Spandidos Publications Logo
  • About
    • About Spandidos
    • Aims and Scopes
    • Abstracting and Indexing
    • Editorial Policies
    • Reprints and Permissions
    • Job Opportunities
    • Terms and Conditions
    • Contact
  • Journals
    • All Journals
    • Oncology Letters
      • Oncology Letters
      • Information for Authors
      • Editorial Policies
      • Editorial Board
      • Aims and Scope
      • Abstracting and Indexing
      • Bibliographic Information
      • Archive
    • International Journal of Oncology
      • International Journal of Oncology
      • Information for Authors
      • Editorial Policies
      • Editorial Board
      • Aims and Scope
      • Abstracting and Indexing
      • Bibliographic Information
      • Archive
    • Molecular and Clinical Oncology
      • Molecular and Clinical Oncology
      • Information for Authors
      • Editorial Policies
      • Editorial Board
      • Aims and Scope
      • Abstracting and Indexing
      • Bibliographic Information
      • Archive
    • Experimental and Therapeutic Medicine
      • Experimental and Therapeutic Medicine
      • Information for Authors
      • Editorial Policies
      • Editorial Board
      • Aims and Scope
      • Abstracting and Indexing
      • Bibliographic Information
      • Archive
    • International Journal of Molecular Medicine
      • International Journal of Molecular Medicine
      • Information for Authors
      • Editorial Policies
      • Editorial Board
      • Aims and Scope
      • Abstracting and Indexing
      • Bibliographic Information
      • Archive
    • Biomedical Reports
      • Biomedical Reports
      • Information for Authors
      • Editorial Policies
      • Editorial Board
      • Aims and Scope
      • Abstracting and Indexing
      • Bibliographic Information
      • Archive
    • Oncology Reports
      • Oncology Reports
      • Information for Authors
      • Editorial Policies
      • Editorial Board
      • Aims and Scope
      • Abstracting and Indexing
      • Bibliographic Information
      • Archive
    • Molecular Medicine Reports
      • Molecular Medicine Reports
      • Information for Authors
      • Editorial Policies
      • Editorial Board
      • Aims and Scope
      • Abstracting and Indexing
      • Bibliographic Information
      • Archive
    • World Academy of Sciences Journal
      • World Academy of Sciences Journal
      • Information for Authors
      • Editorial Policies
      • Editorial Board
      • Aims and Scope
      • Abstracting and Indexing
      • Bibliographic Information
      • Archive
    • International Journal of Functional Nutrition
      • International Journal of Functional Nutrition
      • Information for Authors
      • Editorial Policies
      • Editorial Board
      • Aims and Scope
      • Abstracting and Indexing
      • Bibliographic Information
      • Archive
    • International Journal of Epigenetics
      • International Journal of Epigenetics
      • Information for Authors
      • Editorial Policies
      • Editorial Board
      • Aims and Scope
      • Abstracting and Indexing
      • Bibliographic Information
      • Archive
    • Medicine International
      • Medicine International
      • Information for Authors
      • Editorial Policies
      • Editorial Board
      • Aims and Scope
      • Abstracting and Indexing
      • Bibliographic Information
      • Archive
  • Articles
  • Information
    • Information for Authors
    • Information for Reviewers
    • Information for Librarians
    • Information for Advertisers
    • Conferences
  • Language Editing
Spandidos Publications Logo
  • About
    • About Spandidos
    • Aims and Scopes
    • Abstracting and Indexing
    • Editorial Policies
    • Reprints and Permissions
    • Job Opportunities
    • Terms and Conditions
    • Contact
  • Journals
    • All Journals
    • Biomedical Reports
      • Information for Authors
      • Editorial Policies
      • Editorial Board
      • Aims and Scope
      • Abstracting and Indexing
      • Bibliographic Information
      • Archive
    • Experimental and Therapeutic Medicine
      • Information for Authors
      • Editorial Policies
      • Editorial Board
      • Aims and Scope
      • Abstracting and Indexing
      • Bibliographic Information
      • Archive
    • International Journal of Epigenetics
      • Information for Authors
      • Editorial Policies
      • Editorial Board
      • Aims and Scope
      • Abstracting and Indexing
      • Bibliographic Information
      • Archive
    • International Journal of Functional Nutrition
      • Information for Authors
      • Editorial Policies
      • Editorial Board
      • Aims and Scope
      • Abstracting and Indexing
      • Bibliographic Information
      • Archive
    • International Journal of Molecular Medicine
      • Information for Authors
      • Editorial Policies
      • Editorial Board
      • Aims and Scope
      • Abstracting and Indexing
      • Bibliographic Information
      • Archive
    • International Journal of Oncology
      • Information for Authors
      • Editorial Policies
      • Editorial Board
      • Aims and Scope
      • Abstracting and Indexing
      • Bibliographic Information
      • Archive
    • Medicine International
      • Information for Authors
      • Editorial Policies
      • Editorial Board
      • Aims and Scope
      • Abstracting and Indexing
      • Bibliographic Information
      • Archive
    • Molecular and Clinical Oncology
      • Information for Authors
      • Editorial Policies
      • Editorial Board
      • Aims and Scope
      • Abstracting and Indexing
      • Bibliographic Information
      • Archive
    • Molecular Medicine Reports
      • Information for Authors
      • Editorial Policies
      • Editorial Board
      • Aims and Scope
      • Abstracting and Indexing
      • Bibliographic Information
      • Archive
    • Oncology Letters
      • Information for Authors
      • Editorial Policies
      • Editorial Board
      • Aims and Scope
      • Abstracting and Indexing
      • Bibliographic Information
      • Archive
    • Oncology Reports
      • Information for Authors
      • Editorial Policies
      • Editorial Board
      • Aims and Scope
      • Abstracting and Indexing
      • Bibliographic Information
      • Archive
    • World Academy of Sciences Journal
      • Information for Authors
      • Editorial Policies
      • Editorial Board
      • Aims and Scope
      • Abstracting and Indexing
      • Bibliographic Information
      • Archive
  • Articles
  • Information
    • For Authors
    • For Reviewers
    • For Librarians
    • For Advertisers
    • Conferences
  • Language Editing
Login Register Submit
  • This site uses cookies
  • You can change your cookie settings at any time by following the instructions in our Cookie Policy. To find out more, you may read our Privacy Policy.

