Spandidos Publications Logo
  • About
    • About Spandidos
    • Aims and Scopes
    • Abstracting and Indexing
    • Editorial Policies
    • Reprints and Permissions
    • Job Opportunities
    • Terms and Conditions
    • Contact
  • Journals
    • All Journals
    • Oncology Letters
      • Oncology Letters
      • Information for Authors
      • Editorial Policies
      • Editorial Board
      • Aims and Scope
      • Abstracting and Indexing
      • Bibliographic Information
      • Archive
    • International Journal of Oncology
      • International Journal of Oncology
      • Information for Authors
      • Editorial Policies
      • Editorial Board
      • Aims and Scope
      • Abstracting and Indexing
      • Bibliographic Information
      • Archive
    • Molecular and Clinical Oncology
      • Molecular and Clinical Oncology
      • Information for Authors
      • Editorial Policies
      • Editorial Board
      • Aims and Scope
      • Abstracting and Indexing
      • Bibliographic Information
      • Archive
    • Experimental and Therapeutic Medicine
      • Experimental and Therapeutic Medicine
      • Information for Authors
      • Editorial Policies
      • Editorial Board
      • Aims and Scope
      • Abstracting and Indexing
      • Bibliographic Information
      • Archive
    • International Journal of Molecular Medicine
      • International Journal of Molecular Medicine
      • Information for Authors
      • Editorial Policies
      • Editorial Board
      • Aims and Scope
      • Abstracting and Indexing
      • Bibliographic Information
      • Archive
    • Biomedical Reports
      • Biomedical Reports
      • Information for Authors
      • Editorial Policies
      • Editorial Board
      • Aims and Scope
      • Abstracting and Indexing
      • Bibliographic Information
      • Archive
    • Oncology Reports
      • Oncology Reports
      • Information for Authors
      • Editorial Policies
      • Editorial Board
      • Aims and Scope
      • Abstracting and Indexing
      • Bibliographic Information
      • Archive
    • Molecular Medicine Reports
      • Molecular Medicine Reports
      • Information for Authors
      • Editorial Policies
      • Editorial Board
      • Aims and Scope
      • Abstracting and Indexing
      • Bibliographic Information
      • Archive
    • World Academy of Sciences Journal
      • World Academy of Sciences Journal
      • Information for Authors
      • Editorial Policies
      • Editorial Board
      • Aims and Scope
      • Abstracting and Indexing
      • Bibliographic Information
      • Archive
    • International Journal of Functional Nutrition
      • International Journal of Functional Nutrition
      • Information for Authors
      • Editorial Policies
      • Editorial Board
      • Aims and Scope
      • Abstracting and Indexing
      • Bibliographic Information
      • Archive
    • International Journal of Epigenetics
      • International Journal of Epigenetics
      • Information for Authors
      • Editorial Policies
      • Editorial Board
      • Aims and Scope
      • Abstracting and Indexing
      • Bibliographic Information
      • Archive
    • Medicine International
      • Medicine International
      • Information for Authors
      • Editorial Policies
      • Editorial Board
      • Aims and Scope
      • Abstracting and Indexing
      • Bibliographic Information
      • Archive
  • Articles
  • Information
    • Information for Authors
    • Information for Reviewers
    • Information for Librarians
    • Information for Advertisers
    • Conferences
  • Language Editing
Spandidos Publications Logo
  • About
    • About Spandidos
    • Aims and Scopes
    • Abstracting and Indexing
    • Editorial Policies
    • Reprints and Permissions
    • Job Opportunities
    • Terms and Conditions
    • Contact
  • Journals
    • All Journals
    • Biomedical Reports
      • Information for Authors
      • Editorial Policies
      • Editorial Board
      • Aims and Scope
      • Abstracting and Indexing
      • Bibliographic Information
      • Archive
    • Experimental and Therapeutic Medicine
      • Information for Authors
      • Editorial Policies
      • Editorial Board
      • Aims and Scope
      • Abstracting and Indexing
      • Bibliographic Information
      • Archive
    • International Journal of Epigenetics
      • Information for Authors
      • Editorial Policies
      • Editorial Board
      • Aims and Scope
      • Abstracting and Indexing
      • Bibliographic Information
      • Archive
    • International Journal of Functional Nutrition
      • Information for Authors
      • Editorial Policies
      • Editorial Board
      • Aims and Scope
      • Abstracting and Indexing
      • Bibliographic Information
      • Archive
    • International Journal of Molecular Medicine
      • Information for Authors
      • Editorial Policies
      • Editorial Board
      • Aims and Scope
      • Abstracting and Indexing
      • Bibliographic Information
      • Archive
    • International Journal of Oncology
      • Information for Authors
      • Editorial Policies
      • Editorial Board
      • Aims and Scope
      • Abstracting and Indexing
      • Bibliographic Information
      • Archive
    • Medicine International
      • Information for Authors
      • Editorial Policies
      • Editorial Board
      • Aims and Scope
      • Abstracting and Indexing
      • Bibliographic Information
      • Archive
    • Molecular and Clinical Oncology
      • Information for Authors
      • Editorial Policies
      • Editorial Board
      • Aims and Scope
      • Abstracting and Indexing
      • Bibliographic Information
      • Archive
    • Molecular Medicine Reports
      • Information for Authors
      • Editorial Policies
      • Editorial Board
      • Aims and Scope
      • Abstracting and Indexing
      • Bibliographic Information
      • Archive
    • Oncology Letters
      • Information for Authors
      • Editorial Policies
      • Editorial Board
      • Aims and Scope
      • Abstracting and Indexing
      • Bibliographic Information
      • Archive
    • Oncology Reports
      • Information for Authors
      • Editorial Policies
      • Editorial Board
      • Aims and Scope
      • Abstracting and Indexing
      • Bibliographic Information
      • Archive
    • World Academy of Sciences Journal
      • Information for Authors
      • Editorial Policies
      • Editorial Board
      • Aims and Scope
      • Abstracting and Indexing
      • Bibliographic Information
      • Archive
  • Articles
  • Information
    • For Authors
    • For Reviewers
    • For Librarians
    • For Advertisers
    • Conferences
  • Language Editing
Login Register Submit
  • This site uses cookies
  • You can change your cookie settings at any time by following the instructions in our Cookie Policy. To find out more, you may read our Privacy Policy.

