Spandidos Publications Logo
  • About
    • About Spandidos
    • Aims and Scopes
    • Abstracting and Indexing
    • Editorial Policies
    • Reprints and Permissions
    • Job Opportunities
    • Terms and Conditions
    • Contact
  • Journals
    • All Journals
    • Oncology Letters
      • Oncology Letters
      • Information for Authors
      • Editorial Policies
      • Editorial Board
      • Aims and Scope
      • Abstracting and Indexing
      • Bibliographic Information
      • Archive
    • International Journal of Oncology
      • International Journal of Oncology
      • Information for Authors
      • Editorial Policies
      • Editorial Board
      • Aims and Scope
      • Abstracting and Indexing
      • Bibliographic Information
      • Archive
    • Molecular and Clinical Oncology
      • Molecular and Clinical Oncology
      • Information for Authors
      • Editorial Policies
      • Editorial Board
      • Aims and Scope
      • Abstracting and Indexing
      • Bibliographic Information
      • Archive
    • Experimental and Therapeutic Medicine
      • Experimental and Therapeutic Medicine
      • Information for Authors
      • Editorial Policies
      • Editorial Board
      • Aims and Scope
      • Abstracting and Indexing
      • Bibliographic Information
      • Archive
    • International Journal of Molecular Medicine
      • International Journal of Molecular Medicine
      • Information for Authors
      • Editorial Policies
      • Editorial Board
      • Aims and Scope
      • Abstracting and Indexing
      • Bibliographic Information
      • Archive
    • Biomedical Reports
      • Biomedical Reports
      • Information for Authors
      • Editorial Policies
      • Editorial Board
      • Aims and Scope
      • Abstracting and Indexing
      • Bibliographic Information
      • Archive
    • Oncology Reports
      • Oncology Reports
      • Information for Authors
      • Editorial Policies
      • Editorial Board
      • Aims and Scope
      • Abstracting and Indexing
      • Bibliographic Information
      • Archive
    • Molecular Medicine Reports
      • Molecular Medicine Reports
      • Information for Authors
      • Editorial Policies
      • Editorial Board
      • Aims and Scope
      • Abstracting and Indexing
      • Bibliographic Information
      • Archive
    • World Academy of Sciences Journal
      • World Academy of Sciences Journal
      • Information for Authors
      • Editorial Policies
      • Editorial Board
      • Aims and Scope
      • Abstracting and Indexing
      • Bibliographic Information
      • Archive
    • International Journal of Functional Nutrition
      • International Journal of Functional Nutrition
      • Information for Authors
      • Editorial Policies
      • Editorial Board
      • Aims and Scope
      • Abstracting and Indexing
      • Bibliographic Information
      • Archive
    • International Journal of Epigenetics
      • International Journal of Epigenetics
      • Information for Authors
      • Editorial Policies
      • Editorial Board
      • Aims and Scope
      • Abstracting and Indexing
      • Bibliographic Information
      • Archive
    • Medicine International
      • Medicine International
      • Information for Authors
      • Editorial Policies
      • Editorial Board
      • Aims and Scope
      • Abstracting and Indexing
      • Bibliographic Information
      • Archive
  • Articles
  • Information
    • Information for Authors
    • Information for Reviewers
    • Information for Librarians
    • Information for Advertisers
    • Conferences
  • Language Editing
Spandidos Publications Logo
  • About
    • About Spandidos
    • Aims and Scopes
    • Abstracting and Indexing
    • Editorial Policies
    • Reprints and Permissions
    • Job Opportunities
    • Terms and Conditions
    • Contact
  • Journals
    • All Journals
    • Biomedical Reports
      • Information for Authors
      • Editorial Policies
      • Editorial Board
      • Aims and Scope
      • Abstracting and Indexing
      • Bibliographic Information
      • Archive
    • Experimental and Therapeutic Medicine
      • Information for Authors
      • Editorial Policies
      • Editorial Board
      • Aims and Scope
      • Abstracting and Indexing
      • Bibliographic Information
      • Archive
    • International Journal of Epigenetics
      • Information for Authors
      • Editorial Policies
      • Editorial Board
      • Aims and Scope
      • Abstracting and Indexing
      • Bibliographic Information
      • Archive
    • International Journal of Functional Nutrition
      • Information for Authors
      • Editorial Policies
      • Editorial Board
      • Aims and Scope
      • Abstracting and Indexing
      • Bibliographic Information
      • Archive
    • International Journal of Molecular Medicine
      • Information for Authors
      • Editorial Policies
      • Editorial Board
      • Aims and Scope
      • Abstracting and Indexing
      • Bibliographic Information
      • Archive
    • International Journal of Oncology
      • Information for Authors
      • Editorial Policies
      • Editorial Board
      • Aims and Scope
      • Abstracting and Indexing
      • Bibliographic Information
      • Archive
    • Medicine International
      • Information for Authors
      • Editorial Policies
      • Editorial Board
      • Aims and Scope
      • Abstracting and Indexing
      • Bibliographic Information
      • Archive
    • Molecular and Clinical Oncology
      • Information for Authors
      • Editorial Policies
      • Editorial Board
      • Aims and Scope
      • Abstracting and Indexing
      • Bibliographic Information
      • Archive
    • Molecular Medicine Reports
      • Information for Authors
      • Editorial Policies
      • Editorial Board
      • Aims and Scope
      • Abstracting and Indexing
      • Bibliographic Information
      • Archive
    • Oncology Letters
      • Information for Authors
      • Editorial Policies
      • Editorial Board
      • Aims and Scope
      • Abstracting and Indexing
      • Bibliographic Information
      • Archive
    • Oncology Reports
      • Information for Authors
      • Editorial Policies
      • Editorial Board
      • Aims and Scope
      • Abstracting and Indexing
      • Bibliographic Information
      • Archive
    • World Academy of Sciences Journal
      • Information for Authors
      • Editorial Policies
      • Editorial Board
      • Aims and Scope
      • Abstracting and Indexing
      • Bibliographic Information
      • Archive
  • Articles
  • Information
    • For Authors
    • For Reviewers
    • For Librarians
    • For Advertisers
    • Conferences
  • Language Editing
Login Register Submit
  • This site uses cookies
  • You can change your cookie settings at any time by following the instructions in our Cookie Policy. To find out more, you may read our Privacy Policy.

    I agree
Search articles by DOI, keyword, author or affiliation
Search
Advanced Search
presentation
Molecular Medicine Reports
Join Editorial Board Propose a Special Issue
Print ISSN: 1791-2997 Online ISSN: 1791-3004
Journal Cover
January-2018 Volume 17 Issue 1

Full Size Image

Sign up for eToc alerts
Recommend to Library

Journals

International Journal of Molecular Medicine

International Journal of Molecular Medicine

International Journal of Molecular Medicine is an international journal devoted to molecular mechanisms of human disease.

International Journal of Oncology

International Journal of Oncology

International Journal of Oncology is an international journal devoted to oncology research and cancer treatment.

Molecular Medicine Reports

Molecular Medicine Reports

Covers molecular medicine topics such as pharmacology, pathology, genetics, neuroscience, infectious diseases, molecular cardiology, and molecular surgery.

