Spandidos Publications Logo
  • About
    • About Spandidos
    • Aims and Scopes
    • Abstracting and Indexing
    • Editorial Policies
    • Reprints and Permissions
    • Job Opportunities
    • Terms and Conditions
    • Contact
  • Journals
    • All Journals
    • Oncology Letters
      • Oncology Letters
      • Information for Authors
      • Editorial Policies
      • Editorial Board
      • Aims and Scope
      • Abstracting and Indexing
      • Bibliographic Information
      • Archive
    • International Journal of Oncology
      • International Journal of Oncology
      • Information for Authors
      • Editorial Policies
      • Editorial Board
      • Aims and Scope
      • Abstracting and Indexing
      • Bibliographic Information
      • Archive
    • Molecular and Clinical Oncology
      • Molecular and Clinical Oncology
      • Information for Authors
      • Editorial Policies
      • Editorial Board
      • Aims and Scope
      • Abstracting and Indexing
      • Bibliographic Information
      • Archive
    • Experimental and Therapeutic Medicine
      • Experimental and Therapeutic Medicine
      • Information for Authors
      • Editorial Policies
      • Editorial Board
      • Aims and Scope
      • Abstracting and Indexing
      • Bibliographic Information
      • Archive
    • International Journal of Molecular Medicine
      • International Journal of Molecular Medicine
      • Information for Authors
      • Editorial Policies
      • Editorial Board
      • Aims and Scope
      • Abstracting and Indexing
      • Bibliographic Information
      • Archive
    • Biomedical Reports
      • Biomedical Reports
      • Information for Authors
      • Editorial Policies
      • Editorial Board
      • Aims and Scope
      • Abstracting and Indexing
      • Bibliographic Information
      • Archive
    • Oncology Reports
      • Oncology Reports
      • Information for Authors
      • Editorial Policies
      • Editorial Board
      • Aims and Scope
      • Abstracting and Indexing
      • Bibliographic Information
      • Archive
    • Molecular Medicine Reports
      • Molecular Medicine Reports
      • Information for Authors
      • Editorial Policies
      • Editorial Board
      • Aims and Scope
      • Abstracting and Indexing
      • Bibliographic Information
      • Archive
    • World Academy of Sciences Journal
      • World Academy of Sciences Journal
      • Information for Authors
      • Editorial Policies
      • Editorial Board
      • Aims and Scope
      • Abstracting and Indexing
      • Bibliographic Information
      • Archive
    • International Journal of Functional Nutrition
      • International Journal of Functional Nutrition
      • Information for Authors
      • Editorial Policies
      • Editorial Board
      • Aims and Scope
      • Abstracting and Indexing
      • Bibliographic Information
      • Archive
    • International Journal of Epigenetics
      • International Journal of Epigenetics
      • Information for Authors
      • Editorial Policies
      • Editorial Board
      • Aims and Scope
      • Abstracting and Indexing
      • Bibliographic Information
      • Archive
    • Medicine International
      • Medicine International
      • Information for Authors
      • Editorial Policies
      • Editorial Board
      • Aims and Scope
      • Abstracting and Indexing
      • Bibliographic Information
      • Archive
  • Articles
  • Information
    • Information for Authors
    • Information for Reviewers
    • Information for Librarians
    • Information for Advertisers
    • Conferences
  • Language Editing
Spandidos Publications Logo
  • About
    • About Spandidos
    • Aims and Scopes
    • Abstracting and Indexing
    • Editorial Policies
    • Reprints and Permissions
    • Job Opportunities
    • Terms and Conditions
    • Contact
  • Journals
    • All Journals
    • Biomedical Reports
      • Information for Authors
      • Editorial Policies
      • Editorial Board
      • Aims and Scope
      • Abstracting and Indexing
      • Bibliographic Information
      • Archive
    • Experimental and Therapeutic Medicine
      • Information for Authors
      • Editorial Policies
      • Editorial Board
      • Aims and Scope
      • Abstracting and Indexing
      • Bibliographic Information
      • Archive
    • International Journal of Epigenetics
      • Information for Authors
      • Editorial Policies
      • Editorial Board
      • Aims and Scope
      • Abstracting and Indexing
      • Bibliographic Information
      • Archive
    • International Journal of Functional Nutrition
      • Information for Authors
      • Editorial Policies
      • Editorial Board
      • Aims and Scope
      • Abstracting and Indexing
      • Bibliographic Information
      • Archive
    • International Journal of Molecular Medicine
      • Information for Authors
      • Editorial Policies
      • Editorial Board
      • Aims and Scope
      • Abstracting and Indexing
      • Bibliographic Information
      • Archive
    • International Journal of Oncology
      • Information for Authors
      • Editorial Policies
      • Editorial Board
      • Aims and Scope
      • Abstracting and Indexing
      • Bibliographic Information
      • Archive
    • Medicine International
      • Information for Authors
      • Editorial Policies
      • Editorial Board
      • Aims and Scope
      • Abstracting and Indexing
      • Bibliographic Information
      • Archive
    • Molecular and Clinical Oncology
      • Information for Authors
      • Editorial Policies
      • Editorial Board
      • Aims and Scope
      • Abstracting and Indexing
      • Bibliographic Information
      • Archive
    • Molecular Medicine Reports
      • Information for Authors
      • Editorial Policies
      • Editorial Board
      • Aims and Scope
      • Abstracting and Indexing
      • Bibliographic Information
      • Archive
    • Oncology Letters
      • Information for Authors
      • Editorial Policies
      • Editorial Board
      • Aims and Scope
      • Abstracting and Indexing
      • Bibliographic Information
      • Archive
    • Oncology Reports
      • Information for Authors
      • Editorial Policies
      • Editorial Board
      • Aims and Scope
      • Abstracting and Indexing
      • Bibliographic Information
      • Archive
    • World Academy of Sciences Journal
      • Information for Authors
      • Editorial Policies
      • Editorial Board
      • Aims and Scope
      • Abstracting and Indexing
      • Bibliographic Information
      • Archive
  • Articles
  • Information
    • For Authors
    • For Reviewers
    • For Librarians
    • For Advertisers
    • Conferences
  • Language Editing
Login Register Submit
  • This site uses cookies
  • You can change your cookie settings at any time by following the instructions in our Cookie Policy. To find out more, you may read our Privacy Policy.

