Spandidos Publications Logo
  • About
    • About Spandidos
    • Aims and Scopes
    • Abstracting and Indexing
    • Editorial Policies
    • Reprints and Permissions
    • Job Opportunities
    • Terms and Conditions
    • Contact
  • Journals
    • All Journals
    • Oncology Letters
      • Oncology Letters
      • Information for Authors
      • Editorial Policies
      • Editorial Board
      • Aims and Scope
      • Abstracting and Indexing
      • Bibliographic Information
      • Archive
    • International Journal of Oncology
      • International Journal of Oncology
      • Information for Authors
      • Editorial Policies
      • Editorial Board
      • Aims and Scope
      • Abstracting and Indexing
      • Bibliographic Information
      • Archive
    • Molecular and Clinical Oncology
      • Molecular and Clinical Oncology
      • Information for Authors
      • Editorial Policies
      • Editorial Board
      • Aims and Scope
      • Abstracting and Indexing
      • Bibliographic Information
      • Archive
    • Experimental and Therapeutic Medicine
      • Experimental and Therapeutic Medicine
      • Information for Authors
      • Editorial Policies
      • Editorial Board
      • Aims and Scope
      • Abstracting and Indexing
      • Bibliographic Information
      • Archive
    • International Journal of Molecular Medicine
      • International Journal of Molecular Medicine
      • Information for Authors
      • Editorial Policies
      • Editorial Board
      • Aims and Scope
      • Abstracting and Indexing
      • Bibliographic Information
      • Archive
    • Biomedical Reports
      • Biomedical Reports
      • Information for Authors
      • Editorial Policies
      • Editorial Board
      • Aims and Scope
      • Abstracting and Indexing
      • Bibliographic Information
      • Archive
    • Oncology Reports
      • Oncology Reports
      • Information for Authors
      • Editorial Policies
      • Editorial Board
      • Aims and Scope
      • Abstracting and Indexing
      • Bibliographic Information
      • Archive
    • Molecular Medicine Reports
      • Molecular Medicine Reports
      • Information for Authors
      • Editorial Policies
      • Editorial Board
      • Aims and Scope
      • Abstracting and Indexing
      • Bibliographic Information
      • Archive
    • World Academy of Sciences Journal
      • World Academy of Sciences Journal
      • Information for Authors
      • Editorial Policies
      • Editorial Board
      • Aims and Scope
      • Abstracting and Indexing
      • Bibliographic Information
      • Archive
    • International Journal of Functional Nutrition
      • International Journal of Functional Nutrition
      • Information for Authors
      • Editorial Policies
      • Editorial Board
      • Aims and Scope
      • Abstracting and Indexing
      • Bibliographic Information
      • Archive
    • International Journal of Epigenetics
      • International Journal of Epigenetics
      • Information for Authors
      • Editorial Policies
      • Editorial Board
      • Aims and Scope
      • Abstracting and Indexing
      • Bibliographic Information
      • Archive
    • Medicine International
      • Medicine International
      • Information for Authors
      • Editorial Policies
      • Editorial Board
      • Aims and Scope
      • Abstracting and Indexing
      • Bibliographic Information
      • Archive
  • Articles
  • Information
    • Information for Authors
    • Information for Reviewers
    • Information for Librarians
    • Information for Advertisers
    • Conferences
  • Language Editing
Spandidos Publications Logo
  • About
    • About Spandidos
    • Aims and Scopes
    • Abstracting and Indexing
    • Editorial Policies
    • Reprints and Permissions
    • Job Opportunities
    • Terms and Conditions
    • Contact
  • Journals
    • All Journals
    • Biomedical Reports
      • Information for Authors
      • Editorial Policies
      • Editorial Board
      • Aims and Scope
      • Abstracting and Indexing
      • Bibliographic Information
      • Archive
    • Experimental and Therapeutic Medicine
      • Information for Authors
      • Editorial Policies
      • Editorial Board
      • Aims and Scope
      • Abstracting and Indexing
      • Bibliographic Information
      • Archive
    • International Journal of Epigenetics
      • Information for Authors
      • Editorial Policies
      • Editorial Board
      • Aims and Scope
      • Abstracting and Indexing
      • Bibliographic Information
      • Archive
    • International Journal of Functional Nutrition
      • Information for Authors
      • Editorial Policies
      • Editorial Board
      • Aims and Scope
      • Abstracting and Indexing
      • Bibliographic Information
      • Archive
    • International Journal of Molecular Medicine
      • Information for Authors
      • Editorial Policies
      • Editorial Board
      • Aims and Scope
      • Abstracting and Indexing
      • Bibliographic Information
      • Archive
    • International Journal of Oncology
      • Information for Authors
      • Editorial Policies
      • Editorial Board
      • Aims and Scope
      • Abstracting and Indexing
      • Bibliographic Information
      • Archive
    • Medicine International
      • Information for Authors
      • Editorial Policies
      • Editorial Board
      • Aims and Scope
      • Abstracting and Indexing
      • Bibliographic Information
      • Archive
    • Molecular and Clinical Oncology
      • Information for Authors
      • Editorial Policies
      • Editorial Board
      • Aims and Scope
      • Abstracting and Indexing
      • Bibliographic Information
      • Archive
    • Molecular Medicine Reports
      • Information for Authors
      • Editorial Policies
      • Editorial Board
      • Aims and Scope
      • Abstracting and Indexing
      • Bibliographic Information
      • Archive
    • Oncology Letters
      • Information for Authors
      • Editorial Policies
      • Editorial Board
      • Aims and Scope
      • Abstracting and Indexing
      • Bibliographic Information
      • Archive
    • Oncology Reports
      • Information for Authors
      • Editorial Policies
      • Editorial Board
      • Aims and Scope
      • Abstracting and Indexing
      • Bibliographic Information
      • Archive
    • World Academy of Sciences Journal
      • Information for Authors
      • Editorial Policies
      • Editorial Board
      • Aims and Scope
      • Abstracting and Indexing
      • Bibliographic Information
      • Archive
  • Articles
  • Information
    • For Authors
    • For Reviewers
    • For Librarians
    • For Advertisers
    • Conferences
  • Language Editing
Login Register Submit
  • This site uses cookies
  • You can change your cookie settings at any time by following the instructions in our Cookie Policy. To find out more, you may read our Privacy Policy.

