Spandidos Publications Logo
  • About
    • About Spandidos
    • Aims and Scopes
    • Abstracting and Indexing
    • Editorial Policies
    • Reprints and Permissions
    • Job Opportunities
    • Terms and Conditions
    • Contact
  • Journals
    • All Journals
    • Oncology Letters
      • Oncology Letters
      • Information for Authors
      • Editorial Policies
      • Editorial Board
      • Aims and Scope
      • Abstracting and Indexing
      • Bibliographic Information
      • Archive
    • International Journal of Oncology
      • International Journal of Oncology
      • Information for Authors
      • Editorial Policies
      • Editorial Board
      • Aims and Scope
      • Abstracting and Indexing
      • Bibliographic Information
      • Archive
    • Molecular and Clinical Oncology
      • Molecular and Clinical Oncology
      • Information for Authors
      • Editorial Policies
      • Editorial Board
      • Aims and Scope
      • Abstracting and Indexing
      • Bibliographic Information
      • Archive
    • Experimental and Therapeutic Medicine
      • Experimental and Therapeutic Medicine
      • Information for Authors
      • Editorial Policies
      • Editorial Board
      • Aims and Scope
      • Abstracting and Indexing
      • Bibliographic Information
      • Archive
    • International Journal of Molecular Medicine
      • International Journal of Molecular Medicine
      • Information for Authors
      • Editorial Policies
      • Editorial Board
      • Aims and Scope
      • Abstracting and Indexing
      • Bibliographic Information
      • Archive
    • Biomedical Reports
      • Biomedical Reports
      • Information for Authors
      • Editorial Policies
      • Editorial Board
      • Aims and Scope
      • Abstracting and Indexing
      • Bibliographic Information
      • Archive
    • Oncology Reports
      • Oncology Reports
      • Information for Authors
      • Editorial Policies
      • Editorial Board
      • Aims and Scope
      • Abstracting and Indexing
      • Bibliographic Information
      • Archive
    • Molecular Medicine Reports
      • Molecular Medicine Reports
      • Information for Authors
      • Editorial Policies
      • Editorial Board
      • Aims and Scope
      • Abstracting and Indexing
      • Bibliographic Information
      • Archive
    • World Academy of Sciences Journal
      • World Academy of Sciences Journal
      • Information for Authors
      • Editorial Policies
      • Editorial Board
      • Aims and Scope
      • Abstracting and Indexing
      • Bibliographic Information
      • Archive
    • International Journal of Functional Nutrition
      • International Journal of Functional Nutrition
      • Information for Authors
      • Editorial Policies
      • Editorial Board
      • Aims and Scope
      • Abstracting and Indexing
      • Bibliographic Information
      • Archive
    • International Journal of Epigenetics
      • International Journal of Epigenetics
      • Information for Authors
      • Editorial Policies
      • Editorial Board
      • Aims and Scope
      • Abstracting and Indexing
      • Bibliographic Information
      • Archive
    • Medicine International
      • Medicine International
      • Information for Authors
      • Editorial Policies
      • Editorial Board
      • Aims and Scope
      • Abstracting and Indexing
      • Bibliographic Information
      • Archive
  • Articles
  • Information
    • Information for Authors
    • Information for Reviewers
    • Information for Librarians
    • Information for Advertisers
    • Conferences
  • Language Editing
Spandidos Publications Logo
  • About
    • About Spandidos
    • Aims and Scopes
    • Abstracting and Indexing
    • Editorial Policies
    • Reprints and Permissions
    • Job Opportunities
    • Terms and Conditions
    • Contact
  • Journals
    • All Journals
    • Biomedical Reports
      • Information for Authors
      • Editorial Policies
      • Editorial Board
      • Aims and Scope
      • Abstracting and Indexing
      • Bibliographic Information
      • Archive
    • Experimental and Therapeutic Medicine
      • Information for Authors
      • Editorial Policies
      • Editorial Board
      • Aims and Scope
      • Abstracting and Indexing
      • Bibliographic Information
      • Archive
    • International Journal of Epigenetics
      • Information for Authors
      • Editorial Policies
      • Editorial Board
      • Aims and Scope
      • Abstracting and Indexing
      • Bibliographic Information
      • Archive
    • International Journal of Functional Nutrition
      • Information for Authors
      • Editorial Policies
      • Editorial Board
      • Aims and Scope
      • Abstracting and Indexing
      • Bibliographic Information
      • Archive
    • International Journal of Molecular Medicine
      • Information for Authors
      • Editorial Policies
      • Editorial Board
      • Aims and Scope
      • Abstracting and Indexing
      • Bibliographic Information
      • Archive
    • International Journal of Oncology
      • Information for Authors
      • Editorial Policies
      • Editorial Board
      • Aims and Scope
      • Abstracting and Indexing
      • Bibliographic Information
      • Archive
    • Medicine International
      • Information for Authors
      • Editorial Policies
      • Editorial Board
      • Aims and Scope
      • Abstracting and Indexing
      • Bibliographic Information
      • Archive
    • Molecular and Clinical Oncology
      • Information for Authors
      • Editorial Policies
      • Editorial Board
      • Aims and Scope
      • Abstracting and Indexing
      • Bibliographic Information
      • Archive
    • Molecular Medicine Reports
      • Information for Authors
      • Editorial Policies
      • Editorial Board
      • Aims and Scope
      • Abstracting and Indexing
      • Bibliographic Information
      • Archive
    • Oncology Letters
      • Information for Authors
      • Editorial Policies
      • Editorial Board
      • Aims and Scope
      • Abstracting and Indexing
      • Bibliographic Information
      • Archive
    • Oncology Reports
      • Information for Authors
      • Editorial Policies
      • Editorial Board
      • Aims and Scope
      • Abstracting and Indexing
      • Bibliographic Information
      • Archive
    • World Academy of Sciences Journal
      • Information for Authors
      • Editorial Policies
      • Editorial Board
      • Aims and Scope
      • Abstracting and Indexing
      • Bibliographic Information
      • Archive
  • Articles
  • Information
    • For Authors
    • For Reviewers
    • For Librarians
    • For Advertisers
    • Conferences
  • Language Editing
Login Register Submit
  • This site uses cookies
  • You can change your cookie settings at any time by following the instructions in our Cookie Policy. To find out more, you may read our Privacy Policy.

