Spandidos Publications Logo
  • About
    • About Spandidos
    • Aims and Scopes
    • Abstracting and Indexing
    • Editorial Policies
    • Reprints and Permissions
    • Job Opportunities
    • Terms and Conditions
    • Contact
  • Journals
    • All Journals
    • Oncology Letters
      • Oncology Letters
      • Information for Authors
      • Editorial Policies
      • Editorial Board
      • Aims and Scope
      • Abstracting and Indexing
      • Bibliographic Information
      • Archive
    • International Journal of Oncology
      • International Journal of Oncology
      • Information for Authors
      • Editorial Policies
      • Editorial Board
      • Aims and Scope
      • Abstracting and Indexing
      • Bibliographic Information
      • Archive
    • Molecular and Clinical Oncology
      • Molecular and Clinical Oncology
      • Information for Authors
      • Editorial Policies
      • Editorial Board
      • Aims and Scope
      • Abstracting and Indexing
      • Bibliographic Information
      • Archive
    • Experimental and Therapeutic Medicine
      • Experimental and Therapeutic Medicine
      • Information for Authors
      • Editorial Policies
      • Editorial Board
      • Aims and Scope
      • Abstracting and Indexing
      • Bibliographic Information
      • Archive
    • International Journal of Molecular Medicine
      • International Journal of Molecular Medicine
      • Information for Authors
      • Editorial Policies
      • Editorial Board
      • Aims and Scope
      • Abstracting and Indexing
      • Bibliographic Information
      • Archive
    • Biomedical Reports
      • Biomedical Reports
      • Information for Authors
      • Editorial Policies
      • Editorial Board
      • Aims and Scope
      • Abstracting and Indexing
      • Bibliographic Information
      • Archive
    • Oncology Reports
      • Oncology Reports
      • Information for Authors
      • Editorial Policies
      • Editorial Board
      • Aims and Scope
      • Abstracting and Indexing
      • Bibliographic Information
      • Archive
    • Molecular Medicine Reports
      • Molecular Medicine Reports
      • Information for Authors
      • Editorial Policies
      • Editorial Board
      • Aims and Scope
      • Abstracting and Indexing
      • Bibliographic Information
      • Archive
    • World Academy of Sciences Journal
      • World Academy of Sciences Journal
      • Information for Authors
      • Editorial Policies
      • Editorial Board
      • Aims and Scope
      • Abstracting and Indexing
      • Bibliographic Information
      • Archive
    • International Journal of Functional Nutrition
      • International Journal of Functional Nutrition
      • Information for Authors
      • Editorial Policies
      • Editorial Board
      • Aims and Scope
      • Abstracting and Indexing
      • Bibliographic Information
      • Archive
    • International Journal of Epigenetics
      • International Journal of Epigenetics
      • Information for Authors
      • Editorial Policies
      • Editorial Board
      • Aims and Scope
      • Abstracting and Indexing
      • Bibliographic Information
      • Archive
    • Medicine International
      • Medicine International
      • Information for Authors
      • Editorial Policies
      • Editorial Board
      • Aims and Scope
      • Abstracting and Indexing
      • Bibliographic Information
      • Archive
  • Articles
  • Information
    • Information for Authors
    • Information for Reviewers
    • Information for Librarians
    • Information for Advertisers
    • Conferences
  • Language Editing
Spandidos Publications Logo
  • About
    • About Spandidos
    • Aims and Scopes
    • Abstracting and Indexing
    • Editorial Policies
    • Reprints and Permissions
    • Job Opportunities
    • Terms and Conditions
    • Contact
  • Journals
    • All Journals
    • Biomedical Reports
      • Information for Authors
      • Editorial Policies
      • Editorial Board
      • Aims and Scope
      • Abstracting and Indexing
      • Bibliographic Information
      • Archive
    • Experimental and Therapeutic Medicine
      • Information for Authors
      • Editorial Policies
      • Editorial Board
      • Aims and Scope
      • Abstracting and Indexing
      • Bibliographic Information
      • Archive
    • International Journal of Epigenetics
      • Information for Authors
      • Editorial Policies
      • Editorial Board
      • Aims and Scope
      • Abstracting and Indexing
      • Bibliographic Information
      • Archive
    • International Journal of Functional Nutrition
      • Information for Authors
      • Editorial Policies
      • Editorial Board
      • Aims and Scope
      • Abstracting and Indexing
      • Bibliographic Information
      • Archive
    • International Journal of Molecular Medicine
      • Information for Authors
      • Editorial Policies
      • Editorial Board
      • Aims and Scope
      • Abstracting and Indexing
      • Bibliographic Information
      • Archive
    • International Journal of Oncology
      • Information for Authors
      • Editorial Policies
      • Editorial Board
      • Aims and Scope
      • Abstracting and Indexing
      • Bibliographic Information
      • Archive
    • Medicine International
      • Information for Authors
      • Editorial Policies
      • Editorial Board
      • Aims and Scope
      • Abstracting and Indexing
      • Bibliographic Information
      • Archive
    • Molecular and Clinical Oncology
      • Information for Authors
      • Editorial Policies
      • Editorial Board
      • Aims and Scope
      • Abstracting and Indexing
      • Bibliographic Information
      • Archive
    • Molecular Medicine Reports
      • Information for Authors
      • Editorial Policies
      • Editorial Board
      • Aims and Scope
      • Abstracting and Indexing
      • Bibliographic Information
      • Archive
    • Oncology Letters
      • Information for Authors
      • Editorial Policies
      • Editorial Board
      • Aims and Scope
      • Abstracting and Indexing
      • Bibliographic Information
      • Archive
    • Oncology Reports
      • Information for Authors
      • Editorial Policies
      • Editorial Board
      • Aims and Scope
      • Abstracting and Indexing
      • Bibliographic Information
      • Archive
    • World Academy of Sciences Journal
      • Information for Authors
      • Editorial Policies
      • Editorial Board
      • Aims and Scope
      • Abstracting and Indexing
      • Bibliographic Information
      • Archive
  • Articles
  • Information
    • For Authors
    • For Reviewers
    • For Librarians
    • For Advertisers
    • Conferences
  • Language Editing
Login Register Submit
  • This site uses cookies
  • You can change your cookie settings at any time by following the instructions in our Cookie Policy. To find out more, you may read our Privacy Policy.