    I agree
Search articles by DOI, keyword, author or affiliation
Search
Advanced Search
presentation
Oncology Letters
Join Editorial Board Propose a Special Issue
Print ISSN: 1792-1074 Online ISSN: 1792-1082
Journal Cover
September-2018 Volume 16 Issue 3

Full Size Image

Sign up for eToc alerts
Recommend to Library

Journals

International Journal of Molecular Medicine

International Journal of Molecular Medicine

International Journal of Molecular Medicine is an international journal devoted to molecular mechanisms of human disease.

International Journal of Oncology

International Journal of Oncology

International Journal of Oncology is an international journal devoted to oncology research and cancer treatment.

Molecular Medicine Reports

Molecular Medicine Reports

Covers molecular medicine topics such as pharmacology, pathology, genetics, neuroscience, infectious diseases, molecular cardiology, and molecular surgery.

Oncology Reports

Oncology Reports

Oncology Reports is an international journal devoted to fundamental and applied research in Oncology.

Experimental and Therapeutic Medicine

Experimental and Therapeutic Medicine

Experimental and Therapeutic Medicine is an international journal devoted to laboratory and clinical medicine.

Oncology Letters

Oncology Letters

Oncology Letters is an international journal devoted to Experimental and Clinical Oncology.

Biomedical Reports

Biomedical Reports

Explores a wide range of biological and medical fields, including pharmacology, genetics, microbiology, neuroscience, and molecular cardiology.

Molecular and Clinical Oncology

Molecular and Clinical Oncology

International journal addressing all aspects of oncology research, from tumorigenesis and oncogenes to chemotherapy and metastasis.

World Academy of Sciences Journal

World Academy of Sciences Journal

Multidisciplinary open-access journal spanning biochemistry, genetics, neuroscience, environmental health, and synthetic biology.

International Journal of Functional Nutrition

International Journal of Functional Nutrition

Open-access journal combining biochemistry, pharmacology, immunology, and genetics to advance health through functional nutrition.

International Journal of Epigenetics

International Journal of Epigenetics

Publishes open-access research on using epigenetics to advance understanding and treatment of human disease.

Medicine International

Medicine International

An International Open Access Journal Devoted to General Medicine.

Journal Cover
September-2018 Volume 16 Issue 3

Full Size Image

Sign up for eToc alerts
Recommend to Library

  • Article
  • Citations
    • Cite This Article
    • Download Citation
    • Create Citation Alert
    • Remove Citation Alert
    • Cited By
  • Similar Articles
    • Related Articles (in Spandidos Publications)
    • Similar Articles (Google Scholar)
    • Similar Articles (PubMed)
  • Download PDF
  • Download XML
  • View XML
Article

Anticancer effect of resibufogenin on gastric carcinoma cells through the phosphoinositide 3‑kinase/protein kinase B/glycogen synthase kinase 3β signaling pathway

  • Authors:
    • Zhen Lu
    • Aman Xu
    • Xiao Yuan
    • Kaiwei Chen
    • Likun Wang
    • Tao Guo
  • View Affiliations / Copyright

    Affiliations: Department of General Surgery, The Fourth Affiliated Hospital of Anhui Medical University, Hefei, Anhui 230022, P.R. China
  • Pages: 3297-3302
    |
    Published online on: June 18, 2018
       https://doi.org/10.3892/ol.2018.8979
  • Expand metrics +
Metrics: Total Views: 0 (Spandidos Publications: | PMC Statistics: )
Metrics: Total PDF Downloads: 0 (Spandidos Publications: | PMC Statistics: )
Cited By (CrossRef): 0 citations Loading Articles...

This article is mentioned in:



Abstract

The aim of the present study was to investigate the anticancer effect of resibufogenin in gastric carcinoma cells through the phosphoinositide 3‑kinase (PI3K)/protein kinase B (AKT)/glycogen synthase kinase 3β (GSK3β) signaling pathway. MGC‑803 cells were treated with 0, 1, 2, 4 and 8 µM resibufogenin for 12, 24 and 48 h. Cell viability and apoptosis were measured using an MTT assay and annexin V staining. Caspase‑3 and caspase‑8 activity were identified using caspase‑3 and caspase‑8 activity kits and a variety of protein expression [B cell lymphoma (Bcl)‑2, Bcl‑2‑associated X protein (Bax), cyclin D1, cyclin E, PI3K, phosphorylated AKT, phosphorylated GSK3β and β‑catenin] were quantified using western blot analysis. It was revealed that resibufogenin effectively inhibited cell proliferation, and induced apoptosis and caspase‑3 and caspase‑8 activity in MGC‑803 cells. Furthermore, treatment with resibufogenin effectively increased Bax/Bcl‑2 expression, and suppressed cyclin D1, cyclin E, PI3K, phosphorylated AKT, phosphorylated GSK3β and β‑catenin protein expression in MGC‑803 cells. These results suggest that the anticancer effect of resibufogenin induces gastric carcinoma cell death through the PI3K/AKT/GSK3β signaling pathway, offering a novel view of the mechanism by which resibufogenin functions as an agent to treat gastric carcinoma.