Oncology Reports

Oncology Reports

Oncology Reports is an international journal devoted to fundamental and applied research in Oncology.

Experimental and Therapeutic Medicine

Experimental and Therapeutic Medicine

Experimental and Therapeutic Medicine is an international journal devoted to laboratory and clinical medicine.

Oncology Letters

Oncology Letters

Oncology Letters is an international journal devoted to Experimental and Clinical Oncology.

Biomedical Reports

Biomedical Reports

Explores a wide range of biological and medical fields, including pharmacology, genetics, microbiology, neuroscience, and molecular cardiology.

Molecular and Clinical Oncology

Molecular and Clinical Oncology

International journal addressing all aspects of oncology research, from tumorigenesis and oncogenes to chemotherapy and metastasis.

World Academy of Sciences Journal

World Academy of Sciences Journal

Multidisciplinary open-access journal spanning biochemistry, genetics, neuroscience, environmental health, and synthetic biology.

International Journal of Functional Nutrition

International Journal of Functional Nutrition

Open-access journal combining biochemistry, pharmacology, immunology, and genetics to advance health through functional nutrition.

International Journal of Epigenetics

International Journal of Epigenetics

Publishes open-access research on using epigenetics to advance understanding and treatment of human disease.

Medicine International

Medicine International

An International Open Access Journal Devoted to General Medicine.

Journal Cover
January-2018 Volume 17 Issue 1

Full Size Image

Sign up for eToc alerts
Recommend to Library

  • Article
  • Citations
    • Cite This Article
    • Download Citation
    • Create Citation Alert
    • Remove Citation Alert
    • Cited By
  • Similar Articles
    • Related Articles (in Spandidos Publications)
    • Similar Articles (Google Scholar)
    • Similar Articles (PubMed)
  • Download PDF
  • Download XML
  • View XML
Article Open Access

D‑Tagatose inhibits the growth and biofilm formation of Streptococcus mutans

  • Authors:
    • Khaleque Hasibul
    • Haruyuki Nakayama‑Imaohji
    • Masahito Hashimoto
    • Hisashi Yamasaki
    • Takaaki Ogawa
    • Junpei Waki
    • Ayano Tada
    • Saori Yoneda
    • Masaaki Tokuda
    • Minoru Miyake
    • Tomomi Kuwahara
  • View Affiliations / Copyright

    Affiliations: Department of Oral and Maxillofacial Surgery, Faculty of Medicine, Kagawa University, Kagawa 761‑0793, Japan, Department of Microbiology, Faculty of Medicine, Kagawa University, Kagawa 761‑0793, Japan, Department of Chemistry, Biotechnology, and Chemical Engineering, Graduate School of Science and Engineering, Kagoshima University, Kagoshima 890‑0065, Japan, Department of Cellular and Molecular Medicine, Wakayama Medical University Graduate School of Medicine, Wakayama 641‑0011, Japan, Department of Cell Physiology, Faculty of Medicine, Kagawa University, Kagawa 761‑0793, Japan
    Copyright: © Hasibul et al. This is an open access article distributed under the terms of Creative Commons Attribution License.
  • Pages: 843-851
    |
    Published online on: November 8, 2017
       https://doi.org/10.3892/mmr.2017.8017
  • Expand metrics +
Metrics: Total Views: 0 (Spandidos Publications: | PMC Statistics: )
Metrics: Total PDF Downloads: 0 (Spandidos Publications: | PMC Statistics: )
Cited By (CrossRef): 0 citations Loading Articles...

This article is mentioned in:



Abstract

Dental caries is an important global health concern and Streptococcus mutans has been established as a major cariogenic bacterial species. Reports indicate that a rare sugar, D‑tagatose, is not easily catabolized by pathogenic bacteria. In the present study, the inhibitory effects of D‑tagatose on the growth and biofilm formation of S. mutans GS‑5 were examined. Monitoring S. mutans growth over a 24 h period revealed that D‑tagatose prolonged the lag phase without interfering with the final cell yield. This growth retardation was also observed in the presence of 1% sucrose, although it was abolished by the addition of D‑fructose. S. mutans biofilm formation was significantly inhibited by growth in sucrose media supplemented with 1 and 4% D‑tagatose compared with that in a culture containing sucrose alone, while S. mutans formed granular biofilms in the presence of this rare sugar. The inhibitory effect of D‑tagatose on S. mutans biofilm formation was significantly more evident than that of xylitol. Growth in sucrose media supplemented with D‑tagatose significantly decreased the expression of glucosyltransferase, exo‑β‑fructosidase and D‑fructose‑specific phosphotransferase genes but not the expression of fructosyltransferase compared with the culture containing sucrose only. The activity of cell‑associated glucosyltransferase in S. mutans was inhibited by 4% D‑tagatose. These results indicate that D‑tagatose reduces water‑insoluble glucan production from sucrose by inhibiting glucosyltransferase activities, which limits access to the free D‑fructose released during this process and retards the growth of S. mutans. Therefore, foods and oral care products containing D‑tagatose are anticipated to reduce the risk of caries by inhibiting S. mutans biofilm formation.

Introduction

Oral hygiene is an important measure for the prevention of oral diseases (dental caries and periodontitis) and a prophylactic treatment for aspiration pneumonia, type 2 diabetes mellitus (1) and cardiovascular diseases (2). Although dental caries is a worldwide health concern (3), it is preventable through appropriate interventions, especially at the early stage of life (4). However, certain groups cannot easily perform regular oral hygiene care (tooth brushing or flossing) by themselves, including critically ill patients, elderly people, and evacuees following disasters. In addition, many individuals lack the knowledge and motivation for oral hygiene care (5). An interruption of oral hygiene care results in the formation of microbial biofilms called dental plaque on the tooth surface. Biofilm formation on tooth surfaces by cariogenic bacterial communities is the initial step in the development of dental caries.

Streptococcus mutans is a primary etiological agent of dental caries (6). The major virulence traits associated with S. mutans cariogenicity are acid production from fermentable dietary carbohydrates, acid tolerance and exopolysaccharide (EPS) formation (7). Acid production promotes demineralization of tooth enamel and acid tolerance confers survival under the low pH environment within dental plaques. EPS encourages the formation of acidogenic biofilms on the tooth surface, which are bioaggregates resistant to mechanical tooth brushing. Although fluoride-based preparations protect tooth surfaces from acid attacks, their effects are limited unless they are combined with dental plaque control (8). The use of bactericidal compounds for the eradication of cariogenic bacteria is controversial because these compounds disturb the healthy oral microflora and may lead to the development of multidrug-resistant bacteria. The development of specific regulatory measures for cariogenic bacteria is expected to reduce dental plaque formation (9). A number of trials have been performed to determine whether S. mutans growth and adhesion are inhibited by various natural products, such as green tea catechins (10), cranberry constituents (11), citrus lemon oil (12) and mushroom extract (13). However, these studies did not evaluate biofilm formation.