    I agree
Search articles by DOI, keyword, author or affiliation
Search
Advanced Search
presentation
Oncology Letters
Join Editorial Board Propose a Special Issue
Print ISSN: 1792-1074 Online ISSN: 1792-1082
Journal Cover
December-2019 Volume 18 Issue 6

Full Size Image

Sign up for eToc alerts
Recommend to Library

Journals

International Journal of Molecular Medicine

International Journal of Molecular Medicine

International Journal of Molecular Medicine is an international journal devoted to molecular mechanisms of human disease.

International Journal of Oncology

International Journal of Oncology

International Journal of Oncology is an international journal devoted to oncology research and cancer treatment.

Molecular Medicine Reports

Molecular Medicine Reports

Covers molecular medicine topics such as pharmacology, pathology, genetics, neuroscience, infectious diseases, molecular cardiology, and molecular surgery.

Oncology Reports

Oncology Reports

Oncology Reports is an international journal devoted to fundamental and applied research in Oncology.

Experimental and Therapeutic Medicine

Experimental and Therapeutic Medicine

Experimental and Therapeutic Medicine is an international journal devoted to laboratory and clinical medicine.

Oncology Letters

Oncology Letters

Oncology Letters is an international journal devoted to Experimental and Clinical Oncology.

Biomedical Reports

Biomedical Reports

Explores a wide range of biological and medical fields, including pharmacology, genetics, microbiology, neuroscience, and molecular cardiology.

Molecular and Clinical Oncology

Molecular and Clinical Oncology

International journal addressing all aspects of oncology research, from tumorigenesis and oncogenes to chemotherapy and metastasis.

World Academy of Sciences Journal

World Academy of Sciences Journal

Multidisciplinary open-access journal spanning biochemistry, genetics, neuroscience, environmental health, and synthetic biology.

International Journal of Functional Nutrition

International Journal of Functional Nutrition

Open-access journal combining biochemistry, pharmacology, immunology, and genetics to advance health through functional nutrition.

International Journal of Epigenetics

International Journal of Epigenetics

Publishes open-access research on using epigenetics to advance understanding and treatment of human disease.

Medicine International

Medicine International

An International Open Access Journal Devoted to General Medicine.

Journal Cover
December-2019 Volume 18 Issue 6

Full Size Image

Sign up for eToc alerts
Recommend to Library

  • Article
  • Citations
    • Cite This Article
    • Download Citation
    • Create Citation Alert
    • Remove Citation Alert
    • Cited By
  • Similar Articles
    • Related Articles (in Spandidos Publications)
    • Similar Articles (Google Scholar)
    • Similar Articles (PubMed)
  • Download PDF
  • Download XML
  • View XML
Article Open Access

Expression levels and prognostic values of annexins in liver cancer

  • Authors:
    • Chunbo Zhuang
    • Pei Wang
    • Ting Sun
    • Lei Zheng
    • Liang Ming
  • View Affiliations / Copyright

    Affiliations: Department of Clinical Laboratory Medicine, The First Affiliated Hospital of Zhengzhou University, Zhengzhou, Henan 450052, P.R. China, Department of Gastroenterology, The First Affiliated Hospital of Zhengzhou University, Zhengzhou, Henan 450052, P.R. China
    Copyright: © Zhuang et al. This is an open access article distributed under the terms of Creative Commons Attribution License.
  • Pages: 6657-6669
    |
    Published online on: October 30, 2019
       https://doi.org/10.3892/ol.2019.11025
  • Expand metrics +
Metrics: Total Views: 0 (Spandidos Publications: | PMC Statistics: )
Metrics: Total PDF Downloads: 0 (Spandidos Publications: | PMC Statistics: )
Cited By (CrossRef): 0 citations Loading Articles...

This article is mentioned in:



