Spandidos Publications Logo
  • About
    • About Spandidos
    • Aims and Scopes
    • Abstracting and Indexing
    • Editorial Policies
    • Reprints and Permissions
    • Job Opportunities
    • Terms and Conditions
    • Contact
  • Journals
    • All Journals
    • Oncology Letters
      • Oncology Letters
      • Information for Authors
      • Editorial Policies
      • Editorial Board
      • Aims and Scope
      • Abstracting and Indexing
      • Bibliographic Information
      • Archive
    • International Journal of Oncology
      • International Journal of Oncology
      • Information for Authors
      • Editorial Policies
      • Editorial Board
      • Aims and Scope
      • Abstracting and Indexing
      • Bibliographic Information
      • Archive
    • Molecular and Clinical Oncology
      • Molecular and Clinical Oncology
      • Information for Authors
      • Editorial Policies
      • Editorial Board
      • Aims and Scope
      • Abstracting and Indexing
      • Bibliographic Information
      • Archive
    • Experimental and Therapeutic Medicine
      • Experimental and Therapeutic Medicine
      • Information for Authors
      • Editorial Policies
      • Editorial Board
      • Aims and Scope
      • Abstracting and Indexing
      • Bibliographic Information
      • Archive
    • International Journal of Molecular Medicine
      • International Journal of Molecular Medicine
      • Information for Authors
      • Editorial Policies
      • Editorial Board
      • Aims and Scope
      • Abstracting and Indexing
      • Bibliographic Information
      • Archive
    • Biomedical Reports
      • Biomedical Reports
      • Information for Authors
      • Editorial Policies
      • Editorial Board
      • Aims and Scope
      • Abstracting and Indexing
      • Bibliographic Information
      • Archive
    • Oncology Reports
      • Oncology Reports
      • Information for Authors
      • Editorial Policies
      • Editorial Board
      • Aims and Scope
      • Abstracting and Indexing
      • Bibliographic Information
      • Archive
    • Molecular Medicine Reports
      • Molecular Medicine Reports
      • Information for Authors
      • Editorial Policies
      • Editorial Board
      • Aims and Scope
      • Abstracting and Indexing
      • Bibliographic Information
      • Archive
    • World Academy of Sciences Journal
      • World Academy of Sciences Journal
      • Information for Authors
      • Editorial Policies
      • Editorial Board
      • Aims and Scope
      • Abstracting and Indexing
      • Bibliographic Information
      • Archive
    • International Journal of Functional Nutrition
      • International Journal of Functional Nutrition
      • Information for Authors
      • Editorial Policies
      • Editorial Board
      • Aims and Scope
      • Abstracting and Indexing
      • Bibliographic Information
      • Archive
    • International Journal of Epigenetics
      • International Journal of Epigenetics
      • Information for Authors
      • Editorial Policies
      • Editorial Board
      • Aims and Scope
      • Abstracting and Indexing
      • Bibliographic Information
      • Archive
    • Medicine International
      • Medicine International
      • Information for Authors
      • Editorial Policies
      • Editorial Board
      • Aims and Scope
      • Abstracting and Indexing
      • Bibliographic Information
      • Archive
  • Articles
  • Information
    • Information for Authors
    • Information for Reviewers
    • Information for Librarians
    • Information for Advertisers
    • Conferences
  • Language Editing
Spandidos Publications Logo
  • About
    • About Spandidos
    • Aims and Scopes
    • Abstracting and Indexing
    • Editorial Policies
    • Reprints and Permissions
    • Job Opportunities
    • Terms and Conditions
    • Contact
  • Journals
    • All Journals
    • Biomedical Reports
      • Information for Authors
      • Editorial Policies
      • Editorial Board
      • Aims and Scope
      • Abstracting and Indexing
      • Bibliographic Information
      • Archive
    • Experimental and Therapeutic Medicine
      • Information for Authors
      • Editorial Policies
      • Editorial Board
      • Aims and Scope
      • Abstracting and Indexing
      • Bibliographic Information
      • Archive
    • International Journal of Epigenetics
      • Information for Authors
      • Editorial Policies
      • Editorial Board
      • Aims and Scope
      • Abstracting and Indexing
      • Bibliographic Information
      • Archive
    • International Journal of Functional Nutrition
      • Information for Authors
      • Editorial Policies
      • Editorial Board
      • Aims and Scope
      • Abstracting and Indexing
      • Bibliographic Information
      • Archive
    • International Journal of Molecular Medicine
      • Information for Authors
      • Editorial Policies
      • Editorial Board
      • Aims and Scope
      • Abstracting and Indexing
      • Bibliographic Information
      • Archive
    • International Journal of Oncology
      • Information for Authors
      • Editorial Policies
      • Editorial Board
      • Aims and Scope
      • Abstracting and Indexing
      • Bibliographic Information
      • Archive
    • Medicine International
      • Information for Authors
      • Editorial Policies
      • Editorial Board
      • Aims and Scope
      • Abstracting and Indexing
      • Bibliographic Information
      • Archive
    • Molecular and Clinical Oncology
      • Information for Authors
      • Editorial Policies
      • Editorial Board
      • Aims and Scope
      • Abstracting and Indexing
      • Bibliographic Information
      • Archive
    • Molecular Medicine Reports
      • Information for Authors
      • Editorial Policies
      • Editorial Board
      • Aims and Scope
      • Abstracting and Indexing
      • Bibliographic Information
      • Archive
    • Oncology Letters
      • Information for Authors
      • Editorial Policies
      • Editorial Board
      • Aims and Scope
      • Abstracting and Indexing
      • Bibliographic Information
      • Archive
    • Oncology Reports
      • Information for Authors
      • Editorial Policies
      • Editorial Board
      • Aims and Scope
      • Abstracting and Indexing
      • Bibliographic Information
      • Archive
    • World Academy of Sciences Journal
      • Information for Authors
      • Editorial Policies
      • Editorial Board
      • Aims and Scope
      • Abstracting and Indexing
      • Bibliographic Information
      • Archive
  • Articles
  • Information
    • For Authors
    • For Reviewers
    • For Librarians
    • For Advertisers
    • Conferences
  • Language Editing
Login Register Submit
  • This site uses cookies
  • You can change your cookie settings at any time by following the instructions in our Cookie Policy. To find out more, you may read our Privacy Policy.

