Spandidos Publications Logo
  • About
    • About Spandidos
    • Aims and Scopes
    • Abstracting and Indexing
    • Editorial Policies
    • Reprints and Permissions
    • Job Opportunities
    • Terms and Conditions
    • Contact
  • Journals
    • All Journals
    • Oncology Letters
      • Oncology Letters
      • Information for Authors
      • Editorial Policies
      • Editorial Board
      • Aims and Scope
      • Abstracting and Indexing
      • Bibliographic Information
      • Archive
    • International Journal of Oncology
      • International Journal of Oncology
      • Information for Authors
      • Editorial Policies
      • Editorial Board
      • Aims and Scope
      • Abstracting and Indexing
      • Bibliographic Information
      • Archive
    • Molecular and Clinical Oncology
      • Molecular and Clinical Oncology
      • Information for Authors
      • Editorial Policies
      • Editorial Board
      • Aims and Scope
      • Abstracting and Indexing
      • Bibliographic Information
      • Archive
    • Experimental and Therapeutic Medicine
      • Experimental and Therapeutic Medicine
      • Information for Authors
      • Editorial Policies
      • Editorial Board
      • Aims and Scope
      • Abstracting and Indexing
      • Bibliographic Information
      • Archive
    • International Journal of Molecular Medicine
      • International Journal of Molecular Medicine
      • Information for Authors
      • Editorial Policies
      • Editorial Board
      • Aims and Scope
      • Abstracting and Indexing
      • Bibliographic Information
      • Archive
    • Biomedical Reports
      • Biomedical Reports
      • Information for Authors
      • Editorial Policies
      • Editorial Board
      • Aims and Scope
      • Abstracting and Indexing
      • Bibliographic Information
      • Archive
    • Oncology Reports
      • Oncology Reports
      • Information for Authors
      • Editorial Policies
      • Editorial Board
      • Aims and Scope
      • Abstracting and Indexing
      • Bibliographic Information
      • Archive
    • Molecular Medicine Reports
      • Molecular Medicine Reports
      • Information for Authors
      • Editorial Policies
      • Editorial Board
      • Aims and Scope
      • Abstracting and Indexing
      • Bibliographic Information
      • Archive
    • World Academy of Sciences Journal
      • World Academy of Sciences Journal
      • Information for Authors
      • Editorial Policies
      • Editorial Board
      • Aims and Scope
      • Abstracting and Indexing
      • Bibliographic Information
      • Archive
    • International Journal of Functional Nutrition
      • International Journal of Functional Nutrition
      • Information for Authors
      • Editorial Policies
      • Editorial Board
      • Aims and Scope
      • Abstracting and Indexing
      • Bibliographic Information
      • Archive
    • International Journal of Epigenetics
      • International Journal of Epigenetics
      • Information for Authors
      • Editorial Policies
      • Editorial Board
      • Aims and Scope
      • Abstracting and Indexing
      • Bibliographic Information
      • Archive
    • Medicine International
      • Medicine International
      • Information for Authors
      • Editorial Policies
      • Editorial Board
      • Aims and Scope
      • Abstracting and Indexing
      • Bibliographic Information
      • Archive
  • Articles
  • Information
    • Information for Authors
    • Information for Reviewers
    • Information for Librarians
    • Information for Advertisers
    • Conferences
  • Language Editing
Spandidos Publications Logo
  • About
    • About Spandidos
    • Aims and Scopes
    • Abstracting and Indexing
    • Editorial Policies
    • Reprints and Permissions
    • Job Opportunities
    • Terms and Conditions
    • Contact
  • Journals
    • All Journals
    • Biomedical Reports
      • Information for Authors
      • Editorial Policies
      • Editorial Board
      • Aims and Scope
      • Abstracting and Indexing
      • Bibliographic Information
      • Archive
    • Experimental and Therapeutic Medicine
      • Information for Authors
      • Editorial Policies
      • Editorial Board
      • Aims and Scope
      • Abstracting and Indexing
      • Bibliographic Information
      • Archive
    • International Journal of Epigenetics
      • Information for Authors
      • Editorial Policies
      • Editorial Board
      • Aims and Scope
      • Abstracting and Indexing
      • Bibliographic Information
      • Archive
    • International Journal of Functional Nutrition
      • Information for Authors
      • Editorial Policies
      • Editorial Board
      • Aims and Scope
      • Abstracting and Indexing
      • Bibliographic Information
      • Archive
    • International Journal of Molecular Medicine
      • Information for Authors
      • Editorial Policies
      • Editorial Board
      • Aims and Scope
      • Abstracting and Indexing
      • Bibliographic Information
      • Archive
    • International Journal of Oncology
      • Information for Authors
      • Editorial Policies
      • Editorial Board
      • Aims and Scope
      • Abstracting and Indexing
      • Bibliographic Information
      • Archive
    • Medicine International
      • Information for Authors
      • Editorial Policies
      • Editorial Board
      • Aims and Scope
      • Abstracting and Indexing
      • Bibliographic Information
      • Archive
    • Molecular and Clinical Oncology
      • Information for Authors
      • Editorial Policies
      • Editorial Board
      • Aims and Scope
      • Abstracting and Indexing
      • Bibliographic Information
      • Archive
    • Molecular Medicine Reports
      • Information for Authors
      • Editorial Policies
      • Editorial Board
      • Aims and Scope
      • Abstracting and Indexing
      • Bibliographic Information
      • Archive
    • Oncology Letters
      • Information for Authors
      • Editorial Policies
      • Editorial Board
      • Aims and Scope
      • Abstracting and Indexing
      • Bibliographic Information
      • Archive
    • Oncology Reports
      • Information for Authors
      • Editorial Policies
      • Editorial Board
      • Aims and Scope
      • Abstracting and Indexing
      • Bibliographic Information
      • Archive
    • World Academy of Sciences Journal
      • Information for Authors
      • Editorial Policies
      • Editorial Board
      • Aims and Scope
      • Abstracting and Indexing
      • Bibliographic Information
      • Archive
  • Articles
  • Information
    • For Authors
    • For Reviewers
    • For Librarians
    • For Advertisers
    • Conferences
  • Language Editing
Login Register Submit
  • This site uses cookies
  • You can change your cookie settings at any time by following the instructions in our Cookie Policy. To find out more, you may read our Privacy Policy.

