Spandidos Publications Logo
  • About
    • About Spandidos
    • Aims and Scopes
    • Abstracting and Indexing
    • Editorial Policies
    • Reprints and Permissions
    • Job Opportunities
    • Terms and Conditions
    • Contact
  • Journals
    • All Journals
    • Oncology Letters
      • Oncology Letters
      • Information for Authors
      • Editorial Policies
      • Editorial Board
      • Aims and Scope
      • Abstracting and Indexing
      • Bibliographic Information
      • Archive
    • International Journal of Oncology
      • International Journal of Oncology
      • Information for Authors
      • Editorial Policies
      • Editorial Board
      • Aims and Scope
      • Abstracting and Indexing
      • Bibliographic Information
      • Archive
    • Molecular and Clinical Oncology
      • Molecular and Clinical Oncology
      • Information for Authors
      • Editorial Policies
      • Editorial Board
      • Aims and Scope
      • Abstracting and Indexing
      • Bibliographic Information
      • Archive
    • Experimental and Therapeutic Medicine
      • Experimental and Therapeutic Medicine
      • Information for Authors
      • Editorial Policies
      • Editorial Board
      • Aims and Scope
      • Abstracting and Indexing
      • Bibliographic Information
      • Archive
    • International Journal of Molecular Medicine
      • International Journal of Molecular Medicine
      • Information for Authors
      • Editorial Policies
      • Editorial Board
      • Aims and Scope
      • Abstracting and Indexing
      • Bibliographic Information
      • Archive
    • Biomedical Reports
      • Biomedical Reports
      • Information for Authors
      • Editorial Policies
      • Editorial Board
      • Aims and Scope
      • Abstracting and Indexing
      • Bibliographic Information
      • Archive
    • Oncology Reports
      • Oncology Reports
      • Information for Authors
      • Editorial Policies
      • Editorial Board
      • Aims and Scope
      • Abstracting and Indexing
      • Bibliographic Information
      • Archive
    • Molecular Medicine Reports
      • Molecular Medicine Reports
      • Information for Authors
      • Editorial Policies
      • Editorial Board
      • Aims and Scope
      • Abstracting and Indexing
      • Bibliographic Information
      • Archive
    • World Academy of Sciences Journal
      • World Academy of Sciences Journal
      • Information for Authors
      • Editorial Policies
      • Editorial Board
      • Aims and Scope
      • Abstracting and Indexing
      • Bibliographic Information
      • Archive
    • International Journal of Functional Nutrition
      • International Journal of Functional Nutrition
      • Information for Authors
      • Editorial Policies
      • Editorial Board
      • Aims and Scope
      • Abstracting and Indexing
      • Bibliographic Information
      • Archive
    • International Journal of Epigenetics
      • International Journal of Epigenetics
      • Information for Authors
      • Editorial Policies
      • Editorial Board
      • Aims and Scope
      • Abstracting and Indexing
      • Bibliographic Information
      • Archive
    • Medicine International
      • Medicine International
      • Information for Authors
      • Editorial Policies
      • Editorial Board
      • Aims and Scope
      • Abstracting and Indexing
      • Bibliographic Information
      • Archive
  • Articles
  • Information
    • Information for Authors
    • Information for Reviewers
    • Information for Librarians
    • Information for Advertisers
    • Conferences
  • Language Editing
Spandidos Publications Logo
  • About
    • About Spandidos
    • Aims and Scopes
    • Abstracting and Indexing
    • Editorial Policies
    • Reprints and Permissions
    • Job Opportunities
    • Terms and Conditions
    • Contact
  • Journals
    • All Journals
    • Biomedical Reports
      • Information for Authors
      • Editorial Policies
      • Editorial Board
      • Aims and Scope
      • Abstracting and Indexing
      • Bibliographic Information
      • Archive
    • Experimental and Therapeutic Medicine
      • Information for Authors
      • Editorial Policies
      • Editorial Board
      • Aims and Scope
      • Abstracting and Indexing
      • Bibliographic Information
      • Archive
    • International Journal of Epigenetics
      • Information for Authors
      • Editorial Policies
      • Editorial Board
      • Aims and Scope
      • Abstracting and Indexing
      • Bibliographic Information
      • Archive
    • International Journal of Functional Nutrition
      • Information for Authors
      • Editorial Policies
      • Editorial Board
      • Aims and Scope
      • Abstracting and Indexing
      • Bibliographic Information
      • Archive
    • International Journal of Molecular Medicine
      • Information for Authors
      • Editorial Policies
      • Editorial Board
      • Aims and Scope
      • Abstracting and Indexing
      • Bibliographic Information
      • Archive
    • International Journal of Oncology
      • Information for Authors
      • Editorial Policies
      • Editorial Board
      • Aims and Scope
      • Abstracting and Indexing
      • Bibliographic Information
      • Archive
    • Medicine International
      • Information for Authors
      • Editorial Policies
      • Editorial Board
      • Aims and Scope
      • Abstracting and Indexing
      • Bibliographic Information
      • Archive
    • Molecular and Clinical Oncology
      • Information for Authors
      • Editorial Policies
      • Editorial Board
      • Aims and Scope
      • Abstracting and Indexing
      • Bibliographic Information
      • Archive
    • Molecular Medicine Reports
      • Information for Authors
      • Editorial Policies
      • Editorial Board
      • Aims and Scope
      • Abstracting and Indexing
      • Bibliographic Information
      • Archive
    • Oncology Letters
      • Information for Authors
      • Editorial Policies
      • Editorial Board
      • Aims and Scope
      • Abstracting and Indexing
      • Bibliographic Information
      • Archive
    • Oncology Reports
      • Information for Authors
      • Editorial Policies
      • Editorial Board
      • Aims and Scope
      • Abstracting and Indexing
      • Bibliographic Information
      • Archive
    • World Academy of Sciences Journal
      • Information for Authors
      • Editorial Policies
      • Editorial Board
      • Aims and Scope
      • Abstracting and Indexing
      • Bibliographic Information
      • Archive
  • Articles
  • Information
    • For Authors
    • For Reviewers
    • For Librarians
    • For Advertisers
    • Conferences
  • Language Editing
Login Register Submit
  • This site uses cookies
  • You can change your cookie settings at any time by following the instructions in our Cookie Policy. To find out more, you may read our Privacy Policy.