    I agree
Search articles by DOI, keyword, author or affiliation
Search
Advanced Search
presentation
Molecular Medicine Reports
Join Editorial Board Propose a Special Issue
Print ISSN: 1791-2997 Online ISSN: 1791-3004
Journal Cover
March-2018 Volume 17 Issue 3

Full Size Image

Sign up for eToc alerts
Recommend to Library

Journals

International Journal of Molecular Medicine

International Journal of Molecular Medicine

International Journal of Molecular Medicine is an international journal devoted to molecular mechanisms of human disease.

International Journal of Oncology

International Journal of Oncology

International Journal of Oncology is an international journal devoted to oncology research and cancer treatment.

Molecular Medicine Reports

Molecular Medicine Reports

Covers molecular medicine topics such as pharmacology, pathology, genetics, neuroscience, infectious diseases, molecular cardiology, and molecular surgery.

Oncology Reports

Oncology Reports

Oncology Reports is an international journal devoted to fundamental and applied research in Oncology.

Experimental and Therapeutic Medicine

Experimental and Therapeutic Medicine

Experimental and Therapeutic Medicine is an international journal devoted to laboratory and clinical medicine.

Oncology Letters

Oncology Letters

Oncology Letters is an international journal devoted to Experimental and Clinical Oncology.

Biomedical Reports

Biomedical Reports

Explores a wide range of biological and medical fields, including pharmacology, genetics, microbiology, neuroscience, and molecular cardiology.

Molecular and Clinical Oncology

Molecular and Clinical Oncology

International journal addressing all aspects of oncology research, from tumorigenesis and oncogenes to chemotherapy and metastasis.

World Academy of Sciences Journal

World Academy of Sciences Journal

Multidisciplinary open-access journal spanning biochemistry, genetics, neuroscience, environmental health, and synthetic biology.

International Journal of Functional Nutrition

International Journal of Functional Nutrition

Open-access journal combining biochemistry, pharmacology, immunology, and genetics to advance health through functional nutrition.

International Journal of Epigenetics

International Journal of Epigenetics

Publishes open-access research on using epigenetics to advance understanding and treatment of human disease.

Medicine International

Medicine International

An International Open Access Journal Devoted to General Medicine.

