Spandidos Publications Logo
  • About
    • About Spandidos
    • Aims and Scopes
    • Abstracting and Indexing
    • Editorial Policies
    • Reprints and Permissions
    • Job Opportunities
    • Terms and Conditions
    • Contact
  • Journals
    • All Journals
    • Oncology Letters
      • Oncology Letters
      • Information for Authors
      • Editorial Policies
      • Editorial Board
      • Aims and Scope
      • Abstracting and Indexing
      • Bibliographic Information
      • Archive
    • International Journal of Oncology
      • International Journal of Oncology
      • Information for Authors
      • Editorial Policies
      • Editorial Board
      • Aims and Scope
      • Abstracting and Indexing
      • Bibliographic Information
      • Archive
    • Molecular and Clinical Oncology
      • Molecular and Clinical Oncology
      • Information for Authors
      • Editorial Policies
      • Editorial Board
      • Aims and Scope
      • Abstracting and Indexing
      • Bibliographic Information
      • Archive
    • Experimental and Therapeutic Medicine
      • Experimental and Therapeutic Medicine
      • Information for Authors
      • Editorial Policies
      • Editorial Board
      • Aims and Scope
      • Abstracting and Indexing
      • Bibliographic Information
      • Archive
    • International Journal of Molecular Medicine
      • International Journal of Molecular Medicine
      • Information for Authors
      • Editorial Policies
      • Editorial Board
      • Aims and Scope
      • Abstracting and Indexing
      • Bibliographic Information
      • Archive
    • Biomedical Reports
      • Biomedical Reports
      • Information for Authors
      • Editorial Policies
      • Editorial Board
      • Aims and Scope
      • Abstracting and Indexing
      • Bibliographic Information
      • Archive
    • Oncology Reports
      • Oncology Reports
      • Information for Authors
      • Editorial Policies
      • Editorial Board
      • Aims and Scope
      • Abstracting and Indexing
      • Bibliographic Information
      • Archive
    • Molecular Medicine Reports
      • Molecular Medicine Reports
      • Information for Authors
      • Editorial Policies
      • Editorial Board
      • Aims and Scope
      • Abstracting and Indexing
      • Bibliographic Information
      • Archive
    • World Academy of Sciences Journal
      • World Academy of Sciences Journal
      • Information for Authors
      • Editorial Policies
      • Editorial Board
      • Aims and Scope
      • Abstracting and Indexing
      • Bibliographic Information
      • Archive
    • International Journal of Functional Nutrition
      • International Journal of Functional Nutrition
      • Information for Authors
      • Editorial Policies
      • Editorial Board
      • Aims and Scope
      • Abstracting and Indexing
      • Bibliographic Information
      • Archive
    • International Journal of Epigenetics
      • International Journal of Epigenetics
      • Information for Authors
      • Editorial Policies
      • Editorial Board
      • Aims and Scope
      • Abstracting and Indexing
      • Bibliographic Information
      • Archive
    • Medicine International
      • Medicine International
      • Information for Authors
      • Editorial Policies
      • Editorial Board
      • Aims and Scope
      • Abstracting and Indexing
      • Bibliographic Information
      • Archive
  • Articles
  • Information
    • Information for Authors
    • Information for Reviewers
    • Information for Librarians
    • Information for Advertisers
    • Conferences
  • Language Editing
Spandidos Publications Logo
  • About
    • About Spandidos
    • Aims and Scopes
    • Abstracting and Indexing
    • Editorial Policies
    • Reprints and Permissions
    • Job Opportunities
    • Terms and Conditions
    • Contact
  • Journals
    • All Journals
    • Biomedical Reports
      • Information for Authors
      • Editorial Policies
      • Editorial Board
      • Aims and Scope
      • Abstracting and Indexing
      • Bibliographic Information
      • Archive
    • Experimental and Therapeutic Medicine
      • Information for Authors
      • Editorial Policies
      • Editorial Board
      • Aims and Scope
      • Abstracting and Indexing
      • Bibliographic Information
      • Archive
    • International Journal of Epigenetics
      • Information for Authors
      • Editorial Policies
      • Editorial Board
      • Aims and Scope
      • Abstracting and Indexing
      • Bibliographic Information
      • Archive
    • International Journal of Functional Nutrition
      • Information for Authors
      • Editorial Policies
      • Editorial Board
      • Aims and Scope
      • Abstracting and Indexing
      • Bibliographic Information
      • Archive
    • International Journal of Molecular Medicine
      • Information for Authors
      • Editorial Policies
      • Editorial Board
      • Aims and Scope
      • Abstracting and Indexing
      • Bibliographic Information
      • Archive
    • International Journal of Oncology
      • Information for Authors
      • Editorial Policies
      • Editorial Board
      • Aims and Scope
      • Abstracting and Indexing
      • Bibliographic Information
      • Archive
    • Medicine International
      • Information for Authors
      • Editorial Policies
      • Editorial Board
      • Aims and Scope
      • Abstracting and Indexing
      • Bibliographic Information
      • Archive
    • Molecular and Clinical Oncology
      • Information for Authors
      • Editorial Policies
      • Editorial Board
      • Aims and Scope
      • Abstracting and Indexing
      • Bibliographic Information
      • Archive
    • Molecular Medicine Reports
      • Information for Authors
      • Editorial Policies
      • Editorial Board
      • Aims and Scope
      • Abstracting and Indexing
      • Bibliographic Information
      • Archive
    • Oncology Letters
      • Information for Authors
      • Editorial Policies
      • Editorial Board
      • Aims and Scope
      • Abstracting and Indexing
      • Bibliographic Information
      • Archive
    • Oncology Reports
      • Information for Authors
      • Editorial Policies
      • Editorial Board
      • Aims and Scope
      • Abstracting and Indexing
      • Bibliographic Information
      • Archive
    • World Academy of Sciences Journal
      • Information for Authors
      • Editorial Policies
      • Editorial Board
      • Aims and Scope
      • Abstracting and Indexing
      • Bibliographic Information
      • Archive
  • Articles
  • Information
    • For Authors
    • For Reviewers
    • For Librarians
    • For Advertisers
    • Conferences
  • Language Editing
Login Register Submit
  • This site uses cookies
  • You can change your cookie settings at any time by following the instructions in our Cookie Policy. To find out more, you may read our Privacy Policy.

    I agree
Search articles by DOI, keyword, author or affiliation
Search
Advanced Search
presentation
Molecular Medicine Reports
Join Editorial Board Propose a Special Issue
Print ISSN: 1791-2997 Online ISSN: 1791-3004
Journal Cover
September-2015 Volume 12 Issue 3

Full Size Image

Sign up for eToc alerts
Recommend to Library

Journals

International Journal of Molecular Medicine

International Journal of Molecular Medicine

International Journal of Molecular Medicine is an international journal devoted to molecular mechanisms of human disease.

International Journal of Oncology

International Journal of Oncology

International Journal of Oncology is an international journal devoted to oncology research and cancer treatment.

Molecular Medicine Reports

Molecular Medicine Reports

Covers molecular medicine topics such as pharmacology, pathology, genetics, neuroscience, infectious diseases, molecular cardiology, and molecular surgery.

