Spandidos Publications Logo
  • About
    • About Spandidos
    • Aims and Scopes
    • Abstracting and Indexing
    • Editorial Policies
    • Reprints and Permissions
    • Job Opportunities
    • Terms and Conditions
    • Contact
  • Journals
    • All Journals
    • Oncology Letters
      • Oncology Letters
      • Information for Authors
      • Editorial Policies
      • Editorial Board
      • Aims and Scope
      • Abstracting and Indexing
      • Bibliographic Information
      • Archive
    • International Journal of Oncology
      • International Journal of Oncology
      • Information for Authors
      • Editorial Policies
      • Editorial Board
      • Aims and Scope
      • Abstracting and Indexing
      • Bibliographic Information
      • Archive
    • Molecular and Clinical Oncology
      • Molecular and Clinical Oncology
      • Information for Authors
      • Editorial Policies
      • Editorial Board
      • Aims and Scope
      • Abstracting and Indexing
      • Bibliographic Information
      • Archive
    • Experimental and Therapeutic Medicine
      • Experimental and Therapeutic Medicine
      • Information for Authors
      • Editorial Policies
      • Editorial Board
      • Aims and Scope
      • Abstracting and Indexing
      • Bibliographic Information
      • Archive
    • International Journal of Molecular Medicine
      • International Journal of Molecular Medicine
      • Information for Authors
      • Editorial Policies
      • Editorial Board
      • Aims and Scope
      • Abstracting and Indexing
      • Bibliographic Information
      • Archive
    • Biomedical Reports
      • Biomedical Reports
      • Information for Authors
      • Editorial Policies
      • Editorial Board
      • Aims and Scope
      • Abstracting and Indexing
      • Bibliographic Information
      • Archive
    • Oncology Reports
      • Oncology Reports
      • Information for Authors
      • Editorial Policies
      • Editorial Board
      • Aims and Scope
      • Abstracting and Indexing
      • Bibliographic Information
      • Archive
    • Molecular Medicine Reports
      • Molecular Medicine Reports
      • Information for Authors
      • Editorial Policies
      • Editorial Board
      • Aims and Scope
      • Abstracting and Indexing
      • Bibliographic Information
      • Archive
    • World Academy of Sciences Journal
      • World Academy of Sciences Journal
      • Information for Authors
      • Editorial Policies
      • Editorial Board
      • Aims and Scope
      • Abstracting and Indexing
      • Bibliographic Information
      • Archive
    • International Journal of Functional Nutrition
      • International Journal of Functional Nutrition
      • Information for Authors
      • Editorial Policies
      • Editorial Board
      • Aims and Scope
      • Abstracting and Indexing
      • Bibliographic Information
      • Archive
    • International Journal of Epigenetics
      • International Journal of Epigenetics
      • Information for Authors
      • Editorial Policies
      • Editorial Board
      • Aims and Scope
      • Abstracting and Indexing
      • Bibliographic Information
      • Archive
    • Medicine International
      • Medicine International
      • Information for Authors
      • Editorial Policies
      • Editorial Board
      • Aims and Scope
      • Abstracting and Indexing
      • Bibliographic Information
      • Archive
  • Articles
  • Information
    • Information for Authors
    • Information for Reviewers
    • Information for Librarians
    • Information for Advertisers
    • Conferences
  • Language Editing
Spandidos Publications Logo
  • About
    • About Spandidos
    • Aims and Scopes
    • Abstracting and Indexing
    • Editorial Policies
    • Reprints and Permissions
    • Job Opportunities
    • Terms and Conditions
    • Contact
  • Journals
    • All Journals
    • Biomedical Reports
      • Information for Authors
      • Editorial Policies
      • Editorial Board
      • Aims and Scope
      • Abstracting and Indexing
      • Bibliographic Information
      • Archive
    • Experimental and Therapeutic Medicine
      • Information for Authors
      • Editorial Policies
      • Editorial Board
      • Aims and Scope
      • Abstracting and Indexing
      • Bibliographic Information
      • Archive
    • International Journal of Epigenetics
      • Information for Authors
      • Editorial Policies
      • Editorial Board
      • Aims and Scope
      • Abstracting and Indexing
      • Bibliographic Information
      • Archive
    • International Journal of Functional Nutrition
      • Information for Authors
      • Editorial Policies
      • Editorial Board
      • Aims and Scope
      • Abstracting and Indexing
      • Bibliographic Information
      • Archive
    • International Journal of Molecular Medicine
      • Information for Authors
      • Editorial Policies
      • Editorial Board
      • Aims and Scope
      • Abstracting and Indexing
      • Bibliographic Information
      • Archive
    • International Journal of Oncology
      • Information for Authors
      • Editorial Policies
      • Editorial Board
      • Aims and Scope
      • Abstracting and Indexing
      • Bibliographic Information
      • Archive
    • Medicine International
      • Information for Authors
      • Editorial Policies
      • Editorial Board
      • Aims and Scope
      • Abstracting and Indexing
      • Bibliographic Information
      • Archive
    • Molecular and Clinical Oncology
      • Information for Authors
      • Editorial Policies
      • Editorial Board
      • Aims and Scope
      • Abstracting and Indexing
      • Bibliographic Information
      • Archive
    • Molecular Medicine Reports
      • Information for Authors
      • Editorial Policies
      • Editorial Board
      • Aims and Scope
      • Abstracting and Indexing
      • Bibliographic Information
      • Archive
    • Oncology Letters
      • Information for Authors
      • Editorial Policies
      • Editorial Board
      • Aims and Scope
      • Abstracting and Indexing
      • Bibliographic Information
      • Archive
    • Oncology Reports
      • Information for Authors
      • Editorial Policies
      • Editorial Board
      • Aims and Scope
      • Abstracting and Indexing
      • Bibliographic Information
      • Archive
    • World Academy of Sciences Journal
      • Information for Authors
      • Editorial Policies
      • Editorial Board
      • Aims and Scope
      • Abstracting and Indexing
      • Bibliographic Information
      • Archive
  • Articles
  • Information
    • For Authors
    • For Reviewers
    • For Librarians
    • For Advertisers
    • Conferences
  • Language Editing
Login Register Submit
  • This site uses cookies
  • You can change your cookie settings at any time by following the instructions in our Cookie Policy. To find out more, you may read our Privacy Policy.

    I agree
Search articles by DOI, keyword, author or affiliation
Search
Advanced Search
presentation
Oncology Letters
Join Editorial Board Propose a Special Issue
Print ISSN: 1792-1074 Online ISSN: 1792-1082
Journal Cover
May-2021 Volume 21 Issue 5

Full Size Image

Sign up for eToc alerts
Recommend to Library

Journals

International Journal of Molecular Medicine

International Journal of Molecular Medicine

International Journal of Molecular Medicine is an international journal devoted to molecular mechanisms of human disease.

