Spandidos Publications Logo
  • About
    • About Spandidos
    • Aims and Scopes
    • Abstracting and Indexing
    • Editorial Policies
    • Reprints and Permissions
    • Job Opportunities
    • Terms and Conditions
    • Contact
  • Journals
    • All Journals
    • Oncology Letters
      • Oncology Letters
      • Information for Authors
      • Editorial Policies
      • Editorial Board
      • Aims and Scope
      • Abstracting and Indexing
      • Bibliographic Information
      • Archive
    • International Journal of Oncology
      • International Journal of Oncology
      • Information for Authors
      • Editorial Policies
      • Editorial Board
      • Aims and Scope
      • Abstracting and Indexing
      • Bibliographic Information
      • Archive
    • Molecular and Clinical Oncology
      • Molecular and Clinical Oncology
      • Information for Authors
      • Editorial Policies
      • Editorial Board
      • Aims and Scope
      • Abstracting and Indexing
      • Bibliographic Information
      • Archive
    • Experimental and Therapeutic Medicine
      • Experimental and Therapeutic Medicine
      • Information for Authors
      • Editorial Policies
      • Editorial Board
      • Aims and Scope
      • Abstracting and Indexing
      • Bibliographic Information
      • Archive
    • International Journal of Molecular Medicine
      • International Journal of Molecular Medicine
      • Information for Authors
      • Editorial Policies
      • Editorial Board
      • Aims and Scope
      • Abstracting and Indexing
      • Bibliographic Information
      • Archive
    • Biomedical Reports
      • Biomedical Reports
      • Information for Authors
      • Editorial Policies
      • Editorial Board
      • Aims and Scope
      • Abstracting and Indexing
      • Bibliographic Information
      • Archive
    • Oncology Reports
      • Oncology Reports
      • Information for Authors
      • Editorial Policies
      • Editorial Board
      • Aims and Scope
      • Abstracting and Indexing
      • Bibliographic Information
      • Archive
    • Molecular Medicine Reports
      • Molecular Medicine Reports
      • Information for Authors
      • Editorial Policies
      • Editorial Board
      • Aims and Scope
      • Abstracting and Indexing
      • Bibliographic Information
      • Archive
    • World Academy of Sciences Journal
      • World Academy of Sciences Journal
      • Information for Authors
      • Editorial Policies
      • Editorial Board
      • Aims and Scope
      • Abstracting and Indexing
      • Bibliographic Information
      • Archive
    • International Journal of Functional Nutrition
      • International Journal of Functional Nutrition
      • Information for Authors
      • Editorial Policies
      • Editorial Board
      • Aims and Scope
      • Abstracting and Indexing
      • Bibliographic Information
      • Archive
    • International Journal of Epigenetics
      • International Journal of Epigenetics
      • Information for Authors
      • Editorial Policies
      • Editorial Board
      • Aims and Scope
      • Abstracting and Indexing
      • Bibliographic Information
      • Archive
    • Medicine International
      • Medicine International
      • Information for Authors
      • Editorial Policies
      • Editorial Board
      • Aims and Scope
      • Abstracting and Indexing
      • Bibliographic Information
      • Archive
  • Articles
  • Information
    • Information for Authors
    • Information for Reviewers
    • Information for Librarians
    • Information for Advertisers
    • Conferences
  • Language Editing
Spandidos Publications Logo
  • About
    • About Spandidos
    • Aims and Scopes
    • Abstracting and Indexing
    • Editorial Policies
    • Reprints and Permissions
    • Job Opportunities
    • Terms and Conditions
    • Contact
  • Journals
    • All Journals
    • Biomedical Reports
      • Information for Authors
      • Editorial Policies
      • Editorial Board
      • Aims and Scope
      • Abstracting and Indexing
      • Bibliographic Information
      • Archive
    • Experimental and Therapeutic Medicine
      • Information for Authors
      • Editorial Policies
      • Editorial Board
      • Aims and Scope
      • Abstracting and Indexing
      • Bibliographic Information
      • Archive
    • International Journal of Epigenetics
      • Information for Authors
      • Editorial Policies
      • Editorial Board
      • Aims and Scope
      • Abstracting and Indexing
      • Bibliographic Information
      • Archive
    • International Journal of Functional Nutrition
      • Information for Authors
      • Editorial Policies
      • Editorial Board
      • Aims and Scope
      • Abstracting and Indexing
      • Bibliographic Information
      • Archive
    • International Journal of Molecular Medicine
      • Information for Authors
      • Editorial Policies
      • Editorial Board
      • Aims and Scope
      • Abstracting and Indexing
      • Bibliographic Information
      • Archive
    • International Journal of Oncology
      • Information for Authors
      • Editorial Policies
      • Editorial Board
      • Aims and Scope
      • Abstracting and Indexing
      • Bibliographic Information
      • Archive
    • Medicine International
      • Information for Authors
      • Editorial Policies
      • Editorial Board
      • Aims and Scope
      • Abstracting and Indexing
      • Bibliographic Information
      • Archive
    • Molecular and Clinical Oncology
      • Information for Authors
      • Editorial Policies
      • Editorial Board
      • Aims and Scope
      • Abstracting and Indexing
      • Bibliographic Information
      • Archive
    • Molecular Medicine Reports
      • Information for Authors
      • Editorial Policies
      • Editorial Board
      • Aims and Scope
      • Abstracting and Indexing
      • Bibliographic Information
      • Archive
    • Oncology Letters
      • Information for Authors
      • Editorial Policies
      • Editorial Board
      • Aims and Scope
      • Abstracting and Indexing
      • Bibliographic Information
      • Archive
    • Oncology Reports
      • Information for Authors
      • Editorial Policies
      • Editorial Board
      • Aims and Scope
      • Abstracting and Indexing
      • Bibliographic Information
      • Archive
    • World Academy of Sciences Journal
      • Information for Authors
      • Editorial Policies
      • Editorial Board
      • Aims and Scope
      • Abstracting and Indexing
      • Bibliographic Information
      • Archive
  • Articles
  • Information
    • For Authors
    • For Reviewers
    • For Librarians
    • For Advertisers
    • Conferences
  • Language Editing
Login Register Submit
  • This site uses cookies
  • You can change your cookie settings at any time by following the instructions in our Cookie Policy. To find out more, you may read our Privacy Policy.

    I agree
Search articles by DOI, keyword, author or affiliation
Search
Advanced Search
presentation
Molecular Medicine Reports
Join Editorial Board Propose a Special Issue
Print ISSN: 1791-2997 Online ISSN: 1791-3004
Journal Cover
May-2026 Volume 33 Issue 5

Full Size Image

Sign up for eToc alerts
Recommend to Library

Journals

International Journal of Molecular Medicine

International Journal of Molecular Medicine

International Journal of Molecular Medicine is an international journal devoted to molecular mechanisms of human disease.

International Journal of Oncology

International Journal of Oncology

International Journal of Oncology is an international journal devoted to oncology research and cancer treatment.

Molecular Medicine Reports

Molecular Medicine Reports

Covers molecular medicine topics such as pharmacology, pathology, genetics, neuroscience, infectious diseases, molecular cardiology, and molecular surgery.

Oncology Reports

Oncology Reports

Oncology Reports is an international journal devoted to fundamental and applied research in Oncology.

Experimental and Therapeutic Medicine

Experimental and Therapeutic Medicine

Experimental and Therapeutic Medicine is an international journal devoted to laboratory and clinical medicine.

Oncology Letters

Oncology Letters

Oncology Letters is an international journal devoted to Experimental and Clinical Oncology.

Biomedical Reports

Biomedical Reports

Explores a wide range of biological and medical fields, including pharmacology, genetics, microbiology, neuroscience, and molecular cardiology.

Molecular and Clinical Oncology

Molecular and Clinical Oncology

International journal addressing all aspects of oncology research, from tumorigenesis and oncogenes to chemotherapy and metastasis.

World Academy of Sciences Journal

World Academy of Sciences Journal

Multidisciplinary open-access journal spanning biochemistry, genetics, neuroscience, environmental health, and synthetic biology.

