Spandidos Publications Logo
  • About
    • About Spandidos
    • Aims and Scopes
    • Abstracting and Indexing
    • Editorial Policies
    • Reprints and Permissions
    • Job Opportunities
    • Terms and Conditions
    • Contact
  • Journals
    • All Journals
    • Oncology Letters
      • Oncology Letters
      • Information for Authors
      • Editorial Policies
      • Editorial Board
      • Aims and Scope
      • Abstracting and Indexing
      • Bibliographic Information
      • Archive
    • International Journal of Oncology
      • International Journal of Oncology
      • Information for Authors
      • Editorial Policies
      • Editorial Board
      • Aims and Scope
      • Abstracting and Indexing
      • Bibliographic Information
      • Archive
    • Molecular and Clinical Oncology
      • Molecular and Clinical Oncology
      • Information for Authors
      • Editorial Policies
      • Editorial Board
      • Aims and Scope
      • Abstracting and Indexing
      • Bibliographic Information
      • Archive
    • Experimental and Therapeutic Medicine
      • Experimental and Therapeutic Medicine
      • Information for Authors
      • Editorial Policies
      • Editorial Board
      • Aims and Scope
      • Abstracting and Indexing
      • Bibliographic Information
      • Archive
    • International Journal of Molecular Medicine
      • International Journal of Molecular Medicine
      • Information for Authors
      • Editorial Policies
      • Editorial Board
      • Aims and Scope
      • Abstracting and Indexing
      • Bibliographic Information
      • Archive
    • Biomedical Reports
      • Biomedical Reports
      • Information for Authors
      • Editorial Policies
      • Editorial Board
      • Aims and Scope
      • Abstracting and Indexing
      • Bibliographic Information
      • Archive
    • Oncology Reports
      • Oncology Reports
      • Information for Authors
      • Editorial Policies
      • Editorial Board
      • Aims and Scope
      • Abstracting and Indexing
      • Bibliographic Information
      • Archive
    • Molecular Medicine Reports
      • Molecular Medicine Reports
      • Information for Authors
      • Editorial Policies
      • Editorial Board
      • Aims and Scope
      • Abstracting and Indexing
      • Bibliographic Information
      • Archive
    • World Academy of Sciences Journal
      • World Academy of Sciences Journal
      • Information for Authors
      • Editorial Policies
      • Editorial Board
      • Aims and Scope
      • Abstracting and Indexing
      • Bibliographic Information
      • Archive
    • International Journal of Functional Nutrition
      • International Journal of Functional Nutrition
      • Information for Authors
      • Editorial Policies
      • Editorial Board
      • Aims and Scope
      • Abstracting and Indexing
      • Bibliographic Information
      • Archive
    • International Journal of Epigenetics
      • International Journal of Epigenetics
      • Information for Authors
      • Editorial Policies
      • Editorial Board
      • Aims and Scope
      • Abstracting and Indexing
      • Bibliographic Information
      • Archive
    • Medicine International
      • Medicine International
      • Information for Authors
      • Editorial Policies
      • Editorial Board
      • Aims and Scope
      • Abstracting and Indexing
      • Bibliographic Information
      • Archive
  • Articles
  • Information
    • Information for Authors
    • Information for Reviewers
    • Information for Librarians
    • Information for Advertisers
    • Conferences
  • Language Editing
Spandidos Publications Logo
  • About
    • About Spandidos
    • Aims and Scopes
    • Abstracting and Indexing
    • Editorial Policies
    • Reprints and Permissions
    • Job Opportunities
    • Terms and Conditions
    • Contact
  • Journals
    • All Journals
    • Biomedical Reports
      • Information for Authors
      • Editorial Policies
      • Editorial Board
      • Aims and Scope
      • Abstracting and Indexing
      • Bibliographic Information
      • Archive
    • Experimental and Therapeutic Medicine
      • Information for Authors
      • Editorial Policies
      • Editorial Board
      • Aims and Scope
      • Abstracting and Indexing
      • Bibliographic Information
      • Archive
    • International Journal of Epigenetics
      • Information for Authors
      • Editorial Policies
      • Editorial Board
      • Aims and Scope
      • Abstracting and Indexing
      • Bibliographic Information
      • Archive
    • International Journal of Functional Nutrition
      • Information for Authors
      • Editorial Policies
      • Editorial Board
      • Aims and Scope
      • Abstracting and Indexing
      • Bibliographic Information
      • Archive
    • International Journal of Molecular Medicine
      • Information for Authors
      • Editorial Policies
      • Editorial Board
      • Aims and Scope
      • Abstracting and Indexing
      • Bibliographic Information
      • Archive
    • International Journal of Oncology
      • Information for Authors
      • Editorial Policies
      • Editorial Board
      • Aims and Scope
      • Abstracting and Indexing
      • Bibliographic Information
      • Archive
    • Medicine International
      • Information for Authors
      • Editorial Policies
      • Editorial Board
      • Aims and Scope
      • Abstracting and Indexing
      • Bibliographic Information
      • Archive
    • Molecular and Clinical Oncology
      • Information for Authors
      • Editorial Policies
      • Editorial Board
      • Aims and Scope
      • Abstracting and Indexing
      • Bibliographic Information
      • Archive
    • Molecular Medicine Reports
      • Information for Authors
      • Editorial Policies
      • Editorial Board
      • Aims and Scope
      • Abstracting and Indexing
      • Bibliographic Information
      • Archive
    • Oncology Letters
      • Information for Authors
      • Editorial Policies
      • Editorial Board
      • Aims and Scope
      • Abstracting and Indexing
      • Bibliographic Information
      • Archive
    • Oncology Reports
      • Information for Authors
      • Editorial Policies
      • Editorial Board
      • Aims and Scope
      • Abstracting and Indexing
      • Bibliographic Information
      • Archive
    • World Academy of Sciences Journal
      • Information for Authors
      • Editorial Policies
      • Editorial Board
      • Aims and Scope
      • Abstracting and Indexing
      • Bibliographic Information
      • Archive
  • Articles
  • Information
    • For Authors
    • For Reviewers
    • For Librarians
    • For Advertisers
    • Conferences
  • Language Editing
Login Register Submit
  • This site uses cookies
  • You can change your cookie settings at any time by following the instructions in our Cookie Policy. To find out more, you may read our Privacy Policy.

    I agree
Search articles by DOI, keyword, author or affiliation
Search
Advanced Search
presentation
Oncology Letters
Join Editorial Board Propose a Special Issue
Print ISSN: 1792-1074 Online ISSN: 1792-1082
Journal Cover
October-2020 Volume 20 Issue 4

Full Size Image

Sign up for eToc alerts
Recommend to Library

Journals

International Journal of Molecular Medicine

International Journal of Molecular Medicine

International Journal of Molecular Medicine is an international journal devoted to molecular mechanisms of human disease.

International Journal of Oncology

International Journal of Oncology

International Journal of Oncology is an international journal devoted to oncology research and cancer treatment.

Molecular Medicine Reports

Molecular Medicine Reports

Covers molecular medicine topics such as pharmacology, pathology, genetics, neuroscience, infectious diseases, molecular cardiology, and molecular surgery.

Oncology Reports

Oncology Reports

Oncology Reports is an international journal devoted to fundamental and applied research in Oncology.

Experimental and Therapeutic Medicine

Experimental and Therapeutic Medicine

Experimental and Therapeutic Medicine is an international journal devoted to laboratory and clinical medicine.

