Spandidos Publications Logo
  • About
    • About Spandidos
    • Aims and Scopes
    • Abstracting and Indexing
    • Editorial Policies
    • Reprints and Permissions
    • Job Opportunities
    • Terms and Conditions
    • Contact
  • Journals
    • All Journals
    • Oncology Letters
      • Oncology Letters
      • Information for Authors
      • Editorial Policies
      • Editorial Board
      • Aims and Scope
      • Abstracting and Indexing
      • Bibliographic Information
      • Archive
    • International Journal of Oncology
      • International Journal of Oncology
      • Information for Authors
      • Editorial Policies
      • Editorial Board
      • Aims and Scope
      • Abstracting and Indexing
      • Bibliographic Information
      • Archive
    • Molecular and Clinical Oncology
      • Molecular and Clinical Oncology
      • Information for Authors
      • Editorial Policies
      • Editorial Board
      • Aims and Scope
      • Abstracting and Indexing
      • Bibliographic Information
      • Archive
    • Experimental and Therapeutic Medicine
      • Experimental and Therapeutic Medicine
      • Information for Authors
      • Editorial Policies
      • Editorial Board
      • Aims and Scope
      • Abstracting and Indexing
      • Bibliographic Information
      • Archive
    • International Journal of Molecular Medicine
      • International Journal of Molecular Medicine
      • Information for Authors
      • Editorial Policies
      • Editorial Board
      • Aims and Scope
      • Abstracting and Indexing
      • Bibliographic Information
      • Archive
    • Biomedical Reports
      • Biomedical Reports
      • Information for Authors
      • Editorial Policies
      • Editorial Board
      • Aims and Scope
      • Abstracting and Indexing
      • Bibliographic Information
      • Archive
    • Oncology Reports
      • Oncology Reports
      • Information for Authors
      • Editorial Policies
      • Editorial Board
      • Aims and Scope
      • Abstracting and Indexing
      • Bibliographic Information
      • Archive
    • Molecular Medicine Reports
      • Molecular Medicine Reports
      • Information for Authors
      • Editorial Policies
      • Editorial Board
      • Aims and Scope
      • Abstracting and Indexing
      • Bibliographic Information
      • Archive
    • World Academy of Sciences Journal
      • World Academy of Sciences Journal
      • Information for Authors
      • Editorial Policies
      • Editorial Board
      • Aims and Scope
      • Abstracting and Indexing
      • Bibliographic Information
      • Archive
    • International Journal of Functional Nutrition
      • International Journal of Functional Nutrition
      • Information for Authors
      • Editorial Policies
      • Editorial Board
      • Aims and Scope
      • Abstracting and Indexing
      • Bibliographic Information
      • Archive
    • International Journal of Epigenetics
      • International Journal of Epigenetics
      • Information for Authors
      • Editorial Policies
      • Editorial Board
      • Aims and Scope
      • Abstracting and Indexing
      • Bibliographic Information
      • Archive
    • Medicine International
      • Medicine International
      • Information for Authors
      • Editorial Policies
      • Editorial Board
      • Aims and Scope
      • Abstracting and Indexing
      • Bibliographic Information
      • Archive
  • Articles
  • Information
    • Information for Authors
    • Information for Reviewers
    • Information for Librarians
    • Information for Advertisers
    • Conferences
  • Language Editing
Spandidos Publications Logo
  • About
    • About Spandidos
    • Aims and Scopes
    • Abstracting and Indexing
    • Editorial Policies
    • Reprints and Permissions
    • Job Opportunities
    • Terms and Conditions
    • Contact
  • Journals
    • All Journals
    • Biomedical Reports
      • Information for Authors
      • Editorial Policies
      • Editorial Board
      • Aims and Scope
      • Abstracting and Indexing
      • Bibliographic Information
      • Archive
    • Experimental and Therapeutic Medicine
      • Information for Authors
      • Editorial Policies
      • Editorial Board
      • Aims and Scope
      • Abstracting and Indexing
      • Bibliographic Information
      • Archive
    • International Journal of Epigenetics
      • Information for Authors
      • Editorial Policies
      • Editorial Board
      • Aims and Scope
      • Abstracting and Indexing
      • Bibliographic Information
      • Archive
    • International Journal of Functional Nutrition
      • Information for Authors
      • Editorial Policies
      • Editorial Board
      • Aims and Scope
      • Abstracting and Indexing
      • Bibliographic Information
      • Archive
    • International Journal of Molecular Medicine
      • Information for Authors
      • Editorial Policies
      • Editorial Board
      • Aims and Scope
      • Abstracting and Indexing
      • Bibliographic Information
      • Archive
    • International Journal of Oncology
      • Information for Authors
      • Editorial Policies
      • Editorial Board
      • Aims and Scope
      • Abstracting and Indexing
      • Bibliographic Information
      • Archive
    • Medicine International
      • Information for Authors
      • Editorial Policies
      • Editorial Board
      • Aims and Scope
      • Abstracting and Indexing
      • Bibliographic Information
      • Archive
    • Molecular and Clinical Oncology
      • Information for Authors
      • Editorial Policies
      • Editorial Board
      • Aims and Scope
      • Abstracting and Indexing
      • Bibliographic Information
      • Archive
    • Molecular Medicine Reports
      • Information for Authors
      • Editorial Policies
      • Editorial Board
      • Aims and Scope
      • Abstracting and Indexing
      • Bibliographic Information
      • Archive
    • Oncology Letters
      • Information for Authors
      • Editorial Policies
      • Editorial Board
      • Aims and Scope
      • Abstracting and Indexing
      • Bibliographic Information
      • Archive
    • Oncology Reports
      • Information for Authors
      • Editorial Policies
      • Editorial Board
      • Aims and Scope
      • Abstracting and Indexing
      • Bibliographic Information
      • Archive
    • World Academy of Sciences Journal
      • Information for Authors
      • Editorial Policies
      • Editorial Board
      • Aims and Scope
      • Abstracting and Indexing
      • Bibliographic Information
      • Archive
  • Articles
  • Information
    • For Authors
    • For Reviewers
    • For Librarians
    • For Advertisers
    • Conferences
  • Language Editing
Login Register Submit
  • This site uses cookies
  • You can change your cookie settings at any time by following the instructions in our Cookie Policy. To find out more, you may read our Privacy Policy.