    I agree
Search articles by DOI, keyword, author or affiliation
Search
Advanced Search
presentation
Oncology Letters
Join Editorial Board Propose a Special Issue
Print ISSN: 1792-1074 Online ISSN: 1792-1082
Journal Cover
August-2019 Volume 18 Issue 2

Full Size Image

Sign up for eToc alerts
Recommend to Library

Journals

International Journal of Molecular Medicine

International Journal of Molecular Medicine

International Journal of Molecular Medicine is an international journal devoted to molecular mechanisms of human disease.

International Journal of Oncology

International Journal of Oncology

International Journal of Oncology is an international journal devoted to oncology research and cancer treatment.

Molecular Medicine Reports

Molecular Medicine Reports

Covers molecular medicine topics such as pharmacology, pathology, genetics, neuroscience, infectious diseases, molecular cardiology, and molecular surgery.

Oncology Reports

Oncology Reports

Oncology Reports is an international journal devoted to fundamental and applied research in Oncology.

Experimental and Therapeutic Medicine

Experimental and Therapeutic Medicine

Experimental and Therapeutic Medicine is an international journal devoted to laboratory and clinical medicine.

Oncology Letters

Oncology Letters

Oncology Letters is an international journal devoted to Experimental and Clinical Oncology.

Biomedical Reports

Biomedical Reports

Explores a wide range of biological and medical fields, including pharmacology, genetics, microbiology, neuroscience, and molecular cardiology.

Molecular and Clinical Oncology

Molecular and Clinical Oncology

International journal addressing all aspects of oncology research, from tumorigenesis and oncogenes to chemotherapy and metastasis.

World Academy of Sciences Journal

World Academy of Sciences Journal

Multidisciplinary open-access journal spanning biochemistry, genetics, neuroscience, environmental health, and synthetic biology.

International Journal of Functional Nutrition

International Journal of Functional Nutrition

Open-access journal combining biochemistry, pharmacology, immunology, and genetics to advance health through functional nutrition.

International Journal of Epigenetics

International Journal of Epigenetics

Publishes open-access research on using epigenetics to advance understanding and treatment of human disease.

Medicine International

Medicine International

An International Open Access Journal Devoted to General Medicine.

Journal Cover
August-2019 Volume 18 Issue 2

Full Size Image

Sign up for eToc alerts
Recommend to Library

  • Article
  • Citations
    • Cite This Article
    • Download Citation
    • Create Citation Alert
    • Remove Citation Alert
    • Cited By
  • Similar Articles
    • Related Articles (in Spandidos Publications)
    • Similar Articles (Google Scholar)
    • Similar Articles (PubMed)
  • Download PDF
  • Download XML
  • View XML
Article

Corticosterone inhibits the expression of cannabinoid receptor‑1 and cannabinoid receptor agonist‑induced decrease in cell viability in glioblastoma cells

  • Authors:
    • Naotoshi Sugimoto
    • Hiroaki Ishibashi
    • Yoshibumi Ueda
    • Hiroyuki Nakamura
    • Akihiro Yachie
    • Takako Ohno‑Shosaku
  • View Affiliations / Copyright

    Affiliations: Department of Physiology, Graduate School of Medical Sciences, Kanazawa University, Kanazawa, Ishikawa 920‑8640, Japan, Department of Oral and Maxillofacial Surgery, Kanazawa Medical University, Uchinada, Ishikawa 920‑0293, Japan, Department of General Systems Studies, Graduate School of Arts and Sciences, University of Tokyo, Tokyo 153‑8902, Japan, Department of Public Health, Graduate School of Medical Sciences, Kanazawa University, Kanazawa, Ishikawa 920‑8640, Japan, Department of Pediatrics, Graduate School of Medical Sciences, Kanazawa University, Kanazawa, Ishikawa 920‑8640, Japan, Faculty of Health Sciences, Graduate School of Medical Sciences, Kanazawa University, Kanazawa, Ishikawa 920‑0942, Japan
  • Pages: 1557-1563
    |
    Published online on: June 7, 2019
       https://doi.org/10.3892/ol.2019.10456
  • Expand metrics +
Metrics: Total Views: 0 (Spandidos Publications: | PMC Statistics: )
Metrics: Total PDF Downloads: 0 (Spandidos Publications: | PMC Statistics: )
Cited By (CrossRef): 0 citations Loading Articles...