    I agree
Search articles by DOI, keyword, author or affiliation
Search
Advanced Search
presentation
Molecular Medicine Reports
Join Editorial Board Propose a Special Issue
Print ISSN: 1791-2997 Online ISSN: 1791-3004
Journal Cover
August-2017 Volume 16 Issue 2

Full Size Image

Sign up for eToc alerts
Recommend to Library

Journals

International Journal of Molecular Medicine

International Journal of Molecular Medicine

International Journal of Molecular Medicine is an international journal devoted to molecular mechanisms of human disease.

International Journal of Oncology

International Journal of Oncology

International Journal of Oncology is an international journal devoted to oncology research and cancer treatment.

Molecular Medicine Reports

Molecular Medicine Reports

Covers molecular medicine topics such as pharmacology, pathology, genetics, neuroscience, infectious diseases, molecular cardiology, and molecular surgery.

Oncology Reports

Oncology Reports

Oncology Reports is an international journal devoted to fundamental and applied research in Oncology.

Experimental and Therapeutic Medicine

Experimental and Therapeutic Medicine

Experimental and Therapeutic Medicine is an international journal devoted to laboratory and clinical medicine.

Oncology Letters

Oncology Letters

Oncology Letters is an international journal devoted to Experimental and Clinical Oncology.

Biomedical Reports

Biomedical Reports

Explores a wide range of biological and medical fields, including pharmacology, genetics, microbiology, neuroscience, and molecular cardiology.

Molecular and Clinical Oncology

Molecular and Clinical Oncology

International journal addressing all aspects of oncology research, from tumorigenesis and oncogenes to chemotherapy and metastasis.

World Academy of Sciences Journal

World Academy of Sciences Journal

Multidisciplinary open-access journal spanning biochemistry, genetics, neuroscience, environmental health, and synthetic biology.

International Journal of Functional Nutrition

International Journal of Functional Nutrition

Open-access journal combining biochemistry, pharmacology, immunology, and genetics to advance health through functional nutrition.

International Journal of Epigenetics

International Journal of Epigenetics

Publishes open-access research on using epigenetics to advance understanding and treatment of human disease.

