Spandidos Publications Logo
  • About
    • About Spandidos
    • Aims and Scopes
    • Abstracting and Indexing
    • Editorial Policies
    • Reprints and Permissions
    • Job Opportunities
    • Terms and Conditions
    • Contact
  • Journals
    • All Journals
    • Oncology Letters
      • Oncology Letters
      • Information for Authors
      • Editorial Policies
      • Editorial Board
      • Aims and Scope
      • Abstracting and Indexing
      • Bibliographic Information
      • Archive
    • International Journal of Oncology
      • International Journal of Oncology
      • Information for Authors
      • Editorial Policies
      • Editorial Board
      • Aims and Scope
      • Abstracting and Indexing
      • Bibliographic Information
      • Archive
    • Molecular and Clinical Oncology
      • Molecular and Clinical Oncology
      • Information for Authors
      • Editorial Policies
      • Editorial Board
      • Aims and Scope
      • Abstracting and Indexing
      • Bibliographic Information
      • Archive
    • Experimental and Therapeutic Medicine
      • Experimental and Therapeutic Medicine
      • Information for Authors
      • Editorial Policies
      • Editorial Board
      • Aims and Scope
      • Abstracting and Indexing
      • Bibliographic Information
      • Archive
    • International Journal of Molecular Medicine
      • International Journal of Molecular Medicine
      • Information for Authors
      • Editorial Policies
      • Editorial Board
      • Aims and Scope
      • Abstracting and Indexing
      • Bibliographic Information
      • Archive
    • Biomedical Reports
      • Biomedical Reports
      • Information for Authors
      • Editorial Policies
      • Editorial Board
      • Aims and Scope
      • Abstracting and Indexing
      • Bibliographic Information
      • Archive
    • Oncology Reports
      • Oncology Reports
      • Information for Authors
      • Editorial Policies
      • Editorial Board
      • Aims and Scope
      • Abstracting and Indexing
      • Bibliographic Information
      • Archive
    • Molecular Medicine Reports
      • Molecular Medicine Reports
      • Information for Authors
      • Editorial Policies
      • Editorial Board
      • Aims and Scope
      • Abstracting and Indexing
      • Bibliographic Information
      • Archive
    • World Academy of Sciences Journal
      • World Academy of Sciences Journal
      • Information for Authors
      • Editorial Policies
      • Editorial Board
      • Aims and Scope
      • Abstracting and Indexing
      • Bibliographic Information
      • Archive
    • International Journal of Functional Nutrition
      • International Journal of Functional Nutrition
      • Information for Authors
      • Editorial Policies
      • Editorial Board
      • Aims and Scope
      • Abstracting and Indexing
      • Bibliographic Information
      • Archive
    • International Journal of Epigenetics
      • International Journal of Epigenetics
      • Information for Authors
      • Editorial Policies
      • Editorial Board
      • Aims and Scope
      • Abstracting and Indexing
      • Bibliographic Information
      • Archive
    • Medicine International
      • Medicine International
      • Information for Authors
      • Editorial Policies
      • Editorial Board
      • Aims and Scope
      • Abstracting and Indexing
      • Bibliographic Information
      • Archive
  • Articles
  • Information
    • Information for Authors
    • Information for Reviewers
    • Information for Librarians
    • Information for Advertisers
    • Conferences
  • Language Editing
Spandidos Publications Logo
  • About
    • About Spandidos
    • Aims and Scopes
    • Abstracting and Indexing
    • Editorial Policies
    • Reprints and Permissions
    • Job Opportunities
    • Terms and Conditions
    • Contact
  • Journals
    • All Journals
    • Biomedical Reports
      • Information for Authors
      • Editorial Policies
      • Editorial Board
      • Aims and Scope
      • Abstracting and Indexing
      • Bibliographic Information
      • Archive
    • Experimental and Therapeutic Medicine
      • Information for Authors
      • Editorial Policies
      • Editorial Board
      • Aims and Scope
      • Abstracting and Indexing
      • Bibliographic Information
      • Archive
    • International Journal of Epigenetics
      • Information for Authors
      • Editorial Policies
      • Editorial Board
      • Aims and Scope
      • Abstracting and Indexing
      • Bibliographic Information
      • Archive
    • International Journal of Functional Nutrition
      • Information for Authors
      • Editorial Policies
      • Editorial Board
      • Aims and Scope
      • Abstracting and Indexing
      • Bibliographic Information
      • Archive
    • International Journal of Molecular Medicine
      • Information for Authors
      • Editorial Policies
      • Editorial Board
      • Aims and Scope
      • Abstracting and Indexing
      • Bibliographic Information
      • Archive
    • International Journal of Oncology
      • Information for Authors
      • Editorial Policies
      • Editorial Board
      • Aims and Scope
      • Abstracting and Indexing
      • Bibliographic Information
      • Archive
    • Medicine International
      • Information for Authors
      • Editorial Policies
      • Editorial Board
      • Aims and Scope
      • Abstracting and Indexing
      • Bibliographic Information
      • Archive
    • Molecular and Clinical Oncology
      • Information for Authors
      • Editorial Policies
      • Editorial Board
      • Aims and Scope
      • Abstracting and Indexing
      • Bibliographic Information
      • Archive
    • Molecular Medicine Reports
      • Information for Authors
      • Editorial Policies
      • Editorial Board
      • Aims and Scope
      • Abstracting and Indexing
      • Bibliographic Information
      • Archive
    • Oncology Letters
      • Information for Authors
      • Editorial Policies
      • Editorial Board
      • Aims and Scope
      • Abstracting and Indexing
      • Bibliographic Information
      • Archive
    • Oncology Reports
      • Information for Authors
      • Editorial Policies
      • Editorial Board
      • Aims and Scope
      • Abstracting and Indexing
      • Bibliographic Information
      • Archive
    • World Academy of Sciences Journal
      • Information for Authors
      • Editorial Policies
      • Editorial Board
      • Aims and Scope
      • Abstracting and Indexing
      • Bibliographic Information
      • Archive
  • Articles
  • Information
    • For Authors
    • For Reviewers
    • For Librarians
    • For Advertisers
    • Conferences
  • Language Editing
Login Register Submit
  • This site uses cookies
  • You can change your cookie settings at any time by following the instructions in our Cookie Policy. To find out more, you may read our Privacy Policy.

