Spandidos Publications Logo
  • About
    • About Spandidos
    • Aims and Scopes
    • Abstracting and Indexing
    • Editorial Policies
    • Reprints and Permissions
    • Job Opportunities
    • Terms and Conditions
    • Contact
  • Journals
    • All Journals
    • Oncology Letters
      • Oncology Letters
      • Information for Authors
      • Editorial Policies
      • Editorial Board
      • Aims and Scope
      • Abstracting and Indexing
      • Bibliographic Information
      • Archive
    • International Journal of Oncology
      • International Journal of Oncology
      • Information for Authors
      • Editorial Policies
      • Editorial Board
      • Aims and Scope
      • Abstracting and Indexing
      • Bibliographic Information
      • Archive
    • Molecular and Clinical Oncology
      • Molecular and Clinical Oncology
      • Information for Authors
      • Editorial Policies
      • Editorial Board
      • Aims and Scope
      • Abstracting and Indexing
      • Bibliographic Information
      • Archive
    • Experimental and Therapeutic Medicine
      • Experimental and Therapeutic Medicine
      • Information for Authors
      • Editorial Policies
      • Editorial Board
      • Aims and Scope
      • Abstracting and Indexing
      • Bibliographic Information
      • Archive
    • International Journal of Molecular Medicine
      • International Journal of Molecular Medicine
      • Information for Authors
      • Editorial Policies
      • Editorial Board
      • Aims and Scope
      • Abstracting and Indexing
      • Bibliographic Information
      • Archive
    • Biomedical Reports
      • Biomedical Reports
      • Information for Authors
      • Editorial Policies
      • Editorial Board
      • Aims and Scope
      • Abstracting and Indexing
      • Bibliographic Information
      • Archive
    • Oncology Reports
      • Oncology Reports
      • Information for Authors
      • Editorial Policies
      • Editorial Board
      • Aims and Scope
      • Abstracting and Indexing
      • Bibliographic Information
      • Archive
    • Molecular Medicine Reports
      • Molecular Medicine Reports
      • Information for Authors
      • Editorial Policies
      • Editorial Board
      • Aims and Scope
      • Abstracting and Indexing
      • Bibliographic Information
      • Archive
    • World Academy of Sciences Journal
      • World Academy of Sciences Journal
      • Information for Authors
      • Editorial Policies
      • Editorial Board
      • Aims and Scope
      • Abstracting and Indexing
      • Bibliographic Information
      • Archive
    • International Journal of Functional Nutrition
      • International Journal of Functional Nutrition
      • Information for Authors
      • Editorial Policies
      • Editorial Board
      • Aims and Scope
      • Abstracting and Indexing
      • Bibliographic Information
      • Archive
    • International Journal of Epigenetics
      • International Journal of Epigenetics
      • Information for Authors
      • Editorial Policies
      • Editorial Board
      • Aims and Scope
      • Abstracting and Indexing
      • Bibliographic Information
      • Archive
    • Medicine International
      • Medicine International
      • Information for Authors
      • Editorial Policies
      • Editorial Board
      • Aims and Scope
      • Abstracting and Indexing
      • Bibliographic Information
      • Archive
  • Articles
  • Information
    • Information for Authors
    • Information for Reviewers
    • Information for Librarians
    • Information for Advertisers
    • Conferences
  • Language Editing
Spandidos Publications Logo
  • About
    • About Spandidos
    • Aims and Scopes
    • Abstracting and Indexing
    • Editorial Policies
    • Reprints and Permissions
    • Job Opportunities
    • Terms and Conditions
    • Contact
  • Journals
    • All Journals
    • Biomedical Reports
      • Information for Authors
      • Editorial Policies
      • Editorial Board
      • Aims and Scope
      • Abstracting and Indexing
      • Bibliographic Information
      • Archive
    • Experimental and Therapeutic Medicine
      • Information for Authors
      • Editorial Policies
      • Editorial Board
      • Aims and Scope
      • Abstracting and Indexing
      • Bibliographic Information
      • Archive
    • International Journal of Epigenetics
      • Information for Authors
      • Editorial Policies
      • Editorial Board
      • Aims and Scope
      • Abstracting and Indexing
      • Bibliographic Information
      • Archive
    • International Journal of Functional Nutrition
      • Information for Authors
      • Editorial Policies
      • Editorial Board
      • Aims and Scope
      • Abstracting and Indexing
      • Bibliographic Information
      • Archive
    • International Journal of Molecular Medicine
      • Information for Authors
      • Editorial Policies
      • Editorial Board
      • Aims and Scope
      • Abstracting and Indexing
      • Bibliographic Information
      • Archive
    • International Journal of Oncology
      • Information for Authors
      • Editorial Policies
      • Editorial Board
      • Aims and Scope
      • Abstracting and Indexing
      • Bibliographic Information
      • Archive
    • Medicine International
      • Information for Authors
      • Editorial Policies
      • Editorial Board
      • Aims and Scope
      • Abstracting and Indexing
      • Bibliographic Information
      • Archive
    • Molecular and Clinical Oncology
      • Information for Authors
      • Editorial Policies
      • Editorial Board
      • Aims and Scope
      • Abstracting and Indexing
      • Bibliographic Information
      • Archive
    • Molecular Medicine Reports
      • Information for Authors
      • Editorial Policies
      • Editorial Board
      • Aims and Scope
      • Abstracting and Indexing
      • Bibliographic Information
      • Archive
    • Oncology Letters
      • Information for Authors
      • Editorial Policies
      • Editorial Board
      • Aims and Scope
      • Abstracting and Indexing
      • Bibliographic Information
      • Archive
    • Oncology Reports
      • Information for Authors
      • Editorial Policies
      • Editorial Board
      • Aims and Scope
      • Abstracting and Indexing
      • Bibliographic Information
      • Archive
    • World Academy of Sciences Journal
      • Information for Authors
      • Editorial Policies
      • Editorial Board
      • Aims and Scope
      • Abstracting and Indexing
      • Bibliographic Information
      • Archive
  • Articles
  • Information
    • For Authors
    • For Reviewers
    • For Librarians
    • For Advertisers
    • Conferences
  • Language Editing
Login Register Submit
  • This site uses cookies
  • You can change your cookie settings at any time by following the instructions in our Cookie Policy. To find out more, you may read our Privacy Policy.

