Spandidos Publications Logo
  • About
    • About Spandidos
    • Aims and Scopes
    • Abstracting and Indexing
    • Editorial Policies
    • Reprints and Permissions
    • Job Opportunities
    • Terms and Conditions
    • Contact
  • Journals
    • All Journals
    • Oncology Letters
      • Oncology Letters
      • Information for Authors
      • Editorial Policies
      • Editorial Board
      • Aims and Scope
      • Abstracting and Indexing
      • Bibliographic Information
      • Archive
    • International Journal of Oncology
      • International Journal of Oncology
      • Information for Authors
      • Editorial Policies
      • Editorial Board
      • Aims and Scope
      • Abstracting and Indexing
      • Bibliographic Information
      • Archive
    • Molecular and Clinical Oncology
      • Molecular and Clinical Oncology
      • Information for Authors
      • Editorial Policies
      • Editorial Board
      • Aims and Scope
      • Abstracting and Indexing
      • Bibliographic Information
      • Archive
    • Experimental and Therapeutic Medicine
      • Experimental and Therapeutic Medicine
      • Information for Authors
      • Editorial Policies
      • Editorial Board
      • Aims and Scope
      • Abstracting and Indexing
      • Bibliographic Information
      • Archive
    • International Journal of Molecular Medicine
      • International Journal of Molecular Medicine
      • Information for Authors
      • Editorial Policies
      • Editorial Board
      • Aims and Scope
      • Abstracting and Indexing
      • Bibliographic Information
      • Archive
    • Biomedical Reports
      • Biomedical Reports
      • Information for Authors
      • Editorial Policies
      • Editorial Board
      • Aims and Scope
      • Abstracting and Indexing
      • Bibliographic Information
      • Archive
    • Oncology Reports
      • Oncology Reports
      • Information for Authors
      • Editorial Policies
      • Editorial Board
      • Aims and Scope
      • Abstracting and Indexing
      • Bibliographic Information
      • Archive
    • Molecular Medicine Reports
      • Molecular Medicine Reports
      • Information for Authors
      • Editorial Policies
      • Editorial Board
      • Aims and Scope
      • Abstracting and Indexing
      • Bibliographic Information
      • Archive
    • World Academy of Sciences Journal
      • World Academy of Sciences Journal
      • Information for Authors
      • Editorial Policies
      • Editorial Board
      • Aims and Scope
      • Abstracting and Indexing
      • Bibliographic Information
      • Archive
    • International Journal of Functional Nutrition
      • International Journal of Functional Nutrition
      • Information for Authors
      • Editorial Policies
      • Editorial Board
      • Aims and Scope
      • Abstracting and Indexing
      • Bibliographic Information
      • Archive
    • International Journal of Epigenetics
      • International Journal of Epigenetics
      • Information for Authors
      • Editorial Policies
      • Editorial Board
      • Aims and Scope
      • Abstracting and Indexing
      • Bibliographic Information
      • Archive
    • Medicine International
      • Medicine International
      • Information for Authors
      • Editorial Policies
      • Editorial Board
      • Aims and Scope
      • Abstracting and Indexing
      • Bibliographic Information
      • Archive
  • Articles
  • Information
    • Information for Authors
    • Information for Reviewers
    • Information for Librarians
    • Information for Advertisers
    • Conferences
  • Language Editing
Spandidos Publications Logo
  • About
    • About Spandidos
    • Aims and Scopes
    • Abstracting and Indexing
    • Editorial Policies
    • Reprints and Permissions
    • Job Opportunities
    • Terms and Conditions
    • Contact
  • Journals
    • All Journals
    • Biomedical Reports
      • Information for Authors
      • Editorial Policies
      • Editorial Board
      • Aims and Scope
      • Abstracting and Indexing
      • Bibliographic Information
      • Archive
    • Experimental and Therapeutic Medicine
      • Information for Authors
      • Editorial Policies
      • Editorial Board
      • Aims and Scope
      • Abstracting and Indexing
      • Bibliographic Information
      • Archive
    • International Journal of Epigenetics
      • Information for Authors
      • Editorial Policies
      • Editorial Board
      • Aims and Scope
      • Abstracting and Indexing
      • Bibliographic Information
      • Archive
    • International Journal of Functional Nutrition
      • Information for Authors
      • Editorial Policies
      • Editorial Board
      • Aims and Scope
      • Abstracting and Indexing
      • Bibliographic Information
      • Archive
    • International Journal of Molecular Medicine
      • Information for Authors
      • Editorial Policies
      • Editorial Board
      • Aims and Scope
      • Abstracting and Indexing
      • Bibliographic Information
      • Archive
    • International Journal of Oncology
      • Information for Authors
      • Editorial Policies
      • Editorial Board
      • Aims and Scope
      • Abstracting and Indexing
      • Bibliographic Information
      • Archive
    • Medicine International
      • Information for Authors
      • Editorial Policies
      • Editorial Board
      • Aims and Scope
      • Abstracting and Indexing
      • Bibliographic Information
      • Archive
    • Molecular and Clinical Oncology
      • Information for Authors
      • Editorial Policies
      • Editorial Board
      • Aims and Scope
      • Abstracting and Indexing
      • Bibliographic Information
      • Archive
    • Molecular Medicine Reports
      • Information for Authors
      • Editorial Policies
      • Editorial Board
      • Aims and Scope
      • Abstracting and Indexing
      • Bibliographic Information
      • Archive
    • Oncology Letters
      • Information for Authors
      • Editorial Policies
      • Editorial Board
      • Aims and Scope
      • Abstracting and Indexing
      • Bibliographic Information
      • Archive
    • Oncology Reports
      • Information for Authors
      • Editorial Policies
      • Editorial Board
      • Aims and Scope
      • Abstracting and Indexing
      • Bibliographic Information
      • Archive
    • World Academy of Sciences Journal
      • Information for Authors
      • Editorial Policies
      • Editorial Board
      • Aims and Scope
      • Abstracting and Indexing
      • Bibliographic Information
      • Archive
  • Articles
  • Information
    • For Authors
    • For Reviewers
    • For Librarians
    • For Advertisers
    • Conferences
  • Language Editing
Login Register Submit
  • This site uses cookies
  • You can change your cookie settings at any time by following the instructions in our Cookie Policy. To find out more, you may read our Privacy Policy.

