cholesterol‑loaded THP‑1 macrophages through the suppression of p38 and c‑Jun N‑terminal kinase signaling". Molecular Medicine Reports 12, no. 1 (2015): 1387-1392. https://doi.org/10.3892/mmr.2015.3484
Follow us
  • Twitter
  • LinkedIn
  • Facebook
About
  • Spandidos Publications
  • Careers
  • Cookie Policy
  • Privacy Policy
How can we help?
  • Help
  • Live Chat
  • Contact
  • Email to our Support Team