    I agree
Search articles by DOI, keyword, author or affiliation
Search
Advanced Search
presentation
Molecular Medicine Reports
Join Editorial Board Propose a Special Issue
Print ISSN: 1791-2997 Online ISSN: 1791-3004
Journal Cover
December-2023 Volume 28 Issue 6

Full Size Image

Sign up for eToc alerts
Recommend to Library

Journals

International Journal of Molecular Medicine

International Journal of Molecular Medicine

International Journal of Molecular Medicine is an international journal devoted to molecular mechanisms of human disease.

International Journal of Oncology

International Journal of Oncology

International Journal of Oncology is an international journal devoted to oncology research and cancer treatment.

Molecular Medicine Reports

Molecular Medicine Reports

Covers molecular medicine topics such as pharmacology, pathology, genetics, neuroscience, infectious diseases, molecular cardiology, and molecular surgery.

Oncology Reports

Oncology Reports

Oncology Reports is an international journal devoted to fundamental and applied research in Oncology.

Experimental and Therapeutic Medicine

Experimental and Therapeutic Medicine

Experimental and Therapeutic Medicine is an international journal devoted to laboratory and clinical medicine.

Oncology Letters

Oncology Letters

Oncology Letters is an international journal devoted to Experimental and Clinical Oncology.

Biomedical Reports

Biomedical Reports

Explores a wide range of biological and medical fields, including pharmacology, genetics, microbiology, neuroscience, and molecular cardiology.

Molecular and Clinical Oncology

Molecular and Clinical Oncology

International journal addressing all aspects of oncology research, from tumorigenesis and oncogenes to chemotherapy and metastasis.

World Academy of Sciences Journal

World Academy of Sciences Journal

Multidisciplinary open-access journal spanning biochemistry, genetics, neuroscience, environmental health, and synthetic biology.

International Journal of Functional Nutrition

International Journal of Functional Nutrition

Open-access journal combining biochemistry, pharmacology, immunology, and genetics to advance health through functional nutrition.

International Journal of Epigenetics

International Journal of Epigenetics

Publishes open-access research on using epigenetics to advance understanding and treatment of human disease.

Medicine International

Medicine International

An International Open Access Journal Devoted to General Medicine.