    I agree
Search articles by DOI, keyword, author or affiliation
Search
Advanced Search
presentation
Oncology Letters
Join Editorial Board Propose a Special Issue
Print ISSN: 1792-1074 Online ISSN: 1792-1082
Journal Cover
August-2019 Volume 18 Issue 2

Full Size Image

Sign up for eToc alerts
Recommend to Library

Journals

International Journal of Molecular Medicine

International Journal of Molecular Medicine

International Journal of Molecular Medicine is an international journal devoted to molecular mechanisms of human disease.

International Journal of Oncology

International Journal of Oncology

International Journal of Oncology is an international journal devoted to oncology research and cancer treatment.

Molecular Medicine Reports

Molecular Medicine Reports

Covers molecular medicine topics such as pharmacology, pathology, genetics, neuroscience, infectious diseases, molecular cardiology, and molecular surgery.

Oncology Reports

Oncology Reports

Oncology Reports is an international journal devoted to fundamental and applied research in Oncology.

Experimental and Therapeutic Medicine

Experimental and Therapeutic Medicine

Experimental and Therapeutic Medicine is an international journal devoted to laboratory and clinical medicine.

Oncology Letters

Oncology Letters

Oncology Letters is an international journal devoted to Experimental and Clinical Oncology.

Biomedical Reports

Biomedical Reports

Explores a wide range of biological and medical fields, including pharmacology, genetics, microbiology, neuroscience, and molecular cardiology.

Molecular and Clinical Oncology

Molecular and Clinical Oncology

International journal addressing all aspects of oncology research, from tumorigenesis and oncogenes to chemotherapy and metastasis.

World Academy of Sciences Journal

World Academy of Sciences Journal

Multidisciplinary open-access journal spanning biochemistry, genetics, neuroscience, environmental health, and synthetic biology.

International Journal of Functional Nutrition

International Journal of Functional Nutrition

Open-access journal combining biochemistry, pharmacology, immunology, and genetics to advance health through functional nutrition.

International Journal of Epigenetics

International Journal of Epigenetics

Publishes open-access research on using epigenetics to advance understanding and treatment of human disease.

Medicine International

Medicine International

An International Open Access Journal Devoted to General Medicine.

Journal Cover
August-2019 Volume 18 Issue 2

Full Size Image

Sign up for eToc alerts
Recommend to Library

  • Article
  • Citations
    • Cite This Article
    • Download Citation
    • Create Citation Alert
    • Remove Citation Alert
    • Cited By
  • Similar Articles
    • Related Articles (in Spandidos Publications)
    • Similar Articles (Google Scholar)
    • Similar Articles (PubMed)
  • Download PDF
  • Download XML
  • View XML
Article

Prognostic value of multiple epithelial mesenchymal transition‑associated proteins in intrahepatic cholangiocarcinoma

  • Authors:
    • Xiangguo Tian
    • Zhixin Cao
    • Qian Ding
    • Zhen Li
    • Chunqing Zhang
  • View Affiliations / Copyright

    Affiliations: Department of Gastroenterology, Shandong Provincial Hospital Affiliated to Shandong University, Jinan, Shandong 250021, P.R. China, Department of Pathology, Shandong Provincial Hospital Affiliated to Shandong University, Jinan, Shandong 250021, P.R. China
  • Pages: 2059-2065
    |
    Published online on: June 24, 2019
       https://doi.org/10.3892/ol.2019.10522
  • Expand metrics +
Metrics: Total Views: 0 (Spandidos Publications: | PMC Statistics: )
Metrics: Total PDF Downloads: 0 (Spandidos Publications: | PMC Statistics: )
Cited By (CrossRef): 0 citations Loading Articles...

This article is mentioned in:



Abstract

The aim of the present study was to investigate the expression of epithelial mesenchymal transition (EMT)‑associated proteins and their prognostic value in intrahepatic cholangiocarcinoma (ICC). The expression of six EMT‑associated proteins, including E‑cadherin, N‑cadherin, Vimentin, Snail family transcriptional repressor 1 (Snail), Snail family transcriptional repressor 2 (Slug) and S100 calcium binding protein A4 (S100A4) was determined by immunohistochemistry in 109 patients with ICC who had received surgery. Survival analysis showed that patients with low E‑cadherin expression (P<0.001) or high S100A4 (P<0.001) or Snail (P<0.001) expression had a reduced survival time. Based on the numbers of alterations in the expression of EMT‑associated proteins as determined by immunohistochemical analysis, the patients were categorized as low (score, 0‑3; n=75) or high (score, ≥4; n=34) EMT expression groups. The high EMT expression group was significantly associated with positive lymph node metastasis (P=0.023) and late Tumor‑Node‑Metastasis (TNM) stage (P<0.001). Furthermore, patients in the high EMT expression group had a significantly poorer overall survival time than those in the low EMT expression group (P<0.001). Multivariate analysis indicated that EMT status was a significant independent predictor for overall survival time (P=0.004), and was linked to surgical margin (P=0.013) and TNM stage (P<0.001). In conclusion, the reduced expression of E‑cadherin and high expression of Snail and S100A4 were significantly associated with the poor survival of patients with ICC after surgery. The EMT protein expression status was associated with ICC progression, and may be considered as an independent prognostic indicator for patients with ICC.

Introduction

Intrahepatic cholangiocarcinoma (ICC) is the second most common primary liver cancer diagnosed worldwide (1–3). In the past decades, the incidence of ICC has been rising worldwide, including Europe, North America, Asia, Japan and Australia (4). In a 30-year period the incidence of ICC increased 165% in the United States to 0.95 cases per 100,000 (4). Despite the continuous development of therapeutic options, including surgery, chemotherapy and radiotherapy, the prognosis for ICC remains poor (5). The molecular mechanisms underlying the invasion and metastasis of ICC remain unclear. Identifying these mechanisms, and therefore, novel molecular biomarkers, is crucial for early disease detection, prognostic evaluation and the development novel treatment strategies for ICC.