International Journal of Oncology

International Journal of Oncology

International Journal of Oncology is an international journal devoted to oncology research and cancer treatment.

Molecular Medicine Reports

Molecular Medicine Reports

Covers molecular medicine topics such as pharmacology, pathology, genetics, neuroscience, infectious diseases, molecular cardiology, and molecular surgery.

Oncology Reports

Oncology Reports

Oncology Reports is an international journal devoted to fundamental and applied research in Oncology.

Experimental and Therapeutic Medicine

Experimental and Therapeutic Medicine

Experimental and Therapeutic Medicine is an international journal devoted to laboratory and clinical medicine.

Oncology Letters

Oncology Letters

Oncology Letters is an international journal devoted to Experimental and Clinical Oncology.

Biomedical Reports

Biomedical Reports

Explores a wide range of biological and medical fields, including pharmacology, genetics, microbiology, neuroscience, and molecular cardiology.

Molecular and Clinical Oncology

Molecular and Clinical Oncology

International journal addressing all aspects of oncology research, from tumorigenesis and oncogenes to chemotherapy and metastasis.

World Academy of Sciences Journal

World Academy of Sciences Journal

Multidisciplinary open-access journal spanning biochemistry, genetics, neuroscience, environmental health, and synthetic biology.

International Journal of Functional Nutrition

International Journal of Functional Nutrition

Open-access journal combining biochemistry, pharmacology, immunology, and genetics to advance health through functional nutrition.

International Journal of Epigenetics

International Journal of Epigenetics

Publishes open-access research on using epigenetics to advance understanding and treatment of human disease.

Medicine International

Medicine International

An International Open Access Journal Devoted to General Medicine.

Journal Cover
May-2021 Volume 21 Issue 5

Full Size Image

Sign up for eToc alerts
Recommend to Library

  • Article
  • Citations
    • Cite This Article
    • Download Citation
    • Create Citation Alert
    • Remove Citation Alert
    • Cited By
  • Similar Articles
    • Related Articles (in Spandidos Publications)
    • Similar Articles (Google Scholar)
    • Similar Articles (PubMed)
  • Download PDF
  • Download XML
  • View XML
Article Open Access

Long non‑coding RNA maternally expressed gene 3 affects cell proliferation, apoptosis and migration by targeting the microRNA‑9‑5p/midkine axis and activating the phosphoinositide‑dependent kinase/AKT pathway in hepatocellular carcinoma

  • Authors:
    • Dezhi Wu
    • Zheng Ma
    • Deyu Ma
    • Qiquan Li
  • View Affiliations / Copyright

    Affiliations: School of Pharmaceutical Sciences, Guizhou University of Traditional Chinese Medicine, Guiyang, Guizhou 550002, P.R. China, Faculty of Pharmaceutical Sciences, Cangzhou Central Hospital, Cangzhou, Hebei 061001, P.R. China, Department of Pharmacy, Affiliated Traditional Chinese Medicine Hospital of Southwest Medical University, Luzhou, Sichuan 646000, P.R. China, GCP Center, Affiliated Traditional Chinese Medicine Hospital of Southwest Medical University, Luzhou, Sichuan 646000, P.R. China
    Copyright: © Wu et al. This is an open access article distributed under the terms of Creative Commons Attribution License.
  • Article Number: 345
    |
    Published online on: March 3, 2021
       https://doi.org/10.3892/ol.2021.12606
  • Expand metrics +
Metrics: Total Views: 0 (Spandidos Publications: | PMC Statistics: )
Metrics: Total PDF Downloads: 0 (Spandidos Publications: | PMC Statistics: )
Cited By (CrossRef): 0 citations Loading Articles...

This article is mentioned in:



Abstract

Long non‑coding RNA (lncRNA) maternally expressed gene 3 (MEG3) is a tumor suppressor in several cancers, such as glioma, prostate cancer and esophageal cancer. However, the role of MEG3 in hepatocellular carcinoma (HCC) and the related molecular mechanisms are not well understood. The present study aimed to determine the biological function of MEG3 in regulating HCC cell viability, apoptosis and migration. In addition, the interaction between MEG3, microRNA (miR)‑9‑5p and Midkine (MDK), and the activation of the phosphoinositide‑dependent kinase (PDK)/AKT pathway in HCC cell line MHCC‑97L were examined. Luciferase reporter assays, reverse transcription‑quantitative PCR and western blotting were used to determine the interaction between MEG3, miR‑9‑5p and MDK and the activation of the PDK/AKT pathway. Cell viability was determined by the CCK8 assay and the cell cycle analysis using flow cytometry analysis. Cell apoptosis was examined by flow cytometry analysis and caspase 3/9 activity. Wound healing assays and western blotting were used to investigate cell migration. The present study demonstrated that MEG3 suppressed HCC cell viability and migration, and induced cell apoptosis. In addition, it was also found that MEG3 targets the miR‑9‑5p/MDK axis and modulates the PDK/AKT pathway in HCC. In conclusion, the findings of the present study demonstrated that lncRNA MEG3 affects HCC cell viability, apoptosis and migration through its targeting of miR‑9‑5p/MDK and regulation of the PDK/AKT pathway. The MEG3/miR‑9‑5p/MDK axis may be a potential therapeutic target in HCC.

Introduction

Hepatocellular carcinoma (HCC), a malignant tumor arising from the liver, accounts for 80% of primary liver cancer (1), and is the third leading cause of cancer-related deaths globally (2) with a mortality of 0.598 million according to the report released by WHO International Agency in 2018 (3). The 5-year survival rate of patients with HCC is as low as 30% (4). It is imperative to improve understanding of hepatocarcinogenesis and to develop novel strategies for the treatment of HCC.

Long non-coding RNAs (lncRNAs), are a class of non-coding transcripts with lengths exceeding 200 nucleotides, which participate in a variety of physiological and pathological processes, including embryogenesis, tumorigenesis and some cardiovascular diseases (5). lncRNA maternally expressed gene 3 (MEG3) has been reported to be abnormally expressed in HCC tissues (6,7), however, its role in HCC and the related mechanisms are not well understood. MicroRNAs (miRs) are small (~22 nucleotide) non-coding RNAs which also participate in various biological processes, such as development, growth, organogenesis and angiogenesis (8,9). lncRNAs and miRNAs can interact with each other to serve a wide spectrum of biological functions, such as neovascularization, angiogenesis and vasculogenic mimicry (10,11). miR-9-5p (GenBank: LM379059.1) is a well-known microRNA which serves important roles in the growth, angiogenesis, radio-resistance and metastasis of various types of cancers, such as colorectal cancer, acute myeloid leukemia, and gastric cancer (12–14). MEG3 has been reported to serve as a competing endogenous RNA (ceRNA) for miR-9-5p in prostate cancer (15) and esophageal cancer (16) to mediate tumor progression.