Journal Cover
December-2023 Volume 28 Issue 6

Full Size Image

Sign up for eToc alerts
Recommend to Library

  • Article
  • Citations
    • Cite This Article
    • Download Citation
    • Create Citation Alert
    • Remove Citation Alert
    • Cited By
  • Similar Articles
    • Related Articles (in Spandidos Publications)
    • Similar Articles (Google Scholar)
    • Similar Articles (PubMed)
  • Download PDF
  • Download XML
  • View XML
Article

HSP70 inhibitor amplifies the bFGF‑induced release of IL‑6 in osteoblasts

  • Authors:
    • Gen Kuroyanagi
    • Tomoyuki Hioki
    • Rie Matsushima‑Nishiwaki
    • Osamu Kozawa
    • Haruhiko Tokuda
  • View Affiliations / Copyright

    Affiliations: Department of Rehabilitation Medicine, Nagoya City University Graduate School of Medical Sciences, Nagoya, Aichi 467‑8601, Japan, Department of Pharmacology, Gifu University Graduate School of Medicine, Gifu 501‑1194, Japan
  • Article Number: 230
    |
    Published online on: October 24, 2023
       https://doi.org/10.3892/mmr.2023.13117
  • Expand metrics +
Metrics: Total Views: 0 (Spandidos Publications: | PMC Statistics: )
Metrics: Total PDF Downloads: 0 (Spandidos Publications: | PMC Statistics: )
Cited By (CrossRef): 0 citations Loading Articles...

This article is mentioned in:



Abstract

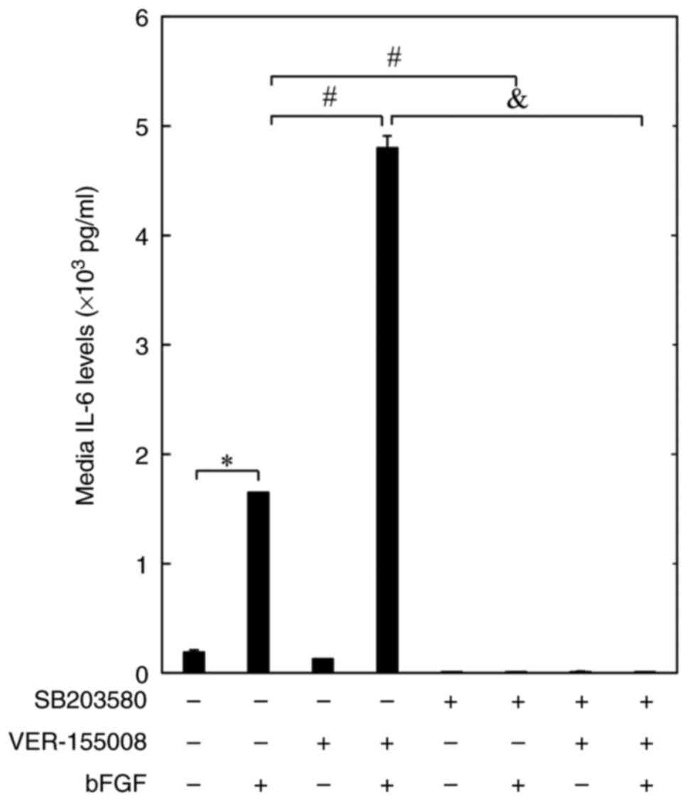
Heat shock protein 70 (HSP70) functions as an ATP‑dependent molecular chaperone under stress and is involved in protein homeostasis, folding and degradation. HSP70 inhibitors amplify TGF‑β‑stimulated VEGF synthesis in the mouse osteoblastic MC3T3‑E1 cell line. Basic fibroblast growth factor (bFGF) stimulates IL‑6 release via p38 MAPK in MC3T3‑E1 osteoblast‑like cells. In the present study, the effects of HSP70 on the bFGF‑stimulated release of IL‑6 was evaluated using MC3T3‑E1 osteoblast‑like cells. IL‑6 release and mRNA expression levels were analyzed using ELISA and reverse transcription‑quantitative PCR, respectively. Phosphorylation of p38 MAPK and HSP70 was assessed using western blotting. HSP70 inhibitor VER‑155008 significantly increased the bFGF‑stimulated release of IL‑6 in both MC3T3‑E1 osteoblastic cells and normal human osteoblasts. Furthermore, VER‑155008 significantly enhanced the mRNA expression levels of IL‑6 stimulated by bFGF. Western blotting demonstrated a significant increase in the bFGF‑stimulated phosphorylation of p38 MAPK in VER‑155008‑treated MC3T3‑E1 cells. A significant increase in the bFGF‑stimulated phosphorylation of p38 MAPK was also demonstrated in MC3T3‑E1 cells treated with YM‑08, another HSP70 inhibitor. VER‑155008 or YM‑08 did not significantly affect the expression of HSP70 with or without bFGF stimulation. Finally, the specific p38 MAPK inhibitor SB203580 markedly suppressed the enhancing effects of VER‑155008 on bFGF‑stimulated release of IL‑6. Taken together, these results indicated that HSP70 inhibitor amplified bFGF‑stimulated release of IL‑6 through p38 MAPK activation in the osteoblastic MC3T3‑E1 cell line.
View Figures