    I agree
Search articles by DOI, keyword, author or affiliation
Search
Advanced Search
presentation
Oncology Letters
Join Editorial Board Propose a Special Issue
Print ISSN: 1792-1074 Online ISSN: 1792-1082
Journal Cover
March 2012 Volume 3 Issue 3

Full Size Image

Sign up for eToc alerts
Recommend to Library

Journals

International Journal of Molecular Medicine

International Journal of Molecular Medicine

International Journal of Molecular Medicine is an international journal devoted to molecular mechanisms of human disease.

International Journal of Oncology

International Journal of Oncology

International Journal of Oncology is an international journal devoted to oncology research and cancer treatment.

Molecular Medicine Reports

Molecular Medicine Reports

Covers molecular medicine topics such as pharmacology, pathology, genetics, neuroscience, infectious diseases, molecular cardiology, and molecular surgery.

Oncology Reports

Oncology Reports

Oncology Reports is an international journal devoted to fundamental and applied research in Oncology.

Experimental and Therapeutic Medicine

Experimental and Therapeutic Medicine

Experimental and Therapeutic Medicine is an international journal devoted to laboratory and clinical medicine.

Oncology Letters

Oncology Letters

Oncology Letters is an international journal devoted to Experimental and Clinical Oncology.

Biomedical Reports

Biomedical Reports

Explores a wide range of biological and medical fields, including pharmacology, genetics, microbiology, neuroscience, and molecular cardiology.

Molecular and Clinical Oncology

Molecular and Clinical Oncology

International journal addressing all aspects of oncology research, from tumorigenesis and oncogenes to chemotherapy and metastasis.

World Academy of Sciences Journal

World Academy of Sciences Journal

Multidisciplinary open-access journal spanning biochemistry, genetics, neuroscience, environmental health, and synthetic biology.

International Journal of Functional Nutrition

International Journal of Functional Nutrition

Open-access journal combining biochemistry, pharmacology, immunology, and genetics to advance health through functional nutrition.

International Journal of Epigenetics

International Journal of Epigenetics

Publishes open-access research on using epigenetics to advance understanding and treatment of human disease.

Medicine International

Medicine International

An International Open Access Journal Devoted to General Medicine.