Oncology Reports

Oncology Reports

Oncology Reports is an international journal devoted to fundamental and applied research in Oncology.

Experimental and Therapeutic Medicine

Experimental and Therapeutic Medicine

Experimental and Therapeutic Medicine is an international journal devoted to laboratory and clinical medicine.

Oncology Letters

Oncology Letters

Oncology Letters is an international journal devoted to Experimental and Clinical Oncology.

Biomedical Reports

Biomedical Reports

Explores a wide range of biological and medical fields, including pharmacology, genetics, microbiology, neuroscience, and molecular cardiology.

Molecular and Clinical Oncology

Molecular and Clinical Oncology

International journal addressing all aspects of oncology research, from tumorigenesis and oncogenes to chemotherapy and metastasis.

World Academy of Sciences Journal

World Academy of Sciences Journal

Multidisciplinary open-access journal spanning biochemistry, genetics, neuroscience, environmental health, and synthetic biology.

International Journal of Functional Nutrition

International Journal of Functional Nutrition

Open-access journal combining biochemistry, pharmacology, immunology, and genetics to advance health through functional nutrition.

International Journal of Epigenetics

International Journal of Epigenetics

Publishes open-access research on using epigenetics to advance understanding and treatment of human disease.

Medicine International

Medicine International

An International Open Access Journal Devoted to General Medicine.

Journal Cover
September-2015 Volume 12 Issue 3

Full Size Image

Sign up for eToc alerts
Recommend to Library

  • Article
  • Citations
    • Cite This Article
    • Download Citation
    • Create Citation Alert
    • Remove Citation Alert
    • Cited By
  • Similar Articles
    • Related Articles (in Spandidos Publications)
    • Similar Articles (Google Scholar)
    • Similar Articles (PubMed)
  • Download PDF
  • Download XML
  • View XML
Article

Quantitative analysis of the mRNA expression levels of BCL2 and BAX genes in human osteoarthritis and normal articular cartilage: An investigation into their differential expression

  • Authors:
    • Georgios I. Karaliotas
    • Konstantinos Mavridis
    • Andreas Scorilas
    • George C. Babis
  • View Affiliations / Copyright

    Affiliations: First Orthopedic Department, Athens University Medical School, Attikon University Hospital, Haidari, Athens 12462, Greece, Department of Biochemistry and Molecular Biology, Faculty of Biology, University of Athens, Panepistimiopolis, Athens 15701, Greece
  • Pages: 4514-4521
    |
    Published online on: June 16, 2015
       https://doi.org/10.3892/mmr.2015.3939
  • Expand metrics +
Metrics: Total Views: 0 (Spandidos Publications: | PMC Statistics: )
Metrics: Total PDF Downloads: 0 (Spandidos Publications: | PMC Statistics: )
Cited By (CrossRef): 0 citations Loading Articles...

This article is mentioned in:



Abstract

Osteoarthritis (OA) is primarily characterized by articular cartilage degeneration and chondrocyte loss. Although the role of apoptosis in cartilage pathobiology remains to be elucidated, the apoptotic B‑cell CLL/lymphoma 2 (BCL2) gene family is considered to be involved in OA. The purpose of the present study was to quantitatively analyze the mRNA expression profiles of the BCL2‑associated X protein (BAX) and BCL2 genes in human OA and in normal cartilage. Cartilage tissue samples were obtained from 78 patients undergoing total knee arthroplasty for OA (OA group) and orthopedic interventions for causes other than OA (control group). Total RNA was isolated from the cartilage tissue specimens and reverse transcribed into cDNA. A highly sensitive and specific reverse transcription quantitative polymerase chain reaction assay was developed for quantification of the mRNA levels of BAX and BCL2, using beta‑2 microglobulin as an endogenous control for normalization purposes. Gene expression analysis was performed using the comparative Ct (2‑ΔΔCt) method. The mRNA expression of BAX presented an increasing trend in the OA group compared with the control group, although without statistically significace (P=0.099). By contrast, the expression ratio of BCL2/BAX was found to be significantly decreased (2.76‑fold) in the OA group compared with the normal cartilage control group (P=0.022). A notable 4.6‑fold overexpression of median mRNA levels of BAX was also observed in patients with stage III OA compared with the control (P=0.034), while the BCL2/BAX ratio was markedly (2.5‑fold) decreased (P=0.024). A marked positive correlation was observed between the mRNA levels of BAX and BCL2 in the control group (rs=0.728; P<0.001), which was also present in the OA group, although to a lesser degree (rs=0.532; P<0.001). These results further implicate apoptosis in the pathogenesis of OA, through molecular mechanisms, which include the aberrant expression of the BCL2 gene family. Further investigation may reveal novel prognostic biomarkers and potential targets for therapeutic interventions in the early stages of OA.

Introduction

Although chondocytes account for only 1–5% of the entire cartilage tissue volume, their degeneration contributes to the metabolic and structural changes observed in osteoarthritis (OA) (1–6).

Apoptosis is the genetically regulated form of cell death, which occurs when the cell is exposed to physiological, pathogenic or cytotoxic stimuli, and enables the organism to maintain its homeostasis (7). The susceptibility of cells to apoptosis is regulated by complex molecular signaling systems; proteins encoded by the B-cell CLL/lymphoma 2 (BCL2) gene family are major regulatory components of the apoptotic pathway (8–10). The pro-survival family members, including BCL2, are integral mitochondrial membrane proteins, which can inhibit apoptosis. The proapoptotic BCL2-associated X protein (BAX) products, localize to the cytoskeleton in healthy cells, however, following a death signal, they interact predominantly by heterodimerizing with, and inhibiting, the antiapoptotic proteins, thus initiating apoptosis (7,11,12). The expression ratio of BCL2 to BAX appears to be an important determinant of cell susceptibility to apoptosis (9,13)

Cartilage tissue homeostasis is mediated by the resident chondrocytes, and cellular loss leads to the characteristic features of OA tissue, including decrease of cartilage extracellular matrix (ECM) and abnormal tissue remodeling (4,14,15). Due to the chronic nature of OA and the fact that chondrocytes account for little of the total cartilage volume, several studies have reported contradictory results regarding the relative presence of apoptotic cells; thus, the definite contribution of apoptotic cell death in the pathogenesis of the disease is difficult to determine (4,8,16,17). However, the assumption that cell death is a central feature in cartilage degradation has been examined in various studies, the majority of which report that apoptotic chondrocyte death occurs more frequently in OA than in healthy cartilage (17–23). Furthermore, the cartilage in human OA exhibits nuclear and cytoplasmic features consistent with apoptotic cell death, and the presence of apoptosis in OA cartilage degeneration has been well demonstrated in in vitro and in vivo models (16,24).

There is increasing evidence that the BCL2 gene family-apoptotic pathway may be important in the regulation of chondrocyte apoptosis and the aforementioned observed features of OA cartilage degeneration (16,25,26). The mRNA and protein levels of BAX and BCL2 are detectable in chondrocytes of osteoarthritic and normal cartilage. Furthermore their protein levels in OA are reported to differentiate compared with those of the normal cartilage, with differences in their expression patterns between lesional and non-lesional areas of the same osteoarthritic cartilage (16,25,26).