Figure 1

Figure 2

Figure 3

Figure 4

Figure 5

View References

1 

Hendrick JP and Hartl FU: Molecular chaperone functions of heat-shock proteins. Annu Rev Biochem. 62:349–384. 1993. View Article : Google Scholar : PubMed/NCBI

2 

Hartl FU, Bracher A and Hayer-Hartl M: Molecular chaperones in protein folding and proteostasis. Nature. 475:324–332. 2011. View Article : Google Scholar : PubMed/NCBI

3 

Murphy ME: The HSP70 family and cancer. Carcinogenesis. 34:1181–1188. 2013. View Article : Google Scholar : PubMed/NCBI

4 

Li C, Sunderic K, Nicoll SB and Wang S: Downregulation of heat shock protein 70 impairs osteogenic and chondrogenic differentiation in human mesenchymal stem cells. Sci Rep. 8:5532018. View Article : Google Scholar : PubMed/NCBI

5 

Wang X, Tokuda H, Hatakeyama D, Hirade K, Niwa M, Ito H, Kato K and Kozawa O: Mechanism of simvastatin on induction of heat shock protein in osteoblasts. Arch Biochem Biophys. 415:6–13. 2003. View Article : Google Scholar : PubMed/NCBI

6 

Sakai G, Tokuda H, Fujita K, Kainuma S, Kawabata T, Matsushima-Nishiwaki R, Kozawa O and Otsuka T: Heat shock protein 70 negatively regulates TGF-β-stimulated VEGF synthesis via p38 MAP kinase in osteoblasts. Cell Physiol Biochem. 44:1133–1145. 2017. View Article : Google Scholar : PubMed/NCBI

7 

Kular J, Tickner J, Chim SM and Xu J: An overview of the regulation of bone remodelling at the cellular level. Clin Biochem. 45:863–873. 2012. View Article : Google Scholar : PubMed/NCBI

8 

Kishimoto T, Akira S, Narazaki M and Taga T: Interleukin-6 family of cytokines and gp130. Blood. 86:1243–1254. 1995. View Article : Google Scholar : PubMed/NCBI

9 

Sims NA: Cell-specific paracrine actions of IL-6 family cytokines from bone, marrow and muscle that control bone formation and resorption. Int J Biochem Cell Biol. 79:14–23. 2016. View Article : Google Scholar : PubMed/NCBI

10 

Prystaz K, Kaiser K, Kovtun A, Haffner-Luntzer M, Fischer V, Rapp AE, Liedert A, Strauss G, Waetzig GH, Rose-John S and Ignatius A: Distinct effects of IL-6 classic and trans-signaling in bone fracture healing. Am J Pathol. 188:474–490. 2018. View Article : Google Scholar : PubMed/NCBI

11 

Franchimont N, Wertz S and Malaise M: Interleukin-6: An osteotropic factor influencing bone formation? Bone. 37:601–606. 2005. View Article : Google Scholar : PubMed/NCBI

12 

Roodman GD: Perspectives: Interleukin-6: An osteotropic factor? J Bone Miner Res. 7:475–478. 1992. View Article : Google Scholar : PubMed/NCBI

13 

Charoenlarp P, Rajendran AK and Iseki S: Role of fibroblast growth factors in bone regeneration. Inflamm Regen. 37:102017. View Article : Google Scholar : PubMed/NCBI

14 

Luong LN, Ramaswamy J and Kohn DH: Effects of osteogenic growth factors on bone marrow stromal cell differentiation in a mineral-based delivery system. Biomaterials. 33:283–294. 2012. View Article : Google Scholar : PubMed/NCBI

15 

Kozawa O, Suzuki A and Uematsu T: Basic fibroblast growth factor induces interleukin-6 synthesis in osteoblasts: Autoregulation by protein kinase C. Cell Signal. 9:463–468. 1997. View Article : Google Scholar : PubMed/NCBI