International Journal of Functional Nutrition

International Journal of Functional Nutrition

Open-access journal combining biochemistry, pharmacology, immunology, and genetics to advance health through functional nutrition.

International Journal of Epigenetics

International Journal of Epigenetics

Publishes open-access research on using epigenetics to advance understanding and treatment of human disease.

Medicine International

Medicine International

An International Open Access Journal Devoted to General Medicine.

Journal Cover
May-2026 Volume 33 Issue 5

Full Size Image

Sign up for eToc alerts
Recommend to Library

  • Article
  • Citations
    • Cite This Article
    • Download Citation
    • Create Citation Alert
    • Remove Citation Alert
    • Cited By
  • Similar Articles
    • Related Articles (in Spandidos Publications)
    • Similar Articles (Google Scholar)
    • Similar Articles (PubMed)
  • Download PDF
  • Download XML
  • View XML
Article Open Access

Precision medicine approach to coronary artery disease: Haptoglobin phenotype‑guided risk assessment

  • Authors:
    • Zhengxin He
    • Hong Liu
    • Keran Jia
    • Daxin Lei
    • Liyun An
    • Jia Wang
    • Fukun Wang
  • View Affiliations / Copyright

    Affiliations: Laboratory of Basic Medicine, Bethune International Peace Hospital, Shijiazhuang, Hebei 050082, P.R. China, Department of Ultrasonography, Bethune International Peace Hospital, Shijiazhuang, Hebei 050082, P.R. China, Department of Laboratory Medicine, Bethune International Peace Hospital, Shijiazhuang, Hebei 050082, P.R. China
    Copyright: © He et al. This is an open access article distributed under the terms of Creative Commons Attribution License.
  • Article Number: 134
    |
    Published online on: March 12, 2026
       https://doi.org/10.3892/mmr.2026.13844
  • Expand metrics +
Metrics: Total Views: 0 (Spandidos Publications: | PMC Statistics: )
Metrics: Total PDF Downloads: 0 (Spandidos Publications: | PMC Statistics: )
Cited By (CrossRef): 0 citations Loading Articles...

This article is mentioned in:


Abstract

Haptoglobin (HP) polymorphisms influence antioxidant function and coronary artery disease (CAD) susceptibility, showing notable ethnic variations. Comprehensive studies examining both HP phenotypes and serum concentrations in Chinese populations are lacking. The present study investigated associations between HP parameters and CAD risk in a Chinese cohort. The hospital‑based study enrolled 230 patients with CAD, 83 angiography‑defined controls (stenosis ≤40%) and 192 healthy controls. Serum HP concentrations were quantified using an immunoturbidimetric method. HP genotypes were determined using reverse transcription‑quantitative PCR and polyacrylamide gel electrophoresis. Multivariate logistic regression analysis was used to identify CAD predictors and genotype‑stratified analyses assessed HP associations with cardiac function, such as left ventricular ejection fraction (LVEF) and disease severity, as indicated by effected vessel count. Patients with CAD showed higher Hp2‑2 genotype prevalence (54.8 vs. 41.1% in healthy controls; P<0.001) and elevated genotype‑specific serum HP concentrations (HP2‑2, 1.50±0.84 vs. 0.85±0.42 g/l; P<0.001) compared with healthy controls. Serum HP concentration, hypertension, triglyceride concentration and Hp2‑2 phenotype were independently associated with CAD risk, with high‑density lipoprotein‑cholesterol identified as a protective factor. Notably, Hp1‑1 carriers exhibited an inverse HP‑LVEF correlation (r=‑0.607; P=0.010), while Hp2‑2 showed a moderate correlation with cardiac function (r=‑0.249; P=0.013). A significant positive correlation with HP‑vessel count trend also emerged in Hp1‑1 patients (r=0.410, P=0.065). HP concentration was a potent CAD risk biomarker in the investigated populations, with clinical relevance modified by genotype. Hp1‑1 carriers demonstrate particularly strong associations between elevated HP levels and impaired cardiac function. Therefore, implementation of genotype‑stratified HP assessment may enhance CAD risk evaluation in precision medicine approaches.

Introduction

Coronary artery disease (CAD), affecting ~10.9% of adults aged 45 years or older and responsible for over 800,000 myocardial infarctions annually in the United States, represents the primary cause of morbidity and mortality globally, with pathogenesis involving complex interactions among genetic, environmental and lifestyle factors (1,2). Despite notable advances in understanding traditional cardiovascular risk factors, notable inter-individual variations in CAD susceptibility propose the involvement of additional genetic determinants that may contribute to disease development and progression (3,4). Among these emerging biomarkers, haptoglobin (HP), an acute-phase glycoprotein primarily synthesized in the liver, has garnered considerable attention for its potential role in cardiovascular pathophysiology (5–7). HP, a plasma glycoprotein, serves an important role in preventing oxidative damage by binding free hemoglobin released during intravascular hemolysis (8). This binding mechanism protects vascular tissues from hemoglobin-induced oxidative stress and facilitates the clearance of hemoglobin-HP complexes through the CD163 receptor on macrophages (9).

The HP gene exhibits a common structural polymorphism resulting in three major phenotypes, namely Hp1-1, Hp2-1 and Hp2-2, which are determined by the inheritance of HP1 and HP2 alleles (10). Beyond the common Hp1-1, Hp2-1 and Hp2-2 phenotypes, rare HP deletion (HPdel) genotypes, resulting from an ~28-kb deletion spanning the HP promoter to HP-related protein exon 5, are prevalent in East Asian populations. Hp1-del/Hp2-del compound heterozygotes and Hpdel-del homozygotes show ethnic frequency variations, comprising ~0.025, 0.067, 0.100 and 2.000% of Japanese, Korean, Chinese and Vietnamese populations respectively (11). The phenotypic variants of HP demonstrate distinct functional properties, with Hp1-1 showing superior antioxidant capacity compared with Hp2-2, whereas Hp2-1 exhibits intermediate functionality (12). Genome-wide association studies have previously identified specific genetic loci such as rs2000999 as strong determinants of circulating HP levels, providing molecular insights into the genetic regulation of HP expression (13). Hpdel-del homozygosity causes complete anhaptoglobinemia, whereas compound heterozygotes demonstrate reduced serum HP levels. Clinically, anhaptoglobinemia raises anaphylactic transfusion reaction risk through anti-HP antibodies, and these variants may affect antioxidant capacity and cardiovascular risk assessment, particularly in East Asian populations (14). This functional heterogeneity has notable implications for cardiovascular health, as oxidative stress has been shown to serve a notable role in the development and progression of atherosclerosis (15).

Previous studies have demonstrated notable associations between HP polymorphisms and CAD risk, with particular emphasis on ethnic-specific variations (16–18). Notably, a comprehensive meta-analysis of 8,632 individuals revealed that HP polymorphisms were notably associated with CAD susceptibility, with stronger associations observed in Asian populations than in Caucasians (19). These findings underscore the importance of population-specific investigations, as genetic architecture and allele frequencies may vary substantially across ethnic groups (20).

In Chinese populations, preliminary studies have suggested distinct patterns of HP phenotype distribution and their cardiovascular implications. A prospective study of Chinese patients with type 2 diabetes demonstrated that the Hp1-1 phenotype was associated with a 43% increased risk of incident acute myocardial infarction (21). Furthermore, Mendelian randomization analysis in Chinese patients with diabetes provided evidence for a causal relationship between the serum levels of HP in patients and macroangiopathic incidence (22). These findings indicate that HP may serve as both a biomarker and a potential therapeutic target in Chinese populations.

However, despite these promising preliminary findings, to the best of our knowledge, no previous study has comprehensively examined the relationship between HP phenotypes, serum concentrations and CAD risk specifically in Chinese populations. Most studies have focused predominantly on Western populations or have examined HP in the context of diabetes-related complications rather than primary CAD (23,24). Additionally, the simultaneous assessment of HP phenotypes and serum concentrations in relation to CAD risk has been insufficiently explored, particularly in Asian populations, where genetic background may substantially influence these associations (25).