Journal Cover
March-2018 Volume 17 Issue 3

Full Size Image

Sign up for eToc alerts
Recommend to Library

  • Article
  • Citations
    • Cite This Article
    • Download Citation
    • Create Citation Alert
    • Remove Citation Alert
    • Cited By
  • Similar Articles
    • Related Articles (in Spandidos Publications)
    • Similar Articles (Google Scholar)
    • Similar Articles (PubMed)
  • Download PDF
  • Download XML
  • View XML
Article Open Access

Quantification of distinct let-7 microRNA family members by a modified stem-loop RT-qPCR

  • Authors:
    • Yilin Wang
    • Jianwen Zhou
    • Yanlian Chen
    • Chunhua Wang
    • Enyin Wu
    • Liang Fu
    • Chen Xie
  • View Affiliations / Copyright

    Affiliations: Biochip Laboratory, Yantai Yuhuangding Hospital Affiliated to Qingdao University, Yantai, Shandong 264000, P.R. China, Department of Pathology, First Affiliated Hospital, Sun Yat‑sen University, Guangzhou, Guangdong 510080, P.R. China, Key Laboratory of Gene Engineering of The Ministry of Education, Cooperative Innovation Center for High Performance Computing, School of Life Sciences, Sun Yat‑sen University, Guangzhou, Guangdong 510006, P.R. China, Shenzhen Weiguang Biological Products Co., Ltd., Shenzhen, Guangdong 518107, P.R. China
    Copyright: © Wang et al. This is an open access article distributed under the terms of Creative Commons Attribution License.
  • Pages: 3690-3696
    |
    Published online on: December 18, 2017
       https://doi.org/10.3892/mmr.2017.8297
  • Expand metrics +
Metrics: Total Views: 0 (Spandidos Publications: | PMC Statistics: )
Metrics: Total PDF Downloads: 0 (Spandidos Publications: | PMC Statistics: )
Cited By (CrossRef): 0 citations Loading Articles...

This article is mentioned in:



Abstract

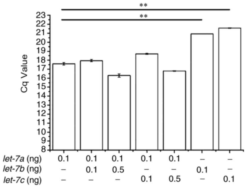
Lethal-7 (let-7) microRNA (miRNA) serves a pivotal role in a number of physiological processes and is associated with the occurrence and development of multiple disorders such as cancer. The present study aimed to use a newly developed stem‑loop strategy for reverse transcription‑quantitative polymerase chain reaction (RT‑qPCR) to distinguish let‑7 miRNA family members that differ by as little as a single nucleotide. For the miRNAs comprising 16 identical nucleotides at the 5'‑end, different stem‑loop RT primers were designed and used in RT‑qPCR to assess the expression profiles of a panel of let‑7 family member miRNAs in human glioblastoma U87 cells. Amplification efficiency was evaluated through correlation analysis between total RNA input and the quantification threshold values. Melting curve profiles were measured to estimate the amplification specificity of the improved stem‑loop RT‑qPCR compared with those of the poly(A)‑tailing method. In addition, the discrimination ability of the modified stem‑loop method was examined. Compared with poly(A) tailing, the modified stem‑loop RT method was able to specifically reverse transcribe the diverse let‑7 miRNA family members followed by accurate quantification, with a theoretical amplification efficiency of ~100%. This modified stem‑loop method was able to distinguish miRNAs with a single base difference. This innovative method may be used in the clinical detection of let‑7 expression levels in a variety of tumour samples, and may provide valuable data for disease diagnosis and prognostic evaluation. In addition, this method may offer a new avenue for developing particular stem‑loop approaches in measuring other miRNAs with little discrepancy.
View Figures

Figure 1

Figure 2

Figure 3

Figure 4

Figure 5

View References

1 

Tay Y, Zhang J, Thomson AM, Lim B and Rigoutsos I: MicroRNAs to Nanog, Oct4 and Sox2 coding regions modulate embryonic stem cell differentiation. Nature. 455:1124–1128. 2008. View Article : Google Scholar : PubMed/NCBI

2 

Doench JG and Sharp PA: Specificity of microRNA target selection in translational repression. Genes Dev. 18:504–511. 2004. View Article : Google Scholar : PubMed/NCBI

3 

Wightman B, Ha I and Ruvkun G: Posttranscriptional regulation of the heterochronic gene lin-14 by lin-4 mediates temporal pattern formation in C. elegans. Cell. 75:855–862. 1993. View Article : Google Scholar : PubMed/NCBI

4 

Olsen PH and Ambros V: The lin-4 regulatory RNA controls developmental timing in Caenorhabditis elegans by blocking LIN-14 protein synthesis after the initiation of translation. Dev Biol. 216:671–680. 1999. View Article : Google Scholar : PubMed/NCBI