Introduction

Gastric cancer is a malignant tumor that has a marked impact on human health: There were 989,600 novel cases of gastric cancer in 2012 globally and 738,000 mortalities owing to gastric cancer, ranking fourth in cancer incidence and second in mortality rate (1). China is a country with high incidence of gastric cancer, with 42% of patients with gastric cancer worldwide being in China (2). The third nationwide retrospective sample survey revealed that gastric cancer is the third most common cause of cancer-associated mortality; since the census is not yet universal, ~30% of patients with stomach cancer are at locally advanced stage, 30% are subject to distant metastasis at the time of diagnosis, and the remaining 40% are resectable, among which 60% may experience relapse or metastasis. Therefore, ~84% of patients with gastric cancer eventually become advanced (3).

Following research into human cancer, an increasing number of drugs are being developed to target tumor characteristics and are being applied clinically as molecularly targeted therapies (4). In advanced gastric cancer, there has been progress in the research and application of molecular targeted drugs (5). Subsequently, clinical studies on targeted drugs alone, including anti-human epidermal growth factor-2, -epidermal growth factor receptor, -MET and -phosphoinositide 3-kinase (PI3K)/protein kinase B (AKT)/mechanistic target of rapamycin signaling pathways as well as anti-angiogenesis, or in combination with chemotherapy for advanced gastric cancer have been reported (5,6).

Gastric cancer is a common cancer of the digestive system, of which the prognosis is poor when metastasis occurs in patients (7). Gastric cancer is associated with the inactivation of tumor suppressor genes (7). Recent studies have demonstrated that the Wnt signaling pathway is abnormally activated in certain types of cancer (7,8). Glycogen synthase kinase-3β (GSK3β) is an important molecule involved in the Wnt signaling pathway, which is a serine/threonine kinase involved in the regulation of microtubule dynamics, proliferation, apoptosis, angiogenesis and cell motility, as well as other functions (9). GSK3β acts on substrates including oncogenic transcription factors and oncoproteins, to participate in the occurrence of certain tumors, and, for example, the inactivation of GSK3β phosphorylation results in the inhibition of GSK3β activity and the expression induces epithelial-mesenchymal transition, participating in tumor invasion and metastasis (9).

Resibufogenin is a commonly used natural medicinal ingredient, extracted from the dried secretions of the Asiatic toad Bufo gargarizans, which is involved in a variety of biological activities, including analgesia, anti-inflammation, anesthesia, as well as anticancer, anti-radiation, cardiac protection, etc (10). Therefore, it has important clinical value of medical treatment. It has been demonstrated that the traditional Chinese medicine Venenum Bufonis exhibits pharmacological activity in the clinical treatment of malignant tumors, prompting it to be of interest for further research (11). According to the anticancer activity of Venenum Bufonis, a variety of active ingredients have been isolated (12). As one of the active ingredients in Venenum Bufonis, resibufogenin, the natural medicine monomeric molecule, is hypothesized to induce the apoptosis of and inhibit the proliferation of tumor cells (13). In the present study, the anticancer effect of resibufogenin induced in gastric carcinoma cells and potential underlying molecular mechanisms were investigated.

Materials and methods

Cell culture

Human gastric carcinoma MGC-803 cells were maintained and cultured in Dulbecco's modified Eagle's medium (Gibco; Thermo Fisher Scientific, Inc., Waltham, MA, USA) supplemented with 10% fetal bovine serum (Gibco; Thermo Fisher Scientific, Inc.), 2 mmol/l glutamine, 100 U/ml penicillin and 100 µg/ml streptomycin, and cultured at 37°C in a humidified atmosphere containing 5% CO2. Resibufogenin was purchased from Sigma-Aldrich; Merck KGaA (Darmstadt, Germany), and its structural formula is presented in Fig. 1.

Figure 1.

Chemical structure of resibufogenin.

Cell viability assay

The effects of resibufogenin on the proliferation of MGC-803 cells were determined using an MTT assay. MGC-803 cells were seeded in 96-well plates (1×104 cells/well) and then treated with 0, 1, 2, 4 and 8 µM resibufogenin for 12, 24 and 48 h at 37°C. MTT was then added to the cells for another 4 h. Culture medium was removed and MTT formazan crystals were dissolved with dimethylsulfoxide. The viability of MGC-803 cells was determined at 490 nm using a microplate reader.

Determination of apoptosis using annexin V staining

The effects of resibufogenin on the apoptosis of MGC-803 cells were determined with annexin V staining. MGC-803 cells were seeded in 6-well plates (1×106 cells/well) and then treated with 0, 2, 4 and 8 µM resibufogenin for 48 h at 37°C. Cells were resuspended in binding buffer (BD Biosciences, Franklin Lakes, NJ, USA) and stained with 5 µl annexin V-fluorescein isothiocyanate in darkness for 30 min at room temperature. Subsequently, 1 µl propidium iodide was added to 100 µl samples from each of the cell suspensions in darkness for 10 min at room temperature. The stained cells were measured using flow cytometry on a FACSCalibur instrument (v6, BD Biosciences).

Determining caspase-3 and caspase-8 activity using caspase activity kits

The effects of resibufogenin on caspase-3 and caspase-8 activity in MGC-803 cells were determined using caspase activity kits. MGC-803 cells were seeded in 96-well plates (1×104 cells/well) and treated with 0, 2, 4 and 8 µM resibufogenin for 48 h. N-acetyl (Ac)-Asp-Glu-Val-Asp-p-nitroanilide (pNA; C1116; Caspase 3 Activity Assay kit, Beyotime Institute of Biotechnology) and Ac-Ile-Glu-Thr-Asp-pNA (Caspase 8 Activity Assay kit, cat. no. C1152; Beyotime Institute of Biotechnology) were added to the cells and incubated for 1 h at 37°C. Caspase-3 and caspase-8 activity were measured at 490 nm using a microplate reader.