The present study addressed this notable knowledge gap by examining the relationship between HP phenotypes and serum concentrations with CAD risk in a Chinese population. By employing rigorous phenotyping methodologies and a well-defined case-control design, the present study aimed to provide valuable insights into the role of HP polymorphisms in CAD susceptibility among Chinese individuals. This may help improve risk stratification and personalize cardiovascular medicine approaches in this population.

Materials and methods

Study participants

The present case-control study enrolled genetically unrelated patients treated at the Division of Cardiology, Bethune International Peace Hospital (Shijiazhuang, China), between August and December 2021. All patients suspected of CAD underwent coronary angiography (CAG). CAG images were independently evaluated by two experienced interventional cardiologists who were blinded to the clinical characteristics and laboratory data of the patients. Disagreements were resolved by consensus or by a third senior interventional cardiologist. CAD severity was assessed according to American Heart Association guidelines (26), with CAD defined as ≥50% luminal stenosis in at least one major epicardial coronary artery or its major branches. The number of diseased vessels was determined by examining the left anterior descending artery, left circumflex artery and right coronary artery (range, 0–3 vessels).

Two control groups were established: Group 1 comprised patients with coronary luminal stenosis ≤40% on angiography, normal left ventricular ejection fraction (LVEF) and normal regional wall motion, while group 2 consisted of healthy individuals randomly selected from those undergoing routine health examinations at the Bethune International Peace Hospital. Clinical and demographic data, including baseline characteristics and laboratory parameters, were extracted from electronic medical records. Serum lipid profiles, including total cholesterol, triglycerides, high-density lipoprotein-cholesterol (HDL-C), and low-density lipoprotein-cholesterol (LDL-C), were measured using standard enzymatic colorimetric methods on a Beckman Coulter AU5800 automated clinical chemistry analyzer (Beckman Coulter, Inc., Brea, CA, USA).

Retrospectively-collected residual clinical blood specimens obtained within 24 h of admission were utilized; serum samples were allocated for HP electrophoresis-based phenotyping and quantitative determination, and anticoagulated venous blood samples were reserved for HP PCR-based genotyping analysis.

Serum HP concentration measurement

Serum HP concentrations were quantified using a BN™ II nephelometer system (Siemens Healthineers) employing immunoturbidimetric methodology. Detection was performed using N Antiserum to Human Haptoglobin (Cat. No. OSAS09; Siemens Healthineers) with N Protein Standard SL (Cat. No. OQIM13) for calibration. Quality control was performed using N/T Protein Control SL (Cat. No. OQIN13) and N/T Protein Control L (Cat. No. OQIO13; Siemens Healthineers). The lower detection limit of the assay was 0.08 g/l. Routine instrument maintenance, calibration and quality control procedures were performed according to manufacturer specifications and ISO9001 quality management standards (27).

HP genotyping and phenotyping

HP genotypes were determined using two complementary methods: Reverse transcription-quantitative PCR (RT-qPCR) and native polyacrylamide gel electrophoresis, ensuring result validation and accuracy. HP genotyping was performed using a TaqMan-based RT-qPCR assay adapted from previously validated methods (28,29). Genomic DNA was extracted from EDTA-anticoagulated peripheral blood samples using a GeneRotex 96 automated nucleic acid extraction system with the Magnetic Bead-based Whole Blood Genomic DNA Extraction kit (cat. no. T148H; Xi'an Tianlong Science and Technology Co., Ltd.,) according to the manufacturer's instructions.

This assay determined HP genotypes by evaluating the relative copy number of the HP2 allele-specific duplication junction region. The HP-5′ promoter region, which is present in all individuals regardless of genotype (28,29), was used as an internal genomic control for normalization. Primers and TaqMan probes were synthesized by Sangon Biotech Co., Ltd., with the following sequences: HP5, forward 5′-CACATTTACTGATTTCAGGCTGGA-3′, reverse 5′-CCTTTTCACAGTAATTTTCTCCACCT-3′, TaqMan probe 5′-FAM-AGCTTTTAAGCAATAGGGAGATGGCCACA-BHQ1-3′; HP2, forward 5′-GGAGCTGCTCTGCACATCAA-3′, reverse 5′-CCCTTTCAATGAATTTCAGGGA-3′, TaqMan probe 5′-VIC-ACCCCGAATAGAAGCTCGCGAACTGTA-BHQ1-3′; and HPdel, forward 5′-TCTTTATGGCACTGGGGAACA-3′, reverse 5′-AGCAAGACACTCGTGAGTGGAA-3′, TaqMan probe 5′-ROX-TGTGCAAGAGCCTTTCCAATTTTGATCA-BHQ2-3′. Each 20 µl PCR reaction contained 2 µl genomic DNA template, 10 µl Premix Ex Taq™ (Perfect Real Time; cat. No. RR039A; Takara Bio Inc.,), 1 µl each of HP2 forward and reverse primers (300 nM), 1 µl each of HPdel forward and reverse primers (300 nM), 0.5 µl each of HP5 forward and reverse primers (150 nM), 1 µl each of HP2-TaqMan and HPdel-TaqMan probes (83 nM), 0.5 µl of the HP5-TaqMan probe (42 nM) and nuclease-free water to reach the final volume. An AGS4800 Real-Time PCR System (AGS Technologies Co., Ltd) was used for amplification. The PCR cycling conditions were as follows: Initial denaturation at 95°C for 10 min, followed by 40 cycles of denaturation at 95°C for 10 sec and annealing/extension at 60°C for 1 min.

HP genotypes were determined using the comparative Cq method (2−ΔΔCq method) (30). For each sample, the following calculations were performed: ΔCq=Cq(HP5′)-Cq(HP2); ΔΔCq=ΔCq(sample)-ΔCq(reference); HP2/HP5′ ratio=2−ΔΔCq; where the reference was genomic DNA from a confirmed HP2/HP2 homozygotic individual. Genotypes were assigned based on the HP2/HP5′ ratio: i) HP1/HP1 was assigned when no notable HP2 signal was detected; ii) HP2/HP1 was defined as a ratio ranging from 0.34–0.50; and iii) HP2/HP2 individuals displayed ratios ranging from 0.79–0.98. The presence of HPdel was identified by detection of the HPdel-specific signal, and samples showing HPdel signals were further categorized as HP1/HPdel, HP2/HPdel or HPdel/HPdel based on the combination of HP2 and HPdel signal patterns.

Gel electrophoresis phenotyping

HP phenotypes were confirmed by native polyacrylamide gel electrophoresis of HP-hemoglobin complexes (10,31,32). Briefly, 10 µl serum samples were mixed with 2 µl 10% (v/v) hemoglobin solution and incubated at room temperature for 10 min to allow formation of HP-hemoglobin complexes. Samples were then mixed with an equal volume of non-denaturing loading buffer, consisting of 125 mM Tris-HCl, 20% glycerol and 0.001% bromophenol blue at pH 6.8.

Electrophoresis was performed using a discontinuous polyacrylamide gel system, which consisted of a 4% stacking gel (125 mM Tris-HCl; pH 6.8) and a 4.7% resolving gel (360 mM Tris-HCl; pH 8.8). Initial electrophoresis was conducted at 120 V until the bromophenol blue front approached the resolving gel, followed by 150 V until completion. Gels were stained using a chromogenic substrate solution containing 5 ml 0.2% (w/v) 3,3′,5,5′-tetramethylbenzidine in methanol, 0.5 ml dimethyl sulfoxide, 10 ml 5% (v/v) glacial acetic acid, 1 ml 1% (w/v) potassium ferricyanide and 150 µl 30% (w/w) hydrogen peroxide. Staining was performed at room temperature for 5–15 min.

Statistical analysis

Statistical analyses were conducted using Python (version 3.9; Python Software Foundation) with pandas (33), NumPy (34), scipy.stats (35) and scikit-learn libraries (36). Continuous variables were presented as mean ± standard deviation and categorical variables as frequencies (percentages). Between-group comparisons were conducted using χ2 test for categorical variables and one-way ANOVA) or Kruskal-Wallis tests for continuous variables, depending on data distribution assessed by the Shapiro-Wilk test. Following significant ANOVA results, post hoc pairwise comparisons were performed using Bonferroni correction. For Kruskal-Wallis tests, Mann-Whitney U tests with Bonferroni correction were applied for post hoc pairwise comparisons. For χ2 tests involving multiple groups, post-hoc pairwise comparisons were performed using individual χ2 tests with Bonferroni correction for multiple comparisons (adjusted α=0.05/number of comparisons).

