Spandidos Publications Logo
  • About
    • About Spandidos
    • Aims and Scopes
    • Abstracting and Indexing
    • Editorial Policies
    • Reprints and Permissions
    • Job Opportunities
    • Terms and Conditions
    • Contact
  • Journals
    • All Journals
    • Oncology Letters
      • Oncology Letters
      • Information for Authors
      • Editorial Policies
      • Editorial Board
      • Aims and Scope
      • Abstracting and Indexing
      • Bibliographic Information
      • Archive
    • International Journal of Oncology
      • International Journal of Oncology
      • Information for Authors
      • Editorial Policies
      • Editorial Board
      • Aims and Scope
      • Abstracting and Indexing
      • Bibliographic Information
      • Archive
    • Molecular and Clinical Oncology
      • Molecular and Clinical Oncology
      • Information for Authors
      • Editorial Policies
      • Editorial Board
      • Aims and Scope
      • Abstracting and Indexing
      • Bibliographic Information
      • Archive
    • Experimental and Therapeutic Medicine
      • Experimental and Therapeutic Medicine
      • Information for Authors
      • Editorial Policies
      • Editorial Board
      • Aims and Scope
      • Abstracting and Indexing
      • Bibliographic Information
      • Archive
    • International Journal of Molecular Medicine
      • International Journal of Molecular Medicine
      • Information for Authors
      • Editorial Policies
      • Editorial Board
      • Aims and Scope
      • Abstracting and Indexing
      • Bibliographic Information
      • Archive
    • Biomedical Reports
      • Biomedical Reports
      • Information for Authors
      • Editorial Policies
      • Editorial Board
      • Aims and Scope
      • Abstracting and Indexing
      • Bibliographic Information
      • Archive
    • Oncology Reports
      • Oncology Reports
      • Information for Authors
      • Editorial Policies
      • Editorial Board
      • Aims and Scope
      • Abstracting and Indexing
      • Bibliographic Information
      • Archive
    • Molecular Medicine Reports
      • Molecular Medicine Reports
      • Information for Authors
      • Editorial Policies
      • Editorial Board
      • Aims and Scope
      • Abstracting and Indexing
      • Bibliographic Information
      • Archive
    • World Academy of Sciences Journal
      • World Academy of Sciences Journal
      • Information for Authors
      • Editorial Policies
      • Editorial Board
      • Aims and Scope
      • Abstracting and Indexing
      • Bibliographic Information
      • Archive
    • International Journal of Functional Nutrition
      • International Journal of Functional Nutrition
      • Information for Authors
      • Editorial Policies
      • Editorial Board
      • Aims and Scope
      • Abstracting and Indexing
      • Bibliographic Information
      • Archive
    • International Journal of Epigenetics
      • International Journal of Epigenetics
      • Information for Authors
      • Editorial Policies
      • Editorial Board
      • Aims and Scope
      • Abstracting and Indexing
      • Bibliographic Information
      • Archive
    • Medicine International
      • Medicine International
      • Information for Authors
      • Editorial Policies
      • Editorial Board
      • Aims and Scope
      • Abstracting and Indexing
      • Bibliographic Information
      • Archive
  • Articles
  • Information
    • Information for Authors
    • Information for Reviewers
    • Information for Librarians
    • Information for Advertisers
    • Conferences
  • Language Editing
Spandidos Publications Logo
  • About
    • About Spandidos
    • Aims and Scopes
    • Abstracting and Indexing
    • Editorial Policies
    • Reprints and Permissions
    • Job Opportunities
    • Terms and Conditions
    • Contact
  • Journals
    • All Journals
    • Biomedical Reports
      • Information for Authors
      • Editorial Policies
      • Editorial Board
      • Aims and Scope
      • Abstracting and Indexing
      • Bibliographic Information
      • Archive
    • Experimental and Therapeutic Medicine
      • Information for Authors
      • Editorial Policies
      • Editorial Board
      • Aims and Scope
      • Abstracting and Indexing
      • Bibliographic Information
      • Archive
    • International Journal of Epigenetics
      • Information for Authors
      • Editorial Policies
      • Editorial Board
      • Aims and Scope
      • Abstracting and Indexing
      • Bibliographic Information
      • Archive
    • International Journal of Functional Nutrition
      • Information for Authors
      • Editorial Policies
      • Editorial Board
      • Aims and Scope
      • Abstracting and Indexing
      • Bibliographic Information
      • Archive
    • International Journal of Molecular Medicine
      • Information for Authors
      • Editorial Policies
      • Editorial Board
      • Aims and Scope
      • Abstracting and Indexing
      • Bibliographic Information
      • Archive
    • International Journal of Oncology
      • Information for Authors
      • Editorial Policies
      • Editorial Board
      • Aims and Scope
      • Abstracting and Indexing
      • Bibliographic Information
      • Archive
    • Medicine International
      • Information for Authors
      • Editorial Policies
      • Editorial Board
      • Aims and Scope
      • Abstracting and Indexing
      • Bibliographic Information
      • Archive
    • Molecular and Clinical Oncology
      • Information for Authors
      • Editorial Policies
      • Editorial Board
      • Aims and Scope
      • Abstracting and Indexing
      • Bibliographic Information
      • Archive
    • Molecular Medicine Reports
      • Information for Authors
      • Editorial Policies
      • Editorial Board
      • Aims and Scope
      • Abstracting and Indexing
      • Bibliographic Information
      • Archive
    • Oncology Letters
      • Information for Authors
      • Editorial Policies
      • Editorial Board
      • Aims and Scope
      • Abstracting and Indexing
      • Bibliographic Information
      • Archive
    • Oncology Reports
      • Information for Authors
      • Editorial Policies
      • Editorial Board
      • Aims and Scope
      • Abstracting and Indexing
      • Bibliographic Information
      • Archive
    • World Academy of Sciences Journal
      • Information for Authors
      • Editorial Policies
      • Editorial Board
      • Aims and Scope
      • Abstracting and Indexing
      • Bibliographic Information
      • Archive
  • Articles
  • Information
    • For Authors
    • For Reviewers
    • For Librarians
    • For Advertisers
    • Conferences
  • Language Editing
Login Register Submit
  • This site uses cookies
  • You can change your cookie settings at any time by following the instructions in our Cookie Policy. To find out more, you may read our Privacy Policy.

    I agree
Search articles by DOI, keyword, author or affiliation
Search
Advanced Search
presentation
Molecular Medicine Reports
Join Editorial Board Propose a Special Issue
Print ISSN: 1791-2997 Online ISSN: 1791-3004
Journal Cover
May-2022 Volume 25 Issue 5

Full Size Image

Sign up for eToc alerts
Recommend to Library

Journals

International Journal of Molecular Medicine

International Journal of Molecular Medicine

International Journal of Molecular Medicine is an international journal devoted to molecular mechanisms of human disease.

International Journal of Oncology

International Journal of Oncology

International Journal of Oncology is an international journal devoted to oncology research and cancer treatment.

Molecular Medicine Reports

Molecular Medicine Reports

Covers molecular medicine topics such as pharmacology, pathology, genetics, neuroscience, infectious diseases, molecular cardiology, and molecular surgery.

Oncology Reports

Oncology Reports

Oncology Reports is an international journal devoted to fundamental and applied research in Oncology.

Experimental and Therapeutic Medicine

Experimental and Therapeutic Medicine

Experimental and Therapeutic Medicine is an international journal devoted to laboratory and clinical medicine.

Oncology Letters

Oncology Letters

Oncology Letters is an international journal devoted to Experimental and Clinical Oncology.

Biomedical Reports

Biomedical Reports

Explores a wide range of biological and medical fields, including pharmacology, genetics, microbiology, neuroscience, and molecular cardiology.

Molecular and Clinical Oncology

Molecular and Clinical Oncology

International journal addressing all aspects of oncology research, from tumorigenesis and oncogenes to chemotherapy and metastasis.

World Academy of Sciences Journal

World Academy of Sciences Journal

Multidisciplinary open-access journal spanning biochemistry, genetics, neuroscience, environmental health, and synthetic biology.