Sugar alcohols (polyols) are alternative candidates used for the prevention of dental caries (14). Of these, xylitol is the most evaluated polyol that reduces the risk of caries (14,15). Xylitol disturbs the metabolic processes in bacteria and has a bacteriostatic effect on S. mutans by forcing the uptake and efflux of this non-cariogenic sugar alcohol (16). However, the effect of xylitol on S. mutans is reduced in the presence of other fermentable sugars (17).

Rare sugars are generally monosaccharides and their derivatives are infrequently found in nature (18). Recently, rare sugars are the focus of attention as health-supporting sugar substitutes because of their equivalent sweetness but much lower caloric content than sucrose (19). These sugars are expected to reduce calorie intake, thereby decreasing the risk of type 2 diabetes mellitus and obesity (20). The ketohexose D-tagatose has 92% of the sweetness but 38% of the calories of sucrose. D-Tagatose is not a preferential substrate for bacterial fermentation, and it has been reported that D-tagatose is not easily catabolized by many lactic acid bacteria or by pathogens including Escherichia coli O157:H7, Salmonella enterica serovar Typhimurium, Staphylococcus aureus, Bacillus cereus, and Yersinia enterocolitica (21). D-Tagatose has been demonstrated to suppress the growth of aerobic and lactic acid bacteria in chopped and formed ham, thereby extending the shelf life of these products by 7–10 days (21). These findings indicate that D-tagatose-containing foods may suppress cariogenic oral bacteria. In fact, D-tagatose has recently been reported to inhibit the acid production, growth, and water-insoluble glucan production of S. mutans GS-5 in the presence of sucrose (22).

In the present study, the effect of D-tagatose on S. mutans growth and biofilm formation was evaluated. The results revealed that D-tagatose retards S. mutans growth and reduces its biofilm formation by interfering with its sucrose utilization.

Materials and methods

Bacterial strains and growth conditions

S. mutans GS-5 (23) isolated from dental caries was used in the present study. This strain belongs to serogroup C, which is the most prevalent serogroup in the human oral cavity. A glycerol stock of S. mutans GS-5 stored at −80°C was streaked onto Brain-Heart Infusion (BHI; Difco; BD Biosciences, Franklin Lakes, NJ, USA) agar plates and cultured anaerobically at 37°C. Anaerobic cultivation was performed in an anaerobic chamber conditioned with mixed gas (N2, 80%; H2, 10%; CO2, 10%) or in an Anaeropack system using anaerobic jars (Mitsubishi Gas Chemical Company, Inc., Tokyo, Japan).

Monitoring the growth and pH of S. mutans GS-5 cultures

A fresh S. mutans GS-5 colony from a BHI agar plate was inoculated into liquid BHI and anaerobically incubated at 37°C for 24–48 h. BHI broth containing the test sugars [1 or 4% (w/v) sucrose, D-glucose, D-fructose, xylitol, D-tagatose, or their combination] were sterilized by filtration through a 0.22-µm pore filter. D-Tagatose was supplied by the Rare Sugar Center of Kagawa University (Kagawa, Japan). The 48 h S. mutans GS-5 culture was then added at 4% (v/v, 0.4 ml) to 10 ml sugar-supplemented BHI broth. Triplicate cultures were prepared for each test group, and the tubes were incubated at 37°C in an anaerobic chamber. The optical densities at 590 nm (OD590) and the pH values of the cultures were measured every 3 h for 24 h. Vortexing was performed prior to the OD590 measurement to produce a homogenous suspension. Since S. mutans GS-5 forms hard and granular EPS aggregates during growth in sucrose-supplemented BHI, these cultures were incubated with a rotating motion in the anaerobic chamber to prevent firm glucan adherence onto the glass tubes. This modification did not hamper EPS production in S. mutans GS-5. A portion of each culture (0.5 ml) was collected to check the pH using a micro-volume pH meter (LAQUA-twin Compact pH Meter; HORIBA Ltd., Kyoto, Japan). The initial pH and OD590 immediately following incubation were also measured.

Biofilm assay

S. mutans GS-5 pre-cultures were prepared by inoculating a fresh colony into 2 ml liquid BHI and incubating it at 37°C for 48 h. The test sugars (D-glucose, xylitol, or D-tagatose) were dissolved in liquid BHI containing 1% sucrose at 0.5–4.0% (w/v). As controls, liquid BHI containing 1% sucrose alone and liquid BHI without any added sugars were also prepared. The 48 h S. mutans GS-5 culture (40 µl) was mixed with 2 ml sugar solutions and 200 µl each of the mixtures was dispensed into 96 well plates. Eight wells were used for each sample. The plate was anaerobically incubated at 37°C for 72 h, then the culture media were discarded, and the layers of biofilm adhered to the bottoms of the wells were washed three times with 0.2 ml phosphate-buffered saline [PBS, (pH 7.4)]. The remaining biofilm was stained with 0.1 ml 0.01% crystal violet for 20 min at room temperature and then washed four times with 0.2 ml PBS. The remaining crystal violet was eluted with 0.2 ml 33% acetic acid with gentle agitation for 20 min at room temperature. The absorbance of the eluents was measured at 550 nm.

Scanning electron microscopy (SEM) examination

The effects of D-tagatose on S. mutans GS-5 biofilm formation were examined by SEM. Sterile plastic discs (Cell Desk, 13.5 mm in diameter; Sumitomo Bakelite Co., Ltd., Tokyo, Japan) were set in 24 well microtitre plates. The 48 h S. mutans GS-5 culture (30 µl) was mixed with 1 ml BHI containing 1% sucrose with or without xylitol (1 or 4%) or D-tagatose (1 or 4%) and 1 ml transferred into a well. Following 72 h anaerobic incubation, the biofilms formed on the discs were fixed with 2.5% glutaraldehyde in 0.1 M cacodylate buffer (pH 7.4). Following fixation, they were dehydrated in a graded ethanol series and dried in a Hitachi PCP-2 critical point drying apparatus (Hitachi, Ltd., Tokyo, Japan). The discs were coated with platinum/palladium in a Hitachi E-102 sputter coater (Hitachi, Ltd.) and examined with a JEOL JCM-6000 scanning electron microscope (JEOL, Ltd., Tokyo, Japan). Biofilm areas were measured as described by Somayaji et al (24) using the auto-selection tool based on colour in Photoshop CS6 (Adobe Systems, Inc., San Jose, CA, USA), and the ratios to the total observation field were calculated. At least five randomly selected fields were examined.

RNA isolation and reverse transcription-quantitative polymerase chain reaction (RT-qPCR)

Total RNA was extracted from mid-logarithmic phase cultures (OD590=0.4–0.6) of S. mutans GS-5 using the hot phenol method (25). RNA was further purified using an RNeasy CleanUp Kit (Qiagen GmbH, Hilden, Germany) and treated with TURBO DNA-free (Ambion; Thermo Fisher Scientific, Inc., Waltham, MA, USA) to remove contaminating DNA. Total RNA was reverse transcribed using a PrimeScript RT reagent kit (Takara Bio, Inc., Otsu, Japan) with random hexamers at 37°C for 15 min. Reverse transcription was terminated by heating the mixtures at 85°C for 5 sec. The cDNA products were subsequently amplified using SYBR Premix Ex-Taq II (Takara Bio, Inc.) under the following conditions in a StepOne plus apparatus (Applied Biosystems; Thermo Fisher Scientific, Inc.): Preheating at 95°C for 10 sec, followed by 40 cycles of 95°C for 5 sec and 60°C for 34 sec. All of the samples were run in triplicate. Threshold cycle values were normalized to the levels of 16S ribosomal RNA gene transcripts, and changes in gene expression were calculated using the 2−∆∆Cq method (26). The oligonucleotide sequences of the primers used for each target gene are listed in Table I.