    I agree
Search articles by DOI, keyword, author or affiliation
Search
Advanced Search
presentation
Oncology Letters
Join Editorial Board Propose a Special Issue
Print ISSN: 1792-1074 Online ISSN: 1792-1082
Journal Cover
June-2014 Volume 7 Issue 6

Full Size Image

Sign up for eToc alerts
Recommend to Library

Journals

International Journal of Molecular Medicine

International Journal of Molecular Medicine

International Journal of Molecular Medicine is an international journal devoted to molecular mechanisms of human disease.

International Journal of Oncology

International Journal of Oncology

International Journal of Oncology is an international journal devoted to oncology research and cancer treatment.

Molecular Medicine Reports

Molecular Medicine Reports

Covers molecular medicine topics such as pharmacology, pathology, genetics, neuroscience, infectious diseases, molecular cardiology, and molecular surgery.

Oncology Reports

Oncology Reports

Oncology Reports is an international journal devoted to fundamental and applied research in Oncology.

Experimental and Therapeutic Medicine

Experimental and Therapeutic Medicine

Experimental and Therapeutic Medicine is an international journal devoted to laboratory and clinical medicine.

Oncology Letters

Oncology Letters

Oncology Letters is an international journal devoted to Experimental and Clinical Oncology.

Biomedical Reports

Biomedical Reports

Explores a wide range of biological and medical fields, including pharmacology, genetics, microbiology, neuroscience, and molecular cardiology.

Molecular and Clinical Oncology

Molecular and Clinical Oncology

International journal addressing all aspects of oncology research, from tumorigenesis and oncogenes to chemotherapy and metastasis.

World Academy of Sciences Journal

World Academy of Sciences Journal

Multidisciplinary open-access journal spanning biochemistry, genetics, neuroscience, environmental health, and synthetic biology.