The above-mentioned observations suggest that the relative expression levels of BAX and BCL2 may be a regulator of chondrocyte apoptosis; alterations in the classical apoptotic BCL2/BAX expression ratio may contribute to the process of cartilage degeneration and may be involved in the pathogenesis of OA. In order to investigate any potential association between the expression profiles of these classic apoptosis-associated genes and the biochemical pathways of OA, the present study quantitatively analyzed the mRNA levels of BAX and BCL2 in normal and osteoarthritic human articular cartilage tissue.

Materials and methods

Cartilage tissue samples

The present study was performed in accordance with the ethical standards set out at the Declaration of Helsinki and was approved by the institutional review board of Attikon University Hospital (Athens, Greece). Patients' written informed consent were obtained prior to the start of the study. Cartilage tissue samples were isolated from 78 patients undergoing orthopedic surgical intervention, which were divided in two groups. The first group was termed the OA group and consisted of 50 specimens isolated from the visibly evident lesions located on the femoral and the tibial articular surface of the knee joint from patients undergoing total arthroplasty for OA. Images of the lesions were captured for documentation and the cartilage specimens were isolated from the lateral compartment of the osteoarthritic knee. The samples were obtained intraoperatively with the use of a sterile scalpel, irrigated with 10cc normal saline, snap frozen and stored at −80°C until subsequent analysis. The second group was the control group, consisting of 28 tissue specimens that were isolated from non-weight bearing areas of the lateral femoral condyle articular surface during arthroscopic and reconstructive procedures for causes other than OA (n=16), or from visibly healthy weight bearing areas of the lateral tibial or femoral articular cartilage during above knee amputations or joint salvage procedures in patients with non-osteoarthritic knees (n=12). In order to investigate the expression of apoptosis-associated genes in different stages of OA, the radiographic criteria of the Kellgren-Lawrence grading scale (27) were used. According to this classification system, 27 OA samples belonged to patients with stage III osteoarthritis and 23 OA samples belonged to patients with stage IV disease (Table I).

Table I

Characteristics of the normal and osteoarthritic tissue samples.

Table I

Characteristics of the normal and osteoarthritic tissue samples.

CharacteristicCartilage tissue sample, n (%)
Normal (n=28)Osteoarthritis (n=50)
Age (median, mean ± standard error of the mean)38.5, 40.9±3.473.0, 72.7±0.87
Gender (n, %)
 Female14 (50.0)42 (84.0)
 Male14 (50.0)8 (16.0)
Stage of osteoarthritis
 III27 (54.0)
 IV23 (46.0)
RNA extraction and cDNA synthesis

The osteoarthritic and normal cartilage tissue specimens (~100 mg of each sample) were frozen in liquid nitrogen and pulverized until fine powder was obtained. Total RNA was extracted from the 78 tissue samples using TRIzol reagent® (Molecular Research Center, Inc., Cincinnati, OH, USA), according to the manufacturer's instructions. The resulting RNA pellet was dissolved in a maximum of 5 µl RNA Storage solution (Applied Biosystems/Ambion, Austin, TX, USA) and stored in aliquots at −80°C until use. The integrity of the RNA was confirmed in randomly selected samples via agarose gel electrophoresis. Following RNA extraction, the total quantity of RNA from each tissue sample was utilized for first-strand cDNA synthesis. The reaction mix also contained 1 µg oligo(dT)18 reverse transcription primer, 50 mM Tris-HCl (pH 8.3), 75 mM KCl, 3 mM MgCl2, 10 mM dithiothreitol, 0.5 mM each dNTP, 100 units M-MuLV reverse transcriptase RNase H™(Finnzymes Oy, Espoo, Finland), 20 units RNase inhibitor (HT biotechnology LTD, Cambridge, England) and diethylpyrocarbonate-treated (DEPC) water to a total volume of 20 µl. The reverse transcription reaction was incubated at 37°C for 60 min and was terminated by incubation at 70°C for 15 min.

Quantitative (q) polymerase chain reaction (PCR)

Gene specific primers were designed and synthesized by VBC-Biotech GmbH (Vienna, Austria) for the amplification of the mRNA transcripts of the BCL2 and BAX target genes, as well as for beta-2-microglobulin (B2M), which was used as a reference gene. The previously published genomic sequences were consulted for the design of the primers (GenBank™ accession nos. NG_009361.1, NG_012191.1 and NG_012920.1 for BCL2, BAX and B2M, respectively). B2M was selected for normalization purposes due its reported biological stability in human osteoarthritic articular cartilage (28). The BCL2 specific primers were: forward 5′-TCGCCCTGTGGATGACTGA-3′ and reverse 5′-CAGAGACAGCCAGGAGAAATCA-3′, producing a 134 base pair (bp) PCR amplicon, the BAX specific primers were: forward 5′-TGGCAGCTGACATGTTTTCTGAC-3′ and reverse 5′-TCACCCAACCACCCTGGTCTT-3′, generating an amplicon of 195 bp and the B2M primers were: forward 5′-ACTGAATTCACCCCCACTGA-3′ and reverse 5′-AAGCAAGCAAGCAGAATTTGGA-3′, resulting in a product of 167 bp.

Reverse transcription-qPCR analysis was performed in 96-well plates on an ABI Prism 7500 Thermal Cycler (Applied Biosystems). The reaction mixture contained 0.2 µl cDNA, 50–75 nM primers, 5 µL Kapa SYBR® Fast Universal 2X qPCR Master mix (Kapa Biosystems, Inc., Woburn, MA, USA), 0.2 µL 50X Rox Low passive reference dye (Kapa Biosystems) and DEPC water in a total volume of 10 µl. The reactions were performed in duplicate under the following conditions: 95°C for 3 min as a polymerase activation step, 40 cycles of 95°C for 15 sec for denaturation, and 60°C for 1 min for primer annealing, extension and fluorescence detection. Each run included a negative control (no cDNA), as well as a common calibrator sample, which consisted of cDNA reverse transcribed from RNA isolated from the PC-3 human prostate cancer cell line (American Type Culture Collection, Manassas, VA, USA) that was found to be steadily expressed in all genes under investigation, and was therefore used for normalization between the runs. Dissociation curves (60–95°C, with a heating rate of 0.1°C/sec) and fluorescence data (every 0.3°C) were produced following the amplification, in order to corroborate the presence of the predominant reaction products, through their unique melting temperatures (Tm), and the absence of any non-specific products and/or primer-dimers. The Tm of the specific PCR amplicons were, 83.9, 85.7 and 81.3°C for BCL2, BAX and B2M, respectively. Randomly selected PCR products were also electrophoresed on 3% w/v agarose gels in order to confirm the presence of a unique amplicon.

