Spandidos Publications Logo
  • About
    • About Spandidos
    • Aims and Scopes
    • Abstracting and Indexing
    • Editorial Policies
    • Reprints and Permissions
    • Job Opportunities
    • Terms and Conditions
    • Contact
  • Journals
    • All Journals
    • Oncology Letters
      • Oncology Letters
      • Information for Authors
      • Editorial Policies
      • Editorial Board
      • Aims and Scope
      • Abstracting and Indexing
      • Bibliographic Information
      • Archive
    • International Journal of Oncology
      • International Journal of Oncology
      • Information for Authors
      • Editorial Policies
      • Editorial Board
      • Aims and Scope
      • Abstracting and Indexing
      • Bibliographic Information
      • Archive
    • Molecular and Clinical Oncology
      • Molecular and Clinical Oncology
      • Information for Authors
      • Editorial Policies
      • Editorial Board
      • Aims and Scope
      • Abstracting and Indexing
      • Bibliographic Information
      • Archive
    • Experimental and Therapeutic Medicine
      • Experimental and Therapeutic Medicine
      • Information for Authors
      • Editorial Policies
      • Editorial Board
      • Aims and Scope
      • Abstracting and Indexing
      • Bibliographic Information
      • Archive
    • International Journal of Molecular Medicine
      • International Journal of Molecular Medicine
      • Information for Authors
      • Editorial Policies
      • Editorial Board
      • Aims and Scope
      • Abstracting and Indexing
      • Bibliographic Information
      • Archive
    • Biomedical Reports
      • Biomedical Reports
      • Information for Authors
      • Editorial Policies
      • Editorial Board
      • Aims and Scope
      • Abstracting and Indexing
      • Bibliographic Information
      • Archive
    • Oncology Reports
      • Oncology Reports
      • Information for Authors
      • Editorial Policies
      • Editorial Board
      • Aims and Scope
      • Abstracting and Indexing
      • Bibliographic Information
      • Archive
    • Molecular Medicine Reports
      • Molecular Medicine Reports
      • Information for Authors
      • Editorial Policies
      • Editorial Board
      • Aims and Scope
      • Abstracting and Indexing
      • Bibliographic Information
      • Archive
    • World Academy of Sciences Journal
      • World Academy of Sciences Journal
      • Information for Authors
      • Editorial Policies
      • Editorial Board
      • Aims and Scope
      • Abstracting and Indexing
      • Bibliographic Information
      • Archive
    • International Journal of Functional Nutrition
      • International Journal of Functional Nutrition
      • Information for Authors
      • Editorial Policies
      • Editorial Board
      • Aims and Scope
      • Abstracting and Indexing
      • Bibliographic Information
      • Archive
    • International Journal of Epigenetics
      • International Journal of Epigenetics
      • Information for Authors
      • Editorial Policies
      • Editorial Board
      • Aims and Scope
      • Abstracting and Indexing
      • Bibliographic Information
      • Archive
    • Medicine International
      • Medicine International
      • Information for Authors
      • Editorial Policies
      • Editorial Board
      • Aims and Scope
      • Abstracting and Indexing
      • Bibliographic Information
      • Archive
  • Articles
  • Information
    • Information for Authors
    • Information for Reviewers
    • Information for Librarians
    • Information for Advertisers
    • Conferences
  • Language Editing
Spandidos Publications Logo
  • About
    • About Spandidos
    • Aims and Scopes
    • Abstracting and Indexing
    • Editorial Policies
    • Reprints and Permissions
    • Job Opportunities
    • Terms and Conditions
    • Contact
  • Journals
    • All Journals
    • Biomedical Reports
      • Information for Authors
      • Editorial Policies
      • Editorial Board
      • Aims and Scope
      • Abstracting and Indexing
      • Bibliographic Information
      • Archive
    • Experimental and Therapeutic Medicine
      • Information for Authors
      • Editorial Policies
      • Editorial Board
      • Aims and Scope
      • Abstracting and Indexing
      • Bibliographic Information
      • Archive
    • International Journal of Epigenetics
      • Information for Authors
      • Editorial Policies
      • Editorial Board
      • Aims and Scope
      • Abstracting and Indexing
      • Bibliographic Information
      • Archive
    • International Journal of Functional Nutrition
      • Information for Authors
      • Editorial Policies
      • Editorial Board
      • Aims and Scope
      • Abstracting and Indexing
      • Bibliographic Information
      • Archive
    • International Journal of Molecular Medicine
      • Information for Authors
      • Editorial Policies
      • Editorial Board
      • Aims and Scope
      • Abstracting and Indexing
      • Bibliographic Information
      • Archive
    • International Journal of Oncology
      • Information for Authors
      • Editorial Policies
      • Editorial Board
      • Aims and Scope
      • Abstracting and Indexing
      • Bibliographic Information
      • Archive
    • Medicine International
      • Information for Authors
      • Editorial Policies
      • Editorial Board
      • Aims and Scope
      • Abstracting and Indexing
      • Bibliographic Information
      • Archive
    • Molecular and Clinical Oncology
      • Information for Authors
      • Editorial Policies
      • Editorial Board
      • Aims and Scope
      • Abstracting and Indexing
      • Bibliographic Information
      • Archive
    • Molecular Medicine Reports
      • Information for Authors
      • Editorial Policies
      • Editorial Board
      • Aims and Scope
      • Abstracting and Indexing
      • Bibliographic Information
      • Archive
    • Oncology Letters
      • Information for Authors
      • Editorial Policies
      • Editorial Board
      • Aims and Scope
      • Abstracting and Indexing
      • Bibliographic Information
      • Archive
    • Oncology Reports
      • Information for Authors
      • Editorial Policies
      • Editorial Board
      • Aims and Scope
      • Abstracting and Indexing
      • Bibliographic Information
      • Archive
    • World Academy of Sciences Journal
      • Information for Authors
      • Editorial Policies
      • Editorial Board
      • Aims and Scope
      • Abstracting and Indexing
      • Bibliographic Information
      • Archive
  • Articles
  • Information
    • For Authors
    • For Reviewers
    • For Librarians
    • For Advertisers
    • Conferences
  • Language Editing
Login Register Submit
  • This site uses cookies
  • You can change your cookie settings at any time by following the instructions in our Cookie Policy. To find out more, you may read our Privacy Policy.