The epithelial-mesenchymal transition (EMT), a series of events during which epithelial cells lose many of their epithelial characteristics to gain a mesenchymal phenotype, is a pivotal mechanism in tumor progression and metastasis (6,7). The hallmark of EMT comprises the downregulation of epithelial molecules, such as E-cadherin, Keratin 19 and mucin-1, cell surface associated, and the upregulation of mesenchymal molecules, including Vimentin, S100 calcium binding protein A4 (S100A4), N-cadherin, fibronectin and β-catenin (7–9). A number of transcription factors, including Snail family transcriptional repressor 1 (Snail), Snail family transcriptional repressor 2 (Slug), Twist family BHLH transcription factor (Twist), Zinc finger E-box binding homeobox 1 (Zeb1) and Zeb2, are also known to serve a central role in the activation of EMT (8–10). This process has been associated with tumor invasion, metastasis and a poor prognosis in various types of gastrointestinal tumor, including esophageal, gastric, colorectal and hepatic carcinomas (11–14).

Numerous EMT-associated proteins have been suggested to be associated with tumor progression in ICC (15–19). However, to the best of our knowledge, no previous study has been performed to evaluate the EMT process in ICC through the measurement of a large number of EMT-associated markers.

In the present study, the association between the expression of six representative EMT-associated proteins, including E-cadherin, N-cadherin, Vimentin, Snail, Slug and S100A4, and survival in ICC was assessed. In addition, the clinicopathological significance and prognostic value of the expression profile of EMT-related proteins, based on the number of alterations in the expression of these proteins, were also investigated to evaluate the clinical significance of EMT-associated proteins in patients with ICC.

Materials and methods

Patients

A panel of 109 surgical ICC tissue specimens was obtained from patients undergoing curative resection at the Shandong Provincial Hospital Affiliated to Shandong University (Jinan, China) between January 2010 and December 2015. Clinicopathological parameters, including age, sex, tumor size, histological differentiation, surgical margin, lymph node metastasis and Tumor-Node-Metastasis (TNM) stage (20), were obtained by reviewing clinical and pathological records (Table I). The patients included 60 males and 49 females (mean, 57.4 years; range, 39–75 years); all patients were followed-up. The follow-up period ranged from 5–73 months (mean, 26.3 months). None of the patients received neoadjuvant chemotherapy, radiotherapy or immunotherapy prior to surgery. The tumor stage was diagnosed by two certified pathologists of Shandong Provincial Hospital Affiliated to Shandong University, according to the TNM classification defined by the Union for International Cancer Control (20). The study was approved by the Institutional Ethics Committee of Shandong Provincial Hospital Affiliated to Shandong University, and informed written consent was obtained from each patient.

Table I.

Association between EMT status and clinicopathological features in patients with intrahepatic cholangiocarcinoma.

Table I.

Association between EMT status and clinicopathological features in patients with intrahepatic cholangiocarcinoma.

VariablesCases (n=109)Group 1 (low EMT expression, n=75)Group 2 (high EMT expression, n=34)P-value
Sex
  Male604119
  Female4934150.906
Age (years)
  ≤60563818
  >605337160.826
Tumor size (cm)
  ≤4473314
  >46242200.783
Macroscopic types
  Mass-forming type745222
  Non-mass-forming type3523120.632
Histological differentiation
  Well/moderate694920
  Poor/undifferentiated4026140.514
Surgical margin
  Positive281711
  Negative8158230.284
Vascular invasion
  Positive382513
  Negative7150210.619
Lymph node metastasis
  Positive321715
  Negative7758190.023a
T stage
  T1+T2664521
  T3+T44330130.861
TNM stage (17)
  I+II61529
  III+IV482325 <0.001a

a P<0.05 low EMT expression vs. high EMT expression. EMT, epithelial mesenchymal transition; TNM, Tumor-Node-Metastasis.

Immunohistochemistry

Briefly, 4 µm thick sections of the 4% formalin-fixed, paraffin-embedded surgical specimens were baked at 60°C for at least 2 h, and then were dewaxed in xylene and rehydrated using a descending alcohol series (100% for 5 min, 85% for 5 min, 75% for 5 min, distilled water). They were placed in a glass container filled with 10 mmol/l citrate buffer (pH 6.0) and heated in a microwave for 15 min for antigen retrieval. Endogenous peroxidase activity was blocked by incubation in 3% H2O2 at room temperature for 15 min. Goat serum (1%) (cat. no., AR1009; Wuhan Boster Biological Technology, Ltd.) was applied to sections to block nonspecific binding for 5 min at room temperature. Sections were then incubated overnight at 4°C with primary antibodies, including: Rabbit anti-E-cadherin (cat. no., ab40772; 1:200; Abcam), anti-N-cadherin (cat. no., ab76011; 1:200; Abcam), anti-Vimentin (cat. no., ab92547; 1:200; Abcam), anti-S100A4 (cat. no., ab124805; 1:200; Abcam), anti-Snail (cat. no., 13099-1-AP; 1:100; ProteinTech Group, Inc.) or anti-Slug (cat. no., 12129-1-AP; 1:100; ProteinTech Group, Inc.). The sections were then treated with HRP-labelled universal secondary antibody (cat. no., K5007; Dako) for 30 min at 37°C. Slides were washed with PBS in triplicate and 3,3′-diaminobenzidine solution was added for 2–3 min at room temperature, which was incubated until the desired staining was achieved. Then the sections were counterstained with hematoxylin for 3–5 min at room temperature, and then dehydrated and mounted. The slides were observed using a light microscope (magnification, ×400).