Journal Cover
March 2012 Volume 3 Issue 3

Full Size Image

Sign up for eToc alerts
Recommend to Library

  • Article
  • Citations
    • Cite This Article
    • Download Citation
    • Create Citation Alert
    • Remove Citation Alert
    • Cited By
  • Similar Articles
    • Related Articles (in Spandidos Publications)
    • Similar Articles (Google Scholar)
    • Similar Articles (PubMed)
  • Download PDF
  • Download XML
  • View XML
Article

Serum IGFBP‑3 is a more effective predictor than IGF‑1 and IGF-2 for the development of hepatocellular carcinoma in patients with chronic HCV infection

  • Authors:
    • Eiman Aleem
    • Ayman Elshayeb
    • Nihal Elhabachi
    • Amal Refaat Mansour
    • Ahmed Gowily
    • Asmaa Hela
  • View Affiliations / Copyright

    Affiliations: Molecular Biology Division, Zoology Department, Faculty of Science, Alexandria University, Alexandria, Egypt, Department of Tropical Medicine, Faculty of Medicine, Alexandria University, Alexandria, Egypt, Department of Physiology, Faculty of Medicine, Alexandria University, Alexandria, Egypt, Department of Clinical Pathology, Faculty of Medicine, Alexandria University, Alexandria, Egypt, Department of Clinical Oncology and Nuclear Medicine, Faculty of Medicine, Alexandria University, Alexandria, Egypt
  • Pages: 704-712
    |
    Published online on: December 30, 2011
       https://doi.org/10.3892/ol.2011.546
  • Expand metrics +
Metrics: Total Views: 0 (Spandidos Publications: | PMC Statistics: )
Metrics: Total PDF Downloads: 0 (Spandidos Publications: | PMC Statistics: )
Cited By (CrossRef): 0 citations Loading Articles...

This article is mentioned in:



Abstract

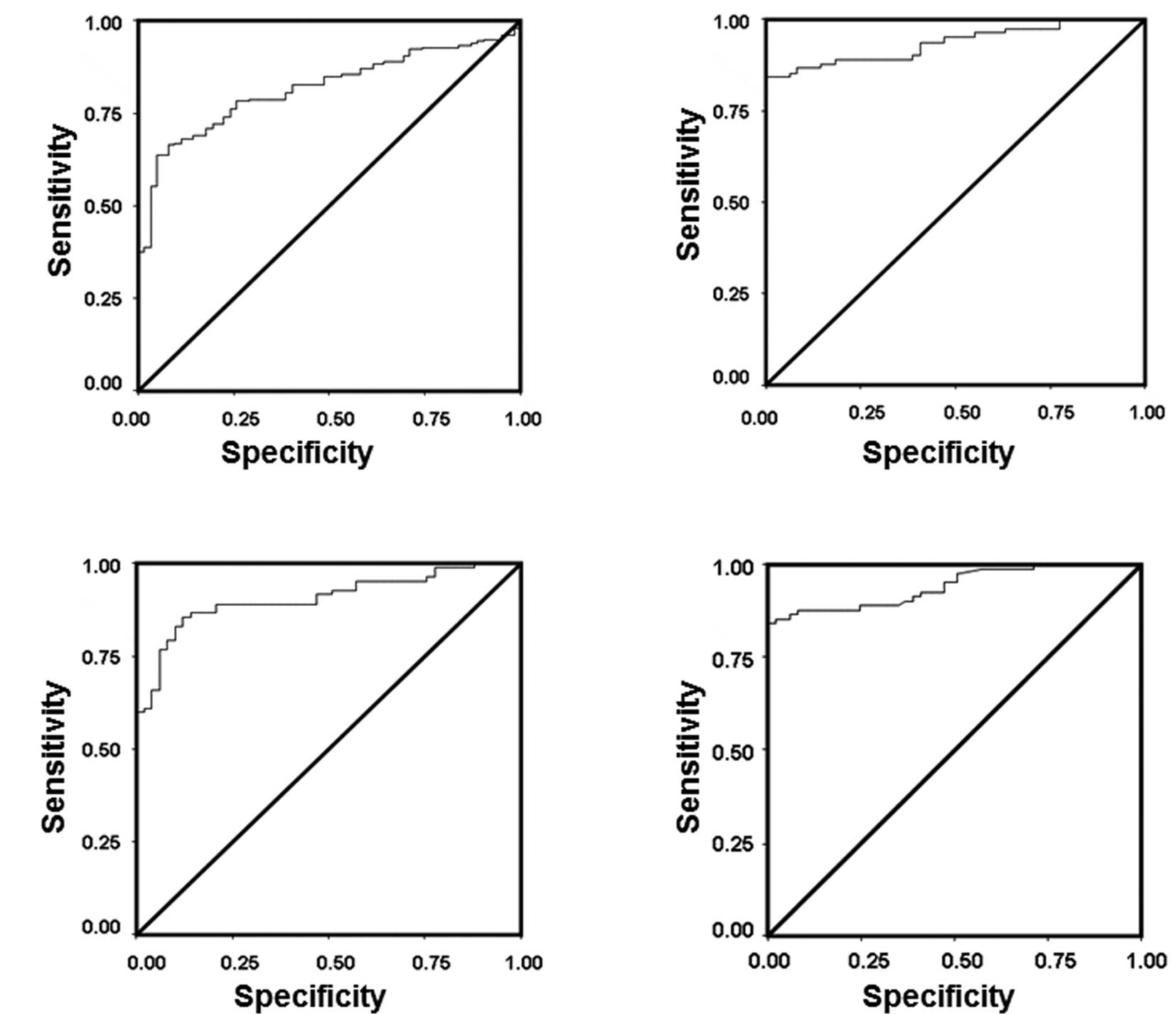
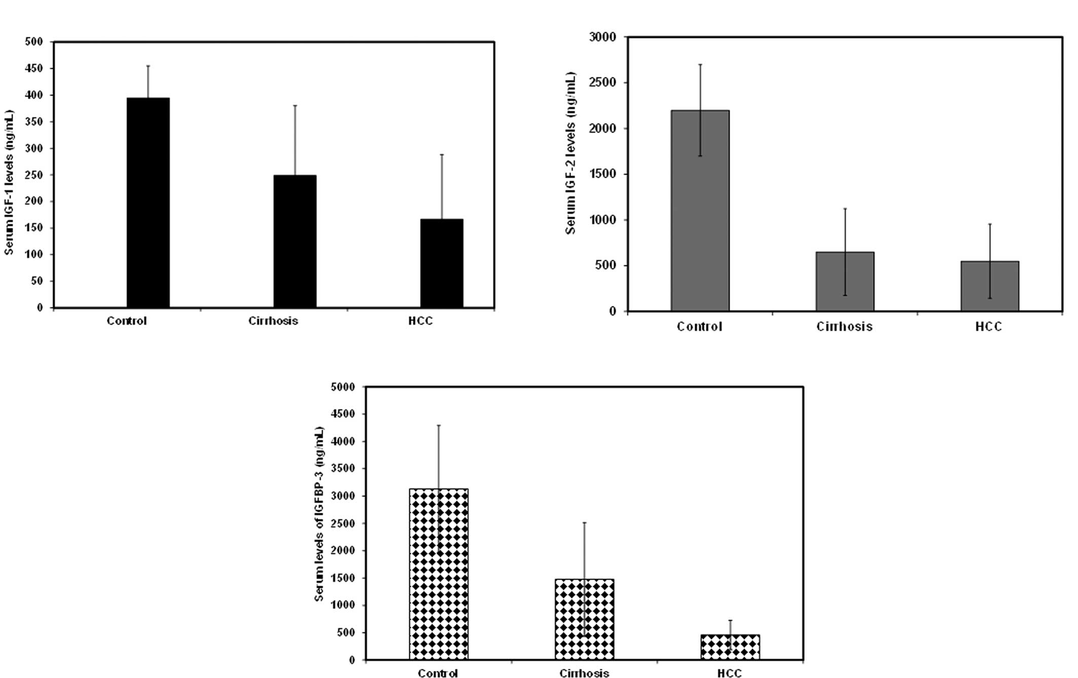
Hepatocellular carcinoma (HCC) contributes to 14.8% of all cancer mortality in Egypt, which has a high prevalence of hepatitis C virus (HCV). We have previously shown alterations in the insulin-like growth factor-1 (IGF‑1) receptor signalling pathway during experimental hepatocarcinogenesis. The aim of this study was to determine whether serum levels of IGF‑1, IGF‑2 and IGFBP‑3 can be used to discriminate between HCC and the stages of hepatic dysfunction in patients with liver cirrhosis assessed by the Child-Pugh (CP) score, and to correlate these levels with HCC stages. We recruited 241 subjects to the present study; 79 with liver cirrhosis, 62 with HCV-induced HCC and 100 age-matched controls. Results showed that serum levels of IGF‑1, IGF‑2 and IGFBP‑3 were reduced significantly in cirrhosis and HCC patients in comparison to the controls, and that this reduction negatively correlated with the CP scores. However, only IGFBP‑3 levels showed significant negative correlation with α‑fetoprotein levels. The reduction in IGF‑1 and IGFBP‑3 but not IGF‑2 levels was significant in HCC in comparison to patients with cirrhosis. None of the parameters significantly correlated with the HCC stage. IGFBP‑3 levels discriminated between cirrhosis and HCC at a sensitivity of 87%, a specificity of 80% and a cut-off value of <682.6 ng/ml. In conclusion, although our results showed that serum IGF‑1, IGF‑2 and IGFBP‑3 are reduced with the progression of hepatic dysfunction, only IGFBP‑3 may be considered as the most promising serological marker for the prediction of the development of HCC in the chronic HCV patients with liver cirrhosis.
View Figures