    I agree
Search articles by DOI, keyword, author or affiliation
Search
Advanced Search
presentation
Oncology Letters
Join Editorial Board Propose a Special Issue
Print ISSN: 1792-1074 Online ISSN: 1792-1082
Journal Cover
September-2018 Volume 16 Issue 3

Full Size Image

Sign up for eToc alerts
Recommend to Library

Journals

International Journal of Molecular Medicine

International Journal of Molecular Medicine

International Journal of Molecular Medicine is an international journal devoted to molecular mechanisms of human disease.

International Journal of Oncology

International Journal of Oncology

International Journal of Oncology is an international journal devoted to oncology research and cancer treatment.

Molecular Medicine Reports

Molecular Medicine Reports

Covers molecular medicine topics such as pharmacology, pathology, genetics, neuroscience, infectious diseases, molecular cardiology, and molecular surgery.

Oncology Reports

Oncology Reports

Oncology Reports is an international journal devoted to fundamental and applied research in Oncology.

Experimental and Therapeutic Medicine

Experimental and Therapeutic Medicine

Experimental and Therapeutic Medicine is an international journal devoted to laboratory and clinical medicine.

Oncology Letters

Oncology Letters

Oncology Letters is an international journal devoted to Experimental and Clinical Oncology.

Biomedical Reports

Biomedical Reports

Explores a wide range of biological and medical fields, including pharmacology, genetics, microbiology, neuroscience, and molecular cardiology.

Molecular and Clinical Oncology

Molecular and Clinical Oncology

International journal addressing all aspects of oncology research, from tumorigenesis and oncogenes to chemotherapy and metastasis.

World Academy of Sciences Journal

World Academy of Sciences Journal

Multidisciplinary open-access journal spanning biochemistry, genetics, neuroscience, environmental health, and synthetic biology.

International Journal of Functional Nutrition

International Journal of Functional Nutrition

Open-access journal combining biochemistry, pharmacology, immunology, and genetics to advance health through functional nutrition.

International Journal of Epigenetics

International Journal of Epigenetics

Publishes open-access research on using epigenetics to advance understanding and treatment of human disease.

Medicine International

Medicine International

An International Open Access Journal Devoted to General Medicine.

Journal Cover
September-2018 Volume 16 Issue 3

Full Size Image

Sign up for eToc alerts
Recommend to Library

  • Article
  • Citations
    • Cite This Article
    • Download Citation
    • Create Citation Alert
    • Remove Citation Alert
    • Cited By
  • Similar Articles
    • Related Articles (in Spandidos Publications)
    • Similar Articles (Google Scholar)
    • Similar Articles (PubMed)
  • Download PDF
  • Download XML
  • View XML
Article Open Access

Diagnostic accuracy of the UBC® Rapid Test for bladder cancer: A meta‑analysis

  • Authors:
    • Pei Lu
    • Jianchun Cui
    • Keliang Chen
    • Qiang Lu
    • Jiexiu Zhang
    • Jun Tao
    • Zhijian Han
    • Wei Zhang
    • Rijin Song
    • Min Gu
  • View Affiliations / Copyright

    Affiliations: Department of Urology, The First Affiliated Hospital of Nanjing Medical University, Nanjing, Jiangsu 210029, P.R. China, Department of Urology, The Jianhu County Traditional Chinese Medicine Hospital, Jianhu, Jiangsu 224700, P.R. China
    Copyright: © Lu et al. This is an open access article distributed under the terms of Creative Commons Attribution License.
  • Pages: 3770-3778
    |
    Published online on: July 5, 2018
       https://doi.org/10.3892/ol.2018.9089
  • Expand metrics +
Metrics: Total Views: 0 (Spandidos Publications: | PMC Statistics: )
Metrics: Total PDF Downloads: 0 (Spandidos Publications: | PMC Statistics: )
Cited By (CrossRef): 0 citations Loading Articles...

This article is mentioned in:



Abstract

Bladder cancer is one of the most common cancer types globally. The UBC® Rapid Test is a potential novel diagnostic method for bladder cancer, but studies into its accuracy have produced inconsistent results. Thus, the present meta‑analysis was conducted in order to determine the overall accuracy of the UBC® Rapid Test in detecting bladder cancer. A comprehensive literature search was conducted using MEDLINE, Embase, Cochrane Library, Web of Science, Chinese WanFang and the China National Knowledge Infrastructure databases for relevant studies. Quality assessment of diagnostic accuracy studies 2 was used to assess the quality of each included study. The diagnostic accuracy of the UBC® Rapid Test was evaluated by pooled sensitivity, specificity, positive likelihood ratio (PLR), negative likelihood ratio (NLR), diagnostic odds ratio (DOR) and the area under the curve (AUC). In addition, Deeks' funnel plot was used to evaluate potential publication bias. Eight studies were included in the quantitative meta‑analysis. The results were as follows: Sensitivity 0.59 [95% confidence interval (CI), 0.55‑0.62], specificity 0.76 (95% CI, 0.72‑0.80), PLR 2.55 (95% CI, 1.75‑3.70), NLR 0.56 (95% CI, 0.46‑0.67), DOR 4.88 (95% CI, 2.82‑8.45) and AUC 0.70 (95% CI, 0.67‑0.74). According to the present results, the UBC® rapid test is highly accurate in the diagnosis of bladder cancer, however, further studies with better‑designed and larger samples are required in order to support the results of the present study.

Introduction

Bladder cancer was the ninth most common cancer type globally and the second most common urogenital malignancy in 2012 (1). More than 60% of bladder cancer cases occur in less well-developed countries, including China, and 75% of these cases occur in men (2). Furthermore, bladder cancer has a high recurrence rate (50%), and 15–40% of cases develop into a muscle-invasive form of the disease (3,4). Therefore, early diagnosis and consistent follow-up are necessary in order to improve patient quality of life.

Previously, the primary methods used to detect and follow up bladder cancer were cystoscopy and cytology (5). Cystoscopy is able to identify the majority of papillary and solid lesions and is therefore widely used. Cystoscopy combined with pathological biopsy is the gold standard for the diagnosis and follow-up of bladder cancer (6). However, it is not only an invasive procedure but also has limited accuracy in detecting certain lesions, particularly small areas of carcinoma in situ (7). While cytology has a specificity of >90%, its sensitivity is <44%, particularly in highly-differentiated tumor types (stages G1-G2) (8–10). Therefore, the invasive nature of cystoscopy and the low sensitivity of cytology limit the early diagnosis of bladder cancer in clinical practice. Consequently, a non-invasive, highly sensitive and specific alternative test is urgently required.