Calculations were performed using Sequence Detection system, version 1.2.3 computer software (Applied Biosystems). Gene expression analysis was performed using the comparative Ct (2−ΔΔCt) method (29). Briefly, the PCR products were detected by measuring the emitted fluorescence (Rn) at the end of each reaction cycle and average CT values were calculated for subsequent expression analysis. The threshold cycle (Ct) corresponds to the number of cycles required to detect a fluorescence signal above the baseline. The relative quantification units (RQ units=2−ΔΔCt), representative of the normalized expression of the target genes, were calculated for each sample. ΔΔCt is the difference between the ΔCt value of a cartilage tissue sample and the ΔCT for the calibrator sample, whereas ΔCt is the difference between the Ct value of the target gene (BCL2 or BAX) and the Ct of the endogenous reference gene (B2M).

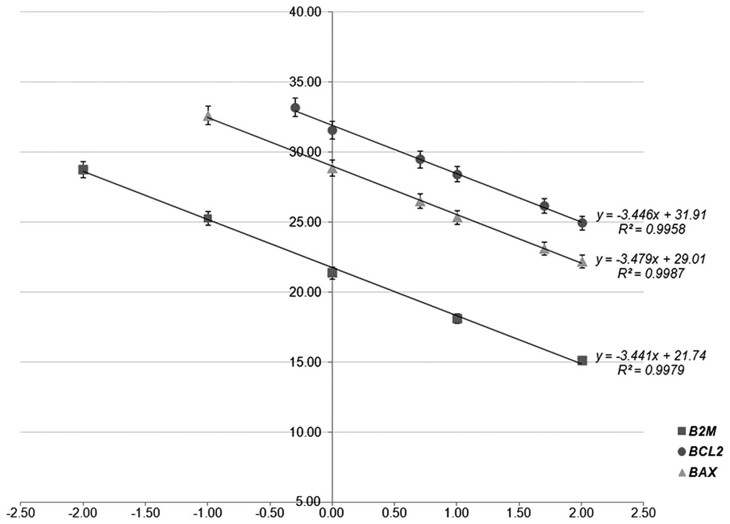
In order to confirm that amplification was performed with equal efficiencies for the target and the reference genes, thus allowing relative quantification according to the 2−ΔΔCT formula, validation experiments were performed using different quantities of input cDNA (Fig. 1). The cDNA dilution series, covering several orders of magnitude, were used for BCL2, BAX and B2M amplification, and the resulting Ct values were plotted against Log10 [cDNA quantity]. The reaction efficiencies (E%) were estimated using the following formula: E% = [−1 + 10(−1/slope)] × 100.

Figure 1

Quantitative polymerase chain reaction for the BCL2, BAX and B2M genes. Calibration curves for the BCL2, BAX and B2M genes. Threshold cycle values were plotted against Log10[cDNA quantity] and data were fit using least squares linear regression analysis. The slopes of the resulting curves were approximately equal, confirming that amplification was performed with similar efficiencies for all three reaction products. BCL2, B-cell CLL/lymphoma 2; BAX, BCL2-associated X protein; B2M, beta-2-microglobulin.

Statistical analysis

Non-parametric statistical analyses were performed as the distribution of variables between the groups was not Gaussian. For calculation of the BCL2/BAX ratio, the RQ units of BCL2 were divided by those of BAX for each sample. The Mann-Whitney U was used to analyze the differences in the normalized expression levels of BCL2, BAX and BCL2/BAX between the groups of individuals. Spearman's correlation coefficient (rs) was used in order to examine associations between the continuous variables in the investigation. Receiver operating characteristic (ROC) curves were generated for the expression levels of BCL2/BAX by plotting sensitivity against (1-specificity). The calculations for the Area Under the Curve (AUC) were based on Hanley and McNeil's method (30). To calculate the mRNA expression frequencies of BCL2 and BAX in normal and OA tissue samples, the following cutoff points were used: the 50th percentile (median) for the expression of BCL2 and the 65th percentile for the expression of BAX; differences were assessed using Fisher's exact test. Binary logistic regression models were used in order to estimate the odds ratio (OR) for the presence of OA. All statistical analyses were performed using SPSS 17.0 software (SPSS Inc., Chicago Il, USA).

Results

Quantitative assessment of the mRNA expression levels of BAX and BCL2

A highly sensitive and specific qPCR assay was developed and evaluated for quantification of the mRNA levels of BAX and BCL2. The specific amplification of the expected products, according to primer design, was evidenced by a peak in the melting curve analysis and the detection of a single distinctive band in agarose gel electrophoresis for randomly selected cartilage tissue specimens (data not shown). Validation experiments were also performed in order to calculate the qPCR reaction efficiency for each amplicon, using a wide range of inital cDNA template quantities. The amplification efficiencies of BCL2, BAX and B2M, calculated from the slopes of the calibration curves deriving from the validation experiments (slopeBCL2=−3.446, r2= 0.996; slopeBAX=−3.479, r2= 0.999 and slopeB2M= −3.441, r2= 0.998, respectively) were 95.1, 93.8 and 95.3%, respectively (Fig. 1). These data confirmed that the PCR amplicons were produced with similar efficiencies, which consequently enabled the use of the ΔΔCt method for calculating the RQ expression units of the BAX and BCL2 mRNA transcripts.

Distribution of the mRNA levels of BAX and BCL2 mRNA and the BCL2/BAX expression ratio in OA compared with normal cartilage

The comparative study of the mRNA levels of BAX and BCL2 between the normal and OA tissue cartilage samples enabled identification of important differential expression patterns. The mRNA levels of BAX presented an increasing trend in patients with primary OA (median=0.739 RQ units) compared with the normal individuals (median=0.244 RQ units; Table II), however this was not statistically significant (P=0.099). When the individuals were dichotomized according to the BAX mRNA expression status, the expression frequency of BAX was significantly higher (P=0.026) in the OA group compared with the normal group (44.0, vs 17.9%, respectively; Table III). The mRNA levels of BCL2 remained predominantly unchanged (P=0.904) in the OA group (median=57.2 RQ units) compared with the normal group (median=41.8 RQ units; Table II). The expression frequencies of BCL2 were also similar (P=0.479) between the OA and normal groups (54.0, vs 42.9%, respectively; Table III).

Table II

Distribution of mRNA expression levels of BAX and BCL2, and BCL2/BAX ratio in osteoarthritic and normal tissues.

Table II

Distribution of mRNA expression levels of BAX and BCL2, and BCL2/BAX ratio in osteoarthritic and normal tissues.

VariableMean ± SEMRangePercentile
102550 (median)7590
Osteoarthritis (n=50)
 BAX expressiona1.64±0.310.00426–7.680.004260.04440.7392.585.59
 BCL2 expressiona118±310.342–1,1710.3421.0457.2132229
 BCL2/BAX ratiob208±540.0454–1,5980.84018.861.2308467
Normal (n=28)
 BAX expressiona0.772±0.2580.00426–6.390.004260.01660.2440.8702.26
 BCL2 expressiona86.2±26.10.342–6640.94712.341.893.9210
 BCL2/BAX ratiob418±1178.38–2,02033.568.41695581,508

{ label (or @symbol) needed for fn[@id='tfn1-mmr-12-03-4514'] } SEM, standard error of the mean; BCL2, B-cell CLL/lymphoma 2 gene; BAX, BCL2-associated X protein gene;

a relative quantification (RQ) units;

b BCL2 RQ units/BAX RQ units.