    I agree
Search articles by DOI, keyword, author or affiliation
Search
Advanced Search
presentation
Molecular Medicine Reports
Join Editorial Board Propose a Special Issue
Print ISSN: 1791-2997 Online ISSN: 1791-3004
Journal Cover
October-2023 Volume 28 Issue 4

Full Size Image

Sign up for eToc alerts
Recommend to Library

Journals

International Journal of Molecular Medicine

International Journal of Molecular Medicine

International Journal of Molecular Medicine is an international journal devoted to molecular mechanisms of human disease.

International Journal of Oncology

International Journal of Oncology

International Journal of Oncology is an international journal devoted to oncology research and cancer treatment.

Molecular Medicine Reports

Molecular Medicine Reports

Covers molecular medicine topics such as pharmacology, pathology, genetics, neuroscience, infectious diseases, molecular cardiology, and molecular surgery.

Oncology Reports

Oncology Reports

Oncology Reports is an international journal devoted to fundamental and applied research in Oncology.

Experimental and Therapeutic Medicine

Experimental and Therapeutic Medicine

Experimental and Therapeutic Medicine is an international journal devoted to laboratory and clinical medicine.

Oncology Letters

Oncology Letters

Oncology Letters is an international journal devoted to Experimental and Clinical Oncology.

Biomedical Reports

Biomedical Reports

Explores a wide range of biological and medical fields, including pharmacology, genetics, microbiology, neuroscience, and molecular cardiology.

Molecular and Clinical Oncology

Molecular and Clinical Oncology

International journal addressing all aspects of oncology research, from tumorigenesis and oncogenes to chemotherapy and metastasis.

World Academy of Sciences Journal

World Academy of Sciences Journal

Multidisciplinary open-access journal spanning biochemistry, genetics, neuroscience, environmental health, and synthetic biology.

International Journal of Functional Nutrition

International Journal of Functional Nutrition

Open-access journal combining biochemistry, pharmacology, immunology, and genetics to advance health through functional nutrition.

