Spandidos Publications Logo
  • About
    • About Spandidos
    • Aims and Scopes
    • Abstracting and Indexing
    • Editorial Policies
    • Reprints and Permissions
    • Job Opportunities
    • Terms and Conditions
    • Contact
  • Journals
    • All Journals
    • Oncology Letters
      • Oncology Letters
      • Information for Authors
      • Editorial Policies
      • Editorial Board
      • Aims and Scope
      • Abstracting and Indexing
      • Bibliographic Information
      • Archive
    • International Journal of Oncology
      • International Journal of Oncology
      • Information for Authors
      • Editorial Policies
      • Editorial Board
      • Aims and Scope
      • Abstracting and Indexing
      • Bibliographic Information
      • Archive
    • Molecular and Clinical Oncology
      • Molecular and Clinical Oncology
      • Information for Authors
      • Editorial Policies
      • Editorial Board
      • Aims and Scope
      • Abstracting and Indexing
      • Bibliographic Information
      • Archive
    • Experimental and Therapeutic Medicine
      • Experimental and Therapeutic Medicine
      • Information for Authors
      • Editorial Policies
      • Editorial Board
      • Aims and Scope
      • Abstracting and Indexing
      • Bibliographic Information
      • Archive
    • International Journal of Molecular Medicine
      • International Journal of Molecular Medicine
      • Information for Authors
      • Editorial Policies
      • Editorial Board
      • Aims and Scope
      • Abstracting and Indexing
      • Bibliographic Information
      • Archive
    • Biomedical Reports
      • Biomedical Reports
      • Information for Authors
      • Editorial Policies
      • Editorial Board
      • Aims and Scope
      • Abstracting and Indexing
      • Bibliographic Information
      • Archive
    • Oncology Reports
      • Oncology Reports
      • Information for Authors
      • Editorial Policies
      • Editorial Board
      • Aims and Scope
      • Abstracting and Indexing
      • Bibliographic Information
      • Archive
    • Molecular Medicine Reports
      • Molecular Medicine Reports
      • Information for Authors
      • Editorial Policies
      • Editorial Board
      • Aims and Scope
      • Abstracting and Indexing
      • Bibliographic Information
      • Archive
    • World Academy of Sciences Journal
      • World Academy of Sciences Journal
      • Information for Authors
      • Editorial Policies
      • Editorial Board
      • Aims and Scope
      • Abstracting and Indexing
      • Bibliographic Information
      • Archive
    • International Journal of Functional Nutrition
      • International Journal of Functional Nutrition
      • Information for Authors
      • Editorial Policies
      • Editorial Board
      • Aims and Scope
      • Abstracting and Indexing
      • Bibliographic Information
      • Archive
    • International Journal of Epigenetics
      • International Journal of Epigenetics
      • Information for Authors
      • Editorial Policies
      • Editorial Board
      • Aims and Scope
      • Abstracting and Indexing
      • Bibliographic Information
      • Archive
    • Medicine International
      • Medicine International
      • Information for Authors
      • Editorial Policies
      • Editorial Board
      • Aims and Scope
      • Abstracting and Indexing
      • Bibliographic Information
      • Archive
  • Articles
  • Information
    • Information for Authors
    • Information for Reviewers
    • Information for Librarians
    • Information for Advertisers
    • Conferences
  • Language Editing
Spandidos Publications Logo
  • About
    • About Spandidos
    • Aims and Scopes
    • Abstracting and Indexing
    • Editorial Policies
    • Reprints and Permissions
    • Job Opportunities
    • Terms and Conditions
    • Contact
  • Journals
    • All Journals
    • Biomedical Reports
      • Information for Authors
      • Editorial Policies
      • Editorial Board
      • Aims and Scope
      • Abstracting and Indexing
      • Bibliographic Information
      • Archive
    • Experimental and Therapeutic Medicine
      • Information for Authors
      • Editorial Policies
      • Editorial Board
      • Aims and Scope
      • Abstracting and Indexing
      • Bibliographic Information
      • Archive
    • International Journal of Epigenetics
      • Information for Authors
      • Editorial Policies
      • Editorial Board
      • Aims and Scope
      • Abstracting and Indexing
      • Bibliographic Information
      • Archive
    • International Journal of Functional Nutrition
      • Information for Authors
      • Editorial Policies
      • Editorial Board
      • Aims and Scope
      • Abstracting and Indexing
      • Bibliographic Information
      • Archive
    • International Journal of Molecular Medicine
      • Information for Authors
      • Editorial Policies
      • Editorial Board
      • Aims and Scope
      • Abstracting and Indexing
      • Bibliographic Information
      • Archive
    • International Journal of Oncology
      • Information for Authors
      • Editorial Policies
      • Editorial Board
      • Aims and Scope
      • Abstracting and Indexing
      • Bibliographic Information
      • Archive
    • Medicine International
      • Information for Authors
      • Editorial Policies
      • Editorial Board
      • Aims and Scope
      • Abstracting and Indexing
      • Bibliographic Information
      • Archive
    • Molecular and Clinical Oncology
      • Information for Authors
      • Editorial Policies
      • Editorial Board
      • Aims and Scope
      • Abstracting and Indexing
      • Bibliographic Information
      • Archive
    • Molecular Medicine Reports
      • Information for Authors
      • Editorial Policies
      • Editorial Board
      • Aims and Scope
      • Abstracting and Indexing
      • Bibliographic Information
      • Archive
    • Oncology Letters
      • Information for Authors
      • Editorial Policies
      • Editorial Board
      • Aims and Scope
      • Abstracting and Indexing
      • Bibliographic Information
      • Archive
    • Oncology Reports
      • Information for Authors
      • Editorial Policies
      • Editorial Board
      • Aims and Scope
      • Abstracting and Indexing
      • Bibliographic Information
      • Archive
    • World Academy of Sciences Journal
      • Information for Authors
      • Editorial Policies
      • Editorial Board
      • Aims and Scope
      • Abstracting and Indexing
      • Bibliographic Information
      • Archive
  • Articles
  • Information
    • For Authors
    • For Reviewers
    • For Librarians
    • For Advertisers
    • Conferences
  • Language Editing
Login Register Submit
  • This site uses cookies
  • You can change your cookie settings at any time by following the instructions in our Cookie Policy. To find out more, you may read our Privacy Policy.

