Spandidos Publications Logo
  • About
    • About Spandidos
    • Aims and Scopes
    • Abstracting and Indexing
    • Editorial Policies
    • Reprints and Permissions
    • Job Opportunities
    • Terms and Conditions
    • Contact
  • Journals
    • All Journals
    • Oncology Letters
      • Oncology Letters
      • Information for Authors
      • Editorial Policies
      • Editorial Board
      • Aims and Scope
      • Abstracting and Indexing
      • Bibliographic Information
      • Archive
    • International Journal of Oncology
      • International Journal of Oncology
      • Information for Authors
      • Editorial Policies
      • Editorial Board
      • Aims and Scope
      • Abstracting and Indexing
      • Bibliographic Information
      • Archive
    • Molecular and Clinical Oncology
      • Molecular and Clinical Oncology
      • Information for Authors
      • Editorial Policies
      • Editorial Board
      • Aims and Scope
      • Abstracting and Indexing
      • Bibliographic Information
      • Archive
    • Experimental and Therapeutic Medicine
      • Experimental and Therapeutic Medicine
      • Information for Authors
      • Editorial Policies
      • Editorial Board
      • Aims and Scope
      • Abstracting and Indexing
      • Bibliographic Information
      • Archive
    • International Journal of Molecular Medicine
      • International Journal of Molecular Medicine
      • Information for Authors
      • Editorial Policies
      • Editorial Board
      • Aims and Scope
      • Abstracting and Indexing
      • Bibliographic Information
      • Archive
    • Biomedical Reports
      • Biomedical Reports
      • Information for Authors
      • Editorial Policies
      • Editorial Board
      • Aims and Scope
      • Abstracting and Indexing
      • Bibliographic Information
      • Archive
    • Oncology Reports
      • Oncology Reports
      • Information for Authors
      • Editorial Policies
      • Editorial Board
      • Aims and Scope
      • Abstracting and Indexing
      • Bibliographic Information
      • Archive
    • Molecular Medicine Reports
      • Molecular Medicine Reports
      • Information for Authors
      • Editorial Policies
      • Editorial Board
      • Aims and Scope
      • Abstracting and Indexing
      • Bibliographic Information
      • Archive
    • World Academy of Sciences Journal
      • World Academy of Sciences Journal
      • Information for Authors
      • Editorial Policies
      • Editorial Board
      • Aims and Scope
      • Abstracting and Indexing
      • Bibliographic Information
      • Archive
    • International Journal of Functional Nutrition
      • International Journal of Functional Nutrition
      • Information for Authors
      • Editorial Policies
      • Editorial Board
      • Aims and Scope
      • Abstracting and Indexing
      • Bibliographic Information
      • Archive
    • International Journal of Epigenetics
      • International Journal of Epigenetics
      • Information for Authors
      • Editorial Policies
      • Editorial Board
      • Aims and Scope
      • Abstracting and Indexing
      • Bibliographic Information
      • Archive
    • Medicine International
      • Medicine International
      • Information for Authors
      • Editorial Policies
      • Editorial Board
      • Aims and Scope
      • Abstracting and Indexing
      • Bibliographic Information
      • Archive
  • Articles
  • Information
    • Information for Authors
    • Information for Reviewers
    • Information for Librarians
    • Information for Advertisers
    • Conferences
  • Language Editing
Spandidos Publications Logo
  • About
    • About Spandidos
    • Aims and Scopes
    • Abstracting and Indexing
    • Editorial Policies
    • Reprints and Permissions
    • Job Opportunities
    • Terms and Conditions
    • Contact
  • Journals
    • All Journals
    • Biomedical Reports
      • Information for Authors
      • Editorial Policies
      • Editorial Board
      • Aims and Scope
      • Abstracting and Indexing
      • Bibliographic Information
      • Archive
    • Experimental and Therapeutic Medicine
      • Information for Authors
      • Editorial Policies
      • Editorial Board
      • Aims and Scope
      • Abstracting and Indexing
      • Bibliographic Information
      • Archive
    • International Journal of Epigenetics
      • Information for Authors
      • Editorial Policies
      • Editorial Board
      • Aims and Scope
      • Abstracting and Indexing
      • Bibliographic Information
      • Archive
    • International Journal of Functional Nutrition
      • Information for Authors
      • Editorial Policies
      • Editorial Board
      • Aims and Scope
      • Abstracting and Indexing
      • Bibliographic Information
      • Archive
    • International Journal of Molecular Medicine
      • Information for Authors
      • Editorial Policies
      • Editorial Board
      • Aims and Scope
      • Abstracting and Indexing
      • Bibliographic Information
      • Archive
    • International Journal of Oncology
      • Information for Authors
      • Editorial Policies
      • Editorial Board
      • Aims and Scope
      • Abstracting and Indexing
      • Bibliographic Information
      • Archive
    • Medicine International
      • Information for Authors
      • Editorial Policies
      • Editorial Board
      • Aims and Scope
      • Abstracting and Indexing
      • Bibliographic Information
      • Archive
    • Molecular and Clinical Oncology
      • Information for Authors
      • Editorial Policies
      • Editorial Board
      • Aims and Scope
      • Abstracting and Indexing
      • Bibliographic Information
      • Archive
    • Molecular Medicine Reports
      • Information for Authors
      • Editorial Policies
      • Editorial Board
      • Aims and Scope
      • Abstracting and Indexing
      • Bibliographic Information
      • Archive
    • Oncology Letters
      • Information for Authors
      • Editorial Policies
      • Editorial Board
      • Aims and Scope
      • Abstracting and Indexing
      • Bibliographic Information
      • Archive
    • Oncology Reports
      • Information for Authors
      • Editorial Policies
      • Editorial Board
      • Aims and Scope
      • Abstracting and Indexing
      • Bibliographic Information
      • Archive
    • World Academy of Sciences Journal
      • Information for Authors
      • Editorial Policies
      • Editorial Board
      • Aims and Scope
      • Abstracting and Indexing
      • Bibliographic Information
      • Archive
  • Articles
  • Information
    • For Authors
    • For Reviewers
    • For Librarians
    • For Advertisers
    • Conferences
  • Language Editing
Login Register Submit
  • This site uses cookies
  • You can change your cookie settings at any time by following the instructions in our Cookie Policy. To find out more, you may read our Privacy Policy.