Correlation analyses employed Pearson's or Spearman's coefficients as appropriate. Multivariate logistic regression identified independent CAD risk factors, including variables with P<0.2 from the univariate analysis. Model performance was evaluated using receiver operating characteristic (ROC) curve analysis and area under the curve (AUC) calculations.

Genotype-stratified analyses explored HP genotype-specific associations by performing the aforementioned correlation analysis methods within each genotype subgroup (n≥10). Between-genotype HP concentration comparisons were conducted using Kruskal-Wallis tests with η2 effect sizes.

Missing data were handled by complete case analysis, for example the quantity of LVEF missing data was 18.3%. Statistical significance was set at α=0.05.

Results

Baseline characteristics of the study participants

The present study enrolled 230 patients with CAD, 83 participants in the control 1 group and 192 participants in the control 2 group. Key baseline characteristics are summarized in Table I. The CAD group was predominantly male (74.8%), significantly more compared with the control groups 1 (56.6%; P=0.003) and 2 (53.1%; P<0.001). Smoking prevalence was significantly higher in the CAD group (30.0%) compared with the control groups 1 (16.9%; P=0.029) and 2 (15.1%; P<0.001). Hypertension was significantly more frequent in the CAD group (62.6%) compared with in the control 2 group (26.0%; P<0.001). Similarly, diabetes mellitus was significantly more prevalent in the CAD group (21.3%) compared with in control group 2 (8.3%; P<0.001). Genetic history was rare but present only in the CAD and control 1 groups.

Table I.

Baseline characteristics of the study participants.

Table I.

Baseline characteristics of the study participants.

GroupStatistical analysis


VariablesCAD (n=230)Control 1 (n=83)Control 2 (n=192) P-valuea P-valueb
Age, years61.0 (53.0–68.75)59.0 (51.0–63.0)62.0 (50.75–71.0)0.0670.714
Sex 0.003<0.001
  Male172 (74.8)47 (56.6)102 (53.1)
  Female58 (25.2)36 (43.4)90 (46.9)
Smoking69 (30.0)14 (16.9)29 (15.1)0.029<0.001
Drinking29 (12.6)11 (13.3)28 (14.6)>0.9990.654
Hypertension144 (62.6)46 (55.4)50 (26.0)0.309<0.001
Diabetes mellitus49 (21.3)15 (18.1)16 (8.3)0.640<0.001
Genetic history7 (3.0)2 (2.4)0 (0.0)>0.9990.040
Lipid profile, mg/dl
  TC4.22±1.024.34±0.854.38±0.570.3500.064
  TG1.62±0.881.59±1.081.12±0.320.853<0.001
  HDL1.04±0.241.12±0.161.33±0.270.004<0.001
  LDL2.74±0.782.84±0.722.79±0.420.3080.418
No. of diseased vessels
  175 (32.6)----
  271 (30.9)----
  384 (36.5)----
LVEFc0.619±0.0770.647±0.044-0.003-

{ label (or @symbol) needed for fn[@id='tfn1-mmr-33-5-13844'] } Data are presented as median (inter-quartile range) for age; n (%) for categorical variables; and mean ± SD for continuous variables.

a P-value for comparison between CAD and control 1 groups (angiographic controls with <40% stenosis);

b P-value for comparison between CAD and control 2 groups (healthy controls);

c LVEF data was only partially available for the CAD (188/230) and control 1 groups (80/83). CAD, coronary artery disease; TC, total cholesterol; TG, triglycerides; HDL, high-density lipoprotein; LDL, low-density lipoprotein; LVEF, left ventricular ejection fraction.

CAD group demonstrated significantly lower high-density lipoprotein-cholesterol (HDL-C) levels (1.04±0.24 mg/dl) compared with control groups 1 (1.12±0.16 mg/dl; P=0.004) and 2 (1.33±0.27 mg/dl; P<0.001) and significantly higher triglyceride levels (1.62±0.88 mg/dl) than control group 2 (1.12±0.32 mg/dl; P<0.001). LVEF was significantly lower in the CAD group (0.619±0.077) than in control group 1 (0.647±0.044; P=0.003). No significant differences were observed in median age, drinking prevalence, total cholesterol or low-density lipoprotein-cholesterol between the CAD group and either control group.

HP phenotype and serum levels

Of 505 samples analyzed, 450 showed concordant results between the two genotyping methods, yielding an overall concordance rate of 89.11% (450/505; data not shown). The remaining 55 samples required complementary use of both methods for accurate genotyping. A representative electrophoretic typing profile of HP is presented in Fig. S1.

Serum HP levels demonstrated significant genotypic and group variations (Table II). Within each genotype, the CAD group consistently displayed the highest HP concentrations. Specifically, Hp2-2 carriers in the CAD group demonstrated significantly higher serum HP levels (1.50±0.84 g/l) compared with those in control groups 1 (1.11±0.54 g/l; P=0.004) and 2 (0.85±0.42 g/l; P<0.001). Similarly, Hp2-1 carriers in the CAD group (2.01±0.86 g/l) had significantly higher HP levels than their counterparts in control groups 1 (1.39±0.39 g/l; P<0.001) and 2 (1.19±0.47 g/l; both P<0.001). The Hp1-1 genotype also showed significantly higher levels in the CAD group than in control group 2 (2.03±0.79 vs. 1.31±0.61 g/l; P=0.001).

Table II.

Distribution of HP genotypes and serum levels.

Table II.

Distribution of HP genotypes and serum levels.

CAD (n=230)Control 1 (n=83)Control 2 (n=192)Statistical analysis




HP genotypesn (%)HP level, g/ln (%)HP level, g/ln (%)HP level, g/l P-valuea P-valueb
1-121 (9.1)2.03±0.795 (6.0)1.88±0.9326 (13.5)1.31±0.610.7150.001
2-169 (30.0)2.01±0.8628 (33.7)1.39±0.3975 (39.1)1.19±0.47<0.001<0.001
2-2126 (54.8)1.50±0.8445 (54.2)1.11±0.5479 (41.1)0.85±0.420.004<0.001
1-del2 (0.9)0.56±0.685 (6.0)0.73±0.492 (1.0)0.08±0.000.7130.423
2-del12 (5.2)0.66±0.920 (0.0)-10 (5.2)0.41±0.28-0.425
del-del0 (0.0)-0 (0.0)-0 (0.0)---

{ label (or @symbol) needed for fn[@id='tfn5-mmr-33-5-13844'] } P-value

a , HP level comparison between CAD and control 1 (angiographic controls, <40% stenosis); P-value

b , HP level comparison between CAD and control 2 (healthy controls). HP, haptoglobin; CAD, coronary artery disease; del, deletion.

HP genotype distribution differed significantly among CAD, control 1 and control 2 groups (χ2=25.014; degrees of freedom, 8; P=0.002; data not shown). In CAD vs. control 2 group comparisons (Table III), Hp2-2 was significantly more prevalent in patients with CAD than in control group 2 [54.8 vs. 41.1%; χ2=7.254; P=0.007; odds ratio (OR), 1.73; 95% confidence interval (CI), 1.18–2.55]. Hp2-1 showed a non-significant trend toward lower frequency in the CAD group compared with control group 2 (30.0 vs. 39.1%; χ2=3.431; P=0.064; OR, 0.67; 95% CI, 0.45–1.00). No significant differences were observed for Hp1-1 (P=0.201) or deletion genotypes (both P>0.999). Detailed statistical comparisons are listed in Table III. This comparison was selected for detailed analysis because control group 2 provided greater statistical power (n=192 vs. n=83 for control group 1) and demonstrated the most substantial differences in genotype distribution compared with the CAD group.

Table III.

χ2 test results for HP genotype distribution comparing CAD vs. control 2 groups.

Table III.

χ2 test results for HP genotype distribution comparing CAD vs. control 2 groups.