    I agree
Search articles by DOI, keyword, author or affiliation
Search
Advanced Search
presentation
Oncology Letters
Join Editorial Board Propose a Special Issue
Print ISSN: 1792-1074 Online ISSN: 1792-1082
Journal Cover
June-2019 Volume 17 Issue 6

Full Size Image

Sign up for eToc alerts
Recommend to Library

Journals

International Journal of Molecular Medicine

International Journal of Molecular Medicine

International Journal of Molecular Medicine is an international journal devoted to molecular mechanisms of human disease.

International Journal of Oncology

International Journal of Oncology

International Journal of Oncology is an international journal devoted to oncology research and cancer treatment.

Molecular Medicine Reports

Molecular Medicine Reports

Covers molecular medicine topics such as pharmacology, pathology, genetics, neuroscience, infectious diseases, molecular cardiology, and molecular surgery.

Oncology Reports

Oncology Reports

Oncology Reports is an international journal devoted to fundamental and applied research in Oncology.

Experimental and Therapeutic Medicine

Experimental and Therapeutic Medicine

Experimental and Therapeutic Medicine is an international journal devoted to laboratory and clinical medicine.

Oncology Letters

Oncology Letters

Oncology Letters is an international journal devoted to Experimental and Clinical Oncology.

Biomedical Reports

Biomedical Reports

Explores a wide range of biological and medical fields, including pharmacology, genetics, microbiology, neuroscience, and molecular cardiology.

Molecular and Clinical Oncology

Molecular and Clinical Oncology

International journal addressing all aspects of oncology research, from tumorigenesis and oncogenes to chemotherapy and metastasis.

World Academy of Sciences Journal

World Academy of Sciences Journal

Multidisciplinary open-access journal spanning biochemistry, genetics, neuroscience, environmental health, and synthetic biology.

International Journal of Functional Nutrition

International Journal of Functional Nutrition

Open-access journal combining biochemistry, pharmacology, immunology, and genetics to advance health through functional nutrition.

International Journal of Epigenetics

International Journal of Epigenetics

Publishes open-access research on using epigenetics to advance understanding and treatment of human disease.

Medicine International

Medicine International

An International Open Access Journal Devoted to General Medicine.

Journal Cover
June-2019 Volume 17 Issue 6

Full Size Image

Sign up for eToc alerts
Recommend to Library

  • Article
  • Citations
    • Cite This Article
    • Download Citation
    • Create Citation Alert
    • Remove Citation Alert
    • Cited By
  • Similar Articles
    • Related Articles (in Spandidos Publications)
    • Similar Articles (Google Scholar)
    • Similar Articles (PubMed)
  • Download PDF
  • Download XML
  • View XML
Article Open Access

Long non‑coding RNA‑neighboring enhancer of FOXA2 inhibits the migration and invasion of small cell lung carcinoma cells by downregulating transforming growth factor‑β1

  • Authors:
    • Lei Wu
    • Pan Wang
  • View Affiliations / Copyright

    Affiliations: Department of Respiratory Medicine, The First People's Hospital of Tianmen City, Tianmen, Hubei 431700, P.R. China, Clinical Laboratory, The First People's Hospital of Tianmen City, Tianmen, Hubei 431700, P.R. China
    Copyright: © Wu et al. This is an open access article distributed under the terms of Creative Commons Attribution License.
  • Pages: 4969-4975
    |
    Published online on: March 15, 2019
       https://doi.org/10.3892/ol.2019.10152
  • Expand metrics +
Metrics: Total Views: 0 (Spandidos Publications: | PMC Statistics: )
Metrics: Total PDF Downloads: 0 (Spandidos Publications: | PMC Statistics: )
Cited By (CrossRef): 0 citations Loading Articles...

This article is mentioned in:



Abstract

Long non‑coding RNA‑neighboring enhancer of FOXA2 (lncRNA‑NEF) is a recently identified tumor suppressor in hepatocellular carcinoma. The present study aimed to investigate the role of lncRNA‑NEF in small cell lung carcinoma (SCLC). Expression levels of lncRNA‑NEF in the lung biopsy tissues and plasma samples from patients with SCLC and from healthy controls were detected using reverse transcription‑quantitative polymerase chain reaction. Receiver operating characteristic curve analysis was performed to evaluate the diagnostic value of lncRNA‑NEF as a marker of SCLC. The association between plasma levels of lncRNA‑NEF and the clinical data of patients was analyzed using the χ2 test. An lncRNA‑NEF expression vector was prepared and transfected into SCLC cells, and cellular migration and invasion were detected using Transwell migration and invasion assays, respectively. The expression of transforming growth factor β1 (TGF‑β1) was detected using western blotting. The results demonstrated that the expression level of lncRNA‑NEF was lower in patients with SCLC compared with that in healthy controls. The expression level of lncRNA‑NEF in the plasma was associated with distant tumor metastasis. lncRNA‑NEF overexpression inhibited SCLC cell migration and invasion, resulting in TGF‑β1 downregulation, while treatment with exogenous TGF‑β1 reduced the inhibitory effects of lncRNA‑NEF overexpression on migration and invasion. Therefore, it was concluded that lncRNA‑NEF inhibited the migration and invasion of SCLC cells, which was potentially associated with the downregulation of TGF‑β1.

