Spandidos Publications Logo
  • About
    • About Spandidos
    • Aims and Scopes
    • Abstracting and Indexing
    • Editorial Policies
    • Reprints and Permissions
    • Job Opportunities
    • Terms and Conditions
    • Contact
  • Journals
    • All Journals
    • Oncology Letters
      • Oncology Letters
      • Information for Authors
      • Editorial Policies
      • Editorial Board
      • Aims and Scope
      • Abstracting and Indexing
      • Bibliographic Information
      • Archive
    • International Journal of Oncology
      • International Journal of Oncology
      • Information for Authors
      • Editorial Policies
      • Editorial Board
      • Aims and Scope
      • Abstracting and Indexing
      • Bibliographic Information
      • Archive
    • Molecular and Clinical Oncology
      • Molecular and Clinical Oncology
      • Information for Authors
      • Editorial Policies
      • Editorial Board
      • Aims and Scope
      • Abstracting and Indexing
      • Bibliographic Information
      • Archive
    • Experimental and Therapeutic Medicine
      • Experimental and Therapeutic Medicine
      • Information for Authors
      • Editorial Policies
      • Editorial Board
      • Aims and Scope
      • Abstracting and Indexing
      • Bibliographic Information
      • Archive
    • International Journal of Molecular Medicine
      • International Journal of Molecular Medicine
      • Information for Authors
      • Editorial Policies
      • Editorial Board
      • Aims and Scope
      • Abstracting and Indexing
      • Bibliographic Information
      • Archive
    • Biomedical Reports
      • Biomedical Reports
      • Information for Authors
      • Editorial Policies
      • Editorial Board
      • Aims and Scope
      • Abstracting and Indexing
      • Bibliographic Information
      • Archive
    • Oncology Reports
      • Oncology Reports
      • Information for Authors
      • Editorial Policies
      • Editorial Board
      • Aims and Scope
      • Abstracting and Indexing
      • Bibliographic Information
      • Archive
    • Molecular Medicine Reports
      • Molecular Medicine Reports
      • Information for Authors
      • Editorial Policies
      • Editorial Board
      • Aims and Scope
      • Abstracting and Indexing
      • Bibliographic Information
      • Archive
    • World Academy of Sciences Journal
      • World Academy of Sciences Journal
      • Information for Authors
      • Editorial Policies
      • Editorial Board
      • Aims and Scope
      • Abstracting and Indexing
      • Bibliographic Information
      • Archive
    • International Journal of Functional Nutrition
      • International Journal of Functional Nutrition
      • Information for Authors
      • Editorial Policies
      • Editorial Board
      • Aims and Scope
      • Abstracting and Indexing
      • Bibliographic Information
      • Archive
    • International Journal of Epigenetics
      • International Journal of Epigenetics
      • Information for Authors
      • Editorial Policies
      • Editorial Board
      • Aims and Scope
      • Abstracting and Indexing
      • Bibliographic Information
      • Archive
    • Medicine International
      • Medicine International
      • Information for Authors
      • Editorial Policies
      • Editorial Board
      • Aims and Scope
      • Abstracting and Indexing
      • Bibliographic Information
      • Archive
  • Articles
  • Information
    • Information for Authors
    • Information for Reviewers
    • Information for Librarians
    • Information for Advertisers
    • Conferences
  • Language Editing
Spandidos Publications Logo
  • About
    • About Spandidos
    • Aims and Scopes
    • Abstracting and Indexing
    • Editorial Policies
    • Reprints and Permissions
    • Job Opportunities
    • Terms and Conditions
    • Contact
  • Journals
    • All Journals
    • Biomedical Reports
      • Information for Authors
      • Editorial Policies
      • Editorial Board
      • Aims and Scope
      • Abstracting and Indexing
      • Bibliographic Information
      • Archive
    • Experimental and Therapeutic Medicine
      • Information for Authors
      • Editorial Policies
      • Editorial Board
      • Aims and Scope
      • Abstracting and Indexing
      • Bibliographic Information
      • Archive
    • International Journal of Epigenetics
      • Information for Authors
      • Editorial Policies
      • Editorial Board
      • Aims and Scope
      • Abstracting and Indexing
      • Bibliographic Information
      • Archive
    • International Journal of Functional Nutrition
      • Information for Authors
      • Editorial Policies
      • Editorial Board
      • Aims and Scope
      • Abstracting and Indexing
      • Bibliographic Information
      • Archive
    • International Journal of Molecular Medicine
      • Information for Authors
      • Editorial Policies
      • Editorial Board
      • Aims and Scope
      • Abstracting and Indexing
      • Bibliographic Information
      • Archive
    • International Journal of Oncology
      • Information for Authors
      • Editorial Policies
      • Editorial Board
      • Aims and Scope
      • Abstracting and Indexing
      • Bibliographic Information
      • Archive
    • Medicine International
      • Information for Authors
      • Editorial Policies
      • Editorial Board
      • Aims and Scope
      • Abstracting and Indexing
      • Bibliographic Information
      • Archive
    • Molecular and Clinical Oncology
      • Information for Authors
      • Editorial Policies
      • Editorial Board
      • Aims and Scope
      • Abstracting and Indexing
      • Bibliographic Information
      • Archive
    • Molecular Medicine Reports
      • Information for Authors
      • Editorial Policies
      • Editorial Board
      • Aims and Scope
      • Abstracting and Indexing
      • Bibliographic Information
      • Archive
    • Oncology Letters
      • Information for Authors
      • Editorial Policies
      • Editorial Board
      • Aims and Scope
      • Abstracting and Indexing
      • Bibliographic Information
      • Archive
    • Oncology Reports
      • Information for Authors
      • Editorial Policies
      • Editorial Board
      • Aims and Scope
      • Abstracting and Indexing
      • Bibliographic Information
      • Archive
    • World Academy of Sciences Journal
      • Information for Authors
      • Editorial Policies
      • Editorial Board
      • Aims and Scope
      • Abstracting and Indexing
      • Bibliographic Information
      • Archive
  • Articles
  • Information
    • For Authors
    • For Reviewers
    • For Librarians
    • For Advertisers
    • Conferences
  • Language Editing
Login Register Submit
  • This site uses cookies
  • You can change your cookie settings at any time by following the instructions in our Cookie Policy. To find out more, you may read our Privacy Policy.