Midkine (MDK) was initially found as a growth factor in retinoic acid-induced embryonic tumor cells (17). Currently, MDK is viewed as a multifaceted factor promoting cell growth, survival, metastasis, migration, and angiogenesis, in particular during tumorigenesis in cancer (18). Phosphoinositide-dependent kinase 1 (PDK1) is a serine/threonine protein kinase which serves central roles in signal transduction (19). Several studies have demonstrated that PDK1 can promote cell proliferation by activating the Akt/mTOR signaling pathway (20,21). A recent study by Lu et al (22) reported that miR-9-5p can inhibit angiogenesis by targeting MDK and regulating the PDK/AKT pathway in nasopharyngeal carcinoma.

The present study aimed to investigate the effect of MEG3 on HCC cell viability, apoptosis and migration. In addition, the interaction between MEG3, miR-9-5p and MDK, and the activation of PDK/AKT pathway in HCC cells was also assessed. The present study provides new insights into the molecular mechanisms of MEG3 in HCC and suggests a novel therapeutic target for HCC.

Materials and methods

Cell culture

MHCC-97L cell line (cat. no. BNCC337741) was purchased from Beijing Beina Chuanglian Institute of Biotechnology. The cells were maintained in RPMI-1640 medium (Nanjing KeyGen Biotech. Co. Ltd.) supplemented with 10% fetal bovine serum (FBS; Gibco; Thermo Fisher Scientific Inc.) and 100 U/ml penicillin G sodium and 0.1 mol/ml streptomycin sulfate, at 37°C for 48 h in a humidified atmosphere of 5% CO2.

Transfection

miR-9-5p mimic (3.75 µl, 25 nM), miR-9-5p negative control (NC; 3.75 µl, 25 nM), lncRNA MEG3 overexpression vector (2.5 µg, 2.5 µg/ml) and lncRNA MEG3 NC (2.5 µg, 2.5 µg/ml) were purchased from General Biosystems, Inc. The sequences of miR-9-5p mimic and the corresponding NC were: miR-9-5p mimic sense, 5′-UCUUUGGUUAUCUAGCUGUAUGA-3′, antisense, 5′-UCAUACAGCUAGAUAACCAAAGA-3′; NC: Sense, 5′-UCACAACCUCCUAGAAAGAGUAGA-3′, antisense, 5′-UCUACUCUUUCUAGGAGGUUGUGA-3′. Cell transfection was conducted using Lipofectamine 3000® transfection reagent (Thermo Fisher Scientific Inc.) according to the manufacturer's instructions. Cells were incubated with the complexes at 37°C for 6 h, then the transfection media was replaced with culture medium. 48 h later, the cells were subjected to subsequent experimentation. Cells in the control group were untransfected cells.

Reverse transcription-quantitative (RT-q) PCR

Total RNA was extracted from MHCC-97L cells using the Ultrapure RNA kit (CoWin Biosciences), and then reverse-transcribed into cDNA using a HiFiScriptcDNA synthesis kit (CoWin Biosciences). Reverse transcription was performed at 50°C for 15 min, and then at 85°C for 5 min. Primers used for amplification were: MEG3 forward, 5′-CATACAAAGCAGCCACTCAC-3 and reverse, 5′-GGGATCCTTCCATTCAGGAC-3′; GAPDH forward, 5′-CAATGACCCCTTCATTGACC-3 and reverse, 5′-GAGAAGCTTCCCGTTCTCAG-3′; miR-9-5p forward, 5′-TCTTTGGTTATCTAGCTGTATGA and reverse, 5′-CCAGCTATGCGCCATTAGCAA-3′; U6 forward, 5′-GCTTCGGCAGCACATATACTAAAAT-3 and reverse, CGCTTCACGAATTTGCGTGTCAT-3′ (CoWin Biosciences). RT-qPCR assays were performed using the UltraSYBR Mixture (CoWin Biosciences). Data were analyzed using the 2−ΔΔCq method (23). Expression of MEG3 was normalized to GAPDH, and expression of miR-9-5p was normalzed to U6.

Western blotting

Total proteins were extracted from MHCC-97L cells using RIPA Cell Lysis Buffer (Applygen Technologies Inc.) and then protein concentrations were quantified using the bicinchoninic acid (BCA) method (Thermo Fisher Scientific Inc.). A total of 50 µg of protein was separated using 10% SDS-PAGE gels and transferred to PVDF membranes (EMD Millipore). After blocking overnight at 4°C in 5% BSA, the PVDF membranes were incubated with the primary antibodies, including Rabbit Anti-caspase-3 (1:5,000; cat. no. ab32351), rabbit anti-caspase-9 (1:2,000; cat. no. ab202068), rabbit `nti-MDK (1:1,000; cat. no. ab52637), rabbit anti-PDK1 (1:2,000; cat. no. ab207450) (all Abcam), rabbit anti-AKT (1:500; cat. no. bs-2720R; BIOSS), rabbit anti-matrix metalloproteinase-1 (MMP-1) (1:1,000; cat. no. bs-4597R; BIOSS), Rabbit Anti-phosphorylated (p)-AKT (cat. no. bs-2720R; 1:1,000; BIOSS), Rabbit Anti p-PDK1 (cat. no. AF3018; 1:1,000; Affinity Biosciences) and Mouse Monoclonal Anti-GAPDH (cat. no. TA-08; 1:2,000; OrigeneTechnologies, Inc.) at 4°C overnight. Horseradish peroxidase-labeled secondary antibodies, including Goat Anti-Mouse IgG (H+L) (cat. no. ZB-2305) and Goat Anti-Rabbit IgG (H+L) (cat. no. ZB-2301) (both OrigeneTechnologies, Inc.), were used at 1:2,000 dilution and the membranes were incubated at room temperature for 2 h. GAPDH was used as the internal loading control. Signals were detected with the SuperSignal® west pico chemiluminescent substrate (Thermo Fisher Scientific Inc.), and band density was determined by ImageLab software v.5.2 125104 (Bio-Rad Laboratories Inc.).