Introduction

Tumor metastasis is the principal reason for poor survival in patients with cancer (1), and its treatment and prevention are particularly challenging (2). Lung cancer is one of the most frequently diagnosed cancer types, and is the leading cause of mortality among males, and the second leading cause among females (3). A considerable number of patients with lung cancer are diagnosed at the late stages of the disease, and with existing tumor metastasis, their prognosis is poor (3). The majority of lung cancer studies have focused on non-small cell lung cancer (NSCLC) (4). SCLC is an aggressive, highly metastasizing and frequently lethal type of lung cancer, yet it accounts for only ~15% of all cases of lung cancer (5). At present, studies on SCLC are limited in number.

Through its role in epithelial-mesenchymal transition (EMT), activation of the transforming growth factor β (TGF-β) pathway is associated with metastasis in a number of malignancies (6). The tumor suppressive and oncogenic roles of TGF-β have been extensively investigated in different types of lung cancer (7,8). TGF-β signaling inhibits cell proliferation at the early stages of tumor initiation (7,8). By contrast, activation of TGF-β signaling promotes tumor metastasis at the late stages of cancer development. The actions of TGF-β may be mediated by interactions with long non-coding RNAs (lncRNAs) (9), a group of ncRNAs composed of >200 nucleotides (10). A growing body of literature has illustrated that lncRNAs are critical in human diseases (10). lncRNA-neighboring enhancer of FOXA2 (NEF) is a recently identified tumor suppressor in hepatocellular carcinoma, but with unknown functionality in other cancer types (11). In the present study, lncRNA-NEF inhibited the migration and invasion of SCLC cells, possibly as a result of TGF-β pathway inhibition.

Materials and methods

Patients

A total of 134 patients with SCLC were diagnosed and treated in The First People's Hospital of Tianmen City (Tianmen, Hubei, China) between May 2015 and January 2018. Among those patients, 46 were included in the present study according to pre-determined exclusion and inclusion criteria. Inclusion criteria were as follows: i) Patients diagnosed using fine-needle lung biopsies; ii) patients diagnosed and treated for the first time; and iii) patients willing to participate. Exclusion criteria were as follows: i) Patients with other malignancies; ii) patients with chronic lung diseases; iii) patients >70 years of age; and iv) patients who had previously received treatment for lung cancer. The patient group included 29 males and 17 females (age range, 23–68 years; mean age, 45.5±5.6 years), and all patients were between cancer stages IIIA and IVB (as defined by The American Joint Committee on Cancer) (12). A total of 98 individuals concurrently received lung biopsies in The First People's Hospital of Tianmen City to detect potential lung lesions; 32 of these individuals tested negative for lung lesions, and were recruited as the control group consisting of 18 males and 14 females (age range, 26–69 years; mean age, 46.6±6.1 years). There were no significant differences in age and sex between the two groups. The present study was approved by the Ethics Committee of The First People's Hospital of Tianmen City, and all patients provided written informed consent.

Lung biopsies and preparation of plasma

Lung biopsies of all subjects were obtained from the specimen library of The First People's Hospital of Tianmen City. Blood (10 ml) was extracted in the morning prior to breakfast from the elbow vein of each subject. Blood was used to prepare plasma through centrifugation at 1,200 × g for 15 min at room temperature.

Cell lines, culture and transfection

The human SCLC cell lines, SHP-77 [American Type Culture Collection (ATCC) CRL-2195™] and NCI-H69 [H69] (ATCC HTB-119™) were purchased from the ATCC (Manassas, VA, USA). The cells were cultured with ATCC-formulated RPMI-1640 Medium (cat. no. 30-2001; ATCC) containing 10% fetal bovine serum (FBS; cat. no. 30–2020; ATCC) at 37°C with 5% CO2. Full-length lncRNA-NEF DNA (11) was amplified using polymerase chain reaction (PCR) and inserted into the pIRSE2 vector (Clontech, Laboratories, Inc., Mountainview, CA, USA) to establish an lncRNA-NEF expression vector. Cells were cultured to 80–90% confluence and 5×105 cells were transfected with 10 mM vector using Lipofectamine 2000® reagent (cat. no. 11668-019; Invitrogen; Thermo Fisher Scientific, Inc., Waltham, MA, USA). Untransfected cells and cells transfected with empty vector were used as controls and further experiments were carried out at 24 h following transfection.

Reverse transcription-quantitative PCR (RT-qPCR)

TRIzol® reagent (Invitrogen; Thermo Fisher Scientific, Inc.) was used to extract total RNA from lung biopsy tissues, plasma and in vitro cultured cells. For TGF-β1 (Sigma-Aldrich, USA) treatment, cells were treated with exogenous TGF-β1 at 5, 10, 20 and 50 ng/ml for 24 at 37°C after transfection before RNA extractions. The SuperScript IV Reverse Transcriptase kit (Thermo Fisher Scientific, Inc.) was used to synthesize cDNA, and SYBR® Green Real-Time PCR Master mix (Thermo Fisher Scientific, Inc.) was used to conduct PCR using an ABI PRISM 7500 sequence detection system (Applied Biosystems, Rockford, IL, USA). The thermocycling conditions were as follows: 80 sec at 95°C, followed by 40 cycles of 22 sec at 95°C and 40 sec at 58°C. Primers used in the PCR were as follows: lncRNA-NEF forward, 5′-CTGCCGTCTTAAACCAACCC-3′ and reverse, 5′-GCCCAAACAGCTCCTCAATT-3′; and β-actin forward, 5′-GACCTCTATGCCAACACAGT-3′ and reverse, 5′-AGTACTTGCGCTCAGGAGGA-3′. Data normalization was performed using the 2−ΔΔcq method (13), and the experiment was performed in triplicate.