Table III

Frequencies of the mRNA expression levels of BAX and BCL2 between normal and OA tissue samples

Table III

Frequencies of the mRNA expression levels of BAX and BCL2 between normal and OA tissue samples

VariableIndividuals (n)Individuals, n (%)
P-valuea
NormalOA
BAX0.026
 Negative5123 (82.1)28 (56.0)
 Positive275 (17.9)22 (44.0)
BCL20.479
 Negative3916 (57.1)23 (46.0)
 Positive3912 (42.9)27 (54.0)

{ label (or @symbol) needed for fn[@id='tfn4-mmr-12-03-4514'] } OA, osteoarthritis; BCL2, B-cell CLL/lymphoma 2 gene; BAX, BCL2-associated X protein gene;

a Calculated by Fisher's exact test.

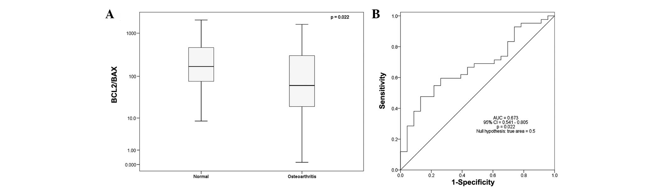
However, the BCL2/BAX expression ratio was significantly decreased (2.76-fold) in the OA group compared with the normal group (P=0.022), with a median BCL2/BAX expression ratio of 169 in the normal group and 61.2 in the OA group (Table II; Fig. 2A). Binary logistic regression analysis revealed that individuals with higher BCL2/BAX expression ratios were significantly less likely to suffer from OA (OR=0.400, 95% CI= 0.181–0.884; P= 0.024), as shown in Table IV. Additionally, ROC curve analysis revealed the important BCL2/BAX ratio value in effectively discriminating the normal from OA samples (AUC=0.673, 95% CI=0.541–0.805, P=0.022; Fig. 2B).

Figure 2

Differential distribution of the BCL2/BAX expression ratio in normal and OA tissue samples. (A) BCL2/BAX expression ratio in normal and osteoarthritic cartilage tissue samples. The bold lines represent the median expression, the y-axis is presented in logarithmic scale and the p-value was calculated using the Mann-Whitney U test. (B) ROC curve for the BCL2/BAX ratio. BCL2, B-cell CLL/lymphoma 2 gene; BAX, BCL2-associated X protein gene; ROC, receiver operating characteristic; AUC, area under the curve; CI: confidence interval for the AUC.

Table IV

Binary logistic regression analysis for the occurrence of osteoarthritis.

Table IV

Binary logistic regression analysis for the occurrence of osteoarthritis.

CovariantCrude odds ratio95% CIP-value
Log10BAX1.390.891–2.160.147
Log10BCL20.8280.517–1.330.432
Log10BCL2/BAX0.4000.181–0.8840.024
Age1.291.13–1.48<0.001

[i] CI, confidence interval of the estimated crude odds ratio; BCL2, B-cell CLL/lymphoma 2 gene; BAX, BCL2-associated X protein gene.

mRNA expression levels of BAX, BCL2 and the BCL2/BAX ratio in radiographical stages of OA

The expression levels of the apoptosis-associated genes investigated in the present study were also examined at different stages of OA, according to the radiographic criteria of the Kellgren-Lawrence grading scale (27). No statistically significant change was found between stage III and stage IV OA in the mRNA expression levels of BAX (P= 0.157) or BCL2 (P= 0.395), or the BCL2/BAX expression ratio (P=0.950).

Notably, a significant 4.6-fold overexpression of median BAX mRNA levels was observed between the normal group and the stage III OA group (P=0.034), with the stage III OA group having a median expression of 1.12 BAX RQ units, compared with 0.244 in the normal group (Fig. 3A).

Figure 3

mRNA levels of BAX and the BCL2/BAX expression ratio in normal tissues and OA tissues of different stages of advancement. Distribution of mRNA levels of (A) BAX and the (B) BCL2/BAX ratio in normal, stage III and stage IV osteoarthritic cartilage tissue samples. The bold lines represent the median values and *represent outliers. The y-axis is presented in logarithmic scale. The p-values were calculated using the Mann-Whitney U test, by comparing the normal group with the stage III OA and the stage IV OA samples. BCL2, B-cell CLL/lymphoma 2 gene; BAX, BCL2-associated X protein gene.

In addition, the BCL2/BAX ratio was markedly decreased (2.5-fold) between the normal group and the stage III OA group (Fig. 3B). The normal group had a median BCL2/BAX expression of 169, which was significantly (P=0.024) lower compared with that in the stage III OA group (66.8; Fig. 3B). By contrast, the mRNA levels of BCL2 did not differentiate substantially (P=0.419) between the stage III OA and normal group.

Associations between the mRNA expression levels of BAX, BCL2, BCL2/BAX and patient characteristics

A significant positive correlation was observed between the mRNA levels of BAX and BCL2 in the normal group (rs=0.728; P<0.001); and in the OA group, although to a lesser degree (rs= 0.532; P<0.001). High mRNA levels of BAX were also correlated with increased age, which was statistically significant only for the set of tissue samples derived from normal individuals (rs=0.502; P=0.007). Similarly, a marked negative correlation was found between the BCL2/BAX expression ratio and increased age (rs=−0.580; P=0.004) within the normal group, but not in the OA group. Elevated mRNA levels of BCL2 were weakly correlated with increased age within the OA group (rs= 0.396; P= 0.004), but not among the normal samples. Gender was not associated in any case with the mRNA levels of BAX or BCL2 or the BCL2/BAX expression ratio (P>0.05, Mann-Whitney U test).

Discussion

The hypothesis that chondrocyte cell death is a central feature of the pathogenesis of OA has been examined previously (1,2,22,23). Numerous studies have reported either direct or indirect evidence of increased apoptosis associated with human osteoarthritis (16,24,31–34). In vitro and in vivo studies have implicated the BCL2 apoptotic gene family in the regulation of chondrocyte apoptosis and cartilage degradation (16,22,23,25,26).

The majority of studies examining the expression status of the classical BCL2 and BAX apoptotic genes in human OA have demonstrated altered gene expression patterns at the protein level (16,25,26). Due to the limited material often available from cartilage human specimens and the difficulties in isolating total RNA from these samples, there has not been, to our best knowledge, a study that quantitatively analyzes the mRNA expression of apoptosis-associated genes. The present study is the first, to the best of our knowledge, to investigate the differential gene expression of BCL2 and BAX in human OA and normal articular cartilage at the mRNA level, via a hypersensitive and specific qPCR method.

The results of the qPCR demonstrated that the ratio of BCL2/BAX mRNA expression levels was significantly decreased (2.76-fold) in the OA tissues compared with the normal cartilage tissues (P=0.022). It is well established that a decrease in the BCL2/BAX expression ratio is associated with the induction of apoptosis in several human tissues, whereas an increase in this apoptotic ratio is associated with a poor prognosis in several types of cancer, and can render tumor cells resistant to the induction of apoptosis by drug therapy (9,13,35,36). Furthermore a study by Chen et al suggested that the BCL2/BAX mRNA ratio is important in governing the susceptibility of human chondrocytes to apoptosis (37).