    I agree
Search articles by DOI, keyword, author or affiliation
Search
Advanced Search
presentation
Oncology Letters
Join Editorial Board Propose a Special Issue
Print ISSN: 1792-1074 Online ISSN: 1792-1082
Journal Cover
September-2017 Volume 14 Issue 3

Full Size Image

Sign up for eToc alerts
Recommend to Library

Journals

International Journal of Molecular Medicine

International Journal of Molecular Medicine

International Journal of Molecular Medicine is an international journal devoted to molecular mechanisms of human disease.

International Journal of Oncology

International Journal of Oncology

International Journal of Oncology is an international journal devoted to oncology research and cancer treatment.

Molecular Medicine Reports

Molecular Medicine Reports

Covers molecular medicine topics such as pharmacology, pathology, genetics, neuroscience, infectious diseases, molecular cardiology, and molecular surgery.

Oncology Reports

Oncology Reports

Oncology Reports is an international journal devoted to fundamental and applied research in Oncology.

Experimental and Therapeutic Medicine

Experimental and Therapeutic Medicine

Experimental and Therapeutic Medicine is an international journal devoted to laboratory and clinical medicine.

Oncology Letters

Oncology Letters

Oncology Letters is an international journal devoted to Experimental and Clinical Oncology.

Biomedical Reports

Biomedical Reports

Explores a wide range of biological and medical fields, including pharmacology, genetics, microbiology, neuroscience, and molecular cardiology.

Molecular and Clinical Oncology

Molecular and Clinical Oncology

International journal addressing all aspects of oncology research, from tumorigenesis and oncogenes to chemotherapy and metastasis.

World Academy of Sciences Journal

World Academy of Sciences Journal

Multidisciplinary open-access journal spanning biochemistry, genetics, neuroscience, environmental health, and synthetic biology.

International Journal of Functional Nutrition

International Journal of Functional Nutrition

Open-access journal combining biochemistry, pharmacology, immunology, and genetics to advance health through functional nutrition.

International Journal of Epigenetics

International Journal of Epigenetics

Publishes open-access research on using epigenetics to advance understanding and treatment of human disease.

Medicine International

Medicine International

An International Open Access Journal Devoted to General Medicine.

Journal Cover
September-2017 Volume 14 Issue 3

Full Size Image

Sign up for eToc alerts
Recommend to Library

  • Article
  • Citations
    • Cite This Article
    • Download Citation
    • Create Citation Alert
    • Remove Citation Alert
    • Cited By
  • Similar Articles
    • Related Articles (in Spandidos Publications)
    • Similar Articles (Google Scholar)
    • Similar Articles (PubMed)
  • Download PDF
  • Download XML
  • View XML
Article Open Access

Molecular mechanisms of ampelopsin from Ampelopsis megalophylla induces apoptosis in HeLa cells

  • Authors:
    • Peipei Cheng
    • Chun Gui
    • Jing Huang
    • Ye Xia
    • Yu Fang
    • Guozheng Da
    • Xiuqiao Zhang
  • View Affiliations / Copyright

    Affiliations: Department of Pharmacy, Hubei University of Chinese Medicine, Wuhan, Hubei 430065, P.R. China
    Copyright: © Cheng et al. This is an open access article distributed under the terms of Creative Commons Attribution License.
  • Pages: 2691-2698
    |
    Published online on: July 4, 2017
       https://doi.org/10.3892/ol.2017.6520
  • Expand metrics +
Metrics: Total Views: 0 (Spandidos Publications: | PMC Statistics: )
Metrics: Total PDF Downloads: 0 (Spandidos Publications: | PMC Statistics: )
Cited By (CrossRef): 0 citations Loading Articles...

This article is mentioned in:



Abstract

Ampelopsin (AMP) is an active ingredient of flavonoid compounds that is extracted from Ampelopsis megalophylla Diels et Gilg. The present study aimed at investigating the antitumor activities of AMP and the possible underlying molecular mechanisms in HeLa cells. A total of three types of tumor cell were selected to screen antitumor activities for AMP using the MTT assay. Flow cytometry was used to analyze the cell apoptotic proportion and the cell cycle. Rhodamine 123 staining was used to determine changes in mitochondrial transmembrane potential. Western blot analysis was used to determine the expression of apoptosis‑associated proteins. The results of the present study demonstrated that AMP may inhibit the viability of HeLa cells in a dose‑ and time‑dependent manner. Changes in morphology were observed using fluorescence microscopy. In addition, Annexin V‑fluorescein isothiocyanate/propidium iodide (PI) double staining revealed that AMP induced apoptosis in a concentration‑dependent manner and PI staining indicated that HeLa cells were arrested in S phase. Furthermore, western blot analysis demonstrated that AMP treatment induced apoptosis through activation of caspases 9 and 3, which was validated by the increasing ratio of B‑cell lymphoma 2 (Bcl‑2)‑associated X protein to Bcl‑2. Additionally, the loss of mitochondrial transmembrane potential and the release of cytochrome c suggested that AMP‑induced apoptosis was associated with the mitochondrial pathway. Taken together, these results indicate that AMP may induce apoptosis via the mitochondrial signaling pathway in HeLa cells.

Introduction

Cervical cancer, characterized by the rapid and uncontrolled viability of cervical cells, is the second most common type of female carcinoma and the fifth most common type of cancer worldwide (1,2), with ~510,000 novel cases and ~280,000 mortalities occurring worldwide each year (3). The traditional treatments for cervical carcinoma, including surgical resection and chemotherapy, exhibit adverse side effects, are not tolerated well by patients and produce drug resistance following treatment for a prolonged time. Therefore, determining a natural material to treat cervical carcinoma which is low in cost and exhibits increased efficiency, decreased resistance and limited side effects is required.