    I agree
Search articles by DOI, keyword, author or affiliation
Search
Advanced Search
presentation
Oncology Letters
Join Editorial Board Propose a Special Issue
Print ISSN: 1792-1074 Online ISSN: 1792-1082
Journal Cover
August-2017 Volume 14 Issue 2

Full Size Image

Sign up for eToc alerts
Recommend to Library

Journals

International Journal of Molecular Medicine

International Journal of Molecular Medicine

International Journal of Molecular Medicine is an international journal devoted to molecular mechanisms of human disease.

International Journal of Oncology

International Journal of Oncology

International Journal of Oncology is an international journal devoted to oncology research and cancer treatment.

Molecular Medicine Reports

Molecular Medicine Reports

Covers molecular medicine topics such as pharmacology, pathology, genetics, neuroscience, infectious diseases, molecular cardiology, and molecular surgery.

Oncology Reports

Oncology Reports

Oncology Reports is an international journal devoted to fundamental and applied research in Oncology.

Experimental and Therapeutic Medicine

Experimental and Therapeutic Medicine

Experimental and Therapeutic Medicine is an international journal devoted to laboratory and clinical medicine.

Oncology Letters

Oncology Letters

Oncology Letters is an international journal devoted to Experimental and Clinical Oncology.

Biomedical Reports

Biomedical Reports

Explores a wide range of biological and medical fields, including pharmacology, genetics, microbiology, neuroscience, and molecular cardiology.

Molecular and Clinical Oncology

Molecular and Clinical Oncology

International journal addressing all aspects of oncology research, from tumorigenesis and oncogenes to chemotherapy and metastasis.

World Academy of Sciences Journal

World Academy of Sciences Journal

Multidisciplinary open-access journal spanning biochemistry, genetics, neuroscience, environmental health, and synthetic biology.

International Journal of Functional Nutrition

International Journal of Functional Nutrition

Open-access journal combining biochemistry, pharmacology, immunology, and genetics to advance health through functional nutrition.