Cell migration and invasion assays

Following transfection, an lncRNA-NEF expression rate of >200% was confirmed using RT-qPCR. Following transfection, for TGF-β1 treatment, cells were treated with 10 ng/ml exogenous TGF-β1 (Sigma-Aldrich; Merck KGaA, Darmstadt, Germany) for 24 h at 37°C prior to use. Cell migration and invasion were detected using Transwell cell migration and invasion kits (BD Biosciences, San Jose, CA, USA). Cell suspensions were prepared using RPMI-1640 medium (non-serum) to a final concentration of 5×104 cell/ml. For the migration assay, 5×103 cells in 0.1 ml cell suspension were added to the upper Transwell chamber, while the lower chamber was filled with RPMI containing 20% FBS. Cells were cultured for 6 h and the membranes were subsequently stained with 0.5% crystal violet (Sigma-Aldrich; Merck KGaA) at room temperature for 20 min. The invasion assay was performed in the same manner, but the upper chamber was pre-coated with Matrigel (cat. no. 356234; EMD Millipore, Billerica, MA, USA) prior to the addition of the cells. Stained cells were counted under an optical microscope (Olympus Corporation, Tokyo, Japan).

Western blotting

Cell lysis buffer (Clontech, Laboratories, Inc.,) was used to extract protein from in vitro-cultured cells, and the protein concentration was determined using a bicinchoninic acid assay. Protein samples were denatured and 20 µg protein per lane was separated using SDS-PAGE on a 10% gel. Following transfer, PVDF membranes (Bio-Rad, Laboratories, Inc., Hercules, CA, USA) were blocked with 5% skimmed milk at room temperature for 2 h, and incubated with rabbit anti-human primary antibodies against TGF-β1 (1:2,000; cat. no. ab92486, Abcam, Cambridge, UK) and GAPDH (1:1,000; cat. no. ab9485, Abcam) overnight at 4°C. Subsequent to washing with PBS in triplicate at room temperature for 15 min per time, membranes were further incubated with goat anti-rabbit IgG-HRP secondary antibody (1:1,000; cat. no. MBS435036; MyBioSource, San Diego, CA, USA) at room temperature for 2 h. ECL™ Prime Western Blotting System (ECL; Sigma-Aldrich; Merck KGaA) was used to develop the blots, and the relative expression level of TGF-β1 was normalized to GAPDH using Image J 1.51 software (National Institutes of Health, Bethesda, MD, USA).

Statistical analysis

GraphPad Prism 6 (GraphPad Software, Inc., La Jolla, CA, USA) was used for all statistical analyses. Gene expression, cell migration and invasion data are expressed as the mean ± standard deviation, and compared using the unpaired t-test (between two groups), or one-way analysis of variance followed by least significant difference test (among multiple groups). Associations between the plasma levels of lncRNA-NEF and the clinicopathological data of patients were analyzed using the χ2 test. P<0.05 was considered to indicate a statistically significant difference.

Results

Expression of lncRNA-NEF is downregulated in patients with SCLC compared with healthy controls

Expression level of lncRNA-NEF was detected in the lung tissue and plasma of patients with SCLC, and in healthy controls. As illustrated in Fig. 1, the expression levels of lncRNA-NEF were significantly lower in the lung tissue (Fig. 1A, P<0.05) and plasma (Fig. 1B, P<0.05) of patients with SCLC, compared with those of the healthy controls.

Figure 1.

Expression of lncRNA-NEF is downregulated in patients with SCLC. Comparison of the expression levels of lncRNA-NEF in (A) lung biopsy tissues and (B) plasma revealed significantly downregulated expression of lncRNA-NEF in SCLC patients compared with that in healthy controls. *P<0.05. lncRNA-NEF, long non-coding RNA-neighboring enhancer of FOXA2; SCLC, small cell lung carcinoma.

Downregulation of lncRNA-NEF distinguishes patients with SCLC from healthy controls

Receiver operating characteristic curve analysis was performed to evaluate the diagnostic value of lncRNA-NEF in SCLC. For lncRNA-NEF expression in lung biopsies, the area under the curve (AUC) was 0.8549, with a standard error of 0.04144 and a 95% confidence interval of 0.7737–0.9362 (Fig. 2A). For lncRNA-NEF expression in plasma, the AUC was 0.8309, with a standard error of 0.04755 and a 95% confidence interval of 0.7377–0.9241 (Fig. 2B).

Figure 2.

Downregulation of lncRNA-NEF distinguishes patients with SCLC from healthy controls. Receiver operating characteristic curve analysis of the diagnostic value of lncRNA-NEF expression in the (A) lung tissues and (B) plasma of patients with SCLC. lncRNA-NEF, long non-coding RNA-neighboring enhancer of FOXA2; SCLC, small cell lung carcinoma.