Western blot analysis

Cells were lysed in buffer radioimmunoprecipitation assay lysis buffer (Beyotime Institute of Biotechnology, Haimen, China) for 30 min at 4°C. Protein content was measured using bicinchoninic acid (Beyotime Institute of Biotechnology). Proteins (50 µg) in resulting cell lysates were separated by SDS-PAGE (8–10% gel) and electrotransferred onto polyvinylidene difluoride membranes. Following blocking with 5% nonfat dry milk in TBS containing 0.1% Tween-20 for 1 h at 37°C, membranes were incubated with anti-Bax (cat. no. 5023, 1:2,000, Cell Signaling Technology, Inc., Danvers, MA, USA), anti-Bcl-2 (cat. no. 3498, 1:2,000, Cell Signaling Technology, Inc.), anti-cyclin D1 (cat. no. 2978, 1:2,000, Cell Signaling Technology, Inc.), anti-cyclin E (cat. no. 4132, 1:2,000, Cell Signaling Technology, Inc.), anti-AKT (cat. no. 4685, 1:2,000, Cell Signaling Technology, Inc.), anti-p-AKT (cat. no. 4060, 1:2,000, Cell Signaling Technology, Inc.), anti-p-GSK3β (cat. no. 12456, 1:2,000, Cell Signaling Technology, Inc.), anti-β-catenin (cat. no. 8480, 1:2,000, Cell Signaling Technology, Inc.) and anti-GAPDH (cat. no. 5174, 1:5,000, Cell Signaling Technology, Inc.) antibodies at 4°C overnight. Following washing with TBS containing 0.1% Tween-20, membranes were incubated with horseradish peroxidase-conjugated anti-rabbit immunoglobulin G secondary antibody (cat. no. A0545; 1:40,000; Sigma-Aldrich; Merck KGaA) for 1 h at 37°C and subsequently visualized with an enhanced chemiluminescence detection system (ECL2 Western Blotting substrate; Pierce; Thermo Fisher Scientific, Inc.).

Statistical analysis

All data are expressed as the mean ± standard deviation. Statistical analysis of the data was performed using analysis of variance and Tukey's post-hoc test for comparison between treatments and controls. P<0.05 was considered to indicate a statistically significant difference.

Results

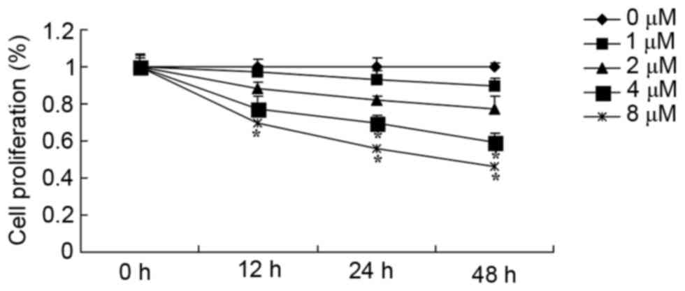
Resibufogenin inhibits the growth of gastric carcinoma cells

Results presented in Fig. 2 reveal that resibufogenin inhibited cell proliferation of MGC-803 cell in a time- and dose-dependent manner. Following resibufogenin treatment for 24 and 48 h, 4 and 8 µM resibufogenin effectively inhibited the viability of MGC-803 cells; treatment with 8 µM resibufogenin for 12 h effectively inhibited the viability of MGC-803 cells. Resibufogenin groups were compared with the untreated control.

Figure 2.

Resibufogenin inhibits the growth of gastric carcinoma cells. *P<0.01 vs. control group.

Resibufogenin induces apoptosis of gastric carcinoma cells

To investigate the anticancer effect of resibufogenin on the apoptosis of gastric carcinoma cells, the apoptotic rate was determined using flow cytometry following annexin V staining. Fig. 3 revealed that 4 and 8 µM resibufogenin significantly induced apoptosis of MGC-803 cells at 48 h, compared with the untreated control.

Figure 3.

Resibufogenin induces apoptosis of gastric carcinoma cells. *P<0.01 vs. control group. FCM, flow cytometry.

Resibufogenin induces caspase-3 and caspase-8 activity of gastric carcinoma cells

The molecular mechanism of apoptosis in the anticancer effect of resibufogenin was investigated in MGC-803 cells. Caspase-3 and caspase-8 activity of MGC-803 cell were determined using commercial kits. Fig. 4 indicated that 4 and 8 µM resibufogenin significantly increased caspase-3 and caspase-8 activity of MGC-803 cell at 48 h, compared with the untreated control.

Figure 4.

Resibufogenin induces (A) caspase-3 and (B) caspase-8 activity of gastric carcinoma cells. *P<0.01 vs. control group.

Resibufogenin increases Bax/Bcl-2, and inhibited cyclin D1 and cyclin E protein expression in gastric carcinoma cells

The mechanism of apoptosis in the anticancer effect of resibufogenin was investigated in MGC-803 cells. Bax and Bcl-2 protein expression were measured using western blot analysis. The results demonstrated that Bax protein expression was significantly induced and Bcl-2 protein expression was significantly suppressed by treatment with 4 and 8 µM resibufogenin at 48 h, compared with the untreated control (Fig. 5A and B). The results from western blot analysis revealed that cyclin D1 and cyclin E protein expression was significantly suppressed following treatment with 4 and 8 µM resibufogenin at 48 h, compared with the untreated control (Fig. 5A, C and D).

Figure 5.

