Spandidos Publications Logo
  • About
    • About Spandidos
    • Aims and Scopes
    • Abstracting and Indexing
    • Editorial Policies
    • Reprints and Permissions
    • Job Opportunities
    • Terms and Conditions
    • Contact
  • Journals
    • All Journals
    • Oncology Letters
      • Oncology Letters
      • Information for Authors
      • Editorial Policies
      • Editorial Board
      • Aims and Scope
      • Abstracting and Indexing
      • Bibliographic Information
      • Archive
    • International Journal of Oncology
      • International Journal of Oncology
      • Information for Authors
      • Editorial Policies
      • Editorial Board
      • Aims and Scope
      • Abstracting and Indexing
      • Bibliographic Information
      • Archive
    • Molecular and Clinical Oncology
      • Molecular and Clinical Oncology
      • Information for Authors
      • Editorial Policies
      • Editorial Board
      • Aims and Scope
      • Abstracting and Indexing
      • Bibliographic Information
      • Archive
    • Experimental and Therapeutic Medicine
      • Experimental and Therapeutic Medicine
      • Information for Authors
      • Editorial Policies
      • Editorial Board
      • Aims and Scope
      • Abstracting and Indexing
      • Bibliographic Information
      • Archive
    • International Journal of Molecular Medicine
      • International Journal of Molecular Medicine
      • Information for Authors
      • Editorial Policies
      • Editorial Board
      • Aims and Scope
      • Abstracting and Indexing
      • Bibliographic Information
      • Archive
    • Biomedical Reports
      • Biomedical Reports
      • Information for Authors
      • Editorial Policies
      • Editorial Board
      • Aims and Scope
      • Abstracting and Indexing
      • Bibliographic Information
      • Archive
    • Oncology Reports
      • Oncology Reports
      • Information for Authors
      • Editorial Policies
      • Editorial Board
      • Aims and Scope
      • Abstracting and Indexing
      • Bibliographic Information
      • Archive
    • Molecular Medicine Reports
      • Molecular Medicine Reports
      • Information for Authors
      • Editorial Policies
      • Editorial Board
      • Aims and Scope
      • Abstracting and Indexing
      • Bibliographic Information
      • Archive
    • World Academy of Sciences Journal
      • World Academy of Sciences Journal
      • Information for Authors
      • Editorial Policies
      • Editorial Board
      • Aims and Scope
      • Abstracting and Indexing
      • Bibliographic Information
      • Archive
    • International Journal of Functional Nutrition
      • International Journal of Functional Nutrition
      • Information for Authors
      • Editorial Policies
      • Editorial Board
      • Aims and Scope
      • Abstracting and Indexing
      • Bibliographic Information
      • Archive
    • International Journal of Epigenetics
      • International Journal of Epigenetics
      • Information for Authors
      • Editorial Policies
      • Editorial Board
      • Aims and Scope
      • Abstracting and Indexing
      • Bibliographic Information
      • Archive
    • Medicine International
      • Medicine International
      • Information for Authors
      • Editorial Policies
      • Editorial Board
      • Aims and Scope
      • Abstracting and Indexing
      • Bibliographic Information
      • Archive
  • Articles
  • Information
    • Information for Authors
    • Information for Reviewers
    • Information for Librarians
    • Information for Advertisers
    • Conferences
  • Language Editing
Spandidos Publications Logo
  • About
    • About Spandidos
    • Aims and Scopes
    • Abstracting and Indexing
    • Editorial Policies
    • Reprints and Permissions
    • Job Opportunities
    • Terms and Conditions
    • Contact
  • Journals
    • All Journals
    • Biomedical Reports
      • Information for Authors
      • Editorial Policies
      • Editorial Board
      • Aims and Scope
      • Abstracting and Indexing
      • Bibliographic Information
      • Archive
    • Experimental and Therapeutic Medicine
      • Information for Authors
      • Editorial Policies
      • Editorial Board
      • Aims and Scope
      • Abstracting and Indexing
      • Bibliographic Information
      • Archive
    • International Journal of Epigenetics
      • Information for Authors
      • Editorial Policies
      • Editorial Board
      • Aims and Scope
      • Abstracting and Indexing
      • Bibliographic Information
      • Archive
    • International Journal of Functional Nutrition
      • Information for Authors
      • Editorial Policies
      • Editorial Board
      • Aims and Scope
      • Abstracting and Indexing
      • Bibliographic Information
      • Archive
    • International Journal of Molecular Medicine
      • Information for Authors
      • Editorial Policies
      • Editorial Board
      • Aims and Scope
      • Abstracting and Indexing
      • Bibliographic Information
      • Archive
    • International Journal of Oncology
      • Information for Authors
      • Editorial Policies
      • Editorial Board
      • Aims and Scope
      • Abstracting and Indexing
      • Bibliographic Information
      • Archive
    • Medicine International
      • Information for Authors
      • Editorial Policies
      • Editorial Board
      • Aims and Scope
      • Abstracting and Indexing
      • Bibliographic Information
      • Archive
    • Molecular and Clinical Oncology
      • Information for Authors
      • Editorial Policies
      • Editorial Board
      • Aims and Scope
      • Abstracting and Indexing
      • Bibliographic Information
      • Archive
    • Molecular Medicine Reports
      • Information for Authors
      • Editorial Policies
      • Editorial Board
      • Aims and Scope
      • Abstracting and Indexing
      • Bibliographic Information
      • Archive
    • Oncology Letters
      • Information for Authors
      • Editorial Policies
      • Editorial Board
      • Aims and Scope
      • Abstracting and Indexing
      • Bibliographic Information
      • Archive
    • Oncology Reports
      • Information for Authors
      • Editorial Policies
      • Editorial Board
      • Aims and Scope
      • Abstracting and Indexing
      • Bibliographic Information
      • Archive
    • World Academy of Sciences Journal
      • Information for Authors
      • Editorial Policies
      • Editorial Board
      • Aims and Scope
      • Abstracting and Indexing
      • Bibliographic Information
      • Archive
  • Articles
  • Information
    • For Authors
    • For Reviewers
    • For Librarians
    • For Advertisers
    • Conferences
  • Language Editing
Login Register Submit
  • This site uses cookies
  • You can change your cookie settings at any time by following the instructions in our Cookie Policy. To find out more, you may read our Privacy Policy.