To identify a better method to diagnose bladder cancer, various urine-based tumor markers have been extensively investigated (7). These markers, including human complement factor H, cytokeratin 19 fragments and nuclear matrix protein 22, generally demonstrate a higher sensitivity but lower specificity compared with cytology (9,11,12). Biomarker diagnosis has not yet been recommended in the European Association of Urology guidelines (13). Recently, a novel non-invasive qualitative immunochromatographic test has been launched to identify the urinary bladder cancer antigen. The UBC® Rapid Test (Concile GmbH, Freiburg, Germany) is a point-of-care test, compliant with International Organization for Standardization 22870:2016, which may quantitatively measure fragments of cytokeratins 8 and 18 (14–16). These cytokeratins are located in the cytoskeleton of epithelial cells and tend to be overexpressed in urothelial tumor types including bladder cancer (17–19). Based on this, several trials have been performed to investigate the efficacy of the UBC® Rapid Test in the detection and follow-up of bladder cancer (20–22). However, differences in the design and enrollment of these studies have resulted in inconsistent conclusions, so its diagnostic accuracy remains unclear.

In the present study, these previous studies were systematically reviewed to assess the diagnostic value of the UBC® Rapid Test in the detection and follow-up of bladder cancer.

Materials and methods

Search strategy

The following databases were comprehensively searched for studies published between January 1, 1990 and June 1, 2017: Pubmed, Embase, the Cochrane Central Register of Controlled Trials (CENTRAL), Web of Science, China (WANFANG) and the China CNKI database. The search was performed using the following keywords in combination: (‘UBC’ OR ‘Cytokeratin 8’ OR ‘Cytokeratin 18’) AND (‘Bladder cancer’ OR ‘urinary bladder neoplasm’) as medical subject headings. Furthermore, the reference lists of all studies included in the meta-analysis were also reviewed for possible inclusion.

Inclusion and exclusion criteria

The inclusion criteria were as follows: i) Case-control or cohort design; ii) sufficient data for meta-analysis [true positive (TP), false positive (FP), false negative (FN) and true negative (TN)]; iii) if data or subsets of data were used in more than one article, the most recent article or the one with greater detail was selected; and iv) written in English or Chinese. The exclusion criteria were as follows: i) Reviews, case reports and letters to editors; ii) duplicate publications; iii) studies in languages other than English or Chinese; and iv) studies with insufficient data to construct a 2×2 table. All records were independently reviewed by Dr Pei Lu and Dr Rijin Song (Department of Urology, The First Affiliated Hospital of Nanjing Medical University, Nanjing, China). Consensus was normally reached for each eligible study and any disagreements were resolved by consultation with a third reviewer (Dr Min Gu; Department of Urology, The First Affiliated Hospital of Nanjing Medical University).

Data extraction and quality assessment

Relevant data were extracted from the full text of the included studies and included: First author, publication year, ethnicity, sample size, mean age, sex, specific details of index test used, sensitivity and specificity, TP, FP, FN and TN for various grades of bladder tumor types.

The quality assessment of diagnostic accuracy studies 2 (QUADAS-2) scale was used to evaluate the quality of the eligible studies (23). This contains four domains including patient selection, index test, reference standard and flow and timing. All domains were evaluated for the potential risk of bias and the first three were mainly concerned with applicability.

Statistical analysis

The accuracy indicators included pooled sensitivity, pooled specificity, positive likelihood ratio (PLR), negative likelihood ratio (NLR), diagnostic odds ratio (DOR) and their 95% confidence intervals (CIs). These were calculated using the random effects model (24). The summary receiver operative curve (SROC), which reveals the association between sensitivity and the false positive rate, was used to evaluate the consistency of results between all studies in addition to the accuracy of the test (25). The area under the curve (AUC) was also calculated. Heterogeneity was measured using a Q test and the inconsistency index (I2) (26). P<0.05 or I2>50% was considered to indicate significant heterogeneity and therefore the random effects model was applied (27); otherwise the fixed-effect model was used. One of the most important causes of heterogeneity in diagnostic tests is the threshold effect. This occurs when the sensitivity and specificity are negatively correlated (or sensitivity is positively correlated with 1-specificity), resulting in a typical ‘shoulder arm’ of the ROC plane distribution. A Spearman correlation analysis was performed. Subsequently, meta-regression and subgroup analyses were conducted to explore potential sources of inter-study heterogeneity. Furthermore, Deeks' funnel plots were used to detect any publication bias (28). All statistical analysis was conducted using Meta-Disc 1.4 software (Hospital Universitario Ramon y Cajal, Madrid, Spain) and STATA 12.0 software (StataCorp, LLC, College Station, TX, USA) (29,30).

Results

Study selection and characteristics

As presented in the flow chart (Fig. 1), a total of 14 potential relevant articles were identified initially, of which four were removed subsequent to reading the titles and abstracts in further detail. Following a full-text review, two studies were eliminated due to lack of sufficient data, leaving eight studies (14–16,22,31–34). The basic characteristics of the studies are summarized in Table I.

Figure 1.

Flow chart describing the systematic literature search and study selection process.

Table I.

Characteristics of the eight included studies in the present meta-analysis.

Table I.

Characteristics of the eight included studies in the present meta-analysis.

StudyCountryYearDesignBlindingEthnicityMean age (years)Male:FemaleSample sizeTPFPFNTN(Refs.)
Mian et al, 2000Austria2000RetrospectiveYesCaucasian65.8NA180361317114(31)
Babjuk et al, 2002Czech2001RetrospectiveYesCaucasian66.3141:771073864023(32)
Schroeder et al, 2004Germany2004ProspectiveYesCaucasian64.380:3513521193857(33)
Hakenberg et al, 2004Germany2004ProspectiveYesCaucasian68.587:251125883214(34)
Ritter et al, 2014Germany2013ProspectiveYesCaucasian70151:4719837412496(14)
Ecke et al, 2015Germany2015ProspectiveNoCaucasian7397:281254934330(15)
Styrke et al, 2017Sweden2017ProspectiveNoCaucasian70224:46270120394962(16)
Ecke et al, 2017Sweden2017ProspectiveNoCaucasian7278:311094524220(22)

[i] TP, true positive; FP, false-positive; TN, true negative; FN, false-negative; NA, data not available.