Oncology Letters

Oncology Letters

Oncology Letters is an international journal devoted to Experimental and Clinical Oncology.

Biomedical Reports

Biomedical Reports

Explores a wide range of biological and medical fields, including pharmacology, genetics, microbiology, neuroscience, and molecular cardiology.

Molecular and Clinical Oncology

Molecular and Clinical Oncology

International journal addressing all aspects of oncology research, from tumorigenesis and oncogenes to chemotherapy and metastasis.

World Academy of Sciences Journal

World Academy of Sciences Journal

Multidisciplinary open-access journal spanning biochemistry, genetics, neuroscience, environmental health, and synthetic biology.

International Journal of Functional Nutrition

International Journal of Functional Nutrition

Open-access journal combining biochemistry, pharmacology, immunology, and genetics to advance health through functional nutrition.

International Journal of Epigenetics

International Journal of Epigenetics

Publishes open-access research on using epigenetics to advance understanding and treatment of human disease.

Medicine International

Medicine International

An International Open Access Journal Devoted to General Medicine.

Journal Cover
October-2020 Volume 20 Issue 4

Full Size Image

Sign up for eToc alerts
Recommend to Library

  • Article
  • Citations
    • Cite This Article
    • Download Citation
    • Create Citation Alert
    • Remove Citation Alert
    • Cited By
  • Similar Articles
    • Related Articles (in Spandidos Publications)
    • Similar Articles (Google Scholar)
    • Similar Articles (PubMed)
  • Download PDF
  • Download XML
  • View XML
Case Report Open Access

Dual specific CD19/CD22‑targeted chimeric antigen receptor T‑cell therapy for refractory diffuse large B‑cell lymphoma: A case report

  • Authors:
    • Chen Huang
    • Hui‑Chao Zhang
    • Jin‑Yuan Ho
    • Rui‑Xia Liu
    • Lin Wang
    • Na Kuang
    • Mei‑Rong Zheng
    • Li‑Hong Liu
    • Jian‑Qiang Li
  • View Affiliations / Copyright

    Affiliations: Department of Hematology, The Fourth Hospital of Hebei Medical University, Shijiazhuang, Hebei 050011, P.R. China, Hebei Senlang Biotechnology Co., Ltd., Shijiazhuang, Hebei 050011, P.R. China
    Copyright: © Huang et al. This is an open access article distributed under the terms of Creative Commons Attribution License.
  • Article Number: 21
    |
    Published online on: July 16, 2020
       https://doi.org/10.3892/ol.2020.11882
  • Expand metrics +
Metrics: Total Views: 0 (Spandidos Publications: | PMC Statistics: )
Metrics: Total PDF Downloads: 0 (Spandidos Publications: | PMC Statistics: )
Cited By (CrossRef): 0 citations Loading Articles...

This article is mentioned in:



Abstract

Clinical trials of chimeric antigen receptors (CARs) targeting CD19 have produced impressive results in hematological malignancies, including diffuse large B‑cell lymphoma (DLBCL). However, a notable number of patients with DLBCL fail to achieve remission after CD19 CAR T‑cell therapy and may therefore require a dual targeted CAR T‑cell therapy. A 31‑year‑old man with refractory DLBCL was assessed in the present case report. The patient was treated with sequential infusion of single CD19 CAR T cells followed by dual CD19/CD22‑targeted CAR T cells. The outcome was that the patient achieved partial remission after the first single CD19 CAR T‑cell infusion and complete remission after the dual CD19/CD22‑targeted CAR T‑cell infusion. Grade 1 cytokine release syndrome (CRS) was observed after the single CD19 CAR T‑cell infusion, while grade 3 CRS and hemophagocytic syndrome were observed after the dual targeted CAR T‑cell infusion, but these adverse effects alleviated after the treatments. To the best of our knowledge, the present case report is the first to describe the successful application of dual CD19/CD22‑targeted CAR T‑cell therapy for the treatment of refractory DLBCL. The report suggests that dual CD19/CD22‑targeted CAR T‑cell therapy may represent a promising option for the treatment of refractory DLBCL; however, caution should be taken due to potential CRS development.

Introduction

Diffuse large B-cell lymphoma (DLBCL) is the most common type of non-Hodgkin's lymphoma worldwide with the morbidity frequently in elderly people (1). DLBCL is an aggressive malignancy of large transformed B-lymphocytes that often originates from the lymph nodes, and that exhibits a notable molecular heterogeneity in gene profiles and clinical outcomes (2). DLBCL is potentially curable. Patients with DLBCL at an early stage usually undergo a short course of chemotherapy consisting of four drugs (cyclophosphamide, doxorubicin, vincristine and prednisone) known as CHOP, or chemo-immunotherapy, which is a combination of chemotherapy and the monoclonal antibody rituximab (Rituxan®) (3). For patients with late-stage DLBCL with a higher risk of recurrence after treatment, high-dose chemotherapy followed by a stem cell transplant is provided as an option (2). Allogeneic transplantation from a sibling or matched unrelated donor may be considered for patients with refractory disease, early relapse or relapse after autologous stem cell transplantation (4). All these therapeutic strategies have greatly improved the survival time of patients with DLBCL (5). Although DLBCL can now be successfully treated in ~50% of patients, certain individuals, especially those with relapsed or refractory DLBCL, fail to respond to these conventional treatments or to achieve long-term outcomes (2).

A number of novel therapies or procedures are being tested in various clinical trials for DLBCL, including immunomodulators, tyrosine kinase inhibitors, BCL2 inhibitors and immune checkpoint inhibitors (6). Chimeric antigen receptor (CAR) T-cell therapy is one of the most promising immunotherapies for patients with DLBCL (7). As of December 10, 2019, clinicaltrials.gov has registered a total of 896 CAR T-cell-associated clinical trials worldwide, including 43 for DLBCL. There are currently 15 clinical trials being performed in China for DLBC, including one using CD19- and CD22-targeted sequential treatment (8), nine against CD19 (9), two against CD22, two against CD20 and one against CD19/22 (10). The principle of CAR T-cell therapy is to genetically modify autologous T cells with a recombinant receptor construct composed of an antibody-derived extracellular single-chain variable fragment (scFv) linked to intracellular T-cell signaling domains of the T-cell receptor. The T cell-antigen interaction is independent from molecules of the major histocompatibility complex, and is therefore not regulated by the immune escape promoted by tumor cells (11). Choosing the right tumor antigen as a target is the key to designing safe and effective CAR T-cell therapies. B-cell malignancies commonly express the surface antigens CD19 and CD22, which are not expressed on other non-B cells (such as hematopoietic stem cells) (12). At present, CD19 CAR T-cell therapy is widely used in clinical trials of malignant B-cell tumors, including B-cell acute lymphoblastic leukemia (ALL), chronic lymphocytic leukemia, mantle cell lymphoma, multiple myeloma and B-cell non-Hodgkin's lymphoma, particularly for aggressive B-cell lymphomas (13). Single- and multi-center clinical trials using anti-CD19 CAR T-cell therapy have demonstrated the effectiveness of this cell therapy, it has great efficacy and long-term remissions in patients with poor-risk DLBCL, when no other effective treatment options are available (14). With no other effective treatment options available, the single and multi-center clinical trials have demonstrated that the anti-CD19 CAR T-cell therapy can provide long-term remission in patients with poor-risk DLBCL (15,16). As a synergistic targeting strategy, compared with targeting a single antigen, dual specific CD19- and CD22-targeted CAR T-cell therapy may represent a potential approach to improve the outcomes in patients with DLBCL with heterogeneous expression of CD19 and CD22 on leukemic blasts (16).