    I agree
Search articles by DOI, keyword, author or affiliation
Search
Advanced Search
presentation
Molecular Medicine Reports
Join Editorial Board Propose a Special Issue
Print ISSN: 1791-2997 Online ISSN: 1791-3004
Journal Cover
March-2018 Volume 17 Issue 3

Full Size Image

Sign up for eToc alerts
Recommend to Library

Journals

International Journal of Molecular Medicine

International Journal of Molecular Medicine

International Journal of Molecular Medicine is an international journal devoted to molecular mechanisms of human disease.

International Journal of Oncology

International Journal of Oncology

International Journal of Oncology is an international journal devoted to oncology research and cancer treatment.

Molecular Medicine Reports

Molecular Medicine Reports

Covers molecular medicine topics such as pharmacology, pathology, genetics, neuroscience, infectious diseases, molecular cardiology, and molecular surgery.

Oncology Reports

Oncology Reports

Oncology Reports is an international journal devoted to fundamental and applied research in Oncology.

Experimental and Therapeutic Medicine

Experimental and Therapeutic Medicine

Experimental and Therapeutic Medicine is an international journal devoted to laboratory and clinical medicine.

Oncology Letters

Oncology Letters

Oncology Letters is an international journal devoted to Experimental and Clinical Oncology.

Biomedical Reports

Biomedical Reports

Explores a wide range of biological and medical fields, including pharmacology, genetics, microbiology, neuroscience, and molecular cardiology.

Molecular and Clinical Oncology

Molecular and Clinical Oncology

International journal addressing all aspects of oncology research, from tumorigenesis and oncogenes to chemotherapy and metastasis.