    I agree
Search articles by DOI, keyword, author or affiliation
Search
Advanced Search
presentation
Oncology Letters
Join Editorial Board Propose a Special Issue
Print ISSN: 1792-1074 Online ISSN: 1792-1082
Journal Cover
November 2013 Volume 6 Issue 5

Full Size Image

Sign up for eToc alerts
Recommend to Library

Journals

International Journal of Molecular Medicine

International Journal of Molecular Medicine

International Journal of Molecular Medicine is an international journal devoted to molecular mechanisms of human disease.

International Journal of Oncology

International Journal of Oncology

International Journal of Oncology is an international journal devoted to oncology research and cancer treatment.

Molecular Medicine Reports

Molecular Medicine Reports

Covers molecular medicine topics such as pharmacology, pathology, genetics, neuroscience, infectious diseases, molecular cardiology, and molecular surgery.

Oncology Reports

Oncology Reports

Oncology Reports is an international journal devoted to fundamental and applied research in Oncology.

Experimental and Therapeutic Medicine

Experimental and Therapeutic Medicine

Experimental and Therapeutic Medicine is an international journal devoted to laboratory and clinical medicine.

Oncology Letters

Oncology Letters

Oncology Letters is an international journal devoted to Experimental and Clinical Oncology.

Biomedical Reports

Biomedical Reports

Explores a wide range of biological and medical fields, including pharmacology, genetics, microbiology, neuroscience, and molecular cardiology.

Molecular and Clinical Oncology

Molecular and Clinical Oncology

International journal addressing all aspects of oncology research, from tumorigenesis and oncogenes to chemotherapy and metastasis.

World Academy of Sciences Journal

World Academy of Sciences Journal

Multidisciplinary open-access journal spanning biochemistry, genetics, neuroscience, environmental health, and synthetic biology.

International Journal of Functional Nutrition

International Journal of Functional Nutrition

Open-access journal combining biochemistry, pharmacology, immunology, and genetics to advance health through functional nutrition.

International Journal of Epigenetics

International Journal of Epigenetics

Publishes open-access research on using epigenetics to advance understanding and treatment of human disease.

Medicine International

Medicine International

An International Open Access Journal Devoted to General Medicine.