This article is mentioned in:



Abstract

The endocannabinoid system regulates physiological and pathological conditions, including inflammation and cancer. Recently, emotional and physical stressors were observed to be involved in impairing the endocannabinoid system, which was concomitant with an increase in serum corticosteroids. However, the influence of corticosteroids on the endocannabinoid system has yet to be completely elucidated. The present study investigated the effects of corticosterone, one of the corticosteroids, on the endocannabinoid system in malignant glioblastoma cells in vitro. U‑87 MG cells derived from malignant glioblastoma were subjected to corticosterone stimulation and their viability, signal transduction, and endocannabinoid‑related gene expression were examined. Corticosterone decreased the mRNA and protein expressions of cyclooxygenase‑2. Of note, although endocannabinoids decreased cell viability, corticosterone inhibited the cannabinoid receptor agonist‑induced decrease in cell viability by downregulating the mRNA and protein expressions of cannabinoid receptor 1 (CB1) in glioblastoma cells. These results suggest that corticosteroids modify the endocannabinoid system in glioblastoma cells, and a reduction in the beneficial anti‑tumor effects of endocannabinoids through downregulation of the CB1 receptor by corticosterone may promote the malignant phenotype of glioblastoma.

Introduction

The endocannabinoid system, including the seven transmembrane cannabinoid receptors 1 and 2 (CB1 and CB2) and their endogenous ligands, is involved in a wide variety of pathophysiological situations such as inflammatory and oncogenic processes (1–3). Endogenous and exogenous cannabinoids are known to exert anti-inflammatory and anti-tumor effects (1,4). Recently, we reported that hypoxic stress modifies the endocannabinoid system to promote malignancy in glioblastoma cells through downregulation of the CB1 receptor and upregulation of cyclooxygenase-2 (COX2) (5), the enzyme responsible for metabolizing endocannabinoids (4). This result indicates that hypoxic stress aggravates cancer by inhibiting the endocannabinoid system.

Emotional and physical stressors typically induce the release of adrenal corticosteroid hormones such as corticosterone and cortisol in rodents and human, respectively (6). Corticosteroid hormones inhibit immune responses by downregulating the activity of nuclear factor-κB (NF-κB) signaling (7) and the production of several cytokines, such as tumor necrosis factor-α or interleukin (7). Interestingly, emotional and physical stresses have been reported to impair the endocannabinoid system concomitant with an increase in serum corticosteroids (8).

In the present study, we examined the effects of corticosterone, which is one of the corticosteroids (6), on the endocannabinoid system in malignant glioblastoma cells. We found that corticosterone inhibits the expression of the genes encoding CB1 and attenuates cannabinoid receptor agonist (WIN 55,212-2)-induced decrease in glioblastoma cell viability. Our findings reveal the mechanisms by which stress hormones inhibit the endocannabinoid system through downregulation of the CB1 receptor, thus reducing the beneficial anti-tumor effects of endocannabinoids and consequently promoting the malignant phenotype of glioblastoma.

Materials and methods

Chemicals

Corticosterone (CORT), WIN 55,212-2, and Dulbecco's modified Eagle's medium were obtained from Wako Pure Chemical Industries (Osaka, Japan). Fetal bovine serum was obtained from Invitrogen; Thermo Fisher Scientific, Inc., (Waltham, MA, USA). Anti-cannabinoid receptor 1 (CB1) rabbit antibody (ab137410) and anti-glucocorticoid receptor (GR) (EPR4595) rabbit antibody (cat. no. ab109022) were obtained from Abcam (Tokyo, Japan). Anti-GAPDH rabbit antibody (cat. no. 2118) and horseradish peroxidase-conjugated anti-rabbit IgG (cat. no. 7074) were purchased from Cell Signaling Technology, Inc., (Danvers, MA, USA). Anti-COX2 antibody (cat. no. 160106) was obtained from Cayman Chemical Company (Ann Arbor, MI, USA).

Cell culture

U-87 MG malignant glioblastoma cells (glioblastoma of unknown origin; ATCC® HTB-14™) were provided by Prof. Nakata (Kanazawa University, Kanazawa, Japan). U-87 MG cells were maintained in Dulbecco's modified Eagle's medium containing 10% fetal bovine serum at 37°C and 5% CO2.