The concept of apoptosis has been studied for >40 years and was initially identified in 1972 by Keir et al (4), which led to interest in this field of science (5). Apoptosis is the physiological process for nucleated cell death; it is distinct from necrosis and involves typical morphological and biochemical hallmarks, including the intactness of the cell membrane, cell shrinkage, chromatin condensation and fragmentation, apoptotic body formation and the overexpression of apoptosis-associated proteins and genes (6,7). In the majority of cases, anticancer therapies result in the activation of caspases which are a family of cysteine proteases that serve functions in a variety of types of cell death (8). There are two primary apoptotic signaling pathways which lead to the activation of caspases: The membrane receptor pathway (the extrinsic pathway) and the mitochondrial pathway (the intrinsic pathway) (9,10). In the intrinsic pathway, caspase activation is associated with permeabilization of the outer mitochondrial membrane by pro-apoptotic members of the B-cell lymphoma (Bcl) family (11). Upon disruption of the outer mitochondrial membrane, a set of proteins, typically located in the space between the inner and outer mitochondrial membranes, are released, including cytochrome c (Cyt-c), second mitochondria-derived activator of caspases/direct inhibitor of apoptosis-binding protein with low pI and apoptosis-inducing factor (12,13). The mitochondrial pathway served a function in the death of tumor cells and is suggested to be the primary underlying molecular mechanism of cancer cell death.

Ampelopsis megalophylla Diels et Gilg is traditionally used in China as a folk medicine, termed ‘Mei Cha’, for hypertensive disorders, bleeding and fever, and its tender stems and leaves are used as experimental material. Previous studies have demonstrated that ampelopsin (AMP), a primary bioactive constituent of A. megalophylla, exhibits hypoglycemic, antioxidant, antiviral and hepatoprotective activities (14–18). In addition, AMP has been identified to exhibit therapeutic effects on cancer; however, the association between AMP and cervical cancer remains unclear, particularly the underlying molecular anticancer mechanisms (19–22). In the present study, three types of tumor cell, cervical carcinoma (HeLa), human liver cancer (SMMC-7721) and human lung cancer (A549) cells, were selected to determine the antitumor activity of AMP. Subsequently, HeLa cells which were most sensitive to AMP were selected to investigate the underlying molecular mechanisms of AMP. The results of the present study demonstrated that AMP may treat cervical cancer by inducing apoptosis in decreased concentrations and provide an application of A. megalophylla in cervical cancer therapy.

Materials and methods

Plant material

A. megalophylla was collected from Enshi (China) and was identified by Professor Xiuqiao Zhang, School of Pharmaceutical Sciences, Hubei University of Chinese Medicine (Wuhan, China). A voucher specimen (no. 20130904002) was deposited in the herbarium of Hubei University of Chinese Medicine.

AMP was separated and identified from the ethyl acetate extract of A. megalophylla, as described in our previous study (14,15). Soaked samples (500 g dry weight, tender stems and leaves) were extracted twice with 95 and 75% ethanol for 24 h at 25°C. Following filtration using filter paper, the filtrate was concentrated using a vacuum at 60°C. The extract was further extracted with petroleum ether 7 times to remove chlorophyll, and was subsequently partitioned in ether, ethyl acetate or water. The ethyl acetate extracts were fractionated with a chloroform and methanol gradient of sequential silica gel column chromatography. The compounds obtained in chloroform and methanol were further purified by Sephadex LH-20 column chromatography. Comparisons between infrared, ultraviolet, 1H nuclear magnetic resonance (NMR), 13C NMR, 1D and 2D NMR, and mass spectrometry were made to evaluate the structure of AMP.

Regents

MTT, Hoechst 33258, propidium iodide (PI), RNase A, rhodamine 123 (Rh-123) and dimethyl sulfoxide (DMSO) were purchased from Sigma-Aldrich; Merck KGaA (Darmstadt, Germany). Newborn bovine serum (NBS) was purchased from Hangzhou Sijiqing Biological Engineering Materials Co., Ltd. (Hangzhou, China). Dulbecco's modified Eagle medium (DMEM), fetal bovine serum (FBS), trypsin, modified RPMI-1640 medium, penicillin-streptomycin and PBS were all obtained from Thermo Fisher Scientific, Inc. (Waltham, MA, USA). An Annexin V-fluorescein isothiocyanate (FITC) apoptosis detection kit was obtained from Beijing Zoman Biotechnology Co., Ltd. (Beijing, China). Lysis buffer was purchased from JRDUN Biotechnology Co., Ltd. (Shanghai, China). Primary antibodies to Bcl-2 (no. ab117115), Bax (no. ab32503), caspase 3 (no. ab2171), caspase 9 (no. ab32539), Cyt-c (no. ab8245) and GAPDH (no. ab13575) were purchased from Abcam (Cambridge, UK); secondary antibobodies, including goat anti-mouse IgG-horseradish peroxidase (HRP; no. A0216) and goat anti-rabbit IgG-HRP (no. A0208) were obtained from the Beyotime Institute of Biotechnology (Haimen, China). All other chemicals and reagents used in the present study were certified as analytical grade.

Cell culture and treatment

HeLa, SMMC-7721 and A549 cells were obtained from the China Center for Type Culture Collection (Wuhan, China). HeLa cells and SMMC-7721 cells were cultured in sterile DMEM supplemented with 10% NBS and 1% penicillin-streptomycin. A549 cells were cultured in sterile RPMI-1640 medium supplemented with 10% FBS and 1% penicillin-streptomycin. All the cells were incubated under standard cell culture conditions at 37°C in an atmosphere containing 5% CO2. AMP dissolved in DMSO was used for the treatment of cells and the final concentration of DMSO used was <0.1% (v/v) for each treatment. Cells (65–75% confluence) were treated with AMP at various concentrations and times, as specified in the subsequent sections, in complete growth medium.

Measurement of HeLa cell viability

An MTT assay was used to determine the antitumor activities of AMP on HeLa, SMMC-7721 and A549 cells. Cells were plated in 96-well culture plates at a density of 5×103 cells/well for 24 h and treated with AMP at various concentrations (0, 10, 20, 40, 80, 160 and 320 µM) for 24, 48 and 72 h. At the end of treatment, 20 µl MTT (5 mg/ml) in PBS was added and the cells were further incubated at 37°C for 4 h. Subsequently, the supernatant was discarded and 100 µl DMSO was added. Following agitation using a micro-vibrator for 10 min, the optical density (OD) of each well was measured at 490 nm using a microplate reader (Bio-Rad Laboratories, Inc., Hercules, CA, USA). The cell viability ratio was calculated using the following formula: Cell viability ratio (%)=ODtreated/ODcontrol ×100. Cytotoxicity was expressed as the half-maximal inhibitory concentration (IC50) values of AMP.