Journal Cover
November 2013 Volume 6 Issue 5

Full Size Image

Sign up for eToc alerts
Recommend to Library

  • Article
  • Citations
    • Cite This Article
    • Download Citation
    • Create Citation Alert
    • Remove Citation Alert
    • Cited By
  • Similar Articles
    • Related Articles (in Spandidos Publications)
    • Similar Articles (Google Scholar)
    • Similar Articles (PubMed)
  • Download PDF
  • Download XML
  • View XML
Case Report

A novel setup approach for helical tomotherapy in head and neck cancer: A case report

  • Authors:
    • Marciana Nona Duma
    • Hans Geinitz
    • Severin Kampfer
    • Marco R. Kesting
  • View Affiliations / Copyright

    Affiliations: Department of Radiation Oncology, Technical University of Munich, Klinikum rechts der Isar, Munich, Germany, Department of Radiation Oncology, Krankenhaus der Barmherzigen Schwestern Linz, Linz, Austria, Department of Oral and Maxillofacial Surgery, Technical University of Munich, Klinikum rechts der Isar, Munich, Germany
  • Pages: 1470-1474
    |
    Published online on: September 2, 2013
       https://doi.org/10.3892/ol.2013.1558
  • Expand metrics +
Metrics: Total Views: 0 (Spandidos Publications: | PMC Statistics: )
Metrics: Total PDF Downloads: 0 (Spandidos Publications: | PMC Statistics: )
Cited By (CrossRef): 0 citations Loading Articles...

This article is mentioned in:



Abstract

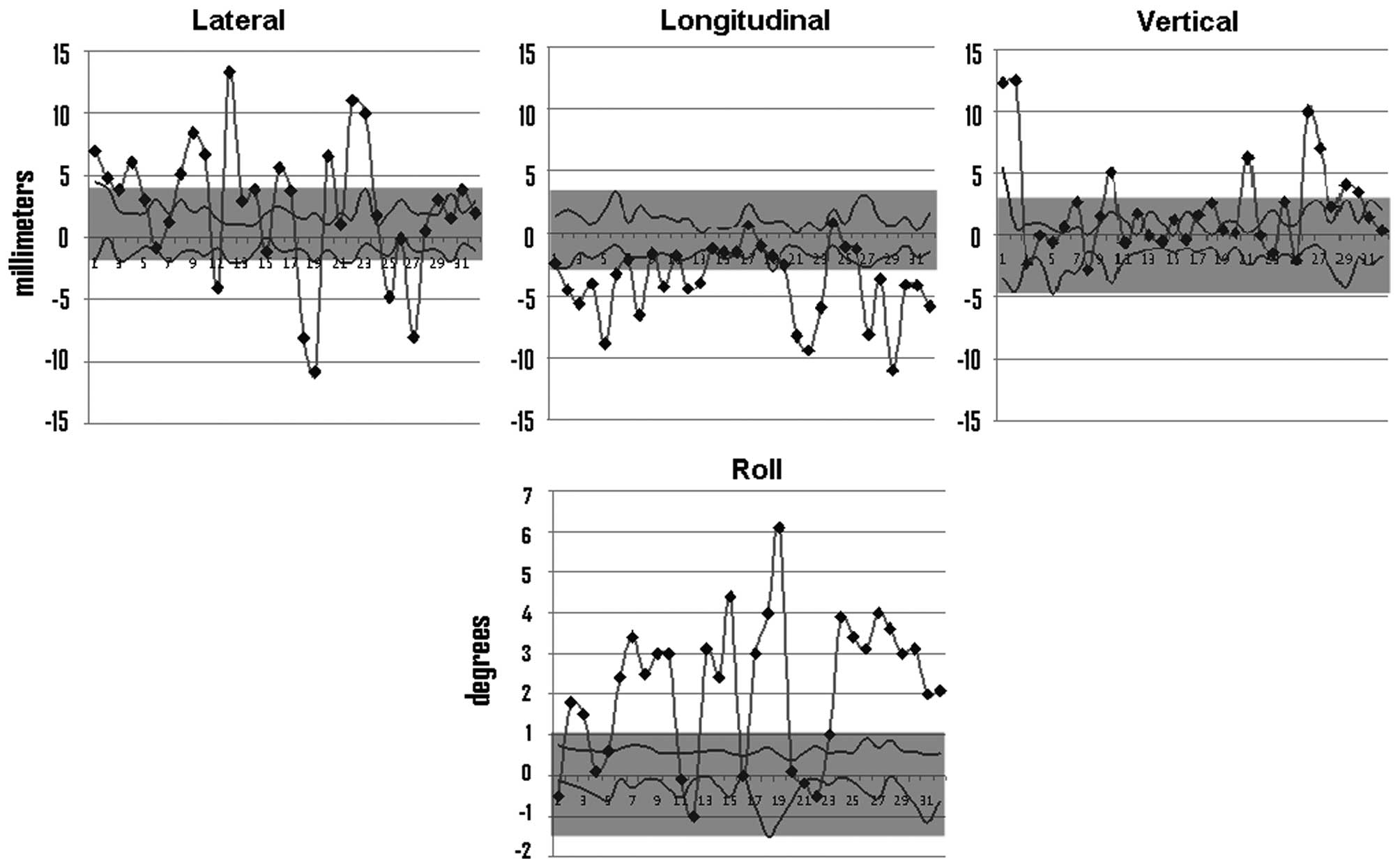
Head and neck cancers that are associated with high‑risk factors have a poor prognosis. In such patients, post‑operative radiochemotherapy is mandatory. The present study describes the case of a 71‑year‑old high‑risk head and neck cancer patient who was not able to tolerate the supine position for the radiotherapy setup. A lateral immobilization with a head mask and a vacuum cushion was performed. The patient underwent daily computed tomography (CT)‑guided radiation therapy [image‑guided radiation therapy (IGRT)]. At nine months post‑radiotherapy, the patient had no xerostomia and no swallowing dysfunction. However, the patient suffered a local recurrence and succumbed due to bleeding of the tumor a number of weeks after the recurrence. A recalculation of the actual delivered dose, taking the daily delivered dose into account, was performed. The recurrence occurred within the high‑dose region. In selected cases of patients with head and neck cancers who are unable to tolerate the supine position, lateral positioning and high precision treatment is possible using daily IGRT.
View Figures