Cell viability assay

Cell viability was analyzed using the Cell Counting Kit-8 (Wako Pure Chemical Industries) as previously described (5,9). U-87 MG cells were seeded into 96-well plates at a density of 1×102 cells/well. After a 24-h incubation period, the cells were stimulated with several concentrations of CORT. On day 2 after stimulation, the cells were incubated with WST-8 (10 µl of WST-8 in 100 µl of medium) for 3 h at 37°C. The absorbance of the colored formazan product, generated by mitochondrial dehydrogenases in metabolically active cells, was recorded at 450 nm. Cell viability was expressed as a ratio of the absorbance in treated wells relative to that in untreated control wells.

Western blotting analysis

Western blotting was performed as described previously (10). Briefly, proteins were extracted from cells, and protein concentrations were determined by a protein assay. Equal amounts of protein (30 µg) were separated by 10% sodium dodecyl sulfate-polyacrylamide gel electrophoresis. The resolved proteins were transferred onto polyvinylidene fluoride membranes, which were incubated with primary antibodies (1:1,000), followed by incubation with horseradish peroxidase-linked secondary antibodies (1:2,000).

RT-qPCR

To evaluate the expression of human glucocorticoid receptor (GR: NR3C1), human COX2 (PTGS2), and human CB1 (CNR1) and human β-actin (ACTB) mRNAs in the cells, Real time PCR was performed as follows. Briefly, RNA was extracted from the cells, and cDNA was generated using reverse transcriptase ReverTra Ace® (Toyobo, Tokyo, Japan). We performed PCR-based, subtype-specific gene amplification with QuantiTect SYBR Green PCR kit (Qiagen, Hilden, Germany) using the sets of primers as follows: 5′-GGCTAGACACCCATTTTCACA-3′ and 5′-ACAGAAAGGGCTACTACAGCT-3′ for GR (NR3C1), 5′-CAGCAAATCCTTGCTGTTCC-3′ and 5′-GTGAAGTGCTGGGCAAAGAAT-3′ for COX-2 (PTGS2), 5′-CAGGCCTTCCTACCACTTCAT-3′ and 5′-ACCCCACCCAGTTTGAACAGA-3′ for CB1 (CNR1), and 5′-ATGGTGGGCATGGGTCAGAA-3′ and 5′-CTGGGGTGTTGAAGGTCTCAA-3′ for β-actin (ACTB). The quantified value of each sample was normalized with that of the β-actin value of the same sample, which was amplified simultaneously with the target gene.

Cannabinoid receptor agonist treatment

The cells were treated with the cannabinoid receptor agonist WIN 55,212-2 following 2-day exposure to corticosterone. After 2 days of CORT treatment, cell viability was analyzed using the Cell Counting Kit-8 (Wako Pure Chemical Industries) as described above.

Statistical analysis

Data are presented as the mean ± standard error of the mean (SEM) from at least three independent experiments. The Stat View statistical package (version 5.0 Japanese version, Hulinks, Japan) was used for statistical analysis. Student's t-test was used to examine the differences between the two groups (with or without CORT stimulation) in the real time PCR and western blot analyses. A one-way analysis of variance (ANOVA) was used to analyze the cell viability data. P<0.05 was considered to indicate a statistically significant difference.

Results

Corticosterone does not affect cell viability in U-87 MG cells

We investigated the effect of 12, 24, 48, or 72-h treatment with CORT (1–100 µM) on cell viability in U-87 MG cells. Cell viability was not significantly altered by CORT (Fig. 1).

Figure 1.

U-87 MG cell viability is unaltered by corticosterone stimulation. Cells were incubated with corticosterone for 12, 24, 48, and 72 h. Cell viability was analyzed using the Cell Counting Kit-8 (Wako). Bars depict the mean ± SEM of three independent experiments. Statistical analysis was conducted using a one-way analysis of variance (ANOVA). CORT, corticosterone

Corticosterone did not affect the levels of GR mRNA and protein in U-87 MG cells

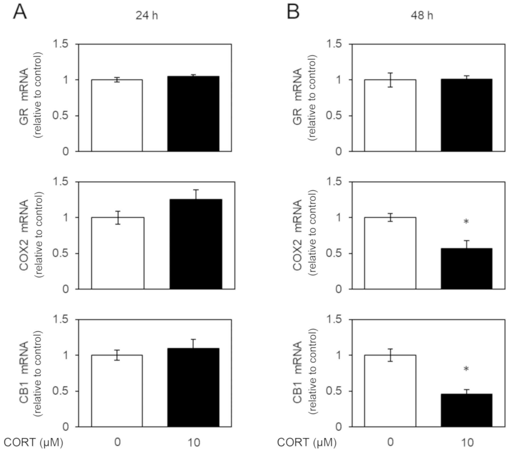
Next, we examined the expression of glucocorticoid receptor (GR) mRNA and protein in U-87 MG cells by real-time PCR and western blotting, respectively. GR is one of main receptors for CORT (6). GR was spontaneously detectable and the levels of GR mRNA and protein were did not changed by CORT stimulation in U-87 MG cells (Figs. 2 and 3). CORT may act transduction through GR receptor in U-87 MG cells.