Table I.

Oligonucleotide primers used for reverse transcription-quantitative polymerase chain reaction.

Table I.

Oligonucleotide primers used for reverse transcription-quantitative polymerase chain reaction.

Target geneCoding functionPrimer nameSequence (5′-3′)Amplicon (bp)
SMUGS5_04450Glucosyltransferase BGtfB-F agcaatgcagccaatctacaaat  96
GtfB-R acgaactttgccgttattgtca
SMUGS5_09145 FructosyltransferaseFtf-F aaatatgaaggcggctacaacg101
Ftf-R cttcaccagtcttagcatcctgaa
SMUGS5_08805 Fructose/Mannose-specific PTS subunit IICEII-fru/man-F aagactctctttacggtgggttc111
EII-fru/man-R agtgaaaccaacaaagaatggaa
SMUGS5_08440 Glucose/Mannose-specific PTS subunit IIABEII-glu/man-F ctaaagctgaccgtatcattgttg111
EII-glu/man-R attggtacaacattggccttgaca
SMUGS5_09220 Maltose/Glucose-specific PTS subunit IIABCEII-mal/glu-F acacaatatctttggcggtaaga105
EII-mal/glu-R cgaaaccagagataataccaacg
SMUGS5_03875Fructose-specific PTS subunit IIABCEII-fru-F tgatacttttaaggctgggatca116
EII-fru-R aaaagaaccgttgcttcctttac
SMUGS5_08275Sucrose-specific PTS subunit IIABCEII-sucF ggtgtctttggtgctctgtattc113
EII-suc-R gtcaccatgaccagtaccatttt
SMUGS5_R0989216S ribosomal RNA16SF cctacgggaggcagcagtag101
16SR caacagagctttacgatccgaaa
Preparation of cell-associated glucosyltransferase (GTF)

Cell-associated GTFs of S. mutans GS-5 were purified as previously described (27). S. mutans GS-5 was cultured in 800 ml BHI broth. Following 48 h incubation, cells were collected by centrifugation at 12,000 × g for 20 min at 4°C. The bacterial pellet was washed with 10 mM potassium phosphate buffer [KPB (pH 6.0)]. The cell-bound GTF was extracted with 5 ml, 8 M urea. The cell suspension in urea was incubated at 25°C for 1 h with periodic agitation. The supernatant was collected following centrifugation at 12,000 × g for 20 min at 4°C and dialysed for 24 h at 4°C against 10 mM KPB (pH 6.0). Following dialysis, the enzyme preparations were stored at −20°C until use.

Effects of D-tagatose on cell-associated GTF

The effects of D-tagatose on S. mutans GS-5 GTF activity were assessed in vitro by quantifying the water-insoluble glucan produced in the mixture of sucrose and the cell-associated crude enzyme prepared as described. A total of 2 ml 0.1 M KPB (pH 6.0) containing 0.1 M sucrose and 0.01% sodium azide with or without 4% D-tagatose was mixed with 1 ml enzyme preparation and incubated anaerobically at 37°C for 48 h. The water-insoluble glucan produced in the mixture was quantified by the phenol-sulfuric acid method (28). Following vortexing for 1 min, the mixtures were centrifuged (7,500 × g for 10 min at 4°C), then the pellets were washed to remove the water-soluble glucan with 1 ml PBS and subjected to a further 5 washes with distilled water (dH2O). Subsequently, the pellets were dissolved in 1 ml, 1 N NaOH and centrifuged again. The supernatant (0.5 ml) was mixed with an equal volume of 5% phenol followed by 2.5 ml sulfuric acid. After standing at room temperature for 20 min, the OD490 of the mixture was measured with a UV-VIS spectrophotometer (Shimadzu Corporation, Kyoto, Japan). The quantity of water-insoluble glucan was calculated from the standard curve of known concentrations of D-mannose.

Statistical analysis

Statistical analysis of the data was performed using StatFlex software (version 6.0; Artech Co., Ltd., Tokyo). Analysis of variance was used to compare the means of all groups, and Tukey's post hoc test was used to compare the means of each of the two groups. Dunnett's test was applied to compare the test groups with the control group. P<0.05 was considered to indicate a statistically significant difference.

Results

Effects of D-tagatose on growth of S. mutans GS-5

The effects of D-tagatose on S. mutans GS-5 growth were examined in BHI containing 1% sucrose. Sucrose enhanced S. mutans GS-5 growth compared with BHI alone (Fig. 1A), and the pH of the culture with sucrose decreased to less than 5.0 following 9 h incubation (Fig. 1B). Interestingly, D-tagatose delayed the transition of S. mutans growth to the logarithmic phase despite the presence of sucrose (Fig. 1A). Correspondingly, the pH decline of the culture was also delayed by D-tagatose compared with that in sucrose alone (Fig. 1B). This growth retardation became more evident, and entry into the stationary phase was delayed by 6 h when the D-tagatose concentration was increased to 4%; however, significant differences were not observed in the final OD590 following 24 h of cultivation (data not shown). As demonstrated in Fig. 1C and D, the S. mutans GS-5 growth delay and pH decline induced by D-tagatose was abolished when 1% D-fructose, but not D-glucose, was added to BHI containing 1% sucrose. These results indicate that the rare sugar D-tagatose inhibits sucrose catabolism in S. mutans GS-5.

Figure 1.

Effects of D-tagatose on Streptococcus mutans GS-5 growth in the presence of sucrose. The data are mean of three repeats. (A) OD590 and (B) pH values of cultures grown in BHI (closed diamonds), BHI containing 1% sucrose (closed triangles) or BHI containing 1% sucrose plus 1% D-tagatose (closed circles). (C) OD590 and (D) pH was also evaluated every 3 h for 24 h in cultures grown in BHI containing 1% sucrose, 1% D-tagatose and 1% D-glucose (open circles) or BHI containing 1% sucrose, 1% D-tagatose and 1% D-fructose (open squares). OD, optical density; BHI, Brain-Heart Infusion.

Effects of D-tagatose on in vitro S. mutans GS-5 biofilm formation

Since sucrose metabolism is important for production of water-insoluble glucan, which is required for biofilm formation, D-tagatose was predicted to inhibit S. mutans biofilm formation. The effects of D-glucose, xylitol, and D-tagatose on in vitro S. mutans GS-5 biofilm formation were, therefore, evaluated. The addition of 1% sucrose to growth media significantly increased biofilm formation by S. mutans GS-5 compared with unsupplemented media (P<0.05, a vs. b; Fig. 2), which is consistent with many previous reports (29). Supplementation with D-glucose and sucrose slightly reduced S. mutans biofilm formation compared with supplementation with sucrose alone (P<0.05, b vs. c; Fig. 2). Supplementation with xylitol, D-tagatose, and their combination significantly reduced S. mutans GS-5 biofilm formation compared with supplementation with sucrose alone (P<0.05, b vs. d; Fig. 2) or sucrose and glucose (P<0.05, c vs. d; Fig. 2).

