Spandidos Publications Logo
  • About
    • About Spandidos
    • Aims and Scopes
    • Abstracting and Indexing
    • Editorial Policies
    • Reprints and Permissions
    • Job Opportunities
    • Terms and Conditions
    • Contact
  • Journals
    • All Journals
    • Oncology Letters
      • Oncology Letters
      • Information for Authors
      • Editorial Policies
      • Editorial Board
      • Aims and Scope
      • Abstracting and Indexing
      • Bibliographic Information
      • Archive
    • International Journal of Oncology
      • International Journal of Oncology
      • Information for Authors
      • Editorial Policies
      • Editorial Board
      • Aims and Scope
      • Abstracting and Indexing
      • Bibliographic Information
      • Archive
    • Molecular and Clinical Oncology
      • Molecular and Clinical Oncology
      • Information for Authors
      • Editorial Policies
      • Editorial Board
      • Aims and Scope
      • Abstracting and Indexing
      • Bibliographic Information
      • Archive
    • Experimental and Therapeutic Medicine
      • Experimental and Therapeutic Medicine
      • Information for Authors
      • Editorial Policies
      • Editorial Board
      • Aims and Scope
      • Abstracting and Indexing
      • Bibliographic Information
      • Archive
    • International Journal of Molecular Medicine
      • International Journal of Molecular Medicine
      • Information for Authors
      • Editorial Policies
      • Editorial Board
      • Aims and Scope
      • Abstracting and Indexing
      • Bibliographic Information
      • Archive
    • Biomedical Reports
      • Biomedical Reports
      • Information for Authors
      • Editorial Policies
      • Editorial Board
      • Aims and Scope
      • Abstracting and Indexing
      • Bibliographic Information
      • Archive
    • Oncology Reports
      • Oncology Reports
      • Information for Authors
      • Editorial Policies
      • Editorial Board
      • Aims and Scope
      • Abstracting and Indexing
      • Bibliographic Information
      • Archive
    • Molecular Medicine Reports
      • Molecular Medicine Reports
      • Information for Authors
      • Editorial Policies
      • Editorial Board
      • Aims and Scope
      • Abstracting and Indexing
      • Bibliographic Information
      • Archive
    • World Academy of Sciences Journal
      • World Academy of Sciences Journal
      • Information for Authors
      • Editorial Policies
      • Editorial Board
      • Aims and Scope
      • Abstracting and Indexing
      • Bibliographic Information
      • Archive
    • International Journal of Functional Nutrition
      • International Journal of Functional Nutrition
      • Information for Authors
      • Editorial Policies
      • Editorial Board
      • Aims and Scope
      • Abstracting and Indexing
      • Bibliographic Information
      • Archive
    • International Journal of Epigenetics
      • International Journal of Epigenetics
      • Information for Authors
      • Editorial Policies
      • Editorial Board
      • Aims and Scope
      • Abstracting and Indexing
      • Bibliographic Information
      • Archive
    • Medicine International
      • Medicine International
      • Information for Authors
      • Editorial Policies
      • Editorial Board
      • Aims and Scope
      • Abstracting and Indexing
      • Bibliographic Information
      • Archive
  • Articles
  • Information
    • Information for Authors
    • Information for Reviewers
    • Information for Librarians
    • Information for Advertisers
    • Conferences
  • Language Editing
Spandidos Publications Logo
  • About
    • About Spandidos
    • Aims and Scopes
    • Abstracting and Indexing
    • Editorial Policies
    • Reprints and Permissions
    • Job Opportunities
    • Terms and Conditions
    • Contact
  • Journals
    • All Journals
    • Biomedical Reports
      • Information for Authors
      • Editorial Policies
      • Editorial Board
      • Aims and Scope
      • Abstracting and Indexing
      • Bibliographic Information
      • Archive
    • Experimental and Therapeutic Medicine
      • Information for Authors
      • Editorial Policies
      • Editorial Board
      • Aims and Scope
      • Abstracting and Indexing
      • Bibliographic Information
      • Archive
    • International Journal of Epigenetics
      • Information for Authors
      • Editorial Policies
      • Editorial Board
      • Aims and Scope
      • Abstracting and Indexing
      • Bibliographic Information
      • Archive
    • International Journal of Functional Nutrition
      • Information for Authors
      • Editorial Policies
      • Editorial Board
      • Aims and Scope
      • Abstracting and Indexing
      • Bibliographic Information
      • Archive
    • International Journal of Molecular Medicine
      • Information for Authors
      • Editorial Policies
      • Editorial Board
      • Aims and Scope
      • Abstracting and Indexing
      • Bibliographic Information
      • Archive
    • International Journal of Oncology
      • Information for Authors
      • Editorial Policies
      • Editorial Board
      • Aims and Scope
      • Abstracting and Indexing
      • Bibliographic Information
      • Archive
    • Medicine International
      • Information for Authors
      • Editorial Policies
      • Editorial Board
      • Aims and Scope
      • Abstracting and Indexing
      • Bibliographic Information
      • Archive
    • Molecular and Clinical Oncology
      • Information for Authors
      • Editorial Policies
      • Editorial Board
      • Aims and Scope
      • Abstracting and Indexing
      • Bibliographic Information
      • Archive
    • Molecular Medicine Reports
      • Information for Authors
      • Editorial Policies
      • Editorial Board
      • Aims and Scope
      • Abstracting and Indexing
      • Bibliographic Information
      • Archive
    • Oncology Letters
      • Information for Authors
      • Editorial Policies
      • Editorial Board
      • Aims and Scope
      • Abstracting and Indexing
      • Bibliographic Information
      • Archive
    • Oncology Reports
      • Information for Authors
      • Editorial Policies
      • Editorial Board
      • Aims and Scope
      • Abstracting and Indexing
      • Bibliographic Information
      • Archive
    • World Academy of Sciences Journal
      • Information for Authors
      • Editorial Policies
      • Editorial Board
      • Aims and Scope
      • Abstracting and Indexing
      • Bibliographic Information
      • Archive
  • Articles
  • Information
    • For Authors
    • For Reviewers
    • For Librarians
    • For Advertisers
    • Conferences
  • Language Editing
Login Register Submit
  • This site uses cookies
  • You can change your cookie settings at any time by following the instructions in our Cookie Policy. To find out more, you may read our Privacy Policy.