Expression levels of lncRNA-NEF are associated with distant tumor metastasis, but not tumor size

Patients were divided into high and low expression groups according to the median relative expression level of lncRNA-NEF in lung biopsies (2.14) and plasma (2.02), respectively. Associations between plasma levels of lncRNA-NEF and the clinicopathological data of patients were analyzed using the χ2 test. The results illustrated that expression levels of lncRNA-NEF in lung biopsies (Table I) and plasma (Table II) were significantly associated with distant tumor metastasis (P<0.05), but not age, sex, smoking status, alcohol consumption or tumor size.

Table I.

Associations between the expression levels of long non-coding RNA-neighboring enhancer of FOXA2 in lung biopsy tissues and the clinicopathological characteristics of patients with small cell lung cancer.

Table I.

Associations between the expression levels of long non-coding RNA-neighboring enhancer of FOXA2 in lung biopsy tissues and the clinicopathological characteristics of patients with small cell lung cancer.

VariableCases, nHigh expression, nLow expression, nχ2 valueP-value
Sex 0.840.36
  Male291316
  Female1710  7
Age, years 0.790.37
  ≥45251114
  <452112  9
Tumor size, cm
  >716  7  90.470.79
  5–71810  8
  <512  6  6
Distant tumor metastasis 5.660.02
  Yes26  917
  No2014  6
Smoking status 0.350.55
  Positive221012
  Negative241311
Alcohol consumption 0.810.37
  Yes19  811
  No271512

Table II.

Associations between the plasma expression levels of long non-coding RNA-neighboring enhancer of FOXA2 in and the clinicopathological characteristics of patients with small cell lung cancer.

Table II.

Associations between the plasma expression levels of long non-coding RNA-neighboring enhancer of FOXA2 in and the clinicopathological characteristics of patients with small cell lung cancer.

VariableCases, nHigh expression, nLow expression, nχ2 valueP-value
Sex
  Male2914150.100.79
  Female17  9  8
Age, years
  ≥452510152.190.14
  <452113  8
Tumor size, cm
  >716  7  90.580.75
  5–718  9  9
  <512  7  5
Distant tumor metastasis
  Yes26  9175.660.02
  No2014  6
Smoking status
  Positive22  9131.390.24
  Negative241410
Alcohol consumption
  Yes19  8110.810.37
  No271512
lncRNA-NEF overexpression inhibits and exogenous TGF-β1 promotes the migration and invasion of SCLC cells

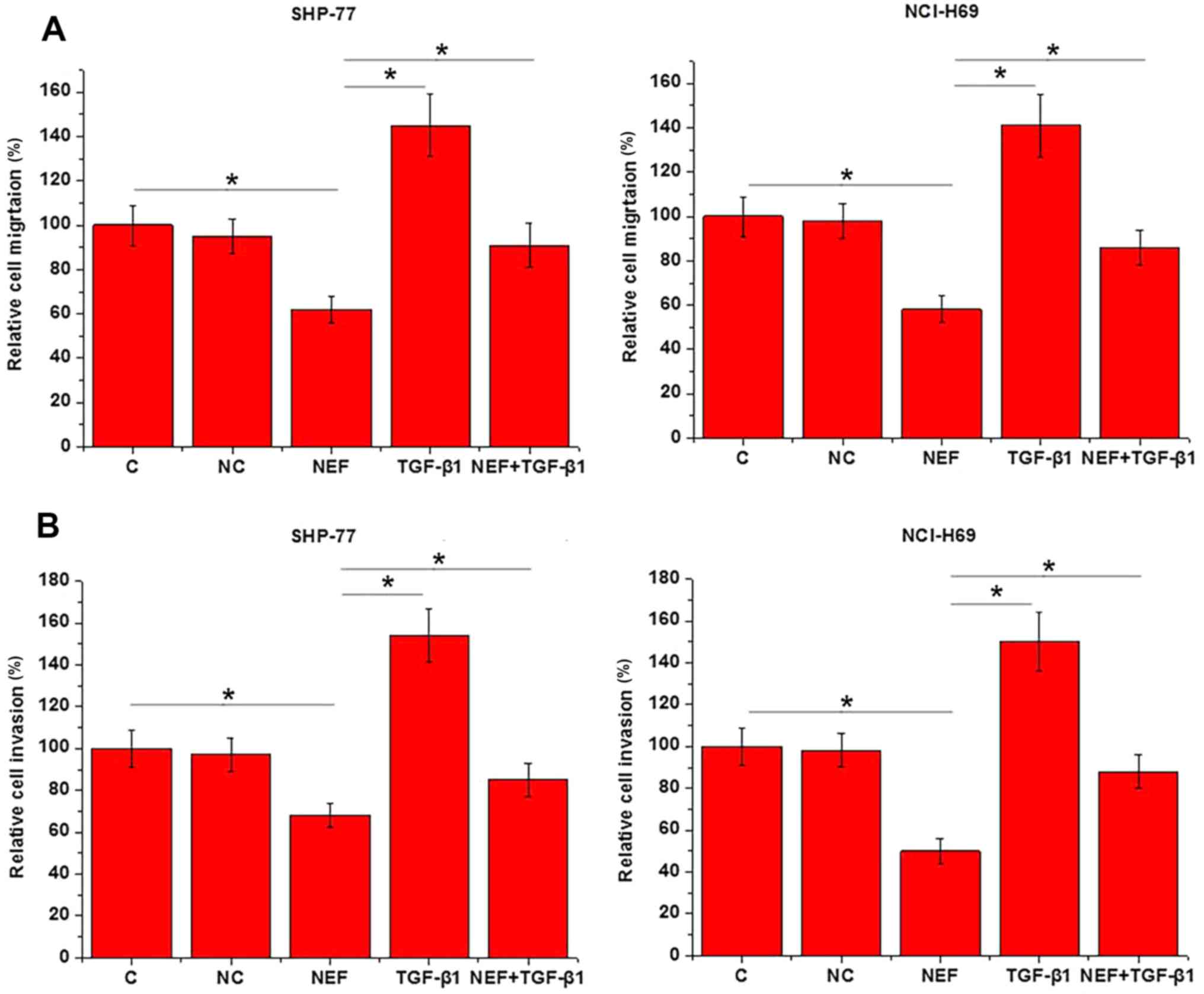
The aforementioned results indicated the involvement of lncRNA-NEF in SCLC metastasis. To further support these findings, lncRNA-NEF expression vectors were transfected into SHP-77 and NCI-H69 cell lines, and cell migration and invasion were assessed using Transwell migration and invasion assays, respectively. Compared with the control and negative control cells, the cells overexpressing lncRNA-NEF demonstrated a significant reduction in migration (Fig. 3A) and invasion (P<0.05; Fig. 3B). By contrast, treatment with 10 ng/ml exogenous TGF-β1 significantly promoted cell migration and invasion, and reduced the inhibitory effects of lncRNA-NEF overexpression on cell migration and invasion (P<0.05).