Abstract

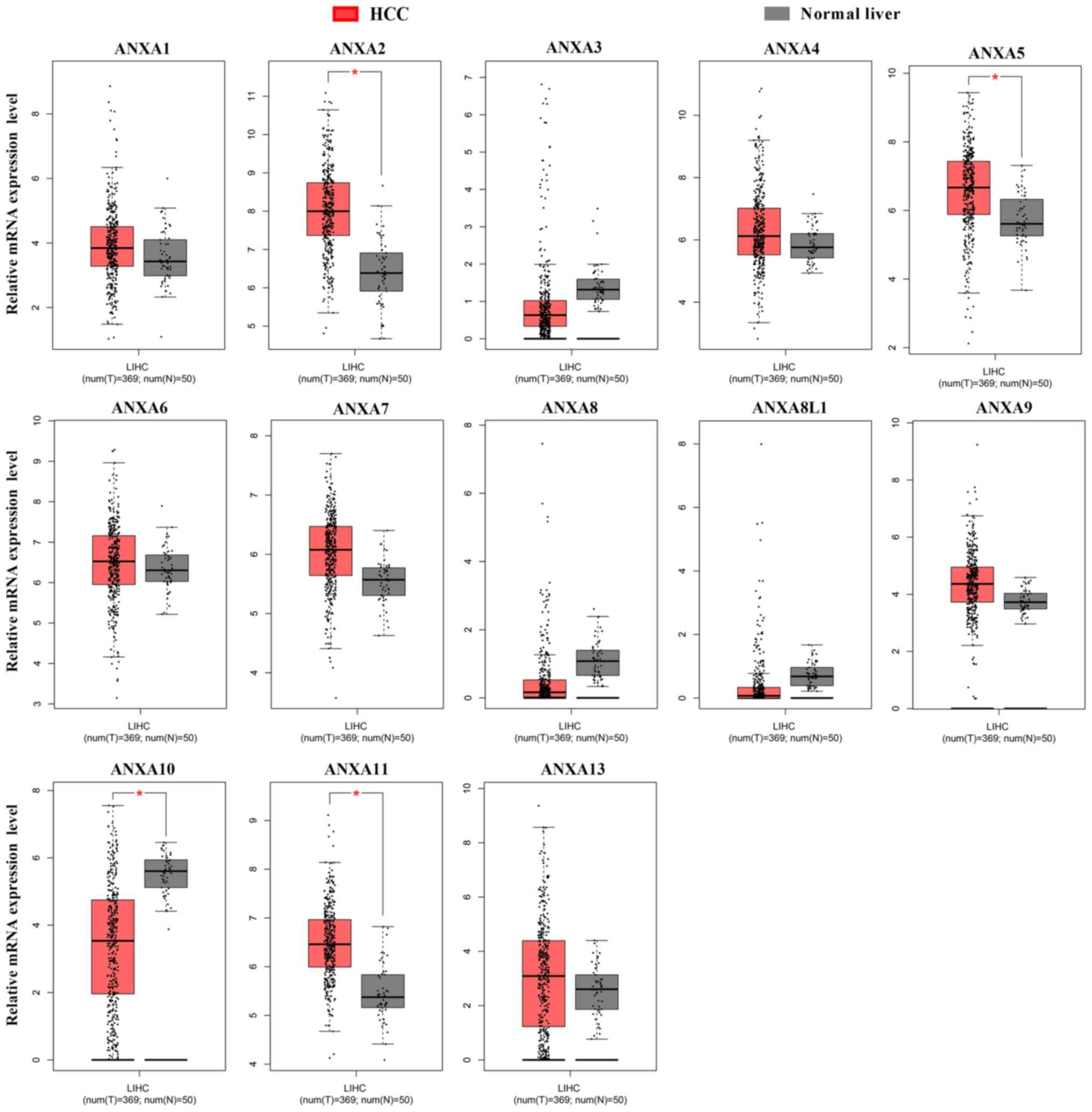
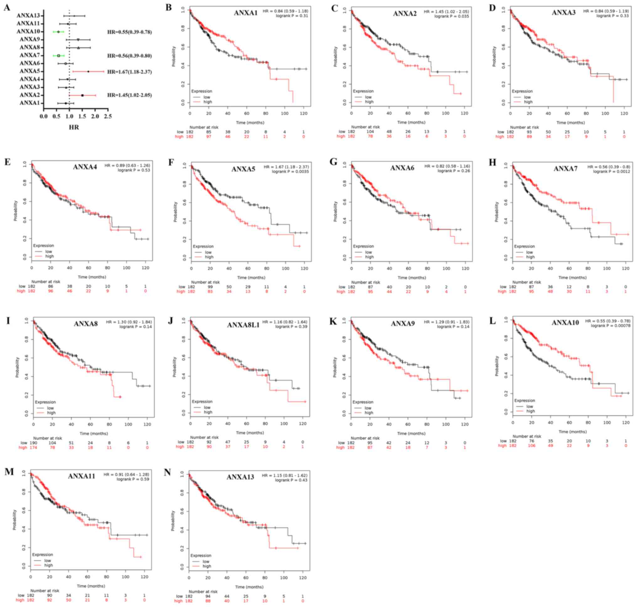
Annexins are a superfamily of calcium‑dependent phospholipid‑binding proteins that are implicated in a wide range of biological processes. The annexin superfamily comprises 13 members in humans (ANXAs), the majority of which are frequently dysregulated in cancer. However, the expression patterns and prognostic values of ANXAs in liver cancer are currently largely unknown. The present study aimed to analyze the expression levels of ANXAs and survival data in patients with liver cancer from the Oncomine, GEPIA, Kaplan‑Meier plotter and cBioPortal for Cancer Genomics databases. The results demonstrated that ANXA1, A2, A3, A4 and A5 were upregulated, whereas ANXA10 was downregulated in liver cancer compared with normal liver tissues. The expression of ANXA10 was associated with pathological stage. High expression levels of ANXA2 and A5 were significantly associated with poor overall survival (OS) rate whereas ANXA7 and A10 were associated with increased OS. The prognostic values of ANXAs in liver cancer were determined based on sex and clinical stage, which revealed that ANXA2, A5, A7 and A10 were associated with OS in male, but not in female patients. In addition, the potential biological functions of ANXAs were identified by Gene Ontology functional annotation and Kyoto Encyclopedia of Genes Genomes pathway analysis; the results demonstrated that ANXAs may serve a role in liver cancer through the neuroactive ligand‑receptor interaction pathway. In conclusion, the results of the present study suggested that ANXA1, A2, A3, A4, A5 and A10 may be potential therapeutic targets for liver cancer treatment, and that ANXA2, A5, A7 and A10 may be potential prognostic biomarkers of liver cancer.
View Figures