Staining of cells with Hoechst 33258

Morphological changes of HeLa cells were detected using Hoechst 33258 staining. HeLa cells were plated in 6-well plates at a density of 3×105 cells/well. After 24 h of treatment with various concentrations of AMP (0, 30, 40, 50, 60 and 70 µM), plates were washed with PBS and cells were fixed using a 3:1 ratio of methanol and acetic acid for 12 min at room temperature. Subsequently, cells were stained with 500 µl Hoechst 33258 solution (5 µg/ml) in darkness for 30 min at room temperature. Morphological features of apoptotic cells were observed under a fluorescence microscope (IX51; Olympus Corporation, Tokyo, Japan).

DNA content and cell cycle analysis

Cell cycle distribution was determined using a PI staining assay. HeLa cells were plated in 6-well plates at a density of 3×105 cells/well and cultured at 37°C for 24 h. Following ~60% confluence, cells were treated with various concentrations of AMP (0, 30, 40, 50, 60 or 70 µM) for 12 h. Subsequently, cells were centrifuged at 500 × g for 5 min and the sediment was resuspended with PBS and washed again. Cells were fixed with 75% ethanol at −20°C overnight. Fixed cells were stained with PI (50 µg/ml) and 0.1% RNase A in PBS away from direct sunlight for 30 min. The samples were tested by flow cytometry (FCM) on a BD FACSCalibur cytometer, the number of cells in each phases during cell cycle was collected data by CellQuest software version 3.3 (BD Biosciences, San Jose, CA, USA), and data was analyzed by ModFit LT for Maclnel version 3.0 (Verity Software House, Topsham, ME, USA).

Annexin V-FITC/PI double staining

An Annexin V-FITC/PI apoptosis detection kit was used to determine the proportion of apoptotic cells induced by AMP. HeLa cells were seeded at 3×105 cells/well in 6-well plates and incubated for 24 h at 37°C with 5% CO2. Cells were harvested following treatment with AMP (0, 30, 40, 50, 60 or 70 µM) for 8 h at 37°C and two washes in PBS. Subsequently, cells were resuspended with 500 µl Annexin V-binding buffer and incubated with 5 µl Annexin V-FITC and 10 µl PI in the dark for 10 min at room temperature. Samples were tested by FCM and anaylzed by the CellQuest.

Measurement of the mitochondrial transmembrane potential

A Rh-123 staining assay was used to analyze the mitochondrial membrane potential disruption. Following incubation with various concentrations of AMP (0, 30, 40, 50, 60 or 70 µM) for 24 h, cells were harvested and incubated with 10 µM Rh-123 (10 mg/l) at 37°C for 30 min. Finally, the cells were washed twice with PBS and analyzed using FCM.

Western blot analysis

Western blot analysis was used to analyze the expression of apoptotic proteins following treatment with AMP of HeLa cells. HeLa cells were harvested following 12 h of treatment with AMP (30–70 µM), resuspended in a lysis buffer (JRDUN Biotechnology Co., Ltd.) and centrifuged at 12,000 × g for 10 min. A bicinchoninic acid assay kit (Thermo Fisher Scientific, Inc.) was used to determine the protein concentration. Equal amounts of protein (20 µg) were resuspended in Laemmli buffer, separated by SDS-PAGE (10–15% gel) and transferred onto nitrocellulose membranes (EMD Millipore, Billerica, MA, USA). Membranes were blocked in Tris-buffered saline-Tween-20 (TBST) containing 5% (w/v) non-fat milk powder for 1 h at room temperature and subsequently incubated overnight at 4°C with primary antibodies [Bcl-2 (1:1,000), Bax (1:1,000), caspase 3 (1:200), caspase 9 (1:2,000), Cyt-c (1:1,000) and GAPDH (1:1,000)] diluted in TBST. Following three washes with TBST, the membranes were incubated with secondary antibodies (1:1,000) at 37°C for 1 h. Immunoreactive bands were detected using an enhanced chemiluminescence reagent (EMD Millipore). Bound antibodies were visualized by exposure to X-ray film. Data were expressed as the relative density of the protein, normalized to GAPDH.

Statistical analysis

All data are presented as the mean ± standard deviation. Statistical analysis was performed with SPSS 17.0 statistical software (SPSS, Inc., Chicago, IL, USA) and an unpaired Student's t-test was used to analyze differences between groups. P<0.05 and P<0.01 were considered to indicate a statistically significant difference.

Results

AMP affects the viability of tumor cells

An MTT assay was used to investigate the viability of HeLa, SMMC-7721 and A549 cells following treatment with AMP at various concentrations. As presented in Table I, AMP exhibited decreased cytotoxicity in SMMC-7721 and A549 cells, compared with that in HeLa cells. AMP exhibited a potent cytotoxic effect in HeLa cells, particularly in cells that were treated for 72 h. As HeLa cells exhibited the lowest AMP IC50 values, they were selected for the mechanistic study.

Table I.

Cytotoxicity (IC50) values for distinct tumor cell lines treated with ampelopsin (µM).

Table I.

Cytotoxicity (IC50) values for distinct tumor cell lines treated with ampelopsin (µM).

Incubation time, h

Tumor cell line244872
HeLa105.03±2.2490.55±2.77   65.58±2.29
SMMC-7721>320>320248.86±1.89
A549>320>320296.28±2.23

[i] IC50 values are presented as the mean ± standard deviation of three independent experiments. IC50, half-maximal inhibitory concentration.

As presented in Fig. 1, the viability of HeLa cells is inhibited by AMP in a dose-dependent manner at concentrations >10 and ≤320 µM. Following exposure to AMP at concentrations between 40 and 80 µM for 24, 48 and 72 h, cell viability was significantly decreased (P<0.05). Viability was reduced the least in the 24 h treatment group. Following treatment with 80 µM AMP for 24, 48 and 72 h, cell viability was 54.10, 22.93 and 15.47%, respectively, According to these data, AMP treatment concentrations of 30, 40, 50, 60 and 70 µM were used in subsequent experiments.

Figure 1.