Medicine International

Medicine International

An International Open Access Journal Devoted to General Medicine.

Journal Cover
August-2017 Volume 16 Issue 2

Full Size Image

Sign up for eToc alerts
Recommend to Library

  • Article
  • Citations
    • Cite This Article
    • Download Citation
    • Create Citation Alert
    • Remove Citation Alert
    • Cited By
  • Similar Articles
    • Related Articles (in Spandidos Publications)
    • Similar Articles (Google Scholar)
    • Similar Articles (PubMed)
  • Download PDF
  • Download XML
  • View XML
Article Open Access

Nogo receptor knockdown and ciliary neurotrophic factor attenuate diabetic retinopathy in streptozotocin-induced diabetic rats

  • Authors:
    • Xiliang Guo
    • Xuezheng Liu
  • View Affiliations / Copyright

    Affiliations: Department of Human Anatomy, School of Basic Medical Sciences, Guangxi Medical University, Nanning, Guangxi 530021, P.R. China
    Copyright: © Guo et al. This is an open access article distributed under the terms of Creative Commons Attribution License.
  • Pages: 2030-2036
    |
    Published online on: June 23, 2017
       https://doi.org/10.3892/mmr.2017.6850
  • Expand metrics +
Metrics: Total Views: 0 (Spandidos Publications: | PMC Statistics: )
Metrics: Total PDF Downloads: 0 (Spandidos Publications: | PMC Statistics: )
Cited By (CrossRef): 0 citations Loading Articles...

This article is mentioned in:



Abstract

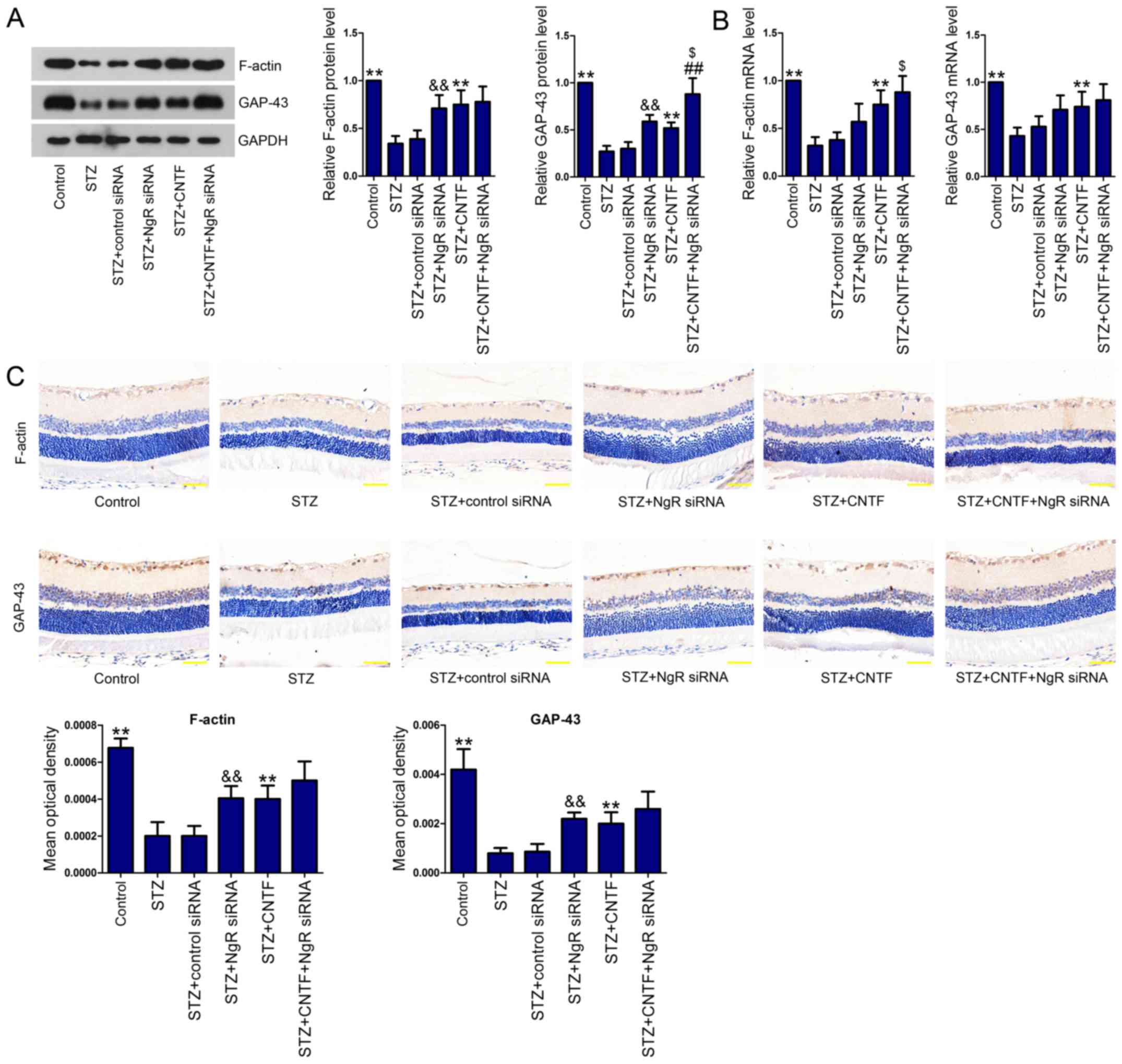
Diabetic retinopathy (DR) is a common complication of diabetes mellitus (DM). We investigated whether Nogo receptor (NgR) knockdown and ciliary neurotrophic factor (CNTF) treatment, either alone or in combination, ameliorated diabetic retinopathy (DR) in diabetic rat model. STZ‑induced diabetic rats were administrated for a total of 12 weeks with 3 µM siRNA (5 µl) once every 6 weeks and/or 1 µg CNTF weekly. The retinal tissues were excised. We measured cell number in ganglion cell layer (GCL) using H&E staining and cell apoptosis using TUNEL assay. Bax, Bcl‑2, Caspase‑3, F‑actin, GAP‑43, NgR, RhoA and Rock1 levels were then analyzed by Western blotting, Immunohistochemistry or Real‑time PCR. We found that NgR siRNA or CNTF injection alone significantly increased cell count in GCL in diabetic rats, inhibited ganglion cell apoptosis, elevated Bcl‑2, F‑actin and GAP‑43, and decreased Bax, Caspase‑3, NgR, RhoA and Rock1 levels. Combination treatment further prevented retinal ganglion cell loss, enhanced growth cone cytoskeleton and axonal regeneration, and suppressed NgR/RhoA/Rock1. Our results indicate that combination therapy has therapeutic potential for the treatment of DR.
View Figures