GenotypeCAD, n (%)Control 2, n (%)χ2dfP-valueOR95% CI
Hp1-121 (9.1)26 (13.5)1.63610.2010.640.35–1.18
Hp2-169 (30.0)75 (39.1)3.43110.0640.670.45–1.00
Hp2-2126 (54.8)79 (41.1)7.25410.007a1.731.18–2.55
Hp1-del2 (0.9)2 (1.0)0.0001>0.9990.830.12–5.97
Hp2-del12 (5.2)10 (5.2)0.0001>0.9991.000.42–2.37
Total230 (100.0)192 (100.0)8.38640.078--

a Significant following Bonferroni correction (adjusted α=0.01 for 5 comparisons). OR, odds ratio; CI, confidence interval; df, degrees of freedom; HP haptoglobin; CAD, coronary artery disease; del, deletion.

Multivariate logistic regression analysis of HP and CAD risk

Table IV presents univariate and multivariate logistic regression analyses to identify independent CAD risk factors. In the multivariate analysis, HP concentration emerged as the strongest independent predictor (OR, 4.556; P<0.001), followed by hypertension (OR, 3.772; P<0.001), triglycerides (OR, 2.682; P=0.002) and HDL-C as a protective factor (OR, 0.011; P<0.001). Among HP phenotypes, Hp2-2 showed an independent association with CAD risk (OR, 1.781; P=0.045) compared with a Hp1-1 reference, representing a 78% increased risk even after adjusting for HP concentration and traditional cardiovascular risk factors. Other HP phenotypes showed no significant associations.

Table IV.

Multivariable logistic regression analysis of variables associated with coronary artery disease risk.

Table IV.

Multivariable logistic regression analysis of variables associated with coronary artery disease risk.

Univariate analysisbMultivariate analysis


VariablesaOR95% CIP-valueOR95% CIP-value
Male sex2.6171.735–3.947<0.0011.4070.770–2.5710.267
Age, years0.9980.982–1.0130.752
Family history4.2850.881–20.8320.0713.580.627–20.4530.152
Hypertension4.7553.129–7.227<0.0013.7722.139–6.653<0.001
Diabetes mellitus2.9781.632–5.433<0.0012.0680.881–4.8580.095
Smoking2.4091.483–3.914<0.0010.9540.468–1.9470.898
Alcohol consumption0.8450.483–1.4780.555
HP concentration (g/l)3.1782.331–4.335<0.0014.5562.923–7.101<0.001
Total cholesterol (mmol/l)0.8060.641–1.0140.0651.3560.880–2.0900.168
Triglycerides (mmol/l)4.7312.962–7.557<0.0012.6821.435–5.0130.002
HDL cholesterol (mmol/l)0.0130.005–0.034<0.0010.0110.002–0.047<0.001
LDL cholesterol (mmol/l)0.8830.654–1.1920.417
Hp2-2 vs. Hp1-11.9751.041–3.7460.0371.7811.013–3.1300.045
Hp2-1 vs. Hp1-11.1390.588–2.2070.700
Hp1-del vs. Hp1-11.2380.161–9.5460.838
Hp2-del vs. Hp1-11.4860.537–4.1090.446

a HP phenotypes were compared using Hp1-1 as the reference category.

b Variables with P<0.2 in univariate analysis or clinical significance were considered for inclusion in the multivariate model. OR, odds ratio; CI, confidence interval; HP, haptoglobin; Hp1-1, HP1 homozygote; Hp2-1, HP1 and HP2 heterozygote; Hp2-2, HP2 homozygote; Hp1-del, HP1 and HP deletion heterozygote; Hp2-del, HP2 and HP deletion heterozygote.

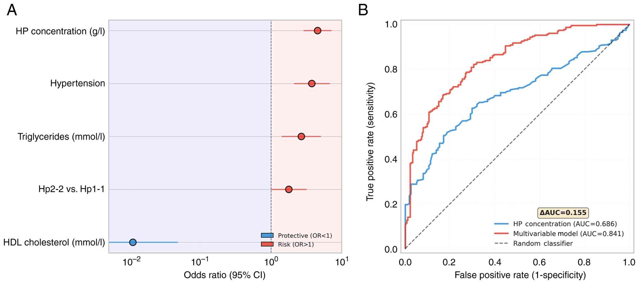
Visualization by forest plot demonstrated the magnitude and direction of associations for the previously identified significant predictors of CAD, with HP concentration and hypertension showing the strongest positive associations with CAD risk, whereas HDL-C levels demonstrated the most pronounced protective effect (Fig. 1A). ROC curve analysis demonstrated the superior discriminative ability of the multivariate model (AUC=0.841) compared with HP concentration alone (AUC=0.686), representing a clinically meaningful improvement of 0.155 in AUC value (Fig. 1B). The multivariate model achieved good discriminative performance, indicating its potential clinical utility for the assessment of CAD risk.

HP parameters and clinical indicators
associated with CAD risk. (A) Forest plot showing independent
predictors of CAD risk from multivariate logistic regression
analysis. (B) Receiver operating characteristic curves comparing
single-variable (HP concentration) and multivariate models for CAD
risk prediction. CAD, coronary artery disease; AUC, area under the
curve; CI, confidence interval; HDL, high-density lipoprotein; HP,
haptoglobin; Hp1-1, HP1 homozygote; Hp2-2, HP2 homozygote.

Figure 1.

HP parameters and clinical indicators associated with CAD risk. (A) Forest plot showing independent predictors of CAD risk from multivariate logistic regression analysis. (B) Receiver operating characteristic curves comparing single-variable (HP concentration) and multivariate models for CAD risk prediction. CAD, coronary artery disease; AUC, area under the curve; CI, confidence interval; HDL, high-density lipoprotein; HP, haptoglobin; Hp1-1, HP1 homozygote; Hp2-2, HP2 homozygote.

Genotype-specific analysis of HP with CAD severity

Significant differences in serum HP levels were observed across genotypes (ANOVA F=12.28; P<0.001). Hp1-1 and Hp2-1 genotypes exhibited the highest HP concentrations (2.03±0.79 and 2.01±0.86 g/l, respectively), whereas Hp2-2 showed intermediate levels (1.50±0.84 g/l), and Hp2-del demonstrated the lowest concentrations (0.66±0.92 g/l) (Fig. 2A).

Genotype-specific analysis of
haptoglobin parameters in patients with CAD. (A) Distribution of
serum HP levels across genotypes. (B) Correlation coefficients
between HP levels and LVEF by genotype. Scatter plots showing
HP-LVEF association in patients with (C) Hp1-1 and (D) Hp2-2.
*P<0.05 and **P<0.01. CAD, coronary artery disease; HP,
haptoglobin; LVEF, left ventricular ejection fraction; Hp1-1, HP1
homozygote; Hp2-1, HP1 and HP2 heterozygote; Hp2-2, HP2 homozygote;
Hp2-del, HP2 and HP deletion heterozygote.

Figure 2.

Genotype-specific analysis of haptoglobin parameters in patients with CAD. (A) Distribution of serum HP levels across genotypes. (B) Correlation coefficients between HP levels and LVEF by genotype. Scatter plots showing HP-LVEF association in patients with (C) Hp1-1 and (D) Hp2-2. *P<0.05 and **P<0.01. CAD, coronary artery disease; HP, haptoglobin; LVEF, left ventricular ejection fraction; Hp1-1, HP1 homozygote; Hp2-1, HP1 and HP2 heterozygote; Hp2-2, HP2 homozygote; Hp2-del, HP2 and HP deletion heterozygote.

Genotype-stratified correlation analysis revealed distinct patterns of association between HP levels and cardiac function (Fig. 2B). In the Hp1-1 group (n=17), serum HP concentration showed a moderate negative correlation with LVEF (r=−0.607; P=0.010), explaining 36.8% of the variance in cardiac function (Fig. 2C). Similarly, the Hp2-2 group (n=99) demonstrated a notable negative correlation with cardiac function (r=−0.249; P=0.013) (Fig. 2D). By contrast, Hp2-1 and Hp2-del genotypes showed no significant associations with LVEF (P>0.05).