Effect of AMP on HeLa cells as determined using the MTT assay. HeLa cells were treated with various concentrations of AMP (10, 20, 40, 80, 160 and 320 µM) for 24, 48 and 72 h (*P<0.05). AMP, ampelopsin.

AMP induces apoptosis in HeLa cells

Hoechst 33258 staining may reveal alterations in cell morphology, including nuclear shrinkage, chromatin condensation and apoptotic bodies, and enables the occurrence of apoptosis to be identified qualitatively. As presented in Fig. 2, chromatin condensation increased with increasing concentrations of AMP. A number of apoptotic bodies, including nuclear shrinkage, were observed following treatment with between 50 and 70 µM AMP; however, these characteristics were not observed in untreated controls.

Figure 2.

Morphological alterations of the cell nucleus determined using fluorescence microscopy and Hoechst 33258 staining. Representative micrographs of HeLa cells undergoing apoptosis induced by treatment with various ampelopsin concentrations (between 30 and 70 µM) for 24 h (40X objective).

Effect of AMP on the cell cycle in HeLa cells

The induction of apoptosis has been associated with cell cycle arrest (23,24) and inhibition of the cell cycle has been regarded as one component of the apoptotic mechanism (25–27). To investigate the effect of AMP on the progression of the cell cycle in HeLa cells, DNA content was determined using FCM (Fig. 3). As presented in Table II, compared with the control, an increasing concentration of AMP resulted in an accumulation of cells in the S phase of the cell cycle to 41.46, 47.32 and 49.09% at 30, 40 and 50 µM AMP, respectively. In addition, at 70 µM AMP, compared with the control, the proportion of cells in the S phase of the cell cycle increased to 49.22%. The DNA content in the G1 phase of the cell cycle decreased to between 38.24 and 49.15% at concentrations between 30 and 70 µM. Furthermore, the subdiploid peak (sub-G1) rapidly increased in HeLa cells, at 30 µM AMP the proportion of sub-G1 cells was 0.96%, whereas at 70 µM, the sub-G1 proportion was 17.59%. The increase in apoptosis of cells was validated using the cell cycling histogram presented in Fig. 3. The results indicated that AMP-induced apoptosis may be associated with the disruption of the cell cycle, which was arrested in S phase.

Figure 3.

Effect of AMP on the cell cycle of HeLa cells determined using flow cytometry with PI staining. The cells were treated with a variety of concentrations of AMP (between 30 and 70 µM) for 12 h. AMP, ampelopsin; PI, propidium iodide.

Table II.

Effect of AMP on the cell cycle distribution in HeLa cells.

Table II.

Effect of AMP on the cell cycle distribution in HeLa cells.

Cell cycle phase

AMP concentration, µM G0/G1, %S, %G2/M, %sub-G1, %
Control53.06±1.6436.08±1.1310.86±1.040.18±0.23
3049.15±4.8741.46±6.129.20±2.51   016±0.11b
40 42.41±2.44b 47.32±1.26a10.19±1.110.96±1.17
50 40.72±1.28b 49.09±3.59b10.19±4.432.43±3.67
60 41.76±3.49b 47.63±3.19b7.94±1.34 10.16±8.29b
70 38.24±1.63b 49.22±1.42b12.46±2.63 17.59±2.10b

{ label (or @symbol) needed for fn[@id='tfn3-ol-0-0-6520'] } Data are presented as the mean ± standard deviation (n=3). AMP, ampelopsin

a P<0.05

b P<0.01.

To validate that AMP may induce apoptosis in HeLa cells, staining with Annexin V-FITC/PI was applied to examine the apoptotic rate following treatment with AMP for 8 h. As presented in Fig. 4, a limited proportion (3.33±0.93%) of cells were stained with Annexin V-FITC in the group untreated with AMP. The proportion of apoptotic cells increased to 6.62±1.05, 7.41±1.98 and 9.34±2.04% in a concentration-dependent manner following treatment with 40, 50 and 70 µM AMP, respectively.

Figure 4.

Analysis of AMP-induced apoptosis in HeLa cells using the Annexin V-fluorescein isothiocyanate/propidium iodide staining assay. Cells were treated with a variety of concentrations of AMP (between 30 and 70 µM) for 8 h. Each image has four quadrants: Q1, necrotic cells; Q2 and Q3, apoptotic cells; Q4, viable cells. AMP, ampelopsin; FL1-H, cells stained by Annexin V-fluorescein isothiocyanate; FH2-H, cells stained by propidium iodide.

Loss of mitochondrial membrane potential

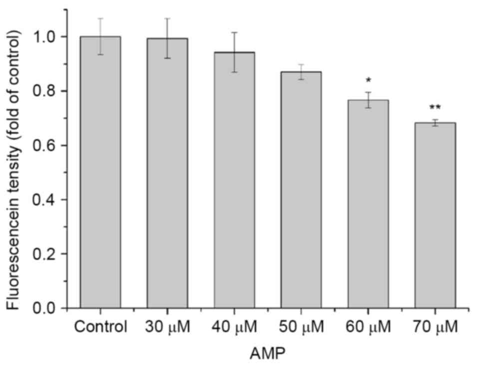
In order to explore the AMP-induced apoptotic pathway in HeLa cells, potential changes in the mitochondrial membrane were analyzed using a mitochondrion-specific fluorescent dye, Rh-123. As presented in Fig. 5, a decrease in the mitochondrial membrane potential was identified following treatment with various concentrations of AMP for 24 h. Compared with the control, the mean fluorescence density decreased from to 1, 6, 13, 23 and 32%. The results suggested that AMP may induce mitochondrial membrane potential repression in a dose-dependent manner.

Figure 5.

AMP induces a decrease in mitochondrial membrane potential. Mitochondrial membrane potential (indicated by the fluorescence intensity of rhodamine-123) of HeLa cells was determined following incubation with AMP (concentrations between 30 and 70 µM) for 24 h. Data are presented as the mean ± standard deviation (n=3; *P<0.05, **P<0.01 vs. control). AMP, ampelopsin.

Effect of AMP on the expression of Bax and Bcl-2 proteins

To validate whether the AMP-induced apoptosis of HeLa cells may be associated with the mitochondrial pathway, western blot analysis was used to detect the ratio of Bax/Bcl-2, as this is typically considered to be a key factor in the regulation of the apoptotic signal transduction pathway. AMP treatment of cells resulted in a decrease in Bcl-2 expression, with a concomitant increase in the protein level of Bax (Fig. 6A and B), leading to a marked increase in the Bax/Bcl-2 ratio, which favors apoptosis.