5 

Kim VN, Han J and Siomi MC: Biogenesis of small RNAs in animals. Nat Rev Mol Cell Biol. 10:126–139. 2009. View Article : Google Scholar : PubMed/NCBI

6 

Bartel DP: MicroRNAs: genomics, biogenesis, mechanism, and function. Cell. 116:281–297. 2004. View Article : Google Scholar : PubMed/NCBI

7 

Bao N, Lye KW and Barton MK: MicroRNA binding sites in Arabidopsis class III HD-ZIP mRNAs are required for methylation of the template chromosome. Dev Cell. 7:653–662. 2004. View Article : Google Scholar : PubMed/NCBI

8 

Michael MZ, O'Connor SM, van Holst Pellekaan NG, Young GP and James RJ: Reduced Accumulation of Specific MicroRNAs in Colorectal Neoplasia11Note: Susan M. O'Connor and Nicholas G. van Holst Pellekaan contributed equally to this work. Mol Cancer Res. 1:882–891. 2003.PubMed/NCBI

9 

Reinhart BJ, Slack FJ, Basson M, Pasquinelli AE, Bettinger JC, Rougvie AE, Horvitz HR and Ruvkun G: The 21-nucleotide let-7 RNA regulates developmental timing in Caenorhabditis elegans. Nature. 403:901–906. 2000. View Article : Google Scholar : PubMed/NCBI

10 

Rodini CO, Suzuki DE, Saba-Silva N, Cappellano A, de Souza JE, Cavalheiro S, Toledo SR and Okamoto OK: Expression analysis of stem cell-related genes reveal OCT4 as a predictor of poor clinical outcome in medulloblastoma. J Neurooncol. 106:71–79. 2012. View Article : Google Scholar : PubMed/NCBI

11 

Sakurai M, Miki Y, Masuda M, Hata S, Shibahara Y, Hirakawa H, Suzuki T and Sasano H: LIN28: A regulator of tumor-suppressing activity of let-7 microRNA in human breast cancer. J Ster Biochem Mol Biol. 131:101–106. 2011. View Article : Google Scholar

12 

Zhao C, Sun G, Li S, Lang MF, Yang S, Li W and Shi Y: MicroRNA let-7b regulates neural stem cell proliferation and differentiation by targeting nuclear receptor TLX signaling. Proc Natl Acad Sci USA. 107:pp. 1876–1881. 2010; View Article : Google Scholar : PubMed/NCBI

13 

Johnson CD, Esquela-Kerscher A, Stefani G, Byrom M, Kelnar K, Ovcharenko D, Wilson M, Wang X, Shelton J, Shingara J, et al: The let-7 MicroRNA represses cell proliferation pathways in human cells. Cancer Res. 67:7713–7722. 2007. View Article : Google Scholar : PubMed/NCBI

14 

Dong Q, Meng P, Wang T, Qin W, Qin W, Wang F, Yuan J, Chen Z, Yang A and Wang H: MicroRNA let-7a inhibits proliferation of human prostate cancer cells in vitro and in vivo by targeting E2F2 and CCND2. PLoS One. 5:e101472010. View Article : Google Scholar : PubMed/NCBI

15 

Shell S, Park SM, Radjabi AR, Schickel R, Kistner EO, Jewell DA, Feig C, Lengyel E and Peter ME: Let-7 expression defines two differentiation stages of cancer. P Natl Acad Sci USA. 104:11400–11405. 2007. View Article : Google Scholar

16 

Chen C, Ridzon DA, Broomer AJ, Zhou Z, Lee DH, Nguyen JT, Barbisin M, Xu NL, Mahuvakar VR, Andersen MR, et al: Real-time quantification of microRNAs by stem-loop RT-PCR. Nucleic Acids Res. 33:e1792005. View Article : Google Scholar : PubMed/NCBI

17 

Takamizawa J, Konishi H, Yanagisawa K, Tomida S, Osada H, Endoh H, Harano T, Yatabe Y, Nagino M, Nimura Y, et al: Reduced expression of the let-7 microRNAs in human lung cancers in association with shortened postoperative survival. Cancer Res. 64:3753–3756. 2004. View Article : Google Scholar : PubMed/NCBI

18 

Akao Y, Nakagawa Y and Naoe T: let-7 microRNA functions as a potential growth suppressor in human colon cancer cells. Biol Pharm Bull. 29:903–906. 2006. View Article : Google Scholar : PubMed/NCBI