International Journal of Functional Nutrition

International Journal of Functional Nutrition

Open-access journal combining biochemistry, pharmacology, immunology, and genetics to advance health through functional nutrition.

International Journal of Epigenetics

International Journal of Epigenetics

Publishes open-access research on using epigenetics to advance understanding and treatment of human disease.

Medicine International

Medicine International

An International Open Access Journal Devoted to General Medicine.

Journal Cover
June-2014 Volume 7 Issue 6

Full Size Image

Sign up for eToc alerts
Recommend to Library

  • Article
  • Citations
    • Cite This Article
    • Download Citation
    • Create Citation Alert
    • Remove Citation Alert
    • Cited By
  • Similar Articles
    • Related Articles (in Spandidos Publications)
    • Similar Articles (Google Scholar)
    • Similar Articles (PubMed)
  • Download PDF
  • Download XML
  • View XML
Article

Prognostic value of serum leptin in advanced lung adenocarcinoma patients with cisplatin/pemetrexed chemotherapy

  • Authors:
    • Wenjun Mou
    • Hui Xue
    • Hongli Tong
    • Shengjie Sun
    • Zhuhong Zhang
    • Chunyan Zhang
    • Qiyu Sun
    • Jing Dong
    • Xinyu Wen
    • Guangtao Yan
    • Yaping Tian
  • View Affiliations / Copyright

    Affiliations: School of Medicine, Nankai University, Tianjin 300071, P.R. China, Research Laboratory of Biochemistry, Basic Medical Institute, Chinese PLA General Hospital, Beijing 100853, P.R. China, Department of Clinical Biochemistry, Chinese PLA General Hospital, Beijing 100853, P.R. China, Oncology Department, Chinese PLA General Hospital, Beijing 100853, P.R. China
  • Pages: 2073-2078
    |
    Published online on: March 21, 2014
       https://doi.org/10.3892/ol.2014.1988
  • Expand metrics +
Metrics: Total Views: 0 (Spandidos Publications: | PMC Statistics: )
Metrics: Total PDF Downloads: 0 (Spandidos Publications: | PMC Statistics: )
Cited By (CrossRef): 0 citations Loading Articles...

This article is mentioned in:



Abstract

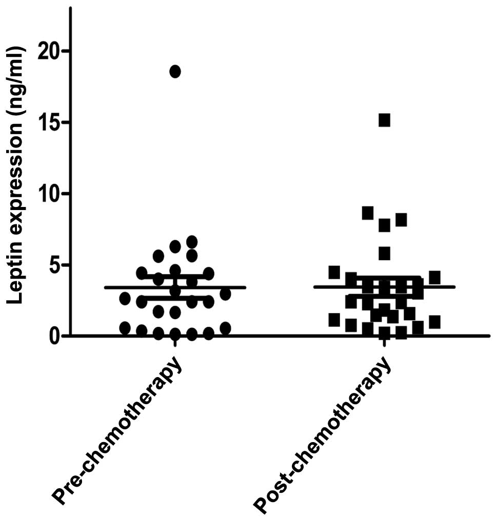
Cisplatin/pemetrexed chemotherapy has been established as a standard treatment in lung adenocarcinoma. However, the response to the cisplatin/pemetrexed combination varies considerably among patients due to individual variations. Thus, novel biomarkers are required to aid the prediction of the response to the cisplatin/pemetrexed combination. We hypothesized that leptin expression may be a determinant for prognosis in lung adenocarcinoma patients with cisplatin/pemetrexed chemotherapy. Serum from consenting patients with lung adenocarcinoma were obtained for the measurement of leptin and associated tumor biomarkers. Leptin expression was measured by radioimmunoassay. Carcinoembryonic antigen (CEA), carbohydrate antigen 19‑9 (CA19‑9), CA15‑3, CA125, CA72‑4, cytokeratin 19 fragment (CYFRA21‑1) and neuron‑specific enolase (NSE) expression were determined by electrochemiluminescence immunoassays. Serum squamous cell carcinoma antigen levels were measured using a microparticle enzyme immunoassay. The associations between serum leptin and tumor biomarker expression were evaluated by Spearman's correlation analysis. Serum CEA, CA19‑9, CA15‑3, CA125, CA72‑4, CYFRA21‑1 and NSE levels showed no obvious difference among patients. However, a trend towards an improved prognosis was observed in patients with lower serum leptin at diagnosis and an increase during cisplatin/pemetrexed chemotherapy. The results indicated that the serum leptin level has prognostic indications in patients with advanced lung adenocarcinoma during cisplatin/pemetrexed chemotherapy, which indicates that it may be a useful marker for the prognosis of cancer patients undergoing chemotherapy treatment.
View Figures