World Academy of Sciences Journal

World Academy of Sciences Journal

Multidisciplinary open-access journal spanning biochemistry, genetics, neuroscience, environmental health, and synthetic biology.

International Journal of Functional Nutrition

International Journal of Functional Nutrition

Open-access journal combining biochemistry, pharmacology, immunology, and genetics to advance health through functional nutrition.

International Journal of Epigenetics

International Journal of Epigenetics

Publishes open-access research on using epigenetics to advance understanding and treatment of human disease.

Medicine International

Medicine International

An International Open Access Journal Devoted to General Medicine.

Journal Cover
March-2018 Volume 17 Issue 3

Full Size Image

Sign up for eToc alerts
Recommend to Library

  • Article
  • Citations
    • Cite This Article
    • Download Citation
    • Create Citation Alert
    • Remove Citation Alert
    • Cited By
  • Similar Articles
    • Related Articles (in Spandidos Publications)
    • Similar Articles (Google Scholar)
    • Similar Articles (PubMed)
  • Download PDF
  • Download XML
  • View XML
Article Open Access

Effect of a synthetic inhibitor of urokinase plasminogen activator on the migration and invasion of human cervical cancer cells in vitro

  • Authors:
    • Xuechun Wang
    • Zhongqing Jiang
    • Jian An
    • Xiaodan Mao
    • Fen Lin
    • Pengming Sun
  • View Affiliations / Copyright

    Affiliations: Laboratory of Gynecologic Oncology, Fujian Provincial Maternity and Children Hospital, Affiliated Hospital of Fujian Medical University, Fuzhou, Fujian 350001, P.R. China, Department of Gynecology, Xiamen Hospital of Traditional Chinese Medicine, Xiamen, Fujian 361009, P.R. China
    Copyright: © Wang et al. This is an open access article distributed under the terms of Creative Commons Attribution License.
  • Pages: 4273-4280
    |
    Published online on: January 9, 2018
       https://doi.org/10.3892/mmr.2018.8414
  • Expand metrics +
Metrics: Total Views: 0 (Spandidos Publications: | PMC Statistics: )
Metrics: Total PDF Downloads: 0 (Spandidos Publications: | PMC Statistics: )
Cited By (CrossRef): 0 citations Loading Articles...

This article is mentioned in:



Abstract

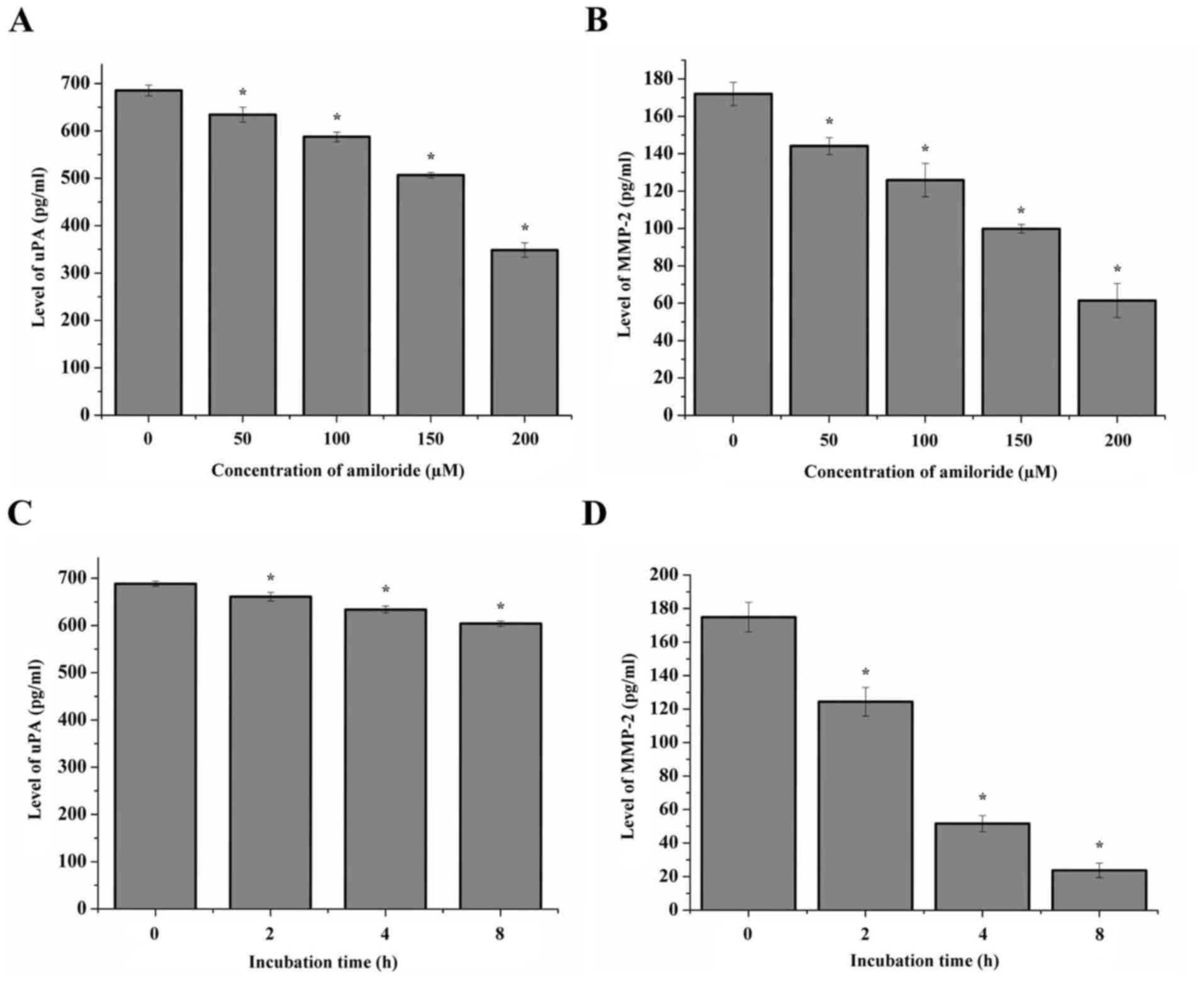
As a notable feature of malignant tumors, invasion and metastasis are important events in the process of tumor progression. Amiloride, a synthetic inhibitor of urokinase plasminogen activator (uPA), is involved in these events. To evaluate the therapeutic value of amiloride in cervical cancer, HeLa cells were used as in vitro cellular models. The migration and invasion abilities of HeLa cells, in addition to the mRNA expression of matriptase, uPA, uPA receptor and 72 kDa type IV collagenase (MMP‑2), were detected using scratch assays, Transwell chamber assays and reverse transcription‑quantitative polymerase chain reaction (RT‑qPCR). The results of RT‑qPCR demonstrated that the mRNA expression of uPA and MMP‑2 in HeLa cells was downregulated significantly in a dose‑dependent manner when incubated with various concentrations of amiloride for 24 h. The migration distance of HeLa cells was significantly shorter at 6, 12 and 24 h following incubation with amiloride (P<0.01), and there was a positive correlation between cell migratory ability and cellular uPA protein expression level (r=0.955, P<0.01). The number of HeLa cells that penetrated the Matrigel following incubation for 24 h with different concentrations of amiloride decreased significantly compared with the control group, indicating that cell invasiveness was positively correlated with the protein expression level of uPA in the cells (r=0.993, P<0.01). The present study demonstrated that amiloride was able to specifically inhibit the mRNA expression levels of uPA in HeLa cells, and sequentially downregulate the mRNA expression of downstream MMP‑2 in the uPA system, thereby suppressing the migratory and invasive ability of HeLa cells. Therefore, amiloride may be a promising therapeutic target for the treatment of cervical cancer.
View Figures