Figure 1

Figure 2

Figure 3

View References

1 

Hsieh PM, Hung KC and Chen YS: Tumor lysis syndrome after transarterial chemoembolization of hepatocellular carcinoma: case reports and literature review. World J Gastroenterol. 15:4726–4728. 2009. View Article : Google Scholar : PubMed/NCBI

2 

Anwar WA, Khaled HM, Amra HA, El-Nezami H and Loffredo CA: Changing pattern of hepatocellular carcinoma (HCC) and its risk factors in Egypt: possibilities for prevention. Mutat Res. 659:176–184. 2008. View Article : Google Scholar : PubMed/NCBI

3 

Sievert W, Altraif I, Razavi HA, et al: A systematic review of hepatitis C virus epidemiology in Asia, Australia and Egypt. Liver Int. 31(Suppl 2): 61–80. 2011. View Article : Google Scholar : PubMed/NCBI

4 

Thorgeirsson SS and Grisham JW: Molecular pathogenesis of human hepatocellular carcinoma. Nat Genet. 31:339–346. 2002. View Article : Google Scholar : PubMed/NCBI

5 

Furstenberger G and Senn HJ: Insulin-like growth factors and cancer. Lancet Oncol. 3:298–302. 2002. View Article : Google Scholar

6 

Nehrbass D, Klimek F and Bannasch P: Overexpression of insulin receptor substrate-1 emerges early in hepatocarcinogenesis and elicits preneoplastic hepatic glycogenosis. Am J Pathol. 152:341–345. 1998.PubMed/NCBI

7 

Aleem E, Nehrbass D, Klimek F, Mayer D and Bannasch P: Upregulation of the insulin receptor and type I insulin-like growth factor receptor are early events in hepatocarcinogenesis. Toxicol Pathol. 39:524–543. 2011. View Article : Google Scholar : PubMed/NCBI

8 

Rosen CJ and Pollak M: Circulating IGF-I: new perspectives for a new century. Trends Endocrinol Metab. 10:136–141. 1999. View Article : Google Scholar : PubMed/NCBI

9 

Rosenfeld RG, Kofoed E, Little B, et al: Growth hormone insensitivity resulting from post-GH receptor defects. Growth Horm IGF Res. 14(Suppl A): S35–S38. 2004. View Article : Google Scholar : PubMed/NCBI

10 

Jones JI and Clemmons DR: Insulin-like growth factors and their binding proteins: biological actions. Endocr Rev. 16:3–34. 1995.PubMed/NCBI

11 

Mazziotti G, Sorvillo F, Morisco F, et al: Serum insulin-like growth factor I evaluation as a useful tool for predicting the risk of developing hepatocellular carcinoma in patients with hepatitis C virus-related cirrhosis: a prospective study. Cancer. 95:2539–2545. 2002. View Article : Google Scholar

12 

Su WW, Lee KT, Yeh YT, et al: Association of circulating insulin-like growth factor 1 with hepatocellular carcinoma: one cross-sectional correlation study. J Clin Lab Anal. 24:195–200. 2010. View Article : Google Scholar : PubMed/NCBI

13 

Tovar V, Alsinet C, Villanueva A, et al: IGF activation in a molecular subclass of hepatocellular carcinoma and pre-clinical efficacy of IGF-1R blockage. J Hepatol. 52:550–559. 2010. View Article : Google Scholar : PubMed/NCBI