International Journal of Functional Nutrition

International Journal of Functional Nutrition

Open-access journal combining biochemistry, pharmacology, immunology, and genetics to advance health through functional nutrition.

International Journal of Epigenetics

International Journal of Epigenetics

Publishes open-access research on using epigenetics to advance understanding and treatment of human disease.

Medicine International

Medicine International

An International Open Access Journal Devoted to General Medicine.

Journal Cover
May-2022 Volume 25 Issue 5

Full Size Image

Sign up for eToc alerts
Recommend to Library

  • Article
  • Citations
    • Cite This Article
    • Download Citation
    • Create Citation Alert
    • Remove Citation Alert
    • Cited By
  • Similar Articles
    • Related Articles (in Spandidos Publications)
    • Similar Articles (Google Scholar)
    • Similar Articles (PubMed)
  • Download PDF
  • Download XML
  • View XML

  • Supplementary Files
    • Supplementary_Data.pdf
Article Open Access

KLF4 downregulates FGF21 to activate inflammatory injury and oxidative stress of LPS‑induced ATDC5 cells via SIRT1/NF‑κB/p53 signaling

  • Authors:
    • Xi Chen
    • Jia Wen
    • Chaoqi Liu
    • Donggeng Guo
  • View Affiliations / Copyright

    Affiliations: Rheumatology and Immunology Department, People's Hospital of Ningxia Hui Autonomous Region, Yinchuan, Ningxia Hui Autonomous Region 750000, P.R. China, Journal of Modern Clinical Medicine, General Hospital of Ningxia Medical University, Yinchuan, Ningxia Hui Autonomous Region 750000, P.R. China, Central Laboratory, People's Hospital of Ningxia Hui Autonomous Region, Yinchuan, Ningxia Hui Autonomous Region 750000, P.R. China
    Copyright: © Chen et al. This is an open access article distributed under the terms of Creative Commons Attribution License.
  • Article Number: 164
    |
    Published online on: March 14, 2022
       https://doi.org/10.3892/mmr.2022.12680
  • Expand metrics +
Metrics: Total Views: 0 (Spandidos Publications: | PMC Statistics: )
Metrics: Total PDF Downloads: 0 (Spandidos Publications: | PMC Statistics: )
Cited By (CrossRef): 0 citations Loading Articles...

This article is mentioned in:



Abstract

Ankylosing spondylitis (AS) is a chronic inflammatory disease. Transcriptional regulation of fibroblast growth factor 21 (FGF21) by the transcription factor Krüppel‑like factor 4 (KLF4) serves an important role in chronic inflammatory disease. However, to the best of our knowledge, the role of both these factors in AS has not been previously reported. In the present study, ATDC5 cells were induced by lipopolysaccharide (LPS) to establish an AS inflammatory injury model. The expression levels of FGF21 and KLF4 were detected using reverse transcription‑quantitative PCR and western blotting. Cell transfection was performed to alter the expression levels of KLF4 and FGF21. Subsequently, the regulatory effects and mechanisms underlying KLF4 and FGF21 on oxidative stress and inflammation in AS were investigated by performing Cell Counting Kit‑8 assays, ELISAs, TUNEL staining and western blotting. Moreover, the expression levels of sirtuin 1 (SIRT1)/NF‑κB/p53 pathway‑related proteins were detected via western blotting. FGF21 overexpression promoted LPS‑induced viability on ATDC5 cells, inhibited LPS‑induced apoptosis, and decreased the LPS‑induced inflammatory response and oxidative stress levels of ATDC5 cells. Overexpression of the transcription factor KLF4 reversed the protective effect of FGF21 overexpression on LPS‑induced inflammatory injury in ATDC5 cells. The results suggested that this process may be achieved via regulating the SIRT1/NF‑κB/p53 signaling pathway. Overall, the present study demonstrated that KLF4 downregulates FGF21 to activate inflammatory injury and oxidative stress of LPS‑induced ATDC5 cells via SIRT1/NF‑κB/p53 signaling.

Introduction

Ankylosing spondylitis (AS) is a type of immune inflammatory disease that primarily affects the spine and sacroiliac joints. The majority of patients develop AS between the ages of 18–22 years, with a male to female ratio of 2:1 (1,2). AS is a highly disabling disease, and numerous patients require surgical correction of morphological deformities caused by joint involvement as traditional symptomatic treatment is ineffective (3). AS is associated with immune disorders, cytokine imbalance and genetic factors, but the exact cause of the disease is not completely understood (4). Therefore, in recent years, the exploration of the mechanism underlying AS and the search for targeted drugs for the treatment of AS have become novel research hotspots.

Recent studies have reported that oxidative stress and inflammation serve a crucial role in the occurrence and development of AS (5,6). In the active stage of AS, there are high levels of oxidative stress, and the biomarkers of oxidative damage are significantly increased (7). In addition, the early stage of AS is primarily characterized by inflammatory bone destruction. With the development of the disease, inflammatory bone destruction and new bone formation can occur simultaneously, indicating that the inflammatory response serves a key role in the pathogenesis of AS (8). Furthermore, there is a close relationship between oxidative stress and inflammation. After the activation of inflammatory cells, a variety of cytokines, such as TNF-α, IL-1β and interferon-γ, can be produced, which then activate the cells to produce a large number of oxidative active substances. Solmaz et al (9) revealed that the level of oxidative stress in patients with AS was significantly higher compared with that in healthy subjects, and that the level of oxidative stress in patients with active disease state was higher compared with that in patients with inactive disease state and the control group. Therefore, the occurrence and development of AS can be controlled via the improvement of the oxidative stress and inflammatory response in AS.

Fibroblast growth factor 21 (FGF21) is a polypeptide hormone that regulates energy homeostasis and is synthesized by numerous organs (10). The mechanism of action underlying FGF21 is complex, and it can exert different metabolic functions in multiple target organs in the form of autocrine, paracrine and endocrine factors (11). Increasing evidence has suggested that FGF21 is associated with a variety of chronic inflammatory diseases. A previous study has shown that the expression level of FGF21 was significantly reduced in the cartilage of mice with rheumatoid arthritis (12). FGF21 also improves collagen-induced arthritis by regulating oxidative stress and inhibiting the NF-κB signaling pathway (13). Furthermore, it has been revealed that metformin improves experimental obesity-related autoimmune arthritis by inducing FGF21 expression (14). However, to the best of our knowledge, the effect of FGF21 on oxidative stress and inflammation in AS has not been previously reported.

KLF, a zinc finger protein family with several structurally similar members, serves an important role in gene transcriptional regulation in eukaryotic cells (15). KLF4 is a nuclear transcription factor with important biological functions. Currently, KLF4 is widely studied in chronic inflammatory diseases. For instance, KLF4 expression is increased in the synovial tissues of patients with rheumatoid arthritis, and KLF4 deficiency reduces the inflammatory response induced by collagen antibodies (16). Therefore, we hypothesized that the binding of the transcription factor KLF4 with the FGF21 promoter serves an important role in AS.

A previous study reported that FGF21 could regulate the expression of the sirtuin 1 (SIRT1) signaling pathway, serving a role in the development of diseases, such as acute pancreatitis and myocardial energy metabolism disease (17,18). The expression levels of anti-SIRT1 autoantibodies in patients with AS are abnormally high, indicating that anti-SIRT1 autoantibodies could be used as a marker for early diagnosis and prediction of hip involvement in AS (19). In addition, SIRT1 can improve the inflammatory response in diseases by blocking the NF-κB/p53 signaling pathway (20,21).

Therefore, the present study aimed to investigate the regulatory role and mechanism underlying KLF4 on FGF21 in AS to provide a theoretical basis for the pathogenesis and targeted therapy of AS.

Materials and methods

Cell culture and treatments

Mouse chondrocyte ATDC5 cells were obtained from The Cell Bank of Type Culture Collection of The Chinese Academy of Sciences (Chinese Academy of Sciences, Shanghai, China). Cells were cultured in DMEM (Gibco; Thermo Fisher Scientific, Inc.) with 10% FBS (Gibco; Thermo Fisher Scientific, Inc.) with 5% CO2 at 37°C. Subsequently, 5 µg/ml lipopolysaccharide (LPS; Sigma-Aldrich; Merck KGaA) was added to the cells for 12 h to establish the AS inflammatory injury model.