Figure 2.

Effects of D-glucose, xylitol, and D-tagatose on Streptococcus mutans GS-5 biofilm formation. Biofilm formation in Brain-Heart Infusion media containing the indicated combinations of the test sugars with 1% sucrose was quantified by crystal violet staining. The data are expressed as the mean ± standard deviation of three repeats and statistically analysed by analysis of variance followed by Tukey's test. Groups marked with different letters were significantly different from each other (P<0.05). OD, optical density.

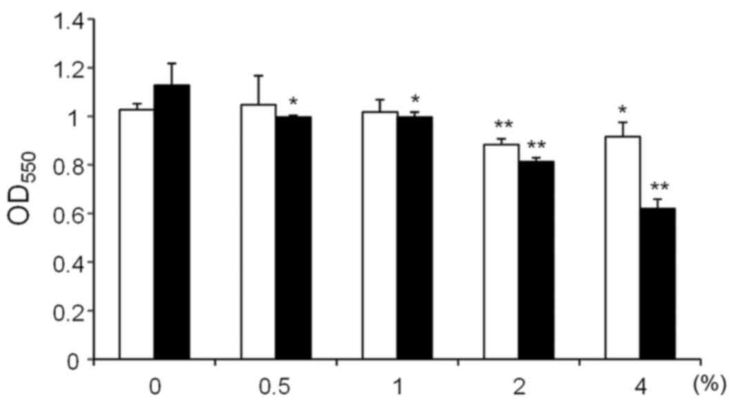
The effects on S. mutans GS-5 biofilm formation of xylitol and D-tagatose at varying concentrations (0.5, 1, 2 and 4%) were then examined (Fig. 3). Xylitol inhibited S. mutans biofilm formation at 2 and 4%, although an additional effect was not observed for concentrations >2% (white bars; Fig. 3). By contrast, D-tagatose showed clear dose-dependent inhibition of S. mutans GS-5 biofilm formation (black bars; Fig. 3). To determine whether the effects on biofilm formation were caused by high osmolality, S. mutans GS-5 biofilm formation was compared in the presence of 1% and 5% sucrose. The biofilm mass in the culture with 5% sucrose was significantly smaller compared with the 1% sucrose (OD550 1.27±0.05 vs. OD550 1.09±0.07, respectively; P<0.01; data not shown). However, addition of 4% D-tagatose to the culture with 1% sucrose decreased the biofilm mass to the nearly half of that in the culture with 5% sucrose (OD550 0.57±0.06 vs. OD550 1.09±0.07, P<0.01; data not shown). These results indicate that the effects of high osmolality were limited under the conditions used in this study.

Figure 3.

D-Tagatose inhibits Streptococcus mutans GS-5 biofilm formation in a dose-dependent manner. S. mutans GS-5 was cultured anaerobically in Brain-Heart Infusion media containing 1% sucrose and the indicated concentrations of xylitol (white bars) or D-tagatose (black bars). Following 72 h incubation, the biofilms formed on the bottoms of microwells were quantified by crystal violet staining. The data are expressed as the mean ± standard deviation of three repeats and analysed statistically by analysis of variance followed by Dunnett's test. *P<0.05 and **P<0.01 vs. 1% sucrose alone. OD, optical density

Scanning electron microscopy examination of S. mutans GS-5 biofilms

S. mutans GS-5 was cultured in 1 ml of BHI containing 1% sucrose with or without 1 or 4% each of xylitol or D-tagatose in 24-well plates with plastic disc inserts; the plates were incubated anaerobically at 37°C for 72 h, and the biofilms formed on the plastic discs were compared (Fig. 4A). S. mutans GS-5 grew equally in all of the media tested. However less biofilm formed on the discs in the cultures containing D-tagatose than on those in other media (1% sucrose alone or 1% sucrose plus 1 or 4% xylitol; Fig. 4A). Notably, multiple S. mutans GS-5 cell aggregates were observed in the cultures containing D-tagatose, particularly at the higher concentration, whereas homogeneous biofilms formed on the discs in the other 1% sucrose-containing cultures tested (Fig. 4A).

Figure 4.

Morphological analysis of Streptococcus mutans GS-5 biofilms. (A) Photographs and (B) scanning electron micrograph images of biofilms formed on plastic discs following 72 h cultivation in Brain-Heart Infusion media supplemented with the indicated sugars. (C) Biofilm areas were measured using the auto-selection tool based on colour in Photoshop CS6, and the ratios to the total observation field were calculated. At least five randomly selected fields were examined for each sample. Groups marked with different letters were significantly different from each other (P<0.05). S1, 1% sucrose alone; S1+T1, 1% sucrose and 1% D-tagatose; S1+T4, 1% sucrose and 4% D-tagatose; S1+X1, 1% sucrose and 1% xylitol; S1+X4, 1% sucrose and 4% xylitol.

SEM examination of the discs also revealed that there was less biofilm on the discs in the culture with D-tagatose (Fig. 4B). Quantification of the S. mutans GS-5 biofilms on the discs showed a significant reduction in the presence of D-tagatose (P<0.05; Fig. 4C).

Effects of D-tagatose on the expression of sucrose metabolism genes in S. mutans GS-5

Sucrose increases expression of the gene that encodes insoluble-glucan-forming glucosyltransferase B (gtfB), which is a major virulence factor of S. mutans. The present study confirmed that 1% sucrose significantly increased the expression of gtfB (P<0.01) but significantly decreased the expression of the fructosyltransferase gene (ftf) (P<0.01) compared with bacteria cultured in BHI alone (Fig. 5). By contrast, the induction of gtfB expression by sucrose was strongly inhibited by D-tagatose (P<0.01; Fig. 5). The expression of exo-β-fructosidase (fruA), which releases free D-fructose from FTF-producing water-soluble fructan, was also reduced in the presence of D-tagatose and sucrose compared with sucrose only (P<0.01; Fig. 5). Among the phosphotransferase system (PTS) genes involved in metabolizing sucrose or sucrose-derived monosaccharides (D-glucose and D-fructose), the expression levels of ptsfru, ptsfru/man and ptsglu/man were significantly increased by 1% sucrose compared with bacteria cultured in BHI alone (P<0.01; Fig. 5), although this increase was inhibited by D-tagatose (P<0.01, P<0.01 and P<0.05, respectively, S1 vs. S1 + T1; Fig. 5). GtfB releases D-fructose during glucan synthesis, and these insoluble glucans are degraded by dextranase and utilized as a glucose source. The fruA gene product releases free D-fructose from the fructan synthesized by FTF. The repression of these genes, in addition to the fructose or glucose pts genes, indicates that D-tagatose limits the ability of S. mutans GS-5 to access sucrose-derived monosaccharides, particularly D-fructose. Fig. 6 demonstrates that D-fructose is a powerful inducer of gtfB expression, and sucrose strongly increases the expression of fructose PTS, thus indicating that D-fructose is a key sugar required for S. mutans growth and biofilm formation.