Figure 1

Figure 2

Figure 3

Figure 4

Figure 5

Figure 6

View References

1 

Torre LA, Bray F, Siegel RL, Ferlay J, Lortet-Tieulent J and Jemal A: Global cancer statistics, 2012. CA Cancer J Clin. 65:87–108. 2015. View Article : Google Scholar : PubMed/NCBI

2 

Miller KD, Siegel RL, Lin CC, Mariotto AB, Kramer JL, Rowland JH, Stein KD, Alteri R and Jemal A: Cancer treatment and survivorship statistics, 2016. CA Cancer J Clin. 66:271–289. 2016. View Article : Google Scholar : PubMed/NCBI

3 

El-Serag HB: Hepatocellular carcinoma. N Engl J Med. 365:1118–1127. 2011. View Article : Google Scholar : PubMed/NCBI

4 

Enrich C, Rentero C and Grewal T: Annexin A6 in the liver: From the endocytic compartment to cellular physiology. Biochim Biophys Acta Mol Cell Res. 1864:933–946. 2017. View Article : Google Scholar : PubMed/NCBI

5 

Sugimoto MA, Vago JP, Teixeira MM and Sousa LP: Annexin A1 and the resolution of inflammation: Modulation of neutrophil recruitment, apoptosis, and clearance. J Immunol Res. 2016:82392582016. View Article : Google Scholar : PubMed/NCBI

6 

Rand JH, Wu XX, Quinn AS and Taatjes DJ: Resistance to annexin A5 anticoagulant activity: A thrombogenic mechanism for the antiphospholipid syndrome. Lupus. 17:922–930. 2008. View Article : Google Scholar : PubMed/NCBI

7 

Gerke V, Creutz CE and Moss SE: Annexins: linking Ca2+ signalling to membrane dynamics. Nat Rev Mol Cell Biol. 6:449–461. 2005. View Article : Google Scholar : PubMed/NCBI

8 

Mussunoor S and Murray GI: The role of annexins in tumour development and progression. J Pathol. 216:131–140. 2008. View Article : Google Scholar : PubMed/NCBI

9 

Ydy LR, do Espirito Santo GF, de Menezes I, Martins MS, Ignotti E and Damazo AS: Study of the annexin A1 and its associations with carcinoembryonic antigen and mismatch repair proteins in colorectal cancer. J Gastrointest Cancer. 47:61–68. 2016. View Article : Google Scholar : PubMed/NCBI

10 

Biaoxue R, Xiling J, Shuanying Y, Wei Z, Xiguang C, Jinsui W and Min Z: Upregulation of Hsp90-beta and annexin A1 correlates with poor survival and lymphatic metastasis in lung cancer patients. J Exp Clin Cancer Res. 31:702012. View Article : Google Scholar : PubMed/NCBI

11 

Gao Y, Chen Y, Xu D, Wang J and Yu G: Differential expression of ANXA1 in benign human gastrointestinal tissues and cancers. BMC Cancer. 14:5202014. View Article : Google Scholar : PubMed/NCBI

12 

Lin Y, Lin G, Fang W, Zhu H and Chu K: Increased expression of annexin A1 predicts poor prognosis in human hepatocellular carcinoma and enhances cell malignant phenotype. Med Oncol. 31:3272014. View Article : Google Scholar : PubMed/NCBI

13 

Ibrahim MM, Sun MZ, Huang Y, Jun M, Jin Y, Yue D, Jiasheng W, Zhang J, Qazi AS, Sagoe K and Tang J: Down-regulation of ANXA7 decreases metastatic potential of human hepatocellular carcinoma cells in vitro. Biomed Pharmacother. 67:285–291. 2013. View Article : Google Scholar : PubMed/NCBI

14 

Liu SH, Lin CY, Peng SY, Jeng YM, Pan HW, Lai PL, Liu CL and Hsu HC: Down-regulation of annexin A10 in hepatocellular carcinoma is associated with vascular invasion, early recurrence, and poor prognosis in synergy with p53 mutation. Am J Pathol. 160:1831–1837. 2002. View Article : Google Scholar : PubMed/NCBI

15 

Liu YY, Ge C, Tian H, Jiang JY, Zhao FY, Li H, Chen TY, Yao M and Li JJ: The transcription factor Ikaros inhibits cell proliferation by downregulating ANXA4 expression in hepatocellular carcinoma. Am J Cancer Res. 7:1285–1297. 2017.PubMed/NCBI

16 

Meier EM, Rein-Fischboeck L, Pohl R, Wanninger J, Hoy AJ, Grewal T, Eisinger K, Krautbauer S, Liebisch G, Weiss TS and Buechler C: Annexin A6 protein is downregulated in human hepatocellular carcinoma. Mol Cell Biochem. 418:81–90. 2016. View Article : Google Scholar : PubMed/NCBI

17 

Mohammad HS, Kurokohchi K, Yoneyama H, Tokuda M, Morishita A, Jian G, Shi L, Murota M, Tani J, Kato K, et al: Annexin A2 expression and phosphorylation are up-regulated in hepatocellular carcinoma. Int J Oncol. 33:1157–1163. 2008.PubMed/NCBI

18 

Pan QZ, Pan K, Weng DS, Zhao JJ, Zhang XF, Wang DD, Lv L, Jiang SS, Zheng HX and Xia JC: Annexin A3 promotes tumorigenesis and resistance to chemotherapy in hepatocellular carcinoma. Mol Carcinog. 54:598–607. 2015. View Article : Google Scholar : PubMed/NCBI