Database

The interaction between KLF4 and FGF21 was predicted by bioinformatics analysis using the JASPAR database (jaspar.genereg.net).

RNA extraction and reverse transcription-quantitative PCR (RT-qPCR)

Total RNA was extracted from cells using TRIzol® reagent (Invitrogen; Thermo Fisher Scientific, Inc.), and reverse transcribed into cDNA using the High Capacity cDNA Reverse Transcription kit according to the manufacturer's protocol and random hexamer primers (Applied Biosystems; Thermo Fisher Scientific, Inc.). The following thermocycling conditions were used for qPCR: Initial denaturation at 95°C for 5 min; followed by 40 cycles of denaturation at 95°C for 30 sec and annealing at 60°C for 30 sec; and final extension at 72°C for 20 sec. qPCR was performed using a SYBR Green PCR Master Mix (Applied Biosystems; Thermo Fisher Scientific, Inc.). mRNA expression levels were quantified using the 2−∆∆Cq method (22). The sequences of the primers used for qPCR were as follows: FGF21 forward, 5′-AGATCAGGGAGGACGGAACA-3′ and reverse, 5′-TCAGGATCAAAGTGAGGCGAT-3′; TNF-α forward, 5′-CCACCACGCTCTTCTGTCTA-3′ and reverse, 5′-ACTGATGAGAGGGAGCCCATT-3′; IL-6 forward, 5′-ACTGATGAGAGGGAGCCCATT-3′ and reverse, 5′-ACTGATGAGAGGGAGCCCATT-3′; IL-1β forward, 5′-TAGGGCTGGCAGAAAGGGAACA-3′ and reverse, 5′-GTGGGAGCGAATGACAGAGGGT-3′; KLF4 forward, 5′-CGGGCTGATGGGCAAGTT-3′ and reverse, 5′-GGGCAGGAAGGATGGGTAA-3′; and GAPDH forward, 5′-TGAAGGTCGGAGTCAACGG-3′ and reverse, 5′-CCTGGAAGATGGTGATGGG-3′. GAPDH was used as the internal reference gene.

Western blotting

Total protein was extracted from ATDC5 cells using RIPA reagent (Protech Technology Enterprise Co., Ltd.). Protein concentrations were determined using a BCA kit (Abcam). Proteins (30 µg per lane) were separated via 10% SDS-PAGE and then transferred to PVDF membranes. After blocking with 5% fat-free milk was used for 1.5 h at 37°C, the membranes were incubated at 4°C overnight with the following antibodies: Anti-FGF21 (1:1,000; Abcam; cat. no. ab171941), anti-KLF4 (1:1,000; Abcam; cat. no. ab214666), anti-Bcl-2 (1:1,000; Abcam; cat. no. ab182858), anti-Bax (1:1,000; Abcam; cat. no. ab32503), anti-cleaved caspase 3 (1:1,000; Abcam; cat. no. ab32042), anti-SIRT1 (1:1,000; Abcam; cat. no. ab110304), anti-phosphorylated (p)-NF-κB p65 (1:1,000; Abcam; cat. no. ab239882), anti-NF-κB p65 (1:1,000; Abcam; cat. no. ab207297), anti-Acetyl-p53 (1:1,000; Abcam; cat. no. ab17496) and GAPDH (1:1,000; Abcam; cat. no. ab8245). Subsequently, the membrane was incubated with a Goat Anti-Rabbit IgG H&L HRP-conjugated secondary antibody (1:5,000; Abcam; cat. no. ab70902) a Goat Anti-Mouse IgG H&L (Alexa Fluor® 488) secondary antibody (1:5,000; Abcam; cat. no. ab150117) at room temperature for 1 h. The bands were visualized using enhanced chemiluminescence reagent (GE Healthcare). Protein expression levels were semi-quantified using ImageJ software (version 1.46; National Institutes of Health) with GAPDH as the loading control.

Cell transfection

ATDC5 cells were seeded (1×106 cells/ml) into a 6-well plate and cultured for 12 h until the cells grew to ~80% confluence. Cells were transfected with 20 nM FGF21 overexpression (Ov) plasmid (Ov-FGF21; Shanghai GenePharma Co., Ltd.) or negative control (NC) plasmid (Ov-NC; empty vector) using Lipofectamine® 2000 (Invitrogen; Thermo Fisher Scientific, Inc.) according to the manufacturer's protocol.

The eukaryotic expression vector pcDNA3.1-KLF4 was constructed by Tiandz, Inc.. Cells were transfected with 20 nM pcDNA3.1-NC (an empty vector) or pcDNA3.1-KLF4 using Lipofectamine 2000. After transfection for 48 h at 37°C with 5% CO2, transfection efficiencies were assessed via RT-qPCR and western blotting.

Cell Counting Kit-8 (CCK-8) assay

ATDC5 cells were seeded (8×103 cells/ml/well) into 96-well plates and cultured for 12 h. After transfection, cell viability was assessed using a CCK-8 assay (Vazyme Biotech Co., Ltd.). Briefly, 10 µl CCK-8 solution was added to each well and incubated for 2 h at 37°C. The absorbance was measured at a wavelength of 450 nm using a VersaMax microplate reader (Molecular Devices, LLC).

TUNEL assay

ATDC5 cells were seeded (1×106 cells/well) into 6-well plates. After transfection, cells were fixed with 4% paraformaldehyde for 15 min at 37°C. After washing with PBS, TUNEL solution was added for 1 h at 37°C. Biotin labeling and subsequent DAB color development were performed for 10 min at 15°C using reagents provided in the kit according to the manufacturer's instructions. The cells were stained with 0.1 µg/ml DAPI for 10 min at room temperature, prior to detecting nuclear DNA fragmentation using the DeadEnd™ Fluorometric TUNEL system (Promega Corporation). Finally, after the cells were washed with PBS, five random fields of views were selected for analysis, in which cell apoptosis was observed using glass coverslips with PBS as mounting medium. Stained cells were visualized using an IX71 fluorescent microscope (Olympus Corporation).

ELISAs

The levels of IL-6 (cat. no. ab222503), IL-1β (cat. no. ab197742) and TNF-α (cat. no. ab208348) in the cell medium were measured using commercially available ELISA kits (all Abcam) according to the manufacturer's protocols. The levels of inflammatory cytokines from the cell supernatant were calculated from standard curves. Lactate dehydrogenase (LDH) levels in cell medium were measured using an LDH Cytotoxicity Assay kit (cat. no. A020-2-2, Nanjing Jiancheng Bioengineering Institute) according to the manufacturer's protocol.

Oxidative stress markers

Malondialdehyde (MDA; cat. no. A003-1-2), reduced glutathione (GSH; cat. no. A005-1-2) and superoxide dismutase (SOD; cat. no. A001-3-2) levels were determined using commercially available ELISA kits (all Nanjing Jiancheng Bioengineering Institute) according to the manufacturer's protocol.

Dual-luciferase reporter assay

The FGF21 reporter, which contains 1 kb of the FGF21 promoter, was created using RT-qPCR as aforementioned and cloned into the pGL3 plasmid (Shanghai GenePharma Co., Ltd). Then, 20 nM pcDNA3.1-KLF4 plasmid or 20 nM pcDNA3.1 plasmid and pGL3-FGF21 plasmid (WT and MUT version) were co-transfected into ATDC5 cells using Lipofectamine 2000 at 37°C for 48 h. At 48 h post-transfection, cells were harvested and luciferase activities were analyzed using a dual-luciferase assay kit (Promega Corporation) according to the manufacturer's protocol. Renilla luciferase activity was used to normalize the firefly luciferase activity.