The gene expression levels of BCL2 and BAX in normal and osteoarthritic tissue samples were also determined in the present study; the mRNA levels of BAX in the OA tissues was increased, but without significance, compared with the healthy tissues. However, the expression frequency of BAX was significantly elevated in the OA group (P=0.026). This trend was also observed by Hu et al in a small sample size of nine OA and six normal cartilage samples, who reported the overexpression of BAX mRNA in the OA samples, compared with the normal samples (25). In terms of the gene expression of BCL2, no significant difference was observed between the two groups. These results differ from those of Kim et al, who reported significantly higher protein levels of BCL2 levels in normal cartilage, obtained from autopsy, compared with OA cartilage, obtained from patients with knee OA (16). These differences may be attributed to the use of autopsy specimens as healthy controls, since differences in gene expression patterns may be affected by issues of biomolecule stability or alterations in chondrocyte phenotype following death (38).

The importance of the BCL2-BAX apoptotic pathway in cartilage degradation was further supported by differences in gene expression levels observed between the normal tissues and different stages of OA, and positive correlations between the mRNA levels of BAX and BCL2 in both the normal and OA groups. Since the OA samples in the present study were obtained from patients during knee arthroplasty, the tissue samples represented only late stages of the disease (KL grading scale III or IV). However, although no statistically significant differences were found between the stage III and stage IV OA samples, a significant (P=0.034) increase in the mRNA levels of BAX and a notable decrease in BCL2/BAX ratio were observed between the normal samples and stage III samples (P=0.024). These observations suggest that a balance between the gene expression levels of BCL2 and BAX is required to maintain tissue homeostasis and, when this balance is disturbed, the cell response to apoptotic stimuli may drive the progression of OA.

A correlation between the expression of classical apoptotic genes and patient age was also observed. A positive correlation between the mRNA levels of BAX and increasing age, and a negative correlation between the BCL2/BAX ratio and increasing age were observed. Several studies have implicated the expression levels of BCL2 and BAX in the molecular basis of age-related changes in several human tissues (39–43). In a comparative study of a mouse OA model Mistry et al reported that the protein levels of BCL2 and BAX, analyzed by immunohistochemistry, decreased with age (44). In the present study, the groups were not age-matched, since the prevalence of OA in young individuals is low, and obtaining healthy knee cartilage specimens from aged individuals is extremely difficult (38). The association between the qualitative and/or quantitative differences in the extracellular matrix of the articular cartilage and aging may contribute to the reduction in the maintenance and repair potential of old cartilage and the increased incidence of degenerative cartilage disease (4,45–47). However, whether alterations in the differential expression patterns of BCL2 and BAX contribute to the vulnerability of aging cartilage, or vice versa, during the development of OA remain to be elucidated. Further investigation is necessary to identify whether the alterations in the relative gene expression levels of the BCL2/BAX apoptotic pathway reflect the response of chondrocytes to the increased biomechanical load, decrease of the cartilage repair potential due to the normal aging process or the severity of OA.

Although the role of apoptosis and of the BCL2/BAX gene apoptotic pathway in the development of OA remains to be fully elucidated, delineation of the apoptotic mechanisms occurring in the articular cartilage tissue may offer potentially useful therapeutic targets for OA. Chen et al reported that selenium partly inhibits the apoptotic cell death induced by T-2 mycotoxin in human chondrocytes by decreasing the BCL2/BAX ratio (37). Feng et al reported that chondrocytes overexpressing BCL2 are resistant to apoptosis induced by serum withdrawal and retinoic acid treatment (48), while Mukherjee et al reported that staurosporine-mediated chondrocyte death coincided with increased mRNA expression levels of BAX:BCL-X, and that pretreatment of cultures with nimesulide or ibuprofen, protects chondrocytes against cell death (49). Furthermore, Amling et al demonstrated that PTHrP stimulates the protein expression of BCL2 in chondrocytes in vivo and in vitro (50). Further investigations may reveal whether the pharmacological inhibition of cell death in chondrocyes is clinically valuable for OA (4).

Despite increasing evidence that chondrocyte apoptosis is associated with the development of OA, the importance of that link, and whether chondrocyte apoptosis is a cause or a result of cartilage degeneration, remains to be elucidated (2,51). The results of the present study further implicate apoptosis in the pathogenesis of OA, through molecular mechanisms, which include the aberrant expression of the BCL2 gene family. Additional investigation of this association, and the ability to intervene in the process of apoptosis may reveal novel prognostic biomarkers and potential targets for early therapeutic interventions in the treatment of OA.

Acknowledgments

This study was co-financed by the Hellenic Association of Orthopaedic Surgery & Traumatology and the University of Athens, Special Account for Research Grant (Kapodistrias).

References

1 

Chang J, Wang W, Zhang H, Hu Y, Wang M and Yin Z: The dual role of autophagy in chondrocyte responses in the pathogenesis of articular cartilage degeneration in osteoarthritis. Int J Mol Med. 32:1311–1318. 2013.PubMed/NCBI

2 

Mutijima E, De Maertelaer V, Deprez M, Malaise M and Hauzeur JP: The apoptosis of osteoblasts and osteocytes in femoral head osteonecrosis: its specificity and its distribution. Clin Rheumatol. 33:1791–1795. 2014. View Article : Google Scholar : PubMed/NCBI

3 

Vaillancourt F, Fahmi H, Shi Q, et al: 4-Hydroxynonenal induces apoptosis in human osteoarthritic chondrocytes: the protective role of glutathione-S-transferase. Arthritis Res Ther. 10:R1072008. View Article : Google Scholar : PubMed/NCBI

4 

Grogan SP and D'Lima DD: Joint aging and chondrocyte cell death. Int J Clin Rheumtol. 5:199–214. 2010. View Article : Google Scholar : PubMed/NCBI

5 

Blagojevic M, Jinks C, Jeffery A and Jordan KP: Risk factors for onset of osteoarthritis of the knee in older adults: a systematic review and meta-analysis. Osteoarthritis Cartilage. 18:24–33. 2010. View Article : Google Scholar

6 

Felson DT, Lawrence RC, Dieppe PA, et al: Osteoarthritis: new insights. Part 1: the disease and its risk factors. Ann Intern Med. 133:635–646. 2000. View Article : Google Scholar : PubMed/NCBI

7 

Thomadaki H and Scorilas A: BCL2 family of apoptosis-related genes: functions and clinical implications in cancer. Crit Rev Clin Lab Sci. 43:1–67. 2006. View Article : Google Scholar : PubMed/NCBI

8 

Johnson EO, Charchandi A, Babis GC and Soucacos PN: Apoptosis in osteoarthritis: morphology, mechanisms, and potential means for therapeutic intervention. J Surg Orthop Adv. 17:147–152. 2008.PubMed/NCBI