19 

Amin MB, Greene FL, Edge SB, Compton CC, Gershenwald JE, Brookland RK, Meyer L, Gress DM, Byrd DR and Winchester DP: The eighth edition AJCC cancer staging manual: Continuing to build a bridge from a population-based to a more ‘personalized’ approach to cancer staging. CA Cancer J Clin. 67:93–99. 2017. View Article : Google Scholar : PubMed/NCBI

20 

Cerami E, Gao J, Dogrusoz U, Gross BE, Sumer SO, Aksoy BA, Jacobsen A, Byrne CJ, Heuer ML, Larsson E, et al: The cBio cancer genomics portal: An open platform for exploring multidimensional cancer genomics data. Cancer Discov. 2:401–404. 2012. View Article : Google Scholar : PubMed/NCBI

21 

Cancer Genome Atlas Research Network. Electronic address, . simplewheeler@bcm.edu; Cancer Genome Atlas Research Network: Comprehensive and integrative genomic characterization of hepatocellular carcinoma. Cell. 169:1327–1341.e23. 2017. View Article : Google Scholar : PubMed/NCBI

22 

Mas VR, Maluf DG, Archer KJ, Yanek K, Kong X, Kulik L, Freise CE, Olthoff KM, Ghobrial RM, McIver P and Fisher R: Genes involved in viral carcinogenesis and tumor initiation in hepatitis C virus-induced hepatocellular carcinoma. Mol Med. 15:85–94. 2009. View Article : Google Scholar : PubMed/NCBI

23 

Roessler S, Jia HL, Budhu A, Forgues M, Ye QH, Lee JS, Thorgeirsson SS, Sun Z, Tang ZY, Qin LX and Wang XW: A unique metastasis gene signature enables prediction of tumor relapse in early-stage hepatocellular carcinoma patients. Cancer Res. 70:10202–10212. 2010. View Article : Google Scholar : PubMed/NCBI

24 

Wurmbach E, Chen YB, Khitrov G, Zhang W, Roayaie S, Schwartz M, Fiel I, Thung S, Mazzaferro V, Bruix J, et al: Genome-wide molecular profiles of HCV-induced dysplasia and hepatocellular carcinoma. Hepatology. 45:938–947. 2007. View Article : Google Scholar : PubMed/NCBI

25 

Sheikh MH and Solito E: Annexin A1: Uncovering the many talents of an old protein. Int J Mol Sci. 19(pii): E10452018. View Article : Google Scholar : PubMed/NCBI

26 

D'Acquisto F, Piras G and Rattazzi L: Pro-inflammatory and pathogenic properties of Annexin-A1: The whole is greater than the sum of its parts. Biochem Pharmacol. 85:1213–1218. 2013. View Article : Google Scholar : PubMed/NCBI

27 

Locatelli I, Sutti S, Jindal A, Vacchiano M, Bozzola C, Reutelingsperger C, Kusters D, Bena S, Parola M, Paternostro C, et al: Endogenous annexin A1 is a novel protective determinant in nonalcoholic steatohepatitis in mice. Hepatology. 60:531–544. 2014. View Article : Google Scholar : PubMed/NCBI

28 

Moraes LA, Kar S, Foo SL, Gu T, Toh YQ, Ampomah PB, Sachaphibulkij K, Yap G, Zharkova O, Lukman HM, et al: Annexin-A1 enhances breast cancer growth and migration by promoting alternative macrophage polarization in the tumour microenvironment. Sci Rep. 7:179252017. View Article : Google Scholar : PubMed/NCBI

29 

de Graauw M, van Miltenburg MH, Schmidt MK, Pont C, Lalai R, Kartopawiro J, Pardali E, Le Dévédec SE, Smit VT, van der Wal A, et al: Annexin A1 regulates TGF-beta signaling and promotes metastasis formation of basal-like breast cancer cells. Proc Natl Acad Sci USA. 107:6340–6345. 2010. View Article : Google Scholar : PubMed/NCBI

30 

Suo A, Zhang M, Yao Y, Zhang L, Huang C, Nan K and Zhang W: Proteome analysis of the effects of sorafenib on human hepatocellular carcinoma cell line HepG2. Med Oncol. 29:1827–1836. 2012. View Article : Google Scholar : PubMed/NCBI

31 

Hongsrichan N, Rucksaken R, Chamgramol Y, Pinlaor P, Techasen A, Yongvanit P, Khuntikeo N, Pairojkul C and Pinlaor S: Annexin A1: A new immunohistological marker of cholangiocarcinoma. World J Gastroenterol. 19:2456–2465. 2013. View Article : Google Scholar : PubMed/NCBI

32 

Xue LY, Teng LH, Zou SM, Ren LQ, Zheng S, Luo W, Bi R and Lü N: Expression of annexin I in different histological types of carcinomas. Zhonghua Zhong Liu Za Zhi. 29:444–448. 2007.(In Chinese). PubMed/NCBI

33 

Luo CH, Liu QQ, Zhang PF, Li MY, Chen ZC and Liu YF: Prognostic significance of annexin II expression in non-small cell lung cancer. Clin Transl Oncol. 15:938–946. 2013. View Article : Google Scholar : PubMed/NCBI

34 

Wang T, Yuan J, Zhang J, Tian R, Ji W, Zhou Y, Yang Y, Song W, Zhang F and Niu R: Anxa2 binds to STAT3 and promotes epithelial to mesenchymal transition in breast cancer cells. Oncotarget. 6:30975–30992. 2015.PubMed/NCBI