Figure 1

Figure 2

Figure 3

Figure 4

View References

1 

Hossain M Kawser, Dayem A Abdal, Han J, Saha S Kumar, Yang GM, Choi HY and Cho SG: Recent advances in disease modeling and drug discovery for diabetes mellitus using induced pluripotent stem cells. Int J Mol Sci. 17:2562016. View Article : Google Scholar : PubMed/NCBI

2 

Roifman I, Ghugre N, Zia MI, Farkouh ME, Zavodni A, Wright GA and Connelly KA: Diabetes is an independent predictor of right ventricular dysfunction post ST-elevation myocardial infarction. Cardiovasc Diabetol. 15:342016. View Article : Google Scholar : PubMed/NCBI

3 

Amutha A and Mohan V: Diabetes complications in childhood and adolescent onset type 2 diabetes-a review. J Diabetes Complications. 30:951–957. 2016. View Article : Google Scholar : PubMed/NCBI

4 

van den Born JC, Hammes HP, Greffrath W, van Goor H and Hillebrands JL: DFG GRK International Research Training Group 1874 Diabetic Microvascular Complications (DIAMICOM): Gasotransmitters in vascular complications of diabetes. Diabetes. 65:331–345. 2016. View Article : Google Scholar : PubMed/NCBI

5 

Kur J, Burian MA and Newman EA: Light adaptation does not prevent early retinal abnormalities in diabetic rats. Sci Rep. 6:210752016. View Article : Google Scholar : PubMed/NCBI

6 

Liu S, Lin YU and Liu X: Protective effects of SIRT1 in patients with proliferative diabetic retinopathy via the inhibition of IL-17 expression. Exp Ther Med. 11:257–262. 2016.PubMed/NCBI