    I agree
Search articles by DOI, keyword, author or affiliation
Search
Advanced Search
presentation
Oncology Letters
Join Editorial Board Propose a Special Issue
Print ISSN: 1792-1074 Online ISSN: 1792-1082
Journal Cover
October-2017 Volume 14 Issue 4

Full Size Image

Sign up for eToc alerts
Recommend to Library

Journals

International Journal of Molecular Medicine

International Journal of Molecular Medicine

International Journal of Molecular Medicine is an international journal devoted to molecular mechanisms of human disease.

International Journal of Oncology

International Journal of Oncology

International Journal of Oncology is an international journal devoted to oncology research and cancer treatment.

Molecular Medicine Reports

Molecular Medicine Reports

Covers molecular medicine topics such as pharmacology, pathology, genetics, neuroscience, infectious diseases, molecular cardiology, and molecular surgery.

Oncology Reports

Oncology Reports

Oncology Reports is an international journal devoted to fundamental and applied research in Oncology.

Experimental and Therapeutic Medicine

Experimental and Therapeutic Medicine

Experimental and Therapeutic Medicine is an international journal devoted to laboratory and clinical medicine.

Oncology Letters

Oncology Letters

Oncology Letters is an international journal devoted to Experimental and Clinical Oncology.

Biomedical Reports

Biomedical Reports

Explores a wide range of biological and medical fields, including pharmacology, genetics, microbiology, neuroscience, and molecular cardiology.

Molecular and Clinical Oncology

Molecular and Clinical Oncology

International journal addressing all aspects of oncology research, from tumorigenesis and oncogenes to chemotherapy and metastasis.

World Academy of Sciences Journal

World Academy of Sciences Journal

Multidisciplinary open-access journal spanning biochemistry, genetics, neuroscience, environmental health, and synthetic biology.

International Journal of Functional Nutrition

International Journal of Functional Nutrition

Open-access journal combining biochemistry, pharmacology, immunology, and genetics to advance health through functional nutrition.

International Journal of Epigenetics

International Journal of Epigenetics

Publishes open-access research on using epigenetics to advance understanding and treatment of human disease.