    I agree
Search articles by DOI, keyword, author or affiliation
Search
Advanced Search
presentation
Molecular Medicine Reports
Join Editorial Board Propose a Special Issue
Print ISSN: 1791-2997 Online ISSN: 1791-3004
Journal Cover
January-2018 Volume 17 Issue 1

Full Size Image

Sign up for eToc alerts
Recommend to Library

Journals

International Journal of Molecular Medicine

International Journal of Molecular Medicine

International Journal of Molecular Medicine is an international journal devoted to molecular mechanisms of human disease.

International Journal of Oncology

International Journal of Oncology

International Journal of Oncology is an international journal devoted to oncology research and cancer treatment.

Molecular Medicine Reports

Molecular Medicine Reports

Covers molecular medicine topics such as pharmacology, pathology, genetics, neuroscience, infectious diseases, molecular cardiology, and molecular surgery.

Oncology Reports

Oncology Reports

Oncology Reports is an international journal devoted to fundamental and applied research in Oncology.

Experimental and Therapeutic Medicine

Experimental and Therapeutic Medicine

Experimental and Therapeutic Medicine is an international journal devoted to laboratory and clinical medicine.

Oncology Letters

Oncology Letters

Oncology Letters is an international journal devoted to Experimental and Clinical Oncology.

Biomedical Reports

Biomedical Reports

Explores a wide range of biological and medical fields, including pharmacology, genetics, microbiology, neuroscience, and molecular cardiology.

Molecular and Clinical Oncology

Molecular and Clinical Oncology

International journal addressing all aspects of oncology research, from tumorigenesis and oncogenes to chemotherapy and metastasis.

World Academy of Sciences Journal

World Academy of Sciences Journal

Multidisciplinary open-access journal spanning biochemistry, genetics, neuroscience, environmental health, and synthetic biology.

International Journal of Functional Nutrition

International Journal of Functional Nutrition

Open-access journal combining biochemistry, pharmacology, immunology, and genetics to advance health through functional nutrition.

International Journal of Epigenetics

International Journal of Epigenetics

Publishes open-access research on using epigenetics to advance understanding and treatment of human disease.

Medicine International

Medicine International

An International Open Access Journal Devoted to General Medicine.

Journal Cover
January-2018 Volume 17 Issue 1

Full Size Image

Sign up for eToc alerts
Recommend to Library

  • Article
  • Citations
    • Cite This Article
    • Download Citation
    • Create Citation Alert
    • Remove Citation Alert
    • Cited By
  • Similar Articles
    • Related Articles (in Spandidos Publications)
    • Similar Articles (Google Scholar)
    • Similar Articles (PubMed)
  • Download PDF
  • Download XML
  • View XML
Article

Astragaloside IV attenuates penicillin-induced epilepsy via inhibiting activation of the MAPK signaling pathway

  • Authors:
    • Xingming Zhu
    • Yang Chen
    • Yuping Du
    • Qi Wan
    • Yan Xu
    • Jiayu Wu
  • View Affiliations / Copyright

    Affiliations: Department of Neurology, 101st Hospital of Chinese People's Liberation Army, Wuxi, Jiangsu 214044, P.R. China
  • Pages: 643-647
    |
    Published online on: October 26, 2017
       https://doi.org/10.3892/mmr.2017.7896
  • Expand metrics +
Metrics: Total Views: 0 (Spandidos Publications: | PMC Statistics: )
Metrics: Total PDF Downloads: 0 (Spandidos Publications: | PMC Statistics: )
Cited By (CrossRef): 0 citations Loading Articles...