7 

He K, Lv W, Zhang Q, Wang Y, Tao L and Liu D: Gene set enrichment analysis of pathways and transcription factors associated with diabetic retinopathy using a microarray dataset. Int J Mol Med. 36:103–112. 2015.PubMed/NCBI

8 

Nashine S, Liu Y, Kim BJ, Clark AF and Pang IH: Role of C/EBP homologous protein in retinal ganglion cell death after ischemia/reperfusion injury. Invest Ophthalmol Vis Sci. 56:221–231. 2014. View Article : Google Scholar : PubMed/NCBI

9 

Wang W, Chan A, Qin Y, Kwong JM, Caprioli J, Levinson R, Chen L and Gordon LK: Programmed cell death-1 is expressed in large retinal ganglion cells and is upregulated after optic nerve crush. Exp Eye Res. 140:1–9. 2015. View Article : Google Scholar : PubMed/NCBI

10 

Seidel JL, Faideau M, Aiba I, Pannasch U, Escartin C, Rouach N, Bonvento G and Shuttleworth CW: Ciliary neurotrophic factor (CNTF) activation of astrocytes decreases spreading depolarization susceptibility and increases potassium clearance. Glia. 63:91–103. 2015. View Article : Google Scholar : PubMed/NCBI

11 

Mathews MK, Guo Y, Langenberg P and Bernstein SL: Ciliary neurotrophic factor (CNTF)-mediated ganglion cell survival in a rodent model of non-arteritic anterior ischaemic optic neuropathy (NAION). Br J Ophthalmol. 99:133–137. 2015. View Article : Google Scholar : PubMed/NCBI

12 

Aizu Y, Katayama H, Takahama S, Hu J, Nakagawa H and Oyanagi K: Topical instillation of ciliary neurotrophic factor inhibits retinal degeneration in streptozotocin-induced diabetic rats. Neuroreport. 14:2067–2071. 2003. View Article : Google Scholar : PubMed/NCBI

13 

Wang Y, Wang D and Guo D: MiR-124 promote neurogenic transdifferentiation of adipose derived mesenchymal stromal cells partly through RhoA/ROCK1, but Not ROCK2 signaling pathway. PLoS One. 11:e01466462016. View Article : Google Scholar : PubMed/NCBI

14 

Rigassi L, Bozzolo F Barchiesi, Lucchinetti E, Zaugg M, Fingerle J, Rosselli M, Imthurn B, Jackson EK and Dubey RK: 2-Methoxyestradiol blocks the RhoA/ROCK1 pathway in human aortic smooth muscle cells. Am J Physiol Endocrinol Metab. 309:E995–E1007. 2015. View Article : Google Scholar : PubMed/NCBI

15 

Lu QY, Chen W, Lu L, Zheng Z and Xu X: Involvement of RhoA/ROCK1 signaling pathway in hyperglycemia-induced microvascular endothelial dysfunction in diabetic retinopathy. Int J Clin Exp Pathol. 7:7268–7277. 2014.PubMed/NCBI

16 

Cao Y, Dong YX, Xu J, Chu GL, Yang ZH and Liu YM: Spatiotemporal expression of Nogo-66 receptor after focal cerebral ischemia. Neural Regen Res. 11:132–136. 2016. View Article : Google Scholar : PubMed/NCBI

17 

Liu X, Zuo Z, Liu W, Wang Z, Hou Y, Fu Y and Han Y: Upregulation of Nogo receptor expression induces apoptosis of retinal ganglion cells in diabetic rats. Neural Regen Res. 9:815–820. 2014. View Article : Google Scholar : PubMed/NCBI

18 

Martin PM, Roon P, van Ells TK, Ganapathy V and Smith SB: Death of retinal neurons in streptozotocin-induced diabetic mice. Invest Ophthalmol Vis Sci. 45:3330–3336. 2004. View Article : Google Scholar : PubMed/NCBI

19 

Galan A, Dergham P, Escoll P, de-la-Hera A, D'Onofrio PM, Magharious MM, Koeberle PD, Frade JM and Saragovi HU: Neuronal injury external to the retina rapidly activates retinal glia, followed by elevation of markers for cell cycle re-entry and death in retinal ganglion cells. PLoS One. 9:e1013492014. View Article : Google Scholar : PubMed/NCBI