Figure 1

Figure 2

Figure 3

Figure 4

View References

1 

Parkin DM, Bray FI and Devesa SS: Cancer burden in the year 2000. The global picture. Eur J Cancer. 37(Suppl 8): S4–S66. 2001.PubMed/NCBI

2 

Okada M: Subtyping lung adenocarcinoma according to the novel 2011 IASLC/ATS/ERS classification: correlation with patient prognosis. Thorac Surg Clin. 23:179–186. 2013. View Article : Google Scholar : PubMed/NCBI

3 

Raparia K, Villa C, DeCamp MM, Patel JD and Mehta MP: Molecular profiling in non-small cell lung cancer: a step toward personalized medicine. Arch Pathol Lab Med. 137:481–491. 2013. View Article : Google Scholar : PubMed/NCBI

4 

Nuijten MJ, Aultman R, de Carpeño JC, et al: An indirect comparison of the efficacy of bevacizumab plus carboplatin and paclitaxel versus pemetrexed with cisplatin in patients with advanced or recurrent non-squamous adenocarcinoma non-small cell lung cancer. Curr Med Res Opin. 27:2193–2201. 2011. View Article : Google Scholar : PubMed/NCBI

5 

Dinglin XX, Huang Y, Liu H, et al: Pemetrexed and cisplatin combination with concurrent whole brain radiotherapy in patients with brain metastases of lung adenocarcinoma: a single-arm phase II clinical trial. J Neurooncol. 112:461–466. 2013. View Article : Google Scholar : PubMed/NCBI

6 

Tímár J: Role of contemporary pathological diagnostics in the personalized treatment of cancer. Magy Onkol. 57:26–32. 2013.(In Hungarian).

7 

Park SY, Lee JG, Kim J, et al: Preoperative serum CYFRA 21-1 level as a prognostic factor in surgically treated adenocarcinoma of lung. Lung Cancer. 79:156–160. 2013. View Article : Google Scholar : PubMed/NCBI

8 

Ono A, Takahashi T, Mori K, et al: Prognostic impact of serum CYFRA 21-1 in patients with advanced lung adenocarcinoma: a retrospective study. BMC Cancer. 13:3542013. View Article : Google Scholar : PubMed/NCBI

9 

Takeuchi S, Nonaka M, Kadokura M and Takaba T: Prognostic significance of serum squamous cell carcinoma antigen in surgically treated lung cancer. Ann Thorac Cardiovasc Surg. 9:98–104. 2003.PubMed/NCBI

10 

Hatzakis KD, Froudarakis ME, Bouros D, et al: Prognostic value of serum tumor markers in patients with lung cancer. Respiration. 69:25–29. 2002. View Article : Google Scholar : PubMed/NCBI

11 

Bréchot JM, Chevret S, Nataf J, et al: Diagnostic and prognostic value of Cyfra 21-1 compared with other tumour markers in patients with non-small cell lung cancer: a prospective study of 116 patients. Eur J Cancer. 33:385–391. 1997.PubMed/NCBI

12 

Rubins JB, Dunitz J, Rubins HB, et al: Serum carcinoembryonic antigen as an adjunct to preoperative staging of lung cancer. J Thorac Cardiovasc Surg. 116:412–416. 1998. View Article : Google Scholar : PubMed/NCBI

13 

Seregni E, Foa P, Bogni A, et al: Evaluation of the soluble fragments of cytokeratin 19 (CK19) in non-small cell lung cancer (NSCLC). Oncol Rep. 3:95–101. 1996.PubMed/NCBI

14 

Diez M, Torres A, Pollán M, et al: Prognostic significance of serum CA 125 antigen assay in patients with non-small cell lung cancer. Cancer. 73:1368–1376. 1994. View Article : Google Scholar : PubMed/NCBI

15 

Riesener KP and Schumpelick V: Ultrasound diagnosis in abdominal trauma - how much experience does the surgeon need to perform ultrasonic diagnosis? Langenbecks Arch Chir. 377:205–206. 1992.(In German).