Cytokine release syndrome (CRS) is a systemic inflammatory response that can be triggered after infusion of antibody-based therapies, such as CAR T-cell therapy. According to the ZUMA-1 (Yescarta®) trial data published in January 2019, 83% of the 101 patients with assessable efficacy achieved an objective response and 58% achieved a complete response (14). Among the 108 patients whose safety could be assessed, 48% developed grade ≥3 serious adverse events and 11% of patients exhibited grade ≥3 CRS (17). CRS represents one of the most frequent serious adverse effects and is one of the challenges of using bispecific antibody (such as CD19/CD22) CAR T-cell therapies (18–20). To the best of our knowledge, the present case report describes the first clinical case of a patient with refractory DLBCL who underwent both single CD19- and dual CD19/CD22-targeted CAR T-cell therapies after multi-line chemotherapy regimens, and who achieved complete remission (CR) with minor CRS-associated adverse events.

Case report

A 31-year-old man with no prior medical history presented with persistent epigastric pain for 1 week was admitted to the Fourth Hospital of Hebei Medical University on April 3rd, 2015. Imaging scans demonstrated a large mass-like conglomerate in the abdomen, with the maximum clast length measuring up to 13 cm (Fig. 1A). After that, immunohistochemistry examination of the biopsy specimen was performed as described below. Formalin-fixed (at 4°C for 24 h) and paraffin-embedded tissues were cut into 5 µm thick sections. After drying at 65°C for 2 h, tissues were deparaffinized and hydrated in graded alcohol and PBS. The sections were blocked at room temperature with 0.3% hydrogen peroxide to inhibit endogenous peroxidase activity for 5 min. EDTA pre-incubated with 5% normal bovine serum (Wuhan Boster Biological Technology Ltd.) was applied for antigen retrieval at room temperature for 20 min. Sections were subsequently incubated with antibodies against CD20 (cat. no. IS60430-2; 1:200; Dako; Agilent Technologies, Inc.), CD19 (cat. no. 551520; 1:100; Ventana Medical Systems, Inc.), CD22 (cat. no. 563941; 1:100; Ventana Medical Systems, Inc.), CD10 (cat. no. 561002; 1:1; Ventana Medical Systems, Inc.), BCL2 (cat. no. IS61430-2; 1:10; Agilent Technologies, Inc) and BCL6 (cat. no. 1306055; 1:75; Santa Cruz Biotechnology, Inc.), overnight at 4°C. The sections were subsequently incubated with secondary antibody (cat. no. KIT-5220; 1:200; Maxim Biotech, Inc.) for 20 min at room temperature. The reaction products were treated with diaminobenzidine and counterstained with hematoxylin at room temperature for 5–10 min. Tissue sections were observed under a light microscope (magnification, ×20). The results of immunohistochemistry stains revealed the infiltration of large atypical pleomorphic lymphoid cells, which expressed CD20, CD19, CD22 and BCL2, but not BCL6 and CD10. Furthermore, >70 and >50% of cells were positive for Ki-67 and c-Myc staining, respectively. Chest computed tomography (CT) scan revealed a shadow in the right upper lobe of the lung (Fig. 1B), while pathology tests of CT-guided percutaneous lung biopsy revealed epithelioid granulomas. The purified protein derivative skin test was negative, while a more accurate T cell-based test of tuberculosis infection was positive, indicating a prior mycobacteria infection (21). According to Ann Arbor staging system (22), the patient who diagnosed with DLBCL was classified as stage I after the biopsy procedure and immunohistochemical analysis. This type of DLBCL was also characterized as a non-germinal center B-cell-like (non-GCB) subtype (23). Due to the age of the patient, the international prognostic index was evaluated as 2 (2), and due to the persistent residual mass in the abdomen, the patient was considered to be at high-intermediate risk. The flow diagram of the treatments used is presented in Fig. 2.

Figure 1.

Axial images of CT chest and abdomen scan after two rounds of CAR-T infusion. (A) Imaging studies showed a large mass-like conglomerate with a maximum length of 13 cm in the patient's abdomen. (B) Chest CT scan showed the shadow of the right upper lobe of the lung. (C) The imaging showed that the abdominal mass was ~7.6×5.1 cm. (D) The patient's tumor burden decreased. (E) Full-body CT scans revealed enlarged mesenteric lymph nodes located in the abdomen compared with the CT scans before CAR T-cell infusion. (F) On day 28 post-infusion, imaging showed that enlarged lymph nodes in the abdominal cavity were smaller. (G) On day 120 post-infusion, imaging showed a conglomerate mass with a maximum length of 4.89 cm in the patient's enterocoelia. (H) Imaging before the second CART treatment showed that the abdominal mass was significantly larger than before. (I) Full body CT scans on day 23 revealed that the abdominal mass had increased in size (maximum diameter, 9 cm). (J) There was a marked reduction in the size of the abdominal mass after 54 days. (K) A full-body CT scan on day 72 demonstrated complete remission. CT, computed tomography.

Figure 2.

Schematic representation of the patient's progress and clinical protocol design. (A) Record of patient's progress after single CD19 CAR-T infusion or CD19 + CD22 CAR-T infusion treatment. Blood was collected from the patient, and conditioning chemotherapy with fludarabine and cyclophoamide was conducted, following by giving either CD19 CAR-T infusion or CD19+CD22 CAR-T infusion treatment; the grade of CRS, PR or pseudoprogression and CR or relapse were recorded. (B) Clinical protocol design with time frame ranged from −30 days to 5 years. 4 weeks before the treatment, patient had screening, pre-evaluation and signed ICF, followed by detection and documentation the size of tumor burden before conditioning chemotherapy. One month after the infusion, any side effects and short-term effects were observed and assessed. At the conclusion of the CAR-T cell monitoring, the patient was asked for long-term follow up (2–5 years). CAR, chimeric antigen receptor; PR, partial remission; CR, complete remission; CRS, cytokine release; ICF, informed consent form; D, day; M, month; Y, years.

The patient only achieved partial remission after two cycles of standard therapy, including 750 mg/m2 of cyclophosphamide, 1.4 mg/m2 of vincristine (max dose of 2 mg), 50 mg/m2 of doxorubicin, 100 mg of prednisone, and 375 mg/m2 of rituximab (R-CHOP). After that, an intensified immunochemotherapy regimen therapy was applied, as shown by cyclophosphamide 1200 mg/m2, vincristine 2 mg/m2 (max dose of 2 mg), doxorubicin 75 mg/m2, prednisone 60 mg, and rituximab 375 mg/m2 (R-ACVBP). The patient finally achieved CR after two courses of the R-ACVBP regimen, followed by another two courses of chemotherapy for consolidation. At 2 months post-CR, imaging scans revealed that the abdominal mass was ~7.6×5.1 cm in size (Fig. 1C), which was considered as a recurrence. The patient received sequential salvage chemotherapies, including two cycles of rituximab, ifosfamide, carboplatin and etoposide, two cycles of rituximab and lenalidomide, one cycle of gemcitabine, dexamethasone and cisplatin, and one cycle of etoposide, methyl prednisolone, cisplatin and cytarabine. Despite many attempts at treatment, the patient with refractory DLBCL exhibited no significant response to the salvage therapies.