9 

Korsmeyer SJ, Shutter JR, Veis DJ, Merry DE and Oltvai ZN: Bcl-2/BAX: a rheostat that regulates an anti-oxidant pathway and cell death. Semin Cancer Biol. 4:327–332. 1993.PubMed/NCBI

10 

Reed JC: Double identity for proteins of the Bcl-2 family. Nature. 387:773–776. 1997. View Article : Google Scholar : PubMed/NCBI

11 

Cory S and Adams JM: The BCL2 family: regulators of the cellular life-or-death switch. Nat Rev Cancer. 2:647–656. 2002. View Article : Google Scholar : PubMed/NCBI

12 

Hockenbery D, Nuñez G, Milliman C, Schreiber RD and Korsmeyer SJ: Bcl-2 is an inner mitochondrial membrane protein that blocks programmed cell death. Nature. 348:334–336. 1990. View Article : Google Scholar : PubMed/NCBI

13 

Oltvai ZN and Korsmeyer SJ: Checkpoints of dueling dimers foil death wishes. Cell. 79:189–192. 1994. View Article : Google Scholar : PubMed/NCBI

14 

Iannone F and Lapadula G: The pathophysiology of osteoarthritis. Aging Clin Exp Res. 15:364–372. 2003. View Article : Google Scholar

15 

Martel-Pelletier J, Boileau C, Pelletier JP and Roughley PJ: Cartilage in normal and osteoarthritis conditions. Best Pract Res Clin Rheumatol. 22:351–384. 2008. View Article : Google Scholar : PubMed/NCBI

16 

Kim HA, Lee YJ, Seong SC, Choe KW and Song YW: Apoptotic chondrocyte death in human osteoarthritis. J Rheumatol. 27:455–462. 2000.PubMed/NCBI

17 

Aigner T, Hemmel M, Neureiter D, et al: Apoptotic cell death is not a widespread phenomenon in normal aging and osteoarthritis human articular knee cartilage: a study of proliferation, programmed cell death (apoptosis), and viability of chondrocytes in normal and osteoarthritic human knee cartilage. Arthritis Rheum. 44:1304–1312. 2001. View Article : Google Scholar : PubMed/NCBI

18 

Cheng AX, Lou SQ, Zhou HW, Wang Y and Ma DL: Expression of PDCD5, a novel apoptosis related protein, in human osteoarthritic cartilage. Acta Pharmacol Sin. 25:685–690. 2004.PubMed/NCBI

19 

Héraud F, Héraud A and Harmand MF: Apoptosis in normal and osteoarthritic human articular cartilage. Ann Rheum Dis. 59:959–965. 2000. View Article : Google Scholar : PubMed/NCBI

20 

Horton WE Jr, Feng L and Adams C: Chondrocyte apoptosis in development, aging and disease. Matrix Biol. 17:107–115. 1998. View Article : Google Scholar : PubMed/NCBI

21 

Lu H, Hou G, Zhang Y, Dai Y and Zhao H: c-Jun transactivates Puma gene expression to promote osteoarthritis. Mol Med Rep. 9:1606–1612. 2014.PubMed/NCBI

22 

Zamli Z, Adams MA, Tarlton JF and Sharif M: Increased chondrocyte apoptosis is associated with progression of osteoarthritis in spontaneous Guinea pig models of the disease. Int J Mol Sci. 14:17729–17743. 2013. View Article : Google Scholar : PubMed/NCBI

23 

Thomas CM, Fuller CJ, Whittles CE and Sharif M: Chondrocyte death by apoptosis is associated with the initiation and severity of articular cartilage degradation. Int J Rheum Dis. 14:191–198. 2011. View Article : Google Scholar : PubMed/NCBI

24 

Blanco FJ, Guitian R, Vázquez-Martul E, de Toro FJ and Galdo F: Osteoarthritis chondrocytes die by apoptosis. A possible pathway for osteoarthritis pathology. Arthritis Rheum. 41:284–289. 1998. View Article : Google Scholar : PubMed/NCBI

25 

Hu J, Huang G, Huang S and Yang L: Control genes of chondrocyte apoptosis in osteoarthritic articular cartilage. Zhonghua Wai Ke Za Zhi. 38:266–268. 2172000.

26 

Wang SJ, Guo X, Chen JH, et al: Mechanism of chondrocyte apoptosis in Kashin-Beck disease and primary osteoarthritis: a comparative study. Nan Fang Yi Ke Da Xue Xue Bao. 26:927–930. 2006.PubMed/NCBI

27 

Kellgren JH and Lawrence JS: Radiological assessment of osteoarthrosis. Ann Rheum Dis. 16:494–502. 1957. View Article : Google Scholar : PubMed/NCBI

28 

Pombo-Suarez M, Calaza M, Gomez-Reino JJ and Gonzalez A: Reference genes for normalization of gene expression studies in human osteoarthritic articular cartilage. BMC Mol Biol. 9:172008. View Article : Google Scholar : PubMed/NCBI

29 

Schmittgen TD and Livak KJ: Analyzing real-time PCR data by the comparative C(T) method. Nat Protoc. 3:1101–1108. 2008. View Article : Google Scholar : PubMed/NCBI

30 

Hanley JA and McNeil BJ: The meaning and use of the area under a receiver operating characteristic (ROC) curve. Radiology. 143:29–36. 1982. View Article : Google Scholar : PubMed/NCBI

31 

Hashimoto S, Ochs RL, Komiya S and Lotz M: Linkage of chondrocyte apoptosis and cartilage degradation in human osteoarthritis. Arthritis Rheum. 41:1632–1638. 1998. View Article : Google Scholar : PubMed/NCBI

32 

Kourí JB, Aguilera JM, Reyes J, Lozoya KA and González S: Apoptotic chondrocytes from osteoarthrotic human articular cartilage and abnormal calcification of subchondral bone. J Rheumatol. 27:1005–1019. 2000.PubMed/NCBI

33 

Yatsugi N, Tsukazaki T, Osaki M, Koji T, Yamashita S and Shindo H: Apoptosis of articular chondrocytes in rheumatoid arthritis and osteoarthritis: correlation of apoptosis with degree of cartilage destruction and expression of apoptosis-related proteins of p53 and c-myc. J Orthop Sci. 5:150–156. 2000. View Article : Google Scholar : PubMed/NCBI

34 

Sharif M, Whitehouse A, Sharman P, Perry M and Adams M: Increased apoptosis in human osteoarthritic cartilage corresponds to reduced cell density and expression of caspase-3. Arthritis Rheum. 50:507–515. 2004. View Article : Google Scholar : PubMed/NCBI

35 

Tallman MS, Gilliland DG and Rowe JM: Drug therapy for acute myeloid leukemia. Blood. 106:1154–1163. 2005. View Article : Google Scholar : PubMed/NCBI

36 

Köhler T, Schill C, Deininger MW, et al: High Bad and BAX mRNA expression correlate with negative outcome in acute myeloid leukemia (AMl). Leukemia. 16:22–29. 2002. View Article : Google Scholar : PubMed/NCBI