14 

Sidlova K, Pechova M, Kotaska K and Prusa R: Insulin-like growth factor binding protein-3 in patients with liver cirrhosis. Physiol Res. 51:587–590. 2002.PubMed/NCBI

15 

Wu YL, Ye J, Zhang S, Zhong J and Xi RP: Clinical significance of serum IGF-I, IGF-II and IGFBP-3 in liver cirrhosis. World J Gastroenterol. 10:2740–2743. 2004.PubMed/NCBI

16 

Bruix J and Llovet JM: Hepatocellular carcinoma: is surveillance cost effective? Gut. 48:149–150. 2001. View Article : Google Scholar : PubMed/NCBI

17 

Spangenberg HC, Thimme R and Blum HE: Serum markers of hepatocellular carcinoma. Semin Liver Dis. 26:385–390. 2006. View Article : Google Scholar : PubMed/NCBI

18 

Srinivas PR, Kramer BS and Srivastava S: Trends in biomarker research for cancer detection. Lancet Oncol. 2:698–704. 2001. View Article : Google Scholar : PubMed/NCBI

19 

Kato N, Yokosuka O, Omata M, Hosoda K and Ohto M: Detection of hepatitis C virus ribonucleic acid in the serum by amplification with polymerase chain reaction. J Clin Invest. 86:1764–1767. 1990. View Article : Google Scholar : PubMed/NCBI

20 

Aishima S, Basaki Y, Oda Y, et al: High expression of insulin-like growth factor binding protein-3 is correlated with lower portal invasion and better prognosis in human hepatocellular carcinoma. Cancer Sci. 97:1182–1190. 2006. View Article : Google Scholar

21 

McShane LM, Altman DG and Sauerbrei W: Identification of clinically useful cancer prognostic factors: what are we missing? J Natl Cancer Inst. 97:1023–1025. 2005. View Article : Google Scholar : PubMed/NCBI

22 

Shaarawy M, Fikry MA, Massoud BA and Lotfy S: Insulin-like growth factor binding protein-3: a novel biomarker for the assessment of the synthetic capacity of hepatocytes in liver cirrhosis. J Clin Endocrinol Metab. 83:3316–3319. 1998. View Article : Google Scholar : PubMed/NCBI

23 

Mattera D, Capuano G, Colao A, et al: Increased IGF-I: IGFBP-3 ratio in patients with hepatocellular carcinoma. Clin Endocrinol (Oxf). 59:699–706. 2003. View Article : Google Scholar : PubMed/NCBI

24 

Elsammak MY, Amin GM, Khalil GM, Ragab WS and Abaza MM: Possible contribution of serum activin A and IGF-1 in the development of hepatocellular carcinoma in Egyptian patients suffering from combined hepatitis C virus infection and hepatic schistosomiasis. Clin Biochem. 39:623–629. 2006. View Article : Google Scholar

25 

Okan A, Comlekci A, Akpinar H, et al: Serum concentrations of insulin-like growth factor-I and insulin-like growth factor binding protein-3 in patients with chronic hepatitis. Scand J Gastroenterol. 35:1212–1215. 2000. View Article : Google Scholar : PubMed/NCBI

26 

Hanafusa T, Yumoto Y, Nouso K, et al: Reduced expression of insulin-like growth factor binding protein-3 and its promoter hypermethylation in human hepatocellular carcinoma. Cancer Lett. 176:149–158. 2002. View Article : Google Scholar : PubMed/NCBI

27 

Luo SM, Tan WM, Deng WX, Zhuang SM and Luo JW: Expression of albumin, IGF-1, IGFBP-3 in tumor tissues and adjacent non-tumor tissues of hepatocellular carcinoma patients with cirrhosis. World J Gastroenterol. 11:4272–4276. 2005.PubMed/NCBI

28 

Huynh H, Chow PK, Ooi LL and Soo KC: A possible role for insulin-like growth factor-binding protein-3 autocrine/paracrine loops in controlling hepatocellular carcinoma cell proliferation. Cell Growth Differ. 13:115–122. 2002.