Chromatin immunoprecipitation (ChIP) assay

Cells were collected and fixed with 1% formaldehyde for 15 min at 37°C, after which the cells were scraped and lysed in 100 µl SDS lysis buffer (Beyotime Institute of Biotechnology). After purified by soluble material, extracted proteins were immunoprecipitated using 5 µl KLF4 antibody (1:1,000; Abcam; cat. no. ab214666) or control rabbit IgG (1:1,000; Abcam; cat. no. ab133470)for 12 h at 4°C. Subsequently, 20 µl protein A+G agarose beads (Beyotime Institute of Biotechnology) was added and incubated for another 4 h at 4°C. After the supernatant was removed, the collected agarose beads were washed five times with 100 µl PBS (0.01 M; pH 7.4) and denatured by boiling for 5 min. The relative expression levels were determined via RT-qPCR according to the aforementioned protocol.

Statistical analysis

Comparisons among multiple groups were analyzed using one-way ANOVA followed by Tukey's post hoc test. Comparisons between two groups were analyzed using an unpaired Student's t-test. Statistical analyses were performed using GraphPad Prism software (version 22.0; GraphPad Software, Inc.). Data are presented as the mean ± standard deviation of three independent repeats. P<0.05 was considered to indicate a statistically significant difference.

Results

FGF21 overexpression increases viability and inhibits the apoptosis of LPS-induced ATDC5 cells

Western blotting and RT-qPCR were used to detect the expression levels of FGF21 in LPS-induced ATDC5 cells. The results demonstrated that the expression level of FGF21 was significantly decreased in the LPS-induced group compared with that in the control group (Fig. 1A and B). Subsequently, cell transfection was performed to overexpress FGF21 and cells were divided into control, Ov-NC and Ov-FGF21 groups. RT-qPCR and western blotting were used to assess cell transfection efficiency. Compared with that in the Ov-NC group, the expression level of FGF21 in Ov-FGF21 group was significantly increased, indicating successful transfection (Fig. 1C and D).

Figure 1.

FGF21 overexpression increases the activity of LPS-induced ATDC5 cells. FGF21 (A) protein and (B) mRNA expression levels were detected via western blotting and RT-qPCR, respectively. Transfection efficiency of Ov-FGF21 was detected via (C) western blotting and (D) RT-qPCR. (E) Cell viability was detected by performing an CCK-8 assay. (F) Cytotoxicity was detected using an LDH kit. ***P<0.001 vs. control or Ov-NC; ##P<0.01, ###P<0.001 vs. LPS + Ov-NC. FGF21, fibroblast growth factor 21; LPS, lipopolysaccharide; RT-qPCR, reverse transcription-quantitative PCR; Ov, overexpression; NC, negative control.

Subsequently, cells were divided into control, LPS, LPS + Ov-NC and LPS + Ov-FGF21 groups. Cell viability was detected by performing a CCK-8 assay. The results showed that the viability of cells in the LPS group was significantly decreased compared with that in the control group. Moreover, compared with that in the LPS + Ov-NC group, the cell viability of LPS-treated, FGF21-overexpression cells was significantly increased (Fig. 1E). LDH release by cells was detected using an LDH kit. Compared with that in the control group, the release of LDH by cells in the LPS group was significantly increased. However, LDH release by LPS-induced cells was significantly decreased by FGF21 overexpression compared with that in the LPS + Ov-NC group (Fig. 1F).

A TUNEL assay was conducted to detect apoptosis and western blotting was performed to detect the expression levels of apoptosis-related proteins. The apoptotic rate was significantly increased after LPS induction compared with that in the control group (Fig. 2A and B), which was accompanied by significantly decreased expression levels of Bcl-2 and significantly increased expression levels of Bax and cleaved caspase 3 (Fig. 2C). Compared with LPS + Ov-NC, the apoptotic rate was significantly decreased in the LPS + Ov-FGF21 group; this was accompanied by significantly increased expression levels of Bcl-2 and significantly decreased expression levels of Bax and cleaved caspase 3. These results indicated that FGF21 overexpression increased the activity and inhibited the apoptosis of LPS-induced ATDC5 cells.

Figure 2.

FGF21 overexpression inhibits the apoptosis of LPS-induced ATDC5 cells. Cell apoptosis was (A) detected by performing a TUNEL assay and (B) quantified. Magnification, ×200. (C) Apoptosis-related proteins were detected via western blotting. ***P<0.001 vs. control; #P<0.05, ##P<0.01 and ###P<0.001 vs. LPS + Ov-NC. FGF21, fibroblast growth factor 21; LPS, lipopolysaccharide; Ov, overexpression; NC, negative control.

FGF21 overexpression attenuates the inflammatory response and oxidative stress of LPS-induced ATDC5 cells

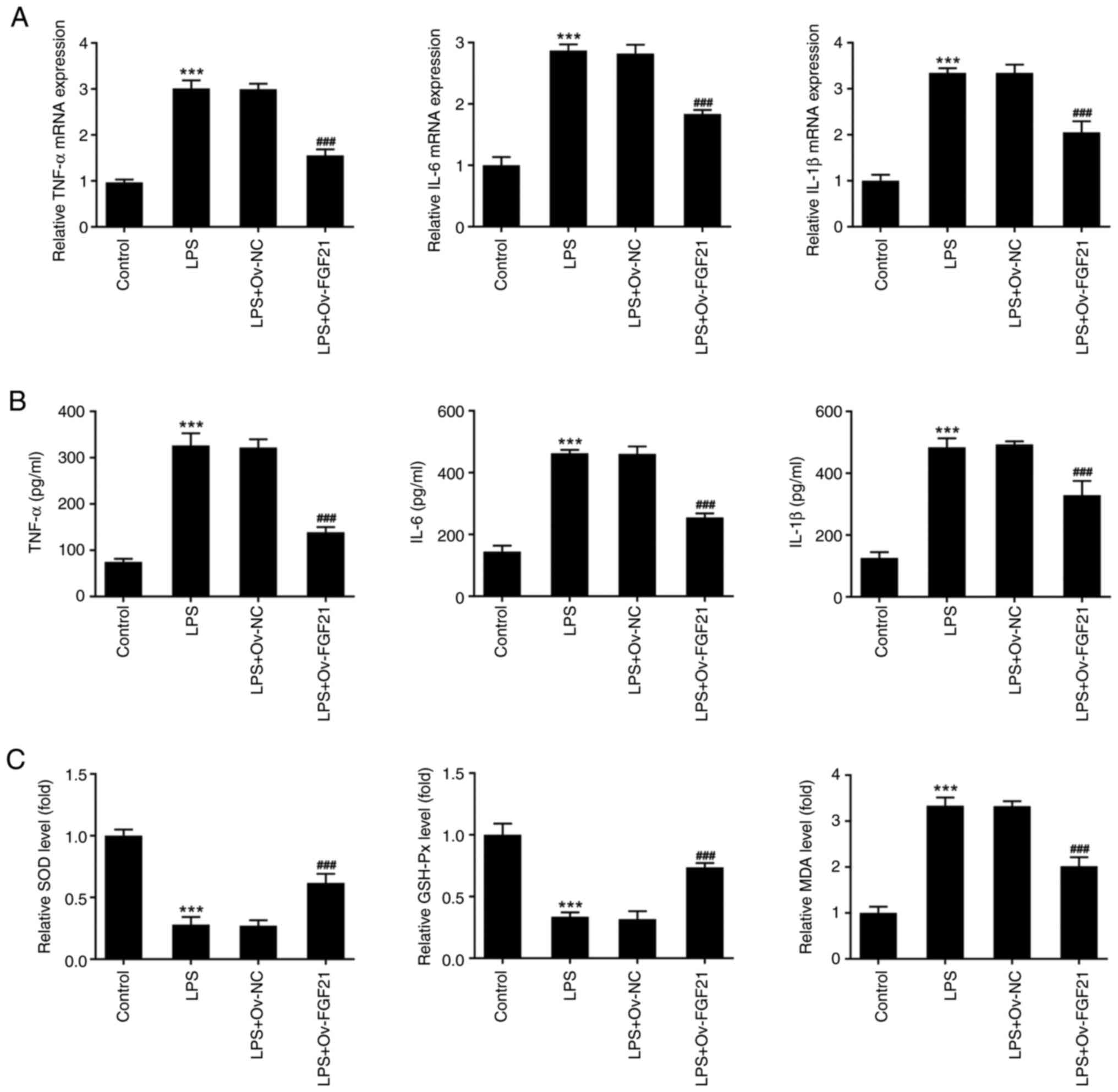
To verify the effect of FGF21 overexpression on the inflammatory response of cells, the expression levels of inflammation-related factors, including TNF-α, IL-6 and IL-1β, were detected via RT-qPCR and ELISAs. The expression levels of TNF-α, IL-6 and IL-1β in LPS-induced ATDC5 cells were significantly increased compared with those in the control group (Fig. 3A and B). Compared with those in the LPS + Ov-NC group, the expression levels of these inflammatory cytokines were significantly decreased in the LPS + Ov-FGF21 group.