37 

Chen JH, Cao JL, Chu YL, Wang ZL, Yang ZT and Wang HL: T-2 toxin-induced apoptosis involving Fas, p53, Bcl-xL, Bcl-2, BAX and caspase-3 signaling pathways in human chondrocytes. J Zhejiang Univ Sci B. 9:455–463. 2008. View Article : Google Scholar : PubMed/NCBI

38 

Horton WE Jr, Yagi R, Laverty D and Weiner S: Overview of studies comparing human normal cartilage with minimal and advanced osteoarthritic cartilage. Clin Exp Rheumatol. 23:103–112. 2005.PubMed/NCBI

39 

Lee EK, Jung KJ, Choi J, et al: Molecular basis for age-related changes in ileum: involvement of BAX/caspase-dependent mitochondrial apoptotic signaling. Exp Gerontol. 45:970–976. 2010. View Article : Google Scholar : PubMed/NCBI

40 

Phaneuf S and Leeuwenburgh C: Cytochrome c release from mitochondria in the aging heart: a possible mechanism for apoptosis with age. Am J Physiol Regul Integr Comp Physiol. 282:R423–R430. 2002. View Article : Google Scholar : PubMed/NCBI

41 

Gupta S: Molecular and biochemical pathways of apoptosis in lymphocytes from aged humans. Vaccine. 18:1596–1601. 2000. View Article : Google Scholar : PubMed/NCBI

42 

Das P, Chopra M, Sun Y, Kerns DG, Vastardis S and Sharma AC: Age-dependent differential expression of apoptosis markers in the gingival tissue. Arch Oral Biol. 54:329–336. 2009. View Article : Google Scholar : PubMed/NCBI

43 

Aggarwal S and Gupta S: Increased apoptosis of T cell subsets in aging humans: altered expression of Fas (CD95), Fas ligand, Bcl-2, and BAX. J Immunol. 160:1627–1637. 1998.PubMed/NCBI

44 

Mistry D, Oue Y, Chambers MG, Kayser MV and Mason RM: Chondrocyte death during murine osteoarthritis. Osteoarthritis Cartilage. 12:131–141. 2004. View Article : Google Scholar : PubMed/NCBI

45 

Temple MM, Bae WC, Chen MQ, et al: Age- and site-associated biomechanical weakening of human articular cartilage of the femoral condyle. Osteoarthritis Cartilage. 15:1042–1052. 2007. View Article : Google Scholar : PubMed/NCBI

46 

Barbero A, Grogan S, Schäfer D, Heberer M, Mainil-Varlet P and Martin I: Age related changes in human articular chondrocyte yield, proliferation and post-expansion chondrogenic capacity. Osteoarthritis Cartilage. 12:476–484. 2004. View Article : Google Scholar : PubMed/NCBI

47 

Yang C, Li SW, Helminen HJ, Khillan JS, Bao Y and Prockop DJ: Apoptosis of chondrocytes in transgenic mice lacking collagen II. Exp Cell Res. 235:370–373. 1997. View Article : Google Scholar : PubMed/NCBI

48 

Feng L, Precht P, Balakir R and Horton WE Jr: Evidence of a direct role for Bcl-2 in the regulation of articular chondrocyte apoptosis under the conditions of serum withdrawal and retinoic acid treatment. J Cell Biochem. 71:302–309. 1998. View Article : Google Scholar : PubMed/NCBI

49 

Mukherjee P, Rachita C, Aisen PS and Pasinetti GM: Non-steroidal anti-inflammatory drugs protect against chondrocyte apoptotic death. Clin Exp Rheumatol. 19(Suppl 22): S7–S11. 2001.PubMed/NCBI

50 

Amling M, Neff L, Tanaka S, et al: Bcl-2 lies downstream of parathyroid hormone-related peptide in a signaling pathway that regulates chondrocyte maturation during skeletal development. J Cell Biol. 136:205–213. 1997. View Article : Google Scholar : PubMed/NCBI

51 

Zamli Z and Sharif M: Chondrocyte apoptosis: a cause or consequence of osteoarthritis? Int J Rheum Dis. 14:159–166. 2011. View Article : Google Scholar : PubMed/NCBI

Related Articles

  • Abstract
  • View
  • Download
  • Twitter
Copy and paste a formatted citation
Spandidos Publications style
Karaliotas GI, Mavridis K, Scorilas A and Babis GC: Quantitative analysis of the mRNA expression levels of BCL2 and BAX genes in human osteoarthritis and normal articular cartilage: An investigation into their differential expression. Mol Med Rep 12: 4514-4521, 2015.
APA
Karaliotas, G.I., Mavridis, K., Scorilas, A., & Babis, G.C. (2015). Quantitative analysis of the mRNA expression levels of BCL2 and BAX genes in human osteoarthritis and normal articular cartilage: An investigation into their differential expression. Molecular Medicine Reports, 12, 4514-4521. https://doi.org/10.3892/mmr.2015.3939
MLA
Karaliotas, G. I., Mavridis, K., Scorilas, A., Babis, G. C."Quantitative analysis of the mRNA expression levels of BCL2 and BAX genes in human osteoarthritis and normal articular cartilage: An investigation into their differential expression". Molecular Medicine Reports 12.3 (2015): 4514-4521.
Chicago
Karaliotas, G. I., Mavridis, K., Scorilas, A., Babis, G. C."Quantitative analysis of the mRNA expression levels of BCL2 and BAX genes in human osteoarthritis and normal articular cartilage: An investigation into their differential expression". Molecular Medicine Reports 12, no. 3 (2015): 4514-4521. https://doi.org/10.3892/mmr.2015.3939
Copy and paste a formatted citation
x
Spandidos Publications style
Karaliotas GI, Mavridis K, Scorilas A and Babis GC: Quantitative analysis of the mRNA expression levels of BCL2 and BAX genes in human osteoarthritis and normal articular cartilage: An investigation into their differential expression. Mol Med Rep 12: 4514-4521, 2015.
APA
Karaliotas, G.I., Mavridis, K., Scorilas, A., & Babis, G.C. (2015). Quantitative analysis of the mRNA expression levels of BCL2 and BAX genes in human osteoarthritis and normal articular cartilage: An investigation into their differential expression. Molecular Medicine Reports, 12, 4514-4521. https://doi.org/10.3892/mmr.2015.3939
MLA
Karaliotas, G. I., Mavridis, K., Scorilas, A., Babis, G. C."Quantitative analysis of the mRNA expression levels of BCL2 and BAX genes in human osteoarthritis and normal articular cartilage: An investigation into their differential expression". Molecular Medicine Reports 12.3 (2015): 4514-4521.
Chicago
Karaliotas, G. I., Mavridis, K., Scorilas, A., Babis, G. C."Quantitative analysis of the mRNA expression levels of BCL2 and BAX genes in human osteoarthritis and normal articular cartilage: An investigation into their differential expression". Molecular Medicine Reports 12, no. 3 (2015): 4514-4521. https://doi.org/10.3892/mmr.2015.3939
Follow us
  • Twitter
  • LinkedIn
  • Facebook
About
  • Spandidos Publications
  • Careers
  • Cookie Policy
  • Privacy Policy
How can we help?
  • Help
  • Live Chat
  • Contact
  • Email to our Support Team