International Journal of Epigenetics

International Journal of Epigenetics

Publishes open-access research on using epigenetics to advance understanding and treatment of human disease.

Medicine International

Medicine International

An International Open Access Journal Devoted to General Medicine.

Journal Cover
August-2017 Volume 14 Issue 2

Full Size Image

Sign up for eToc alerts
Recommend to Library

  • Article
  • Citations
    • Cite This Article
    • Download Citation
    • Create Citation Alert
    • Remove Citation Alert
    • Cited By
  • Similar Articles
    • Related Articles (in Spandidos Publications)
    • Similar Articles (Google Scholar)
    • Similar Articles (PubMed)
  • Download PDF
  • Download XML
  • View XML
Article Open Access

CMTM5 inhibits renal cancer cell growth through inducing cell-cycle arrest and apoptosis

  • Authors:
    • Bing Cai
    • Yunbei Xiao
    • Yeping Li
    • Shaobin Zheng
  • View Affiliations / Copyright

    Affiliations: Department of Urology, Nanfang Hospital, Southern Medical University, Guangzhou, Guangdong 510515, P.R. China, Department of Urology, The First Affiliated Hospital of Wenzhou Medical University, Wenzhou, Zhejiang 325000, P.R. China
    Copyright: © Cai et al. This is an open access article distributed under the terms of Creative Commons Attribution License.
  • Pages: 1536-1542
    |
    Published online on: June 8, 2017
       https://doi.org/10.3892/ol.2017.6350
  • Expand metrics +
Metrics: Total Views: 0 (Spandidos Publications: | PMC Statistics: )
Metrics: Total PDF Downloads: 0 (Spandidos Publications: | PMC Statistics: )
Cited By (CrossRef): 0 citations Loading Articles...

This article is mentioned in:



Abstract

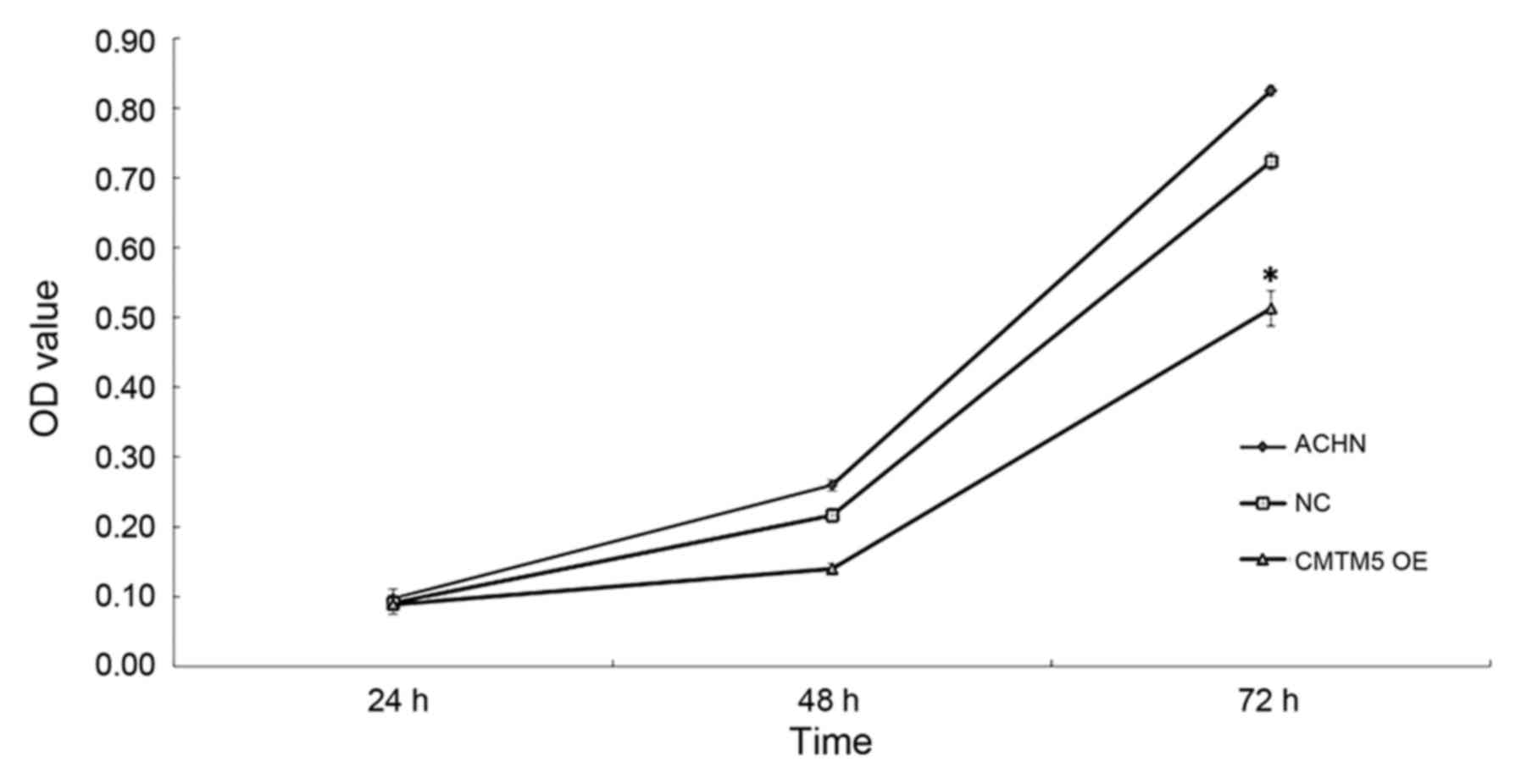
CKLF-like MARVEL transmembrane domain-containing 5 (CMTM5) has been reported to function as a potential tumor suppressor in several human cancers. However, the involvement of CMTM5 in human renal cell carcinoma (RCC) remains unclear. The current study aimed to detect its expression pattern in RCC tissues and cells, and to determine its anti‑proliferative functions in this malignancy. The mRNA and protein expression levels of CMTM5 in RCC tissues and cells were detected by reverse transcription‑quantitative polymerase chain reaction, immunohistochemistry and western blotting. Following the transfection with CMTM5 lentivirus or control lenti‑EGFP lentivirus into the RCC cell line ACHN, the viability, migration, apoptosis and cell cycle of these cells were detected by Cell Counting kit‑8 assay, Transwell assay and flow cytometry, respectively. Compared with the adjacent non‑malignant kidney tissue samples, CMTM5 expression was significantly downregulated in RCC tissues (P<0.05). In addition, enforced expression of CMTM5 could efficiently inhibit the cell growth of ACHN cells, which were arrested in G0/G1 phase. Furthermore, the migration and invasion of ACHN cells were also inhibited by restoration of CMTM5 expression. The present data suggest that CMTM5 may function as a tumor suppressor in human RCC by suppressing the viability of RCC cells, implying its potential as a therapeutic target for this malignancy.
View Figures

Figure 1

Figure 2

Figure 3

Figure 4

Figure 5

View References

1 

Siegel R, Ma J, Zou Z and Jemal A: Cancer statistics, 2014. CA Cancer J Clin. 64:9–29. 2014. View Article : Google Scholar : PubMed/NCBI

2 

Brodaczewska KK, Szczylik C, Fiedorowicz M, Porta C and Czarnecka AM: Choosing the right cell line for renal cell cancer research. Mol Cancer. 15:832016. View Article : Google Scholar : PubMed/NCBI

3 

Leibovich BC, Lohse CM, Crispen PL, Boorjian SA, Thompson RH, Blute ML and Cheville JC: Histological subtype is an independent predictor of outcome for patients with renal cell carcinoma. J Urol. 183:1309–1315. 2010. View Article : Google Scholar : PubMed/NCBI

4 

Grimm MO, Wolff I, Zastrow S, Frohner M and Wirth M: Advances in renal cell carcinoma treatment. Ther Adv Urol. 2:11–17. 2010. View Article : Google Scholar : PubMed/NCBI

5 

Xiao W, Wang J, Li H, Guan W, Xia D, Yu G, Xiao H, Lang B, Ma X, Liu J, et al: Fibulin-1 is down-regulated through promoter hypermethylation and suppresses renal cell carcinoma progression. J Urol. 190:291–301. 2013. View Article : Google Scholar : PubMed/NCBI