Figure 3.

FGF21 overexpression attenuates the inflammatory response and oxidative stress of LPS-induced ATDC5 cells. (A) Reverse transcription-quantitative PCR was performed to detect the expression levels of TNF-α, IL-6 and IL-1β. (B) ELISA assays were performed to detect the levels of TNF-α, IL-6 and IL-1β. (C) Detection of oxidative stress levels. ***P<0.001 vs. Control; ###P<0.001 vs. LPS + Ov-NC. FGF21, fibroblast growth factor 21; LPS, lipopolysaccharide; Ov, overexpression; NC, negative control.

Oxidative stress levels in the cells were also measured. Compared with those in the control group, the levels of SOD and GSH-Px were significantly decreased in the LPS group, whereas the level of MDA was significantly increased. Compared with those in the LPS + Ov-NC group, the levels of SOD and GSH-Px were significantly increased in the LPS + Ov-FGF21 group, whereas the level of MDA was significantly decreased (Fig. 3C). These results revealed that FGF21 overexpression decreased the inflammatory response and oxidative stress of LPS-induced ATDC5 cells.

Transcription factor KLF4 inhibits FGF21 expression

The JASPAR database was used to predict the binding sites between KLF4 and FGF21 (Fig. 4A and B). Subsequently, the expression level of KLF4 in cells was detected via RT-qPCR and western blotting. KLF4 expression was significantly increased in the LPS group compared with that in the control group (Fig. 4C and D). Subsequently, the KLF4 overexpression plasmid was constructed, and the transfection efficiency was determined via RT-qPCR and western blotting. The expression level of KLF4 in the pcDNA3.1-KLF4 group was significantly increased compared with that in the pcDNA3.1 group (Fig. 4E and F).

Figure 4.

Transcription factor KLF4 inhibits FGF21 expression. (A and B) JASPAR was used to predict the binding of KLF4 and FGF21. (C) Western blotting and (D) RT-qPCR were performed to detect the expression levels of KLF4 in cells. ***P<0.001 vs. Control. (E) Western blotting and (F) RT-qPCR were performed to detect the expression levels of KLF4 following KLF4 overexpression in cells. (G) Luciferase reporter gene and (H) chromatin immunoprecipitation assays confirmed the relationship between KLF4 and FGF21. ***P<0.001 vs. pcDNA3.1. (I) Western blotting and (J) RT-qPCR were performed to detect the expression levels of FGF21 in transfected cells. ***P<0.001 vs. Control or pcDNA3.1; ###P<0.001 vs. LPS + Ov-FGF21; ΔP<0.05 and ΔΔΔP<0.001 vs. LPS + Ov-FGF21 + pcDNA3.1. KLF4, Krüppel-like factor 4; FGF21, fibroblast growth factor 21; RT-qPCR, reverse transcription-quantitative PCR; LPS, lipopolysaccharide; Ov, overexpression; WT, wild-type; MUT, mutant; NC, negative control.

Subsequently, the binding sites between FGF21 and KLF4 were verified using luciferase reporter gene assays. The S1 and S2 sequences of FGF21 were mutated (MUT), namely FGF21-MUT (S1) and FGF21-MUT (S2) (Fig. 4B). Compared with that in the pcDNA3.1 group, the luciferase activity in the pcDNA3.1-KLF4 group was significantly decreased in FGF21-WT (S1), whereas the activity level was not significantly altered in FGF21-MUT (S1). Similarly, there was no significant change in the luciferase activity of FGF21-WT (S2) and FGF21-MUT (S2) between the pcDNA3.1 and pcDNA3.1-KLF4 groups, indicating that the binding site of KLF4 and FGF21 was at the S1 site of FGF21 (Fig. 4G). The ChIP assay results also confirmed the association between FGF21 and KLF4 (Fig. 4F and H). Cells were divided into control, LPS, LPS + Ov-NC, LPS + Ov-FGF21, LPS + Ov-FGF21 + pcDNA3.1 and LPS + Ov-FGF21 + pcDNA3.1-KLF4 groups. The expression level of FGF21 was detected via RT-qPCR and western blotting. KLF4 overexpression significantly downregulated the expression level of FGF21 in cells compared with LPS + Ov-FGF21 + pcDNA3.1 (Fig. 4I and J). Collectively, these results suggested that KLF4 inhibited FGF21 expression.

KLF4 overexpression reverses the protective effect of FGF21 overexpression on the inflammatory injury of LPS-induced ATDC5 cells