29 

Park IY, Sohn BH, Yu E, et al: Aberrant epigenetic modifications in hepatocarcinogenesis induced by hepatitis B virus X protein. Gastroenterology. 132:1476–1494. 2007. View Article : Google Scholar : PubMed/NCBI

30 

Shon JK, Shon BH, Park IY, et al: Hepatitis B virus-X protein recruits histone deacetylase 1 to repress insulin-like growth factor binding protein 3 transcription. Virus Res. 139:14–21. 2009. View Article : Google Scholar : PubMed/NCBI

31 

Ricort JM, Lombet A, Lassarre C and Binoux M: Insulin-like growth factor binding protein-3 increases intracellular calcium concentrations in MCF-7 breast carcinoma cells. FEBS Lett. 527:293–297. 2002. View Article : Google Scholar

32 

Ricort JM and Binoux M: Insulin-like growth factor-binding protein-3 activates a phosphotyrosine phosphatase. Effects on the insulin-like growth factor signaling pathway. J Biol Chem. 277:19448–19454. 2002. View Article : Google Scholar : PubMed/NCBI

33 

Ricort JM and Binoux M: Insulin-like growth factor binding protein-3 stimulates phosphatidylinositol 3-kinase in MCF-7 breast carcinoma cells. Biochem Biophys Res Commun. 314:1044–1049. 2004. View Article : Google Scholar : PubMed/NCBI

34 

Weng CJ, Hsieh YH, Tsai CM, et al: Relationship of insulin-like growth factors system gene polymorphisms with the susceptibility and pathological development of hepatocellular carcinoma. Ann Surg Oncol. 17:1808–1815. 2010. View Article : Google Scholar : PubMed/NCBI

35 

El-Houseini ME, Mohammed MS, Elshemey WM, Hussein TD, Desouky OS and Elsayed AA: Enhanced detection of hepatocellular carcinoma. Cancer Control. 12:248–253. 2005.PubMed/NCBI

36 

Rehem RN and El-Shikh WM: Serum IGF-1, IGF-2 and IGFBP-3 as parameters in the assessment of liver dysfunction in patients with hepatic cirrhosis and in the diagnosis of hepatocellular carcinoma. Hepato-gastroenterology. 58:949–954. 2011.PubMed/NCBI

37 

Scharf JG, Ramadori G and Dombrowski F: Analysis of the IGF axis in preneoplastic hepatic foci and hepatocellular neoplasms developing after low-number pancreatic islet transplantation into the livers of streptozotocin diabetic rats. Lab Invest. 80:1399–1411. 2000. View Article : Google Scholar

38 

Price JA, Kovach SJ, Johnson T, et al: Insulin-like growth factor I is a comitogen for hepatocyte growth factor in a rat model of hepatocellular carcinoma. Hepatology. 36:1089–1097. 2002. View Article : Google Scholar : PubMed/NCBI

39 

Qian J, Yao D, Dong Z, et al: Characteristics of hepatic IGF-ii expression and monitored levels of circulating IGF-ii mRNA in metastasis of hepatocellular carcinoma. Am J Clin Pathol. 134:799–806. 2010. View Article : Google Scholar : PubMed/NCBI

40 

El Tayebi HM, Salah W, El Sayed IH, et al: Expression of insulin-like growth factor-II, matrix metalloproteinases, and their tissue inhibitors as predictive markers in the peripheral blood of HCC patients. Biomarkers. 16:346–354. 2011.PubMed/NCBI

41 

Fan J, Upadhye S and Worster A: Understanding receiver operating characteristic (ROC) curves. CJEM. 8:19–20. 2006.PubMed/NCBI

42 

Scott CD, Martin JL and Baxter RC: Production of insulin-like growth factor I and its binding protein by adult rat hepatocytes in primary culture. Endocrinology. 116:1094–1101. 1985. View Article : Google Scholar : PubMed/NCBI

43 

Chin E, Zhou J, Dai J, Baxter RC and Bondy CA: Cellular localization and regulation of gene expression for components of the insulin-like growth factor ternary binding protein complex. Endocrinology. 134:2498–2504. 1994.PubMed/NCBI

44 

Villafuerte BC, Koop BL, Pao CI, Gu L, Birdsong GG and Phillips LS: Coculture of primary rat hepatocytes and nonparenchymal cells permits expression of insulin-like growth factor binding protein-3 in vitro. Endocrinology. 134:2044–2050. 1994.PubMed/NCBI

45 

Scharf J, Ramadori G, Braulke T and Hartmann H: Synthesis of insulinlike growth factor binding proteins and of the acid-labile subunit in primary cultures of rat hepatocytes, of Kupffer cells, and in cocultures: regulation by insulin, insulinlike growth factor, and growth hormone. Hepatology. 23:818–827. 1996. View Article : Google Scholar