6 

Guo X, Li T, Wang Y, Shao L, Zhang Y, Ma D and Han W: CMTM5 induces apoptosis of pancreatic cancer cells and has synergistic effects with TNF-alpha. Biochem Biophys Res Commun. 387:139–142. 2009. View Article : Google Scholar : PubMed/NCBI

7 

Li P, Liu K, Li L, Yang M, Gao W, Feng J, Lv Y, Qu X and Kong B: Reduced CMTM5 expression correlates with carcinogenesis in human epithelial ovarian cancer. Int J Gynecol Cancer. 21:1248–1255. 2011.PubMed/NCBI

8 

Niu J, Li H, Zhang Y, Li J, Xie M, Li L, Qin X, Qin Y, Guo X, Jiang Q, et al: Aberrant expression of CKLF-like MARVEL transmembrane member 5 (CMTM5) by promoter methylation in myeloid leukemia. Leuk Res. 35:771–776. 2011. View Article : Google Scholar : PubMed/NCBI

9 

Shao L, Cui Y, Li H, Liu Y, Zhao H, Wang Y, Zhang Y, Ng KM, Han W, Ma D and Tao Q: Cmtm5 exhibits tumor suppressor activities and is frequently silenced by methylation in carcinoma cell lines. Clin Cancer Res. 13:5756–5762. 2007. View Article : Google Scholar : PubMed/NCBI

10 

Shao L, Guo X, Plate M, Li T, Wang Y, Ma D and Han W: CMTM5-v1 induces apoptosis in cervical carcinoma cells. Biochem Biophys Res Commun. 379:866–871. 2009. View Article : Google Scholar : PubMed/NCBI

11 

Xiao Y, Yuan Y, Zhang Y, Li J, Liu Z, Zhang X, Sheng Z, Xu T and Wang X: CMTM5 is reduced in prostate cancer and inhibits cancer cell growth in vitro and in vivo. Clin Transl Oncol. 17:431–437. 2015. View Article : Google Scholar : PubMed/NCBI

12 

World Health Organization Classification of Tumours: Pathology and Genetics of Tumours of the Urinary System and Male Genital OrgansEble JN, Sauter G, Epstein JI and Sesterhenn IA: IARC Press; Lyon: pp. 72004

13 

Livak KJ and Schmittgen TD: Analysis of relative gene expression data using real-time quantitative PCR and the 2(−Delta Delta C(T)) method. Methods. 25:402–408. 2001. View Article : Google Scholar : PubMed/NCBI

14 

Dawson MA and Kouzarides T: Cancer epigenetics: From mechanism to therapy. Cell. 150:12–27. 2012. View Article : Google Scholar : PubMed/NCBI

15 

Zhang H, Nan X, Li X, Chen Y, Zhang J and Sun L: CMTM5 exhibits tumor suppressor activity through promoter methylation in oral squamous cell carcinoma. Biochem Biophys Res Commun. 447:304–310. 2014. View Article : Google Scholar : PubMed/NCBI

16 

Xie J, Yuan Y, Liu Z, Xiao Y, Zhang X, Qin C, Sheng Z, Xu T and Wang X: CMTM3 is frequently reduced in clear cell renal cell carcinoma and exhibits tumor suppressor activities. Clin Transl Oncol. 16:402–409. 2014. View Article : Google Scholar : PubMed/NCBI

17 

Su Y, Lin Y, Zhang L, Liu B, Yuan W, Mo X, Wang X, Li H, Xing X, Cheng X, et al: CMTM3 inhibits cell migration and invasion and correlates with favorable prognosis in gastric cancer. Cancer Sci. 105:26–34. 2014. View Article : Google Scholar : PubMed/NCBI

18 

Plate M, Li T, Wang Y, Mo X, Zhang Y, Ma D and Han W: Identification and characterization of CMTM4, a novel gene with inhibitory effects on hela cell growth through inducing G2/M phase accumulation. Mol Cells. 29:355–361. 2010. View Article : Google Scholar : PubMed/NCBI

19 

Sanchez-Pulido L, Martín-Belmonte F, Valencia A and Alonso MA: Marvel: A conserved domain involved in membrane apposition events. Trends Biochem Sci. 27:599–601. 2002. View Article : Google Scholar : PubMed/NCBI