All eight studies were conducted in a European population, and the majority of the patients were male and >50 years old (Table I). Urinary sediment was used as a specimen, and cytology or cystoscopy was considered as the gold standard. The results of the quality assessment are presented in Fig. 2. The majority of articles included the majority of the QUADAS-2 domains, indicating that the overall quality of the included studies was moderate to high.

Figure 2.

Quality assessments of included studies using the QUADAS-2 tool. (A) Risk of bias summary: A review of the authors' judgments about the risk of each bias item for each included study. (B) Risk of bias graph: A review of the authors' judgments about each item presented as percentages across all included studies. QUADAS-2, quality assessment of diagnostic accuracy studies 2.

Threshold effect

The ROC curve of sensitivity against the specificity of each study (Fig. 3) revealed a non-typical shoulder arm appearance, indicating that there was no threshold effect. In addition, the calculated Spearman correlation coefficient value was 0.44 (P=0.27), also indicating no threshold effect.

Figure 3.

ROC curve for the assessment of the threshold effect in the UBC® Rapid Test. ROC, receiver operating characteristics.

Diagnostic accuracy

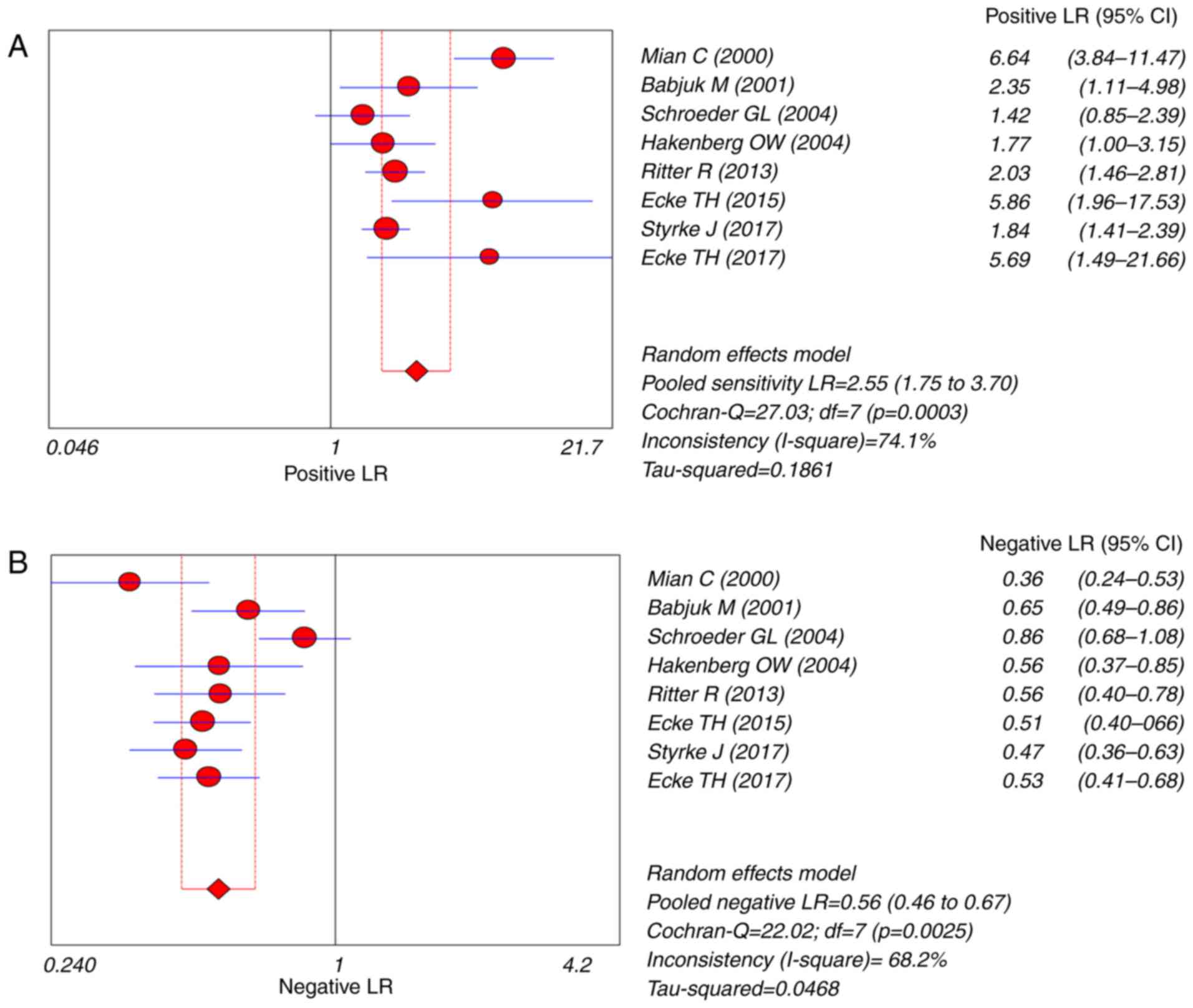
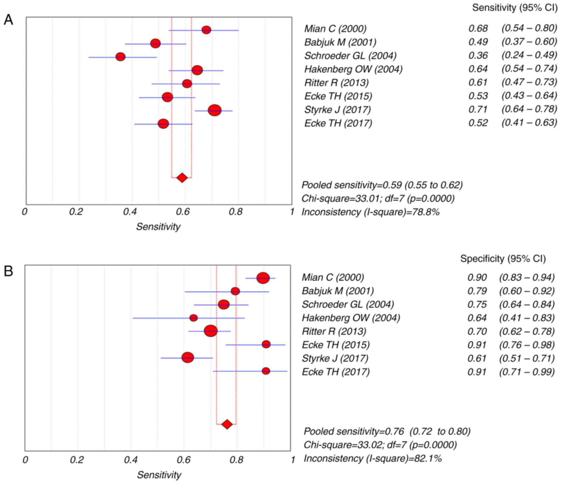
Overall, the sensitivity of the pooled data was 0.59 (95% CI=0.55–0.62) and the specificity was 0.76 (95% CI=0.72–0.80) (Fig. 4). The pooled PLR was 2.55 (95% CI=1.75–3.70), the NLR was 0.56 (95% CI=0.46–0.67) and the DOR was 4.88 (95% CI=2.82–8.45) (Figs. 5 and 6). The SROC curve for the eight studies is presented in Fig. 7. The overall AUC of the UBC® Rapid Test was 0.70 (95% CI=0.85–0.91). Significant heterogeneity was identified for pooled sensitivity (I2=78.8%, P<0.001; Fig. 4) and specificity (I2=82.1%, P<0.001; Fig. 4) so the random effects model was applied for further analysis.