Evaluation of immunohistochemical staining

The degree of immunostaining of the sections was blindly evaluated semi-quantitatively by two pathologists of Shandong Provincial Hospital Affiliated to Shandong University, unaware of any clinical information. For each section, five high-power fields using light microscope (magnification, ×400) were randomly selected. For the evaluation of E-cadherin expression, staining within the membrane was considered as positive immunostaining. For evaluation of N-cadherin, Vimentin, Snail, Slug and S100A4 expression, staining in the cytoplasm and/or the nucleus was considered positive immunostaining. The expression of E-cadherin was considered low if the tumor cells exhibited weaker staining patterns than the normal epithelium, or when no staining was observed. The staining of N-cadherin, Vimentin, Snail, Slug and S100A4 were evaluated on the basis of staining intensity and the proportion of positive cells. The tissue sections were scored based on the percentage of immunostained cells as follows: 0, <5; 1, 5–25; 2, 26–50 and 3, >51%. Sections were also scored on the basis of staining intensity: 0, negative; 1, weak; 2, moderate and 3, strong (21). A final score was obtained by multiplying the intensity and percentage scores. Tumors were divided into low (total score of 0–2) and high (a total score of >2) expression groups.

Statistical analysis

The associations between alterations in the expression of EMT proteins and clinicopathological variables were examined by a χ2 test. Survival curves were produced using the Kaplan-Meier method and compared with the log-rank test. Univariate and multivariate analyses were performed to identify independent prognostic factors using the Cox proportional hazards regression model. P<0.05 was considered to indicate a statistically significant difference. All statistical analyses were performed using SPSS 17.0 software (SPSS Inc., Chicago, IL, USA).

Results

Expression of EMT-associated proteins in primary ICC

Fig. 1 shows representative images of immunohistochemical staining for the EMT-associated proteins in the tumor tissue samples. Low E-cadherin expression was observed in 63 (57.8%) of the samples. Regarding the mesenchymal markers and transcription factors, 39 (35.8%) of the samples exhibited high Vimentin, 42 (38.5%) exhibited high S100A4 expression; 35 (32.1%), 38 (34.9%) and 27 (24.8%) samples revealed upregulated N-cadherin, Snail and Slug protein expression, respectively.

Figure 1.

Representative immunohistochemical staining for the EMT-associated proteins in intrahepatic cholangiocarcinoma. The low expression of (A) E-cadherin, and high expression of (B) N-cadherin, (C) Snail, (D) Slug, (E) Vimentin and (F) S100A4 were observed in tumor tissues (the black arrows, magnification, ×400). Snail, Snail family transcriptional repressor 1; Slug, Snail family transcriptional repressor 2; S100A4, S100 calcium binding protein A4; EMT, epithelial-mesenchymal transition.

Association between EMT-associated protein expression and patient survival time

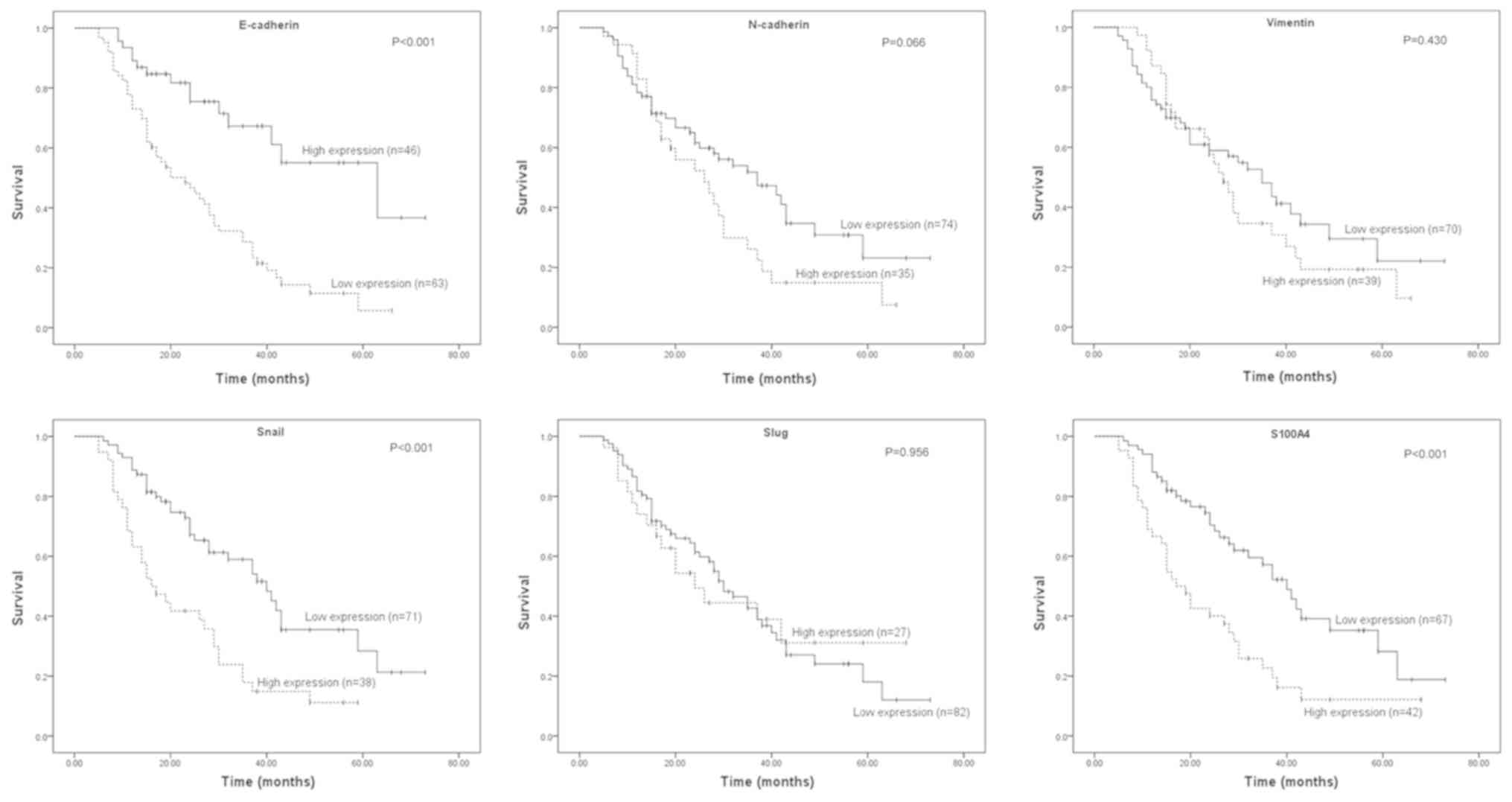
The log-rank test was used to identify the differences in patient survival time with respect to the expression of the six EMT-associated proteins (Fig. 2). During the follow-up period, a total of 67 (61.5%) of the patients succumbed to ICC. In terms of epithelial markers, the survival time for patients with tumors with low expression of E-cadherin was significantly lower than the rate for patients with high expression of E-cadherin (P<0.001). In terms of mesenchymal markers and transcription factors, increased expression of S100A4 (P<0.001) and Snail (P<0.001) was associated with a lower survival rate compared with the low expression group. However, there were no significant differences in survival time between the high and low expression groups with respect to N-cadherin (P=0.066), Slug (P=0.956) and Vimentin (P=0.430) expression.