Figure 3.

lncRNA-NEF overexpression inhibits and exogenous TGF-β1 promotes the migration and invasion of SCLC cells. Transwell migration and invasion assays revealed that compared with control and negative control cells, cells overexpressing lncRNA-NEF exhibited significantly reduced (A) cell migration and (B) invasion. By contrast, treatment with 10 ng/ml exogenous TGF-β1 significantly promoted cell migration and invasion, and reduced the inhibitory effects of lncRNA-NEF overexpression. The experiment was performed in triplicate. *P<0.05, revealed by one-way analysis of variance followed by least significant difference test. lncRNA-NEF, long non-coding RNA-neighboring enhancer of FOXA2; TGF-β1, transforming growth factor β1; SCLC, small cell lung carcinoma; C, control; NC, negative control.

lncRNA-NEF is a potential upstream inhibitor of TGF-β1 in SCLC

To further investigate the interactions between TGF-β1 and lncRNA-NEF, the expression level of TGF-β1 following lncRNA-NEF overexpression was detected using western blotting. As displayed in Fig. 4A, overexpression of lncRNA-NEF was achieved in two SCLC cell lines (P<0.05). Compared with the control and negative control cells, cells overexpressing lncRNA-NEF exhibited significantly lower TGF-β1 expression levels (active homodimer; Fig. 4B; P<0.05). By contrast, treatment with exogenous TGF-β1 at 5, 10, 20 and 50 ng/ml did not significantly effect lncRNA-NEF expression (Fig. 4C; P>0.05).

Figure 4.

Potential lncRNA-NEF-associated inhibition of TGF-β1 in SCLC. (A) Compared with the control and negative control, overexpression of lncRNA-NEF was achieved in SHP-77 and NCI-H69 cells. (B) Western blot analysis revealed that lncRNA-NEF overexpression significantly downregulated TGF-β1 expression. (C) By contrast, reverse transcription-quantitative polymerase chain reaction revealed that treatment with exogenous TGF-β1 (15, 10, 20 and 50 ng/ml) exhibited no significant effect on lncRNA-NEF expression. The experiment was performed in triplicate. *P<0.05, as revealed by one-way analysis of variance, followed by least significant difference test. lncRNA-NEF, long non-coding RNA-neighboring enhancer of FOXA2; TGF-β1, transforming growth factor β1; SCLC, small cell lung carcinoma; C, control; NC, negative control.

Discussion

lncRNA-NEF is a recently identified lncRNA with characterized tumor suppressor activity in hepatocellular carcinoma (11). The primary finding of the present study was that lncRNA-NEF may also be a tumor suppressor in SCLC. The results provided evidence that lncRNA-NEF was involved in the regulation of SCLC tumor metastasis, and that this was associated with the TGF-β pathway.

Altered expression levels of particular lncRNAs have been observed in the development of different types of lung cancer, including SCLC (14); lncRNA-taurine upregulated gene 1 (TUG1) was upregulated in SCLC, and the overexpression of TUG1 in cancer tissues and cells not only promoted cell growth, but also reduced the chemoresistance of cancer cells (15). Upregulation of lncRNA-exocyst complex component 7 (EXOC7) has also been observed in the cancer tissues of patients with SCLC (compared with para-cancerous tissues), and increased expression levels of lncRNA-EXOC7 provided diagnostic value (16). Additionally, lncRNA-NEF displayed a downregulated expression pattern in hepatocellular carcinoma (11). In the present study, significantly lower expression levels of lncRNA-NEF were observed in the lung tissue and plasma of patients with SCLC, compared with those in the healthy controls, indicating a role for lncRNA-NEF as a tumor suppressor in SCLC.

Differential expression of lncRNAs provides guidance for the diagnosis of lung cancer (17,18). In the present study, ROC curve analysis revealed that the downregulation of lncRNA-NEF may be used to effectively distinguish SCLC patients from healthy individuals. Furthermore, lncRNA-NEF expression levels were not significantly associated with patients' age, gender, alcohol consumption and smoking status, factors that may potentially influence lncRNA expression. Therefore, lncRNA-NEF may serve as a potential diagnostic marker for SCLC. However, lncRNA-NEF is a newly identified lncRNA with a known expression pattern in hepatocellular carcinoma only (11), thus the use of multiple biomarkers may improve diagnostic specificity.