Figure 4.

Forest plots of estimated (A) sensitivity and (B) specificity for the UBC® Rapid Test in the diagnosis of bladder cancer. CI, confidence interval.

Figure 5.

Forest plots of estimated (A) PLR and (B) NLR for UBC® Rapid Test in the diagnosis of bladder cancer. PLR, positive likelihood ratio; NLR, negative likelihood ratio; CI, confidence interval.

Figure 6.

Forest plots of the pooled DOR for the UBC® Rapid Test in the diagnosis of bladder cancer. DOR, diagnostics odds ratio; CI, confidence interval.

Figure 7.

SROC curve for UBC® Rapid Test in the diagnosis of bladder cancer of the included eight studies. SROC, summary receiver operative curve; AUC, area under curve; SE, standard error.

Meta-regression and subgroup analysis

Heterogeneity was identified in the estimates of sensitivity, specificity, PLR, NLR and DOR. Therefore, meta-regression was used to explore the source of heterogeneity on the basis of study design, double blinding and sample size. However, none of the above covariates were heterogeneous (all P>0.05; Table II). Although subgroup analysis, including design, blind and sample size, were performed, there was no difference in the diagnostic efficacy of this test, indicating none of the parameters were identified to be a source of heterogeneity (Table III).

Table II.

Results of the multivariable meta-regression model for the characteristics with backward regression analysis.

Table II.

Results of the multivariable meta-regression model for the characteristics with backward regression analysis.

VariablesCoefficientStandard errorP-valueRDOR95% confidence interval
Cte.1.1790.75770.2174––
S−0.4040.37530.3603––
Design0.7980.75400.36732.22(0.20–24.49)
Blinding−0.7500.63270.32100.47(0.06–3.54)
Sample size0.6930.67910.38292.00(0.23–17.35)

[i] Cte., constant coefficient; S, statistic S; RDOR, relative diagnostic odds ratio. Inverse variance weights; variables were retained in the regression model if P<0.05.

Table III.

Summary results of diagnostic accuracy of UBC test for bladder cancer.

Table III.

Summary results of diagnostic accuracy of UBC test for bladder cancer.

SubgroupNo. of studiesSensitivity (95% CI)Specificity (95% CI)PLR (95% CI)NLR (95% CI)DOR (95% CI)AUC
Design
  Retrospective20.56 (0.48, 0.65)0.88 (0.82, 0.93)4.08 (1.47, 11.33)0.49 (0.25, 0.94)8.45 (1.70, 42.05)–
  Prospective60.59 (0.55, 0.63)0.71 (0.67, 0.76)2.0 (1.52, 2.64)0.58 (0.47, 0.70)3.81 (2.37, 6.12)0.6945
Sample size
  >15030.68 (0.62, 0.74)0.75 (0.70, 0.79)2.78 (1.41, 4.03)0.47 (0.37, 0.59)6.11 (2.46, 15.16)0.7271
  ≤15050.52 (0.47, 0.57)0.79 (0.72, 0.85)2.39 (1.49, 5.17)0.62 (0.50, 0.76)4.09 (1.97, 8.49)0.6392
Blinding
  Yes50.61 (0.56, 0.67)0.72 (0.64, 0.79)2.39 (1.44, 3.96)0.59 (0.43, 0.79)4.18 (1.87, 9.31)0.7058
  No30.56 (0.48, 0.65)0.88 (0.82, 0.93)3.47 (1.26, 9.58)0.51 (0.44, 0.59)6.30 (2.82, 14.06)0.7369
  Total80.59 (0.55, 0.62)0.76 (0.72, 0.80)2.55 (1.75, 3.70)0.56 (0.46, 0.67)4.88 (2.82, 8.45)0.7046

[i] CI, confidence interval; PLR, positive likelihood ratio; NLR, negative likelihood ratio; DOR, diagnostic odds ratio; AUC, area under the curve.

Publication bias

Deeks' funnel plot demonstrated no significant publication bias (P=0.70; Fig. 8).

Figure 8.

Deeks' Funnel Plot Asymmetry Test for the assessment of potential publication bias. ESS, effective sample size.

Discussion

To date, cystoscopy has been considered the gold standard for detecting bladder cancer and for following up patients who have undergone tumor resection (35). However, it is an invasive and expensive tool. Another test widely used in clinical practice is urine cytology; however, its low sensitivity limits its use (36). Therefore, it is necessary to identify a viable, reliable and minimally-invasive method to detect new or recurrent bladder cancer.

The UBC® Rapid Test is a quantitative method to determine the levels of urinary fragments of cytokeratin 8 and 18, and has recently been developed as a tumor marker to detect bladder cancer (37). In the present analysis, the pooled AUC of the UBC® Rapid test indicated that it was a better diagnostic tool compared with cystoscopy and cytology. The DOR value, the ratio of correct to false diagnosis, is a comprehensive indicator of the diagnostic efficiency index (38). The pooled DOR in the present study suggested that the UBC® Rapid Test is reliable compared with the overall accuracy of bladder cancer diagnosis.

The likelihood ratio, including PLR and NLR, is also a strong performance indicator for diagnostic experiments (39). Generally considered, a PLR>10 indicates the presence of disease, and a NLR<0.1 may rule out the possibility of disease. However, the present study revealed that the pooled PLR and NLR for the UBC® Rapid Test were 2.55 and 0.56, respectively. This suggests that the probability of the test providing a positive result in patients with bladder cancer was 2.55 times higher compared with patients without bladder cancer; and the probability of negative results was 0.56 times higher compared with in non-patients. Therefore, the performance of the UBC® Rapid Test in terms of pooled PLR and NLR did not meet clinical practice requirements and should be further modified prior to clinical use.