    I agree
Search articles by DOI, keyword, author or affiliation
Search
Advanced Search
presentation
Oncology Letters
Join Editorial Board Propose a Special Issue
Print ISSN: 1792-1074 Online ISSN: 1792-1082
Journal Cover
April-2016 Volume 11 Issue 4

Full Size Image

Sign up for eToc alerts
Recommend to Library

Journals

International Journal of Molecular Medicine

International Journal of Molecular Medicine

International Journal of Molecular Medicine is an international journal devoted to molecular mechanisms of human disease.

International Journal of Oncology

International Journal of Oncology

International Journal of Oncology is an international journal devoted to oncology research and cancer treatment.

Molecular Medicine Reports

Molecular Medicine Reports

Covers molecular medicine topics such as pharmacology, pathology, genetics, neuroscience, infectious diseases, molecular cardiology, and molecular surgery.

Oncology Reports

Oncology Reports

Oncology Reports is an international journal devoted to fundamental and applied research in Oncology.

Experimental and Therapeutic Medicine

Experimental and Therapeutic Medicine

Experimental and Therapeutic Medicine is an international journal devoted to laboratory and clinical medicine.

Oncology Letters

Oncology Letters

Oncology Letters is an international journal devoted to Experimental and Clinical Oncology.

Biomedical Reports

Biomedical Reports

Explores a wide range of biological and medical fields, including pharmacology, genetics, microbiology, neuroscience, and molecular cardiology.

Molecular and Clinical Oncology

Molecular and Clinical Oncology

International journal addressing all aspects of oncology research, from tumorigenesis and oncogenes to chemotherapy and metastasis.

World Academy of Sciences Journal

World Academy of Sciences Journal

Multidisciplinary open-access journal spanning biochemistry, genetics, neuroscience, environmental health, and synthetic biology.

International Journal of Functional Nutrition

International Journal of Functional Nutrition

Open-access journal combining biochemistry, pharmacology, immunology, and genetics to advance health through functional nutrition.