International Journal of Epigenetics

International Journal of Epigenetics

Publishes open-access research on using epigenetics to advance understanding and treatment of human disease.

Medicine International

Medicine International

An International Open Access Journal Devoted to General Medicine.

Journal Cover
October-2023 Volume 28 Issue 4

Full Size Image

Sign up for eToc alerts
Recommend to Library

  • Article
  • Citations
    • Cite This Article
    • Download Citation
    • Create Citation Alert
    • Remove Citation Alert
    • Cited By
  • Similar Articles
    • Related Articles (in Spandidos Publications)
    • Similar Articles (Google Scholar)
    • Similar Articles (PubMed)
  • Download PDF
  • Download XML
  • View XML
Article Open Access

Effect of the combination of cationic lipid and phospholipid on gene-knockdown using siRNA lipoplexes in breast tumor cells and mouse lungs

  • Authors:
    • Yoshiyuki Hattori
    • Min Tang
    • Aya Aoki
    • Momoka Ezaki
    • Hana Sakai
    • Kei-Ichi Ozaki
  • View Affiliations / Copyright

    Affiliations: Department of Molecular Pharmaceutics, Hoshi University, Tokyo 142-8501, Japan, Department of Molecular Pathology, Faculty of Pharmaceutical Sciences, Doshisha Women's College of Liberal Arts, Kyotanabe, Kyoto 610-0395, Japan
    Copyright: © Hattori et al. This is an open access article distributed under the terms of Creative Commons Attribution License.
  • Article Number: 180
    |
    Published online on: August 8, 2023
       https://doi.org/10.3892/mmr.2023.13067
  • Expand metrics +
Metrics: Total Views: 0 (Spandidos Publications: | PMC Statistics: )
Metrics: Total PDF Downloads: 0 (Spandidos Publications: | PMC Statistics: )
Cited By (CrossRef): 0 citations Loading Articles...

This article is mentioned in:



Abstract

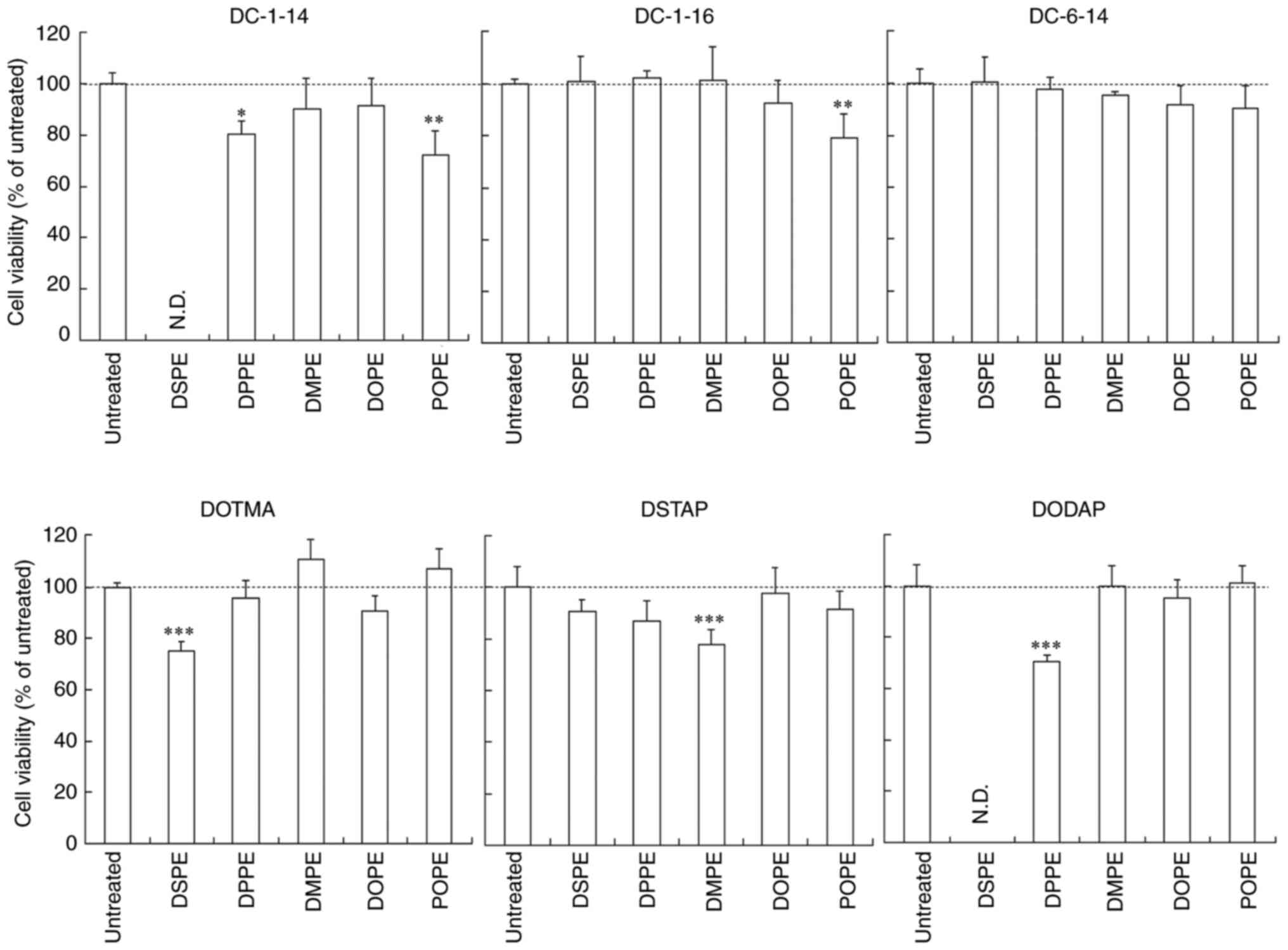
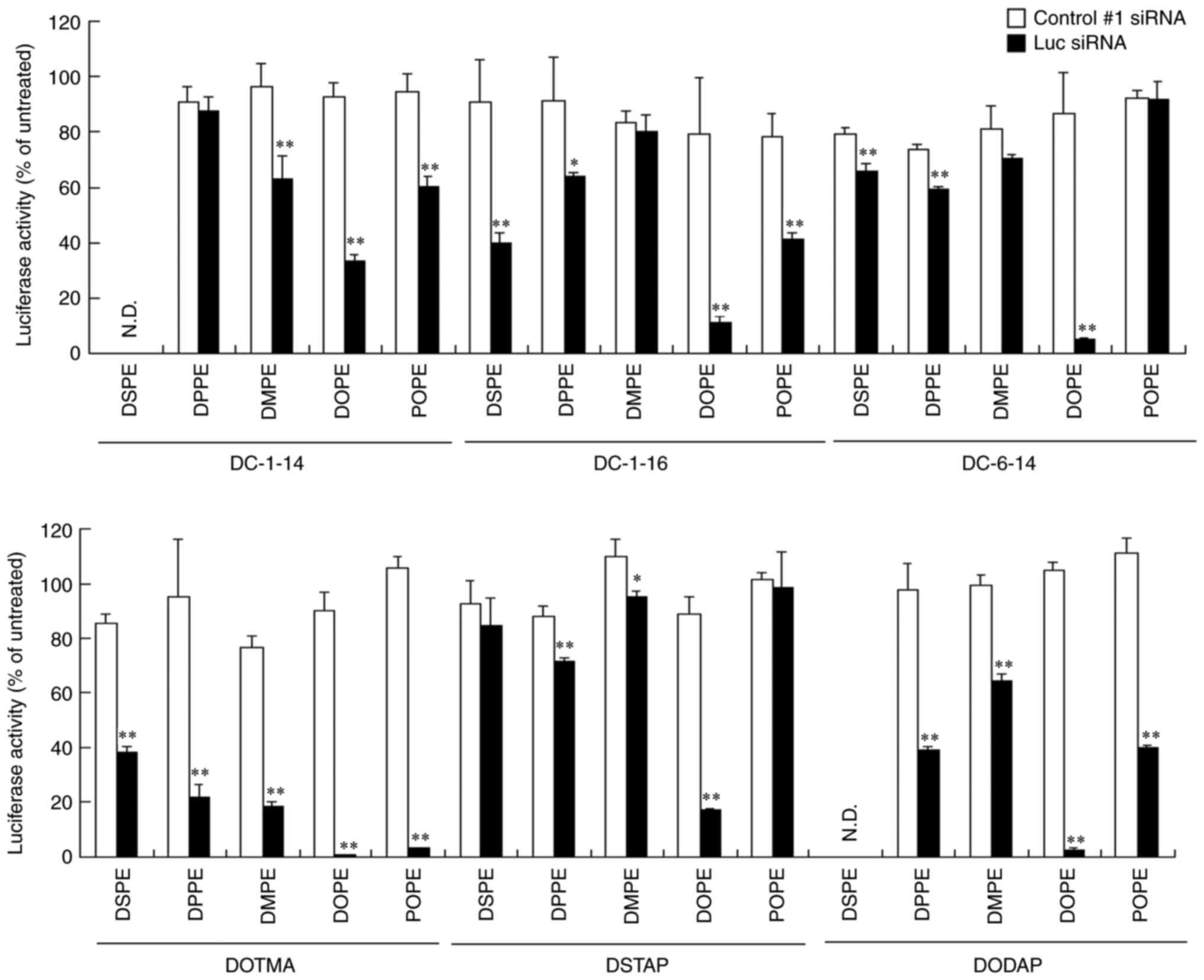
Previously, using three types of cationic lipids, the effect of phospholipids in liposomal formulations on gene-knockdown efficacy was determined after in vitro and in vivo transfection with small interfering RNA (siRNA)/cationic liposome complexes (siRNA lipoplexes) containing various cationic lipids and phospholipids. In the present study, six other types of cationic lipids, namely N,N-dimethyl-N-tetradecyltetradecan-1-aminium bromide, N-hexadecyl-N,N-dimethylhexadecan-1-aminium bromide (DC-1-16), 2-[bis{2-(tetradecanoyloxy)ethyl}amino]-N,N,N-trimethyl-2-oxoethan-1-aminium chloride (DC-6-14), 1,2-di-O-octadecenyl-3-trimethylammonium propane chloride (DOTMA), 1,2-distearoyl-3-trimethylammonium-propane chloride (DSTAP) and 1,2-dioleoyl-3-dimethylammonium-propane were selected, and the effect of phospholipids in liposomal formulations containing each cationic lipid on gene-knockdown was evaluated. A total of 30 types of cationic liposomes composed of each cationic lipid with phosphatidylethanolamine containing unsaturated or saturated diacyl chains (C14, C16 or C18) were prepared. Regardless of the type of cationic lipid, the inclusion of 1,2-dioleoyl-sn-glycero-3-phosphoethanolamine (DOPE) in the liposomal formulations resulted in injectable size of siRNA lipoplexes after mixing of siRNA and cationic liposomes. Transfection of their lipoplexes with luciferase (Luc) siRNA into human breast cancer MCF-7-Luc cells stably expressing Luc led to a strong knockdown of Luc. Furthermore, the systemic injection of siRNA lipoplexes composed of DC-1-16, DC-6-14, DOTMA or DSTAP with DOPE resulted in siRNA accumulation in the lungs. Significant gene-knockdown was observed in the lungs of mice following the systemic injection of siRNA lipoplexes containing DC-1-16 and DOPE. Cationic liposomes composed of DC-1-16 and DOPE serve as potential carriers for in vitro and in vivo siRNA transfection.
View Figures