TGF-β signaling is a double-edged sword in cancer biology (19), as it inhibits tumor growth at the initiation of cancer, but promotes tumor metastasis at the later stages of disease (7,20). The involvement of TGF-β signaling in the regulation of lung cancer metastasis has been reported in a number of subtypes, including lung adenocarcinoma metastasis (7) and NSCLC (21). In the present study, TGF-β1 resulted in accelerated migration and invasion of SCLC cells in vitro, suggesting that TGF-β1 is involved in the metastasis of SCLC. It has been frequently observed that expression of TGF-β1 can be regulated by lncRNAs during cancer development (22,23). The present study suggested that lncRNA-NEF is an upstream inhibitor of TGF-β1 in the regulation of migration and invasion of cells in SCLC. However, whether this regulatory role is direct or indirect remains unknown. Future studies aim to identify the potential intermediates between lncRNA-NEF and TGF-β1.

In conclusion, lncRNA-NEF is downregulated in SCLC patients compared with healthy controls, supporting its role as a tumor suppressor in this disease. lncRNA-NEF may promote metastasis, but not tumor growth, in SCLC by interacting with TGF-β1.

Acknowledgements

Not applicable.

Funding

No funding was received.

Availability of data and materials

All data generated or analyzed during this study are included in this published article.

Author's contributions

LW and PW were responsible for the conception and design of the study, and performed the experiments. LW analyzed and interpreted the data. LW and PW then drafted the article and were responsible for the revision of the manuscript.

Ethics approval and consent to participate

The protocol of the present study was approved by the Ethics Review Committee of The First People's Hospital of Tianmen City (Tianmen, China), and all patients provided written informed consent.

Patient consent for publication

Not applicable.

Competing interests

The authors declare that they have no competing interests.

References

1 

Heerboth S, Housman G, Leary M, Longacre M, Byler S, Lapinska K, Willbanks A and Sarkar S: EMT and tumor metastasis. Clin Transl Med. 4:62015. View Article : Google Scholar : PubMed/NCBI

2 

Ghajar CM: Metastasis prevention by targeting the dormant niche. Nat Rev Cancer. 15:238–247. 2015. View Article : Google Scholar : PubMed/NCBI

3 

Siegel RL, Miller KD and Jemal A: Cancer statistics, 2015. CA Cancer J Clin. 65:5–29. 2015. View Article : Google Scholar : PubMed/NCBI

4 

Ettinger DS, Akerley W, Bepler G, Blum MG, Chang A, Cheney RT, Chirieac LR, D'Amico TA, Demmy TL, Ganti AK, et al: Non-small cell lung cancer. J Natl Compr Canc Netw. 8:740–801. 2010. View Article : Google Scholar : PubMed/NCBI

5 

Tanoue LT, Tanner NT, Gould MK and Silvestri GA: Lung cancer screening. Am J Respir Crit Care Med. 191:19–33. 2015. View Article : Google Scholar : PubMed/NCBI

6 

David CJ, Huang YH, Chen M, Su J, Zou Y, Bardeesy N, Iacobuzio-Donahue CA and Massagué J: TGF-β tumor suppression through a lethal EMT. Cell. 164:1015–1030. 2016. View Article : Google Scholar : PubMed/NCBI

7 

Yu JR, Tai Y, Jin Y, Hammell MC, Wilkinson JE, Roe JS, Vakoc CR and Van Aelst L: TGF-β/Smad signaling through DOCK4 facilitates lung adenocarcinoma metastasis. Genes Dev. 29:250–261. 2015. View Article : Google Scholar : PubMed/NCBI

8 

Yang H, Wang L, Zhao J, Chen Y, Lei Z, Liu X, Xia W, Guo L and Zhang HT: TGF-β-activated SMAD3/4 complex transcriptionally upregulates N-cadherin expression in non-small cell lung cancer. Lung Cancer. 87:249–257. 2015. View Article : Google Scholar : PubMed/NCBI

9 

Li C, Wan L, Liu Z, Xu G, Wang S, Su Z, Zhang Y, Zhang C, Liu X, Lei Z and Zhang HT: Long non-coding RNA XIST promotes TGF-β-induced epithelial-mesenchymal transition by regulating miR-367/141-ZEB2 axis in non-small-cell lung cancer. Cancer Lett. 418:185–195. 2018. View Article : Google Scholar : PubMed/NCBI

10 

Fatica A and Bozzoni I: Long non-coding RNAs: New players in cell differentiation and development. Nat Rev Genet. 15:7–21. 2014. View Article : Google Scholar : PubMed/NCBI

11 

Liang WC, Ren JL, Wong CW, Chan SO, Waye MM, Fu WM and Zhang JF: LncRNA-NEF antagonized epithelial to mesenchymal transition and cancer metastasis via cis-regulating FOXA2 and inactivating Wnt/β-catenin signaling. Oncogene. 37:1445–1456. 2018. View Article : Google Scholar : PubMed/NCBI

12 

Rami-Porta R, Asamura H, Travis WD and Rusch VW: Lung cancer-major changes in the American Joint Committee on Cancer eighth edition cancer staging manual. CA Cancer J Clin. 67:138–155. 2017. View Article : Google Scholar : PubMed/NCBI

13 

Livak KJ and Schmittgen TD: Analysis of relative gene expression data using real-time quantitative PCR and the 2(−Delta Delta C(T)) method. Methods. 25:402–408. 2001. View Article : Google Scholar : PubMed/NCBI

14 

Peng Z, Zhang C and Duan C: Functions and mechanisms of long noncoding RNAs in lung cancer. Onco Targets Ther. 9:4411–4424. 2016. View Article : Google Scholar : PubMed/NCBI

15 

Niu Y, Ma F, Huang W, Fang S, Li M, Wei T and Guo L: Long non-coding RNA TUG1 is involved in cell growth and chemoresistance of small cell lung cancer by regulating LIMK2b via EZH2. Mol Cancer. 16:52017. View Article : Google Scholar : PubMed/NCBI

16 

Zeng L, Yang R, Wang J and Liu Y: The relationship between the expression of LncRNA EXOC7 and the prognosis of patients with small cell lung cancer. Tumor. 37:269–274. 2017.