International Journal of Epigenetics

International Journal of Epigenetics

Publishes open-access research on using epigenetics to advance understanding and treatment of human disease.

Medicine International

Medicine International

An International Open Access Journal Devoted to General Medicine.

Journal Cover
April-2016 Volume 11 Issue 4

Full Size Image

Sign up for eToc alerts
Recommend to Library

  • Article
  • Citations
    • Cite This Article
    • Download Citation
    • Create Citation Alert
    • Remove Citation Alert
    • Cited By
  • Similar Articles
    • Related Articles (in Spandidos Publications)
    • Similar Articles (Google Scholar)
    • Similar Articles (PubMed)
  • Download PDF
  • Download XML
  • View XML
Article

Hyperoside and rutin of Nelumbo nucifera induce mitochondrial apoptosis through a caspase-dependent mechanism in HT-29 human colon cancer cells

  • Authors:
    • Tae Eun Guon
    • Ha Sook Chung
  • View Affiliations / Copyright

    Affiliations: Department of Food and Nutrition, College of Natural Sciences, Duksung Women's University, Seoul 132‑714, Republic of Korea
  • Pages: 2463-2470
    |
    Published online on: February 18, 2016
       https://doi.org/10.3892/ol.2016.4247
  • Expand metrics +
Metrics: Total Views: 0 (Spandidos Publications: | PMC Statistics: )
Metrics: Total PDF Downloads: 0 (Spandidos Publications: | PMC Statistics: )
Cited By (CrossRef): 0 citations Loading Articles...

This article is mentioned in:



Abstract

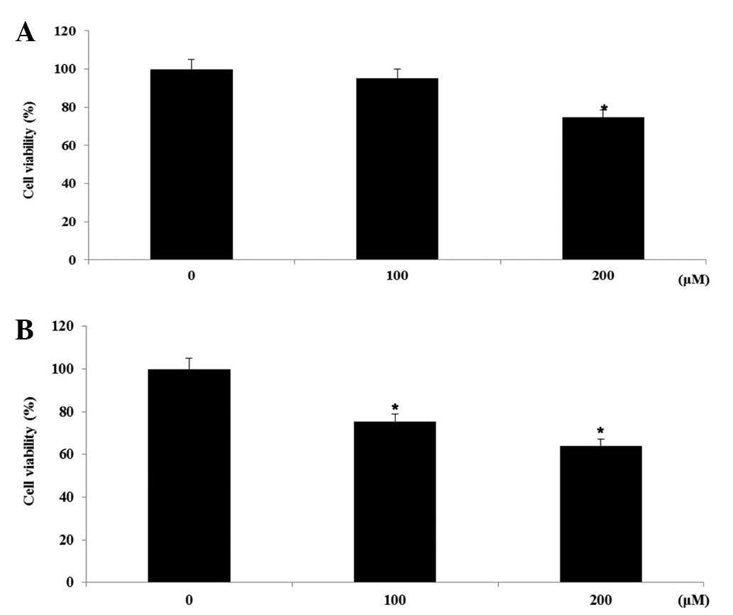
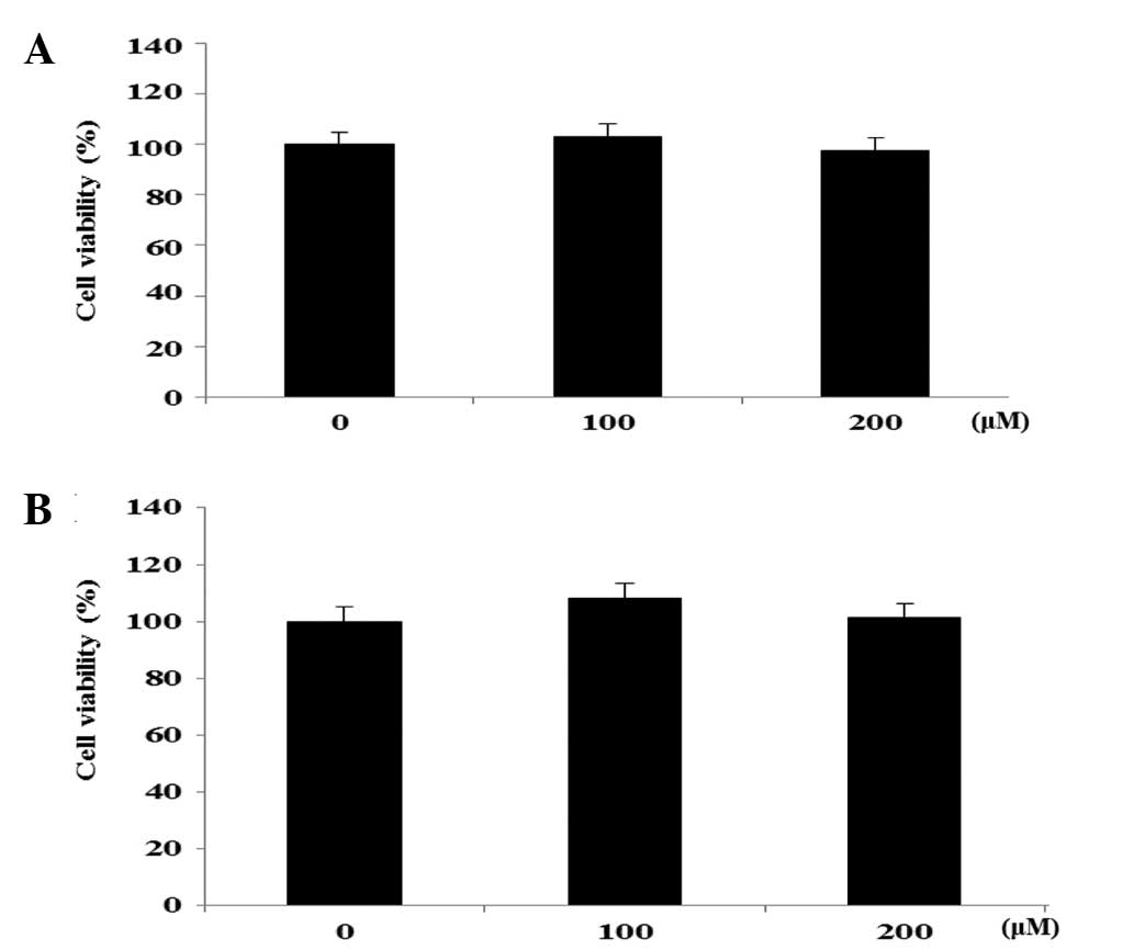
The present study demonstrates the mechanism of 2 flavonol glycosides, hyperoside and rutin, in the induction of apoptosis in HT-29 human colon cancer cells through the bioactivity-guided fractionation and isolation method. The chemical structure of hyperoside and rutin, isolated from the roots of Nelumbo nucifera, were established using extensive 1- and 2-dimensional nuclear magnetic resonance experiments and absolute high resolution fast-atom bombardment mass spectrometry, ultraviolet‑visible and Fourier transform infrared spectroscopy spectral analytical methods. The treatment of HT‑29 colon cancer cells with hyperoside and rutin significantly decreased cell viability in a dose‑dependent manner. The concomitant activation of the mitochondria-dependent apoptotic pathway of hyperoside and rutin occurred via modulation of Bcl-2-associated X protein and B-cell lymphoma 2 expression, resulting in the activation of cleaved caspases-3, -8 and -9 and cleaved poly‑(ADP‑ribose) polymerase. The findings of the present study indicate that hyperoside and rutin induce apoptosis in HT‑29 human colon cancer cells, and that this phenomenon is mediated via the death receptor‑mediated and mitochondria‑mediated apoptotic pathways. These results suggest that hyperoside and rutin may be useful in the development of a colon cancer therapy protocol.
View Figures

Figure 1

Figure 2

Figure 3

Figure 4

Figure 5

Figure 6

Figure 7

Figure 8

View References

1 

Kwon YS, Lee DH, Lee KS and Nam KS: Effects of deep-sea water on inhibition of metastatic regulators expression in human colorectal adenocarcinomas by chitosan oligosaccharide. J Chitin Chitosan. 4:229–234. 2012.