Figure 1

Figure 2

Figure 3

Figure 4

Figure 5

View References

1 

de Sanjosé S, Diaz M, Castellsagué X, Clifford G, Bruni L, Muñoz N and Bosch FX: Worldwide prevalence and genotype distribution of cervical human papillomavirus DNA in women with normal cytology: A meta-analysis. Lancet Infect Dis. 7:453–459. 2007. View Article : Google Scholar : PubMed/NCBI

2 

Ferlay J, Shin HR, Bray F, Forman D, Mathers C and Parkin DM: Estimates of worldwide burden of cancer in 2008: GLOBOCAN, 2008. Int J Cancer. 127:2893–2917. 2010. View Article : Google Scholar : PubMed/NCBI

3 

Sahasrabuddhe VV, Parham GP, Mwanahamuntu MH and Vermund SH: Cervical cancer prevention in low- and middle-income countries: Feasible, affordable, essential. Cancer Prev Res (Phila). 5:11–17. 2011. View Article : Google Scholar : PubMed/NCBI

4 

Hildenbrand R, Allgayer H, Marx A and Stroebel P: Modulators of the urokinase-type plasminogen activation system for cancer. Expert Opin Invest Drugs. 19:641–652. 2010. View Article : Google Scholar

5 

Blasi F and Sidenius N: The urokinase receptor: Focused cell surface proteolysis, cell adhesion and signaling. FEBS Lett. 584:1923–1930. 2010. View Article : Google Scholar : PubMed/NCBI

6 

Mekkawy AH, Morris DL and Pourgholami MH: Urokinase plasminogen activator system as a potential target for cancer therapy. Future Oncol. 5:1487–1499. 2009. View Article : Google Scholar : PubMed/NCBI

7 

Daneri-Navarro A, Macias-Lopez G, Oceguera-Villanueva A, Del Toro-Arreola S, Bravo-cuellar A, Perez-montfort R and Orbach-arbouys S: Urokinase-type plasminogen activator and plasminogen activator inhibitors (PAI-1 and PAI-2) in extracts of invasive cervical carcinoma and precursor lesions. Eur J Cancer. 34:566–569. 1998. View Article : Google Scholar : PubMed/NCBI

8 

Santin AD, Cane' S, Bellone S, Bignotti E, Palmieri M, De Las Casas LE, Anfossi S, Roman JJ, O'Brien T and Pecorelli S: The novel serine protease tumor-associated differentially expressed gene-15 (matriptase/MT-SP1) is highly overexpressed in cervical carcinoma. Cancer. 98:1898–1904. 2003. View Article : Google Scholar : PubMed/NCBI

9 

Watanabe H: Extracellular matrix-regulation of cancer invasion and metastasis. Gan To Kagaku Ryoho. 37:2058–2061. 2010.PubMed/NCBI

10 

Webb SL, Sanders AJ, Mason MD and Jiang WG: Type II transmembrane serine protease (TTSP) deregulation in cancer. Front Biosci. 16:539–552. 2011. View Article : Google Scholar

11 

Zitka O, Kukacka J, Krizkova S, Huska D, Adam V, Masarik M, Prusa R and Kizek R: Matrix metalloproteinases. Curr Med Chem. 17:3751–3768. 2010. View Article : Google Scholar : PubMed/NCBI

12 

List K: Matriptase: A culprit in cancer? Future Oncol. 5:97–104. 2009. View Article : Google Scholar : PubMed/NCBI

13 

Jankun J and Skrzypczakjankun E: Molecular basis of specific inhibition of urokinase plasminogen activator by amiloride. Cancer Biochem Biophys. 17:109–123. 1999.PubMed/NCBI

14 

Vassalli JD and Belin D: Amiloride selectively inhibits the urokinase-type plasminogen activator. FEBS Lett. 214:187–191. 1987. View Article : Google Scholar : PubMed/NCBI

15 

Livak KJ and Schmittgen TD: Analysis of relative gene expression data using real-time quantitative PCR and the 2(-Delta Delta C(T)) method. Methods. 25:402–408. 2001. View Article : Google Scholar : PubMed/NCBI