17 

Wan L, Zhang L, Fan K and Wang JJ: Diagnostic significance of circulating long noncoding RNA PCAT6 in patients with non-small cell lung cancer. Onco Targets Ther. 10:5695–5702. 2017. View Article : Google Scholar : PubMed/NCBI

18 

Wang HM, Lu JH, Chen WY and Gu AQ: Upregulated lncRNA-UCA1 contributes to progression of lung cancer and is closely related to clinical diagnosis as a predictive biomarker in plasma. Int J Clin Exp Med. 8:11824–11830. 2015.PubMed/NCBI

19 

Akhurst RJ and Derynck R: TGF-beta signaling in cancer-a double-edged sword. Trends Cell Biol. 11:S44–S51. 2001. View Article : Google Scholar : PubMed/NCBI

20 

Seoane J and Gomis RR: TGF-β family signaling in tumor suppression and cancer progression. Cold Spring Harb Perspect Biol. 9(pii): a0222772017. View Article : Google Scholar : PubMed/NCBI

21 

Wang L, Yang H, Lei Z, Zhao J, Chen Y, Chen P, Li C, Zeng Y, Liu Z, Liu X and Zhang HT: Repression of TIF1γ by SOX2 promotes TGF-β-induced epithelial-mesenchymal transition in non-small-cell lung cancer. Oncogene. 35:867–877. 2016. View Article : Google Scholar : PubMed/NCBI

22 

Zhang D, Qin H, Leng Y, Li X, Zhang L, Bai D, Meng Y and Wang J: LncRNA MEG3 overexpression inhibits the development of diabetic retinopathy by regulating TGF-β1 and VEGF. Exp Ther Med. 16:2337–2342. 2018.PubMed/NCBI

23 

Zhao B, Lu YL, Yang Y, Hu LB, Bai Y, Li RQ, Zhang GY, Li J, Bi CW, Yang LB, et al: Overexpression of lncRNA ANRIL promoted the proliferation and migration of prostate cancer cells via regulating let-7a/TGF-β1/Smad signaling pathway. Cancer Biomark. 21:613–620. 2018. View Article : Google Scholar : PubMed/NCBI

Related Articles

  • Abstract
  • View
  • Download
  • Twitter
Copy and paste a formatted citation
Spandidos Publications style
Wu L and Wang P: Long non‑coding RNA‑neighboring enhancer of FOXA2 inhibits the migration and invasion of small cell lung carcinoma cells by downregulating transforming growth factor‑β1. Oncol Lett 17: 4969-4975, 2019.
APA
Wu, L., & Wang, P. (2019). Long non‑coding RNA‑neighboring enhancer of FOXA2 inhibits the migration and invasion of small cell lung carcinoma cells by downregulating transforming growth factor‑β1. Oncology Letters, 17, 4969-4975. https://doi.org/10.3892/ol.2019.10152
MLA
Wu, L., Wang, P."Long non‑coding RNA‑neighboring enhancer of FOXA2 inhibits the migration and invasion of small cell lung carcinoma cells by downregulating transforming growth factor‑β1". Oncology Letters 17.6 (2019): 4969-4975.
Chicago
Wu, L., Wang, P."Long non‑coding RNA‑neighboring enhancer of FOXA2 inhibits the migration and invasion of small cell lung carcinoma cells by downregulating transforming growth factor‑β1". Oncology Letters 17, no. 6 (2019): 4969-4975. https://doi.org/10.3892/ol.2019.10152
Copy and paste a formatted citation
x
Spandidos Publications style
Wu L and Wang P: Long non‑coding RNA‑neighboring enhancer of FOXA2 inhibits the migration and invasion of small cell lung carcinoma cells by downregulating transforming growth factor‑β1. Oncol Lett 17: 4969-4975, 2019.
APA
Wu, L., & Wang, P. (2019). Long non‑coding RNA‑neighboring enhancer of FOXA2 inhibits the migration and invasion of small cell lung carcinoma cells by downregulating transforming growth factor‑β1. Oncology Letters, 17, 4969-4975. https://doi.org/10.3892/ol.2019.10152
MLA
Wu, L., Wang, P."Long non‑coding RNA‑neighboring enhancer of FOXA2 inhibits the migration and invasion of small cell lung carcinoma cells by downregulating transforming growth factor‑β1". Oncology Letters 17.6 (2019): 4969-4975.
Chicago
Wu, L., Wang, P."Long non‑coding RNA‑neighboring enhancer of FOXA2 inhibits the migration and invasion of small cell lung carcinoma cells by downregulating transforming growth factor‑β1". Oncology Letters 17, no. 6 (2019): 4969-4975. https://doi.org/10.3892/ol.2019.10152
Follow us
  • Twitter
  • LinkedIn
  • Facebook
About
  • Spandidos Publications
  • Careers
  • Cookie Policy
  • Privacy Policy
How can we help?
  • Help
  • Live Chat
  • Contact
  • Email to our Support Team