Figure 1

Figure 2

Figure 3

Figure 4

View References

1 

Robertson AG, Soutar DS, Paul J, et al: Early closure of a randomized trial: surgery and postoperative radiotherapy versus radiotherapy in the management of intra-oral tumours. Clin Oncol (R Coll Radiol). 10:155–160. 1998. View Article : Google Scholar : PubMed/NCBI

2 

Daly ME, Lieskovsky Y, Pawlicki T, et al: Evaluation of patterns of failure and subjective salivary function in patients treated with intensity modulated radiotherapy for head and neck squamous cell carcinoma. Head Neck. 29:211–220. 2007. View Article : Google Scholar : PubMed/NCBI

3 

Studer G, Studer SP, Zwahlen RA, et al: Osteoradionecrosis of the mandible: minimized risk profile following intensity-modulated radiation therapy (IMRT). Strahlenther Onkol. 182:283–288. 2006. View Article : Google Scholar : PubMed/NCBI

4 

Eisbruch A, Kim HM, Terrell JE, Marsh LH, Dawson LA and Ship JA: Xerostomia and its predictors following parotid-sparing irradiation of head-and-neck cancer. Int J Radiat Oncol Biol Phys. 50:695–704. 2001. View Article : Google Scholar : PubMed/NCBI

5 

Duma MN, Kampfer S, Wilkens JJ, Schuster T, Molls M and Geinitz H: Comparative analysis of an image-guided versus a non-image-guided setup approach in terms of delivered dose to the parotid glands in head-and-neck cancer IMRT. Int J Radiat Oncol Biol Phys. 77:1266–1273. 2010. View Article : Google Scholar : PubMed/NCBI

6 

Chen AM, Cheng S, Farwell DG, et al: Utility of daily image guidance with intensity-modulated radiotherapy for tumors of the base of skull. Head Neck. 34:763–770. 2012. View Article : Google Scholar : PubMed/NCBI

7 

Chao KS, Wippold FJ, Ozyigit G, Tran BN and Dempsey JF: Determination and delineation of nodal target volumes for head-and-neck cancer based on patterns of failure in patients receiving definitive and postoperative IMRT. Int J Radiat Oncol Biol Phys. 53:1174–1184. 2002.PubMed/NCBI