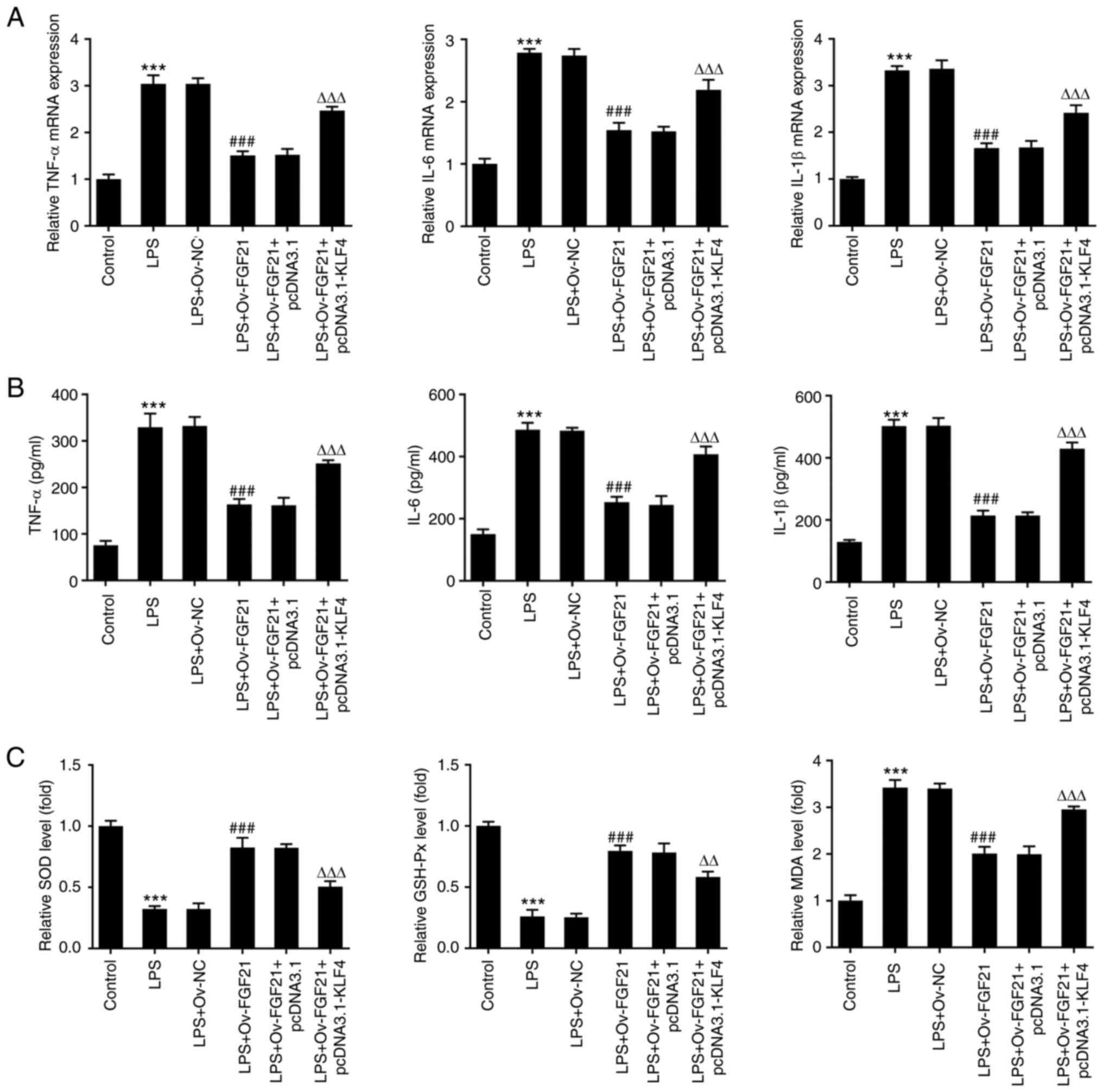
To further investigate the effects of KLF4 and FGF21 on LPS-induced inflammatory injury in ATDC5 cells, cells were divided into the control, LPS, LPS + Ov-NC, LPS + Ov-FGF21 + pcDNA3.1 and LPS + Ov-FGF21 + pcDNA3.1-KLF4 groups. Cell viability was detected using a CCK-8 assay. The results demonstrated that cell viability was significantly decreased in the LPS + Ov-FGF21 + pcDNA3.1-KLF4 group compared with that in the LPS + Ov-FGF21 + pcDNA3.1 group (Fig. 5A). LDH release was detected using the LDH kit. Compared with that in the LPS + Ov-FGF21 + pcDNA3.1 group, LDH release was increased in the LPS + Ov-FGF21 + pcDNA3.1-KLF4 group (Fig. 5B). Cell apoptosis was detected by performing a TUNEL assay and western blotting. Compared with the LPS + Ov-FGF21 + pcDNA3.1 group, the apoptotic rate was significantly increased in the LPS + Ov-FGF21 + pcDNA3.1-KLF4 group, which was accompanied by significantly decreased Bcl-2 protein expression, and significantly increased Bax and cleaved caspase 3 protein expression (Fig. 5C-E). In addition, the levels of inflammatory factors and oxidative stress were detected. Compared with those in the LPS + Ov-FGF21 + pcDNA3.1 group, the levels of TNF-α, IL-6, IL-1β and MDA in the LPS + Ov-FGF21 + pcDNA3.1-KLF4 group were significantly increased, whereas the levels of SOD and GSH-Px were significantly decreased (Fig. 6A-C). These results suggested that KLF4 overexpression reversed the inhibitory effect of FGF21 overexpression on LPS-induced inflammation and oxidative stress in ATDC5 cells.

Figure 5.

KLF4 overexpression reverses the protective effect of FGF21 overexpression on the apoptosis of LPS-induced ATDC5 cells. (A) An MTT assay was used to detect cell viability. (B) An LDH kit was used to detect cytotoxicity. (C) Cell apoptosis was (D) assessed by performing a TUNEL assay. Magnification, ×200. (E) Western blotting was performed to detect the expression of apoptosis-related proteins. ***P<0.001 vs. Control; ###P<0.001 vs. LPS + Ov-FGF21; ΔP<0.05 and ΔΔΔP<0.001 vs. LPS + Ov-FGF21 + pcDNA3.1. KLF4, Krüppel-like factor 4; FGF21, fibroblast growth factor 21; LPS, lipopolysaccharide; LDH, lactate dehydrogenase; Ov, overexpression; NC, negative control.

Figure 6.

KLF4 overexpression reverses the protective effect of FGF21 overexpression on the inflammatory response and oxidative stress of LPS-induced ATDC5 cells. (A) Reverse transcription-quantitative PCR was performed to detect the expression levels of TNF-α, IL-6 and IL-1β. (B) ELISAs were performed to detect the levels of TNF-α, IL-6 and IL-1β. (C) Detection of oxidative stress levels. ***P<0.001 vs. Control; ###P<0.001 vs. LPS + Ov-FGF21; ΔΔP<0.01 and ΔΔΔP<0.001 vs. LPS + Ov-FGF21 + pcDNA3.1. KLF4, Krüppel-like factor 4; FGF21, fibroblast growth factor 21; LPS, lipopolysaccharide; Ov, overexpression; NC, negative control.

FGF21 overexpression protects LPS-induced ATDC5 cells via the SIRT1/NF-κB/p53 signaling pathway

Finally, the expression levels of SIRT1/NF-κB/p53 pathway-related proteins, including SIRT1, p-NF-κB p65, NF-κB p65 and acetyl-p53, were detected via western blotting. Compared with those in the control group, the expression levels of SIRT1 were significantly decreased, whereas the expression levels of p-NF-κB p65 and acetyl-p53 were significantly increased in the LPS group. After FGF21 overexpression, the expression level of SIRT1 was increased, and the expression levels of p-NF-κB p65 and acetyl-p53 were decreased in LPS-treated cells. After KLF4 overexpression, the effects of LPS and FGF21 overexpression on the expression levels of SIRT1, p-NF-κB p65 and acetyl-p53 were partially reversed (Fig. 7). These results suggested that FGF21 overexpression may protect LPS-induced ATDC5 cells via the SIRT1/NF-κB/p53 signaling pathway.

Figure 7.

FGF21 overexpression protects LPS-induced ATDC5 cells via the SIRT1/NF-κB/p53 signaling pathway. Western blotting was performed to detect the expression levels of SIRT1/NF-κB/p53 signaling pathway-related proteins. ***P<0.001 vs. Control; ###P<0.001 vs. LPS + Ov-FGF21; ΔP<0.05, ΔΔP<0.01 and ΔΔΔP<0.001 vs. LPS + Ov-FGF21 + pcDNA3.1. KLF4, Krüppel-like factor 4; FGF21, fibroblast growth factor 21; LPS, lipopolysaccharide; SIRT1, sirtuin 1; Ov, overexpression; NC, negative control; p, phosphorylated.

Discussion

ATDC5 cells can differentiate into chondrocytes. In addition, ATDC5 cells are widely used in the study of AS (23,24). LPS is commonly used as an inducer of inflammatory responses, stimulating cells to induce inflammatory responses and produce proinflammatory cytokines (25). Therefore, in the present study, ATDC5 cells were selected to establish an LPS-induced joint injury model. The results demonstrated that LPS induced decreased cell viability, and increased LDH release, apoptosis, inflammatory cytokine levels and oxidative stress levels, indicating successful model induction.

In the late stage of AS, progressive joint destruction and bony fusion lead to a reduced range of motion and even disability of the joint, severely affecting the quality of life of the patient (26). At present, the pathogenesis of AS is not completely understood; thus, it is of great significance to further study the molecular mechanism underlying its pathogenesis.

FGF21, a member of the FGF family, is an endocrine factor that primarily mediates glucose and lipid metabolism, and serves a key role in maintaining glucose homeostasis and protecting the liver, heart, kidney and skin from damage and cancer cell proliferation (27). Studies have shown that FGF21 served an important role in chronic inflammatory diseases. For instance, FGF21 improved collagen-induced arthritis by regulating oxidative stress and inhibiting the NF-κB signaling pathway (13). FGF21 and adalimumab were found to exert similar pharmacological effects on collagen-induced rheumatoid arthritis by regulating systemic inflammation (28). In addition, metformin was shown to improve experimental obesity-related autoimmune arthritis by inducing FGF21 expression and brown adipocyte differentiation (14). These findings suggested that FGF21 serves an important role in the regulation of articular inflammation. However, to the best of our knowledge, the role of FGF21 in AS has not been reported so far. In the present study, the expression level of FGF21 was significantly decreased in LPS-induced ATDC5 cells, which was consistent with the study conducted by Chen et al (12) that demonstrated a decrease in FGF21 expression in the cartilage of rheumatoid arthritis model mice. The present study further verified the role of FGF21 in AS. FGF21 overexpression promoted LPS-induced viability of ATDC5 cells and decreased cell apoptosis, as well as inhibiting the cellular inflammatory response by downregulating the expression of TNF-α, IL-6 and IL-1β in cells. In addition, FGF21 overexpression inhibited cellular oxidative stress in LPS-induced ATDC5 cells. The levels of SOD and GSH-Px were increased, and the level of MDA was decreased after FGF21 overexpression in LPS-induced ATDC5 cells.