Luciferase reporter assay

Wild-type lncRNA MEG3 3′-UTR and MDK 3′-UTR containing the putative binding sites of miR-9-5p (15,22) were amplified and inserted into the firefly luciferase reporter vector pmirGLO (Shanghai Enzyme Research Biotechnology Co., Ltd.). miR-9-5p mimic and miR-NC were synthesized by Universal biological systems (Anhui) Co., Ltd. The sequences of miR-9-5p mimic and the corresponding NC were: miR-9-5p mimic sense, 5′-UCUUUGGUUAUCUAGCUGUAUGA-3′, antisense, 5′-UCAUACAGCUAGAUAACCAAAGA-3′; NC: Sense, 5′-UCACAACCUCCUAGAAAGAGUAGA-3′, antisense, 5′-UCUACUCUUUCUAGGAGGUUGUGA-3′. Cells were co-transfected with the miR-NC/miR-9-5p mimic and the wild-type 3′-UTR of MDK or lncRNA MEG3 using Lipofectamine 3000® (Invitrogen; Thermo Fisher Scientific Inc.). Firefly and Renilla luciferase activities were detected 48 h later by the Dual-Luciferase Reporter Assay System (Beyotime Institute of Biotechnology) using the Dual Luciferase Reporter Gene Assay kit (Beyotime Institute of Biotechnology). The firefly luciferase activity was normalized to the Renilla luciferase activity for each individual analysis.

CCK8 assay

Cells were seeded at 1×104 cells/well in 96-well plates and maintained in RPMI-1640 medium at 37°C in an atmosphere of 5% CO2 for 48 h. Cell viability was measured using a CCK8 Kit (Nanjing KeyGen Biotech. Co. Ltd.) according to the manufacturer's instructions. Cells were incubated with the CCK8 reagent (10 µl) at 37°C for 1 h. Absorbance at 450 nm was measured using a Tecan Safire II Microplate Reader (Tecan Group Ltd.).

Cell cycle analysis using flow cytometry (FCM)

FCM analysis of the cell cycle of MHCC-97L cells was performed using a Cell Cycle Staining kit [MultiSciences (Lianke) Biotech Co., Ltd.] according to the manufacturer's instructions. The cell suspension was centrifuged at 978 × g for 3 min, and the cells were subsequently fixed in ethanol at 4°C for 2 h. After washing with PBS for 3 times, 1 ml of DNA staining solution (PI containing RNase A) was added to the tubes. The cells were incubated at room temperature in the dark for 30 min, and the cell cycle was analyzed using the NovoCyte 2060R flow cytometer (ACEA Biosciences, Inc.) with NovoExpress software v.1.2.5 (ACEA Biosciences, Inc.).

FCM analysis of cell apoptosis

Apoptosis rate of MHCC-97L cells was determined by FCM using an Annexin V-FITC/propidium iodide PI Apoptosis kit [MultiSciences (Lianke) Biotech Co., Ltd.]. Briefly, 1×106 cells were washed with cold PBS twice, and re-suspended in 300 µl binding buffer. After incubation with 3 µl Annexin V-FITC and 3 µl PI-PE at room temperature for 10 min in the dark, the cells were mixed with 200 µl binding buffer, and cell apoptosis rate was analyzed using a NovoCyte 2060R flow cytometer (ACEA Biosciences, Inc.) with NovoExpress software v.1.2.5 (ACEA Biosciences, Inc.). Early and late apoptosis were both analyzed.

Wound healing assay

MHCC-97L cells were grown in FBS free medium to ~100% confluence in 6-well plates following transfection. The confluent monolayers were scratched by using a 10 µl pipette tip, and then washed with PBS 3 times. Images were taken by an inverted fluorescence microscope (MF53; Guangzhou Mingmei Photoelectric Co., Ltd.) immediately or 24 h after wounding and migration was quantified. Migration rate was calculated as the migration distance divided by the migration time.

Statistical analyses

Statistical analyses were performed using SPSS v.19.0 (IBM, Corp.). Al experiments were performed at least 3 times. Experimental data were presented as the mean ± SD, and the statistical significance was assessed by one-way analysis of variance followed by the post hoc least significant difference (LSD) test. P<0.05 was considered to indicate a statistically significant difference.

Results

Effect of lncRNA MEG3 on HCC cell viability, apoptosis and migration

In preliminary experiments, the expression of lncRNA MEG3 was examined in 5 HCC cell lines and it was found that MHCC-97L had the lowest lncRNA MEG3 expression (data not shown). Therefore, the MHCC-97L cell line was chosen for subsequent gain-off-function experiments. lncRNA MEG3 overexpression vector was transfected into MHCC-97L cells to investigate the effect of lncRNA MEG3 on HCC cell viability, apoptosis and migration. As demonstrated in Fig. 1A, lncRNA MEG3 NC did not affect lncRNA MEG3 expression. Compared with the lncRNA MEG3 NC group, lncRNA MEG3 was significantly increased in the lncRNA MEG3 group (P<0.01; Fig. 1A). The effect of lncRNA MEG3 on cell viability was examined by the CCK8 assay and FCM. The results from CCK8 assay demonstrated that cell viability in the lncRNA MEG3 group was significantly decreased when compared with that in the lncRNA MEG3 NC group (P<0.01; Fig. 1B). FCM analysis of cell cycle demonstrated that the fraction of S-phase cells was significantly higher and the fraction of G2-phase cells was significantly lower in the lncRNA MEG3 group compared with the lncRNA MEG3 NC group (P<0.01; Fig. 1C and D). FCM analysis of cell apoptosis revealed that compared with the cells transfected with lncRNA MEG3 NC, cell apoptosis rate was significantly increased in the cells transfected with lncRNA MEG3 overexpression vector (P<0.01; Fig. 2). Wound healing assays were performed to examine the effect of lncRNA MEG3 on cell migration. The results demonstrated that compared with the lncRNA MEG3 NC group, cell migration was inhibited in the lncRNA MEG3 group (P<0.01; Fig. 3). Compared with the control group, lncRNA MEG3 NC did not show any effects on cell viability, apoptosis or migration (Figs. 1–3).

Figure 1.

Effect of lncRNA MEG3 on HCC cell viability. (A) Expression of lncRNA MEG3 in the cells transfected with the lncRNA MEG3 overexpression vector determined by RT-qPCR (n=5). (B) Cell viability determined by CCK8 assay. n=5. (C and D) Cell cycle analysis determined by flow cytometry. Cells in the control group were untransfected cells (n=3). *P<0.01 compared with the lncRNA MEG3 NC group. lncRNA, long non-coding RNA; MEG3, maternally expressed gene 3 (MEG3); HCC, hepatocellular carcinoma; NC, negative control; PI, propidium iodide; RT-q, reverse transcription-quantitative.

Figure 2.

Effect of lncRNA MEG3 on HCC cell apoptosis determined by flow cytometry. Cells in the control group were untransfected cells (n=3). *P<0.01 compared with the lncRNA MEG3 NC group. lncRNA, long non-coding RNA; MEG3, maternally expressed gene 3 (MEG3); HCC, hepatocellular carcinoma; NC, negative control; PI, propidium iodide.