Figure 5.

Effects of D-tagatose on the expression of sucrose metabolism genes in Streptococcus mutans GS-5. The relative expression levels of the genes encoding gtfB, ftf, fruA and the EII components of the pts specific for suc, fru, fru/man, mal/glu and glu/man were evaluated by reverse transcription-quantitative polymerase chain reaction. Gene expression levels were normalized to the 16S rDNA expression. The fold change in expression levels relative to that in Brain-Heart Infusion media alone. Data are expressed as the mean ± standard deviation of three repeats. *P<0.05 and **P<0.01 vs. S1. S1, 1% sucrose alone; S1+T1, 1% sucrose plus 1% D-tagatose; T1, 1% D-tagatose alone; gtfB, glucosyltransferase; ftf, fructosyltransferase; fruA, exo-β-fructosidase; pts, phosphotransferase system; suc, sucrose, fru, D-fructose; fru/man, D-fructose/D-mannose; mal/glu, D-maltose/D-glucose; glu/man, D-glucose/D-mannose.

Figure 6.

Effects of sucrose and D-fructose on Streptococcus mutans GS-5 gtfB and fructose-specific pts genes. The relative expression levels of the genes encoding gtfB, ftf and the EII components of the pts specific for suc, fru, fru/man, mal/glu and glu/man were evaluated by reverse transcription-quantitative polymerase chain reaction. Gene expression levels were normalized to the 16S rDNA expression. The fold change in expression levels relative to that in Brain-Heart Infusion media alone is shown. The data are expressed as the mean ± standard deviation of two repeats. *P<0.05 vs. no additional sugar group. gtfB, glucosyltransferase; ftf, fructosyltransferase; pts, phosphotransferase system; suc, sucrose, fru, D-fructose; fru/man, D-fructose/D-mannose; mal/glu, D-maltose/D-glucose; glu/man, D-glucose/D-mannose.

Effects of D-tagatose on S. mutans GS-5 GTF activity

S. mutans GTFs B and C, which produce water-insoluble glucan, are known to be cell-associated. To examine whether D-tagatose directly inhibits the activity of GTF in S. mutans GS-5, the cell-associated proteins were extracted with urea from S. mutans GS-5 cells cultured in BHI. The water-insoluble glucan production was compared among the renatured enzymes in media with 0.1 M sucrose in the presence or absence of 4% D-tagatose. As demonstrated in Fig. 7, the addition of 4.0% D-tagatose significantly decreased the water-insoluble glucan production compared with sucrose alone, indicating that the sugar directly inhibits the activity of S. mutans GS-5 cell-associated GTF.

Figure 7.

D-Tagatose inhibits water-insoluble glucan formation by Streptococcus mutans GS-5. Water-insoluble glucan produced was measured by the phenol-sulfuric acid method, and the amount present was calculated from a standard curve using mannose as a standard. The data are expressed as the mean ± standard deviation of three repeats and analysed statistically by analysis of variance followed by Tukey's test. *P<0.05. B, phosphate buffer alone; S, phosphate buffer with 0.1 M sucrose; S+T4, phosphate buffer with 0.1 M sucrose and 4% D-tagatose.

Discussion

The use of non-cariogenic sweeteners represents a method of preventing dental caries, and sugar alcohols such as xylitol are widely used in chewing gum. D-Tagatose is also recognized as a tooth-friendly sweetener, and it is not fermented by cariogenic dental plaque bacteria. Consistent with previous studies (22), D-tagatose was demonstrated to be a non-fermentable sugar for S. mutans GS-5, and the results of gas chromatography-mass spectrometry analysis revealed that 81.6% of the D-tagatose added to the culture media was retained, even after 48 h of S. mutans GS-5 culture (data not shown). Although the addition of 1% D-tagatose to the culture medium retarded the growth of S. mutans GS-5, the final growth yield did not change compared with the cultures without the sugar. Nevertheless, D-tagatose inhibited S. mutans GS-5 biofilm formation, indicating that the effect is caused by a mechanism other than growth inhibition.

As demonstrated in Fig. 7, D-tagatose inhibits cell-associated GTF activities, which results in the reduced release of D-fructose from sucrose. D-Fructose (and sucrose) appears to be a powerful inducer of gtfB expression (Fig. 6). The addition of 1% sucrose to the media induced the expression of D-fructose-specific PTS as well as gtfB, indicating that the glucan production and energy metabolism pathways that utilize D-fructose are tightly coordinated in S. mutans. This finding is consistent with the report by Shemesh et al (30), who demonstrated that D-fructose induces higher levels of gtfB expression than D-glucose in the early exponential phase. Therefore, the suppression of gtfB expression by D-tagatose may be partially caused by a decrease in the D-fructose supply. Furthermore, genes encoding the EII component for the D-fructose-specific PTS genes (ptsfru and ptsfru/man) were also downregulated in the presence of D-tagatose (Fig. 5). The growth retardation of S. mutans GS-5 by D-tagatose may also be due to the limited D-fructose supply resulting from GTF inhibition since the D-tagatose-induced growth retardation was reversed with D-fructose supplementation (Fig. 1C and D). Alterations in the availability of this monosaccharide are, therefore, hypothesized to be responsible for the prolongation of the lag-phase of S. mutans GS-5 growth by D-tagatose.

By contrast, ftf expression levels were not changed by D-tagatose in the presence of 1% sucrose. FTF produces water-soluble inulin-type fructan in S. mutans. Since fructan is digested by FruA into D-fructose, this fructose polymer is considered to serve as energy storage for S. mutans. The downregulation of fruA by D-tagatose is hypothesized to limit the D-fructose supply for S. mutans. This alteration in monosaccharide availability might affect fruA expression, which is known to be sensitive to the control of carbon catabolite repression via the central regulatory protein CcpA (31).

As mentioned above, D-tagatose appears to inhibit S. mutans GS-5 GTFs, and the inhibition of cell-associated GTFs B or C, which produce water-insoluble glucan from sucrose, is considered to be a primary mechanism underlying the biofilm inhibition as well as the growth retardation of S. mutans GS-5 by D-tagatose. Since D-tagatose is a D-fructose epimer at the C-4 position, its structural similarity to D-fructose might interfere with the binding or catalysis of sucrose by the GTFs. In addition, the S. mutans GS-5 biofilm that formed in the presence of D-tagatose was granular, whereas the biofilm formed in the culture with sucrose alone or sucrose plus xylitol was uniform (Fig. 4A). This difference may be related to the glucan/fructan imbalance caused by D-tagatose.

Bautista et al (21) reported that many human pathogens are unable to utilize D-tagatose and demonstrated that the sugar is metabolized by a limited member of lactobacilli. Probiotic lactobacilli have been reported to suppress the growth of cariogenic bacteria and prevent dental caries (32). Based on the finding in the present study, that S. mutans GS-5 did not preferentially ferment D-tagatose, this sugar is anticipated to prevent S. mutans colonization on tooth surfaces by promoting the ability of probiotic oral lactobacilli to resist colonization.