2 

Jemal A, Bray F, Center MM, Ferlay J, Ward E and Forman D: Global cancer statistics. CA Cancer J Clin. 61:69–90. 2011. View Article : Google Scholar : PubMed/NCBI

3 

Hur SK, Kim SS, Heo YH, Ahn SM, Lee BG and Lee SK: Effects of the grapevine shoot extract on free radical scavenging activity and inhibition of pro-inflammatory mediator production in RAW264.7 macrophages. Biomol Ther. 9:188–193. 2001.

4 

Jemal A, Siegel R, Xu J and Ward E: Cancer statistics, 2010. CA Cancer J Clin. 60:277–300. 2010. View Article : Google Scholar : PubMed/NCBI

5 

Siegel RL, Jemal A and Ward EM: Increase in incidence of colorectal cancer among young men and women in the United States. Cancer Epidemiol Biomarkers Prev. 18:1695–1698. 2009. View Article : Google Scholar : PubMed/NCBI

6 

Møller H, Sandin F, Robinson D, Bray F, Klint S, Linklater KM, Lambert PC, Påhlman L, Holmberg L and Morris E: Colorectal cancer survival in socioeconomic groups in England: Variation is mainly in the short term after diagnosis. Eur J Cancer. 48:46–53. 2012. View Article : Google Scholar : PubMed/NCBI

7 

Kopetz S, Chang GJ, Overman MJ, Eng C, Sargent DJ, Larson DW, Grothey A, Vauthey JN, Nagorney DM and McWilliams RR: Improved survival in metastatic colorectal cancer is associated with adoption of hepatic resection and improved chemotherapy. J Clin Oncol. 27:3677–3683. 2009. View Article : Google Scholar : PubMed/NCBI

8 

Hyun JW and Chung HS: Medicinal plants with cytotoxic and antioxidative activity. Recent Progress in Medicinal Plants. Sharma AK, Singh VK, Govil JN and Goyal NK: 12:(1st). Studium Press LLC. (Houston, TX). 193–202. 2006.

9 

Shen-Miller J, Schopf JW, Harbottle G, Cao RJ, Ouyang S, Zhou KS, Southon JR and Liu G: Long-living lotus: Germination and soil γ-irradiation of centuries-old fruits, and cultivation, growth, and phenotypic abnormalities of offspring. Am J Bot. 89:236–247. 2002. View Article : Google Scholar : PubMed/NCBI

10 

Park SH, Ham TS and Han JH: Nutritional contents of beverage from lotus root and evaluation of its physiological function in aorta relation. Kor J Ori Med Physiol Pathol. 19:490–494. 2005.

11 

Jung HA, Kim JE, Chung HY and Choi JS: Antioxidant principles of Nelumbo nucifera stamens. Arch Pharm Res. 26:279–285. 2003. View Article : Google Scholar : PubMed/NCBI

12 

Li S, Zhang Z, Cain A, Wang B, Long M and Taylor J: Antifungal activity of camptothecin, trifolin, and hyperoside isolated from Camptotheca acuminata. J Agric Food Chem. 53:32–37. 2005. View Article : Google Scholar : PubMed/NCBI

13 

Kao ES, Wang CJ, Lin WL, Yin YF, Wang CP and Tseng TH: Anti-inflammatory potential of flavonoid contents from dried fruit of Crataegus pinnatifida in vitro and in vivo. J Agric Food Chem. 53:430–436. 2005. View Article : Google Scholar : PubMed/NCBI

14 

Choi JH, Kim DW, Yun N, Choi JS, Islam MN, Kim YS and Lee SM: Protective effects of hyperoside against carbon tetrachloride-induced liver damage in mice. J Nat Prod. 74:1055–1060. 2011. View Article : Google Scholar : PubMed/NCBI

15 

Xue YL, Miyakawa T, Hayashi Y, Okamoto K, Hu F, Mitani N, Furihata K, Sawano Y and Tanokura M: Isolation and tyrosinase inhibitory effects of polyphenols from the leaves of persimmon, Diospyros kaki. J Agric Food Chem. 59:6011–6017. 2011. View Article : Google Scholar : PubMed/NCBI