Medicine International

Medicine International

An International Open Access Journal Devoted to General Medicine.

Journal Cover
October-2017 Volume 14 Issue 4

Full Size Image

Sign up for eToc alerts
Recommend to Library

  • Article
  • Citations
    • Cite This Article
    • Download Citation
    • Create Citation Alert
    • Remove Citation Alert
    • Cited By
  • Similar Articles
    • Related Articles (in Spandidos Publications)
    • Similar Articles (Google Scholar)
    • Similar Articles (PubMed)
  • Download PDF
  • Download XML
  • View XML
Article Open Access

Mechanisms of inhibiting human leukemia cell lines by serum of rats treated with compound banmao capsule

  • Authors:
    • Li Li
    • Lixia Zhu
    • Jingjing Zhu
    • Xiaofen Fan
    • Xiujin Ye
  • View Affiliations / Copyright

    Affiliations: Department of Hematology, The First Affiliated Hospital, School of Medicine, Zhejiang University, Hangzhou, Zhejiang 310003, P.R. China, Department of Traditional Chinese Medicine, The First Affiliated Hospital, School of Medicine, Zhejiang University, Hangzhou, Zhejiang 310003, P.R. China
    Copyright: © Li et al. This is an open access article distributed under the terms of Creative Commons Attribution License.
  • Pages: 4092-4098
    |
    Published online on: July 28, 2017
       https://doi.org/10.3892/ol.2017.6688
  • Expand metrics +
Metrics: Total Views: 0 (Spandidos Publications: | PMC Statistics: )
Metrics: Total PDF Downloads: 0 (Spandidos Publications: | PMC Statistics: )
Cited By (CrossRef): 0 citations Loading Articles...

This article is mentioned in:



Abstract

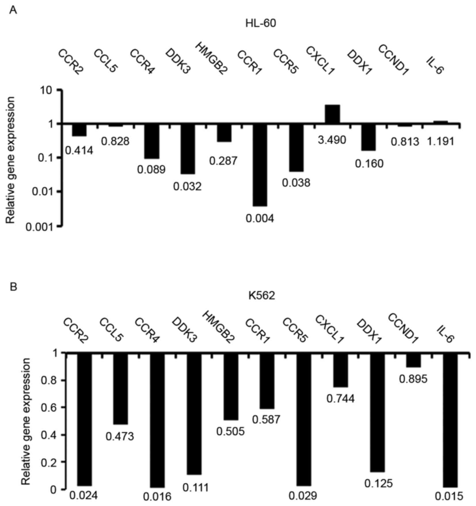
Compound banmao capsule (CBC) is a traditional Chinese medicinal formula composed of extracts from 11 organisms. The present study investigated the mechanism of CBC on the biological behavior of human leukemia cell lines using seropharmacological methods. CBC‑containing rat serum was prepared by intragastrical administration of CBC to rats. The proliferation of human leukemia HL60 and K562 cell lines was assayed by measuring cell viability with the 3-(4,5-dimethylthiazol-2-yl)-5-(3-carboxymethoxyphenyl)-2-(4-sulfophenyl)-2H-tetrazolium method, while cell cycle distribution and the rate of apoptosis were evaluated with flow cytometry. The mRNA expression of vascular endothelial growth factor A (VEGF‑A) and chemotactic and inflammatory genes in human leukemia cell lines was examined using reverse transcription quantitative‑polymerase chain reaction methods. It was revealed that the proliferation of K562 and HL60 cells was significantly inhibited by the CBC‑containing rat serum at 72 h. The CBC‑containing serum also promoted the apoptosis of K562 and HL60 cell lines. The CBC‑containing serum altered the cell cycle progression of K562 and HL60, increasing the proportion of the cells in G1 phase and decreasing the proportion of the cells in S phase. Attenuated expression of VEGF‑A and a decreasing trend in the expression of chemotactic and inflammatory genes were identified following treatment with CBC‑containing serum in HL60 and K562 cells. In conclusion, CBC‑containing serum exerted an inhibitory effect on the growth of K562 and HL60 cells by decreasing cellular proliferation, promoting apoptosis and cell cycle arrest, and decreasing the expression of VEGF‑A, and chemotactic and inflammatory genes.
View Figures