20 

Li Z, Xie J, Wu J, Li W, Nie L, Sun X, Sun X, Tang A, Li X, Liu R, et al: CMTM3 inhibits human testicular cancer cell growth through inducing cell-cycle arrest and apoptosis. PloS One. 9:e889652014. View Article : Google Scholar : PubMed/NCBI

21 

Li H, Li J, Su Y, Fan Y, Guo X, Li L, Su X, Rong R, Ying J, Mo X, et al: A novel 3p22.3 gene CMTM7 represses oncogenic egfr signaling and inhibits cancer cell growth. Oncogene. 33:3109–3118. 2014. View Article : Google Scholar : PubMed/NCBI

22 

Zhang W, Mendoza MC, Pei X, Ilter D, Mahoney SJ, Zhang Y, Ma D, Blenis J and Wang Y: Down-regulation of CMTM8 induces epithelial-to-mesenchymal transition-like changes via c-MET/extracellular signal-regulated kinase (ERK) signaling. J Biol Chem. 287:11850–11858. 2012. View Article : Google Scholar : PubMed/NCBI

23 

Clark PE: The role of VHL in clear-cell renal cell carcinoma and its relation to targeted therapy. Kidney Int. 76:939–945. 2009. View Article : Google Scholar : PubMed/NCBI

24 

Li C, Liu B, Dai Z and Tao Y: Knockdown of VEGF receptor-1 (VEGFR-1) impairs macrophage infiltration, angiogenesis and growth of clear cell renal cell carcinoma (crcc). Cancer Biol Ther. 12:872–380. 2011. View Article : Google Scholar : PubMed/NCBI

Related Articles

  • Abstract
  • View
  • Download
  • Twitter
Copy and paste a formatted citation
Spandidos Publications style
Cai B, Xiao Y, Li Y and Zheng S: CMTM5 inhibits renal cancer cell growth through inducing cell-cycle arrest and apoptosis. Oncol Lett 14: 1536-1542, 2017.
APA
Cai, B., Xiao, Y., Li, Y., & Zheng, S. (2017). CMTM5 inhibits renal cancer cell growth through inducing cell-cycle arrest and apoptosis. Oncology Letters, 14, 1536-1542. https://doi.org/10.3892/ol.2017.6350
MLA
Cai, B., Xiao, Y., Li, Y., Zheng, S."CMTM5 inhibits renal cancer cell growth through inducing cell-cycle arrest and apoptosis". Oncology Letters 14.2 (2017): 1536-1542.
Chicago
Cai, B., Xiao, Y., Li, Y., Zheng, S."CMTM5 inhibits renal cancer cell growth through inducing cell-cycle arrest and apoptosis". Oncology Letters 14, no. 2 (2017): 1536-1542. https://doi.org/10.3892/ol.2017.6350
Copy and paste a formatted citation
x
Spandidos Publications style
Cai B, Xiao Y, Li Y and Zheng S: CMTM5 inhibits renal cancer cell growth through inducing cell-cycle arrest and apoptosis. Oncol Lett 14: 1536-1542, 2017.
APA
Cai, B., Xiao, Y., Li, Y., & Zheng, S. (2017). CMTM5 inhibits renal cancer cell growth through inducing cell-cycle arrest and apoptosis. Oncology Letters, 14, 1536-1542. https://doi.org/10.3892/ol.2017.6350
MLA
Cai, B., Xiao, Y., Li, Y., Zheng, S."CMTM5 inhibits renal cancer cell growth through inducing cell-cycle arrest and apoptosis". Oncology Letters 14.2 (2017): 1536-1542.
Chicago
Cai, B., Xiao, Y., Li, Y., Zheng, S."CMTM5 inhibits renal cancer cell growth through inducing cell-cycle arrest and apoptosis". Oncology Letters 14, no. 2 (2017): 1536-1542. https://doi.org/10.3892/ol.2017.6350
Follow us
  • Twitter
  • LinkedIn
  • Facebook
About
  • Spandidos Publications
  • Careers
  • Cookie Policy
  • Privacy Policy
How can we help?
  • Help
  • Live Chat
  • Contact
  • Email to our Support Team