Instead of stem cell transplantation, the patient received radiotherapy at a dose of 45 Gy in 25 fractions in order to treat the retroperitoneal soft-tissue masses. Although the tumor burden decreased (Fig. 1D), the course of radiotherapy was interrupted due to the development of severe bone marrow suppression and gastrointestinal intolerance. As one of the most common acute side effects of radiation therapy, a reduction of T cells was observed in the peripheral blood of the patient, and the biopsy of the abdominal mass resulted positive for CD19 expression in the non-GCB subtype DLBCL. Additionally, full-body CT scans revealed enlarged mesenteric lymph nodes located in the abdomen, as compared with prior CT scans (Fig. 1E).

The CAR construct used in the present study was composed of a CD19-scFv (FMC63), the costimulatory domains of 4-1BB and the endodomain of CD3-θ (24,25). After careful physical examination, the patient was recruited for a CD19 CAR T-cell therapy clinical trial (NCT03121625). Peripheral blood mononuclear cells (100 ml) were collected to prepare CD19-directed CAR T cells. A lymphodepleting pretreatment (25 mg/m2 fludarabine on days-4 to −2, and 900 mg/m2 cyclophosphamide on days-2 to −1) was administered prior to a 2×106 cells/kg CAR T-cell infusion on day 0. Within 12 h after infusion, the patient developed grade 1 CRS with fever (26). On day 28 post-infusion, the patient exhibited partial remission. An imaging test revealed that the size of the enlarged lymph nodes in the abdomen was decreased (Fig. 1F).

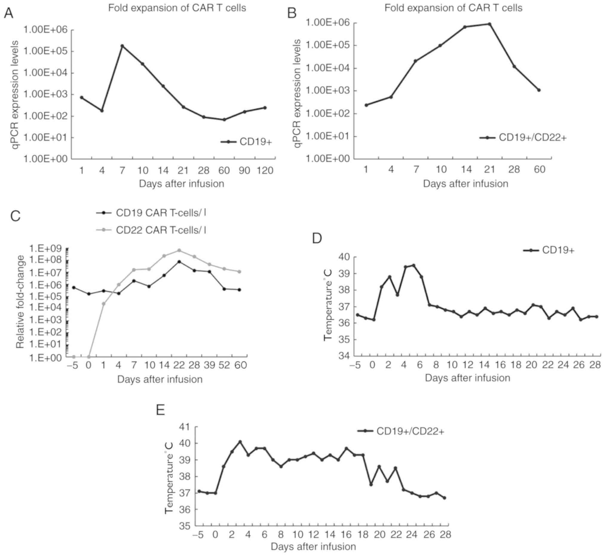
At 4 months post-infusion, the patient experienced disease progression, assessed via imaging examination revealing enlarged lymph nodes (maximum diameter, 4.89 cm; Fig. 1G). Immunohistochemistry results from the biopsy demonstrated that the infiltrates around the abdominal mass were CD19 and CD22 double-positive cells. Therefore, a dual CD19/CD22-targeted CAR T-cell therapy with the same dose of the FC regimen (fludarabine, 25 mg/m2; cyclophosphamide, 250 mg/m2) was administered to the patient 150 days after the first CD19 infusion. Imaging before the second CART treatment showed that the abdominal mass was significantly larger than before (Fig. 1H). The patient received 2×106/kg of both CAR T cells on day 0. The patient developed grade 3 CRS with shivering, hypotension and hyperpyrexia, and therefore received anti-infection and rehydration treatments. Full body CT scans on day 23 revealed that the abdominal mass had increased in size (maximum diameter, 9 cm), suggesting a poorer prognosis (Fig. 1I). Accordingly, the patient had persistent fever for >1 week, with pancytopenia, a decreased fibrinogen level (<1.5 g/l; normal range, 2–4 g/l) and an elevated serum ferritin level (23,410.00 ng/ml; normal range, 15–200 ng/ml for adult male). The proliferation of peripheral blood CAR T cells was analyzed via quantitative (q)PCR. Total RNA was extracted using TRIzol reagent (Invitrogen; Thermo Fisher Scientific, Inc.) according to the manufacturer's instructions, and reversed transcribed into cDNA using the reverse transcription kit (cat. no. 18091050; Thermo Fisher Scientific, Inc.). cDNA was amplified using EmeraldAmp® PCR Master Mix (Thermo Fisher Scientific, Inc.). The algorithm 2−ΔΔCq method (27) was used to normalize the relative expression of genes to GAPDH. The following primer sequences were used for qPCR: CAR forward, 5′-CATCCTCCCTGTCTGCCTCT-3;′ and reverse, 5′-GCCTCCGCCATCTTATCTTT-3′; GAPDH forward, 5′-TGCATTCGCCCTCTTAA-3′ and reverse, 5′-CATCACGCCACAGTTTCC−3′; and CAR FQ-PCR forward, 5′-GGATTCGCCAGCCTCCAC−3′ and reverse, 5′-AAACTTGGCTCTTGGAGTTGT−3′. CAR FQ-PCR-Probe: 5′-(FAM)-TCCCAGCCACTCCAGACCCTT-(MGB)-3′. Additionally, qPCR was carried out with an ABI 7500 machine (Applied Biosystems, Carlsbad, CA). The following thermocycling conditions were applied: 1 cycle at 50°C for 2 min, 1 cycle at 95°C for 10 min and 40 cycles at 95°C for 15 s, while 60°C for 60 s (27). The data demonstrated that both CD19 and CD19/CD22 CAR T cells began to expand after 4 days, peaked on days 7 and 18, and then gradually decreased (Fig. 3A-C). Notably, dual-CAR T cells were mixed after individual transduction, and their expansion was ~5 times higher than single CD19 CAR T cells; additionally, both CD19+ and CD22+ CAR T cells remained sustained at higher levels for 2 further months. After infusion of both CAR T cells, the patient exhibited an intermittent high fever during the first few days but, subsequently, the body temperature gradually returned to normal and remained stable (Fig. 3D and E). The levels of lymphocytes, ferritin and C-reactive protein gradually decreased after day 7 for CD19 single CAR T-cell infusion (Fig. 4A), and for dual CAR T-cell infusion, the level of platelets drastically decreased after day 18, while the levels of ferritin and C reactive protein decreased after day 20 (Fig. 5A). Although no immediate infusion-associated toxic effect was observed, a febrile syndrome with elevated cytokine levels was subsequently observed after CAR T-cell infusions (Figs. 4B and 5B). Overall, the present results indicated that the patient developed grade 1 CRS after single CD19 CAR T-cell infusion, and grade 3 CRS after dual CAR T-cell infusion.

Figure 3.

Monitoring of circulating T-cell subsets and body temperature after CAR T-cell infusion. T-cell expansion measured via qPCR after (A) CD19+ and (B) CD19+/CD22+ CAR T-cell infusion, and (C) via flow cytometry. Body temperature change after (D) CD19+ and (E) CD19+/CD22+ CAR T-cell infusion. qPCR, quantitative PCR; CAR, chimeric antigen receptor.

Figure 4.

Routine blood test and serum cytokine monitoring after CD19+ chimeric antigen receptor T-cell infusion. (A) Individual immune cell numerical expansion and serum factors fold-change values. (B) Concentrations of cytokines in serum were determined by a fluorescence-activated cell sorter. The fold-change is relative to the pre-infusion peripheral blood samples (baseline). IL, inte rleukin; IFN, interferon; TNF, tumor necrosis factor; MCP-1, monocyte chemoattractant protein-1.