20 

Wang DD, Zhu HZ, Li SW, Yang JM, Xiao Y, Kang QR, Li CY, Zhao Y, Zeng Y, Li Y, et al: Crude saponins of Panax notoginseng have neuroprotective effects to inhibit palmitate-triggered endoplasmic reticulum stress-associated apoptosis and loss of postsynaptic proteins in staurosporine differentiated RGC-5 retinal ganglion cells. J Agric Food Chem. 64:1528–1539. 2016. View Article : Google Scholar : PubMed/NCBI

21 

Tong S, Xiong N and Shen J: RNA interference suppression of Nogo-66 receptor prevents Nogo-66-mediated inhibition of invasion and adhesion and simultaneously increases cell apoptosis in C6 cells. Oncol Rep. 30:2171–2178. 2013.PubMed/NCBI

22 

Wang K, Xie M, Zhu L, Zhu X, Zhang K and Zhou F: Ciliary neurotrophic factor protects SH-SY5Y neuroblastoma cells against Aβ1-42-induced neurotoxicity via activating the JAK2/STAT3 axis. Folia Neuropathol. 53:226–235. 2015. View Article : Google Scholar : PubMed/NCBI

23 

Cheng CH, Cheng YP, Chang IL, Chen HY, Wu CC and Hsieh CP: Dodecyl gallate induces apoptosis by upregulating the caspase-dependent apoptotic pathway and inhibiting the expression of anti-apoptotic Bcl-2 family proteins in human osteosarcoma cells. Mol Med Rep. 13:1495–1500. 2016.PubMed/NCBI

24 

Jia HM, Li Q, Zhou C, Yu M, Yang Y, Zhang HW, Ding G, Shang H and Zou ZM: Chronic unpredictive mild stress leads to altered hepatic metabolic profile and gene expression. Sci Rep. 6:234412016. View Article : Google Scholar : PubMed/NCBI

25 

Zhang H, Xiong Z, Wang J, Zhang S, Lei L, Yang L and Zhang Z: Glucagonlike peptide1 protects cardiomyocytes from advanced oxidation protein productinduced apoptosis via the PI3K/Akt/Bad signaling pathway. Mol Med Rep. 13:1593–1601. 2016.PubMed/NCBI

26 

Zhang X, Jiang D, Jiang W, Zhao M and Gan J: Role of TLR4-Mediated PI3K/AKT/GSK-3β signaling pathway in apoptosis of rat hepatocytes. Biomed Res Int. 2015:6313262015. View Article : Google Scholar : PubMed/NCBI

27 

Foureaux G, Nogueira BS, Coutinho DC, Raizada MK, Nogueira JC and Ferreira AJ: Activation of endogenous angiotensin converting enzyme 2 prevents early injuries induced by hyperglycemia in rat retina. Braz J Med Biol Res. 48:1109–1114. 2015. View Article : Google Scholar : PubMed/NCBI

28 

Yamazaki S, Yamamoto K, de Lanerolle P and Harata M: Nuclear F-actin enhances the transcriptional activity of β-catenin by increasing its nuclear localization and binding to chromatin. Histochem Cell Biol. 145:389–399. 2016. View Article : Google Scholar : PubMed/NCBI

29 

Atkinson-Leadbeater K, Hehr CL, Johnston J, Bertolesi G and McFarlane S: EGCG stabilizes growth cone filopodia and impairs retinal ganglion cell axon guidance. Dev Dyn. 245:667–677. 2016. View Article : Google Scholar : PubMed/NCBI

30 

Zhu Q, Liu Z, Wang C, Nie L, He Y, Zhang Y, Liu X and Su G: Lentiviral-mediated growth-associated protein-43 modification of bone marrow mesenchymal stem cells improves traumatic optic neuropathy in rats. Mol Med Rep. 12:5691–5700. 2015.PubMed/NCBI

31 

Ivanov D, Dvoriantchikova G, Nathanson L, McKinnon SJ and Shestopalov VI: Microarray analysis of gene expression in adult retinal ganglion cells. FEBS Lett. 580:331–335. 2006. View Article : Google Scholar : PubMed/NCBI