Exploring heterogeneity is crucial to understanding the factors that affect accurate estimates in addition to the appropriateness of combining the accuracy of different studies (40). Substantial heterogeneity was identified in the present meta-analysis in terms of the pooled sensitivity, specificity, PLR, NLR and DOR. The threshold effect remains an important cause of heterogeneity in diagnostic trials (41). In the present meta-analysis, a significant threshold effect was not observed. To further explore the source of heterogeneity, a meta-regression analysis was used based on design, blinding and sample size. The results suggested that none of these parameters were the cause, indicating that other variables contributed to the heterogeneity across the studies; these may have been publication and choice bias.

There are several limitations to the study. First, despite the extensive literature search, the number of studies and sample sizes included were small. Secondly, several papers published in different languages were excluded from the review, which may result in potential heterogeneity. Thirdly, all the trials included in this meta-analysis were retrospective, which may limit the conclusions due to the bias of choice.

In general, the present study suggests that the UBC® Rapid Test may be beneficial for the diagnosis of bladder cancer, since this non-invasive approach has a good overall diagnostic performance. However, further prospective, large-scale and multicenter assessments of clinical studies are required to fully assess the diagnostic role of the UBC® Rapid Test in patients with bladder cancer.

Acknowledgements

Not applicable.

Funding

The present study was supported by the National Natural Science Foundation of China (grant no. 81570676), the Science and Education Health Project of Jiangsu Province for Important Talent (grant no. RC2011055), the ‘333 High Level Talents Project’ in Jiangsu Province, China [grant nos. BRA2015469 and BRA2016514 (2015)], the Standardized Diagnosis and Treatment Research Program of Key Diseases in Jiangsu Province, China (grant no. BE2016791), the Open Project Program of Health Department of Jiangsu Province, China (grant no. JSY-2-2016-099), the Jiangsu Province Six Talents Peak from Department of Human Resources, Social Security Office of Jiangsu Province, China (grant no. 2010WSN-56), the General Program of Health Department of Jiangsu Province, China (grant no. H2009907) and the Priority Academic Program Development of Jiangsu Higher Education Institutions (grant no. JX10231801).

Availability of data and materials

The datasets used and/or analyzed during the current study are available from the corresponding author on reasonable request.

Authors' contributions

PL carried out the study design and preparation of the manuscript. JC carried out the study design and statistical analysis. KC performed the statistical analysis and preparation of the manuscript. QL performed the statistical analysis. JZ performed the study design and data collection. JT performed the statistical analysis and data collection. ZH performed the statistical analysis. WZ aided with the interpretation of data and the preparation of the manuscript. RS carried out the study design and statistical analysis. MG provided funding and study design.

Ethical approval and consent to participate

Not applicable.

Patient consent for publication

Not applicable.

Competing interests

The authors declare that they have no competing interests.

References

1 

Agarwal N, Pal SK, Hahn AW, Nussenzveig RH, Pond GR, Gupta SV, Wang J, Bilen MA, Naik G, Ghatalia P, et al: Characterization of metastatic urothelial carcinoma via comprehensive genomic profiling of circulating tumor DNA. Cancer. 124:2115–2124. 2018. View Article : Google Scholar : PubMed/NCBI

2 

Antoni S, Ferlay J, Soerjomataram I, Znaor A, Jemal A and Bray F: Bladder cancer incidence and mortality: A global overview and recent trends. Eur Urol. 71:96–108. 2017. View Article : Google Scholar : PubMed/NCBI

3 

Amin MB, Smith SC, Reuter VE, Epstein JI, Grignon DJ, Hansel DE, Lin O, McKenney JK, Montironi R, Paner GP, et al: Update for the practicing pathologist: The international consultation on urologic disease-European association of urology consultation on bladder cancer. Mod Pathol. 28:612–630. 2015. View Article : Google Scholar : PubMed/NCBI

4 

Kang M, Jeong CW, Kwak C, Kim HH and Ku JH: Preoperative neutrophil-lymphocyte ratio can significantly predict mortality outcomes in patients with non-muscle invasive bladder cancer undergoing transurethral resection of bladder tumor. Oncotarget. 8:12891–12901. 2017.PubMed/NCBI

5 

Liang B, He X, Shang D, Tian Y and Liu Z: The link between FOXJ1 expression level in bladder carcinoma and tumor recurrence. Oncol Lett. 15:1483–1486. 2018.PubMed/NCBI

6 

Soria F, Gurioli A, Peraldo F, Oderda M, Giona S, Ambrosini E, Frea B and Gontero P: Innovations in the endoscopic management of bladder cancer: Is the era of white light cystoscopy over. Urologia. 80:1–8. 2013. View Article : Google Scholar : PubMed/NCBI

7 

Schmitz-Dräger BJ, Droller M, Lokeshwar VB, Lotan Y, Hudson MA, van Rhijn BW, Marberger MJ, Fradet Y, Hemstreet GP, Malmstrom PU, et al: Molecular markers for bladder cancer screening, early diagnosis, and surveillance: The WHO/ICUD consensus. Urol Int. 94:1–24. 2015. View Article : Google Scholar : PubMed/NCBI

8 

Mowatt G, Zhu S, Kilonzo M, Boachie C, Fraser C, Griffiths TR, N'Dow J, Nabi G, Cook J and Vale L: Systematic review of the clinical effectiveness and cost-effectiveness of photodynamic diagnosis and urine biomarkers (FISH, ImmunoCyt, NMP22) and cytology for the detection and follow-up of bladder cancer. Health Technol Assess. 14(1–331): iii–iv. 2010.

9 

Lotan Y and Roehrborn CG: Sensitivity and specificity of commonly available bladder tumor markers versus cytology: Results of a comprehensive literature review and meta-analyses. Urology. 61:109–118. 2003. View Article : Google Scholar : PubMed/NCBI

10 

Schwalb DM, Herr HW and Fair WR: The management of clinically unconfirmed positive urinary cytology. J Urol. 150:1751–1756. 1993. View Article : Google Scholar : PubMed/NCBI

11 

Kamat AM, Hahn NM, Efstathiou JA, Lerner SP, Malmström PU, Choi W, Lotan Y and Kassouf W: Bladder cancer. 388:2796–2810. 2016.