Figure 5.

Routine blood test and serum cytokine monitoring after CD19+/CD22+ chimeric antigen receptor T-cell infusion. (A) Individual immune cell numerical expansion and serum factors fold-change values. (B) Concentrations of cytokines in serum were determined by a fluorescence-activated cell sorter. The fold-change is relative to the pre-infusion peripheral blood samples (baseline). IL, interleukin; IFN, interferon; TNF, tumor necrosis factor; MCP-1, monocyte chemoattractant protein-1.

Additionally, hemophagocytosis was observed in the patient's bone marrow, supporting a diagnosis of hemophagocytic syndrome. The patient was treated with dexamethasone (20 mg/day), which was later replaced by methylprednisolone (80 mg/day) on day 33. The body temperature of the patient was well controlled from day 48. Additionally, the patient developed gastrointestinal bleeding and was therefore administered proton pump inhibitors, intravenous fluids and electrolytes, while the oral intake of liquids or solids was prohibited. There was a marked reduction in the size of the abdominal mass after day 54 (Fig. 1J). The hemophagocytosis symptom was not observed after day 57, while at the same time several blood tests, including ferritin levels and coagulation function, returned to normal. A full-body CT scan on day 72 demonstrated CR (Fig. 1K) that continued until day 100. Flow cytometric analysis (28) revealed that most of the lymphocytes before infusion were CD3+ and CD3+/CD4+ T cells, and these cells were replaced by CAR T cells rapidly after infusion (Fig. 6). The proportion of CAR T cells increased and then decreased within 1-month post-infusion for single CAR T-cell infusion but remained high in dual CAR T-cell infusion for at least 2 months. Overall, the present data suggest a synergistic efficacy of CD19- and CD22-targeted CAR T cells in the present patient. After monitoring (up to D60) and infecting with H1N1 (at D85), the patient was transferred to the Hebei Provincial Chest Hospital because of gastrointestinal hemorrhage.

Figure 6.

Monitoring of lymphocyte subsets after CAR T-cell infusion. Fold-change of lymphocyte subsets from peripheral blood was measured by flow cytometry after (A and B) CD19+ and (C and D) CD19+/CD22+ CAR T-cell infusion. CAR, chimeric antigen receptor; M, month.

Discussion

Cancer immunotherapy is an emerging therapeutic strategy that has demonstrated significant efficiency compared with conventional treatments such as radiotherapy, chemotherapy and surgery (29). At present, >800 CAR T-cell studies are registered on clinicaltrials.gov, with one-third being CD19-targeted CAR T-cell trials. Tumor cells of B-cell malignancies typically express both CD19 and CD22 surface antigens (30), making dual targeted CAR T cells a more broadly active therapy (31). To the best of our knowledge, there are no reports regarding the efficacy of dual CD19/CD22-targeted CAR T-cell therapy in DLBCL. In addition, the toxicity and safety have not yet been investigated. The present case report describes the first clinical experience in a patient with DLBCL treated with bispecific CD19/CD22-targeted CAR T cells.

Single-agent MOR208 therapy has previously demonstrated a good clinical performance in patients with relapse/refractory (r/r) DLBCL and r/r follicular lymphoma, including in patients refractory to rituximab (32). A number of published reports have identified CD19 as a promising target for CAR T-cell therapy for most B-cell malignancies, including ALL (33–35). The peak of CAR T-cell expansion was positively correlated with post-treatment efficiency and survival time, in accordance with previous studies (36,37). Due to the short duration and small number of CD19 CAR T-cell expansions, the patient in the present case report only reached partial remission for 3 months.

Although most B-cell ALL cases can be targeted by CD19 CAR T-cell therapy, 5–10% of relapses occur in patients with absent or low cell-surface expression of CD19 (38,39). In the PLAT-02 clinical trial, 93% of patients with r/r ALL exhibited a good response after anti-CD19 CAR T-cell therapy; however, 50% of patients relapsed at the end of the trial (40). Instead of CD19 expression, CD22 expression was identified in patients with relapsed leukemia. The Stanford University School of Medicine and the National Cancer Institute have launched a phase I clinical trial of anti-CD22 CAR T-cell therapy in patients with relapsed B-cell ALL and obtained significant progress. This includes CD-22 CAR that can mediate similar potent antineoplastic effects as CD19, while the dual CD19/CD22 targeted immunotherapeutic plays an important role to overcome the resistance to immunotherapy via antigen loss (41). In November 2019, Tongji Hospital Affiliated to Tongji Medical College of Huazhong University of Science and Technology (Wuhan, China) published a single case report of HBV reactivation after sequential treatment with CD19 and CD22 in a patient with DLBCL; after 2.5 months of CAR T-cell treatment, the tumor condition remained stable and superficial lymph nodes could not be detected (42). In the present report, the proportion of CAR T cells remained high throughout the two CAR T-cell infusions, and gradually restored the body temperature of the patient to normal, thereafter remaining stable. Therefore, the synergistic efficacy of CD19 and CD22 CAR T-cell infusion was observed in the present patient with refractory DLBCL.

The dose of CAR T-cell infusion is dependent on body weight. Due to the different weight of patients, the total number of CAR T cells returned to each individual is not the same, making it difficult to analyze all patients by a specific number of CAR T cells and therefore having to rely on CAR T-cell expansion trends and patient symptoms as a marker of treatment efficacy. In the present report, the CAR T cells began to expand on days 4–7, peaked on days 7–10 and began to decline on day 14. CRS is one of the most notable adverse reactions in the clinical application of CAR T-cell technology (43,44). If patients experience severe CRS reactions, such as high fever, >20% blood pressure reduction, dyspnea and grade 4 organ damage, the test should be automatically suspended, and restorative treatment should be initiated immediately. In the present report, due to the large release of cytokines caused by T-cell expansion, the patient developed manageable CRS symptoms, such as fever, hypotension, myalgia and respiratory failure. Currently, although there are drugs that can control CRS, complications remain a barrier to standard treatment. It has been demonstrated that the degree of CRS severity is associated with disease burden at the time of infusion, as a higher tumor burden results in more serious CRS (45), suggesting that in the case of low tumor burden, such as early disease, the risk and severity of CRS in patients undergoing CAR T-cell therapy may be markedly reduced. Therefore, in the present study, radiotherapy was used prior to CAR T-cell therapy, successfully decreasing the tumor burden of the patient. It has been suggested that CRS is over-activated by immune effector cells, resulting in excessive release of inflammatory cytokines, such as interleukin (IL)-1, IL-2, IL-6, IL-10, IL-15, interferon-γ (IFN-γ) and tumor necrosis factor-α (TNF-α) (46). Therefore, the associations between the number of CAR T-cell expansions and IL-6, TNF-α and IFN-γ levels were analyzed in the present report. The analysis revealed that when the patient was infused with a single CD19 CAR T-cell infusion for the first time, the qPCR amplification curve and the fold-change curve of IL-6 seemed to have the same trend, suggesting that there was no association between qPCR and the changes in the three factors (IL-6, IFN-γ and TNF-α). However, upon further analysis of the three cytokines and qPCR via one-way ANOVA, no statistical differences were observed (P>0.2), indicating that it may be due to insufficient sample size. IL-6 is a cytokine known to cause side effects, such as fever, hypotension, myalgia and respiratory failure (46). In addition to T cells, macrophages are a typical cell subset that produce IL-6 (47). In a mouse model, the severity of CRS was reduced when monocytes depleted, which provided the major source of IL-1 and IL-6 or can block IL-6 receptor with tociizumab, suggesting that IL-6 inhibitors or anti-IL-6 receptor antibodies may reverse the syndrome (48). Recently, two independent trials from two research teams at the San Rafael Institute of Science and the Memorial Sloan Kettering Cancer Center (MSKCC) demonstrated that CRS is triggered by the inflammatory molecule IL-1 (46,47). Anakinra is an IL-1 inhibitor that can be combined with CAR T-cell therapy and is effective in managing CRS and neurotoxicity (49). In addition, researchers from the MSKCC have designed CAR T cells that secrete an IL-1 inhibitor to prevent CRS.