Figure 2.

Survival curves using the Kaplan-Meier method for expression of the six EMT-associated proteins in patients with intrahepatic cholangiocarcinoma. Snail, Snail family transcriptional repressor 1; Slug, Snail family transcriptional repressor 2; S100A4, S100 calcium binding protein A4; EMT, epithelial-mesenchymal transition.

Association between EMT status and the survival of patients

According to the number of downregulated epithelial proteins and upregulated mesenchymal and transcription proteins in each patient, the EMT status of patients was categorized into 2 groups: i) Group 1: (low EMT expression, score, 0–3; n=75), with the alteration number of ≤3; ii) Group 2: (high EMT expression, score, ≥4; n=34), with the alteration number of ≥4).

The characteristics of the patients from each group are outlined in Table I. χ2 analysis showed that patients with high EMT expression exhibited a significantly greater likelihood of lymph node metastasis (P=0.023) and a higher TNM stage (P<0.001).

The cumulative survival rates at 1, 2 and 5 years were 61.8, 25.2 and 3.2%, respectively, in the high EMT expression group, whereas they were 88.0, 74.1 and 31.5% in the low EMT expression group. The survival rate for patients with high EMT expression was significantly lower than that in patients with low EMT expression (P<0.001; Fig. 3).

Figure 3.

Survival curves using the Kaplan-Meier method for the EMT expression status in patients with intrahepatic cholangiocarcinoma. EMT, epithelial- mesenchymal transition.

Univariate and multivariate analysis were performed to identify independent prognostic factors by using the Cox proportional hazards regression model. Univariate analysis demonstrated that the significant prognostic factors included EMT status (P<0.001), lymph node metastasis (P=0.025), vascular invasion (P=0.027), surgical margin (P<0.001) and TNM stage (P<0.001). The above five significant factors were analyzed by multivariate analysis and it was indicated that EMT status (P=0.004), surgical margin (P=0.013) and TNM stage (P<0.001) were independent prognostic factors for overall survival rate (Table II).

Table II.

Univariate and multivariate analysis of prognostic factors for overall survival rate.

Table II.

Univariate and multivariate analysis of prognostic factors for overall survival rate.

Univariate analysisMultivariate analysis


VariablesRR95% CIP-valueRR95% CIP-value
Sex (male vs. female)1.0790.666–1.7490.757–––
Age (≤60 vs. >60)0.9400.582–1.5190.800–––
Tumor size (≤4 vs. >4 cm)1.2210.748–1.9950.425–––
Macroscopic types (mass-forming vs. non-mass-forming)1.5430.935–2.5460.090–––
Histological differentiation (well/moderate vs. poor/undifferentiated)0.8670.519–1.4480.586–––
Surgical margin (positive vs. negative)3.8762.196–6.841 <0.001a2.2181.185–4.1520.013a
Vascular invasion (positive vs. negative)1.7411.065–2.8440.027a1.2960.739–2.2750.365
Lymph node metastasis (positive vs. negative)1.8131.077–3.0520.025a1.3980.806–2.4260.233
T stage (T1+T2 vs. T3+T4)1.0030.611–1.6470.991–––
TNM stage (17) (I+II vs. III+IV)7.7144.293–13.859 <0.001a4.9192.585–9.359 <0.001a
EMT status (high vs. low)4.1802.529–6.908 <0.001a2.3051.311–4.0500.004a

a P<0.05. CI, confidence interval; RR, relative risk; EMT, epithelial-mesenchymal transition; TNM, Tumor-Node-Metastasis.

Discussion

EMT serves a crucial role in cancer invasion, metastasis and progression (6,7). Although numerous EMT-associated markers have been reported to be effective prognostic factors for patients who have undergone curative resection in many types of digestive tumours, including esophageal, gastric, colorectal and hepatic carcinomas (11–14), few studies have focused on the expression and prognostic value of EMT markers in ICC (15–19). Therefore, further investigation into the prognostic value and clinical significance of EMT in ICC is required. In the present study, the expression of six EMT-associated proteins was analyzed in a relatively large cohort of patients with ICC, in addition to their association with overall survival rate. Furthermore, the association of EMT status, based on the number of expression changes to EMT markers, with clinicopathological factors and prognosis was also investigated to determine the clinical significance of EMT in ICC. To the best of our knowledge, this is the first study to evaluate the clinical role of EMT, taking into consideration the expression of several EMT proteins in ICC.

E-cadherin is expressed in the membranes of epithelial cells and serves a vital role in cell adhesion and movement (22). The loss of E-cadherin expression promotes the migration and invasion of tumor cells, and is a critical step of EMT in the development of malignant carcinomas (23). A number of transcription factors, including Snail, Slug, Twist, Zeb1 and Zeb2, induce EMT by downregulating E-cadherin, and upregulating mesenchymal factors, such as N-cadherin, Vimentin and S100A4, through a number of different signalling cascades, such as the signal transducer and activator of transcription 3, mitogen-activated protein kinase and Wnt pathways (8–10,24). In the present study, the downregulation of an epithelial marker (E-cadherin) and the upregulation of mesenchymal markers (Vimentin, N-cadherin and S100A4) were detected. The EMT transcription factors Snail and Slug were also highly expressed in ICC tissue samples. These representative characteristic changes confirmed the occurrence of EMT in ICC tissue. Furthermore, survival analysis showed that reductions in E-cadherin expression, and increased expression of S100A4 and Snail was associated with significantly shorter overall survival time.