12 

Dawam D: Biomarkers of bladder cancer in urine: Evaluation of diagnostic and prognostic significance of current and potential markersBladder Cancer-From Basic Science to Robotic Surgery. Abdullah Canda: InTech Europe; Rijeka: 2012, https://www.intechopen.com/books/bladder-cancer-from-basic-science-to-robotic-surgery/biomarkers-of-bladder-cancer-in-urine-evaluation-of-diagnostic-and-prognostic-significance-of-currenFebruary 1–2012 View Article : Google Scholar

13 

Witjes JA, Compérat E, Cowan NC, De Santis M, Gakis G, Lebret T, Ribal MJ, Van der Heijden AG and Sherif A: European Association of Urology: EAU guidelines on muscle-invasive and metastatic bladder cancer: Summary of the 2013 guidelines. Eur Urol. 65:778–792. 2014. View Article : Google Scholar : PubMed/NCBI

14 

Ritter R, Hennenlotter J, Kühs U, Hofmann U, Aufderklamm S, Blutbacher P, Deja A, Hohneder A, Gerber V, Gakis G, et al: Evaluation of a new quantitative point-of-care test platform for urine-based detection of bladder cancer. Urol Oncol. 32:337–344. 2014. View Article : Google Scholar : PubMed/NCBI

15 

Ecke TH, Arndt C, Stephan C, Hallmann S, Lux O, Otto T, Ruttloff J and Gerullis H: Preliminary results of a multicentre study of the UBC rapid test for detection of urinary bladder cancer. Anticancer Res. 35:2651–2655. 2015.PubMed/NCBI

16 

Styrke J, Henriksson H, Ljungberg B, Hasan M, Silfverberg I, Einarsson R, Malmström PU and Sherif A: Evaluation of the diagnostic accuracy of UBC® Rapid in bladder cancer: A Swedish multicentre study. Scand J Urol. 51:293–300. 2017. View Article : Google Scholar : PubMed/NCBI

17 

Barak V, Goike H, Panaretakis KW and Einarsson R: Clinical utility of cytokeratins as tumor markers. Clin Biochem. 37:529–540. 2004. View Article : Google Scholar : PubMed/NCBI

18 

Sumi S, Arai K, Kitahara S and Yoshida KI: Preliminary report of the clinical performance of a new urinary bladder cancer antigen test: Comparison to voided urine cytology in the detection of transitional cell carcinoma of the bladder. Clin Chim Acta. 296:111–120. 2000. View Article : Google Scholar : PubMed/NCBI

19 

Giannopoulos A, Manousakas T, Gounari A, Constantinides C, Choremi-Papadopoulou H and Dimopoulos C: Comparative evaluation of the diagnostic performance of the BTA stat test, NMP22 and urinary bladder cancer antigen for primary and recurrent bladder tumors. J Urol. 166:470–475. 2001. View Article : Google Scholar : PubMed/NCBI

20 

Gleichenhagen J, Arndt C, Casjens S, Meinig C, Gerullis H, Raiko I, Brüning T, Ecke T and Johnen G: Evaluation of a new survivin ELISA and UBC® Rapid for the detection of bladder cancer in urine. Int J Mol Sci. 19:pii: E226. 2018. View Article : Google Scholar : PubMed/NCBI

21 

Pichler R, Tulchiner G, Fritz J, Schaefer G, Horninger W and Heidegger I: Urinary UBC rapid and NMP22 test for bladder cancer surveillance in comparison to urinary cytology: results from a prospective single-center study. Int J Med Sci. 14:811–819. 2017. View Article : Google Scholar : PubMed/NCBI

22 

Ecke TH, Weiß S, Stephan C, Hallmann S, Barski D, Otto T and Gerullis H: UBC® Rapid test for detection of carcinoma in situ for bladder cancer. Tumour Biol. 39:10104283177016242017. View Article : Google Scholar : PubMed/NCBI

23 

Schueler S, Schuetz GM and Dewey M: The revised QUADAS-2 tool. Ann Intern Med. 156:323–324. 2012. View Article : Google Scholar : PubMed/NCBI

24 

Rosenblat MA, Perrotta AS and Vicenzino B: Polarized vs. threshold training intensity distribution on endurance sport performance: A systematic review and meta-analysis of randomized controlled trials. J Strength Cond Res. May 30–2018.(Epub ahead of print). View Article : Google Scholar : PubMed/NCBI

25 

Hajian-Tilaki K: Receiver operating characteristic (ROC) curve analysis for medical diagnostic test evaluation. Caspian J Intern Med. 4:627–635. 2013.PubMed/NCBI

26 

Bae JM: An overview of systematic reviews of diagnostic tests accuracy. Epidemiol Health. 36:e20140162014. View Article : Google Scholar : PubMed/NCBI

27 

Gopalakrishna G, Langendam MW, Scholten RJ, Bossuyt PM and Leeflang MM: Defining the clinical pathway in cochrane diagnostic test accuracy reviews. BMC Med Res Methodol. 16:1532016. View Article : Google Scholar : PubMed/NCBI

28 

van Enst WA, Ochodo E, Scholten RJ, Hooft L and Leeflang MM: Investigation of publication bias in meta-analyses of diagnostic test accuracy: A meta-epidemiological study. BMC Med Res Methodol. 14:702014. View Article : Google Scholar : PubMed/NCBI

29 

Zamora J, Abraira V, Muriel A, Khan K and Coomarasamy A: Meta-DiSc: A software for meta-analysis of test accuracy data. BMC Med Res Methodol. 6:312006. View Article : Google Scholar : PubMed/NCBI

30 

Deeks JJ, Macaskill P and Irwig L: The performance of tests of publication bias and other sample size effects in systematic reviews of diagnostic test accuracy was assessed. J Clin Epidemiol. 58:882–893. 2005. View Article : Google Scholar : PubMed/NCBI

31 

Mian C, Lodde M, Haitel A, Vigl Egarter E, Marberger M and Pycha A: Comparison of two qualitative assays, the UBC rapid test and the BTA stat test, in the diagnosis of urothelial cell carcinoma of the bladder. Urology. 56:228–231. 2000. View Article : Google Scholar : PubMed/NCBI