35 

Han Y, Ye J, Dong Y, Xu Z and Du Q: Expression and significance of annexin A2 in patients with gastric adenocarcinoma and the association with E-cadherin. Exp Ther Med. 10:549–554. 2015. View Article : Google Scholar : PubMed/NCBI

36 

Huang YK, Liu H, Wang XZ and Zhu S: Annexin A2 and CD105 expression in pancreatic ductal adenocarcinoma is associated with tumor recurrence and prognosis. Asian Pac J Cancer Prev. 15:9921–9926. 2014. View Article : Google Scholar : PubMed/NCBI

37 

Xiu D, Liu L, Qiao F, Yang H, Cui L and Liu G: Annexin A2 coordinates STAT3 to regulate the invasion and migration of colorectal cancer cells in vitro. Gastroenterol Res Pract. 2016:35214532016. View Article : Google Scholar : PubMed/NCBI

38 

Zhang H, Yao M, Wu W, Qiu L, Sai W, Yang J, Zheng W, Huang J and Yao D: Up-regulation of annexin A2 expression predicates advanced clinicopathological features and poor prognosis in hepatocellular carcinoma. Tumour Biol. 36:9373–9383. 2015. View Article : Google Scholar : PubMed/NCBI

39 

Kling T, Ferrarese R, Ó hAilín D, Johansson P, Heiland DH, Dai F, Vasilikos I, Weyerbrock A, Jörnsten R, Carro MS and Nelander S: Integrative modeling reveals annexin A2-mediated epigenetic control of mesenchymal glioblastoma. EBioMedicine. 12:72–85. 2016. View Article : Google Scholar : PubMed/NCBI

40 

Luo S, Xie C, Wu P, He J, Tang Y, Xu J and Zhao S: Annexin A2 is an independent prognostic biomarker for evaluating the malignant progression of laryngeal cancer. Exp Ther Med. 14:6113–6118. 2017.PubMed/NCBI

41 

Liu Y, Myrvang HK and Dekker LV: Annexin A2 complexes with S100 proteins: Structure, function and pharmacological manipulation. Br J Pharmacol. 172:1664–1676. 2015. View Article : Google Scholar : PubMed/NCBI

42 

Wang CY, Chen CL, Tseng YL, Fang YT, Lin YS, Su WC, Chen CC, Chang KC, Wang YC and Lin CF: Annexin A2 silencing induces G2 arrest of non-small cell lung cancer cells through p53-dependent and -independent mechanisms. J Biol Chem. 287:32512–32524. 2012. View Article : Google Scholar : PubMed/NCBI

43 

Jung H, Kim JS, Kim WK, Oh KJ, Kim JM, Lee HJ, Han BS, Kim DS, Seo YS, Lee SC, et al: Intracellular annexin A2 regulates NF-κB signaling by binding to the p50 subunit: Implications for gemcitabine resistance in pancreatic cancer. Cell Death Dis. 6:e16062015. View Article : Google Scholar : PubMed/NCBI

44 

Zhang HJ, Yao DF, Yao M, Huang H, Wu W, Yan MJ, Yan XD and Chen J: Expression characteristics and diagnostic value of annexin A2 in hepatocellular carcinoma. World J Gastroenterol. 18:5897–5904. 2012. View Article : Google Scholar : PubMed/NCBI

45 

Zhang W, Zhao P, Xu XL, Cai L, Song ZS, Cao DY, Tao KS, Zhou WP, Chen ZN and Dou KF: Annexin A2 promotes the migration and invasion of human hepatocellular carcinoma cells in vitro by regulating the shedding of CD147-harboring microvesicles from tumor cells. PLoS One. 8:e672682013. View Article : Google Scholar : PubMed/NCBI

46 

El-Abd N, Fawzy A, Elbaz T and Hamdy S: Evaluation of annexin A2 and as potential biomarkers for hepatocellular carcinoma. Tumour Biol. 37:211–216. 2016. View Article : Google Scholar : PubMed/NCBI

47 

Du R, Liu B, Zhou L, Wang D, He X, Xu X, Zhang L, Niu C and Liu S: Downregulation of annexin A3 inhibits tumor metastasis and decreases drug resistance in breast cancer. Cell Death Dis. 9:1262018. View Article : Google Scholar : PubMed/NCBI

48 

Wang K and Li J: Overexpression of ANXA3 is an independent prognostic indicator in gastric cancer and its depletion suppresses cell proliferation and tumor growth. Oncotarget. 7:86972–86984. 2016.PubMed/NCBI

49 

Köllermann J, Schlomm T, Bang H, Schwall GP, von Eichel-Streiber C, Simon R, Schostak M, Huland H, Berg W, Sauter G, et al: Expression and prognostic relevance of annexin A3 in prostate cancer. Eur Urol. 54:1314–1323. 2008. View Article : Google Scholar : PubMed/NCBI

50 

Pan QZ, Pan K, Wang QJ, Weng DS, Zhao JJ, Zheng HX, Zhang XF, Jiang SS, Lv L, Tang Y, et al: Annexin A3 as a potential target for immunotherapy of liver cancer stem-like cells. Stem Cells. 33:354–366. 2015. View Article : Google Scholar : PubMed/NCBI

51 

Tong M, Fung TM, Luk ST, Ng KY, Lee TK, Lin CH, Yam JW, Chan KW, Ng F, Zheng BJ, et al: ANXA3/JNK signaling promotes self-renewal and tumor growth, and its blockade provides a therapeutic target for hepatocellular carcinoma. Stem Cell Reports. 5:45–59. 2015. View Article : Google Scholar : PubMed/NCBI