S100A4 is a typical fibroblast marker of EMT; furthermore, it is involved in the regulation of various biological processes, including cell proliferation, extracellular matrix remodelling, cell motility, cell detachment and angiogenesis (25). S100A4 expression has been reported to be significantly associated with cancer aggressiveness and a worse prognosis for patients with several types of cancer, such as pancreatic, bladder, gallbladder, breast, ovarian, colorectal and gastric cancer, and non-small cell lung carcinoma, and may be a useful marker of metastatic potential with prognostic significance (26). S100A4 expression has also been reported to increase the invasiveness and metastasis of cholangiocarcinoma in vitro and in vivo (27). In our previous study, the high expression of S100A4 was identified as an independent predictor for reduced overall survival time in ICC (21). The outcomes in the present larger scale study were consistent with the aforementioned studies.

Among the EMT transcription factors, the Snail family, including Snail and Slug, are the most extensively studied (28–31). Slug and Snail have been identified to serve key roles in the development of several types of carcinoma, including renal, breast, prostate and ovarian carcinomas (28–31). The Snail family facilitates the metastatic potential of tumors by promoting cell migration, inhibiting cell-cell adhesion and enhancing tumor invasiveness (32). The overexpression of Snail potently inhibits the expression of E-cadherin and induces EMT (33,34). The inhibition of Slug expression by RNA interference is associated with upregulated E-cadherin expression and decreased cell invasion in vitro (35). In patients with ICC or hilar cholangiocarcinoma, high expression of Snail was reported to be associated with aggressive tumor characteristics and poor prognosis (16,32). In ICC, the expression of Slug has been associated with lymph node invasion, lymphovascular invasion and distant metastasis, as well as acting as an independent indicator of poor prognosis (36). In the present study, the increased expression of Snail was associated with reduced overall survival for patients with ICC following surgical resection. However, we reported that upregulated Slug did not predict the unfavorable survival outcomes for patients with ICC.

Other EMT-associated proteins, such as β-catenin, N-cadherin and Slug, have also previously been identified as reliable prognostic indicators and indicators for the likelihood of tumor invasion in many types of cancer, including ICC (15). However, only the E-cadherin, S100A4 and Snail expression levels were observed to be associated with poor survival in the present study. The differences in sample size, antibodies used, patient characteristics, follow-up periods and immunohistochemistry cut-off values could account for the differing results (17). The combined detection of EMT proteins could decrease the likelihood of bias. In addition, EMT proteins may interact with each other during cancer progression (19). The detection of the co-expression of EMT proteins would therefore be expected to have greater prognostic value than any single EMT protein. Therefore, in the present study, the association between the expression of a combination of EMT-related proteins with the clinicopathological features and prognosis of patients with ICC was determined. The frequency of EMT proteins dysregulation was used to reflect the EMT status in each tumor sample. Patients with a higher number of EMT protein alterations were more likely to exhibit lymph node metastasis and a higher TNM stage, as well as poorer overall prognosis. The results collectively demonstrated that EMT is a key step in the progression of ICC.

In conclusion, the reduced expression of E-cadherin, and the increased expression of Snail and S100A4 were significantly associated with reduced overall survival time for patients with ICC after curative resection. The EMT status, based on the number of alterations in the expression of EMT-related proteins, was associated with ICC progression, and may serve as an independent prognostic indicator for ICC. Further investigations regarding the upstream or downstream factors of EMT in different mechanisms could provide the basis for the identification of diagnostic markers and potential therapeutic targets for ICC.

Acknowledgements

The authors would like to thank Dr Edward C. Mignot (Shandong University) for the linguistic advice.

Funding

This study was supported by Shandong Provincial Key Research and Development Program (grant no. 2017GSF218026) and Shandong Provincial Natural Science Foundation (grant no. ZR2017PH001).

Availability of data and materials

The datasets used and/or analyzed during the current study are available from the corresponding author on reasonable request.

Authors contributions

XT and CZ were responsible for study concept and design. XT, ZC, QD and ZL performed the experiments. QD and ZL analysed the data. XT and CZ wrote the present manuscript. All authors read and approved the final manuscript.

Ethics approval and consent to participate

The study was approved by the Institutional Ethics Committee (Shandong Provincial Hospital Affiliated to Shandong University), and informed written consent was obtained from each patient.

Patient consent for publication

Written informed consent was obtained from each patient to publish the present study.

Competing interests

The authors declare that they have no competing interests.

Glossary

Abbreviations

Abbreviations:

ICC

intrahepatic cholangiocarcinoma

EMT

epithelial-mesenchymal transition

References

1 

Razumilava N and Gores GJ: Cholangiocarcinoma. Lancet. 383:2168–2179. 2014. View Article : Google Scholar : PubMed/NCBI

2 

Bridgewater J, Galle PR, Khan SA, Llovet JM, Park JW, Patel T, Pawlik TM and Gores GJ: Guidelines for the diagnosis and management of intrahepatic cholangiocarcinoma. J Hepatol. 60:1268–1289. 2014. View Article : Google Scholar : PubMed/NCBI

3 

Gupta A and Dixon E: Epidemiology and risk factors: Intrahepatic cholangiocarcinoma. Hepatobiliary Surg Nutr. 6:101–104. 2017. View Article : Google Scholar : PubMed/NCBI

4 

Zhang H, Shen F, Han J, Shen YN, Xie GQ, Wu MC and Yang T: Epidemiology and surgical management of intrahepatic cholangiocarcinoma. Hepat Oncol. 3:83–91. 2016. View Article : Google Scholar : PubMed/NCBI