Figure 3.

Effect of lncRNA MEG3 on HCC cell migration determined by wound healing assay. Cells in the control group were untransfected cells (n=3). *P<0.01 compared with the lncRNA MEG3 NC group. lncRNA, long non-coding RNA; MEG3, maternally expressed gene 3 (MEG3); HCC, hepatocellular carcinoma; NC, negative control.

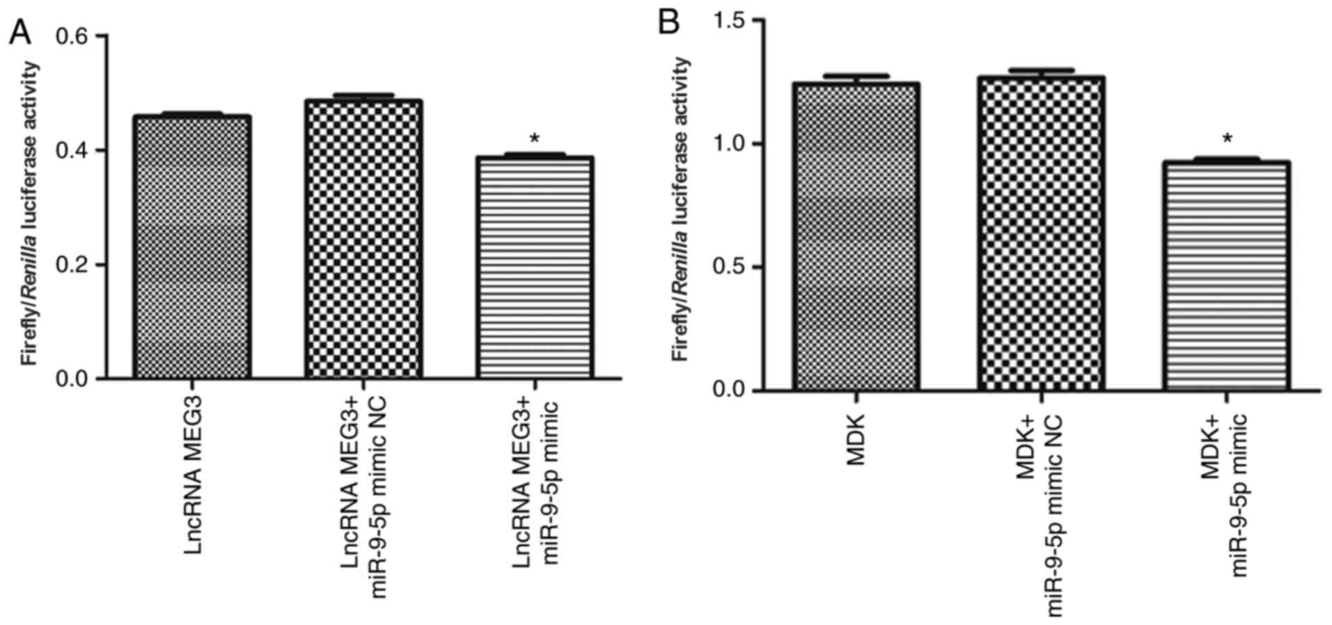
lncRNA MEG3 targets miR-9-5p and miR-9-5p targets MDK

Luciferase reporter assays were used to investigate whether lncRNA MEG3 targets miR-9-5p. As shown in Fig. 4A, compared with the lncRNA MEG3+miR-9-5p mimic NC group, the luciferase activity was significantly decreased in the lncRNA MEG3+miR-9-5p mimic group (P<0.01). In addition, whether MDK was a direct target of miR-9-5p was investigated. It was revealed that luciferase activity was significantly decreased in the MDK+miR-9-5p mimic group when compared with that in the MDK + miR-9-5p mimic NC group (P<0.01; Fig. 4B).

Figure 4.

Interaction between lncRNA MEG3, miR-9-5p and MDK determined by the dual luciferase reporter assay. (A) lncRNA MEG3 targets miR-9-5p. *P<0.01 compared with the lncRNA MEG3+miR-9-5p mimic NC group. (B) miR-9-5p targets MDK (n=3). *P<0.01 compared with the MDK+miR-9-5p mimic NC group. lncRNA, long non-coding RNA; MEG3, maternally expressed gene 3 (MEG3); NC, negative control; miR, microRNA; MDK, Midkine.

Effect of lncRNA MEG3 on the expression of miR-9-5p, MDK, apoptosis and migration-related proteins and PDK/AKT signaling

lncRNA MEG3 effect on miR-9-5p expression was determined by RT-qPCR analysis. As shown in Fig. 5A, compared with the lncRNA MEG3 NC group, miR-9-5p expression was significantly decreased in the lncRNA MEG3 group (P<0.01). The effect of lncRNA MEG3 on MDK expression was determined by western blotting and it was revealed that the relative protein level of MDK was significantly increased in the lncRNA MEG3 group when compared with that in the lncRNA MEG3 NC group (P<0.01; Fig. 5B and C). Western blotting also showed that the protein levels of caspase-3 and 9 were significantly upregulated in lncRNA MEG3-transfected cells compared with lncRNA MEG3 NC-transfected cells (P<0.01; Fig. 5B and C). Western blotting indicated that the expression level of MMP1 was significantly lower in the lncRNA MEG3-transfected cells compared with the lncRNA MEG3 NC-transfected cells (P<0.01; Fig. 5B and C). In order to verify the effect of lncRNA MEG3 on PDK/AKT signaling, western blotting was performed to examine p-PDK1 and p-AKT expression. Compared with the lncRNA MEG3 NC group, the protein expression of p-PDK1 and p-AKT was upregulated in the lncRNA MEG3 group (both P<0.01; Fig. 5B and D).

Figure 5.

Effect of lncRNA MEG3 on the expression of miR-9-5p, MDK, apoptosis and migration-related proteins, and PDK/AKT pathway activation. (A) Effect of lncRNA MEG3 on miR-9-5p expression. (B) Western blot images. (C) Relative protein expression of MDK, caspase-3, caspase-9 and MMP1 determined by western blotting. (D) Effect of lncRNA MEG3 on PDK/AKT signaling. Cells in the control group were untransfected cells (n=3). *P<0.01 compared with the lncRNA MEG3 NC group. lncRNA, long non-coding RNA; MEG3, maternally expressed gene 3 (MEG3); HCC, hepatocellular carcinoma; NC, negative control; miR, microRNA; MDK, Midkine; PDK1, phosphoinositide-dependent kinase 1, p, phosphorylated; MMP-1, matrix metalloproteinase 1.