The transcription factor KLF4 was able to transcriptionally activate the expression of FGF21, as determined via bioinformatics analysis. Moreover, the relationship between the two factors was confirmed by performing dual-luciferase reporter gene and ChIP assays. KLF4 also serves an important role in inflammatory joint diseases (16,29,30). In the present study, KLF4 overexpression reversed the protective effect of FGF21 overexpression on LPS-induced inflammatory injury in ATDC5 cells.

In addition, the SIRT1/NF-κB/p53 signaling pathway was activated in LPS-induced ATDC5 cells. After FGF21 overexpression, the SIRT1/NF-κB/p53 signaling pathway was inhibited. KLF4 overexpression reversed the inhibitory effect of FGF21 overexpression on the SIRT1/NF-κB/p53 signaling pathway in LPS-induced ATDC5 cells. SIRT1, as a histone III deacetylase widely present in human cells, regulates the tumor suppressor factor p53, NF-κB and other factors via deacetylation to exert a variety of biological activities (31). In addition, a previous study reported that dipeptidyl peptidase-4 inhibitors induce FGF21 expression via SIRT1 signaling, thereby improving myocardial energy metabolism (17). FGF21 alleviates acute pancreatitis by activating the SIRT1 signaling pathway (18). Therefore, it may be preliminarily concluded that FGF21 overexpression may protect LPS-induced ATDC5 cells via the SIRT1/NF-κB/p53 signaling pathway. The mechanism underlying the regulatory effects of KLF4 and FGF21 on the SIRT1/NF-κB/p53 signaling pathway requires further investigation.

In conclusion, the present study demonstrated that KLF4 downregulates FGF21 to activate inflammatory injury and oxidative stress of LPS-induced ATDC5 cells via SIRT1/NF-κB/p53 signaling. (Fig. S1). Therefore, the present study provided a solid theoretical basis for the pathogenesis of AS and the drug targeted therapy of AS.

Supplementary Material

Supporting Data

Acknowledgements

Not applicable.

Funding

The present study was supported by the Ningxia Natural Science Foundation (grant no. NZ14164).

Availability of data and materials

The datasets analyzed during the current study are available from the corresponding author on reasonable request.

Authors' contributions

XC and DG wrote the manuscript and analyzed the data. JW and CL carried out the experiments, supervised the present study, searched the literature and revised the manuscript. All authors read and approved the final manuscript. XC and DG confirm the authenticity of all the raw data.

Ethics approval and consent to participate

Not applicable.

Patient consent for publication

Not applicable.

Competing interests

The authors declare that they have no competing interests.

References

1 

Feldtkeller E, Khan MA, van der Heijde D, van der Linden S and Braun J: Age at disease onset and diagnosis delay in HLA-B27 negative vs. positive patients with ankylosing spondylitis. Rheumatol Int. 23:61–66. 2003. View Article : Google Scholar : PubMed/NCBI

2 

Zvyagin IV, Mamedov IZ, Britanova OV, Staroverov DB, Nasonov EL, Bochkova AG, Chkalina AV, Kotlobay AA, Korostin DO, Rebrikov DV, et al: Contribution of functional KIR3DL1 to ankylosing spondylitis. Cell Mol Immunol. 7:471–476. 2010. View Article : Google Scholar : PubMed/NCBI

3 

Fiorillo MT, Haroon N, Ciccia F and Breban M: Editorial: Ankylosing spondylitis and related immune-mediated disorders. Front Immunol. 10:12322019. View Article : Google Scholar : PubMed/NCBI

4 

Smith JA: Update on ankylosing spondylitis: Current concepts in pathogenesis. Curr Allergy Asthma Rep. 15:4892015. View Article : Google Scholar : PubMed/NCBI

5 

Ye G, Xie Z, Zeng H, Wang P, Li J, Zheng G, Wang S, Cao Q, Li M, Liu W, et al: Oxidative stress-mediated mitochondrial dysfunction facilitates mesenchymal stem cell senescence in ankylosing spondylitis. Cell Death Dis. 11:7752020. View Article : Google Scholar : PubMed/NCBI

6 

Pishgahi A, Abolhasan R, Danaii S, Amanifar B, Soltani-Zangbar MS, Zamani M, Kamrani A, Ghorbani F, Mehdizadeh A, Kafil HS, et al: Immunological and oxidative stress biomarkers in Ankylosing Spondylitis patients with or without metabolic syndrome. Cytokine. 128:1550022020. View Article : Google Scholar : PubMed/NCBI

7 

Feijóo M, Túnez I, Ruiz A, Tasset I, Muñoz E and Collantes E: Oxidative stress biomarkers as indicator of chronic inflammatory joint diseases stage. Reumatol Clin. 6:91–94. 2010.(In Spanish). View Article : Google Scholar : PubMed/NCBI

8 

Maksymowych WP, Chiowchanwisawakit P, Clare T, Pedersen SJ, Østergaard M and Lambert RG: Inflammatory lesions of the spine on magnetic resonance imaging predict the development of new syndesmophytes in ankylosing spondylitis: Evidence of a relationship between inflammation and new bone formation. Arthritis Rheum. 60:93–102. 2009. View Article : Google Scholar : PubMed/NCBI

9 

Solmaz D, Kozaci D, Sari I, Taylan A, Önen F, Akkoç N and Akar S: Oxidative stress and related factors in patients with ankylosing spondylitis. Eur J Rheumatol. 3:20–24. 2016. View Article : Google Scholar : PubMed/NCBI

10 

Fisher FM and Maratos-Flier E: Understanding the physiology of FGF21. Annu Rev Physiol. 78:223–241. 2016. View Article : Google Scholar : PubMed/NCBI

11 

Staiger H, Keuper M, Berti L, Hrabe de Angelis M and Häring HU: Fibroblast growth factor 21-metabolic role in mice and men. Endocr Rev. 38:468–488. 2017. View Article : Google Scholar : PubMed/NCBI

12 

Chen H, He C, Liu Y, Li X, Zhang C, Qin Q and Pang Q: LncRNA-GAS5 inhibits expression of miR 103 and ameliorates the articular cartilage in adjuvant-induced arthritis in obese mice. Dose Response. 18:15593258209427182020. View Article : Google Scholar : PubMed/NCBI

13 

Yu Y, Li S, Liu Y, Tian G, Yuan Q, Bai F, Wang W, Zhang Z, Ren G, Zhang Y and Li D: Fibroblast growth factor 21 (FGF21) ameliorates collagen-induced arthritis through modulating oxidative stress and suppressing nuclear factor-kappa B pathway. Int Immunopharmacol. 25:74–82. 2015. View Article : Google Scholar : PubMed/NCBI

14 

Kim EK, Lee SH, Lee SY, Kim JK, Jhun JY, Na HS, Kim SY, Choi JY, Yang CW, Park SH and Cho ML: Metformin ameliorates experimental-obesity-associated autoimmune arthritis by inducing FGF21 expression and brown adipocyte differentiation. Exp Mol Med. 50:e4322018. View Article : Google Scholar : PubMed/NCBI

15 

Ghaleb AM and Yang VW: Kruppel-like factor 4 (KLF4): What we currently know. Gene. 611:27–37. 2017. View Article : Google Scholar : PubMed/NCBI

16 

Choi S, Lee K, Jung H, Park N, Kang J, Nam KH, Kim EK, Ju JH and Kang KY: Kruppel-like factor 4 positively regulates autoimmune arthritis in mouse models and rheumatoid arthritis in patients via modulating cell survival and inflammation factors of fibroblast-like synoviocyte. Front Immunol. 9:13392018. View Article : Google Scholar : PubMed/NCBI