5 

Shaib YH, Davila JA, McGlynn K and El-Serag HB: Rising incidence of intrahepatic cholangiocarcinoma in the United States: A true increase? J Hepatol. 40:472–477. 2004. View Article : Google Scholar : PubMed/NCBI

6 

Iwatsuki M, Mimori K, Yokobori T, Ishi H, Beppu T, Nakamori S, Baba H and Mori M: Epithelial-mesenchymal transition in cancer development and its clinical significance. Cancer Sci. 101:293–299. 2010. View Article : Google Scholar : PubMed/NCBI

7 

Thiery JP, Acloque H, Huang RY and Nieto MA: Epithelial- mesenchymal transitions in development and disease. Cell. 139:871–890. 2009. View Article : Google Scholar : PubMed/NCBI

8 

Kalluri R and Weinberg RA: The basics of epithelial-mesenchymal transition. J Clin Invest. 119:1420–1428. 2009. View Article : Google Scholar : PubMed/NCBI

9 

Zeisberg M and Neilson EG: Biomarkers for epithelial-mesenchymal transitions. J Clin Invest. 119:1429–1437. 2009. View Article : Google Scholar : PubMed/NCBI

10 

Tania M, Khan MA and Fu J: Epithelial to mesenchymal transition inducing transcription factors and metastatic cancer. Tumour Biol. 35:7335–7342. 2014. View Article : Google Scholar : PubMed/NCBI

11 

Wen J, Luo KJ, Liu QW, Wang G, Zhang MF, Xie XY, Yang H, Fu JH and Hu Y: The epithelial-mesenchymal transition phenotype of metastatic lymph nodes impacts the prognosis of esophageal squamous cell carcinoma patients. Oncotarget. 7:37581–37588. 2016. View Article : Google Scholar : PubMed/NCBI

12 

Kim MA, Lee HS, Lee HE, Kim JH, Yang HK and Kim WH: Prognostic importance of epithelial-mesenchymal transition- related protein expression in gastric carcinoma. Histopathology. 54:442–451. 2009. View Article : Google Scholar : PubMed/NCBI

13 

Cao H, Xu E, Liu H, Wan L and Lai M: Epithelial-mesenchymal transition in colorectal cancer metastasis: A system review. Pathol Res Pract. 211:557–569. 2015. View Article : Google Scholar : PubMed/NCBI

14 

Giannelli G, Koudelkova P, Dituri F and Mikulits W: Role of epithelial to mesenchymal transition in hepatocellular carcinoma. J Hepatol. 65:798–808. 2016. View Article : Google Scholar : PubMed/NCBI

15 

Vaquero J, Guedj N, Clapéron A, Nguyen Ho-Bouldoires TH, Paradis V and Fouassier L: Epithelial-mesenchymal transition in cholangiocarcinoma: From clinical evidence to regulatory networks. J Hepatol. 66:424–441. 2017. View Article : Google Scholar : PubMed/NCBI

16 

Huang XY, Zhang C, Cai JB, Shi GM, Ke AW, Dong ZR, Zhang PF, Fan J, Peng BG and Zhou J: Comprehensive multiple molecular profile of epithelial mesenchymal transition in intrahepatic cholangiocarcinoma patients. PLoS One. 9:e968602014. View Article : Google Scholar : PubMed/NCBI

17 

Nitta T, Mitsuhashi T, Hatanaka Y, Miyamoto M, Oba K, Tsuchikawa T, Suzuki Y, Hatanaka KC, Hirano S and Matsuno Y: Prognostic significance of epithelial-mesenchymal transition-related markers in extrahepatic cholangiocarcinoma: Comprehensive immunohistochemical study using a tissue microarray. Br J Cancer. 111:1363–1372. 2014. View Article : Google Scholar : PubMed/NCBI

18 

Yao X, Wang X, Wang Z, Dai L, Zhang G, Yan Q and Zhou W: Clinicopathological and prognostic significance of epithelial mesenchymal transition-related protein expression in intrahepatic cholangiocarcinoma. Onco Targets Ther. 5:255–261. 2012. View Article : Google Scholar : PubMed/NCBI

19 

Ryu HS, Chung JH, Lee K, Shin E, Jing J, Choe G, Kim H, Xu X, Lee HE, Kim DG, et al: Overexpression of epithelial-mesenchymal transition-related markers according to cell dedifferentiation: Clinical implications as an independent predictor of poor prognosis in cholangiocarcinoma. Hum Pathol. 43:2360–2370. 2012. View Article : Google Scholar : PubMed/NCBI

20 

Sobin LH, Gospodarowicz MK and Wittekind CH: TNM Classification of Malignant Tumours. 7th edition. Wiley-Blackwell; Oxford: pp. 122–128. 2009

21 

Tian XG, Wang QZ, Li Y, Hu JH, Wu L, Ding Q and Zhang C: The expression of S100A4 protein in human intrahepatic cholangiocarcinoma: Clinicopathologic significance and prognostic value. Pathol Oncol Res. 21:195–201. 2015. View Article : Google Scholar : PubMed/NCBI

22 

Shiozaki H, Tahara H, Oka H, Miyata M, Kobayashi K, Tamura S, Iihara K, Doki Y, Hirano S, Takeichi M, et al: Expression of immunoreactive E-cadherin adhesion molecules in human cancers. Am J Pathol. 139:17–23. 1991.PubMed/NCBI

23 

Huber MA, Kraut N and Beug H: Molecular requirements for epithelial-mesenchymal transition during tumor progression. Curr Opin Cell Biol. 17:548–558. 2005. View Article : Google Scholar : PubMed/NCBI

24 

Hugo H, Ackland ML, Blick T, Lawrence MG, Clements JA, Williams ED and Thompson EW: Epithelial-mesenchymal and mesenchymal-epithelial transitions in carcinoma progression. J Cell Physiol. 213:374–383. 2007. View Article : Google Scholar : PubMed/NCBI

25 

Mazzucchelli L: Protein S100A4: Too long overlooked by pathologists? Am J Pathol. 160:7–13. 2002. View Article : Google Scholar : PubMed/NCBI