Figure 2.

Corticosterone inhibits the expressions of mRNA encoding COX2 and CB1 in U-87 MG cells. Cells were exposed to corticosterone for (A) 24 h and (B) 48 h. The expression patterns of glucocorticoid receptor (GR: NR3C1), COX2 (PTGS2), and CB1 (CNR1) were evaluated by RT-qPCR. The graph presents the mean ± SEM of three independent experiments. Statistical analysis was conducted using Student's unpaired t-test. *P<0.05 vs. vehicle control. CB, cannabinoid receptor; COX2, cyclooxygenase-2; CORT, corticosterone; GR, glucocorticoid receptor.

Figure 3.

Corticosterone inhibits the expressions of COX2 and CB1 protein in U-87 MG cells. Cells were exposed to corticosterone for (A) 24 h and (B) 48 h. Total cell extracts were analyzed for GR, COX2, and CB1 by western blotting. The densities of bands corresponding to GAPDH were quantified by densitometry. Results are the mean ± SEM of three independent experiments. Statistical analysis was conducted using Student's unpaired t-test. The results were statistically significant at *P<0.05 vs. vehicle controls. CB, cannabinoid receptor; COX2, cyclooxygenase-2; CORT, corticosterone; GR, glucocorticoid receptor.

Corticosterone decreases the levels of COX2 mRNA and protein in U-87 MG cells

We examined the expression of COX2 mRNA and protein in U-87 MG cells by real-time PCR and western blotting, respectively. Previously, COX2 expression was shown to be regulated by NF-κB signaling (7). COX2 was spontaneously detectable in U-87 MG cells (5), while 48-h, but not 24-h, treatment with CORT decreased the expression of mRNA encoding COX2 (Fig. 2) and COX2 protein (Fig. 3), indicating the inhibition of NF-κB signaling by CORT.

Corticosterone decreases the levels of CB1 mRNA and protein in U-87 MG cells

We examined the expression of CB1 mRNA and protein in U-87 MG cells by real-time PCR and western blotting, respectively. The cannabinoid receptors facilitate the transduction of extracellular signals to the cytoplasm (2). CB1 was spontaneously detectable in U-87 MG cells (5), while 48-h, but not 24-h, treatment with CORT decreased the expression of mRNA encoding CB1 (Fig. 2) and CB1 protein (Fig. 3). These results indicate that CORT regulates the cannabinoid system by modulating CB1 expression.

Corticosterone attenuates the cannabinoid receptor agonist-induced decrease in cell viability in U-87 MG cells

Recently, cannabinoid receptor agonists were shown to mimic the effects of endogenous cannabinoids and cause cell death in glioblastoma (5,11,12). The observed corticosterone-induced downregulation of cannabinoid receptor expression; thus, we investigated the effects of 48 h treatment with CORT on cannabinoid receptor agonist-induced decrease in glioblastoma cell viability. We treated the cells with WIN 55,212-2 (0.1 or 1.0 µM) after 48 h treatment with CORT. We analyzed cell viability 48 h after treatment with WIN 55,212-2. WIN 55,212-2 treatment significantly decreased the viability of vehicle-treated cells in a dose-dependent manner (Fig. 4). However, the doses of WIN 55,212-2 (0.1 or 1.0 µM) failed to decrease cell viability in the CORT treatment group (Fig. 4). These results suggest that CORT confers tolerance to cannabinoid receptor agonist-induced cellular toxicity in glioblastoma.

Figure 4.

Corticosterone inhibits CB agonist-induced decrease in cell viability in U-87 MG cells. Cells were exposed to corticosterone or vehicle for 48 h. After corticosterone or vehicle treatment, the cells were cultured in the presence of the indicated doses of WIN 55,212-2 (0, 0.1, or 1.0 µM) for 48 h. Cell viability was analyzed using the Cell Counting Kit-8 (Wako). Bars represent the mean ± SEM. Statistical analysis was conducted using a one-way analysis of variance (ANOVA). *P<0.05. CB, cannabinoid receptor.

Discussion

Emotional and physical stress have been suggested to affect the development and progression of malignancies (13). Interestingly, emotional and physical stressors release corticosteroids and, in turn, impair the endocannabinoid system (8). We previously showed that hypoxia aggravates cancer by inhibiting the endocannabinoid system in malignant glioblastoma cells (5). Thus, dysfunction of the endocannabinoid system by stress-released corticosteroids may lead to the development and progression of malignancies. However, the effects of corticosteroids on endocannabinoid system-dependent malignancy are not fully understood. Endocannabinoids have been shown to influence diverse pathological processes, including malignancy (2,14,15). Endogenous and exogenous cannabinoids have anti-cancer effects; exogenous cannabinoids and many synthetic agonists for cannabinoid receptors, which mimic the effects of endocannabinoids, have been proposed as potential anti-cancer agents (14,16–20). Here, we found that corticosteroids downregulate both mRNA and protein of CB1 and attenuate cannabinoid receptor agonist-induced decrease in U-87 MG cell viability. Our results suggest that stress-released corticosteroids promote the progression of glioblastoma by inhibiting the endocannabinoid system (Fig. 5).