32 

Benowitz LI and Routtenberg A: GAP-43: An intrinsic determinant of neuronal development and plasticity. Trends Neurosci. 20:84–91. 1997. View Article : Google Scholar : PubMed/NCBI

33 

Liu H, Liu G and Bi Y: CNTF regulates neurite outgrowth and neuronal migration through JAK2/STAT3 and PI3K/Akt signaling pathways of DRG explants with gp120-induced neurotoxicity in vitro. Neurosci Lett. 569:110–115. 2014. View Article : Google Scholar : PubMed/NCBI

34 

Huang Y, Chen JB, Yang B, Shen H, Liang JJ and Luo Q: RhoA/ROCK pathway regulates hypoxia-induced myocardial cell apoptosis. Asian Pac J Trop Med. 7:884–888. 2014. View Article : Google Scholar : PubMed/NCBI

35 

Chang J, Xie M, Shah VR, Schneider MD, Entman ML, Wei L and Schwartz RJ: Activation of Rho-associated coiled-coil protein kinase 1 (ROCK-1) by caspase-3 cleavage plays an essential role in cardiac myocyte apoptosis. Proc Natl Acad Sci USA. 103:14495–14500. 2006. View Article : Google Scholar : PubMed/NCBI

36 

Peng H, Luo P, Li Y, Wang C, Liu X, Ye Z, Li C and Lou T: Simvastatin alleviates hyperpermeability of glomerular endothelial cells in early-stage diabetic nephropathy by inhibition of RhoA/ROCK1. PLoS One. 8:e800092013. View Article : Google Scholar : PubMed/NCBI

Related Articles

  • Abstract
  • View
  • Download
  • Twitter
Copy and paste a formatted citation
Spandidos Publications style
Guo X and Liu X: Nogo receptor knockdown and ciliary neurotrophic factor attenuate diabetic retinopathy in streptozotocin-induced diabetic rats. Mol Med Rep 16: 2030-2036, 2017.
APA
Guo, X., & Liu, X. (2017). Nogo receptor knockdown and ciliary neurotrophic factor attenuate diabetic retinopathy in streptozotocin-induced diabetic rats. Molecular Medicine Reports, 16, 2030-2036. https://doi.org/10.3892/mmr.2017.6850
MLA
Guo, X., Liu, X."Nogo receptor knockdown and ciliary neurotrophic factor attenuate diabetic retinopathy in streptozotocin-induced diabetic rats". Molecular Medicine Reports 16.2 (2017): 2030-2036.
Chicago
Guo, X., Liu, X."Nogo receptor knockdown and ciliary neurotrophic factor attenuate diabetic retinopathy in streptozotocin-induced diabetic rats". Molecular Medicine Reports 16, no. 2 (2017): 2030-2036. https://doi.org/10.3892/mmr.2017.6850
Copy and paste a formatted citation
x
Spandidos Publications style
Guo X and Liu X: Nogo receptor knockdown and ciliary neurotrophic factor attenuate diabetic retinopathy in streptozotocin-induced diabetic rats. Mol Med Rep 16: 2030-2036, 2017.
APA
Guo, X., & Liu, X. (2017). Nogo receptor knockdown and ciliary neurotrophic factor attenuate diabetic retinopathy in streptozotocin-induced diabetic rats. Molecular Medicine Reports, 16, 2030-2036. https://doi.org/10.3892/mmr.2017.6850
MLA
Guo, X., Liu, X."Nogo receptor knockdown and ciliary neurotrophic factor attenuate diabetic retinopathy in streptozotocin-induced diabetic rats". Molecular Medicine Reports 16.2 (2017): 2030-2036.
Chicago
Guo, X., Liu, X."Nogo receptor knockdown and ciliary neurotrophic factor attenuate diabetic retinopathy in streptozotocin-induced diabetic rats". Molecular Medicine Reports 16, no. 2 (2017): 2030-2036. https://doi.org/10.3892/mmr.2017.6850
Follow us
  • Twitter
  • LinkedIn
  • Facebook
About
  • Spandidos Publications
  • Careers
  • Cookie Policy
  • Privacy Policy
How can we help?
  • Help
  • Live Chat
  • Contact
  • Email to our Support Team