This article is mentioned in:



Abstract

Astrocytes perform several functions in the brain and spinal cord. Penicillin is commonly used for establishment of experimental epilepsy models. Previous studies have demonstrated that astragaloside IV (3-o-β-d-xylopyranosyl-6-o-β-d-glucopyranosyl-cycloastragenol; AS‑IV) has comprehensive pharmacological functions on the attenuation of inflammation. In the present study, primary astrocyte cell cultures were divided into three groups: Control group, penicillin (2,500 µM) treatment group (epilepsy model), and penicillin+AS‑IV (20, 40, 80 and 160 µmol/l) treatment group. The expression levels of inflammatory factors, including interleukin‑1β and tumor necrosis factor‑α, were determined in the groups using western blot and reverse transcription‑quantitative polymerase chain reaction analyses. The levels of members of the phosphorylated‑mitogen‑activated protein kinase (p‑MAPK) family, including p‑c‑Jun N‑terminal kinase 1/2, p‑extracellular signal‑regulated protein kinase 1/2 and p‑p38, were determined using western blot analysis. Cell viability of the astrocytes was detected using a 3‑(4,5‑dimethyl‑2‑thiazolyl)‑2,5‑diphenyl‑2‑H‑tetrazolium bromide assay and cell proliferation was evaluated using a Cell Counting Kit‑8 assay. The results revealed that AS‑IV significantly suppressed the expression of penicillin‑induced inflammatory factors in the astrocytes at the transcriptional and translational levels, and occurred in a dose‑dependent manner. The penicillin‑induced increase in the protein levels of the the p‑MAPK family were notably decreased by AS‑IV. In addition, the penicillin‑induced downregulation of primary astrocyte viability/cell proliferation was significantly reversed by the administration of AS‑IV. From these results, it was concluded that AS‑IV suppressed the penicillin‑induced upregulation of inflammatory factors and p‑MAPK in astrocytes, ultimately attenuating epilepsy.

Introduction

As a group of neurological diseases, epilepsy is characterized by epileptic seizures (1,2). Worldwide, ~1% (65,000,000 individuals) of the population suffer with epilepsy (3), with almost 80% of new cases occurring in developing countries (4). In 2013, the mortality rate was ~116,000, which was an increase from 112,000 in 1990 (5).

Astrocytes initiate, regulate and amplify immune-mediated mechanisms, and are associated with several diseases of the human central nervous system, including epilepsy (6,7). In vitro studies have documented the ability of astrocytes, particularly active astrocytes, to produce cytokines, including interleukin (IL)-1β and tumor necrosis factor (TNF)-α, which are expressed at high levels in experimental and human epileptogenic brain tissues (8,9).

As a common antibiotic, penicillin functions as a chemical convulsant for the establishment of an experimental epilepsy model (10,11). At least 100–5,000 µM penicillin is required to inhibit GABA (12).

It is understood that astragaloside IV (3-o-β-d-xylopyranosyl-6-o-β-d-glucopyranosyl-cycloastragenol; AS-IV), the primary pure saponin isolated from the root of Astragalus membranaceus, is an effective compound with distinct pharmacological effects, including anti-inflammatory effects (13,14). To the best of our knowledge, the protective effects of AS-IV on epilepsy remain to be elucidated, therefore, the present study aimed to investigate the effect of AS-IV in a primary astrocyte model of penicillin-induced epilepsy.

Materials and methods

Cell culture

Primary astrocytes were derived from 1–5 day postnatal Sprague-Dawley male rats (n=10). Neonatal rats were purchased from the Model Animal Research Center of Nanjing University. Briefly, neonatal rats were anesthetized and sacrificed by alcohol immersion. Following removal of the meninges and blood vessels, the cerebral cortices were collected and minced in 20 µg/ml DNase and 0.3% bovine serum albumin (BSA)-containing medium (Sigma-Aldrich; Merck KGaA, Darmstadt, Germany). The animal protocol was approved by Wuxi Laboratory Animal Management and the Animal Ethics Committee. All animal experiments were carried out in accordance with the ethical guidelines of the Ethics Committee of Jiangnan University (Wuxi, China).

The tissues were digested in 0.25% trypsin/EDTA solution for 30 min at 37°C. The tissues were centrifuged (300 × g, 5 min at room temperature) and digested in 0.25% trypsin/EDTA solution for 30 min at 37°C. The suspension was filtered through a 70 µm nylon filter, pelleted by centrifugation (600 × g, 5 min at room temperature) to remove trypsin, and then suspended in 10% (v/v) fetal bovine serum (FBS; Gibco; Thermo Fisher Scientific, Inc., Waltham, MA, USA) in Dulbecco's modified Eagle's medium/F12 (DMEM/F12; Gibco; Thermo Fisher Scientific, Inc.) containing a penicillin and streptomycin antibiotic mixture. The mixture was transferred to flasks and incubated under conditions of 37°C, 5% CO2 and 90% relative humidity. When the cells reached confluence, the flasks were gently shaken to remove microglia and oligodendrocytes. Following shaking, the astrocytes were rinsed with phosphate-buffered saline (PBS) three times and trypsinized, followed by physical loosening of the astrocytes. The medium was removed and the astrocytes were placed in new flasks for culture in medium (DMEM/F12, 15% FBS, L-glutamine and 500 ng/ml insulin) until they were confluent. The cells were trypsinized for subsequent experiments.