46 

Scharf JG, Schmidt-Sandte W, Pahernik SA, Ramadori G, Braulke T and Hartmann H: Characterization of the insulin-like growth factor axis in a human hepatoma cell line (PLC). Carcinogenesis. 19:2121–2128. 1998. View Article : Google Scholar : PubMed/NCBI

47 

Stuver SO, Kuper H, Tzonou A, et al: Insulin-like growth factor 1 in hepatocellular carcinoma and metastatic liver cancer in men. Int J Cancer. 87:118–121. 2000. View Article : Google Scholar : PubMed/NCBI

48 

Major JM, Stolzenberg-Solomon RZ, Pollak MN, Snyder K, Virtamo J and Albanes D: Insulin-like growth factors and liver cancer risk in male smokers. Br J Cancer. 103:1089–1092. 2010. View Article : Google Scholar : PubMed/NCBI

49 

Bonefeld K and Moller S: Insulin-like growth factor-I and the liver. Liver Int. 31:911–919. 2011. View Article : Google Scholar : PubMed/NCBI

Related Articles

  • Abstract
  • View
  • Download
  • Twitter
Copy and paste a formatted citation
Spandidos Publications style
Aleem E, Elshayeb A, Elhabachi N, Mansour AR, Gowily A and Hela A: Serum IGFBP‑3 is a more effective predictor than IGF‑1 and IGF-2 for the development of hepatocellular carcinoma in patients with chronic HCV infection. Oncol Lett 3: 704-712, 2012.
APA
Aleem, E., Elshayeb, A., Elhabachi, N., Mansour, A.R., Gowily, A., & Hela, A. (2012). Serum IGFBP‑3 is a more effective predictor than IGF‑1 and IGF-2 for the development of hepatocellular carcinoma in patients with chronic HCV infection. Oncology Letters, 3, 704-712. https://doi.org/10.3892/ol.2011.546
MLA
Aleem, E., Elshayeb, A., Elhabachi, N., Mansour, A. R., Gowily, A., Hela, A."Serum IGFBP‑3 is a more effective predictor than IGF‑1 and IGF-2 for the development of hepatocellular carcinoma in patients with chronic HCV infection". Oncology Letters 3.3 (2012): 704-712.
Chicago
Aleem, E., Elshayeb, A., Elhabachi, N., Mansour, A. R., Gowily, A., Hela, A."Serum IGFBP‑3 is a more effective predictor than IGF‑1 and IGF-2 for the development of hepatocellular carcinoma in patients with chronic HCV infection". Oncology Letters 3, no. 3 (2012): 704-712. https://doi.org/10.3892/ol.2011.546
Copy and paste a formatted citation
x
Spandidos Publications style
Aleem E, Elshayeb A, Elhabachi N, Mansour AR, Gowily A and Hela A: Serum IGFBP‑3 is a more effective predictor than IGF‑1 and IGF-2 for the development of hepatocellular carcinoma in patients with chronic HCV infection. Oncol Lett 3: 704-712, 2012.
APA
Aleem, E., Elshayeb, A., Elhabachi, N., Mansour, A.R., Gowily, A., & Hela, A. (2012). Serum IGFBP‑3 is a more effective predictor than IGF‑1 and IGF-2 for the development of hepatocellular carcinoma in patients with chronic HCV infection. Oncology Letters, 3, 704-712. https://doi.org/10.3892/ol.2011.546
MLA
Aleem, E., Elshayeb, A., Elhabachi, N., Mansour, A. R., Gowily, A., Hela, A."Serum IGFBP‑3 is a more effective predictor than IGF‑1 and IGF-2 for the development of hepatocellular carcinoma in patients with chronic HCV infection". Oncology Letters 3.3 (2012): 704-712.
Chicago
Aleem, E., Elshayeb, A., Elhabachi, N., Mansour, A. R., Gowily, A., Hela, A."Serum IGFBP‑3 is a more effective predictor than IGF‑1 and IGF-2 for the development of hepatocellular carcinoma in patients with chronic HCV infection". Oncology Letters 3, no. 3 (2012): 704-712. https://doi.org/10.3892/ol.2011.546
Follow us
  • Twitter
  • LinkedIn
  • Facebook
About
  • Spandidos Publications
  • Careers
  • Cookie Policy
  • Privacy Policy
How can we help?
  • Help
  • Live Chat
  • Contact
  • Email to our Support Team