Figure 1

Figure 2

Figure 3

Figure 4

Figure 5

Figure 6

Figure 7

View References

1 

Zimmermann TS, Lee AC, Akinc A, Bramlage B, Bumcrot D, Fedoruk MN, Harborth J, Heyes JA, Jeffs LB, John M, et al: RNAi-mediated gene silencing in non-human primates. Nature. 441:111–114. 2006. View Article : Google Scholar : PubMed/NCBI

2 

Wang J, Lu Z, Wientjes MG and Au JLS: Delivery of siRNA therapeutics: Barriers and carriers. AAPS J. 12:492–503. 2010. View Article : Google Scholar : PubMed/NCBI

3 

Barba AA, Cascone S, Caccavo D, Lamberti G, Chiarappa G, Abrami M, Grassi G, Grassi M, Tomaiuolo G, Guido S, et al: Engineering approaches in siRNA delivery. Int J Pharm. 525:343–358. 2017. View Article : Google Scholar : PubMed/NCBI

4 

Khalil IA, Yamada Y and Harashima H: Optimization of siRNA delivery to target sites: Issues and future directions. Expert Opin Drug Deliv. 15:1053–1065. 2018. View Article : Google Scholar : PubMed/NCBI

5 

Yan Y, Liu XY, Lu A, Wang XY, Jiang LX and Wang JC: Non-viral vectors for RNA delivery. J Control Release. 342:241–279. 2022. View Article : Google Scholar : PubMed/NCBI

6 

Zhang Y, Satterlee A and Huang L: In vivo gene delivery by nonviral vectors: Overcoming hurdles? Mol Ther. 20:1298–1304. 2012. View Article : Google Scholar : PubMed/NCBI

7 

Xue HY, Guo P, Wen WC and Wong HL: Lipid-based nanocarriers for RNA delivery. Curr Pharm Des. 21:3140–3147. 2015. View Article : Google Scholar : PubMed/NCBI

8 

Hattori Y, Tamaki K, Ozaki KI, Kawano K and Onishi H: Optimized combination of cationic lipids and neutral helper lipids in cationic liposomes for siRNA delivery into the lung by intravenous injection of siRNA lipoplexes. J Drug Deliv Sci Technol. 52:1042–1050. 2019. View Article : Google Scholar

9 

Hattori Y, Tang M, Torii S, Tomita K, Sagawa A, Inoue N, Yamagishi R and Ozaki KI: Optimal combination of cationic lipid and phospholipid in cationic liposomes for gene knockdown in breast cancer cells and mouse lung using siRNA lipoplexes. Mol Med Rep. 26:2532022. View Article : Google Scholar : PubMed/NCBI

10 

Xia Y, Tian J and Chen X: Effect of surface properties on liposomal siRNA delivery. Biomaterials. 79:56–68. 2016. View Article : Google Scholar : PubMed/NCBI

11 

Hattori Y, Nakamura M, Takeuchi N, Tamaki K, Shimizu S, Yoshiike Y, Taguchi M, Ohno H, Ozaki KI and Onishi H: Effect of cationic lipid in cationic liposomes on siRNA delivery into the lung by intravenous injection of cationic lipoplex. J Drug Target. 27:217–227. 2019. View Article : Google Scholar : PubMed/NCBI

12 

Yamato K, Yamada T, Kizaki M, Ui-Tei K, Natori Y, Fujino M, Nishihara T, Ikeda Y, Nasu Y, Saigo K and Yoshinouchi M: New highly potent and specific E6 and E7 siRNAs for treatment of HPV16 positive cervical cancer. Cancer Gene Ther. 15:140–153. 2008. View Article : Google Scholar : PubMed/NCBI

13 

Hattori Y, Tamaki K, Sakasai S, Ozaki KI and Onishi H: Effects of PEG anchors in PEGylated siRNA lipoplexes on in vitro gene-silencing effects and siRNA biodistribution in mice. Mol Med Rep. 22:4183–4196. 2020.PubMed/NCBI

14 

Tang M, Sakasai S, Onishi H, Kawano K and Hattori Y: Effect of PEG anchor in PEGylation of folate-modified cationic liposomes with PEG-derivatives on systemic siRNA delivery into the tumor. J Drug Target. 31:74–88. 2023. View Article : Google Scholar : PubMed/NCBI

15 

Suzuki A, Hamada K, Sasaki T, Mak TW and Nakano T: Role of PTEN/PI3K pathway in endothelial cells. Biochem Soc Trans. 35:172–176. 2007. View Article : Google Scholar : PubMed/NCBI

16 

Dumont DJ, Gradwohl GJ, Fong GH, Auerbach R and Breitman ML: The endothelial-specific receptor tyrosine kinase, tek, is a member of a new subfamily of receptors. Oncogene. 8:1293–1301. 1993.PubMed/NCBI