Figure 5.

Schematic diagram showing how corticosteroids inhibit endocannabinoid system in U-87 MG cells. Emotional and physical stressors release corticosteroids, including corticosterone. Glucocorticoid receptor (GR) is one of main receptors for corticosteroids. Corticosteroids inhibit NF-κB signaling through GR. Inhibition of NF-κB signaling downregulate the expression of CB1. Downregulation of the CB1 inhibits the endocannabinoid system, including anti-tumor effects. CB, cannabinoid receptor; NF-κB, nuclear factor-κB; COX2, cyclooxygenase-2; CORT, corticosterone.

Corticosterone is considered an adrenal corticosteroid and functions as both a glucocorticoid and mineralocorticoid (6). Glucocorticoids are known to have anti-inflammatory and immunosuppressive potentials through inhibition of NF-κB activities (7,21,22). NF-κB signaling is involved in controlling the expression of COX2 (7). We showed that corticosterone decreases the levels of COX2 mRNA and protein (Figs. 2 and 3) in this study, indicating that corticosterone might downregulate NF-κB signaling. Interestingly, inhibition of NF-κB signaling induced downregulation of CB1 receptor expression (23). Thus, inhibition of NF-κB signaling by corticosterone may downregulate the expression of the CB1 receptor (Figs. 2 and 3).

Nakatani et al (24), showed that corticosterone inhibited the proliferation of C6 glioma cells. However, in our present study, corticosterone did not inhibit the cell viability in U-87 MG cells. Since U-87 MG cells are glioblastoma, a poorly differentiated type of glioma, highly malignant and exhibits aggressive invasive growth in comparison with glioma, corticosterone might not be able to inhibit the cell viability in U-87 MG cells.

Corticosterone alone downregulates the expression of CB1 (Figs. 2 and 3), but does not affect cell viability in 12, 24, 48, and 72 h after stimulation (Fig. 1). These results suggest that CB1 might not be committed to cell viability directly in U-87 cells. However, as shown in our previous study that hypoxia decreased the expression of CB1 in U-87 MG cells, the cannabinoid receptor agonist WIN 55,212-2 decreased glioblastoma cell viability, with the extent depending on the expression level of the CB1 receptor (5). In the present study, we showed that corticosterone downregulated the expression of CB1 and suppressed WIN 55,212-2-induced decrease in U-87 MG cell viability. Endocannabinoids in the brain (25) have the potential to prevent brain tumor development by activating cannabinoid receptors. Thus, our results suggest that corticosterone may counteract the beneficial anti-tumor effects of endocannabinoids by downregulating cannabinoid receptor expression in the brain.

The present study demonstrated that corticosterone downregulates CB1 receptors and suppresses cannabinoid receptor agonist-induced decrease in U-87 MG cell viability in vitro. These results suggest that corticosterone promotes brain tumor progression by inhibiting endocannabinoid receptor signaling.

Acknowledgements

Not applicable.

Funding

The present study was supported by Grants-in-Aid for Science and Culture (grant nos. 26430013, 16H005513 and 17H01963) from the Ministry of Education, Culture, Sports, Science, and Technology of Japan.

Availability of data and materials

The datasets used and/or analyzed during the present study are available from the corresponding author on reasonable request.

Authors' contributions

NS designed the study and prepared the manuscript. NS, HI, and TS conducted the experiments. NS, YU, HN and AY analyzed and interpreted the data. NS, HI, and TS obtained funding. AY and TS edited the manuscript. All authors read and approved the final version of this manuscript.

Ethics approval and consent to participate

Not applicable.

Patient consent for publication

Not applicable.

Competing interests

The authors declare that they have no conflicts of interest.

Glossary

Abbreviations

Abbreviations:

CB

cannabinoid receptor

NF-κB

nuclear factor-κB

COX2

cyclooxygenase-2

CORT

corticosterone

References

1 

Gui H, Tong Q, Qu W, Mao CM and Dai SM: The endocannabinoid system and its therapeutic implications in rheumatoid arthritis. Int Immunopharmacol. 26:86–91. 2015. View Article : Google Scholar : PubMed/NCBI

2 

Kano M, Ohno-Shosaku T, Hashimotodani Y, Uchigashima M and Watanabe M: Endocannabinoid-mediated control of synaptic transmission. Physiol Rev. 89:309–380. 2009. View Article : Google Scholar : PubMed/NCBI

3 

Ligresti A, De Petrocellis L and Di Marzo V: From phytocannabinoids to cannabinoid receptors and endocannabinoids: Pleiotropic physiological and pathological roles through complex pharmacology. Physiol Rev. 96:1593–1659. 2016. View Article : Google Scholar : PubMed/NCBI