Figure 6.

(A) AMP induced Bax, Bcl-2, caspase 9 and caspase 3 protein expression levels in HeLa cells, analyzed using western blotting. HeLa cells were treated with AMP (between 30 and 70 µM) for 12 h. (B) Protein expression of Bax and Bcl-2 in Hela cells. (C) Protein expression of caspase 9 in Hela cells. (D) Protein expression of caspase 3 in Hela cells. Data are presented as the mean ± standard deviation (n=3; *P<0.05 vs, control). GAPDH was used as a loading control. AMP, ampelopsin. Bcl-2, B-cell lymphoma 2; Bax, Bcl-2-associated protein.

AMP induces the release of Cyt-c and caspase activation in HeLa cells

The release of Cyt-c from the mitochondria to the cytosol is a characteristic of the mitochondrial signaling pathway. Following release, Cyt-c activates caspase 9, combines with apoptotic protease-activating factor 1 (Apaf-1) and subsequently activates caspase 3 (28). Therefore, the levels of Cyt-c in the cytosol in HeLa cells following AMP treatment (between 30 and 70 µM) was determined. As presented in Fig. 7, the levels of Cyt-c in the cytosol were significantly increased following treatment with 30, 40, 50, 60 or 70 µM AMP, compared with the control (P<0.05). These results suggested that AMP may have induced the apoptosis of HeLa cells.

Figure 7.

Release of Cyt-c in HeLa cells determined using western blot analysis. HeLa cells were treated with a variety of concentrations of AMP (between 30 and 70 µM) for 12 h. Data are presented as the mean ± standard deviation (n=3; *P<0.05 vs. control). GAPDH was used as a loading control. Cyt-c, cytochrome c; AMP, ampelopsin.

The caspase family of cysteine proteases serve key roles in apoptosis. The activities of caspases 9 and 3 were measured following AMP treatment at between 30 and 70 µM for 12 h. As presented in Fig. 6A, C and D, the levels of caspase 9 were increased following treatment with AMP at between 30 and 40 µM, and the levels were additionally increased following treatment with AMP at between 60 and 70 µM. Furthermore, levels of caspase 9 were decreased following treatment with 50 µM AMP, whereas the levels of caspase 3 markedly increased with a dose-dependent manner.

Discussion

The results of the present study demonstrated that AMP exhibited the most marked suppressive effect in HeLa cells, among three tumor cell lines investigated, and it decreased the survival rate of HeLa cells in a dose- or time-dependent manner within a certain concentration range. In addition, AMP was associated with the induction of apoptosis in HeLa cells.

First, the apoptosis evoked by AMP was validated by the alterations in nuclear morphology observed with the Hoechst 33258 staining assay. Morphological characteristics of apoptosis include plasma membrane blebbing, cell shrinkage, nuclear condensation, chromosomal DNA fragmentation and the formation of apoptotic bodies. Compared with the control, chromatin condensation in HeLa cells treated with AMP at between 30 and 70 µM for 24 h was observed, and the fluorescence intensities of chromatin were more marked. Additionally, the number of apoptotic bodies, a typical characteristic of apoptotic cells, increased in a dose-dependent manner. Secondly, Annexin V-FITC/PI double staining suggested that apoptosis was the primary cause of HeLa cell death following AMP treatment and the effect was dose-dependent. Furthermore, HeLa cells were observed to be arrested in S phase of the cell cycle following treatment with AMP and subsequent accumulation in the sub-G1 phase of cell cycle. On the basis of the results of the present study, AMP was identified to induce apoptosis in HeLa cells. Therefore, the signaling pathway which was involved in AMP-induced apoptosis was investigated.

Apoptosis is an ordered and orchestrated cellular process that occurs in physiological and pathological conditions. The mechanisms of apoptosis primarily involve two signaling pathways: The death receptor-mediated extrinsic pathway and the mitochondrion-mediated intrinsic pathway. The extrinsic pathway involves the activation of the tumor necrosis factor/Fas death receptor family, whereas the intrinsic pathway involves the permeability of mitochondria and the efflux of Cyt-c. Mitochondria serve a crucial function in the intrinsic pathway of apoptosis, a topic that has attracted a lot of research attention. Upon stimulation of apoptosis-inducing factors, the Bcl-2 family, including pro-apoptotic proteins [Bax, Bcl-2-associated death promoter (Bad), Bcl homology domain 3-interacting domain death agonist (Bid), Bcl-2-like protein 11 (Bim), Bcl-2-interacting killer and activator of apoptosis harakiri], and anti-apoptotic proteins [Bcl-2, Bcl extra-large (Bcl-xL), Bcl-2-related protein A1 and induced myeloid leukemia cell differentiation protein], regulate apoptosis by maintaining mitochondrial permeability and inducing the release of Cyt-c. The anti-apoptotic proteins Bcl-2 and Bcl-xL reside in the outer mitochondrial wall and inhibit Cyt-c release; whereas the pro-apoptotic proteins Bax, Bad, Bid and Bim reside in the cytosol, translocate to the mitochondria following cell death signaling and promote the release of Cyt-c (29–31). In the present study, the results demonstrated that AMP markedly downregulated the expression of Bcl-2 protein and upregulated Bax protein simultaneously in HeLa cells, which resulted in an increased intracellular Bax/Bcl-2 ratio, suggesting the involvement of the intrinsic apoptotic pathway with AMP-induced apoptosis in HeLa cells.

A key function in the mitochondrial pathway is the decrease in mitochondrial membrane potential, which directly causes the release of Cyt-c into the cytoplasm. In the present study, the mitochondrial membrane potential decreased in a dose-dependent manner following AMP treatment, suggesting that the intrinsic apoptotic pathway was mediated by AMP. Cyt-c, a primary respiratory chain protein, is an indicator of cell apoptosis. Following release, Cyt-c binds Apaf-1 and forms an activation complex with caspase 9. The release of Cyt-c and the activation of caspase 9 are essential for activating other caspase proteins, including the executioner caspase 3, and leads to DNA fragmentation, which results in apoptosis (32). Western blot analysis demonstrated that the level of Cyt-c was markedly increased in the cytosol. Furthermore, the expression of caspase 9 protein was markedly upregulated and caspase 3 protein increased simultaneously following AMP treatment. Thus, it is hypothesized that the induction of apoptosis by AMP in HeLa cells was due to the activation of the mitochondrion-mediated intrinsic apoptosis pathway.