17 

Fehring V, Schaeper U, Ahrens K, Santel A, Keil O, Eisermann M, Giese K and Kaufmann J: Delivery of therapeutic siRNA to the lung endothelium via novel lipoplex formulation DACC. Mol Ther. 22:811–820. 2014. View Article : Google Scholar : PubMed/NCBI

18 

Gutbier B, Kube SM, Reppe K, Santel A, Lange C, Kaufmann J, Suttorp N and Witzenrath M: RNAi-mediated suppression of constitutive pulmonary gene expression by small interfering RNA in mice. Pulm Pharmacol Ther. 23:334–344. 2010. View Article : Google Scholar : PubMed/NCBI

19 

Livak KJ and Schmittgen TD: Analysis of relative gene expression data using real-time quantitative PCR and the 2(−Delta Delta C(T)) method. Methods. 25:402–408. 2001. View Article : Google Scholar : PubMed/NCBI

20 

Cheng X and Lee RJ: The role of helper lipids in lipid nanoparticles (LNPs) designed for oligonucleotide delivery. Adv Drug Deliv Rev. 99:129–137. 2016. View Article : Google Scholar : PubMed/NCBI

21 

Paliwal SR, Paliwal R and Vyas SP: A review of mechanistic insight and application of pH-sensitive liposomes in drug delivery. Drug Deliv. 22:231–242. 2015. View Article : Google Scholar : PubMed/NCBI

22 

Sun D and Lu ZR: Structure and function of cationic and ionizable lipids for nucleic acid delivery. Pharm Res. 40:27–46. 2023. View Article : Google Scholar : PubMed/NCBI

23 

Chen H, Ren X, Xu S, Zhang D and Han T: Optimization of lipid nanoformulations for effective mRNA delivery. Int J Nanomedicine. 17:2893–2905. 2022. View Article : Google Scholar : PubMed/NCBI

24 

Eliyahu H, Servel N, Domb AJ and Barenholz Y: Lipoplex-induced hemagglutination: Potential involvement in intravenous gene delivery. Gene Ther. 9:850–858. 2002. View Article : Google Scholar : PubMed/NCBI

25 

Hattori Y, Nakamura A, Hanaya S, Miyanabe Y, Yoshiike Y, Kikuchi T, Ozaki K and Onishi H: Effect of chondroitin sulfate on siRNA biodistribution and gene silencing effect in mice after injection of siRNA lipoplexes. J Drug Deliv Sci Technol. 41:401–409. 2017. View Article : Google Scholar

26 

Thi TTH, Suys EJA, Lee JS, Nguyen DH, Park KD and Truong NP: Lipid-based nanoparticles in the clinic and clinical trials: From cancer nanomedicine to COVID-19 vaccines. Vaccines (Basel). 9:3592021. View Article : Google Scholar : PubMed/NCBI

27 

Dilliard SA, Cheng Q and Siegwart DJ: On the mechanism of tissue-specific mRNA delivery by selective organ targeting nanoparticles. Proc Natl Acad Sci USA. 118:e21092561182021. View Article : Google Scholar : PubMed/NCBI

28 

Funakoshi Y, Iwao Y, Noguchi S and Itai S: Effect of alkyl chain length and unsaturation of the phospholipid on the physicochemical properties of lipid nanoparticles. Chem Pharm Bull (Tokyo). 63:731–736. 2015. View Article : Google Scholar : PubMed/NCBI

29 

Tagami T, Hirose K, Barichello JM, Ishida T and Kiwada H: Global gene expression profiling in cultured cells is strongly influenced by treatment with siRNA-cationic liposome complexes. Pharm Res. 25:2497–2504. 2008. View Article : Google Scholar : PubMed/NCBI

30 

Ma Z, Li J, He F, Wilson A, Pitt B and Li S: Cationic lipids enhance siRNA-mediated interferon response in mice. Biochem Biophys Res Commun. 330:755–759. 2005. View Article : Google Scholar : PubMed/NCBI

31 

Willam C, Koehne P, Jürgensen JS, Gräfe M, Wagner KD, Bachmann S, Frei U and Eckardt KU: Tie2 receptor expression is stimulated by hypoxia and proinflammatory cytokines in human endothelial cells. Circ Res. 87:370–377. 2000. View Article : Google Scholar : PubMed/NCBI