16 

Kozawa O, Tokuda H, Matsuno H and Uematsu T: Involvement of p38 mitogen-activated protein kinase in basic fibroblast growth factor-induced interleukin-6 synthesis in osteoblasts. J Cell Biochem. 74:479–485. 1999. View Article : Google Scholar : PubMed/NCBI

17 

Sudo H, Kodama HA, Amagai Y, Yamamoto S and Kasai S: In vitro differentiation and calcification in a new clonal osteogenic cell line derived from newborn mouse calvaria. J Cell Biol. 96:191–198. 1983. View Article : Google Scholar : PubMed/NCBI

18 

Kozawa O, Suzuki A, Tokuda H and Uematsu T: Prostaglandin F2alpha stimulates interleukin-6 synthesis via activation of PKC in osteoblast-like cells. Am J Physiol. 272((2 Pt 1)): E208–E211. 1997.PubMed/NCBI

19 

Kondo A, Otsuka T, Matsushima-Nishiwaki R, Kuroyanagi G, Mizutani J, Wada I, Kozawa O and Tokuda H: Inhibition of SAPK/JNK leads to enhanced IL-1-induced IL-6 synthesis in osteoblasts. Arch Biochem Biophys. 535:227–233. 2013. View Article : Google Scholar : PubMed/NCBI

20 

Livak KJ and Schmittgen TD: Analysis of relative gene expression data using real-time quantitative PCR and the 2(−Delta Delta C(T)) Method. Methods. 25:402–408. 2001. View Article : Google Scholar : PubMed/NCBI

21 

Laemmli UK: Cleavage of structural proteins during the assembly of the head of bacteriophage T4. Nature. 227:680–685. 1970. View Article : Google Scholar : PubMed/NCBI

22 

Kato K, Ito H, Hasegawa K, Inaguma Y, Kozawa O and Asano T: Modulation of the stress-induced synthesis of hsp27 and alpha B-crystallin by cyclic AMP in C6 rat glioma cells. J Neurochem. 66:946–950. 1996. View Article : Google Scholar : PubMed/NCBI

23 

Kozawa O, Niwa M, Hatakeyama D, Tokuda H, Oiso Y, Matsuno H, Kato K and Uematsu T: Specific induction of heat shock protein 27 by glucocorticoid in osteoblasts. J Cell Biochem. 86:357–364. 2002. View Article : Google Scholar : PubMed/NCBI

24 

Schlecht R, Scholz SR, Dahmen H, Wegener A, Sirrenberg C, Musil D, Bomke J, Eggenweiler HM, Mayer MP and Bukau B: Functional analysis of Hsp70 inhibitors. PLoS One. 8:e784432013. View Article : Google Scholar : PubMed/NCBI

25 

Miyata Y, Li X, Lee HF, Jinwal UK, Srinivasan SR, Seguin SP, Young ZT, Brodsky JL, Dickey CA, Sun D and Gestwicki JE: Synthesis and initial evaluation of YM-08, a blood-brain barrier permeable derivative of the heat shock protein 70 (Hsp70) inhibitor MKT-077, which reduces tau levels. ACS Chem Neurosci. 4:930–939. 2013. View Article : Google Scholar : PubMed/NCBI

26 

Cuenda A, Rouse J, Doza YN, Meier R, Cohen P, Gallagher TF, Young PR and Lee JC: SB203580 is a specific inhibitor of a MAP kinase homologue which is stimulated by cellular stresses and interleukin-1. FEBS Lett. 364:229–233. 1995. View Article : Google Scholar : PubMed/NCBI

27 

Thouverey C and Caverzasio J: Focus on the p38 MAPK signaling pathway in bone development and maintenance. Bonekey Rep. 4:7112015. View Article : Google Scholar : PubMed/NCBI

28 

Mayer MP and Bukau B: Hsp70 chaperones: Cellular functions and molecular mechanism. Cell Mol Life Sci. 62:670–684. 2005. View Article : Google Scholar : PubMed/NCBI

29 

Chen E, Xue D, Zhang W, Lin F and Pan Z: Extracellular heat shock protein 70 promotes osteogenesis of human mesenchymal stem cells through activation of the ERK signaling pathway. FEBS Lett. 589((24 Pt B)): 4088–4096. 2015. View Article : Google Scholar : PubMed/NCBI