Regarding CAD severity, only the Hp1-1 group showed a trending positive correlation between HP levels and vessel count (r=0.410; P=0.065), whereas other genotypes demonstrated no significant associations (data not shown). These findings suggest that HP concentration serves as a clinically relevant biomarker primarily in specific genotype subgroups, supporting the implementation of genotype-stratified HP assessment in cardiovascular risk evaluation.

Discussion

The present study is a comprehensive investigation of HP polymorphisms and serum concentrations in Chinese patients with CAD, revealing significant genotype-specific associations with cardiac function and disease incidence. The findings of the present study provide novel insights into the clinical utility of HP parameters as biomarkers for CAD risk assessment in the Chinese population.

The 54.8% prevalence of the Hp2-2 genotype in the present CAD cohort was consistent with findings from previous multi-ethnic cardiovascular studies (37,38). This proportion was not only higher than that of the control groups established in the present study but also exceeded the Hp2-2 frequency reported in the general Chinese populations in earlier studies (39,40). Multivariate analysis identified HP concentration and the Hp2-2 genotype (compared with Hp1-1) as robust independent predictors of CAD risk. The multivariable model demonstrated superior discriminative ability compared with HP concentration alone

The most notable finding of the present study was the genotype-specific associations observed between HP serum levels and cardiac function. The Hp1-1 group exhibited a moderate negative correlation between HP concentration and LVEF, which was particularly noteworthy due to the superior antioxidant capacity of Hp1-1 protein (12), suggesting that high HP levels in these patients may reflect severe oxidative stress and inflammatory burden. The notable negative association found in the Hp2-2 group aligned with the results of previous mechanistic studies indicating that Hp2-2 protein demonstrates lower antioxidant efficiency and hemoglobin-binding capacity compared with Hp1-1 protein (41,42). This functional difference may clarify why HP concentration showed more sensitivity as a biomarker of cardiovascular dysfunction in specific genotypes than others.

The genotype-specific associations observed in the present study likely reflected fundamental differences in HP protein structure and function. Hp1-1 forms stable dimers with superior hemoglobin-binding affinity, whereas Hp2-2 creates large multimeric complexes with reduced antioxidant capacity (14,43). In cases of acute coronary syndrome, increased hemolysis and oxidative stress may exceed the antioxidant capacity of different HP variants to varying degrees, leading to genotype-specific HP concentration elevation patterns (8,44).

The positive correlation between HP concentration and CAD severity in the Hp1-1 group indicates that HP may have acted as both a protective antioxidant and an inflammatory marker, with the balance shifting to pathological signaling when concentrations exceeded physiological ranges. Multiple lines of evidence support this dual role: i) HP acts as the primary plasma hemoglobin scavenger, mitigating heme-induced oxidative damage (8,45); ii) HP is an acute-phase protein that increases expression during systemic inflammation, with dose-dependent promotion of monocyte chemotaxis (46,47); iii) clinical studies show a U-shaped relationship between HP concentration and cardiovascular outcomes, where both very low and very high levels associate with higher patient mortality (48); and iv) proteomic analyses in patients with acute coronary syndrome consistently identify a high HP level as an inflammatory biomarker (44,49). This concentration-dependent shift from protection to pathology reflected the finite hemoglobin-binding capacity of HP: Adequate HP levels relative to free hemoglobin confer antioxidant protection, however high HP levels driven primarily by acute-phase inflammation, rather than those observed by compensatory upregulation against hemoglobin, mark disease severity rather than protection (8,50).

The findings of the present study support the implementation of genotype-stratified HP assessment in clinical practice. For Hp1-1 genotypes, HP concentration monitoring could provide valuable prognostic information regarding cardiac function, whereas routine HP measurement may demonstrate limited utility in the Hp2-1 group. This personalized approach aligns with precision medicine principles and could improve the cost-effectiveness of biomarker-based CAD management. Given the 3-fold difference in baseline HP concentrations between genotypes, the establishment of genotype-specific reference ranges appears warranted (40). Current clinical laboratories typically use population-based reference intervals that may misclassify individuals with specific genotypes (39).

Several study limitations warrant consideration. The cross-sectional design of the present study prevented causal inference; thus, longitudinal studies are required to establish the temporal relationship between HP parameters and CAD progression. Although the sample sizes used in the present study provided adequate statistical power for the primary analyses, a larger cohort would have enhanced the robustness of findings, particularly for subgroup analyses. Furthermore, the single-center design of the present study may have limited generalizability. Missing LVEF data (18.3%) may have introduced selection bias, although sensitivity analyses suggested minimal effect on the conclusions drawn in the present study. Additionally, relatively small sample sizes observed for rare genotypes (Hp1-del, n=9; Hp2-del, n=22) limited the precision of estimates for these subgroups. Future multicenter studies with larger cohorts are needed to validate the genotype-specific associations observed in the present study and to explore their prognostic value in diverse clinical settings.

Future prospective cohort studies should evaluate the prognostic utility of genotype-stratified HP assessment for predicting cardiovascular events and treatment responses. Studies of HP dynamics in patients with acute coronary syndrome may uncover additional clinical applications. Mechanistic investigations through in vitro cellular assays, protein functional studies and animal models are needed to clarify the pathogenic pathways linking HP genotypes to CAD. Furthermore, therapeutic studies targeting HP-mediated oxidative pathways could explore novel treatment approaches for genotype-specific CAD management (51).

In conclusion, HP genotypes significantly modified the clinical relevance of serum HP concentrations in patients with CAD. Thus, genotype-stratified HP assessment could enhance cardiovascular risk evaluation and support personalized medicine approaches in Chinese populations.

Supplementary Material

Supporting Data

Acknowledgements

Not applicable.

Funding

The present study was supported by the National Key R&D Program of China (grant no. 2019YFF0216502).

Availability of data and materials

The data generated in the present study may be requested from the corresponding author.

Authors' contributions

ZH and FW conceived and planned the present study. ZH, HL and KJ performed the experiments and analyzed data. DL and LA contributed to sample preparation. HL, DL and JW contributed to the interpretation of results. FW was responsible for writing the manuscript. All authors provided critical feedback and helped shape the research, analysis and manuscript. ZH and FW confirm the authenticity of all the raw data. All authors read and approved the final manuscript.

Ethics approval and consent to participate

The present study was conducted in accordance with the Declaration of Helsinki and approved by the Medical Ethics Committee of Bethune International Peace Hospital (Shijiazhuang, China; approval no. 2021-KY-152). Written informed consent was waived due to the retrospective nature of the study using residual clinical specimens.

Patient consent for publication

Not applicable.

Competing interests

The authors declare that they have no competing interests.

References

1 

Malakar AK, Choudhury D, Halder B, Paul P, Uddin A and Chakraborty S: A review on coronary artery disease, its risk factors, and therapeutics. J Cell Physiol. 234:16812–16823. 2019. View Article : Google Scholar : PubMed/NCBI

2 

Duggan JP, Peters AS, Trachiotis GD and Antevil JL: Epidemiology of coronary artery disease. Surg Clin North Am. 102:499–516. 2022. View Article : Google Scholar : PubMed/NCBI

3 

Jia Q, Han Y, Huang P, Woodward NC, Gukasyan J, Kettunen J, Ala-Korpela M, Anufrieva O, Wang Q, Perola M, et al: Genetic determinants of circulating glycine levels and risk of coronary artery disease. J Am Heart Assoc. 8:e0119222019. View Article : Google Scholar : PubMed/NCBI

4 

McPherson R and Tybjaerg-Hansen A: Genetics of coronary artery disease. Circ Res. 118:564–578. 2016. View Article : Google Scholar : PubMed/NCBI

5 

Mewborn EK, Tolley EA, Wright DB, Doneen AL, Harvey M and Stanfill AG: Haptoglobin genotype is a risk factor for coronary artery disease in prediabetes: A case-control study. Am J Prev Cardiol. 17:1006252023. View Article : Google Scholar : PubMed/NCBI

6 

Chang X, Dorajoo R, Han Y, Wang L, Liu J, Khor CC, Low AF, Chan MY, Yuan JM, Koh WP, et al: Interaction between a haptoglobin genetic variant and coronary artery disease (CAD) risk factors on CAD severity in Singaporean Chinese population. Mol Genet Genomic Med. 8:e14502020. View Article : Google Scholar : PubMed/NCBI