For primary astrocyte culture, 2,500 µM (500 IU) of penicillin was used (15). Different concentrations of AST-IV (20, 40, 80 and 160 µmol/l) were administrated 2 h prior to penicillin treatment. At 12 h following treatment with penicillin, the primary astrocytes were used to perform a series of experiments.

Western blot analysis

To determine temporal expression profiles of β-actin (1:1,000, #3700, Cell Signaling Technology, Inc., Danvers, MA, USA), IL-1β (1:1,000, #5204, Cell Signaling Technology, Inc.), TNF-α (1:1,000, #11948, Cell Signaling Technology) and phosphorylated extracellular signal-regulated kinase (p-ERK, 1:1,000, #8544, Cell Signaling Technology, Inc.)/c-Jun N-terminal kinase (p-JNK, 1:2,000, #9255, Cell Signaling Technology, Inc.)/p-P38 (1:1,000, #4511, Cell Signaling Technology, Inc.) mitogen-activated protein kinases (MAPKs), the astrocyte extract lysates were collected and analyzed. Briefly, the samples were washed with PBS rapidly and homogenized in RIPA lysis buffer containing a cocktail of protease inhibitors and phosphatase inhibitors (Roche Diagnostics, Nanjing, China). Protein concentration was determined and quantified using the bicinchoninic acid (Sigma-Aldrich) method. The sample lysates (10 µg) were transferred and collected carefully for separation by 8% SDS-PAGE, following which they were electrotransferred onto polyvinylidene fluoride membranes (EMD Millipore, Bedford, MA, USA). The membranes were blocked in 5% BSA for 1 h at room temperature, and incubated overnight at 4°C with primary antibodies, respectively. Following washing with TBST, the membranes were incubated with corresponding HRP-conjugated secondary antibodies (RPN4301, GE Healthcare Life Sciences, Little Chalfont, UK) for 1 h at room temperature. β-actin was used as a loading control.

Reverse transcription-quantitative polymerase chain reaction (RT-qPCR) analysis

Total RNA was extracted by Trizol (Roche Diagnostics) method. RNA was reverse transcribed into cDNA using reverse transcriptase, in accordance with the manufacturer's protocol (Takara Biotechnology, Co., Ltd., Dalian, China). The sample used for RT-qPCR analysis comprised 2 µl cDNA, 5 µl 2X mix (Bio-Rad Laboratories, Inc., Hercules, CA, USA), 0.5 µl forward primer, 0.5 µl reverse primer and 2 µl nanopure water to a final volume of 10 µl. The conditions for amplification were as follows: 10 sec at 95°C for denaturation, 60 sec at 60°C for annealing and extension, and 40 cycles for all primers. Experiments were performed in replicate. GAPDH was used as an endogenous control to normalize differences in the quantity of total RNA from each sample. The primer sequences were as follows: IL-1β, forward 5′-TGAAATGCCACCTTTTGACAG-3′ and reverse 5′-CCACAGCCACAATGAGTGATAC-3′; TNF-α, forward 5′-CCTGTCTCTTCCTACCCAACC-3′ and reverse 5′-GCAGGAGTGTCCGTGTCTTC-3′; GAPDH, forward 5′-CTTTGGTATCGTGGAAGGACTC-3′ and reverse 5′-GTAGAGGCAGGGATGATGTTCT-3′. The comparative Cq (2−∆∆Cq) method was used to analyze the relative expression levels (16).

3-(4,5-dimethyl-2-thiazolyl)-2,5-diphenyl-2-H-tetrazolium bromide (MTT) assay

Cell viability was measured using an MTT assay. The cells (~200 µl) at a concentration of 1×104/ml were seeded into 96-well plates. Following incubation for 24 h, 20 µl of 5 mg/ml MTT solution was added to each well and the plate was incubated at 37°C for 4 h. Subsequently, the medium was aspirated, the wells were washed with PBS and allowed to dry for ~4 h, following which 150 µl DMSO was added to each well. The microtitre plate was placed on a shaker in order to dissolve the dye and absorbance was read at 450 nm using a Bio-Rad iMark plate reader (Bio-Rad Laboratories, Inc.).

Cell Counting Kit-8 (CCK-8) assay

The numbers of cells were measured using a CCK-8 kit (Dojindo Molecular Technologies, Inc., Kumamoto, Japan). The cells (~5×103) cells were seeded into 96-well plates. Into each well, 10 µl CCK-8 solution was added and the cells were incubated at 37°C for 2 h. The absorbance was read at 450 nm using a Bio-Rad iMark plate reader.

Statistical analysis

Differences among groups were analyzed using two-way analysis of variance followed by Bonferroni post hoc tests. Data were analyzed by SPSS software version 19.0 (IBM SPSS, Armonk, NY, USA) and presented as mean ± standard error of the mean. P<0.05 was considered to indicate a statistically significant difference.

Results

AS-IV significantly suppresses the translation of penicillin-induced inflammatory factors of primary astrocytes in a dose-dependent manner

Penicillin upregulated the protein levels of TNF-α and IL-1β, whereas AS-IV (20, 40, 80 and 160 µmol/l) dose-dependently suppressed the penicillin-induced upregulation in inflammatory factors (Fig. 1).