Resibufogenin increases Bax/Bcl-2, and inhibited cyclin D1 and cyclin E protein expression in gastric carcinoma cells. (A) Western blot analysis of Bax, Bcl-2, cyclin D1 and cyclin E protein expression in gastric carcinoma cells. Quantification of (B) Bax/Bcl-2 ratio, (C) cyclin D1 and (D) cyclin E protein expression. *P<0.01 vs. control group. Bcl-2, B cell lymphoma 2; Bax, Bcl-2-associated X protein.

Resibufogenin suppresses AKT/p-AKT, p-GSK3β and β-catenin protein expression in gastric carcinoma cells

AKT/p-AKT protein expression of gastric carcinoma cell was investigated using western blot analysis. Resibufogenin treatment at 4 and 8 µM significantly decreased p-AKT, p-GSK3β and β-catenin protein expression in MGC-803 cell at 48 h, compared with the untreated control, respectively (Fig. 6).

Figure 6.

Resibufogenin suppresses AKT/p-AKT, p-GSK3β and β-catenin protein expression in gastric carcinoma cells. (A) Western blot analysis of p-AKT, p-GSK3β and β-catenin in gastric carcinoma cells. Quantification of (B) p-AKT, (C) p-GSK3β and (D) β-catenin protein expression. *P<0.01 vs. control group. p-AKT, phosphorylated protein kinase B, p-GSK3β, phosphorylated glycogen synthase kinase 3β.

Discussion

Gastric cancer is the most common gastrointestinal malignant tumor with the most associated mortalities owing to its strong local invasiveness and easy metastasis (14). The pathogenesis of gastric cancer is complex as a result of multiple factors, multiple genes and multiple stages, and in which the cell signal transduction pathway serves an important function in its occurrence and development (15). The results of the present study demonstrated for the first time, to the best of our knowledge, that resibufogenin, a component of the traditional Chinese medicine Venenum Bufonis, inhibited viability and induced apoptosis in MGC-803 cells. Ichikawa et al (16) demonstrated that resibufogenin induces apoptosis of human malignant tumor cells.

The caspase family has >10 members which are among the most important factors in the apoptotic process (17). The members of the caspase family serve distinct functions in the apoptotic pathway, in which caspase-2, −8, −9 and −10 are primarily involved in the initiation of apoptosis (17). Caspase-3, −6 and −7 may be combined with a variety of substrates for hydrolysis, leading to chromatin condensation and nuclear disintegration, and are therefore apoptosis executioner proteins (18). Currently, there are two pathways to trigger apoptosis, namely the extrinsic pathway and the intrinsic pathway. The intrinsic pathway is closely associated with the development of tumor cells (18). The mitochondria undergo a series of changes in the intrinsic pathway, including the change in mitochondrial membrane permeability, the damage to the energy metabolic pathway, the release of cytochrome c, the activation of caspase family, which cause the cascade reaction mediated by caspase-9 and other key enzymes downstream. In addition, the mitochondria may promote apoptosis by generating free radicals, including reactive oxygen species (13). In the present study, resibufogenin was identified to induce caspase-3 and caspase-8 activity in MGC-803 cells. This suggests that caspase activity is associated with the anticancer effect of resibufogenin in gastric carcinoma.

As aforementioned, caspase-3 induces apoptosis. In addition, growth factors may also mediate mitochondrial apoptotic pathway through the PI3K/AKT signaling pathway (19) in which growth factors identify and bind with its receptor, to activate PI3K (20). The activated PI3K activates AKT (20), which is an important factor in the regulation of Bcl-2-associated agonist of cell death (BAD) protein, an important member of the Bcl-2 family, involved in mitochondrial apoptosis (21). In addition, protein kinase C inhibits BAD, thus serving an important regulatory function in apoptosis (22). The results of the present study suggest that resibufogenin treatment significantly decreases p-AKT protein expression in MGC-803 cells and that the growth suppression and cell death induced by resibufogenin may occur despite the decrease in p-AKT expression.

Following various types of cell stress signal, the pro-apoptotic proteins in the Bcl-2 gene family are activated and interact with anti-apoptotic proteins to inactivate the cell (8). The anti-apoptotic and pro-apoptotic members in the Bcl-2 family proteins possess conserved α-helix and homologous domains (23). When the mitochondria initiate apoptosis, the Bax protein family members are located downstream of the apoptotic signaling pathways, and Bcl homology (BH)3 domain-specific proteins act upstream of the signaling pathway (24). Anti-apoptotic members of Bcl-2 family, such as Bcl-2 and Bcl-XL, contain homologous sequences BH1-BH4 (23). The interactions between anti- and pro-apoptotic proteins undermine the stability of the mitochondrial membrane, causing the release of apoptotic factors from the mitochondria into the cytoplasm (24). In the present study, it was revealed that resibufogenin significantly induced Bax/Bcl-2 protein expression in MGC-803 cells. Therefore, the effects of resibufogenin on Bax/Bcl-2 may be useful to the regulation of the anticancer effect on gastric carcinoma.

The Bcl-2 signaling pathway is also known as the mitochondrial apoptosis pathway. Bcl-2 is widely present in normal tissue and embryonic tissue cells, including nerve cells, skin cells, and embryonic kidney cells and cartilage. The Bcl-2 family serves an important function in apoptosis. Bcl-2 itself is able to block or delay the apoptosis induced by a variety of chemotherapeutic drugs by blocking the apoptosis signal transduction system. Wang et al (25) reported that resibufogenin inhibited cell proliferation by inducing the apoptosis of HepG2 cells by regulation of the Bax/Bcl-2 ratio. Therefore, Bcl-2 gene is also a survival gene.