16 

Liu Y, Han Y, Zhang H, Nie L, Jiang Z, Fa P, Gui Y and Cai Z: Synthetic miRNA-Mowers targeting miR-183-96-182 cluster or miR-210 inhibit growth and migration and induce apoptosis in bladder cancer cells. PLoS One. 7:e522802012. View Article : Google Scholar : PubMed/NCBI

17 

Qi S, Song Y, Peng Y, Wang H, Long H, Yu X, Li Z, Fang L, Wu A, Luo W, et al: ZEB2 mediates multiple pathways regulating cell proliferation, migration, invasion and apoptosis in glioma. PLoS One. 7:e388422012. View Article : Google Scholar : PubMed/NCBI

18 

Mignatti P and Rifkin DB: Biology and biochemistry of proteinases in tumor invasion. Physiol Rev. 73:161–195. 1993. View Article : Google Scholar : PubMed/NCBI

19 

Jones JL and Walker RA: Control of matrix metalloproteinase activity in cancer. J Pathol. 183:377–399. 1997. View Article : Google Scholar : PubMed/NCBI

20 

Lijnen HR: Matrix metalloproteinases and cellular fibrinolytic activity. Biochemistry. 67:92–98. 2002.PubMed/NCBI

21 

Overall CM and Kleifeld O: Tumour microenvironment-opinion: Validating matrix metalloproteinases as drug targets and anti-targets for cancer therapy. Nature Rev Cancer. 6:227–239. 2006. View Article : Google Scholar

22 

Libra M, Scalisi A, Vella N, Clementi S, Sorio R, Stivala F, Spandidos DA and Mazzarino C: Uterine cervical carcinoma: Role of matrix metalloproteinases (Review). Int J Oncol. 34:897–903. 2009. View Article : Google Scholar : PubMed/NCBI

23 

Baltazarrodriguez LM, Anayaventura A, Andradesoto M, Monrroy-Guizar EA, Bautista-Lam JR, Jonguitud-Olguin G, Cepeda-Lopez FR, Centeno-Aguilar VA, Gonzalez-Hernandez NA, Soriano-Hernández AD, et al: Polymorphism in the matrix metalloproteinase-2 gene promoter is associated with cervical neoplasm risk in Mexican women. Biochem Genet. 46:137–144. 2008. View Article : Google Scholar : PubMed/NCBI

24 

Lin CY, Tseng IC, Chou FP, Su SF, Chen YW, Johnson MD and Dickson RB: Zymogen activation, inhibition and ectodomain shedding of matriptase. Front Biosci. 13:621–635. 2008. View Article : Google Scholar : PubMed/NCBI

25 

Lee JW, Song S, Choi JJ, Lee SJ, Kim BG, Park CS, Lee JH, Lin CY, Dickson RB and Bae DS: Increased expression of matriptase is associated with histopathologic grades of cervical neoplasia. Hum Pathol. 36:626–633. 2005. View Article : Google Scholar : PubMed/NCBI

26 

Danø K, Andreasen PA, Grøndahl-Hansen J, Kristensen P, Nielsen LS and Skriver L: Plasminogen activators, tissue degradation and cancer. Adv Cancer Res. 44:139–266. 1985. View Article : Google Scholar : PubMed/NCBI

27 

Saksela O and Rifkin DB: Cell-associated plasminogen activation: regulation and physiological functions. Annu Rev Cell Biol. 4:93–126. 1988. View Article : Google Scholar : PubMed/NCBI

28 

Wang Y, Jones CJ and Dang J: Human urokinase receptor expression is inhibited by amiloride and induced by tumor necrosis factor and phorbol ester in colon cancer cells. FEBS Lett. 353:138–142. 1994. View Article : Google Scholar : PubMed/NCBI

29 

Wang Y, Dang J, Liang X and Doe WF: Amiloride modulates urokinase gene expression at both transcription and post-transcription levels in human colon cancer cells. Clin Exp Metastasis. 13:196–202. 1995. View Article : Google Scholar : PubMed/NCBI