16 

Le Gall G, DuPont MS, Mellon FA, Davis AL, Collins GJ, Verhoeyen ME and Colquhoun IJ: Characterization and content of flavonoid glycosides in genetically modified tomato (Lycopersicon esculentum) fruits. J Agric Food Chem. 51:2438–2446. 2003. View Article : Google Scholar : PubMed/NCBI

17 

Fattouch S, Caboni P, Coroneo V, Tuberoso CI, Angioni A, Dessi S, Marzouki N and Cabras P: Antimicrobial activity of Tunisian quince (Cydonia oblonga Miller) pulp and peel polyphenolic extracts. J Agric Food Chem. 55:963–969. 2007. View Article : Google Scholar : PubMed/NCBI

18 

Shin SW, Lee Y, Moon SR, Koo IH, Hong H, Shin E, Lee M, Park J and Chung HS: Identification of secondary metabolites with antioxidant and antimicrobial activities from Artemisia iwayomogi and Chrysanthemum zawadskii. J Kor Soc Appl Biol Chem. 53:716–723. 2010. View Article : Google Scholar

19 

Guon TE and Chung HS: Effects of Nelumbo nucifera root extract on proliferation and apoptosis in HT-29 human colon cancer cells. J East Asian Soc Diet Life. 24:20–27. 2014.

20 

Ryu MJ and Chung HS: [10]-Gingerol induces mitochondrial apoptosis through activation of MAPK pathway in HCT116 human colon cancer cells. In Vitro Cell Dev Biol Anim. 51:92–101. 2015. View Article : Google Scholar : PubMed/NCBI

21 

Shin HJ, Lee SY, Kim JS, Lee S, Choi RJ, Chung HS, Kim YS and Kang SS: Sesquiterpenes and other constituents from Dendranthema zawadskii var. latilobum. Chem Pharm Bull (Tokyo). 60:306–314. 2012. View Article : Google Scholar : PubMed/NCBI

22 

Ryu MJ, Kim AD, Kang KA, Chung HS, Kim HS, Suh IS, Chang WY and Hyun JW: The green algae Ulva fasciata Delile extract induces apoptotic cell death in human colon cancer cells. In Vitro Cell Dev Biol Anim. 49:74–81. 2013. View Article : Google Scholar : PubMed/NCBI

23 

Kang KA, Lee JH, Zhang R, Piao MJ, Chung HS and Hyun JW: Oryzadine, a new alkaloid of Oryza sativa cv. Heugjinjubyeo, attenuates oxidative stress-induced cell damage via a radical scavenging effect. Food Chem. 119:1135–1142. 2010. View Article : Google Scholar

24 

Carmichael J, DeGraff WG, Gazdar AF, Minna JD and Mitchell JB: Evaluation of a tetrazolium-based semiautomated colorimetric assay: Assessment of chemosensitivity testing. Cancer Res. 47:936–942. 1987.PubMed/NCBI

25 

Gschwind M and Huber G: Apoptotic cell death induced by β-amyloid 1–42 peptide is cell type dependent. J Neurochem. 65:292–300. 1995. View Article : Google Scholar : PubMed/NCBI

26 

Chung HS, Chang LC, Lee SK, Shamon LA, van Breemen RB, Mehta RG, Farnsworth NR, Pezzuto JM and Kinghorn AD: Flavonoid constituents of Chorizanthe diffusa with potential cancer chemopreventive activity. J Agric Food Chem. 47:36–41. 1999. View Article : Google Scholar : PubMed/NCBI

27 

Liu T, Song Y, Chen H, Pan S and Sun X: Matrine inhibits proliferation and induces apoptosis of pancreatic cancer cells in vitro and in vivo. Biol Pharm Bull. 33:1740–1745. 2010. View Article : Google Scholar : PubMed/NCBI

28 

Strickland L, Letson GD and Muro-Cacho CA: Gastrointestinal stromal tumors. Cancer Control. 8:252–261. 2001.PubMed/NCBI

29 

Bold RJ, Termuhlen PM and McConkey DJ: Apoptosis, cancer and cancer therapy. Surg Oncol. 6:133–142. 1997. View Article : Google Scholar : PubMed/NCBI