Figure 1.

AS-IV dose-dependently suppresses penicillin-induced inflammatory factor upregulation at the protein level. Penicillin upregulated the protein levels of TNF-α and IL-1β. AS-IV (20, 40, 80 and 160 µmol/l) dose-dependently suppressed the penicillin-induced increase in inflammatory factors. AS-IV, astragaloside IV; TNF-tumor necrosis factor-α; IL-1β, interleukin-1β.

AS-IV significantly suppresses the transcription of penicillin-induced inflammatory factors of primary astrocytes in a dose-dependent manner

The changes in the transcription of inflammatory factors were consistent with those at the translational level. Only the higher doses of AS-IV (40, 80 and 160 µmol/l) notably reduced the penicillin-induced upregulation of inflammatory factors (Fig. 2A and B).

Figure 2.

AS-IV dose-dependently suppresses penicillin-induced inflammatory factor elevation at the mRNA level. Penicillin upregulated the mRNA levels of (A) TNF-α and (B) IL-1β. Only higher doses of AS-IV (40, 80 and 160 µmol/l) notably reduced the penicillin-induced upregulation in inflammatory factors (Fig. 2B). **P<0.01 penicillin group, vs. control group; ##P<0.01 AS-IV+penicillin group, vs. penicillin group. AS-IV, astragaloside IV; TNF-tumor necrosis factor-α; IL-1β, interleukin-1β; qPCR, quantitative polymerase chain reaction.

Penicillin-induced protein levels of the p-MAPK family are decreased by AS-IV

AS-IV selectively reduced the penicillin-induced p-JNK and p-p38 MAPKs, but not p-ERK (Fig. 3).

Figure 3.

Penicillin-induced elevation in protein levels of the p-MAPK family are decreased by AS-IV. AS-IV selectively reduced the penicillin-induced upregulation of p-JNK and p-p38 MAPK, but not p-ERK. AS-IV, astragaloside IV; p-, phosphorylated; MAPK, mitogen-activated protein kinase; JNK, c-Jun N-terminal kinase; ERK, extracellular signal-regulated kinase.

Penicillin-induced downregulation of primary astrocyte viability is significantly increased following administration of AS-IV

The MTT assay revealed that, compared with the control group, the viability of the primary astrocytes in the penicillin-induced group was markedly downregulated. In addition, administration with the higher doses of AS-IV (40, 80 and 160 µmol/l) significantly increased cell viability (Fig. 4).

Figure 4.

Penicillin-induced downregulation of primary astrocyte viability is significantly elevated by administration of AS-IV. Compared with the control group, cell viability of primary astrocytes in the penicillin group was downregulated. Higher doses of AS-IV (40, 80 and 160 µmol/l) rescued cell viability. *P<0.01 penicillin group, vs. control group; #P<0.01 AS-IV+penicillin group, vs. penicillin group. AS-IV, astragaloside IV.

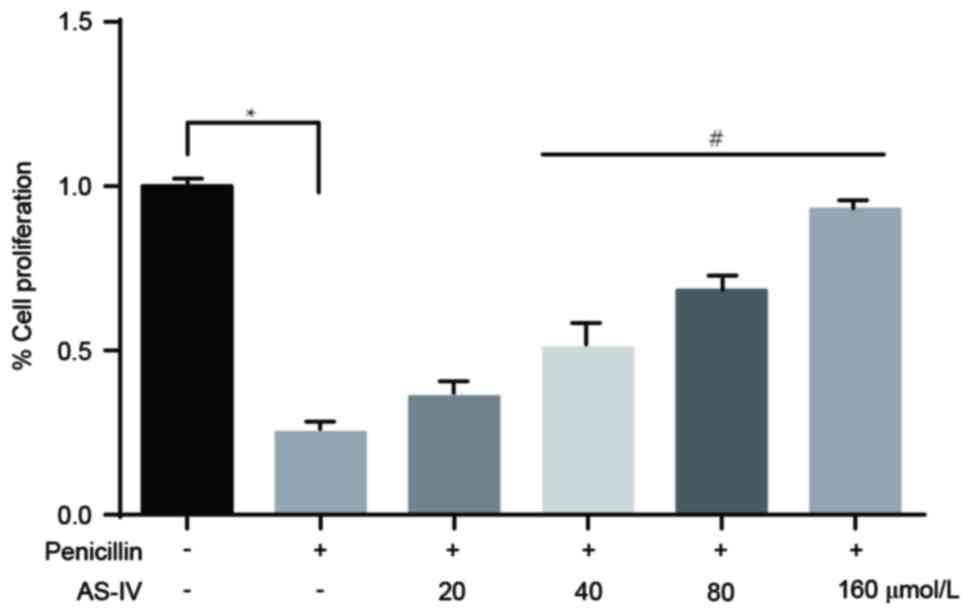
Penicillin-induced downregulation of primary astrocyte numbers is significantly elevated following administration of AS-IV

The results of the CCK8 assay revealed that, compared with the control group, the number of primary astrocytes in the penicillin-induced group was markedly reduced. The administration of higher doses of AS-IV (40, 80 and 160 µmol/l) significantly reversed the penicillin-induced reduction in cell number (Fig. 5).