Figure 1

Figure 2

Figure 3

Figure 4

Figure 5

View References

1 

Vardiman JW: The World Health Organization (WHO) classification of tumors of the hematopoietic and lymphoid tissues: An overview with emphasis on the myeloid neoplasms. Chem Biol Interact. 184:16–20. 2010. View Article : Google Scholar : PubMed/NCBI

2 

Li FF, Yi S, Wen L, He J, Yang LJ, Zhao J, Zhang BP, Cui GH and Chen Y: Oridonin induces NPM mutant protein translocation and apoptosis in NPM1c+ acute myeloid leukemia cells in vitro. Acta Pharmacol Sin. 35:806–813. 2014. View Article : Google Scholar : PubMed/NCBI

3 

Hu XM, Yuan B, Tanaka S, Song MM, Onda K, Tohyama K, Zhou AX, Toyoda H and Hirano T: Arsenic disulfide-triggered apoptosis and erythroid differentiation in myelodysplastic syndrome and acute myeloid leukemia cell lines. Hematology. 19:352–360. 2014. View Article : Google Scholar : PubMed/NCBI

4 

Man S, Gao W, Wei C and Liu C: Anticancer drugs from traditional toxic Chinese medicines. Phytother Res. 26:1449–1465. 2012.PubMed/NCBI

5 

Liu D and Chen Z: The effects of cantharidin and cantharidin derivates on tumour cells. Anticancer Agents Med Chem. 9:392–396. 2009. View Article : Google Scholar : PubMed/NCBI

6 

Xu H, Wu Q, Peng C and Zhou L: Study on the antiviral activity of San Huang Yi Gan Capsule against hepatitis B virus with seropharmacological method. BMC Complement Altern Med. 13:2392013. View Article : Google Scholar : PubMed/NCBI

7 

Livak KJ and Schmittgen TD: Analysis of relative gene expression data using real-time quantitative PCR and the 2(−Delta Delta C(T)) Method. Methods. 25:402–408. 2001. View Article : Google Scholar : PubMed/NCBI

8 

Bochu W, Liancai Z and Qi C: Primary study on the application of Serum Pharmacology in Chinese traditional medicine. Colloids Surf B Biointerfaces. 43:194–197. 2005. View Article : Google Scholar : PubMed/NCBI

9 

Wu Q, Rong X, Huang P, Han J and Xu H: Study on inhibitory actions of san huang yi gan capsule (SHYGC) on HBeAg with seropharmacological method. Zhong Yao Cai. 23(2): 75–278. 2000.(In Chinese).

10 

Zhang YH, Liu JT, Wen BY and Liu N: Mechanisms of inhibiting proliferation of vascular smooth muscle cells by serum of rats treated with Dahuang Zhechong pill. J Ethnopharmacol. 124:125–129. 2009. View Article : Google Scholar : PubMed/NCBI

11 

Han SB, Yoon YD, Ahn HJ, Lee HS, Lee CW, Yoon WK, Park SK and Kim HM: Toll-like receptor-mediated activation of B cells and macrophages by polysaccharide isolated from cell culture of Acanthopanax senticosus. Int Immunopharmacol. 3:1301–1312. 2003. View Article : Google Scholar : PubMed/NCBI

12 

Wang GS: Medical uses of mylabris in ancient China and recent studies. J Ethnopharmacol. 26:147–162. 1989. View Article : Google Scholar : PubMed/NCBI

13 

Tagwireyi D, Ball DE, Loga PJ and Moyo S: Cantharidin poisoning due to ‘Blister beetle’ ingestion. Toxicon. 38:1865–1869. 2000. View Article : Google Scholar : PubMed/NCBI

14 

Graziano MJ, Pessah IN, Matsuzawa M and Casida JE: Partial characterization of specific cantharidin binding sites in mouse tissues. Mol Pharmacol. 33:706–712. 1988.PubMed/NCBI

15 

Peng F, Wei YQ, Tian L, Yang L, Zhao X, Lu Y, Mao YQ, Kan B, Lei S, Wang GS, et al: Induction of apoptosis by norcantharidin in human colorectal carcinoma cell lines: Involvement of the CD95 receptor/ligand. J Cancer Res Clin Oncol. 128:223–230. 2002. View Article : Google Scholar : PubMed/NCBI