Xylitol is widely used for the prevention of dental caries, although its effects in clinical trials remain controversial (33). S. mutans transports xylitol via a fructose-specific PTS and xylitol-resistant S. mutans strains lacking this PTS activity have emerged (34). In addition, the presence of fermentable sugars, such as sucrose, attenuates the effects of xylitol. Therefore, alternative prophylactic treatments for dental caries are required. Xylitol is a non-fermentable sugar for S. mutans and exhibits a toxic effect by causing the expenditure of energy for the uptake and export of this non-cariogenic sugar alcohol (35). The mechanism by which xylitol suppresses S. mutans appears to be different from that of D-tagatose as described here; therefore, a synergistic effect might be expected for their combination. However, a synergistic effect was not evident in the inhibition of S. mutans GS-5 biofilm formation (Fig. 2), which might have been related to interference with xylitol uptake since D-tagatose downregulates the D-fructose-specific PTS genes, ptsfru and ptsfru/man (Fig. 5).

In conclusion, D-tagatose appears to inhibit S. mutans GS-5 growth and biofilm formation by interfering with GTF activity. This effect may be useful in the prevention of dental caries. Based on the findings obtained from the present study, foods or preparations containing D-tagatose could be useful tools for improving oral hygiene. D-Tagatose may be able to suppress the intermittent growth of S. mutans between oral care activities. In addition, S. mutans produces a granular biofilm in the presence of D-tagatose, which might facilitate the removal of the biofilm by mechanical brushing compared with homogeneous biofilms. Ongoing clinical examinations to evaluate the effectiveness of chewing gum containing D-tagatose as a prophylactic for dental caries in a clinical trial are being performed by our research consortium.

Acknowledgements

The present study was supported by a Grant-in-Aid from the Japan Society for the Promotion of Science KAKEN (grant no. 25463248) and the Adaptable and Seamless Technology Transfer Program through Target-driven R&D, Japan Science and Technology Agency (Study of the effects on bacteria in the oral cavity of D-tagatose: Grant no. AS242Z03885Q).

References

1 

Gurav A and Jadhav V: Periodontitis and risk of diabetes mellitus. J Diabetes. 3:21–28. 2011. View Article : Google Scholar : PubMed/NCBI

2 

Holmlund A, Holm G and Lind L: Severity of periodontal disease and number of remaining teeth are related to the prevalence of myocardial infarction and hypertension in a study based on 4,254 subjects. J Periodontol. 77:1173–1178. 2006. View Article : Google Scholar : PubMed/NCBI

3 

Selwitz RH, Ismail AI and Pitts NB: Dental caries. Lancet. 369:51–59. 2007. View Article : Google Scholar : PubMed/NCBI

4 

Jackson RJ, Newman HN, Smart GJ, Stokes E, Hogan JI, Brown C and Seres J: The effects of a supervised toothbrushing programme on the caries increment of primary school children, initially aged 5–6 years. Caries Res. 39:108–115. 2005. View Article : Google Scholar : PubMed/NCBI

5 

Cummins D: Dental caries: A disease which remains a public health concern in the 21st century-the exploration of a breakthrough technology for caries prevention. J Clin Dent 24 Spec no A. A1–14. 2013.

6 

Loesche WJ: Role of Streptococcus mutans in human dental decay. Microbiol Rev. 50:353–380. 1986.PubMed/NCBI

7 

Banas JA: Virulence properties of Streptococcus mutans. Front Biosci. 9:1267–1277. 2004. View Article : Google Scholar : PubMed/NCBI

8 

Fejerskov O: Changing paradigms in concepts on dental caries: Consequences for oral health care. Caries Res. 38:182–191. 2004. View Article : Google Scholar : PubMed/NCBI

9 

Marsh PD, Head DA and Devine DA: Ecological approaches to oral biofilms: control without killing. Caries Res. 49 Suppl 1:S46–S54. 2015. View Article : Google Scholar

10 

Hirasawa M, Takada K and Otake S: Inhibition of acid production in dental plaque bacteria by green tea catechins. Caries Res. 40:265–270. 2006. View Article : Google Scholar : PubMed/NCBI

11 

Koo H, Duarte S, Murata RM, Scott-Anne K, Gregoire S, Watson GE, Singh AP and Vorsa N: Influence of cranberry proanthocyanidins on formation of biofilms by Streptococcus mutans on saliva-coated apatitic surface and on dental caries development in vivo. Caries Res. 44:116–126. 2010. View Article : Google Scholar : PubMed/NCBI

12 

Liu Y, Zhang X, Wang Y, Chen F, Yu Z, Wang L, Chen S and Guo M: Effect of citrus lemon oil on growth and adherence of Streptococcus mutans. World J Microbiol Biotechnol. 29:1161–1167. 2013. View Article : Google Scholar : PubMed/NCBI

13 

Yano A, Kikuchi S, Yamashita Y, Sakamoto Y, Nakagawa Y and Yoshida Y: The inhibitory effects of mushroom extracts on sucrose-dependent oral biofilm formation. Appl Microbiol Biotechnol. 86:615–623. 2010. View Article : Google Scholar : PubMed/NCBI

14 

Mäkinen KK: Sugar alcohols, caries incidence, and remineralization of caries lesions: A literature review. Int J Dent. 2010:9810722010. View Article : Google Scholar : PubMed/NCBI

15 

Milgrom P, Söderling EM, Nelson S, Chi DL and Nakai Y: Clinical evidence for polyol efficacy. Adv Dent Res. 24:112–116. 2012. View Article : Google Scholar : PubMed/NCBI

16 

Trahan L: Xylitol: A review of its action on mutans streptococci and dental plaque-its clinical significance. Int Dent J. 45 1 Suppl 1:S77–S92. 1995.

17 

Gauthier L, Vadeboncoeur C and Mayrand D: Loss of sensitivity to xylitol by Streptococcus mutans LG-1. Caries Res. 18:289–295. 1984. View Article : Google Scholar : PubMed/NCBI

18 

Izumori K: Bioproduction strategies for rare hexose sugars. Naturwissenschaften. 89:120–124. 2002. View Article : Google Scholar : PubMed/NCBI

19 

Chattopadhyay S, Raychaudhuri U and Chakraborty R: Artificial sweeteners-a review. J Food Sci Technol. 51:611–621. 2014. View Article : Google Scholar : PubMed/NCBI

20 

Hossain A, Yamaguchi F, Matsuo T, Tsukamoto I, Toyoda Y, Ogawa M, Nagata Y and Tokuda M: Rare sugar D-allulose: Potential role and therapeutic monitoring in maintaining obesity and type 2 diabetes mellitus. Pharmacol Ther. 155:49–59. 2015. View Article : Google Scholar : PubMed/NCBI

21 

Bautista DA, Pegg RB and Shand PJ: Effect of L-glucose and D-tagatose on bacterial growth in media and a cooked cured ham product. J Food Prot. 63:71–77. 2000. View Article : Google Scholar : PubMed/NCBI