17 

Furukawa N, Koitabashi N, Matsui H, Sunaga H, Umbarawan Y, Syamsunarno MRAA, Yamaguchi A, Obokata M, Hanaoka H, Yokoyama T and Kurabayashi M: DPP-4 inhibitor induces FGF21 expression via sirtuin 1 signaling and improves myocardial energy metabolism. Heart Vessels. 36:136–146. 2021. View Article : Google Scholar : PubMed/NCBI

18 

Chen Q, Li J, Ma J, Yang X, Ni M, Zhang Y, Li X, Lin Z and Gong F: Fibroblast growth factor 21 alleviates acute pancreatitis via activation of the Sirt1-autophagy signalling pathway. J Cell Mol Med. 24:5341–5351. 2020. View Article : Google Scholar : PubMed/NCBI

19 

Hu Q, Sun Y, Li Y, Shi H, Teng J, Liu H, Cheng X, Ye J, Su Y, Yin Y, et al: Anti-SIRT1 autoantibody is elevated in ankylosing spondylitis: A potential disease biomarker. BMC Immunol. 19:382018. View Article : Google Scholar : PubMed/NCBI

20 

Chen M, Chen C, Gao Y, Li D, Huang D, Chen Z, Zhao X, Huang Q, Wu D, Lai T, et al: Bergenin-activated SIRT1 inhibits TNF-α-induced proinflammatory response by blocking the NF-κB signaling pathway. Pulm Pharmacol Ther. 62:1019212020. View Article : Google Scholar : PubMed/NCBI

21 

Lv C, He Y, Wei M, Xu G, Chen C, Xu Z and Ding Z: CTRP3 ameliorates cerulein-induced severe acute pancreatitis in mice via SIRT1/NF-κB/p53 axis. Biosci Rep. 40:BSR202000922020. View Article : Google Scholar : PubMed/NCBI

22 

Livak KJ and Schmittgen TD: Analysis of relative gene expression data using real-time quantitative PCR and the 2(−Delta Delta C(T)) method. Methods. 25:402–408. 2001. View Article : Google Scholar : PubMed/NCBI

23 

Neerinckx B, Kollnberger S, Shaw J and Lories R: No evidence for a direct role of HLA-B27 in pathological bone formation in axial SpA. RMD Open. 3:e0004512017. View Article : Google Scholar : PubMed/NCBI

24 

Dong Y, Yan X, Yang X, Yu C, Deng Y, Song X and Zhang L: Notoginsenoside R1 suppresses miR-301a via NF-κB pathway in lipopolysaccharide-treated ATDC5 cells. Exp Mol Pathol. 112:1043552020. View Article : Google Scholar : PubMed/NCBI

25 

Lee JW, Bae CJ, Choi YJ, Kim SI, Kwon YS, Lee HJ, Kim SS and Chun W: 3,4,5-trihydroxycinnamic acid inhibits lipopolysaccharide (LPS)-induced inflammation by Nrf2 activation in vitro and improves survival of mice in LPS-induced endotoxemia model in vivo. Mol Cell Biochem. 390:143–153. 2014. View Article : Google Scholar : PubMed/NCBI

26 

Golder V and Schachna L: Ankylosing spondylitis: An update. Aust Fam Physician. 42:780–784. 2013.PubMed/NCBI

27 

Geng L, Lam KSL and Xu A: The therapeutic potential of FGF21 in metabolic diseases: From bench to clinic. Nat Rev Endocrinol. 16:654–667. 2020. View Article : Google Scholar : PubMed/NCBI

28 

Yu D, Ye X, Che R, Wu Q, Qi J, Song L, Guo X, Zhang S, Wu H, Ren G and Li D: FGF21 exerts comparable pharmacological efficacy with Adalimumab in ameliorating collagen-induced rheumatoid arthritis by regulating systematic inflammatory response. Biomed Pharmacother. 89:751–760. 2017. View Article : Google Scholar : PubMed/NCBI

29 

Mo X, Chen J, Wang X, Pan Z, Ke Y, Zhou Z, Xie J, Lv G and Luo X: Kruppel-like factor 4 regulates the expression of inducible nitric oxide synthase induced by TNF-α in human fibroblast-like synoviocyte MH7A cells. Mol Cell Biochem. 438:77–84. 2018. View Article : Google Scholar : PubMed/NCBI

30 

Sun Q, Gong L, Qi R, Qing W, Zou M, Ke Q, Zhang L, Tang X, Nie Q, Yang Y, et al: Oxidative stress-induced KLF4 activates inflammatory response through IL17RA and its downstream targets in retinal pigment epithelial cells. Free Radic Biol Med. 147:271–281. 2020. View Article : Google Scholar : PubMed/NCBI

31 

Karbasforooshan H and Karimi G: The role of SIRT1 in diabetic cardiomyopathy. Biomed Pharmacother. 90:386–392. 2017. View Article : Google Scholar : PubMed/NCBI

Related Articles

  • Abstract
  • View
  • Download
  • Twitter
Copy and paste a formatted citation
Spandidos Publications style
Chen X, Wen J, Liu C and Guo D: KLF4 downregulates FGF21 to activate inflammatory injury and oxidative stress of LPS‑induced ATDC5 cells via SIRT1/NF‑κB/p53 signaling. Mol Med Rep 25: 164, 2022.
APA
Chen, X., Wen, J., Liu, C., & Guo, D. (2022). KLF4 downregulates FGF21 to activate inflammatory injury and oxidative stress of LPS‑induced ATDC5 cells via SIRT1/NF‑κB/p53 signaling. Molecular Medicine Reports, 25, 164. https://doi.org/10.3892/mmr.2022.12680
MLA
Chen, X., Wen, J., Liu, C., Guo, D."KLF4 downregulates FGF21 to activate inflammatory injury and oxidative stress of LPS‑induced ATDC5 cells via SIRT1/NF‑κB/p53 signaling". Molecular Medicine Reports 25.5 (2022): 164.
Chicago
Chen, X., Wen, J., Liu, C., Guo, D."KLF4 downregulates FGF21 to activate inflammatory injury and oxidative stress of LPS‑induced ATDC5 cells via SIRT1/NF‑κB/p53 signaling". Molecular Medicine Reports 25, no. 5 (2022): 164. https://doi.org/10.3892/mmr.2022.12680
Copy and paste a formatted citation
x
Spandidos Publications style
Chen X, Wen J, Liu C and Guo D: KLF4 downregulates FGF21 to activate inflammatory injury and oxidative stress of LPS‑induced ATDC5 cells via SIRT1/NF‑κB/p53 signaling. Mol Med Rep 25: 164, 2022.
APA
Chen, X., Wen, J., Liu, C., & Guo, D. (2022). KLF4 downregulates FGF21 to activate inflammatory injury and oxidative stress of LPS‑induced ATDC5 cells via SIRT1/NF‑κB/p53 signaling. Molecular Medicine Reports, 25, 164. https://doi.org/10.3892/mmr.2022.12680
MLA
Chen, X., Wen, J., Liu, C., Guo, D."KLF4 downregulates FGF21 to activate inflammatory injury and oxidative stress of LPS‑induced ATDC5 cells via SIRT1/NF‑κB/p53 signaling". Molecular Medicine Reports 25.5 (2022): 164.
Chicago
Chen, X., Wen, J., Liu, C., Guo, D."KLF4 downregulates FGF21 to activate inflammatory injury and oxidative stress of LPS‑induced ATDC5 cells via SIRT1/NF‑κB/p53 signaling". Molecular Medicine Reports 25, no. 5 (2022): 164. https://doi.org/10.3892/mmr.2022.12680
Follow us
  • Twitter
  • LinkedIn
  • Facebook
About
  • Spandidos Publications
  • Careers
  • Cookie Policy
  • Privacy Policy
How can we help?
  • Help
  • Live Chat
  • Contact
  • Email to our Support Team