The present case report demonstrates the efficacy and safety of dual CD19/CD22-targeted CAR T-cell therapy in the treatment of DLBCL. The present results provide evidence that dual CAR T-cell therapy may be a promising option for the treatment of relapsed or refractory DLBCL in patients who do not benefit from single CD19-targeted CAR T-cell therapy. However, CRS is the major adverse effect of dual CD19/CD22-targeted CAR T-cell therapy and caution should be taken for patients receiving this treatment. However, this was only one case report on a single patient; therefore, the optimal dose of CAR T cells and the follow-up treatment remain to be clarified in well-designed studies with larger sample sizes.

Acknowledgements

Not applicable.

Funding

No funding was received.

Availability of data and materials

All data generated or analyzed during this study are included in this published article.

Authors' contributions

CH designed the experiments and wrote the article. HZ performed the histopathological and serum marker analyses; JH, RL and LW performed the experiments. NK and MZ were responsible for data collection and analysis, and checked the references. LL and JL assisted with the study design and made the figures of the manuscript. All authors read and approved the final manuscript.

Ethics approval and consent to participate

The present report was approved by the Ethics Committee of Drug Clinical Trials of The Fourth Hospital of Hebei Medical University (Shijiazhuang, China; approval no. 2016040).

Patient consent for publication

Written informed consent was obtained from the patient for publication of the present report and any accompanying images.

Competing interests

The authors declare that they have no competing interests.

References

1 

Sieniawski MK: Epidemiology, prognosis and treatment of aggressive non-Hodgkin lymphomas. Newcastle University. 2017.

2 

Vitolo U, Seymour JF, Martelli M, Illerhaus G, Illidge T, Zucca E, Campo E and Ladetto M; ESMO Guidelines Committee, : Extranodal diffuse large B-cell lymphoma (DLBCL) and primary mediastinal B-cell lymphoma: ESMO Clinical Practice Guidelines for diagnosis, treatment and follow-up. Ann Oncol. 27 (Suppl 5):v91–v102. 2016. View Article : Google Scholar : PubMed/NCBI

3 

Tilly H, Gomes da Silva M, Vitolo U, Jack A, Meignan M, Lopez-Guillermo A, Walewski J, André M, Johnson PW, Pfreundschuh M, et al: Diffuse large B-cell lymphoma (DLBCL): ESMO Clinical Practice Guidelines for diagnosis, treatment and follow-up. Ann Oncol. 26 (Suppl 5):v116–v125. 2015. View Article : Google Scholar : PubMed/NCBI

4 

Avivi I, Canals C, Vernant JP, Wulf G, Nagler A, Hermine O, Petersen E, Yakoub-Agha I, Craddock C, Schattenberg A, Niederwieser D, et al: Matched unrelated donor allogeneic transplantation provides comparable long-term outcome to HLA-identical sibling transplantation in relapsed diffuse large B-cell lymphoma. Bone Marrow Transplant. 49:671–678. 2014. View Article : Google Scholar : PubMed/NCBI

5 

Aviles A, Calva A, Neri N, Cleto S and Silva L: Role of radiotherapy in diffuse large B-cell lymphoma in advanced stages on complete response after administration of cyclophosphamide, doxorubicin, vincristine, prednisone, and rituximab. Precision Radiation Oncol. 3:100–104. 2019. View Article : Google Scholar

6 

Maziarz RT, Hao Y, Guerin A, Gauthier G, Gauthierloiselle M, Thomas SK and Eldjerou L: Economic burden following allogeneic hematopoietic stem cell transplant in patients with diffuse large B-cell lymphoma. Leuk Lymphoma. 59:1133–1142. 2018. View Article : Google Scholar : PubMed/NCBI

7 

Brudno JN and Kochenderfer JN: Chimeric antigen receptor T-cell therapies for lymphoma. Nat Rev Clin Oncol. 15:31–46. 2018. View Article : Google Scholar : PubMed/NCBI

8 

Yang F, Zhang J, Zhang X, Tian M, Wang J, Kang L, Qiu H and Wu D: Delayed remission following sequential infusion of humanized CD19- and CD22-modified CAR-T cells in a patient with relapsed/refractory acute lymphoblastic leukemia and prior exposure to murine-derived CD19-directed CAR-T cells. Onco Targets Ther. 12:2187–2191. 2019. View Article : Google Scholar : PubMed/NCBI

9 

Dai H, Zhang W, Li X, Han Q, Guo Y, Zhang Y, Wang Y, Wang C, Shi F, Zhang Y, et al: Tolerance and efficacy of autologous or donor-derived T cells expressing CD19 chimeric antigen receptors in adult B-ALL with extramedullary leukemia. Oncoimmunology. 4:e10274692015. View Article : Google Scholar : PubMed/NCBI

10 

Wang N, Hu X, Cao W, Li C, Xiao Y, Cao Y, Gu C, Zhang S, Chen L, Cheng J, et al: Efficacy and Safety of CAR19/22 T-cell Cocktail therapy in patients with Refractory/Relapsed B-cell Malignancies. Blood. 135:17–27. 2020. View Article : Google Scholar : PubMed/NCBI

11 

John M: Clinical immunotherapy of B-cell malignancy using CD19-targeted CAR T-cells. Curr Gene Ther. 14:35–43. 2014. View Article : Google Scholar : PubMed/NCBI

12 

Banihashemi SR, Hosseini AZ, Rahbarizadeh F and Ahmadvand D: Development of Specific Nanobodies (VHH) for CD19 Immuno-targeting of Human B-Lymphocytes. Iran J Basic Med Sci. 21:455–464. 2018.PubMed/NCBI

13 

Locke FL, Neelapu SS, Bartlett NL, Siddiqi T, Chavez JC, Hosing CM, Ghobadi A, Budde LE, Bot A, Rossi JM, et al: Phase 1 results of ZUMA-1: A multicenter study of KTE-C19 Anti-CD19 CAR T cell therapy in refractory aggressive lymphoma. Mol Ther. 25:285–295. 2017. View Article : Google Scholar : PubMed/NCBI

14 

Chavez JC, Bachmeier C and Kharfan-Dabaja MA: CAR T-cell therapy for B-cell lymphomas: Clinical trial results of available products. Ther Adv Hematol. 10:20406207198415812019. View Article : Google Scholar : PubMed/NCBI

15 

Kochenderfer JN, Somerville RPT, Lu T, Yang JC, Sherry RM, Feldman SA, McIntyre L, Bot A, Rossi J, Lam N and Rosenberg SA: Long-duration complete remissions of diffuse large B-cell Lymphoma after Anti-CD19 chimeric antigen receptor therapy. Mol Ther. 25:2245–2253. 2017. View Article : Google Scholar : PubMed/NCBI