A previous study demonstrated that the classical Wnt signaling pathway serves an important regulatory function in the cell proliferation, differentiation and migration, which are associated with a number of tumors with high incidence, such as gastric cancer (7). GSK3β is a type of multifunctional serine/threonine protein kinase (7). A previous study identified that GSK3β is one of the major rate-limiting enzymes involved in glucose metabolism, which is able to phosphorylate glycogen synthase and inhibit glycogen synthesis (26). A subsequent study demonstrated that GSK3β participates in important physiological processes including cell differentiation, proliferation and apoptosis, in addition to glucose metabolism (26). As an important molecule of multimeric protein complex adenomatous polyposis coli (APC)/GSK3β/β-catenin in the classical Wnt signaling pathway, it serves a key function to phosphorylate serine/threonine residues at the N-terminus of β-catenin, to regulate β-catenin by forming a degradation complex with axin and APC (27). It has been reported that GSK3β is overexpressed in a variety of tumor tissues, including kidney, colon and gastric cancer (26). In the present study, resibufogenin significantly suppressed p-GSK3β protein expression of MGC-803 cells. Ichikawa et al (16) demonstrated that resibufogenin induces apoptosis of human malignant tumor cells through the degradation of cyclin D1 caused by the activation of GSK-3β. The results of the present study suggest that GSK3β expression may be involved in overcoming the anticancer effect of resibufogenin on gastric carcinoma cells.

As a cell cycle regulation factor, cyclin D1 is an important target gene of the classical Wnt signaling pathway (28). A previous study demonstrated that cyclin D1 is overexpressed in gastric cancer; following the introduction of an antisense oligonucleotide probe to the gastric cancer cells of nude mice, cancer cell growth was markedly controlled following cyclin D1 inhibition and eventual loss of tumorigenicity (28). Cyclin D1 expression and GSK3β expression are negatively associated. The Wnt signaling pathway is activated abnormally to promote the occurrence and metastasis of gastric cancer, with decreased expression of GSK3β in gastric tissue, thus contributing to the depolymerization of the multiprotein degradation complex APC/axin/GSK-3β/β-catenin, resulting in the accumulation and activation of β-catenin in the nucleus, thereby activating its target gene, cyclin D1, downstream (29). Cyclin D1 is useful for monitoring the progress of gastric cancer clinically (30). In the present study, resibufogenin suppression of cyclin D1 and cyclin E protein expression in gastric carcinoma cells was investigated. resibufogenin was demonstrated to significantly suppress β-catenin protein expression in MGC-803 cells. Ichikawa et al (16) demonstrated that resibufogenin induces apoptosis of human malignant tumor cells through the degradation of cyclin D1 caused by the activation of GSK3β. The results of the present study suggested that resibufogenin may suppress the cyclin D1- and cyclin E-independent pathway. Taken together, the results of the present study suggested that there is crosstalk between cyclin D1/E and β-catenin signaling pathways, affected by resibufogenin treatment on gastric carcinoma cells.

In conclusion, the results of the present study demonstrate for the first time, to the best of our knowledge, that resibufogenin effectively inhibits cell viability, induces apoptosis, and induces caspase-3 and caspase-8 activity in MGC-803 cells by suppressing the PI3K/AKT/GSK3β signaling pathway. Therefore, resibufogenin may be a possible treatment for gastric carcinoma.

References

1 

Kawanaka M, Watari J, Kamiya N, Yamasaki T, Kondo T, Toyoshima F, Ikehara H, Tomita T, Oshima T, Fukui H, et al: Effects of Helicobacter pylori eradication on the development of metachronous gastric cancer after endoscopic treatment: Analysis of molecular alterations by a randomised controlled trial. Br J Cancer. 114:21–29. 2016. View Article : Google Scholar : PubMed/NCBI

2 

Chen J, Cheng L, Xie Z and Li Z: Impact of preoperative oral liquid carbohydrate on postoperative insulin resistance in gastric cancer patients and its associated study. Zhonghua Wei Chang Wai Ke Za Zhi. 18:1256–1260. 2015.(In Chinese). PubMed/NCBI

3 

Park SR, Hong YS, Lim HS, Seong MW, Kong SY, Kim SY, Park YI and Jung KH: Phase I clinical and pharmacokinetic/pharmacogenetic study of a triplet regimen of S-1/irinotecan/oxaliplatin in patients with metastatic colorectal or gastric cancer. Cancer Chemother Pharmacol. 72:953–964. 2013. View Article : Google Scholar : PubMed/NCBI

4 

Li NA, Wang W, Xu B and Gong H: miR-196b regulates gastric cancer cell proliferation and invasion via PI3K/AKT/mTOR signaling pathway. Oncol Lett. 11:1745–1749. 2016. View Article : Google Scholar : PubMed/NCBI

5 

Yuan CX, Zhou ZW, Yang YX, He ZX, Zhang X, Wang D, Yang T, Pan SY, Chen XW and Zhou SF: Danusertib, a potent pan-Aurora kinase and ABL kinase inhibitor, induces cell cycle arrest and programmed cell death and inhibits epithelial to mesenchymal transition involving the PI3K/Akt/mTOR-mediated signaling pathway in human gastric cancer AGS and NCI-N78 cells. Drug Des Devel Ther. 9:1293–1318. 2015.PubMed/NCBI

6 

Riquelme I, Tapia O, Espinoza JA, Leal P, Buchegger K, Sandoval A, Bizama C, Araya JC, Peek RM and Roa JC: The gene expression status of the PI3K/AKT/mTOR pathway in gastric cancer tissues and cell lines. Pathol Oncol Res. 22:797–805. 2016. View Article : Google Scholar : PubMed/NCBI

7 

Zhang B, Yang Y, Shi X, Liao W, Chen M, Cheng AS, Yan H, Fang C, Zhang S, Xu G, et al: Proton pump inhibitor pantoprazole abrogates adriamycin-resistant gastric cancer cell invasiveness via suppression of Akt/GSK-β/β-catenin signaling and epithelial-mesenchymal transition. Cancer Lett. 356:704–712. 2015. View Article : Google Scholar : PubMed/NCBI