Discussion

The pathogenesis of HCC is complex and numerous studies have demonstrated that lncRNAs are involved in the initiation, development and metastasis of HCC (24,25). Some studies have shown that MEG3 is significantly downregulated in HCC tissues compared with carcinoma-adjacent tissues (6,7). Restoring MEG3 expression in cancer cells can suppress cell proliferation, invasion as well as angiogenesis, and induce cell apoptosis (26,27). These studies indicated that MEG3 is one of the lncRNAs with tumor suppressor activity (28). In the present study, the MEG3 overexpression vector was transfected into MHCC-97L cells to investigate the effect of MEG3 on cell viability, apoptosis and migration in HCC. The findings of the present study demonstrated that MEG3 inhibited HCC cell viability and a large number of cells accumulated in the S phase. Similarly, He et al (29) confirmed that MEG3 overexpression suppressed clone formation of hepatoma cells. Caspase proteins serve important roles in the process of apoptosis (30). Caspase-9 is an initiator of apoptosis, and caspase-3 is the final executor of apoptosis (30). In the present study, compared with lncRNA MEG3 negative control, MEG3 overexpression led to increased caspase-3 and caspase-9 expression, as well as an increased cell apoptosis rate indicating that MEG3 promotes cell apoptosis. In addition, in the present study MMP1 expression was inhibited by MEG3 in MHCC-97L cells. MMP1 is involved in invasion and metastasis during the development of cancer, and high expression of MMP1 is associated with poor prognosis of patients with HCC (31). The wound healing assay results of the present study further verified the inhibitory effect of MEG3 on cell migration. These results of the present study were consistent with the previous studies (6,24), and suggested that MEG3 may be a tumor suppressor in HCC.

lncRNAs can serve as a kind of ceRNA to regulate target genes through interacting with miRNAs (32,33). Recent studies have clarified that lncRNA-miRNA-mRNA form a novel regulatory network in various pathophysiological processes, such as differention, growth, necrosis and autophagy (34,35). The role of MEG3 in cancers has been reported in several studies, in which the interaction between lncRNAs, miRNA and mRNA has been highlighted (36,37). In glioma, MEG3 inhibited the proliferation, migration and invasion of glioma cells by regulating miR-96-5p/MTSS I-BAR Domain Containing 1 (38). In multiple myeloma, MEG3 inhibited tumor progression through regulating the miR-181a/Homeobox A11 axis (39). Particularly, previous studies have suggested that MEG3/miR-9-5p is involved in regulating the progression of prostate cancer and esophageal cancer by targeting Quaking 5 and Forkhead Box O1 (15,16). Recently, a study by Liu et al (40) reported that MEG3 can serve as a ceRNA for miR-9-5p to mediate the development of HCC through upregulating SOX11. To further explore the molecular mechanisms underlying the role of MEG3 in HCC, the present study investigated whether MEG3 exerts its protective effects on HCC via regulating miR-9-5p/MDK axis. In the present study, to verify the targeting relationship between MEG3, miR-9-5p and MDK, a dual luciferase reporter assay was performed. Consistent with previous studies (15,40), MEG3 directly targeted miR-9-5p in the present study. Subsequently, the present study demonstrated that MDK is a direct target of miR-9-5p. This finding was in agreement with a previous study which demonstrated that exosomal miR-9 targets MDK in nasopharyngeal carcinoma (22). In addition, the present study revealed that the expression of miR-9-5p was downregulated, and the expression of MDK was upregulated by MEG3, indicating that MEG3 can regulate the miR-9-5p/MDK axis in HCC. The PDK/AKT signaling pathway has been suggested to be linked with MDK in angiogenesis, and MDK knockdown led to the inhibition of PDK1 and AKT in HUVECs (22). In the present study, the results revealed that the PDK/AKT pathway was activated by MEG3 in HCC. Altogether, the findings of the present study demonstrated that MEG3 targets the miR-9-5p/MDK axis and modulates PDK/AKT pathway in HCC.

In the present study, the MHCC-97L cell line was chosen for gain-off-function experiments. Indeed, using at least one other HCC cell line would make the present study more convincing. It is a limitation of the present study that only 1 cell line was used. lncRNA and miRNA may also have negative feedback regulation. Another limitation of the present study is that it only demonstrated the effect of lncRNA MEG3 overexpression on miR-9-5p, without reverse validation. The MHCC-97L cell line is representative of HCC cell lines in previous studies (41,42). Li et al (41) only selected the MHCC-97L cell line to investigate the effects of miR-34a-5p on proliferation and chemical resistance of HCC cells (41). To examine the role of TIMP Metallopeptidase Inhibitor 2 (TIMP2) in HCC metastasis, Kai et al (42) chose the MHCC-97L cell line for research and found that the ectopic expression of the TIMP2 open reading frame in highly metastatic HCC cell line MHCC-97L significantly reduced the progress of HCC. Future studies should continue investigating the effect of lncRNA MEG3 on HCC, and to further explore the related mechanisms in different HCC line cells.

In conclusion, the present study demonstrated that MEG3 affects HCC cell viability, apoptosis and migration through its targeting of miR-9-5p/MDK and regulation of the PDK/AKT pathway. The present study provided new insights into the molecular mechanisms of MEG3 in HCC, and suggested that the MEG3/miR-9-5p/MDK axis is a potential therapeutic target in HCC.

Acknowledgements

Not applicable.

Funding

This study was supported by the First-Class Discipline Construction Project in Guizhou Province [Chinese Pharmacy; grant no. (2017)008], Science and Technology Plan Project of Guizhou Province [grant no. (2017)1073], and Department of Science and Technology Qian Ke He Platform Talent of Guizhou [grant no. (2017) 5655].

Availability of data and materials

The data sets generated and analyzed during the present study are available from the corresponding author on reasonable request.

Authors' contributions

DW and QL designed the study, analyzed the data and prepared the manuscript. DW, ZM and DM conducted the experiments. All authors were substantially involved in the research, acquisition of data, analysis and manuscript preparation. DW and QL confirm the authenticity of all the raw data. All authors read and approved the final manuscript.

Ethics approval and consent to participate

Not applicable.

Patient consent for publication

Not applicable.

Competing interests

The authors declare that they have no competing interests.