26 

Boye K and Maelandsmo GM: S100A4 and metastasis: A small actor playing many roles. Am J Pathol. 176:528–535. 2010. View Article : Google Scholar : PubMed/NCBI

27 

Fabris L, Cadamuro M, Moserle L, Dziura J, Cong X, Sambado L, Nardo G, Sonzogni A, Colledan M, Furlanetto A, et al: Nuclear expression of S100A4 calcium-binding protein increases cholangiocarcinoma invasiveness and metastasization. Hepatology. 54:890–899. 2011. View Article : Google Scholar : PubMed/NCBI

28 

Mikami S, Katsube K, Oya M, Ishida M, Kosaka T, Mizuno R, Mukai M and Okada Y: Expression of Snail and Slug in renal cell carcinoma: E-cadherin repressor Snail is associated with cancer invasion and prognosis. Lab Invest. 91:1443–1458. 2011. View Article : Google Scholar : PubMed/NCBI

29 

Kurrey NK, K A and Bapat SA: Snail and Slug are major determinants of ovarian cancer invasiveness at the transcription level. Gynecol Oncol. 97:155–165. 2005. View Article : Google Scholar : PubMed/NCBI

30 

Emadi Baygi M, Soheili ZS, Schmitz I, Sameie S and Schulz WA: Snail regulates cell survival and inhibits cellular senescence in human metastatic prostate cancer cell lines. Cell Biol Toxicol. 26:553–567. 2010. View Article : Google Scholar : PubMed/NCBI

31 

Blechschmidt K, Sassen S, Schmalfeldt B, Schuster T, Höfler H and Becker KF: The E-cadherin repressor Snail is associated with lower overall survival of ovarian cancer patients. Br J Cancer. 98:489–495. 2008. View Article : Google Scholar : PubMed/NCBI

32 

Kong D, Liang J, Li R, Liu S, Wang J, Zhang K and Chen D: Prognostic significance of snail expression in hilar cholangiocarcinoma. Braz J Med Biol Res. 45:617–624. 2012. View Article : Google Scholar : PubMed/NCBI

33 

Poser I, Dominguez D, de Herreros AG, Varnai A, Buettner R and Bosserhoff AK: Loss of E-cadherin expression in melanoma cells involves up-regulation of the transcriptional repressor Snail. J Biol Chem. 276:24661–24666. 2001. View Article : Google Scholar : PubMed/NCBI

34 

Cano A, Perez-Moreno MA, Rodrigo I, Locascio A, Blanco MJ, del Barrio MG, Portillo F and Nieto MA: The transcription factor snail controls epithelial-mesenchymal transitions by repressing E-cadherin expression. Nat Cell Biol. 2:76–83. 2000. View Article : Google Scholar : PubMed/NCBI

35 

Zhang KJ, Wang DS, Zhang SY, Jiao XL, Li CW, Wang XS, Yu QC and Cui HN: The E-cadherin repressor slug and progression of human extrahepatic hilar cholangiocarcinoma. J Exp Clin Cancer Res. 29:882010. View Article : Google Scholar : PubMed/NCBI

36 

Zhang KJ, Zhang BY, Zhang KP, Tang LM, Liu SS, Zhu DM and Zhang DL: Clinicopathologic significance of slug expression in human intrahepatic cholangiocarcinoma. World J Gastroenterol. 16:2554–2557. 2010. View Article : Google Scholar : PubMed/NCBI

Related Articles

  • Abstract
  • View
  • Download
  • Twitter
Copy and paste a formatted citation
Spandidos Publications style
Tian X, Cao Z, Ding Q, Li Z and Zhang C: Prognostic value of multiple epithelial mesenchymal transition‑associated proteins in intrahepatic cholangiocarcinoma. Oncol Lett 18: 2059-2065, 2019.
APA
Tian, X., Cao, Z., Ding, Q., Li, Z., & Zhang, C. (2019). Prognostic value of multiple epithelial mesenchymal transition‑associated proteins in intrahepatic cholangiocarcinoma. Oncology Letters, 18, 2059-2065. https://doi.org/10.3892/ol.2019.10522
MLA
Tian, X., Cao, Z., Ding, Q., Li, Z., Zhang, C."Prognostic value of multiple epithelial mesenchymal transition‑associated proteins in intrahepatic cholangiocarcinoma". Oncology Letters 18.2 (2019): 2059-2065.
Chicago
Tian, X., Cao, Z., Ding, Q., Li, Z., Zhang, C."Prognostic value of multiple epithelial mesenchymal transition‑associated proteins in intrahepatic cholangiocarcinoma". Oncology Letters 18, no. 2 (2019): 2059-2065. https://doi.org/10.3892/ol.2019.10522
Copy and paste a formatted citation
x
Spandidos Publications style
Tian X, Cao Z, Ding Q, Li Z and Zhang C: Prognostic value of multiple epithelial mesenchymal transition‑associated proteins in intrahepatic cholangiocarcinoma. Oncol Lett 18: 2059-2065, 2019.
APA
Tian, X., Cao, Z., Ding, Q., Li, Z., & Zhang, C. (2019). Prognostic value of multiple epithelial mesenchymal transition‑associated proteins in intrahepatic cholangiocarcinoma. Oncology Letters, 18, 2059-2065. https://doi.org/10.3892/ol.2019.10522
MLA
Tian, X., Cao, Z., Ding, Q., Li, Z., Zhang, C."Prognostic value of multiple epithelial mesenchymal transition‑associated proteins in intrahepatic cholangiocarcinoma". Oncology Letters 18.2 (2019): 2059-2065.
Chicago
Tian, X., Cao, Z., Ding, Q., Li, Z., Zhang, C."Prognostic value of multiple epithelial mesenchymal transition‑associated proteins in intrahepatic cholangiocarcinoma". Oncology Letters 18, no. 2 (2019): 2059-2065. https://doi.org/10.3892/ol.2019.10522
Follow us
  • Twitter
  • LinkedIn
  • Facebook
About
  • Spandidos Publications
  • Careers
  • Cookie Policy
  • Privacy Policy
How can we help?
  • Help
  • Live Chat
  • Contact
  • Email to our Support Team