Figure 5.

Penicillin-induced downregulation in primary astrocyte number is significantly elevated by administration of AS-IV. Compared with the control group, the number of primary astrocytes in the penicillin group was reduced. Higher doses of AS-IV (40, 80 and 160 µmol/l) significantly reversed the penicillin-induced decrease in cell number. *P<0.01 penicillin group, vs. control group; #P<0.01 AS-IV+penicillin group, vs. penicillin group. AS-IV, astragaloside IV.

Discussion

As one of the most common serious neurological disorders (17), epilepsy is characterized by epileptic seizures (1,2) and becomes more common as people age (18,19). However, the exact mechanism underlying epilepsy remains to be elucidated (19). In normal conditions, brain electrical activity is modulated by various factors within and around neurons. Factors within neurons include the type, number and distribution of ion channels, and changes in receptor and gene expression (21). Factors around the neurons include ion concentrations, synaptic plasticity and the regulation of transmitter breakdown by glial cells (21,22).

Astrocytes initiate, regulate and amplify immune-mediated mechanisms associated with epilepsy (6,7). In vitro studies have confirmed the ability of active astrocytes to produce cytokines, including IL-1β and TNF-α, which are expressed at high levels in experimental and human epileptogenic brain tissues (8,9). Reactive astrogliosis was found to be a pathological hallmark of medically refractory epilepsy (23). Increasing evidence supports the hypothesis that activation of the innate immune response is involved in experimental and human epilepsy, and in the critical association of the inflammatory process in the etiopathogenesis of seizures (8,24). Vezzani et al further examined the role of inflammation in epilepsy (25). The aim of the present study was to identify a novel method to attenuate epilepsy via inhibiting the inflammatory pathway.

AS-IV is an effective compound with distinct pharmacological anti-inflammatory effects (13,14), however, the role of AS-IV in epilepsy remains to be fully elucidated. Penicillin has been demonstrated to function as a convulsant for the establishment of experimental epilepsy models (10,11). The present study examined the effect of AS-IV against penicillin-induced epilepsy in primary astrocytes.

In the present study, penicillin was used to induce epilepsy in Primary astrocytes from SD rats, and the protein and mRNA levels of TNF-α and IL-1β were examined in different groups to investigate whether the model was successfully established. The results revealed that penicillin upregulated the protein and mRNA levels of TNF-α and IL-1β, which were consistent with the results of previous studies showing the upregulation of pro-inflammatory cytokines (25,26). The present study then examined whether AS-IV (20, 40, 80 and 160 µmol/l) had effects on the levels of inflammatory factors using western blot and RT-qPCR analyses. The results revealed that AS-IV dose-dependently suppressed the penicillin-induced increase in inflammatory factors. These results suggested that the effects of AS-IV on ameliorating epilepsy were dependent on the reduced release of inflammatory factors from the cultured cells. These findings were consistent with previous studies. For example, it has been reported that transgenic mice with low-moderate overexpression of TNF-α in astrocytes exhibit reduced susceptibility to seizures (27), and mice lacking caspase-1, which is the biosynthetic enzyme of IL-1β, are unable to release the biologically active form of IL-1β and also exhibit reduced seizure susceptibility (28). However, which proteins are involved in this process remain to be elucidated, and the present study performed further experiments to investigate this.

TNF-α is a cytokine released from activated astrocytes and microglia, and is closely associated with IL-1β. In the hippocampus, IL-1β affects synaptic transmission, and inhibits long-term potentiation via the activation of JNK and p38 MAPK (29,30). Therefore, the present study performed western blot analysis to examine the levels of p-MAPK in different groups. The results revealed that AS-IV decreased the penicillin-induced upregulation of p-p38 and p-JNK, which was in line with the results of previous studies (29,30).

Taken together, the above results led to the conclusion that AS-IV suppressed penicillin-induced inflammatory factor release, and suppressed activation of the p-p38 and p-JNK MAPK signaling pathway.

It has been reported that cytokines have the ability to contribute to excitotoxic and apoptotic neuronal death (31), indicating the possibility of generating seizure-mediated neuronal damage. Therefore, the present study examined the effects of AS-IV on Primary astrocytes from SD rats. An MTT assay was performed, which revealed that the higher doses of AS-IV improved the viability of the primary astrocytes from SD rats. The effects of AS-IV on the proliferation of primary astrocytes were also determined using a CCK8 assay, the results of which were consistent with those of cell viability. Taken together, the results of the present study demonstrated that AS-IV suppressed the penicillin-induced release of inflammatory factors and suppressed activation of the MAPK signaling pathway, ultimately attenuating epilepsy. These findings provide a basis for further investigations of the therapeutic role of AS-IV in epilepsy via targeting astrocytes.