References

1 

McGlynn KA, Petrick JL and London WT: Global epidemiology of hepatocellular carcinoma: An emphasis on demographic and regional variability. Clin Liver Dis. 19:223–238. 2015. View Article : Google Scholar : PubMed/NCBI

2 

Siegel RL, Miller KD and Jemal A: Cancer statistics, 2018. CA Cancer J Clin. 68:7–30. 2018. View Article : Google Scholar : PubMed/NCBI

3 

Bray F, Ferlay J, Soerjomataram I, Siegel RL, Torre LA and Jemal A: Global cancer statistics 2018: GLOBOCAN estimates of incidence and mortality worldwide for 36 cancers in 185 countries. CA Cancer J Clin. 68:394–424. 2018. View Article : Google Scholar : PubMed/NCBI

4 

Korean Liver Cancer Association, National Cancer Center, . 2018 Korean Liver Cancer Association-National Cancer Center Korea Practice Guidelines for the Management of Hepatocellular Carcinoma. Gut Liver. 13:227–299. 2019. View Article : Google Scholar : PubMed/NCBI

5 

Bhan A, Soleimani M and Mandal SS: Long noncoding RNA and cancer: A new paradigm. Cancer Res. 77:3965–3981. 2017. View Article : Google Scholar : PubMed/NCBI

6 

Zhang Y, Liu J, Lv Y, Zhang C and Guo S: lncRNA meg3 suppresses hepatocellular carcinoma in vitro and vivo studies. Am J Transl Res. 11:4089–4099. 2019.PubMed/NCBI

7 

Zhuo H, Tang J, Lin Z, Jiang R, Zhang X, Ji J, Wang P and Sun B: The aberrant expression of MEG3 regulated by UHRF1 predicts the prognosis of hepatocellular carcinoma. Mol Carcinog. 55:209–219. 2016. View Article : Google Scholar : PubMed/NCBI

8 

Bartel DP: MicroRNAs: Genomics, biogenesis, mechanism, and function. Cell. 116:281–297. 2004. View Article : Google Scholar : PubMed/NCBI

9 

Wu F, Yang Z and Li G: Role of specific microRNAs for endothelial function and angiogenesis. Biochem Biophys Res Commun. 386:549–553. 2009. View Article : Google Scholar : PubMed/NCBI

10 

Lopez-Urrutia E, Bustamante Montes LP, Ladron de Guevara Cervantes D, Perez-Plasencia C and Campos-Parra AD: Crosstalk between long non-coding RNAs, Micro-RNAs and mRNAs: Deciphering molecular mechanisms of master regulators in cancer. Front Oncol. 9:6692019. View Article : Google Scholar : PubMed/NCBI

11 

Tam C, Wong JH, Tsui SKW, Zuo T, Chan TF and Ng TB: lncRNAs with miRNAs in regulation of gastric, liver, and colorectal cancers: Updates in recent years. Appl Microbiol Biotechnol. 103:4649–4677. 2019. View Article : Google Scholar : PubMed/NCBI

12 

Snezhkina AV, Krasnov GS, Zhikrivetskaya SO, Karpova IY, Fedorova MS, Nyushko KM, Belyakov MM, Gnuchev NV, Sidorov DV, Alekseev BY, et al: Overexpression of microRNAs miR-9, −98, and −199 correlates with the downregulation of HK2 expression in colorectal cancer. Mol Biol (Mosk). 52:220–230. 2018.(In Russian). View Article : Google Scholar : PubMed/NCBI

13 

Zhou L, Fu L, Lv N, Chen XS, Liu J, Li Y, Xu QY, Huang S, Zhang XD, Dou LP, et al: A minicircuitry comprised of microRNA-9 and SIRT1 contributes to leukemogenesis in t(8;21) acute myeloid leukemia. Eur Rev Med Pharmacol Sci. 21:786–794. 2017.PubMed/NCBI

14 

Tsai KW, Liao YL, Wu CW, Hu LY, Li SC, Chan WC, Ho MR, Lai CH, Kao HW, Fang WL, et al: Aberrant hypermethylation of miR-9 genes in gastric cancer. Epigenetics. 6:1189–1197. 2011. View Article : Google Scholar : PubMed/NCBI

15 

Wu M, Huang Y, Chen T, Wang W, Yang S, Ye Z and Xi X: lncRNA MEG3 inhibits the progression of prostate cancer by modulating miR-9-5p/QKI-5 axis. J Cell Mol Med. 23:29–38. 2019. View Article : Google Scholar : PubMed/NCBI

16 

Dong Z, Zhang A, Liu S, Lu F, Guo Y, Zhang G, Xu F, Shi Y, Shen S, Liang J and Guo W: Aberrant methylation-mediated silencing of lncRNA MEG3 functions as a ceRNA in esophageal cancer. Mol Cancer Res. 15:800–810. 2017. View Article : Google Scholar : PubMed/NCBI

17 

Kretschmer PJ, Fairhurst JL, Decker MM, Chan CP, Gluzman Y, Böhlen P and Kovesdi I: Cloning, characterization and developmental regulation of two members of a novel human gene family of neurite outgrowth-promoting proteins. Growth Factors. 5:99–114. 1991. View Article : Google Scholar : PubMed/NCBI

18 

Filippou PS, Karagiannis GS and Constantinidou A: Midkine (MDK) growth factor: A key player in cancer progression and a promising therapeutic target. Oncogene. 39:2040–2054. 2020. View Article : Google Scholar : PubMed/NCBI

19 

Wang F, Shan S, Huo Y, Xie Z, Fang Y, Qi Z, Chen F, Li Y and Sun B: miR-155-5p inhibits PDK1 and promotes autophagy via the mTOR pathway in cervical cancer. Int J Biochem Cell Biol. 99:91–99. 2018. View Article : Google Scholar : PubMed/NCBI

20 

Meng F, Zhang Y, Li X, Wang J and Wang Z: Clinical significance of miR-138 in patients with malignant melanoma through targeting of PDK1 in the PI3K/AKT autophagy signaling pathway. Oncol Rep. 38:1655–1662. 2017. View Article : Google Scholar : PubMed/NCBI

21 

Chuang CK, Lin HCA, Tasi HY, Lee KH, Kao Y, Chuang FL, Chang YH, Lin PH, Liu CY and Pang ST: Clinical presentations and molecular studies of invasive renal epithelioid angiomyolipoma. Int Urol Nephrol. 49:1527–1536. 2017. View Article : Google Scholar : PubMed/NCBI

22 

Lu J, Liu QH, Wang F, Tan JJ, Deng YQ, Peng XH, Liu X, Zhang B, Xu X and Li XP: Exosomal miR-9 inhibits angiogenesis by targeting MDK and regulating PDK/AKT pathway in nasopharyngeal carcinoma. J Exp Clin Cancer Res. 37:1472018. View Article : Google Scholar : PubMed/NCBI

23 

Livak KJ and Schmittgen TD: Analysis of relative gene expression data using real-time quantitative PCR and the 2(-Delta Delta C(T)) method. Methods. 25:402–408. 2001. View Article : Google Scholar : PubMed/NCBI

24 

Abbastabar M, Sarfi M, Golestani A and Khalili E: lncRNA involvement in hepatocellular carcinoma metastasis and prognosis. EXCLI J. 17:900–913. 2018.PubMed/NCBI