The present study demonstrated that AMP inhibited cell viability and induced apoptosis in HeLa cells. The increased ratio of Bax/Bcl-2, a marked decrease in mitochondrial membrane potential, Cyt-c release from the mitochondria and the activation of caspases 9 and 3 all indicated that the mitochondrion-mediated apoptotic pathway was involved in AMP-induced HeLa cell death. The results of the present study validated the potential of AMP as a chemotherapeutic and cytostatic agent in HeLa cells. However, additional in vivo studies are required.

Acknowledgements

The present study was supported by the National Natural Science Foundation of China (grant no. 31170335) and the Key Projects of Hubei Province Natural Science Foundation (grant no. 2014CFA083).

References

1 

Parkin DM, Bray F, Ferlay J and Pisani P: Global cancer statistics, 2002. CA Cancer J Clin. 55:74–108. 2005. View Article : Google Scholar : PubMed/NCBI

2 

Li Y, Wang SJ, Xia W, Rahman K, Zhang Y, Peng H, Zhang H and Qin LP: Effects of tatariside G isolated from fagopyrum tataricum roots on apoptosis in human cervical cancer HeLa cells. Molecules. 19:11145–11159. 2014. View Article : Google Scholar : PubMed/NCBI

3 

Su JH, Wu A, Scotney E, Ma B, Monie A, Hung CF and Wu TC: Immunotherapy for cervical cancer: Research status and clinical potential. Biodrugs. 24:109–129. 2010. View Article : Google Scholar : PubMed/NCBI

4 

Keir JF, Wyllie AH and Currie AR: Apoptosis: A basic biological phenomenon with wide-ranging implications in tissue kinetics. Br J Cancer. 26:239–257. 1972. View Article : Google Scholar : PubMed/NCBI

5 

Peter ME, Heufelder AE and Hengartner MO: Advances in apoptosis research. Proc Natl Acad USA. 94:12736–12737. 1997. View Article : Google Scholar

6 

Kroemer G, Petit P, Zamzami N, Vayssière JL and Mignotte B: The biochemistry of programmed cell death. FASEB J. 9:1277–1287. 1995.PubMed/NCBI

7 

Nagata S: Apoptotic DNA fragmentation. Exp Cell Res. 256:12–18. 2000. View Article : Google Scholar : PubMed/NCBI

8 

Degterev A, Boyce M and Yuan J: A decade of caspases. Oncogene. 22:8543–8567. 2003. View Article : Google Scholar : PubMed/NCBI

9 

Hengartner MO: The biochemistry of apoptosis. Nature. 407:770–776. 2000. View Article : Google Scholar : PubMed/NCBI

10 

Lei JC, Yu JQ, Yin Y, Liu YW and Zou GL: Alantolactone induces activation of apoptosis in human hepatoma cells. Food Chem Toxicol. 50:3313–3319. 2012. View Article : Google Scholar : PubMed/NCBI

11 

Fulda S and Debatin KM: Extrinsic versus intrinsic apoptosis pathways in anticancer chemotherapy. Oncogene. 25:4798–4811. 2006. View Article : Google Scholar : PubMed/NCBI

12 

Deng X, Zhao X, Lan Z, Jiang J, Yin W and Chen L: Anti-tumor effects of flavonoids from the ethnic medicine Docynia delavayi (Franch.) Schneid. and its possible mechanism. J Med Food. 17:787–794. 2014. View Article : Google Scholar : PubMed/NCBI

13 

Saelens X, Festjens N, Vande Walle L, van Gurp M, van Loo G and Vandenabeele P: Toxic proteins released from mitochondria in cell death. Oncogene. 23:2861–2874. 2004. View Article : Google Scholar : PubMed/NCBI

14 

Zhang XQ, Shen W, Chen SH and Liu ZW: Chemical constituents of Ampelopsis Megalophylla. Chin Trad Herb Drugs. 39:1135–1137. 2008.

15 

Fang Y, Cheng PP, Xia Y, Huang J, Da GZ and Zhang XQ: HPLC fingerprint of total flavonoid extracts from Ampelopsis megalophylla. Medicinal Plant. 5:49–52. 2014.

16 

Gui C, Cheng PP, Xia Y, Fang Y and Zhang XQ: Anti-HBV active of flavonoids from Ampelopsis Megalophylla. Jokull Journal. 64:134–139. 2014.

17 

Liu J, Shu Y, Zhang Q, Liu B, Xia J, Qiu M, Miao H, Li M and Zhu R: Dihydromyricetin induces apoptosis and inhibits proliferation in hepatocellular carcinoma cells. Oncol Lett. 8:1645–1651. 2014.PubMed/NCBI

18 

Shen Y, Lindemeyer AK, Gonzalez C, Shao XM, Spigelman I, Olsen RW and Liang J: Dihydromyricetin as a novel anti-alcohol intoxication medication. J Neurosci. 32:390–401. 2012. View Article : Google Scholar : PubMed/NCBI

19 

Wu S, Liu B, Zhang Q, Liu J, Zhou W, Wang C, Li M, Bao S and Zhu R: Dihydromyricetin Reduced Bcl-2 Expression via p53 in Human Hepatoma HepG2 Cells. PLoS One. 8:e768862013. View Article : Google Scholar : PubMed/NCBI

20 

Xia J, Guo S, Fang T, Feng D, Zhang X, Zhang Q, Liu J, Liu B, Li M and Zhu R: Dihydromyricetin induces autophagy in HepG2 cells involved in inhibition of mTOR and regulating its upstream pathways. Food Chem Toxicol. 66:7–13. 2014. View Article : Google Scholar : PubMed/NCBI

21 

Zhou Y, Shu F, Liang X, Chang H, Shi L, Peng X, Zhu J and Mi M: Ampelopsin induces cell growth inhibition and apoptosis in breast cancer cells through ROS generation and endoplasmic reticulum stress pathway. PLoS One. 9:e890212014. View Article : Google Scholar : PubMed/NCBI