52 

Ma XL, Jiang M, Zhao Y, Wang BL, Shen MN, Zhou Y, Zhang CY, Sun YF, Chen JW, Hu B, et al: Application of serum annexin A3 in diagnosis, outcome prediction and therapeutic response evaluation for patients with hepatocellular carcinoma. Ann Surg Oncol. 25:1686–1694. 2018. View Article : Google Scholar : PubMed/NCBI

53 

Dreier R, Schmid KW, Gerke V and Riehemann K: Differential expression of annexins I, II and IV in human tissues: An immunohistochemical study. Histochem Cell Biol. 110:137–148. 1998. View Article : Google Scholar : PubMed/NCBI

54 

Gaudio E, Paduano F, Ngankeu A, Ortuso F, Lovat F, Pinton S, D'Agostino S, Zanesi N, Aqeilan RI, Campiglia P, et al: A Fhit-mimetic peptide suppresses annexin A4-mediated chemoresistance to paclitaxel in lung cancer cells. Oncotarget. 7:29927–29936. 2016. View Article : Google Scholar : PubMed/NCBI

55 

Duncan R, Carpenter B, Main LC, Telfer C and Murray GI: Characterisation and protein expression profiling of annexins in colorectal cancer. Br J Cancer. 98:426–433. 2008. View Article : Google Scholar : PubMed/NCBI

56 

Choi CH, Chung JY, Chung EJ, Sears JD, Lee JW, Bae DS and Hewitt SM: Prognostic significance of annexin A2 and annexin A4 expression in patients with cervical cancer. BMC Cancer. 16:4482016. View Article : Google Scholar : PubMed/NCBI

57 

Yao HS, Sun C, Li XX, Wang Y, Jin KZ, Zhang XP and Hu ZQ: Annexin A4-nuclear factor-kappaB feedback circuit regulates cell malignant behavior and tumor growth in gallbladder cancer. Sci Rep. 6:310562016. View Article : Google Scholar : PubMed/NCBI

58 

Chen W, Chen L, Cai Z, Liang D, Zhao B, Zeng Y, Liu X and Liu J: Overexpression of annexin A4 indicates poor prognosis and promotes tumor metastasis of hepatocellular carcinoma. Tumour Biol. 37:9343–9355. 2016. View Article : Google Scholar : PubMed/NCBI

59 

Peng B, Guo C, Guan H, Liu S and Sun MZ: Annexin A5 as a potential marker in tumors. Clin Chim Acta. 427:42–48. 2014. View Article : Google Scholar : PubMed/NCBI

60 

Guo WX, Man XB, Yuan HX, Shi J, Xue J, Wu MC and Cheng SQ: Proteomic analysis on portal vein tumor thrombus-associated proteins for hepatocellular carcinoma. Zhonghua Yi Xue Za Zhi. 87:2094–2097. 2007.(In Chinese). PubMed/NCBI

61 

Sun X, Liu S, Wang J, Wei B, Guo C, Chen C and Sun MZ: Annexin A5 regulates hepatocarcinoma malignancy via CRKI/II-DOCK180-RAC1 integrin and MEK-ERK pathways. Cell Death Dis. 9:6372018. View Article : Google Scholar : PubMed/NCBI

62 

Srivastava M, Torosyan Y, Raffeld M, Eidelman O, Pollard HB and Bubendorf L: ANXA7 expression represents hormone-relevant tumor suppression in different cancers. Int J Cancer. 121:2628–2636. 2007. View Article : Google Scholar : PubMed/NCBI

63 

Du Y, Meng J, Huang Y, Wu J, Wang B, Ibrahim MM and Tang J: Guanine nucleotide-binding protein subunit beta-2-like 1, a new Annexin A7 interacting protein. Biochem Biophys Res Commun. 445:58–63. 2014. View Article : Google Scholar : PubMed/NCBI

64 

Song L, Mao J, Zhang J, Ibrahim MM, Li LH and Tang JW: Annexin A7 and its binding protein galectin-3 influence mouse hepatocellular carcinoma cell line in vitro. Biomed Pharmacother. 68:377–384. 2014. View Article : Google Scholar : PubMed/NCBI

65 

Huang Y, Wang Q, Du Y, Bai L, Jin F, Zhang J, Fan S, Wang H, Song L, Gao Y, et al: Inhibition of annexin A7 gene and protein induces the apotosis and decreases the invasion, migration of the hepatocarcinoma cell line. Biomed Pharmacother. 68:819–824. 2014. View Article : Google Scholar : PubMed/NCBI

66 

Wang XY, Gao F, Sun YR, Bai LL, Ibrahim MM, Wang B and Tang JW: In vivo and in vitro effect of hepatocarcinoma lymph node metastasis by upregulation of Annexin A7 and relevant mechanisms. Tumour Biol. 37:911–924. 2016. View Article : Google Scholar : PubMed/NCBI

67 

Morgan RO, Jenkins NA, Gilbert DJ, Copeland NG, Balsara BR, Testa JR and Fernandez MP: Novel human and mouse annexin A10 are linked to the genome duplications during early chordate evolution. Genomics. 60:40–49. 1999. View Article : Google Scholar : PubMed/NCBI

68 

Kim J, Kim MA, Jee CD, Jung EJ and Kim WH: Reduced expression and homozygous deletion of annexin A10 in gastric carcinoma. Int J Cancer. 125:1842–1850. 2009. View Article : Google Scholar : PubMed/NCBI