32 

Babjuk M, Kostírová M, Mudra K, Pecher S, Smolová H, Pecen L, Ibrahim Z, Dvorácek J, Jarolím L, Novák J and Zima T: Qualitative and quantitative detection of urinary human complement factor H-related protein (BTA stat and BTA TRAK) and fragments of cytokeratins 8, 18 (UBC rapid and UBC IRMA) as markers for transitional cell carcinoma of the bladder. Eur Urol. 41:34–39. 2002. View Article : Google Scholar : PubMed/NCBI

33 

Schroeder GL, Lorenzo-Gomez MF, Hautmann SH, Friedrich MG, Ekici S, Huland H and Lokeshwar V: A side by side comparison of cytology and biomarkers for bladder cancer detection. J Urol. 172:1123–1136. 2004. View Article : Google Scholar : PubMed/NCBI

34 

Hakenberg OW, Fuessel S, Richter K, Froehner M, Oehlschlaeger S, Rathert P, Meye A and Wirth MP: Qualitative and quantitative assessment of urinary cytokeratin 8 and 18 fragments compared with voided urine cytology in diagnosis of bladder carcinom. Urology. 64:1121–1126. 2004. View Article : Google Scholar : PubMed/NCBI

35 

Feber A, Dhami P, Dong L, de Winter P, Tan WS, Martínez-Fernández M, Paul DS, Hynes-Allen A, Rezaee S, Gurung P, et al: UroMark-a urinary biomarker assay for the detection of bladder cancer. Clin Epigenetics. 9:82017. View Article : Google Scholar : PubMed/NCBI

36 

Burger M, Grossman HB, Droller M, Schmidbauer J, Hermann G, Drăgoescu O, Ray E, Fradet Y, Karl A, Burgués JP, et al: Photodynamic diagnosis of non-muscle-invasive bladder cancer with hexaminolevulinate cystoscopy: A meta-analysis of detection and recurrence based on raw data. Eur Urol. 64:846–854. 2013. View Article : Google Scholar : PubMed/NCBI

37 

Xylinas E, Kluth LA, Rieken M, Karakiewicz PI, Lotan Y and Shariat SF: Urine markers for detection and surveillance of bladder cancer. Urol Oncol. 32:222–229. 2014. View Article : Google Scholar : PubMed/NCBI

38 

Glas AS, Lijmer JG, Prins MH, Bonsel GJ and Bossuyt PM: The diagnostic odds ratio: A single indicator of test performance. J Clin Epidemiol. 56:1129–1135. 2003. View Article : Google Scholar : PubMed/NCBI

39 

Sedighi I: Interpretation of diagnostic tests: Likelihood ratio vs. Predictive value. Iran J Pediatr. 23:7172013.PubMed/NCBI

40 

Liberati A, Altman DG, Tetzlaff J, Mulrow C, Gotzsche PC, Ioannidis JP, Clarke M, Devereaux PJ, Kleijnen J and Moher D: The PRISMA statement for reporting systematic reviews and meta-analyses of studies that evaluate healthcare interventions: Explanation and elaboration. BMJ. 339:b27002009. View Article : Google Scholar : PubMed/NCBI

41 

Rubia K, Alegria AA, Cubillo AI, Smith AB, Brammer MJ and Radua J: Effects of stimulants on brain function in attention-deficit/hyperactivity disorder: A systematic review and meta-analysis. Biol Psychiatry. 76:616–628. 2014. View Article : Google Scholar : PubMed/NCBI

Related Articles

  • Abstract
  • View
  • Download
  • Twitter
Copy and paste a formatted citation
Spandidos Publications style
Lu P, Cui J, Chen K, Lu Q, Zhang J, Tao J, Han Z, Zhang W, Song R, Gu M, Gu M, et al: Diagnostic accuracy of the UBC® Rapid Test for bladder cancer: A meta‑analysis. Oncol Lett 16: 3770-3778, 2018.
APA
Lu, P., Cui, J., Chen, K., Lu, Q., Zhang, J., Tao, J. ... Gu, M. (2018). Diagnostic accuracy of the UBC® Rapid Test for bladder cancer: A meta‑analysis. Oncology Letters, 16, 3770-3778. https://doi.org/10.3892/ol.2018.9089
MLA
Lu, P., Cui, J., Chen, K., Lu, Q., Zhang, J., Tao, J., Han, Z., Zhang, W., Song, R., Gu, M."Diagnostic accuracy of the UBC® Rapid Test for bladder cancer: A meta‑analysis". Oncology Letters 16.3 (2018): 3770-3778.
Chicago
Lu, P., Cui, J., Chen, K., Lu, Q., Zhang, J., Tao, J., Han, Z., Zhang, W., Song, R., Gu, M."Diagnostic accuracy of the UBC® Rapid Test for bladder cancer: A meta‑analysis". Oncology Letters 16, no. 3 (2018): 3770-3778. https://doi.org/10.3892/ol.2018.9089
Copy and paste a formatted citation
x
Spandidos Publications style
Lu P, Cui J, Chen K, Lu Q, Zhang J, Tao J, Han Z, Zhang W, Song R, Gu M, Gu M, et al: Diagnostic accuracy of the UBC® Rapid Test for bladder cancer: A meta‑analysis. Oncol Lett 16: 3770-3778, 2018.
APA
Lu, P., Cui, J., Chen, K., Lu, Q., Zhang, J., Tao, J. ... Gu, M. (2018). Diagnostic accuracy of the UBC® Rapid Test for bladder cancer: A meta‑analysis. Oncology Letters, 16, 3770-3778. https://doi.org/10.3892/ol.2018.9089
MLA
Lu, P., Cui, J., Chen, K., Lu, Q., Zhang, J., Tao, J., Han, Z., Zhang, W., Song, R., Gu, M."Diagnostic accuracy of the UBC® Rapid Test for bladder cancer: A meta‑analysis". Oncology Letters 16.3 (2018): 3770-3778.
Chicago
Lu, P., Cui, J., Chen, K., Lu, Q., Zhang, J., Tao, J., Han, Z., Zhang, W., Song, R., Gu, M."Diagnostic accuracy of the UBC® Rapid Test for bladder cancer: A meta‑analysis". Oncology Letters 16, no. 3 (2018): 3770-3778. https://doi.org/10.3892/ol.2018.9089
Follow us
  • Twitter
  • LinkedIn
  • Facebook
About
  • Spandidos Publications
  • Careers
  • Cookie Policy
  • Privacy Policy
How can we help?
  • Help
  • Live Chat
  • Contact
  • Email to our Support Team