30 

Klinghofer V, Stewart K, Mcgonigal T, Smith R, Sarthy A, Nienaber V, Butler C, Dorwin S, Richardson P, Weitzberg M, et al: Species specificity of amidine-based urokinase inhibitors. Biochemistry. 40:9125–9131. 2001. View Article : Google Scholar : PubMed/NCBI

31 

Park KS, Poburko D, Wollheim CB and Demaurex N: Amiloride derivatives induce apoptosis by depleting ER Ca(2+) stores in vascular endothelial cells. Br J Pharmacol. 156:1296–1304. 2009. View Article : Google Scholar : PubMed/NCBI

32 

Matthews H, Ranson M and Kelso MJ: Anti-tumour/metastasis effects of the potassium-sparing diuretic amiloride: An orally active anti-cancer drug waiting for its call-of-duty? Int J Cancer. 129:2051–2061. 2011. View Article : Google Scholar : PubMed/NCBI

Related Articles

  • Abstract
  • View
  • Download
  • Twitter
Copy and paste a formatted citation
Spandidos Publications style
Wang X, Jiang Z, An J, Mao X, Lin F and Sun P: Effect of a synthetic inhibitor of urokinase plasminogen activator on the migration and invasion of human cervical cancer cells in vitro. Mol Med Rep 17: 4273-4280, 2018.
APA
Wang, X., Jiang, Z., An, J., Mao, X., Lin, F., & Sun, P. (2018). Effect of a synthetic inhibitor of urokinase plasminogen activator on the migration and invasion of human cervical cancer cells in vitro. Molecular Medicine Reports, 17, 4273-4280. https://doi.org/10.3892/mmr.2018.8414
MLA
Wang, X., Jiang, Z., An, J., Mao, X., Lin, F., Sun, P."Effect of a synthetic inhibitor of urokinase plasminogen activator on the migration and invasion of human cervical cancer cells in vitro". Molecular Medicine Reports 17.3 (2018): 4273-4280.
Chicago
Wang, X., Jiang, Z., An, J., Mao, X., Lin, F., Sun, P."Effect of a synthetic inhibitor of urokinase plasminogen activator on the migration and invasion of human cervical cancer cells in vitro". Molecular Medicine Reports 17, no. 3 (2018): 4273-4280. https://doi.org/10.3892/mmr.2018.8414
Copy and paste a formatted citation
x
Spandidos Publications style
Wang X, Jiang Z, An J, Mao X, Lin F and Sun P: Effect of a synthetic inhibitor of urokinase plasminogen activator on the migration and invasion of human cervical cancer cells in vitro. Mol Med Rep 17: 4273-4280, 2018.
APA
Wang, X., Jiang, Z., An, J., Mao, X., Lin, F., & Sun, P. (2018). Effect of a synthetic inhibitor of urokinase plasminogen activator on the migration and invasion of human cervical cancer cells in vitro. Molecular Medicine Reports, 17, 4273-4280. https://doi.org/10.3892/mmr.2018.8414
MLA
Wang, X., Jiang, Z., An, J., Mao, X., Lin, F., Sun, P."Effect of a synthetic inhibitor of urokinase plasminogen activator on the migration and invasion of human cervical cancer cells in vitro". Molecular Medicine Reports 17.3 (2018): 4273-4280.
Chicago
Wang, X., Jiang, Z., An, J., Mao, X., Lin, F., Sun, P."Effect of a synthetic inhibitor of urokinase plasminogen activator on the migration and invasion of human cervical cancer cells in vitro". Molecular Medicine Reports 17, no. 3 (2018): 4273-4280. https://doi.org/10.3892/mmr.2018.8414
Follow us
  • Twitter
  • LinkedIn
  • Facebook
About
  • Spandidos Publications
  • Careers
  • Cookie Policy
  • Privacy Policy
How can we help?
  • Help
  • Live Chat
  • Contact
  • Email to our Support Team