69 

van der Heijden AG, Mengual L, Lozano JJ, Ingelmo-Torres M, Ribal MJ, Fernández PL, Oosterwijk E, Schalken JA, Alcaraz A and Witjes JA: A five-gene expression signature to predict progression in T1G3 bladder cancer. Eur J Cancer. 64:127–136. 2016. View Article : Google Scholar : PubMed/NCBI

70 

Zhu J, Wu J, Pei X, Tan Z, Shi J and Lubman DM: Annexin A10 is a candidate marker associated with the progression of pancreatic precursor lesions to adenocarcinoma. PLoS One. 12:e01750392017. View Article : Google Scholar : PubMed/NCBI

71 

Liu X, Peng X, Hu Z, Zhao Q, He J, Li J and Zhong X: Effects of over-expression of ANXA10 gene on proliferation and apoptosis of hepatocellular carcinoma cell line HepG2. J Huazhong Univ Sci Technolog Med Sci. 32:669–674. 2012. View Article : Google Scholar : PubMed/NCBI

72 

Li Y, Xu A, Jia S and Huang J: Recent advances in the molecular mechanism of sex disparity in hepatocellular carcinoma. Oncol Lett. 17:4222–4228. 2019.PubMed/NCBI

73 

Liu C, Ren YF, Dong J, Ke MY, Ma F, Monga SPS, Wu R, Lv Y and Zhang XF: Activation of SRY accounts for male-specific hepatocarcinogenesis: Implication in gender disparity of hepatocellular carcinoma. Cancer Lett. 410:20–31. 2017. View Article : Google Scholar : PubMed/NCBI

74 

Zheng B, Zhu YJ, Wang HY and Chen L: Gender disparity in hepatocellular carcinoma (HCC): Multiple underlying mechanisms. Sci China Life Sci. 60:575–584. 2017. View Article : Google Scholar : PubMed/NCBI

75 

Naugler WE, Sakurai T, Kim S, Maeda S, Kim K, Elsharkawy AM and Karin M: Gender disparity in liver cancer due to sex differences in MyD88-dependent IL-6 production. Science. 317:121–124. 2007. View Article : Google Scholar : PubMed/NCBI

76 

Kanda T, Takahashi K, Nakamura M, Nakamoto S, Wu S, Haga Y, Sasaki R, Jiang X and Yokosuka O: Androgen receptor could be a potential therapeutic target in patients with advanced hepatocellular carcinoma. Cancers (Basel). 9:pii432017. View Article : Google Scholar

77 

Yeh SH and Chen PJ: Gender disparity of hepatocellular carcinoma: The roles of sex hormones. Oncology. 78 (Suppl 1):S172–S179. 2010. View Article : Google Scholar

78 

Torosyan Y, Simakova O, Naga S, Mezhevaya K, Leighton X, Diaz J, Huang W, Pollard H and Srivastava M: Annexin-A7 protects normal prostate cells and induces distinct patterns of RB-associated cytotoxicity in androgen-sensitive and -resistant prostate cancer cells. Int J Cancer. 125:2528–2539. 2009. View Article : Google Scholar : PubMed/NCBI

79 

Grewal T, Wason SJ, Enrich C and Rentero C: Annexins-insights from knockout mice. Biol Chem. 397:1031–1053. 2016. View Article : Google Scholar : PubMed/NCBI

Related Articles

  • Abstract
  • View
  • Download
  • Twitter
Copy and paste a formatted citation
Spandidos Publications style
Zhuang C, Wang P, Sun T, Zheng L and Ming L: Expression levels and prognostic values of annexins in liver cancer. Oncol Lett 18: 6657-6669, 2019.
APA
Zhuang, C., Wang, P., Sun, T., Zheng, L., & Ming, L. (2019). Expression levels and prognostic values of annexins in liver cancer. Oncology Letters, 18, 6657-6669. https://doi.org/10.3892/ol.2019.11025
MLA
Zhuang, C., Wang, P., Sun, T., Zheng, L., Ming, L."Expression levels and prognostic values of annexins in liver cancer". Oncology Letters 18.6 (2019): 6657-6669.
Chicago
Zhuang, C., Wang, P., Sun, T., Zheng, L., Ming, L."Expression levels and prognostic values of annexins in liver cancer". Oncology Letters 18, no. 6 (2019): 6657-6669. https://doi.org/10.3892/ol.2019.11025
Copy and paste a formatted citation
x
Spandidos Publications style
Zhuang C, Wang P, Sun T, Zheng L and Ming L: Expression levels and prognostic values of annexins in liver cancer. Oncol Lett 18: 6657-6669, 2019.
APA
Zhuang, C., Wang, P., Sun, T., Zheng, L., & Ming, L. (2019). Expression levels and prognostic values of annexins in liver cancer. Oncology Letters, 18, 6657-6669. https://doi.org/10.3892/ol.2019.11025
MLA
Zhuang, C., Wang, P., Sun, T., Zheng, L., Ming, L."Expression levels and prognostic values of annexins in liver cancer". Oncology Letters 18.6 (2019): 6657-6669.
Chicago
Zhuang, C., Wang, P., Sun, T., Zheng, L., Ming, L."Expression levels and prognostic values of annexins in liver cancer". Oncology Letters 18, no. 6 (2019): 6657-6669. https://doi.org/10.3892/ol.2019.11025
Follow us
  • Twitter
  • LinkedIn
  • Facebook
About
  • Spandidos Publications
  • Careers
  • Cookie Policy
  • Privacy Policy
How can we help?
  • Help
  • Live Chat
  • Contact
  • Email to our Support Team