7 

Orchard TJ, Backlund JC, Costacou T, Cleary P, Lopes-Virella M, Levy AP and Lachin JM; DCCT/EDIC Research Group, : Haptoglobin 2–2 genotype and the risk of coronary artery disease in the Diabetes control and complications trial/epidemiology of diabetes interventions and complications study (DCCT/EDIC). J Diabetes Complications. 30:1577–1584. 2016. View Article : Google Scholar : PubMed/NCBI

8 

Andersen CBF, Stødkilde K, Sæderup KL, Kuhlee A, Raunser S, Graversen JH and Moestrup SK: Haptoglobin. Antioxid Redox Signal. 26:814–831. 2017. View Article : Google Scholar : PubMed/NCBI

9 

Etzerodt A, Mikkelsen JH, Torvund-Jensen M, Hennig D, Boesen T, Graversen JH, Moestrup SK, Kollman JM and Andersen CBF: The Cryo-EM structure of human CD163 bound to haptoglobin-hemoglobin reveals molecular mechanisms of hemoglobin scavenging. Nat Commun. 15:108712024. View Article : Google Scholar : PubMed/NCBI

10 

Carter K and Worwood M: Haptoglobin: A review of the major allele frequencies worldwide and their association with diseases. Int J Lab Hematol. 29:92–110. 2007. View Article : Google Scholar : PubMed/NCBI

11 

Soejima M, Agusa T, Iwata H, Fujihara J, Kunito T, Takeshita H, Lan VT, Minh TB, Takahashi S, Trang PT, et al: Haptoglobin genotyping of Vietnamese: Global distribution of HP del, complete deletion allele of the HP gene. Leg Med (Tokyo). 17:14–16. 2015. View Article : Google Scholar : PubMed/NCBI

12 

Cooper CE, Schaer DJ, Buehler PW, Wilson MT, Reeder BJ, Silkstone G, Svistunenko DA, Bulow L and Alayash AI: Haptoglobin binding stabilizes hemoglobin ferryl iron and the globin radical on tyrosine β145. Antioxid Redox Signal. 18:2264–2273. 2013. View Article : Google Scholar : PubMed/NCBI

13 

Froguel P, Ndiaye NC, Bonnefond A, Bouatia-Naji N, Dechaume A, Siest G, Herbeth B, Falchi M, Bottolo L, Guéant-Rodriguez RM, et al: A genome-wide association study identifies rs2000999 as a strong genetic determinant of circulating haptoglobin levels. PLoS One. 7:e323272012. View Article : Google Scholar : PubMed/NCBI

14 

Delanghe JR, Delrue C, Speeckaert R and Speeckaert MM: Unlocking the link between haptoglobin polymorphism and noninfectious human diseases: Insights and implications. Crit Rev Clin Lab Sci. 61:275–297. 2024. View Article : Google Scholar : PubMed/NCBI

15 

Schaer CA, Deuel JW, Bittermann AG, Rubio IG, Schoedon G, Spahn DR, Wepf RA, Vallelian F and Schaer DJ: Mechanisms of haptoglobin protection against hemoglobin peroxidation triggered endothelial damage. Cell Death Differ. 20:1569–1579. 2013. View Article : Google Scholar : PubMed/NCBI

16 

Moussa A, Rejeb J, Omezzine A, Rebhi L, Boumaiza I, Kacem S, Ben Rejeb N, Boughzala E, Ben Abdelaziz A and Bouslama A: Association between haptoglobin 2–2 genotype and coronary artery disease and its severity in a tunisian population. Biochem Genet. 52:269–282. 2014. View Article : Google Scholar : PubMed/NCBI

17 

Christensen JH, Krarup HB, Riahi S, Toft E and Schmidt EB: Heart rate variability is associated with haptoglobin phenotype in patients with coronary artery disease. Eur J Cardiovasc Prev Rehabil. 12:221–225. 2005. View Article : Google Scholar : PubMed/NCBI

18 

Cahill LE, Warren RA, Carew AS, Levy AP, Ginsberg HN, Sapp J, Lache O and Rimm EB: The relationship between time-varying achieved HbA1c and risk of coronary events depends on haptoglobin phenotype among white and black ACCORD participants. Diabetes Care. 46:1941–1948. 2023. View Article : Google Scholar : PubMed/NCBI

19 

Wang J, Zhou X, Su Y, Chai D, Ruan Y and Wang J: Association between haptoglobin polymorphism and coronary artery disease: A meta-analysis. Front Genet. 15:14349752024. View Article : Google Scholar : PubMed/NCBI

20 

Tishkoff SA and Kidd KK: Implications of biogeography of human populations for ‘race’ and medicine. Nat Genet. 36 (11 Suppl):S21–S27. 2004. View Article : Google Scholar : PubMed/NCBI

21 

Gurung RL, Yiamunaa M, Liu S, Liu JJ, Chan C, Choo RWM, Ang K, Sum CF, Tavintharan S and Lim SC: Association of haptoglobin phenotype with incident acute myocardial infarction in Chinese patients with type 2 diabetes. Cardiovasc Diabetol. 18:652019. View Article : Google Scholar : PubMed/NCBI

22 

Wang S, Wang J, Zhang R, Wang T, Yan D, He Z, Jiang F, Hu C and Jia W: Mendelian randomization analysis to assess a causal effect of haptoglobin on macroangiopathy in Chinese type 2 diabetes patients. Cardiovasc Diabetol. 17:142018. View Article : Google Scholar : PubMed/NCBI

23 

Costacou T, Ferrell RE and Orchard TJ: Haptoglobin genotype: A determinant of cardiovascular complication risk in type 1 diabetes. Diabetes. 57:1702–1706. 2008. View Article : Google Scholar : PubMed/NCBI

24 

Levy AP, Hochberg I, Jablonski K, Resnick HE, Lee ET, Best L and Howard BV; Strong Heart Study, : Haptoglobin phenotype is an independent risk factor for cardiovascular disease in individuals with diabetes: The strong heart study. J Am Coll Cardiol. 40:1984–1990. 2002. View Article : Google Scholar : PubMed/NCBI

25 

Nakamura H, Soejima M, Munkhtulga L, Iwamoto S and Koda Y: Haptoglobin polymorphism in Mongolian population: Comparison of the two genotyping methods. Clin Chim Acta. 408:110–113. 2009. View Article : Google Scholar : PubMed/NCBI

26 

Scanlon PJ, Faxon DP, Audet AM, Carabello B, Dehmer GJ, Eagle KA, Legako RD, Leon DF, Murray JA, Nissen SE, et al: ACC/AHA guidelines for coronary angiography. A report of the American College of Cardiology/American Heart Association Task Force on practice guidelines (Committee on Coronary Angiography). Developed in collaboration with the Society for Cardiac Angiography and Interventions. J Am Coll Cardiol. 33:1756–1824. 1999. View Article : Google Scholar : PubMed/NCBI

27 

Standardization ISO, . ISO 9001:2015 Quality management systems - Requirements. ISO; Geneva: 2015

28 

Soejima M and Koda Y: TaqMan-based real-time PCR for genotyping common polymorphisms of haptoglobin (HP1 and HP2). Clin Chem. 54:1908–1913. 2008. View Article : Google Scholar : PubMed/NCBI

29 

Soejima M and Koda Y: Rapid real-time PCR detection of HPdel directly from diluted blood samples. Clin Chem. 54:1095–1096. 2008. View Article : Google Scholar : PubMed/NCBI

30 

Livak KJ and Schmittgen TD: Analysis of relative gene expression data using real-time quantitative PCR and the 2(−Delta Delta C(T)) Method. Methods. 25:402–408. 2001. View Article : Google Scholar : PubMed/NCBI

31 

Hochberg I, Roguin A, Nikolsky E, Chanderashekhar PV, Cohen S and Levy AP: Haptoglobin phenotype and coronary artery collaterals in diabetic patients. Atherosclerosis. 161:441–446. 2002. View Article : Google Scholar : PubMed/NCBI

32 

Smithies O: Zone electrophoresis in starch gels: Group variations in the serum proteins of normal human adults. Biochem J. 61:629–641. 1955. View Article : Google Scholar : PubMed/NCBI

33 

McKinney W: Data Structures for Statistical Computing in Python. In. SciPy2010.