References

1 

Chang BS and Lowenstein DH: Epilepsy. N Engl J Med. 349:1257–1266. 2003. View Article : Google Scholar : PubMed/NCBI

2 

Fisher RS, Acevedo C, Arzimanoglou A, Bogacz A, Cross JH, Elger CE, Engel J Jr, Forsgren L, French JA, Glynn M, et al: ILAE Official Report: A practical clinical definition of epilepsy. Epilepsia. 55:475–482. 2014. View Article : Google Scholar : PubMed/NCBI

3 

Thurman DJ, Beghi E, Begley CE, Berg AT, Buchhalter JR, Ding D, Hesdorffer DC, Hauser WA, Kazis L, Kobau R, et al: Standards for epidemiologic studies and surveillance of epilepsy. Epilepsia. 52 Suppl 7:S2–S26. 2011. View Article : Google Scholar

4 

EpilepsyFact Sheets. World Health Organization; 2012

5 

GBD 2013 Mortality and Causes of Death Collaborators: regional, and national age-sex specific all-cause and cause-specific mortality for 240 causes of death, 1990–2013: A systematic analysis for the Global Burden of Disease Study 2013. Lancet. 385:117–171. 2013.

6 

Farina C, Aloisi F and Meinl E: Astrocytes are active players in cerebral innate immunity. Trends Immunol. 28:138–145. 2007. View Article : Google Scholar : PubMed/NCBI

7 

Seifert G, Carmignoto G and Steinhäuser C: Astrocyte dysfunction in epilepsy. Brain Res Rev. 63:212–221. 2010. View Article : Google Scholar : PubMed/NCBI

8 

Aronica E and Crino PB: Inflammation in epilepsy: Clinical observations. Epilepsia. 52 Suppl 3:S26–S32. 2011. View Article : Google Scholar

9 

Vezzani A, Ravizza T, Balosso S and Aronica E: Glia as a source of cytokines: Implications for neuronal excitability and survival. Epilepsia. 49 Suppl 2:S24–S32. 2008. View Article : Google Scholar

10 

Bizière K and Chambon JP: Animal models of epilepsy and experimental seizures. Rev Neurol (Paris). 143:329–340. 1987.(In French). PubMed/NCBI

11 

Fisher RS: Animal models of the epilepsies. Brain Res Brain Res Rev. 14:245–278. 1989. View Article : Google Scholar : PubMed/NCBI

12 

Twyman RE, Green RM and MacDonald RL: Kinetics of open channel block by penicillin of single GABAA receptor channels from mouse spinal cord neurons in culture. J Physiol. 445:97–127. 1992. View Article : Google Scholar : PubMed/NCBI

13 

Qiu YY, Zhu JX, Bian T, Gao F, Qian XF, Du Q, Yuan MY, Sun h, Shi LZ and Yu H: Protective effects of Astragaloside IV against ovalbumin-induced lung inflammation are regulated/mediated by T-bet/GATA-3. Pharmacol. 94:51–59. 2014. View Article : Google Scholar

14 

Qiu L, Yin G, Cheng L, Fan Y, Xiao W, Yu G, Xing M, Jia R, Sun R, Ma X, et al: Astragaloside IV ameliorates acute pancreatitis in rats by inhibiting the activation of nuclear factor-κB. Int J Mol Med. 35:625–636. 2015. View Article : Google Scholar : PubMed/NCBI

15 

Özdemir MB, Akça H, Erdoğan Ç, Tokgün O, Demiray A, Semin F and Becerir C: Protective effect of insulin and glucose at different concentrations on penicillin-induced astrocyte death on the primer astroglial cell line. Neural Regen Res. 7:1895–1899. 2012.PubMed/NCBI

16 

Livak KJ and Schmittgen TD: Analysis of relative gene expression data using real-time quantitative PCR and the 2(-Delta Delta C(T)) method. Methods. 25:402–408. 2001. View Article : Google Scholar : PubMed/NCBI

17 

Hirtz D, Thurman DJ, Gwinn-Hardy K, Mohamed M, Chaudhuri AR and Zalutsk R: How common are the ‘common’ neurologic disorders? Neurol. 68:326–337. 2007. View Article : Google Scholar

18 

Brodie MJ, Elder AT and Kwan P: Epilepsy in later life. Lancet Neurol. 8:1019–1030. 2009. View Article : Google Scholar : PubMed/NCBI

19 

Holmes, Thomas R. Browne and Gregory L: Handbook of epilepsy. 4th edition. Philadelphia: Lippincott Williams & Wilkins; pp. 7ISBN 978-0-7817-7397-3. 2008

20 

Noebels JL, Avoli M, Rogawski MA, et al: Jasper's Basic Mechanisms of the Epilepsies. Oxford University Press; pp. 466–470. 2012

21 

Bromfield EB, Cavazos JE and Sirven JI: An introduction to epilepsy. American Epilepsy Society. 2006.