4 

Cabral GA and Griffin-Thomas L: Cannabinoids as therapeutic agents for ablating neuroinflammatory disease. Endocr Metab Immune Disord Drug Targets. 8:159–172. 2008. View Article : Google Scholar : PubMed/NCBI

5 

Sugimoto N, Ishibashi H, Nakamura H, Yachie A and Ohno-Shosaku T: Hypoxia-induced inhibition of the endocannabinoid system in glioblastoma cells. Oncol Rep. 38:3702–3708. 2017.PubMed/NCBI

6 

Joëls M: Corticosteroids and the brain. J Endocrinol. 238:R121–R130. 2018. View Article : Google Scholar : PubMed/NCBI

7 

Brattsand R and Linden M: Cytokine modulation by glucocorticoids: Mechanisms and actions in cellular studies. Aliment Pharmacol Ther. 10 (Suppl 2):S81–S92. 1996. View Article : Google Scholar

8 

Wamsteeker JI, Kuzmiski JB and Bains JS: Repeated stress impairs endocannabinoid signaling in the paraventricular nucleus of the hypothalamus. J Neurosci. 30:11188–11196. 2010. View Article : Google Scholar : PubMed/NCBI

9 

Leu H, Sugimoto N, Shimizu M, Toma T, Wada T, Ohta K and Yachie A: Tumor necrosis factor-α modifies the effects of Shiga toxin on glial cells. Int Immunopharmacol. 38:139–143. 2016. View Article : Google Scholar : PubMed/NCBI

10 

Sugimoto N, Miwa S, Nakamura H, Tsuchiya H and Yachie A: Protein kinase A and Epac activation by cAMP regulates the expression of glial fibrillary acidic protein in glial cells. Arch Biol Sci. 68:795–801. 2016. View Article : Google Scholar

11 

Solinas G and Becattini B: JNK at the crossroad of obesity, insulin resistance, and cell stress response. Mol Metab. 6:174–184. 2016. View Article : Google Scholar : PubMed/NCBI

12 

Ortega A, Rangel-López E, Hidalgo-Miranda A, Morales A, Ruiz-García E, Meneses-García A, Herrera-Gómez A, Aguilar-Ponce JL, González-Herrera IG, Guevara-Salazar P, et al: On the effects of CP 55–940 and other cannabinoid receptor agonists in C6 and U373 cell lines. Toxicol In Vitro. 29:1941–1951. 2015. View Article : Google Scholar : PubMed/NCBI

13 

Moreno-Smith M, Lutgendorf SK and Sood AK: Impact of stress on cancer metastasis. Future Oncol. 6:1863–1881. 2010. View Article : Google Scholar : PubMed/NCBI

14 

Guindon J and Hohmann AG: The endocannabinoid system and cancer: Therapeutic implication. Br J Pharmacol. 163:1447–1463. 2011. View Article : Google Scholar : PubMed/NCBI

15 

Klein TW: Cannabinoid-based drugs as anti-inflammatory therapeutics. Nat Rev Immunol. 5:400–411. 2005. View Article : Google Scholar : PubMed/NCBI

16 

Echigo R, Sugimoto N, Yachie A and Ohno-Shosaku T: Cannabinoids inhibit peptidoglycan-induced phosphorylation of NF-κB and cell growth in U87MG human malignant glioma cells. Oncol Rep. 28:1176–1180. 2012. View Article : Google Scholar : PubMed/NCBI

17 

Gurley SN, Abidi AH, Allison P, Guan P, Duntsch C, Robertson JH, Kosanke SD, Keir ST, Bigner DD, Elberger AJ and Moore BM II: Mechanism of anti-glioma activity and in vivo efficacy of the cannabinoid ligand KM-233. J Neurooncol. 110:163–177. 2012. View Article : Google Scholar : PubMed/NCBI

18 

Guzmán M: Cannabinoids: Potential anticancer agents. Nat Rev Cancer. 3:745–755. 2003. View Article : Google Scholar : PubMed/NCBI

19 

Salazar M, Carracedo A, Salanueva IJ, Hernández-Tiedra S, Lorente M, Egia A, Vázquez P, Blázquez C, Torres S, García S, et al: Cannabinoid action induces autophagy-mediated cell death through stimulation of ER stress in human glioma cells. J Clin Invest. 119:1359–1372. 2009. View Article : Google Scholar : PubMed/NCBI

20 

Sarfaraz S, Adhami VM, Syed DN, Afaq F and Mukhtar H: Cannabinoids for cancer treatment: Progress and promise. Cancer Res. 68:339–342. 2008. View Article : Google Scholar : PubMed/NCBI

21 

Jang BC, Lim KJ, Suh MH, Park JG and Suh SI: Dexamethasone suppresses interleukin-1beta-induced human beta-defensin 2 mRNA expression: involvement of p38 MAPK, JNK, MKP-1, and NF-kappaB transcriptional factor in A549 cells. FEMS Immunol Med Microbiol. 51:171–184. 2007. View Article : Google Scholar : PubMed/NCBI