16 

Leonard JP, Coleman M, Ketas JC, Chadburn A, Furman R, Schuster MW, Feldman EJ, Ashe M, Schuster SJ, Wegener WA, et al: Epratuzumab, a Humanized Anti-CD22 antibody, in aggressive Non-Hodgkin's lymphoma: Phase I/II clinical trial results. Clin Cancer Res. 10:5327–5334. 2004. View Article : Google Scholar : PubMed/NCBI

17 

Locke FL, Ghobadi A, Jacobson CA, Miklos DB, Lekakis LJ, Oluwole OO, Lin Y, Braunschweig I, Hill BT, Timmerman JM, et al: Long-term safety and activity of axicabtagene ciloleucel in refractory large B-cell lymphoma (ZUMA-1): A single-arm, multicentre, phase 1–2 trial. Lancet Oncol. 20:31–42. 2019. View Article : Google Scholar : PubMed/NCBI

18 

Kochenderfer JN, Dudley ME, Kassim SH, Somerville RP, Carpenter RO, Stetler-Stevenson M, Yang JC, Phan GQ, Hughes MS, Sherry RM, et al: Chemotherapy-refractory diffuse large B-cell lymphoma and indolent B-cell malignancies Can Be effectively treated with autologous T cells expressing an Anti-CD19 chimeric antigen receptor. J Clin Oncol. 33:540–549. 2015. View Article : Google Scholar : PubMed/NCBI

19 

Maude SL, Teachey DT, Porter DL and Grupp SA: CD19-targeted chimeric antigen receptor T-cell therapy for acute lymphoblastic leukemia. Blood. 125:4017–4023. 2015. View Article : Google Scholar : PubMed/NCBI

20 

Maude SL, Barrett D, Teachey DT and Grupp SA: Managing cytokine release syndrome associated with novel T cell-engaging therapies. Cancer J. 20:119–122. 2014. View Article : Google Scholar : PubMed/NCBI

21 

Meier JD and Grimmer JF: Evaluation and Management of Neck Masses in Children. Am Fam Physician. 89:353–358. 2014.PubMed/NCBI

22 

McCarten KM, Nadel HR, Shulkin BL and Cho SY: Imaging for diagnosis, staging and response assessment of Hodgkin lymphoma and non-Hodgkin lymphoma. Pediat Radiol. 49:1545–1564. 2019. View Article : Google Scholar : PubMed/NCBI

23 

Lee KC, Lee SH, Sung K, Ahn SH, Choi J, Lee SH, Lee JH, Hong J and Park SH: A case of primary breast diffuse large B-cell lymphoma treated with chemotherapy followed by elective field radiation therapy: A brief treatment pattern review from a radiation Oncologist's point of view. Case Rep Oncol Med. 2015:9079782015.PubMed/NCBI

24 

Kahlon KS, Christine B, Cooper LJN, Andrew R, Forman SJ and Jensen MC: Specific recognition and killing of glioblastoma multiforme by interleukin 13-zetakine redirected cytolytic T cells. Cancer Res. 64:9160–9166. 2004. View Article : Google Scholar : PubMed/NCBI

25 

Debinski W and Thompson JP: Retargeting interleukin 13 for radioimmunodetection and radioimmunotherapy of human high-grade gliomas. Clin Cancer Res. 5 (10 Suppl):3143S–3147S. 1999.PubMed/NCBI

26 

Porter D, Frey N, Wood PA, Weng Y and Grupp SA: Grading of cytokine release syndrome associated with the CAR T cell therapy tisagenlecleucel. J Hematol Oncol. 11:352018. View Article : Google Scholar : PubMed/NCBI

27 

Livak KJ and Schmittgen TD: Analysis of relative gene expression data using real-time quantitative PCR and the 2(-Delta Delta C(T)) method. Methods. 25:402–408. 2001. View Article : Google Scholar : PubMed/NCBI

28 

Kalos M, Levine BL, Porter DL, Katz S, Grupp SA, Bagg A and June CH: T cells with chimeric antigen receptors have potent antitumor effects and can establish memory in patients with advanced leukemia. Sci Transl Med. 3:95ra732011. View Article : Google Scholar : PubMed/NCBI

29 

Olson B, Li Y, Lin Y, Liu ET and Patnaik A: Mouse models for cancer immunotherapy research. Cancer Discov. 8:1358–1365. 2018. View Article : Google Scholar : PubMed/NCBI

30 

Hill JA, Li D, Hay KA, Green ML, Cherian S, Chen X, Riddell SR, Maloney DG, Boeckh M and Turtle CJ: Infectious complications of CD19-targeted chimeric antigen receptor-modified T cell immunotherapy. Blood. 131:121–130. 2018. View Article : Google Scholar : PubMed/NCBI

31 

Chaouchi N, Vazquez A, Galanaud P and Leprince C: B cell antigen receptor-mediated apoptosis. Importance of accessory molecules CD19 and CD22 and of surface IgM cross-linking. J Immunol. 154:3096–3104. 1995.PubMed/NCBI

32 

Jurczak W, Zinzani PL, Gaidano G, Goy A, Provencio M, Nagy Z, Robak T, Maddocks K, Buske C, Ambarkhane S, et al: Phase IIa study of the CD19 antibody MOR208 in patients with relapsed or refractory B-cell non-Hodgkin's lymphoma. Ann Onco. 29:1266–1272. 2018. View Article : Google Scholar

33 

Park JH, Rivière I, Gonen M, Wang X, Sénéchal B, Curran KJ, Sauter C, Wang Y, Santomasso B, Mead E, et al: Long-term Follow-up of CD19 CAR therapy in acute lymphoblastic leukemia. N Engl J Med. 378:449–459. 2018. View Article : Google Scholar : PubMed/NCBI

34 

Schuster SJ, Svoboda J, Chong EA, Nasta SD, Mato AR, Anak Ö, Brogdon JL, Pruteanu-Malinici I, Bhoj V, Landsburg D, et al: Chimeric antigen receptor T cells in refractory B-cell lymphomas. N Engl J Med. 377:2545–2554. 2017. View Article : Google Scholar : PubMed/NCBI

35 

Turtle CJ, Hanafi LA, Berger C, Hudecek M, Pender B, Robinson E, Hawkins R, Chaney C, Cherian S, Chen X, et al: Immunotherapy of non-Hodgkin's lymphoma with a defined ratio of CD8+ and CD4+ CD19-specific chimeric antigen receptor-modified T cells. Sci Transl Med. 8:355ra1162016. View Article : Google Scholar : PubMed/NCBI

36 

Kochenderfer JN, Somerville RPT, Lu T, Shi V, Bot A, Rossi J, Xue A, Goff SL, Yang JC, Sherry RM, et al: Lymphoma remissions caused by Anti-CD19 chimeric antigen receptor T cells are associated with high serum Interleukin-15 levels. J Clin Oncol. 35:1803–1813. 2017. View Article : Google Scholar : PubMed/NCBI

37 

Lee DW, Kochenderfer JN, Stetlerstevenson M, Cui YK, Delbrook C, Feldman SA, Fry TJ, Orentas R, Sabatino M, Shah NN, et al: T cells expressing CD19 chimeric antigen receptors for acute lymphoblastic leukaemia in children and young adults: A phase 1 dose-escalation trial. Lancet. 385:517–528. 2015. View Article : Google Scholar : PubMed/NCBI