22 

Zhang Q, Liu J, Liu B, Xia J, Chen N, Chen X, Cao Y, Zhang C, Lu C, Li M and Zhu R: Dihydromyricetin promotes hepatocellular carcinoma regression via a p53 activation-dependent mechanism. Sci Rep. 4:46282014. View Article : Google Scholar : PubMed/NCBI

23 

Danno K and Horio T: Formation of UV-induced apoptosis relates to the cell cycle. Br J Dermatol. 107:423–428. 1982. View Article : Google Scholar : PubMed/NCBI

24 

Jiang W, Zhu Z, Bhatia N, Agarwal R and Thompson HJ: Mechanisms of energy restriction: Effects of corticosterone on cell growth, cell cycle machinery, and apoptosis. Cancer Res. 62:5280–5287. 2002.PubMed/NCBI

25 

Shi Q, Zuo G, Feng Z, Zhao L, Luo N, You Z, Xia J, Li D, Li J and Chen D: Inhibitory effect of trichostatin A on HepG2 cell proliferation and the mechanisms. Nan Fang Yi Ke Da Xue Xue Bao. 34:917–922. 2014.(In Chinese). PubMed/NCBI

26 

Liu B, Zhou Z, Zhou W, Liu J, Zhang Q, Xia J, Liu J, Chen N, Li M and Zhu R: Resveratrol inhibits proliferation in human colorectal carcinoma cells by inducing G1/S-phase cell cycle arrest and apoptosis through caspase/cyclin-CDK pathways. Mol Med Rep. 10:1697–1702. 2014.PubMed/NCBI

27 

Grogan PT, Sarkaria JN, Timmermann BN and Cohen MS: Oxidative cytotoxic agent withaferin A resensitizes temozolomide-resistant glioblastomas via MGMT depletion and induces apoptosis through Akt/mTOR pathway inhibitory modulation. Invest New Drugs. 32:604–617. 2014. View Article : Google Scholar : PubMed/NCBI

28 

Kidd VJ: Proteolytic activities that mediate apoptosis. Annu Rev Physiol. 60:533–573. 1998. View Article : Google Scholar : PubMed/NCBI

29 

Zou H, Li Y, Liu X and Wang X: An APAF-1. cytochrome c multimeric complex is a functional apoptosome that activates procaspase-9. J Biol Chem. 274:11549–11556. 1999. View Article : Google Scholar : PubMed/NCBI

30 

Li P, Nijhawan D, Budihardjo I, Srinivasula SM, Ahmad M, Alnemri ES and Wang X: Cytochrome c and dATP-dependent formation of Apaf-1/caspase-9 complex initiates an apoptotic protease cascade. Cell. 91:479–489. 1997. View Article : Google Scholar : PubMed/NCBI

31 

Bounda GA, Zhou W, Wang DD and Yu F: Rhein elicits in vitro cytotoxicity in primary human liver HL-7702 cells by inducing apoptosis through mitochondria-mediated pathway. Evid Based Complement and Alternat Med. 2015:3298312015. View Article : Google Scholar

32 

Green DR: Apoptotic pathways: Ten min to dead. Cell. 121:671–674. 2005. View Article : Google Scholar : PubMed/NCBI

Related Articles

  • Abstract
  • View
  • Download
  • Twitter
Copy and paste a formatted citation
Spandidos Publications style
Cheng P, Gui C, Huang J, Xia Y, Fang Y, Da G and Zhang X: Molecular mechanisms of ampelopsin from Ampelopsis megalophylla induces apoptosis in HeLa cells. Oncol Lett 14: 2691-2698, 2017.
APA
Cheng, P., Gui, C., Huang, J., Xia, Y., Fang, Y., Da, G., & Zhang, X. (2017). Molecular mechanisms of ampelopsin from Ampelopsis megalophylla induces apoptosis in HeLa cells. Oncology Letters, 14, 2691-2698. https://doi.org/10.3892/ol.2017.6520
MLA
Cheng, P., Gui, C., Huang, J., Xia, Y., Fang, Y., Da, G., Zhang, X."Molecular mechanisms of ampelopsin from Ampelopsis megalophylla induces apoptosis in HeLa cells". Oncology Letters 14.3 (2017): 2691-2698.
Chicago
Cheng, P., Gui, C., Huang, J., Xia, Y., Fang, Y., Da, G., Zhang, X."Molecular mechanisms of ampelopsin from Ampelopsis megalophylla induces apoptosis in HeLa cells". Oncology Letters 14, no. 3 (2017): 2691-2698. https://doi.org/10.3892/ol.2017.6520
Copy and paste a formatted citation
x
Spandidos Publications style
Cheng P, Gui C, Huang J, Xia Y, Fang Y, Da G and Zhang X: Molecular mechanisms of ampelopsin from Ampelopsis megalophylla induces apoptosis in HeLa cells. Oncol Lett 14: 2691-2698, 2017.
APA
Cheng, P., Gui, C., Huang, J., Xia, Y., Fang, Y., Da, G., & Zhang, X. (2017). Molecular mechanisms of ampelopsin from Ampelopsis megalophylla induces apoptosis in HeLa cells. Oncology Letters, 14, 2691-2698. https://doi.org/10.3892/ol.2017.6520
MLA
Cheng, P., Gui, C., Huang, J., Xia, Y., Fang, Y., Da, G., Zhang, X."Molecular mechanisms of ampelopsin from Ampelopsis megalophylla induces apoptosis in HeLa cells". Oncology Letters 14.3 (2017): 2691-2698.
Chicago
Cheng, P., Gui, C., Huang, J., Xia, Y., Fang, Y., Da, G., Zhang, X."Molecular mechanisms of ampelopsin from Ampelopsis megalophylla induces apoptosis in HeLa cells". Oncology Letters 14, no. 3 (2017): 2691-2698. https://doi.org/10.3892/ol.2017.6520
Follow us
  • Twitter
  • LinkedIn
  • Facebook
About
  • Spandidos Publications
  • Careers
  • Cookie Policy
  • Privacy Policy
How can we help?
  • Help
  • Live Chat
  • Contact
  • Email to our Support Team