16 

Cristofori R, Aimo G, Mengozzi G, et al: Tumor markers kinetic in malignant lung neoplasms. J Cardiovasc Surg (Torino). 40:299–305. 1999.PubMed/NCBI

17 

Yoshimasu T, Miyoshi S, Maebeya S, et al: Analysis of the early postoperative serum carcinoembryonic antigen time-course as a prognostic tool for bronchogenic carcinoma. Cancer. 79:1533–1540. 1997. View Article : Google Scholar : PubMed/NCBI

18 

Cammisotto PG, Bukowiecki LJ, Deshaies Y and Bendayan M: Leptin biosynthetic pathway in white adipocytes. Biochem Cell Biol. 84:207–214. 2006. View Article : Google Scholar : PubMed/NCBI

19 

Tas F, Duranyildiz D, Argon A, et al: Serum levels of leptin and proinflammatory cytokines in advanced-stage non-small cell lung cancer. Med Oncol. 22:353–358. 2005. View Article : Google Scholar : PubMed/NCBI

20 

Ribeiro R, Araujo A, Lopes C and Medeiros R: Immunoinflammatory mechanisms in lung cancer development: is leptin a mediator? J Thorac Oncol. 2:105–108. 2007.PubMed/NCBI

21 

Karapanagiotou EM, Tsochatzis EA, Dilana KD, et al: The significance of leptin, adiponectin, and resistin serum levels in non-small cell lung cancer (NSCLC). Lung Cancer. 61:391–397. 2008. View Article : Google Scholar : PubMed/NCBI

22 

Zhao X, Huang K, Zhu Z, Chen S and Hu R: Correlation between expression of leptin and clinicopathological features and prognosis in patients with gastric cancer. J Gastroenterol Hepatol. 22:1317–1321. 2007. View Article : Google Scholar : PubMed/NCBI

23 

Wang SN, Yeh YT, Yang SF, Chai CY and Lee KT: Potential role of leptin expression in hepatocellular carcinoma. J Clin Pathol. 59:930–934. 2006. View Article : Google Scholar : PubMed/NCBI

24 

Guadagni F, Roselli M, Martini F, et al: Prognostic significance of serum adipokine levels in colorectal cancer patients. Anticancer Res. 29:3321–3327. 2009.PubMed/NCBI

25 

Sato Y, Watanabe H, Sone M, et al; Japan Intervention Radiology in Oncology Study Group-JIVROSG. Tumor response evaluation criteria for HCC (hepatocellular carcinoma) treated using TACE (transcatheter arterial chemoembolization): RECIST (response evaluation criteria in solid tumors) version 1.1 and mRECIST (modified RECIST): JIVROSG-0602. Ups J Med Sci. 118:16–22. 2013. View Article : Google Scholar

26 

Lin J, Gao XN, Yan GT, et al: Endogenous leptin fluctuates in hepatic ischemia/reperfusion injury and represents a potential therapeutic target. World J Gastroenterol. 16:5424–5434. 2010. View Article : Google Scholar : PubMed/NCBI

27 

Fleeman N, Bagust A, McLeod C, et al: Pemetrexed for the first-line treatment of locally advanced or metastatic non-small cell lung cancer. Health Technol Assess. 14(Suppl 1): 47–53. 2010.