8 

Grégoire V, Eisbruch A, Hamoir M and Levendag P: Proposal for the delineation of the nodal CTV in the node-positive and the post-operative neck. Radiother Oncol. 79:15–20. 2006.PubMed/NCBI

9 

Orban de Xivry J, Castadot P, Janssens G, et al: Evaluation of the radiobiological impact of anatomic modifications during radiation therapy for head and neck cancer: can we simply summate the dose? Radiother Oncol. 96:131–138. 2010.PubMed/NCBI

10 

Rades D, Holtzhauer R, Baumann R, Leuwer M and Karstens JH: Craniospinal axis irradiation in children. Treatment in supine position including field verification as a prerequisite for anesthesia without intubation. Strahlenther Onkol. 175:409–412. 1999.

11 

Marks JE and Haus AG: The effect of immobilisation on localisation error in the radiotherapy of head and neck cancer. Clin Radiol. 27:175–177. 1976. View Article : Google Scholar : PubMed/NCBI

12 

Schubert LK, Westerly DC, Tomé WA, et al: A comprehensive assessment by tumor site of patient setup using daily MVCT imaging from more than 3,800 helical tomotherapy treatments. Int J Radiat Oncol Biol Phys. 73:1260–1269. 2009. View Article : Google Scholar

13 

Gilbeau L, Octave-Prignot M, Loncol T, Renard L, Scalliet P and Grégoire V: Comparison of setup accuracy of three different thermoplastic masks for the treatment of brain and head and neck tumors. Radiother Oncol. 58:155–162. 2001. View Article : Google Scholar : PubMed/NCBI

14 

Chen AM, Jennelle RL, Sreeraman R, et al: Initial clinical experience with helical tomotherapy for head and neck cancer. Head Neck. 31:1571–1578. 2009. View Article : Google Scholar : PubMed/NCBI

Related Articles

  • Abstract
  • View
  • Download
  • Twitter
Copy and paste a formatted citation
Spandidos Publications style
Duma MN, Geinitz H, Kampfer S and Kesting MR: A novel setup approach for helical tomotherapy in head and neck cancer: A case report. Oncol Lett 6: 1470-1474, 2013.
APA
Duma, M.N., Geinitz, H., Kampfer, S., & Kesting, M.R. (2013). A novel setup approach for helical tomotherapy in head and neck cancer: A case report. Oncology Letters, 6, 1470-1474. https://doi.org/10.3892/ol.2013.1558
MLA
Duma, M. N., Geinitz, H., Kampfer, S., Kesting, M. R."A novel setup approach for helical tomotherapy in head and neck cancer: A case report". Oncology Letters 6.5 (2013): 1470-1474.
Chicago
Duma, M. N., Geinitz, H., Kampfer, S., Kesting, M. R."A novel setup approach for helical tomotherapy in head and neck cancer: A case report". Oncology Letters 6, no. 5 (2013): 1470-1474. https://doi.org/10.3892/ol.2013.1558
Copy and paste a formatted citation
x
Spandidos Publications style
Duma MN, Geinitz H, Kampfer S and Kesting MR: A novel setup approach for helical tomotherapy in head and neck cancer: A case report. Oncol Lett 6: 1470-1474, 2013.
APA
Duma, M.N., Geinitz, H., Kampfer, S., & Kesting, M.R. (2013). A novel setup approach for helical tomotherapy in head and neck cancer: A case report. Oncology Letters, 6, 1470-1474. https://doi.org/10.3892/ol.2013.1558
MLA
Duma, M. N., Geinitz, H., Kampfer, S., Kesting, M. R."A novel setup approach for helical tomotherapy in head and neck cancer: A case report". Oncology Letters 6.5 (2013): 1470-1474.
Chicago
Duma, M. N., Geinitz, H., Kampfer, S., Kesting, M. R."A novel setup approach for helical tomotherapy in head and neck cancer: A case report". Oncology Letters 6, no. 5 (2013): 1470-1474. https://doi.org/10.3892/ol.2013.1558
Follow us
  • Twitter
  • LinkedIn
  • Facebook
About
  • Spandidos Publications
  • Careers
  • Cookie Policy
  • Privacy Policy
How can we help?
  • Help
  • Live Chat
  • Contact
  • Email to our Support Team