8 

Guo H, Cui H, Peng X, Fang J, Zuo Z and Deng J, Wang X, Wu B, Chen K and Deng J: Modulation of the PI3K/Akt pathway and Bcl-2 family proteins involved in chicken's tubular apoptosis induced by nickel chloride (NiCl2). Int J Mol Sci. 16:22989–23011. 2015. View Article : Google Scholar : PubMed/NCBI

9 

Tang X, Zheng D, Hu P, Zeng Z, Li M, Tucker L, Monahan R, Resnick MB, Liu M and Ramratnam B: Glycogen synthase kinase 3 beta inhibits microRNA-183-96-182 cluster via the β-Catenin/TCF/LEF-1 pathway in gastric cancer cells. Nucleic Acids Res. 42:2988–2998. 2014. View Article : Google Scholar : PubMed/NCBI

10 

Chu Q, Xu H, Gao M, Guan X, Liu H, Deng S, Huo X, Liu K, Tian Y and Ma X: Liver-targeting Resibufogenin-loaded poly(lactic-co-glycolic acid)-D-α-tocopheryl polyethylene glycol 1000 succinate nanoparticles for liver cancer therapy. Int J Nanomedicine. 11:449–463. 2016.PubMed/NCBI

11 

Xin XL, Sun JH, Wang XB, Xi RG, Wang G, Lan R, Su DH, Li H, Huo XK and Wang C: Microbial transformation of resibufogenin by Curvularia lunata AS 3.4381. J Asian Nat Prod Res. 16:290–295. 2014. View Article : Google Scholar : PubMed/NCBI

12 

Mou LY, Xin XL, Chen L, Dong PP, Lan R, Su DH, Huang J, Wang JH and Zhan LB: Biotransformation of resibufogenin by Actinomucor elegans. J Asian Nat Prod Res. 16:623–628. 2014. View Article : Google Scholar : PubMed/NCBI

13 

Liu J, Fu XQ, Zhou W, Yu HG, Yu JP and Luo HS: LY294002 potentiates the anti-cancer effect of oxaliplatin for gastric cancer via death receptor pathway. World J Gastroenterol. 17:181–190. 2011. View Article : Google Scholar : PubMed/NCBI

14 

Xiao J, Chen Y, Li W, Gong J, Zhou Z, Deng Y, Wang L, Ren D, Wang J, Peng J and Lan P: Dose-dense biweekly docetaxel combined with 5-fluorouracil as first-line treatment in advanced gastric cancer: A phase II trial. Med Oncol. 32:3342015. View Article : Google Scholar : PubMed/NCBI

15 

Shi D, Bao YS and Liu YP: Individualization of metal stents for management of gastric outlet obstruction caused by distal stomach cancer: A prospective study. Gastrointest Endosc. 78:277–284. 2013. View Article : Google Scholar : PubMed/NCBI

16 

Ichikawa M, Sowa Y, Iizumi Y, Aono Y and Sakai T: Resibufogenin induces G1-phase arrest through the proteasomal degradation of cyclin D1 in human malignant tumor cells. PLoS One. 10:e01298512015. View Article : Google Scholar : PubMed/NCBI

17 

Dolatkhah H, Movahedian A, Somi MH, Aghaei M, Samadi N, Mirza-Aghazade A and Esfahani A: Effect of PUFAs oral administration on the amount of apoptotic caspases enzymes in gastric cancer patients undergoing chemotherapy. Anticancer Agents Med Chem. 17:93–101. 2017.PubMed/NCBI

18 

Frejlich E, Rudno-Rudzińska J, Janiszewski K, Salomon L, Kotulski K, Pelzer O, Grzebieniak Z, Tarnawa R and Kielan W: Caspases and their role in gastric cancer. Adv Clin Exp Med. 22:593–602. 2013.PubMed/NCBI

19 

Su CC and Chiu TL: Tanshinone IIA decreases the protein expression of EGFR, and IGFR blocking the PI3K/Akt/mTOR pathway in gastric carcinoma AGS cells both in vitro and in vivo. Oncol Rep. 36:1173–1179. 2016. View Article : Google Scholar : PubMed/NCBI

20 

Tapia O, Riquelme I, Leal P, Sandoval A, Aedo S, Weber H, Letelier P, Bellolio E, Villaseca M, Garcia P and Roa JC: The PI3K/AKT/mTOR pathway is activated in gastric cancer with potential prognostic and predictive significance. Virchows Arch. 465:25–33. 2014. View Article : Google Scholar : PubMed/NCBI

21 

Fu Z, Yang J, Wei Y and Li J: Effects of piceatannol and pterostilbene against β-amyloid-induced apoptosis on the PI3K/Akt/Bad signaling pathway in PC12 cells. Food Funct. 7:1014–1023. 2016. View Article : Google Scholar : PubMed/NCBI

22 

Xing X, Zhang L, Wen X, Wang X, Cheng X, Du H, Hu Y, Li L, Dong B, Li Z and Ji J: PP242 suppresses cell proliferation, metastasis, and angiogenesis of gastric cancer through inhibition of the PI3K/AKT/mTOR pathway. Anticancer Drugs. 25:1129–1140. 2014. View Article : Google Scholar : PubMed/NCBI

23 

Chen X, Liu Z, Cao BB, Qiu YH and Peng YP: TGF-β1 neuroprotection via inhibition of microglial activation in a rat model of parkinson's disease. J Neuroimmune Pharmacol. 12:433–446. 2017. View Article : Google Scholar : PubMed/NCBI