22 

Chantong B, Kratschmar DV, Nashev LG, Balazs Z and Odermatt A: Mineralocorticoid and glucocorticoid receptors differentially regulate NF-kappaB activity and pro-inflammatory cytokine production in murine BV-2 microglial cells. J Neuroinflammation. 9:2602012. View Article : Google Scholar : PubMed/NCBI

23 

Huang SS, Chen DZ, Wu H, Chen RC, Du SJ, Dong JJ, Liang G, Xu LM, Wang XD, Yang YP, et al: Cannabinoid receptors are involved in the protective effect of a novel curcumin derivative C66 against CCl4-induced liver fibrosis. Eur J Pharmacol. 779:22–30. 2016. View Article : Google Scholar : PubMed/NCBI

24 

Nakatani Y, Amano T and Takeda H: Corticosterone inhibits the proliferation of C6 glioma cells via the translocation of unphosphorylated glucocorticoid receptor. Biol Pharm Bull. 39:1121–1129. 2016. View Article : Google Scholar : PubMed/NCBI

25 

Zoerner AA, Gutzki FM, Batkai S, May M, Rakers C, Engeli S, Jordan J and Tsikas D: Quantification of endocannabinoids in biological systems by chromatography and mass spectrometry: A comprehensive review from an analytical and biological perspective. Biochim Biophys Acta. 1811:706–723. 2011. View Article : Google Scholar : PubMed/NCBI

Related Articles

  • Abstract
  • View
  • Download
  • Twitter
Copy and paste a formatted citation
Spandidos Publications style
Sugimoto N, Ishibashi H, Ueda Y, Nakamura H, Yachie A and Ohno‑Shosaku T: Corticosterone inhibits the expression of cannabinoid receptor‑1 and cannabinoid receptor agonist‑induced decrease in cell viability in glioblastoma cells. Oncol Lett 18: 1557-1563, 2019.
APA
Sugimoto, N., Ishibashi, H., Ueda, Y., Nakamura, H., Yachie, A., & Ohno‑Shosaku, T. (2019). Corticosterone inhibits the expression of cannabinoid receptor‑1 and cannabinoid receptor agonist‑induced decrease in cell viability in glioblastoma cells. Oncology Letters, 18, 1557-1563. https://doi.org/10.3892/ol.2019.10456
MLA
Sugimoto, N., Ishibashi, H., Ueda, Y., Nakamura, H., Yachie, A., Ohno‑Shosaku, T."Corticosterone inhibits the expression of cannabinoid receptor‑1 and cannabinoid receptor agonist‑induced decrease in cell viability in glioblastoma cells". Oncology Letters 18.2 (2019): 1557-1563.
Chicago
Sugimoto, N., Ishibashi, H., Ueda, Y., Nakamura, H., Yachie, A., Ohno‑Shosaku, T."Corticosterone inhibits the expression of cannabinoid receptor‑1 and cannabinoid receptor agonist‑induced decrease in cell viability in glioblastoma cells". Oncology Letters 18, no. 2 (2019): 1557-1563. https://doi.org/10.3892/ol.2019.10456
Copy and paste a formatted citation
x
Spandidos Publications style
Sugimoto N, Ishibashi H, Ueda Y, Nakamura H, Yachie A and Ohno‑Shosaku T: Corticosterone inhibits the expression of cannabinoid receptor‑1 and cannabinoid receptor agonist‑induced decrease in cell viability in glioblastoma cells. Oncol Lett 18: 1557-1563, 2019.
APA
Sugimoto, N., Ishibashi, H., Ueda, Y., Nakamura, H., Yachie, A., & Ohno‑Shosaku, T. (2019). Corticosterone inhibits the expression of cannabinoid receptor‑1 and cannabinoid receptor agonist‑induced decrease in cell viability in glioblastoma cells. Oncology Letters, 18, 1557-1563. https://doi.org/10.3892/ol.2019.10456
MLA
Sugimoto, N., Ishibashi, H., Ueda, Y., Nakamura, H., Yachie, A., Ohno‑Shosaku, T."Corticosterone inhibits the expression of cannabinoid receptor‑1 and cannabinoid receptor agonist‑induced decrease in cell viability in glioblastoma cells". Oncology Letters 18.2 (2019): 1557-1563.
Chicago
Sugimoto, N., Ishibashi, H., Ueda, Y., Nakamura, H., Yachie, A., Ohno‑Shosaku, T."Corticosterone inhibits the expression of cannabinoid receptor‑1 and cannabinoid receptor agonist‑induced decrease in cell viability in glioblastoma cells". Oncology Letters 18, no. 2 (2019): 1557-1563. https://doi.org/10.3892/ol.2019.10456
Follow us
  • Twitter
  • LinkedIn
  • Facebook
About
  • Spandidos Publications
  • Careers
  • Cookie Policy
  • Privacy Policy
How can we help?
  • Help
  • Live Chat
  • Contact
  • Email to our Support Team