16 

Huang Y, Liu Q, Liu K, Yagasaki K and Zhang G: Suppression of growth of highly-metastatic human breast cancer cells by norcantharidin and its mechanisms of action. Cytotechnology. 59:2092009. View Article : Google Scholar : PubMed/NCBI

17 

Fan YZ, Fu JY, Zhao ZM and Chen CQ: Inhibitory effect of norcantharidin on the growth of human gallbladder carcinoma GBC-SD cells in vitro. Hepatobiliary Pancreat Dis Int. 6:72–80. 2007.PubMed/NCBI

18 

Huan SK, Lee HH, Liu DZ, Wu CC and Wang CC: Cantharidin-induced cytotoxicity and cyclooxygenase 2 expression in human bladder carcinoma cell line. Toxicology. 223:136–143. 2006. View Article : Google Scholar : PubMed/NCBI

19 

Dorn DC, Kou CA, Png KJ and Moore MA: The effect of cantharidins on leukemic stem cells. Int J Cancer. 124:2186–2199. 2009. View Article : Google Scholar : PubMed/NCBI

20 

Yi SN, Wass J, Vincent P and Iland H: Inhibitory effect of norcantharidin on K562 human myeloid leukemia cells in vitro. Leuk Res. 15:883–886. 1991. View Article : Google Scholar : PubMed/NCBI

21 

Schmeda-Hirschmann G, Villaseñor-García MM, Lozoya X and Puebla-Pérez AM: Immunomodulatory activity of Chilean Cyttaria species in mice with L5178Y lymphoma. J Ethnopharmacol. 77:253–257. 2001. View Article : Google Scholar : PubMed/NCBI

22 

Schmolz MW, Sacher F and Aicher B: The synthesis of Rantes, G-CSF, IL-4, IL-5, IL-6, IL-12 and IL-13 in human whole-blood cultures is modulated by an extract from Eleutherococcus senticosus L. roots. Phytother Res. 15:268–270. 2001. View Article : Google Scholar : PubMed/NCBI

23 

Jeong HJ, Koo HN, Myung NI, Shin MK, Kim JW, Kim DK, Kim KS, Kim HM and Lee YM: Inhibitory effects of mast cell-mediated allergic reactions by cell cultured Siberian Ginseng. Immunopharmacol Immunotoxicol. 23:107–117. 2001. View Article : Google Scholar : PubMed/NCBI

24 

Yi JM, Kim MS, Seo SW, Lee KN, Yook CS and Kim HM: Acanthopanax senticosus root inhibits mast cell-dependent anaphylaxis. Clin Chim Acta. 312:163–168. 2001. View Article : Google Scholar : PubMed/NCBI

25 

Yoon TJ, Yoo YC, Lee SW, Shin KS, Choi WH, Hwang SH, Ha ES, Jo SK, Kim SH and Park WM: Anti-metastatic activity of Acanthopanax senticosus extract and its possible immunological mechanism of action. J Ethnopharmacol. 93:247–253. 2004. View Article : Google Scholar : PubMed/NCBI

26 

Wang Q, Wang Y, Liu R, Yan X, Li Y, Fu H, Bi K and Li Q: Comparison of the effects of Mylabris and Acanthopanax senticosus on promising cancer marker polyamines in plasma of a Hepatoma-22 mouse model using HPLC-ESI-MS. Biomed Chromatogr. 27:208–215. 2013. View Article : Google Scholar : PubMed/NCBI

27 

Chang C, Zhu YQ, Mei JJ, Liu SQ and Luo J: Involvement of mitochondrial pathway in NCTD-induced cytotoxicity in human hepG2 cells. J Exp Clin Cancer Res. 29:1452010. View Article : Google Scholar : PubMed/NCBI

28 

Zheng LH, Bao YL, Wu Y, Yu CL, Meng X and Li YX: Cantharidin reverses multidrug resistance of human hepatoma HepG2/ADM cells via down-regulation of P-glycoprotein expression. Cancer Lett. 272:102–109. 2008. View Article : Google Scholar : PubMed/NCBI

29 

Avramis IA, Kwock R and Avramis VI: Taxotere and vincristine inhibit the secretion of the angiogenesis inducing vascular endothelial growth factor (VEGF) by wild-type and drug-resistant human leukemia T-cell lines. Anticancer Res. 21:2281–2286. 2001.PubMed/NCBI