22 

Sawada D, Ogawa T, Miyake M, Hasui Y, Yamaguchi F, Izumori K and Tokuda M: Potent inhibitory effects of D-tagatose on the acid production and water-insoluble glucan synthesis of Streptococcus mutans GS5 in the presence of sucrose. Acta Med Okayama. 69:105–111. 2015.PubMed/NCBI

23 

Gibbons RJ, Berman KS, Knoettner P and Kapsimalis B: Dental caries and alveolar bone loss in gnotobiotic rats infected with capsule forming streptococci of human origin. Arch Oral Biol. 11:549–560. 1966. View Article : Google Scholar : PubMed/NCBI

24 

Somayaji K, Acharya SR, Bairy I, Prakash PY, Rao MS and Ballal NV: In vitro scanning electron microscopic study on the effect of doxycycline and vancomycin on enterococcal induced biofilm. Iran Endod J. 5:53–58. 2010.PubMed/NCBI

25 

Nuyts S, Van Mellaert L, Lambin P and Anné J: Efficient isolation of total RNA from Clostridium without DNA contamination. J Microbiol Methods. 44:235–238. 2001. View Article : Google Scholar : PubMed/NCBI

26 

Livak KJ and Schmittgen TD: Analysis of relative gene expression data using real-time quantitative PCR and the 2(-Delta Delta C(T)) method. Methods. 25:402–408. 2001. View Article : Google Scholar : PubMed/NCBI

27 

Wiater A, Choma A and Szczodrak J: Insoluble glucans synthesized by cariogenic streptococci: A structural study. J Basic Microbiol. 39:265–273. 1999. View Article : Google Scholar : PubMed/NCBI

28 

Dubois M, Gilles K, Hamilton JK, Rebers PA and Smith F: A colorimetric method for the determination of sugars. Nature. 168:1671951. View Article : Google Scholar : PubMed/NCBI

29 

Decker EM, Klein C, Schwindt D and von Ohle C: Metabolic activity of Streptococcus mutans biofilms and gene expression during exposure to xylitol and sucrose. Int J Oral Sci. 6:195–204. 2014. View Article : Google Scholar : PubMed/NCBI

30 

Shemesh M, Tam A, Feldman M and Steinberg D: Differential expression profiles of Streptococcus mutans ftf, gtf and vicR genes in the presence of dietary carbohydrates at early and late exponential growth phases. Carbohydr Res. 341:2090–2097. 2006. View Article : Google Scholar : PubMed/NCBI

31 

Zeng L, Wen ZT and Burne RA: A novel signal transduction system and feedback loop regulate fructan hydrolase gene expression in Streptococcus mutans. Mol Microbiol. 62:187–200. 2006. View Article : Google Scholar : PubMed/NCBI

32 

Bizzini B, Pizzo G, Scapagnini G, Nuzzo D and Vasto S: Probiotics and oral health. Curr Pharm Des. 18:5522–5531. 2012. View Article : Google Scholar : PubMed/NCBI

33 

Riley P, Moore D, Ahmed F, Sharif MO and Worthington HV: Xylitol-containing products for preventing dental caries in children and adults. Cochrane Database Syst Rev. 3:CD0107432015.

34 

Trahan L, Bourgeau G and Breton R: Emergence of multiple xylitol-resistant (fructose PTS-) mutants from human isolates of mutans streptococci during growth on dietary sugars in the presence of xylitol. J Dent Res. 75:1892–1900. 1996. View Article : Google Scholar : PubMed/NCBI

35 

Nayak PA, Nayak UA and Khandelwal V: The effect of xylitol on dental caries and oral flora. Clin Cosmet Investig Dent. 6:89–94. 2014. View Article : Google Scholar : PubMed/NCBI

Related Articles

  • Abstract
  • View
  • Download
  • Twitter
Copy and paste a formatted citation
Spandidos Publications style
Hasibul K, Nakayama‑Imaohji H, Hashimoto M, Yamasaki H, Ogawa T, Waki J, Tada A, Yoneda S, Tokuda M, Miyake M, Miyake M, et al: D‑Tagatose inhibits the growth and biofilm formation of Streptococcus mutans. Mol Med Rep 17: 843-851, 2018.
APA
Hasibul, K., Nakayama‑Imaohji, H., Hashimoto, M., Yamasaki, H., Ogawa, T., Waki, J. ... Kuwahara, T. (2018). D‑Tagatose inhibits the growth and biofilm formation of Streptococcus mutans. Molecular Medicine Reports, 17, 843-851. https://doi.org/10.3892/mmr.2017.8017
MLA
Hasibul, K., Nakayama‑Imaohji, H., Hashimoto, M., Yamasaki, H., Ogawa, T., Waki, J., Tada, A., Yoneda, S., Tokuda, M., Miyake, M., Kuwahara, T."D‑Tagatose inhibits the growth and biofilm formation of Streptococcus mutans". Molecular Medicine Reports 17.1 (2018): 843-851.
Chicago
Hasibul, K., Nakayama‑Imaohji, H., Hashimoto, M., Yamasaki, H., Ogawa, T., Waki, J., Tada, A., Yoneda, S., Tokuda, M., Miyake, M., Kuwahara, T."D‑Tagatose inhibits the growth and biofilm formation of Streptococcus mutans". Molecular Medicine Reports 17, no. 1 (2018): 843-851. https://doi.org/10.3892/mmr.2017.8017
Copy and paste a formatted citation
x
Spandidos Publications style
Hasibul K, Nakayama‑Imaohji H, Hashimoto M, Yamasaki H, Ogawa T, Waki J, Tada A, Yoneda S, Tokuda M, Miyake M, Miyake M, et al: D‑Tagatose inhibits the growth and biofilm formation of Streptococcus mutans. Mol Med Rep 17: 843-851, 2018.
APA
Hasibul, K., Nakayama‑Imaohji, H., Hashimoto, M., Yamasaki, H., Ogawa, T., Waki, J. ... Kuwahara, T. (2018). D‑Tagatose inhibits the growth and biofilm formation of Streptococcus mutans. Molecular Medicine Reports, 17, 843-851. https://doi.org/10.3892/mmr.2017.8017
MLA
Hasibul, K., Nakayama‑Imaohji, H., Hashimoto, M., Yamasaki, H., Ogawa, T., Waki, J., Tada, A., Yoneda, S., Tokuda, M., Miyake, M., Kuwahara, T."D‑Tagatose inhibits the growth and biofilm formation of Streptococcus mutans". Molecular Medicine Reports 17.1 (2018): 843-851.
Chicago
Hasibul, K., Nakayama‑Imaohji, H., Hashimoto, M., Yamasaki, H., Ogawa, T., Waki, J., Tada, A., Yoneda, S., Tokuda, M., Miyake, M., Kuwahara, T."D‑Tagatose inhibits the growth and biofilm formation of Streptococcus mutans". Molecular Medicine Reports 17, no. 1 (2018): 843-851. https://doi.org/10.3892/mmr.2017.8017
Follow us
  • Twitter
  • LinkedIn
  • Facebook
About
  • Spandidos Publications
  • Careers
  • Cookie Policy
  • Privacy Policy
How can we help?
  • Help
  • Live Chat
  • Contact
  • Email to our Support Team