30 

Nagappan A, Park KI, Park HS, Kim JA, Hong GE, Kang SR, Lee H, Kim EH, Lee WS, Won CK and Kim GS: Vitamin C induces apoptosis in AGS cells by down-regulation of 14–3-3σ via a mitochondrial dependent pathway. Food Chem. 135:1920–1928. 2012. View Article : Google Scholar : PubMed/NCBI

31 

Cory S and Adams JM: The Bcl2 family: Regulators of the cellular life-or-death switch. Nat Rev Cancer. 2:647–656. 2002. View Article : Google Scholar : PubMed/NCBI

32 

Kim KN, Ham YM, Moon JY, Kim MJ, Jung YH, Jeon YJ, Lee NH, Kang N, Yang HM, Kim D and Hyun CG: Acanthoic acid induces cell apoptosis through activation of the p38 MAPK pathway in HL-60 human promyelocytic leukaemia. Food Chem. 135:2112–2117. 2012. View Article : Google Scholar : PubMed/NCBI

33 

Oliver FJ, de la Rubia G, Rolli V, Ruiz-Ruiz MC, de Murcia G and Murcia JM: Importance of poly(ADP-ribose) polymerase and its cleavage in apoptosis. Lesson from an uncleavable mutant. J Biol Chem. 273:33533–33539. 1998. View Article : Google Scholar : PubMed/NCBI

Related Articles

  • Abstract
  • View
  • Download
  • Twitter
Copy and paste a formatted citation
Spandidos Publications style
Guon TE and Chung HS: Hyperoside and rutin of Nelumbo nucifera induce mitochondrial apoptosis through a caspase-dependent mechanism in HT-29 human colon cancer cells. Oncol Lett 11: 2463-2470, 2016.
APA
Guon, T.E., & Chung, H.S. (2016). Hyperoside and rutin of Nelumbo nucifera induce mitochondrial apoptosis through a caspase-dependent mechanism in HT-29 human colon cancer cells. Oncology Letters, 11, 2463-2470. https://doi.org/10.3892/ol.2016.4247
MLA
Guon, T. E., Chung, H. S."Hyperoside and rutin of Nelumbo nucifera induce mitochondrial apoptosis through a caspase-dependent mechanism in HT-29 human colon cancer cells". Oncology Letters 11.4 (2016): 2463-2470.
Chicago
Guon, T. E., Chung, H. S."Hyperoside and rutin of Nelumbo nucifera induce mitochondrial apoptosis through a caspase-dependent mechanism in HT-29 human colon cancer cells". Oncology Letters 11, no. 4 (2016): 2463-2470. https://doi.org/10.3892/ol.2016.4247
Copy and paste a formatted citation
x
Spandidos Publications style
Guon TE and Chung HS: Hyperoside and rutin of Nelumbo nucifera induce mitochondrial apoptosis through a caspase-dependent mechanism in HT-29 human colon cancer cells. Oncol Lett 11: 2463-2470, 2016.
APA
Guon, T.E., & Chung, H.S. (2016). Hyperoside and rutin of Nelumbo nucifera induce mitochondrial apoptosis through a caspase-dependent mechanism in HT-29 human colon cancer cells. Oncology Letters, 11, 2463-2470. https://doi.org/10.3892/ol.2016.4247
MLA
Guon, T. E., Chung, H. S."Hyperoside and rutin of Nelumbo nucifera induce mitochondrial apoptosis through a caspase-dependent mechanism in HT-29 human colon cancer cells". Oncology Letters 11.4 (2016): 2463-2470.
Chicago
Guon, T. E., Chung, H. S."Hyperoside and rutin of Nelumbo nucifera induce mitochondrial apoptosis through a caspase-dependent mechanism in HT-29 human colon cancer cells". Oncology Letters 11, no. 4 (2016): 2463-2470. https://doi.org/10.3892/ol.2016.4247
Follow us
  • Twitter
  • LinkedIn
  • Facebook
About
  • Spandidos Publications
  • Careers
  • Cookie Policy
  • Privacy Policy
How can we help?
  • Help
  • Live Chat
  • Contact
  • Email to our Support Team