30 

Zhang W, Xue D, Yin H, Wang S, Li C, Chen E, Hu D, Tao Y, Yu J, Zheng Q, et al: Overexpression of HSPA1A enhances the osteogenic differentiation of bone marrow mesenchymal stem cells via activation of the Wnt/β-catenin signaling pathway. Sci Rep. 6:276222016. View Article : Google Scholar : PubMed/NCBI

31 

Kawabata T, Tokuda H, Sakai G, Fujita K, Matsushima-Nishiwaki R, Kuroyanagi G, Otsuka T and Kozawa O: HSP70 inhibitor suppresses IGF-I-stimulated migration of osteoblasts through p44/p42 MAP kinase. Biomedicines. 6:1092018. View Article : Google Scholar : PubMed/NCBI

32 

Kawabata T, Otsuka T, Fujita K, Sakai G, Kim W, Matsushima-Nishiwaki R, Kuroyanagi G, Kozawa O and Tokuda H: HSP70 inhibitors reduce the osteoblast migration by epidermal growth factor. Curr Mol Med. 18:486–495. 2018. View Article : Google Scholar : PubMed/NCBI

33 

Kuroyanagi G, Tachi J, Fujita K, Kawabata T, Sakai G, Nakashima D, Kim W, Tanabe K, Matsushima-Nishiwaki R, Otsuka T, et al: HSP70 inhibitors upregulate prostaglandin E1-induced synthesis of interleukin-6 in osteoblasts. PLoS One. 17:e02791342022. View Article : Google Scholar : PubMed/NCBI

Related Articles

  • Abstract
  • View
  • Download
  • Twitter
Copy and paste a formatted citation
Spandidos Publications style
Kuroyanagi G, Hioki T, Matsushima‑Nishiwaki R, Kozawa O and Tokuda H: HSP70 inhibitor amplifies the bFGF‑induced release of IL‑6 in osteoblasts. Mol Med Rep 28: 230, 2023.
APA
Kuroyanagi, G., Hioki, T., Matsushima‑Nishiwaki, R., Kozawa, O., & Tokuda, H. (2023). HSP70 inhibitor amplifies the bFGF‑induced release of IL‑6 in osteoblasts. Molecular Medicine Reports, 28, 230. https://doi.org/10.3892/mmr.2023.13117
MLA
Kuroyanagi, G., Hioki, T., Matsushima‑Nishiwaki, R., Kozawa, O., Tokuda, H."HSP70 inhibitor amplifies the bFGF‑induced release of IL‑6 in osteoblasts". Molecular Medicine Reports 28.6 (2023): 230.
Chicago
Kuroyanagi, G., Hioki, T., Matsushima‑Nishiwaki, R., Kozawa, O., Tokuda, H."HSP70 inhibitor amplifies the bFGF‑induced release of IL‑6 in osteoblasts". Molecular Medicine Reports 28, no. 6 (2023): 230. https://doi.org/10.3892/mmr.2023.13117
Copy and paste a formatted citation
x
Spandidos Publications style
Kuroyanagi G, Hioki T, Matsushima‑Nishiwaki R, Kozawa O and Tokuda H: HSP70 inhibitor amplifies the bFGF‑induced release of IL‑6 in osteoblasts. Mol Med Rep 28: 230, 2023.
APA
Kuroyanagi, G., Hioki, T., Matsushima‑Nishiwaki, R., Kozawa, O., & Tokuda, H. (2023). HSP70 inhibitor amplifies the bFGF‑induced release of IL‑6 in osteoblasts. Molecular Medicine Reports, 28, 230. https://doi.org/10.3892/mmr.2023.13117
MLA
Kuroyanagi, G., Hioki, T., Matsushima‑Nishiwaki, R., Kozawa, O., Tokuda, H."HSP70 inhibitor amplifies the bFGF‑induced release of IL‑6 in osteoblasts". Molecular Medicine Reports 28.6 (2023): 230.
Chicago
Kuroyanagi, G., Hioki, T., Matsushima‑Nishiwaki, R., Kozawa, O., Tokuda, H."HSP70 inhibitor amplifies the bFGF‑induced release of IL‑6 in osteoblasts". Molecular Medicine Reports 28, no. 6 (2023): 230. https://doi.org/10.3892/mmr.2023.13117
Follow us
  • Twitter
  • LinkedIn
  • Facebook
About
  • Spandidos Publications
  • Careers
  • Cookie Policy
  • Privacy Policy
How can we help?
  • Help
  • Live Chat
  • Contact
  • Email to our Support Team