34 

Harris CR, Millman KJ, van der Walt SJ, Gommers R, Virtanen P, Cournapeau D, Wieser E, Taylor J, Berg S, Smith NJ, et al: Array programming with NumPy. Nature. 585:357–362. 2020. View Article : Google Scholar : PubMed/NCBI

35 

Virtanen P, Gommers R, Oliphant TE, Haberland M, Reddy T, Cournapeau D, Burovski E, Peterson P, Weckesser W, Bright J, et al: SciPy 1.0: Fundamental algorithms for scientific computing in Python. Nat Methods. 17:261–272. 2020. View Article : Google Scholar : PubMed/NCBI

36 

Pedregosa F, Varoquaux G, Gramfort A, Michel V, Thirion B, Grisel O, Blondel M, Prettenhofer P, Weiss R, Dubourg V, et al: Scikit-learn: Machine Learning in Python. JMLR. 12:2825–2830. 2011.

37 

Dalan R, Liew H, Goh LL, Gao X, Chew DE, Boehm BO and Leow MK: The haptoglobin 2–2 genotype is associated with inflammation and carotid artery intima-media thickness. Diab Vasc Dis Res. 13:373–376. 2016. View Article : Google Scholar : PubMed/NCBI

38 

Adams JN, Cox AJ, Freedman BI, Langefeld CD, Carr JJ and Bowden DW: Genetic analysis of haptoglobin polymorphisms with cardiovascular disease and type 2 diabetes in the Diabetes Heart Study. Cardiovasc Diabetol. 12:312013. View Article : Google Scholar : PubMed/NCBI

39 

Shi X, Sun L, Wang L, Jin F, Sun J, Zhu X, Tang L, Qu Y and Yang Z: Haptoglobin 2–2 genotype is associated with increased risk of type 2 diabetes mellitus in Northern Chinese. Genet Test Mol Biomarkers. 16:563–568. 2012. View Article : Google Scholar : PubMed/NCBI

40 

Lei D, Hu S, Guo M, Wang J, Ma X, Wang F and He Z: Genotype-specific reference interval of haptoglobin tests in a Chinese population on the BN II System. Sci Rep. 13:5772023. View Article : Google Scholar : PubMed/NCBI

41 

Delanghe JR, Langlois MR and De Buyzere ML: Haptoglobin polymorphism: A key factor in the proatherogenic role of B cells? Atherosclerosis. 217:80–82. 2011. View Article : Google Scholar : PubMed/NCBI

42 

Edwards O, Burris A, Lua J, Wilkie DJ, Ezenwa MO and Doré S: Influence of haptoglobin polymorphism on stroke in sickle cell disease patients. Genes (Basel). 13:1442022. View Article : Google Scholar : PubMed/NCBI

43 

Tamara S, Franc V and Heck AJR: A wealth of genotype-specific proteoforms fine-tunes hemoglobin scavenging by haptoglobin. Proc Natl Acad Sci USA. 117:15554–15564. 2020. View Article : Google Scholar : PubMed/NCBI

44 

Pekayvaz K, Losert C, Knottenberg V, Gold C, van Blokland IV, Oelen R, Groot HE, Benjamins JW, Brambs S, Kaiser R, et al: Multiomic analyses uncover immunological signatures in acute and chronic coronary syndromes. Nat Med. 30:1696–1710. 2024. View Article : Google Scholar : PubMed/NCBI

45 

Thomsen JH, Etzerodt A, Svendsen P and Moestrup SK: The haptoglobin-CD163-heme oxygenase-1 pathway for hemoglobin scavenging. Oxid Med Cell Longev. 2013:5236522013. View Article : Google Scholar : PubMed/NCBI

46 

di Masi A, De Simone G, Ciaccio C, D'Orso S, Coletta M and Ascenzi P: Haptoglobin: From hemoglobin scavenging to human health. Mol Aspects Med. 73:1008512020. View Article : Google Scholar : PubMed/NCBI

47 

Kolattukudy PE and Niu J: Inflammation, endoplasmic reticulum stress, autophagy, and the monocyte chemoattractant protein-1/CCR2 pathway. Circ Res. 110:174–189. 2012. View Article : Google Scholar : PubMed/NCBI

48 

Tan QH, Huang YQ, Liu XC, Liu L, Lo K, Chen JY and Feng YQ: A U-shaped relationship between selenium concentrations and all-cause or cardiovascular mortality in patients with hypertension. Front Cardiovasc Med. 8:6716182021. View Article : Google Scholar : PubMed/NCBI

49 

Mohamed Bakrim N, Mohd Shah ANS, Talib NA, Ab Rahman J and Abdullah A: Identification of haptoglobin as a potential biomarker in young adults with acute myocardial infarction by proteomic analysis. Malays J Med Sci. 27:64–76. 2020. View Article : Google Scholar : PubMed/NCBI

50 

Ascenzi P and Coletta M: Peroxynitrite detoxification by human haptoglobin:hemoglobin complexes: A comparative study. J Phys Chem B. 122:11100–11107. 2018. View Article : Google Scholar : PubMed/NCBI

51 

Bruse N, Pardali K, Kraan M, Kox M and Pickkers P; REVIVAL investigators, : Phenotype-specific therapeutic efficacy of ilofotase alfa in patients with sepsis-associated acute kidney injury. Crit Care. 28:502024. View Article : Google Scholar : PubMed/NCBI

Related Articles

  • Abstract
  • View
  • Download
  • Twitter
Copy and paste a formatted citation
Spandidos Publications style
He Z, Liu H, Jia K, Lei D, An L, Wang J and Wang F: Precision medicine approach to coronary artery disease: Haptoglobin phenotype‑guided risk assessment. Mol Med Rep 33: 134, 2026.
APA
He, Z., Liu, H., Jia, K., Lei, D., An, L., Wang, J., & Wang, F. (2026). Precision medicine approach to coronary artery disease: Haptoglobin phenotype‑guided risk assessment. Molecular Medicine Reports, 33, 134. https://doi.org/10.3892/mmr.2026.13844
MLA
He, Z., Liu, H., Jia, K., Lei, D., An, L., Wang, J., Wang, F."Precision medicine approach to coronary artery disease: Haptoglobin phenotype‑guided risk assessment". Molecular Medicine Reports 33.5 (2026): 134.
Chicago
He, Z., Liu, H., Jia, K., Lei, D., An, L., Wang, J., Wang, F."Precision medicine approach to coronary artery disease: Haptoglobin phenotype‑guided risk assessment". Molecular Medicine Reports 33, no. 5 (2026): 134. https://doi.org/10.3892/mmr.2026.13844
Copy and paste a formatted citation
x
Spandidos Publications style
He Z, Liu H, Jia K, Lei D, An L, Wang J and Wang F: Precision medicine approach to coronary artery disease: Haptoglobin phenotype‑guided risk assessment. Mol Med Rep 33: 134, 2026.
APA
He, Z., Liu, H., Jia, K., Lei, D., An, L., Wang, J., & Wang, F. (2026). Precision medicine approach to coronary artery disease: Haptoglobin phenotype‑guided risk assessment. Molecular Medicine Reports, 33, 134. https://doi.org/10.3892/mmr.2026.13844
MLA
He, Z., Liu, H., Jia, K., Lei, D., An, L., Wang, J., Wang, F."Precision medicine approach to coronary artery disease: Haptoglobin phenotype‑guided risk assessment". Molecular Medicine Reports 33.5 (2026): 134.
Chicago
He, Z., Liu, H., Jia, K., Lei, D., An, L., Wang, J., Wang, F."Precision medicine approach to coronary artery disease: Haptoglobin phenotype‑guided risk assessment". Molecular Medicine Reports 33, no. 5 (2026): 134. https://doi.org/10.3892/mmr.2026.13844
Follow us
  • Twitter
  • LinkedIn
  • Facebook
About
  • Spandidos Publications
  • Careers
  • Cookie Policy
  • Privacy Policy
How can we help?
  • Help
  • Live Chat
  • Contact
  • Email to our Support Team