22 

Blumenfeld H: Cellular and network mechanisms of spike-wave seizures. Epilepsia. 46:21–33. 2005. View Article : Google Scholar : PubMed/NCBI

23 

Sofroniew MV and Vinters HV: Astrocytes: Biology and pathology. Acta Neuropathol. 119:7–35. 2010. View Article : Google Scholar : PubMed/NCBI

24 

Vezzani A, Maroso M, Balosso S, Sanchez MA and Bartfai T: IL-1 receptor/Toll-like receptor signaling in infection, inflammation, stress and neurodegeneration couples hyperexcitability and seizures. Brain Behav Immun. 25:1281–1289. 2011. View Article : Google Scholar : PubMed/NCBI

25 

Vezzani A, French J, Bartfai T and Baram TZ: The role of inflammation in epilepsy. Nat Rev Neurol. 7:31–40. 2011. View Article : Google Scholar : PubMed/NCBI

26 

Vezzani A, Balosso S and Ravizza T: The role of cytokines in the pathophysiology of epilepsy. Brain Behav Immun. 22:797–803. 2008. View Article : Google Scholar : PubMed/NCBI

27 

Balosso S, Ravizza T, Perego C, Peschon J, Campbell IL, De Simoni MG and Vezzani A: Tumor necrosis factor-alpha inhibits seizures in mice via p75 receptors. Ann Neurol. 57:804–812. 2005. View Article : Google Scholar : PubMed/NCBI

28 

Ravizza T, Lucas SM, Balosso S, Bernardino L, Ku G, Noé F, Malva J, Randle JC, Allan S and Vezzani A: Inactivation of caspase-1 in rodent brain: A novel anticonvulsive strategy. Epilepsia. 47:1160–1168. 2006. View Article : Google Scholar : PubMed/NCBI

29 

Bellinger FP, Madamba S and Siggins GR: Interleukin 1 beta inhibits synaptic strength and long-term potentiation in the rat CA1 hippocampus. Brain Res. 628:227–234. 1993. View Article : Google Scholar : PubMed/NCBI

30 

Schneider H, Pitossi F, Balschun D, Wagner A, del Rey A and Besedovsky H: A neuromodulatory role of interleukin-1beta in the hippocampus. Ann NY Acad Sci. 95:7778–7783. 1998. View Article : Google Scholar

31 

Allan SM, Tyrrell PJ and Rothwell NJ: Interleukin-1 and neuronal injury. Nat Rev Immunol. 5:629–640. 2005. View Article : Google Scholar : PubMed/NCBI

Related Articles

  • Abstract
  • View
  • Download
  • Twitter
Copy and paste a formatted citation
Spandidos Publications style
Zhu X, Chen Y, Du Y, Wan Q, Xu Y and Wu J: Astragaloside IV attenuates penicillin-induced epilepsy via inhibiting activation of the MAPK signaling pathway. Mol Med Rep 17: 643-647, 2018.
APA
Zhu, X., Chen, Y., Du, Y., Wan, Q., Xu, Y., & Wu, J. (2018). Astragaloside IV attenuates penicillin-induced epilepsy via inhibiting activation of the MAPK signaling pathway. Molecular Medicine Reports, 17, 643-647. https://doi.org/10.3892/mmr.2017.7896
MLA
Zhu, X., Chen, Y., Du, Y., Wan, Q., Xu, Y., Wu, J."Astragaloside IV attenuates penicillin-induced epilepsy via inhibiting activation of the MAPK signaling pathway". Molecular Medicine Reports 17.1 (2018): 643-647.
Chicago
Zhu, X., Chen, Y., Du, Y., Wan, Q., Xu, Y., Wu, J."Astragaloside IV attenuates penicillin-induced epilepsy via inhibiting activation of the MAPK signaling pathway". Molecular Medicine Reports 17, no. 1 (2018): 643-647. https://doi.org/10.3892/mmr.2017.7896
Copy and paste a formatted citation
x
Spandidos Publications style
Zhu X, Chen Y, Du Y, Wan Q, Xu Y and Wu J: Astragaloside IV attenuates penicillin-induced epilepsy via inhibiting activation of the MAPK signaling pathway. Mol Med Rep 17: 643-647, 2018.
APA
Zhu, X., Chen, Y., Du, Y., Wan, Q., Xu, Y., & Wu, J. (2018). Astragaloside IV attenuates penicillin-induced epilepsy via inhibiting activation of the MAPK signaling pathway. Molecular Medicine Reports, 17, 643-647. https://doi.org/10.3892/mmr.2017.7896
MLA
Zhu, X., Chen, Y., Du, Y., Wan, Q., Xu, Y., Wu, J."Astragaloside IV attenuates penicillin-induced epilepsy via inhibiting activation of the MAPK signaling pathway". Molecular Medicine Reports 17.1 (2018): 643-647.
Chicago
Zhu, X., Chen, Y., Du, Y., Wan, Q., Xu, Y., Wu, J."Astragaloside IV attenuates penicillin-induced epilepsy via inhibiting activation of the MAPK signaling pathway". Molecular Medicine Reports 17, no. 1 (2018): 643-647. https://doi.org/10.3892/mmr.2017.7896
Follow us
  • Twitter
  • LinkedIn
  • Facebook
About
  • Spandidos Publications
  • Careers
  • Cookie Policy
  • Privacy Policy
How can we help?
  • Help
  • Live Chat
  • Contact
  • Email to our Support Team