19 

Schultz J, Lorenz P, Gross G, Ibrahim S and Kunz M: MicroRNA let-7b targets important cell cycle molecules in malignant melanoma cells and interferes with anchorage-independent growth. Cell Res. 18:549–557. 2008. View Article : Google Scholar : PubMed/NCBI

20 

Yu F, Yao H, Zhu P, Zhang X, Pan Q, Gong C, Huang Y, Hu X, Su F, Lieberman J and Song E: let-7 regulates self renewal and tumorigenicity of breast cancer cells. Cell. 131:1109–1123. 2007. View Article : Google Scholar : PubMed/NCBI

21 

Kumar MS, Erkeland SJ, Pester RE, Chen CY, Ebert MS, Sharp PA and Jacks T: Suppression of non-small cell lung tumor development by the let-7 microRNA family. Proc Natl Acad Sci USA. 105:pp. 3903–3908. 2008; View Article : Google Scholar : PubMed/NCBI

22 

Lu L, Schwartz P, Scarampi L, Rutherford T, Canuto EM, Yu H and Katsaros D: MicroRNA let-7a: a potential marker for selection of paclitaxel in ovarian cancer management. Gynecol Oncol. 122:366–371. 2011. View Article : Google Scholar : PubMed/NCBI

23 

Zovoilis A, Agbemenyah HY, Agis-Balboa RC, Stilling RM, Edbauer D, Rao P, Farinelli L, Delalle I, Schmitt A, Falkai P, et al: microRNA-34c is a novel target to treat dementias. Embo J. 30:4299–4308. 2011. View Article : Google Scholar : PubMed/NCBI

Related Articles

  • Abstract
  • View
  • Download
  • Twitter
Copy and paste a formatted citation
Spandidos Publications style
Wang Y, Zhou J, Chen Y, Wang C, Wu E, Fu L and Xie C: Quantification of distinct let-7 microRNA family members by a modified stem-loop RT-qPCR. Mol Med Rep 17: 3690-3696, 2018.
APA
Wang, Y., Zhou, J., Chen, Y., Wang, C., Wu, E., Fu, L., & Xie, C. (2018). Quantification of distinct let-7 microRNA family members by a modified stem-loop RT-qPCR. Molecular Medicine Reports, 17, 3690-3696. https://doi.org/10.3892/mmr.2017.8297
MLA
Wang, Y., Zhou, J., Chen, Y., Wang, C., Wu, E., Fu, L., Xie, C."Quantification of distinct let-7 microRNA family members by a modified stem-loop RT-qPCR". Molecular Medicine Reports 17.3 (2018): 3690-3696.
Chicago
Wang, Y., Zhou, J., Chen, Y., Wang, C., Wu, E., Fu, L., Xie, C."Quantification of distinct let-7 microRNA family members by a modified stem-loop RT-qPCR". Molecular Medicine Reports 17, no. 3 (2018): 3690-3696. https://doi.org/10.3892/mmr.2017.8297
Copy and paste a formatted citation
x
Spandidos Publications style
Wang Y, Zhou J, Chen Y, Wang C, Wu E, Fu L and Xie C: Quantification of distinct let-7 microRNA family members by a modified stem-loop RT-qPCR. Mol Med Rep 17: 3690-3696, 2018.
APA
Wang, Y., Zhou, J., Chen, Y., Wang, C., Wu, E., Fu, L., & Xie, C. (2018). Quantification of distinct let-7 microRNA family members by a modified stem-loop RT-qPCR. Molecular Medicine Reports, 17, 3690-3696. https://doi.org/10.3892/mmr.2017.8297
MLA
Wang, Y., Zhou, J., Chen, Y., Wang, C., Wu, E., Fu, L., Xie, C."Quantification of distinct let-7 microRNA family members by a modified stem-loop RT-qPCR". Molecular Medicine Reports 17.3 (2018): 3690-3696.
Chicago
Wang, Y., Zhou, J., Chen, Y., Wang, C., Wu, E., Fu, L., Xie, C."Quantification of distinct let-7 microRNA family members by a modified stem-loop RT-qPCR". Molecular Medicine Reports 17, no. 3 (2018): 3690-3696. https://doi.org/10.3892/mmr.2017.8297
Follow us
  • Twitter
  • LinkedIn
  • Facebook
About
  • Spandidos Publications
  • Careers
  • Cookie Policy
  • Privacy Policy
How can we help?
  • Help
  • Live Chat
  • Contact
  • Email to our Support Team