38 

Sotillo E, Barrett DM, Black KL, Bagashev A, Oldridge D, Wu G, Sussman R, Lanauze C, Ruella M, Gazzara MR, et al: Convergence of acquired mutations and alternative splicing of CD19 enables resistance to CART-19 immunotherapy. Cancer Discov. 5:1282–1295. 2015. View Article : Google Scholar : PubMed/NCBI

39 

Park JH, Riviere I, Wang X, Bernal Y, Purdon T, Halton E, Wang Y, Curran KJ, Sauter CS, Sadelain M and Brentjens RJ: Implications of minimal residual disease negative complete remission (MRD-CR) and allogeneic stem cell transplant on safety and clinical outcome of CD19-targeted 19-28z CAR modified T cells in adult patients with relapsed, refractory B-cell ALL. Blood. 126:6822015. View Article : Google Scholar

40 

Fry TJ, Shah NN, Orentas RJ, Stetler-Stevenson M, Yuan CM, Ramakrishna S, Wolters P, Martin S, Delbrook C, Yates B, et al: CD22-targeted CAR T cells induce remission in B-ALL that is naive or resistant to CD19-targeted CAR immunotherapy. Nat Med. 24:20–28. 2018. View Article : Google Scholar : PubMed/NCBI

41 

Wei J, Zhu X, Mao X, Huang L, Meng F and Zhou J: Severe early hepatitis B reactivation in a patient receiving anti-CD19 and anti-CD22 CAR T cells for the treatment of diffuse large B-cell lymphoma. J Immunother Cancer. 7:3152019. View Article : Google Scholar : PubMed/NCBI

42 

Maude SL, Frey N, Shaw PA, Aplenc R, Barrett DM, Bunin NJ, Chew A, Gonzalez VE, Zheng Z, Lacey SF, et al: Chimeric antigen receptor T cells for sustained remissions in leukemia. N Engl J Med. 371:1507–1517. 2014. View Article : Google Scholar : PubMed/NCBI

43 

Jiang H, Liu L, Guo T, Wu Y, Ai L, Deng J, Dong J, Mei H and Hu Y: Improving the safety of CAR-T cell therapy by controlling CRS-related coagulopathy. Ann Hematol. 98:1721–1732. 2019. View Article : Google Scholar : PubMed/NCBI

44 

Liu Y, Chen X, Wang D, Li H, Huang J, Zhang Z, Qiao Y, Zhang H, Zeng Y, Tang C, et al: Hemofiltration successfully eliminates severe cytokine release syndrome following CD19 CAR-T-Cell Therapy. J Immunother. 41:406–410. 2018. View Article : Google Scholar : PubMed/NCBI

45 

Luo H, Wang N, Huang L, Zhou X, Jin J, Li C, Wang D, Xu B, Xu J, Jiang L, et al: Inflammatory signatures for quick diagnosis of life-threatening infection during the CAR T-cell therapy. J Immunother Cancer. 7:2712019. View Article : Google Scholar : PubMed/NCBI

46 

Chavez JC and Locke FL: CAR T cell therapy for B-cell lymphomas. Best Pract Res Clin Haematol. 31:135–146. 2018. View Article : Google Scholar : PubMed/NCBI

47 

Konstantinos AP and Maria TA: Systemic consequences of intestinal inflammation. Bedside. 235–250. 2005.doi: 10.1007/0-387-25808-6_12.

48 

Norelli M, Camisa B, Barbiera G, Falcone L, Purevdorj A, Genua M, Sanvito F, Ponzoni M, Doglioni C, Cristofori P, et al: Monocyte-derived IL-1 and IL-6 are differentially required for cytokine-release syndrome and neurotoxicity due to CAR T cells. Nat Med. 24:739–748. 2018. View Article : Google Scholar : PubMed/NCBI

49 

Giavridis T, Stegen SJCVD, Eyquem J, Hamieh M, Piersigilli A and Sadelain M: CAR T cell-induced cytokine release syndrome is mediated by macrophages and abated by IL-1 blockade. Nat Med. 24:731–738. 2018. View Article : Google Scholar : PubMed/NCBI

Related Articles

  • Abstract
  • View
  • Download
  • Twitter
Copy and paste a formatted citation
Spandidos Publications style
Huang C, Zhang HC, Ho JY, Liu RX, Wang L, Kuang N, Zheng MR, Liu LH and Li JQ: Dual specific CD19/CD22‑targeted chimeric antigen receptor T‑cell therapy for refractory diffuse large B‑cell lymphoma: A case report. Oncol Lett 20: 21, 2020.
APA
Huang, C., Zhang, H., Ho, J., Liu, R., Wang, L., Kuang, N. ... Li, J. (2020). Dual specific CD19/CD22‑targeted chimeric antigen receptor T‑cell therapy for refractory diffuse large B‑cell lymphoma: A case report. Oncology Letters, 20, 21. https://doi.org/10.3892/ol.2020.11882
MLA
Huang, C., Zhang, H., Ho, J., Liu, R., Wang, L., Kuang, N., Zheng, M., Liu, L., Li, J."Dual specific CD19/CD22‑targeted chimeric antigen receptor T‑cell therapy for refractory diffuse large B‑cell lymphoma: A case report". Oncology Letters 20.4 (2020): 21.
Chicago
Huang, C., Zhang, H., Ho, J., Liu, R., Wang, L., Kuang, N., Zheng, M., Liu, L., Li, J."Dual specific CD19/CD22‑targeted chimeric antigen receptor T‑cell therapy for refractory diffuse large B‑cell lymphoma: A case report". Oncology Letters 20, no. 4 (2020): 21. https://doi.org/10.3892/ol.2020.11882
Copy and paste a formatted citation
x
Spandidos Publications style
Huang C, Zhang HC, Ho JY, Liu RX, Wang L, Kuang N, Zheng MR, Liu LH and Li JQ: Dual specific CD19/CD22‑targeted chimeric antigen receptor T‑cell therapy for refractory diffuse large B‑cell lymphoma: A case report. Oncol Lett 20: 21, 2020.
APA
Huang, C., Zhang, H., Ho, J., Liu, R., Wang, L., Kuang, N. ... Li, J. (2020). Dual specific CD19/CD22‑targeted chimeric antigen receptor T‑cell therapy for refractory diffuse large B‑cell lymphoma: A case report. Oncology Letters, 20, 21. https://doi.org/10.3892/ol.2020.11882
MLA
Huang, C., Zhang, H., Ho, J., Liu, R., Wang, L., Kuang, N., Zheng, M., Liu, L., Li, J."Dual specific CD19/CD22‑targeted chimeric antigen receptor T‑cell therapy for refractory diffuse large B‑cell lymphoma: A case report". Oncology Letters 20.4 (2020): 21.
Chicago
Huang, C., Zhang, H., Ho, J., Liu, R., Wang, L., Kuang, N., Zheng, M., Liu, L., Li, J."Dual specific CD19/CD22‑targeted chimeric antigen receptor T‑cell therapy for refractory diffuse large B‑cell lymphoma: A case report". Oncology Letters 20, no. 4 (2020): 21. https://doi.org/10.3892/ol.2020.11882
Follow us
  • Twitter
  • LinkedIn
  • Facebook
About
  • Spandidos Publications
  • Careers
  • Cookie Policy
  • Privacy Policy
How can we help?
  • Help
  • Live Chat
  • Contact
  • Email to our Support Team