28 

Lord RV, Brabender J, Gandara D, et al: Low ERCC1 expression correlates with prolonged survival after cisplatin plus gemcitabine chemotherapy in non-small cell lung cancer. Clin Cancer Res. 8:2286–2291. 2002.PubMed/NCBI

29 

Besse B, Olaussen KA and Soria JC: ERCC1 and RRM1: ready for prime time? J Clin Oncol. 31:1050–1060. 2013. View Article : Google Scholar : PubMed/NCBI

30 

Pillai RN, Brodie SA, Sica GL, et al: CHFR protein expression predicts outcomes to taxane-based first line therapy in metastatic NSCLC. Clin Cancer Res. 19:1603–1611. 2013. View Article : Google Scholar : PubMed/NCBI

31 

Kerenidi T, Lada M, Tsaroucha A, et al: Clinical significance of serum adipokines levels in lung cancer. Med Oncol. 30:5072013. View Article : Google Scholar : PubMed/NCBI

Related Articles

  • Abstract
  • View
  • Download
  • Twitter
Copy and paste a formatted citation
Spandidos Publications style
Mou W, Xue H, Tong H, Sun S, Zhang Z, Zhang C, Sun Q, Dong J, Wen X, Yan G, Yan G, et al: Prognostic value of serum leptin in advanced lung adenocarcinoma patients with cisplatin/pemetrexed chemotherapy. Oncol Lett 7: 2073-2078, 2014.
APA
Mou, W., Xue, H., Tong, H., Sun, S., Zhang, Z., Zhang, C. ... Tian, Y. (2014). Prognostic value of serum leptin in advanced lung adenocarcinoma patients with cisplatin/pemetrexed chemotherapy. Oncology Letters, 7, 2073-2078. https://doi.org/10.3892/ol.2014.1988
MLA
Mou, W., Xue, H., Tong, H., Sun, S., Zhang, Z., Zhang, C., Sun, Q., Dong, J., Wen, X., Yan, G., Tian, Y."Prognostic value of serum leptin in advanced lung adenocarcinoma patients with cisplatin/pemetrexed chemotherapy". Oncology Letters 7.6 (2014): 2073-2078.
Chicago
Mou, W., Xue, H., Tong, H., Sun, S., Zhang, Z., Zhang, C., Sun, Q., Dong, J., Wen, X., Yan, G., Tian, Y."Prognostic value of serum leptin in advanced lung adenocarcinoma patients with cisplatin/pemetrexed chemotherapy". Oncology Letters 7, no. 6 (2014): 2073-2078. https://doi.org/10.3892/ol.2014.1988
Copy and paste a formatted citation
x
Spandidos Publications style
Mou W, Xue H, Tong H, Sun S, Zhang Z, Zhang C, Sun Q, Dong J, Wen X, Yan G, Yan G, et al: Prognostic value of serum leptin in advanced lung adenocarcinoma patients with cisplatin/pemetrexed chemotherapy. Oncol Lett 7: 2073-2078, 2014.
APA
Mou, W., Xue, H., Tong, H., Sun, S., Zhang, Z., Zhang, C. ... Tian, Y. (2014). Prognostic value of serum leptin in advanced lung adenocarcinoma patients with cisplatin/pemetrexed chemotherapy. Oncology Letters, 7, 2073-2078. https://doi.org/10.3892/ol.2014.1988
MLA
Mou, W., Xue, H., Tong, H., Sun, S., Zhang, Z., Zhang, C., Sun, Q., Dong, J., Wen, X., Yan, G., Tian, Y."Prognostic value of serum leptin in advanced lung adenocarcinoma patients with cisplatin/pemetrexed chemotherapy". Oncology Letters 7.6 (2014): 2073-2078.
Chicago
Mou, W., Xue, H., Tong, H., Sun, S., Zhang, Z., Zhang, C., Sun, Q., Dong, J., Wen, X., Yan, G., Tian, Y."Prognostic value of serum leptin in advanced lung adenocarcinoma patients with cisplatin/pemetrexed chemotherapy". Oncology Letters 7, no. 6 (2014): 2073-2078. https://doi.org/10.3892/ol.2014.1988
Follow us
  • Twitter
  • LinkedIn
  • Facebook
About
  • Spandidos Publications
  • Careers
  • Cookie Policy
  • Privacy Policy
How can we help?
  • Help
  • Live Chat
  • Contact
  • Email to our Support Team