32 

Rajesh M, Sen J, Srujan M, Mukherjee K, Sreedhar B and Chaudhuri A: Dramatic influence of the orientation of linker between hydrophilic and hydrophobic lipid moiety in liposomal gene delivery. J Am Chem Soc. 129:11408–11420. 2007. View Article : Google Scholar : PubMed/NCBI

33 

Srujan M, Chandrashekhar V, Reddy RC, Prabhakar R, Sreedhar B and Chaudhuri A: The influence of the structural orientation of amide linkers on the serum compatibility and lung transfection properties of cationic amphiphiles. Biomaterials. 32:5231–5240. 2011. View Article : Google Scholar : PubMed/NCBI

34 

Zhi D, Bai Y, Yang J, Cui S, Zhao Y, Chen H and Zhang S: A review on cationic lipids with different linkers for gene delivery. Adv Colloid Interface Sci. 253:117–140. 2018. View Article : Google Scholar : PubMed/NCBI

Related Articles

  • Abstract
  • View
  • Download
  • Twitter
Copy and paste a formatted citation
Spandidos Publications style
Hattori Y, Tang M, Aoki A, Ezaki M, Sakai H and Ozaki K: Effect of the combination of cationic lipid and phospholipid on gene-knockdown using siRNA lipoplexes in breast tumor cells and mouse lungs. Mol Med Rep 28: 180, 2023.
APA
Hattori, Y., Tang, M., Aoki, A., Ezaki, M., Sakai, H., & Ozaki, K. (2023). Effect of the combination of cationic lipid and phospholipid on gene-knockdown using siRNA lipoplexes in breast tumor cells and mouse lungs. Molecular Medicine Reports, 28, 180. https://doi.org/10.3892/mmr.2023.13067
MLA
Hattori, Y., Tang, M., Aoki, A., Ezaki, M., Sakai, H., Ozaki, K."Effect of the combination of cationic lipid and phospholipid on gene-knockdown using siRNA lipoplexes in breast tumor cells and mouse lungs". Molecular Medicine Reports 28.4 (2023): 180.
Chicago
Hattori, Y., Tang, M., Aoki, A., Ezaki, M., Sakai, H., Ozaki, K."Effect of the combination of cationic lipid and phospholipid on gene-knockdown using siRNA lipoplexes in breast tumor cells and mouse lungs". Molecular Medicine Reports 28, no. 4 (2023): 180. https://doi.org/10.3892/mmr.2023.13067
Copy and paste a formatted citation
x
Spandidos Publications style
Hattori Y, Tang M, Aoki A, Ezaki M, Sakai H and Ozaki K: Effect of the combination of cationic lipid and phospholipid on gene-knockdown using siRNA lipoplexes in breast tumor cells and mouse lungs. Mol Med Rep 28: 180, 2023.
APA
Hattori, Y., Tang, M., Aoki, A., Ezaki, M., Sakai, H., & Ozaki, K. (2023). Effect of the combination of cationic lipid and phospholipid on gene-knockdown using siRNA lipoplexes in breast tumor cells and mouse lungs. Molecular Medicine Reports, 28, 180. https://doi.org/10.3892/mmr.2023.13067
MLA
Hattori, Y., Tang, M., Aoki, A., Ezaki, M., Sakai, H., Ozaki, K."Effect of the combination of cationic lipid and phospholipid on gene-knockdown using siRNA lipoplexes in breast tumor cells and mouse lungs". Molecular Medicine Reports 28.4 (2023): 180.
Chicago
Hattori, Y., Tang, M., Aoki, A., Ezaki, M., Sakai, H., Ozaki, K."Effect of the combination of cationic lipid and phospholipid on gene-knockdown using siRNA lipoplexes in breast tumor cells and mouse lungs". Molecular Medicine Reports 28, no. 4 (2023): 180. https://doi.org/10.3892/mmr.2023.13067
Follow us
  • Twitter
  • LinkedIn
  • Facebook
About
  • Spandidos Publications
  • Careers
  • Cookie Policy
  • Privacy Policy
How can we help?
  • Help
  • Live Chat
  • Contact
  • Email to our Support Team