30 

Katoh O, Tauchi H, Kawaishi K, Kimura A and Satow Y: Expression of the vascular endothelial growth factor (VEGF) receptor gene, KDR, in hematopoietic cells and inhibitory effect of VEGF on apoptotic cell death caused by ionizing radiation. Cancer Res. 55:5687–5692. 1995.PubMed/NCBI

31 

Ye X, Wang LJ, Lin MF and Ding W: The clinical significance of angiogenesis in the bone marrow of acute leukemia patients. Zhonghua Nei Ke Za Zhi. 42:486–489. 2003.(In Chinese). PubMed/NCBI

32 

Ye XJ and Lin MF: Homoharringtonine induces apoptosis of endothelium and down-regulates VEGF expression of K562 cells. J Zhejiang Univ Sci. 5:230–234. 2004. View Article : Google Scholar : PubMed/NCBI

33 

Aggarwal BB, Shishodia S, Sandur SK, Pandey MK and Sethi G: Inflammation and cancer: How hot is the link? Biochem Pharmacol. 72:1605–1621. 2006. View Article : Google Scholar : PubMed/NCBI

34 

Gasparini C, Celeghini C, Monasta L and Zauli G: NF-κB pathways in hematological malignancies. Cell Mol Life Sci. 71:2083–2102. 2014. View Article : Google Scholar : PubMed/NCBI

35 

Candido J and Hagemann T: Cancer-related inflammation. J Clin Immunol. 33:(Suppl 1). S79–S84. 2013. View Article : Google Scholar : PubMed/NCBI

Related Articles

  • Abstract
  • View
  • Download
  • Twitter
Copy and paste a formatted citation
Spandidos Publications style
Li L, Zhu L, Zhu J, Fan X and Ye X: Mechanisms of inhibiting human leukemia cell lines by serum of rats treated with compound banmao capsule. Oncol Lett 14: 4092-4098, 2017.
APA
Li, L., Zhu, L., Zhu, J., Fan, X., & Ye, X. (2017). Mechanisms of inhibiting human leukemia cell lines by serum of rats treated with compound banmao capsule. Oncology Letters, 14, 4092-4098. https://doi.org/10.3892/ol.2017.6688
MLA
Li, L., Zhu, L., Zhu, J., Fan, X., Ye, X."Mechanisms of inhibiting human leukemia cell lines by serum of rats treated with compound banmao capsule". Oncology Letters 14.4 (2017): 4092-4098.
Chicago
Li, L., Zhu, L., Zhu, J., Fan, X., Ye, X."Mechanisms of inhibiting human leukemia cell lines by serum of rats treated with compound banmao capsule". Oncology Letters 14, no. 4 (2017): 4092-4098. https://doi.org/10.3892/ol.2017.6688
Copy and paste a formatted citation
x
Spandidos Publications style
Li L, Zhu L, Zhu J, Fan X and Ye X: Mechanisms of inhibiting human leukemia cell lines by serum of rats treated with compound banmao capsule. Oncol Lett 14: 4092-4098, 2017.
APA
Li, L., Zhu, L., Zhu, J., Fan, X., & Ye, X. (2017). Mechanisms of inhibiting human leukemia cell lines by serum of rats treated with compound banmao capsule. Oncology Letters, 14, 4092-4098. https://doi.org/10.3892/ol.2017.6688
MLA
Li, L., Zhu, L., Zhu, J., Fan, X., Ye, X."Mechanisms of inhibiting human leukemia cell lines by serum of rats treated with compound banmao capsule". Oncology Letters 14.4 (2017): 4092-4098.
Chicago
Li, L., Zhu, L., Zhu, J., Fan, X., Ye, X."Mechanisms of inhibiting human leukemia cell lines by serum of rats treated with compound banmao capsule". Oncology Letters 14, no. 4 (2017): 4092-4098. https://doi.org/10.3892/ol.2017.6688
Follow us
  • Twitter
  • LinkedIn
  • Facebook
About
  • Spandidos Publications
  • Careers
  • Cookie Policy
  • Privacy Policy
How can we help?
  • Help
  • Live Chat
  • Contact
  • Email to our Support Team