24 

Kanninen KM and White AR: Type-I interferons in Parkinson's disease: Innate inflammatory response drives fate of neurons in model of degenerative brain disorder: An editorial comment on ‘Type-I interferons mediate the neuroinflammatory response and neurotoxicity induced by rotenone’. J Neurochem. 141:9–11. 2017. View Article : Google Scholar : PubMed/NCBI

25 

Wang DL, Qi FH, Xu HL, Inagaki Y, Orihara Y, Sekimizu K, Kokudo N, Wang FS and Tang W: Apoptosis-inducing activity of compounds screened and characterized from cinobufacini by bioassay-guided isolation. Mol Med Rep. 3:717–722. 2010.PubMed/NCBI

26 

Wang L, Yin J, Wang X, Shao M, Duan F, Wu W, Peng P, Jin J, Tang Y, Ruan Y, et al: C-type lectin-like receptor 2 suppresses AKT signaling and invasive activities of gastric cancer cells by blocking expression of phosphoinositide 3-kinase subunits. Gastroenterology. 150:1183–1195.e16. 2016. View Article : Google Scholar : PubMed/NCBI

27 

Cho YJ, Kim JH, Yoon J, Cho SJ, Ko YS, Park JW, Lee HS, Lee HE, Kim WH and Lee BL: Constitutive activation of glycogen synthase kinase-3beta correlates with better prognosis and cyclin-dependent kinase inhibitors in human gastric cancer. BMC Gastroenterol. 10:912010. View Article : Google Scholar : PubMed/NCBI

28 

Li Z, Cui J, Yu Q, Wu X, Pan A and Li L: Evaluation of CCND1 amplification and CyclinD1 expression: Diffuse and strong staining of CyclinD1 could have same predictive roles as CCND1 amplification in ER positive breast cancers. Am J Transl Res. 8:142–153. 2016.PubMed/NCBI

29 

Seiler R, Thalmann GN, Rotzer D, Perren A and Fleischmann A: CCND1/CyclinD1 status in metastasizing bladder cancer: A prognosticator and predictor of chemotherapeutic response. Mod Pathol. 27:87–95. 2014. View Article : Google Scholar : PubMed/NCBI

30 

Neal JT, Peterson TS, Kent ML and Guillemin K: H. pylori virulence factor CagA increases intestinal cell proliferation by Wnt pathway activation in a transgenic zebrafish model. Dis Model Mech. 6:802–810. 2013. View Article : Google Scholar : PubMed/NCBI

Related Articles

  • Abstract
  • View
  • Download
  • Twitter
Copy and paste a formatted citation
Spandidos Publications style
Lu Z, Xu A, Yuan X, Chen K, Wang L and Guo T: Anticancer effect of resibufogenin on gastric carcinoma cells through the phosphoinositide 3‑kinase/protein kinase B/glycogen synthase kinase 3β signaling pathway. Oncol Lett 16: 3297-3302, 2018.
APA
Lu, Z., Xu, A., Yuan, X., Chen, K., Wang, L., & Guo, T. (2018). Anticancer effect of resibufogenin on gastric carcinoma cells through the phosphoinositide 3‑kinase/protein kinase B/glycogen synthase kinase 3β signaling pathway. Oncology Letters, 16, 3297-3302. https://doi.org/10.3892/ol.2018.8979
MLA
Lu, Z., Xu, A., Yuan, X., Chen, K., Wang, L., Guo, T."Anticancer effect of resibufogenin on gastric carcinoma cells through the phosphoinositide 3‑kinase/protein kinase B/glycogen synthase kinase 3β signaling pathway". Oncology Letters 16.3 (2018): 3297-3302.
Chicago
Lu, Z., Xu, A., Yuan, X., Chen, K., Wang, L., Guo, T."Anticancer effect of resibufogenin on gastric carcinoma cells through the phosphoinositide 3‑kinase/protein kinase B/glycogen synthase kinase 3β signaling pathway". Oncology Letters 16, no. 3 (2018): 3297-3302. https://doi.org/10.3892/ol.2018.8979
Copy and paste a formatted citation
x
Spandidos Publications style
Lu Z, Xu A, Yuan X, Chen K, Wang L and Guo T: Anticancer effect of resibufogenin on gastric carcinoma cells through the phosphoinositide 3‑kinase/protein kinase B/glycogen synthase kinase 3β signaling pathway. Oncol Lett 16: 3297-3302, 2018.
APA
Lu, Z., Xu, A., Yuan, X., Chen, K., Wang, L., & Guo, T. (2018). Anticancer effect of resibufogenin on gastric carcinoma cells through the phosphoinositide 3‑kinase/protein kinase B/glycogen synthase kinase 3β signaling pathway. Oncology Letters, 16, 3297-3302. https://doi.org/10.3892/ol.2018.8979
MLA
Lu, Z., Xu, A., Yuan, X., Chen, K., Wang, L., Guo, T."Anticancer effect of resibufogenin on gastric carcinoma cells through the phosphoinositide 3‑kinase/protein kinase B/glycogen synthase kinase 3β signaling pathway". Oncology Letters 16.3 (2018): 3297-3302.
Chicago
Lu, Z., Xu, A., Yuan, X., Chen, K., Wang, L., Guo, T."Anticancer effect of resibufogenin on gastric carcinoma cells through the phosphoinositide 3‑kinase/protein kinase B/glycogen synthase kinase 3β signaling pathway". Oncology Letters 16, no. 3 (2018): 3297-3302. https://doi.org/10.3892/ol.2018.8979
Follow us
  • Twitter
  • LinkedIn
  • Facebook
About
  • Spandidos Publications
  • Careers
  • Cookie Policy
  • Privacy Policy
How can we help?
  • Help
  • Live Chat
  • Contact
  • Email to our Support Team