25 

Huang Z, Zhou JK, Peng Y, He W and Huang C: The role of long noncoding RNAs in hepatocellular carcinoma. Mol Cancer. 19:772020. View Article : Google Scholar : PubMed/NCBI

26 

Wei GH and Wang X: lncRNA MEG3 inhibit proliferation and metastasis of gastric cancer via p53 signaling pathway. Eur Rev Med Pharmacol Sci. 21:3850–3856. 2017.PubMed/NCBI

27 

Zhang CY, Yu MS, Li X, Zhang Z, Han CR and Yan B: Overexpression of long non-coding RNA MEG3 suppresses breast cancer cell proliferation, invasion, and angiogenesis through AKT pathway. Tumour Biol. 39:10104283177013112017.PubMed/NCBI

28 

Zhou Y, Zhang X and Klibanski A: MEG3 noncoding RNA: A tumor suppressor. J Mol Endocrinol. 48:R45–R53. 2012. View Article : Google Scholar : PubMed/NCBI

29 

He JH, Han ZP, Liu JM, Zhou JB, Zou MX, Lv YB, Li YG and Cao MR: Overexpression of long non-coding RNA meg3 inhibits proliferation of hepatocellular carcinoma Huh7 Cells via negative modulation of miRNA-664. J Cell Biochem. 118:3713–3721. 2017. View Article : Google Scholar : PubMed/NCBI

30 

Liu H, Zhou Y and Tang L: Caffeine induces sustained apoptosis of human gastric cancer cells by activating the caspase-9/caspase-3 signalling pathway. Mol Med Rep. 16:2445–2454. 2017. View Article : Google Scholar : PubMed/NCBI

31 

Altadill A, Rodríguez M, González LO, Junquera S, Corte MD, González-Dieguez ML, Linares A, Barbón E, Fresno-Forcelledo M, Rodrigo L and Vizoso FJ: Liver expression of matrix metalloproteases and their inhibitors in hepatocellular carcinoma. Dig Liver Dis. 41:740–748. 2009. View Article : Google Scholar : PubMed/NCBI

32 

Veneziano D, Marceca GP, Di Bella S, Nigita G, Distefano R and Croce CM: Investigating miRNA-lncRNA interactions: Computational tools and resources. Methods Mol Biol. 1970:251–277. 2019. View Article : Google Scholar : PubMed/NCBI

33 

Wang X, Su R, Guo Q, Liu J, Ruan B and Wang G: Competing endogenous RNA (ceRNA) hypothetic model based on comprehensive analysis of long non-coding RNA expression in lung adenocarcinoma. PeerJ. 7:e80242019. View Article : Google Scholar : PubMed/NCBI

34 

Huang Y: The novel regulatory role of lncRNA-miRNA-mRNA axis in cardiovascular diseases. J Cell Mol Med. 22:5768–5775. 2018. View Article : Google Scholar : PubMed/NCBI

35 

Chen K, Ma Y, Wu S, Zhuang Y, Liu X, Lv L and Zhang G: Construction and analysis of a lncRNA-miRNA-mRNA network based on competitive endogenous RNA reveals functional lncRNAs in diabetic cardiomyopathy. Mol Med Rep. 20:1393–1403. 2019.PubMed/NCBI

36 

Zhu D, Xiao Z, Wang Z, Hu B, Duan C, Zhu Z, Gao N, Zhu Y and Wang H: MEG3/MIR-376B-3P/HMGA2 axis is involved in pituitary tumor invasiveness. J Neurosurg. 2020.(Ahead of print).

37 

Lu WX: Long non-coding RNA MEG3 represses cholangiocarcinoma by regulating miR-361-5p/TRAF3 axis. Eur Rev Med Pharmacol Sci. 23:7356–7368. 2019.PubMed/NCBI

38 

Zhang S and Guo W: Long non-coding RNA MEG3 suppresses the growth of glioma cells by regulating the miR-96-5p/MTSS1 signaling pathway. Mol Med Rep. 20:4215–4225. 2019.PubMed/NCBI

39 

Shen X, Bai H, Zhu H, Yan Q, Yang Y, Yu W, Shi Q, Wang J, Li J and Chen L: Long non-coding RNA MEG3 functions as a competing endogenous RNA to regulate HOXA11 expression by sponging miR-181a in multiple myeloma. Cell Physiol Biochem. 49:87–100. 2018. View Article : Google Scholar : PubMed/NCBI

40 

Liu Z, Chen JY, Zhong Y, Xie L and Li JS: lncRNA MEG3 inhibits the growth of hepatocellular carcinoma cells by sponging miR-9-5p to upregulate SOX11. Braz J Med Biol Res. 52:e86312019. View Article : Google Scholar : PubMed/NCBI

41 

Li XY, Wen JY, Jia CC, Wang TT, Li X, Dong M, Lin QU, Chen ZH, Ma XK, Wei LI, et al: MicroRNA-34a-5p enhances sensitivity to chemotherapy by targeting AXL in hepatocellular carcinoma MHCC-97L cells. Oncol Lett. 10:2691–2698. 2015. View Article : Google Scholar : PubMed/NCBI

42 

Kai AK, Chan LK, Lo RC, Lee JM, Wong CC, Wong JC and Ng IO: Down-regulation of TIMP2 by HIF-1α/miR-210/HIF-3α regulatory feedback circuit enhances cancer metastasis in hepatocellular carcinoma. Hepatology. 64:473–487. 2016. View Article : Google Scholar : PubMed/NCBI

Related Articles

  • Abstract
  • View
  • Download
  • Twitter
Copy and paste a formatted citation
Spandidos Publications style
Wu D, Ma Z, Ma D and Li Q: Long non‑coding RNA maternally expressed gene 3 affects cell proliferation, apoptosis and migration by targeting the microRNA‑9‑5p/midkine axis and activating the phosphoinositide‑dependent kinase/AKT pathway in hepatocellular carcinoma. Oncol Lett 21: 345, 2021.
APA
Wu, D., Ma, Z., Ma, D., & Li, Q. (2021). Long non‑coding RNA maternally expressed gene 3 affects cell proliferation, apoptosis and migration by targeting the microRNA‑9‑5p/midkine axis and activating the phosphoinositide‑dependent kinase/AKT pathway in hepatocellular carcinoma. Oncology Letters, 21, 345. https://doi.org/10.3892/ol.2021.12606
MLA
Wu, D., Ma, Z., Ma, D., Li, Q."Long non‑coding RNA maternally expressed gene 3 affects cell proliferation, apoptosis and migration by targeting the microRNA‑9‑5p/midkine axis and activating the phosphoinositide‑dependent kinase/AKT pathway in hepatocellular carcinoma". Oncology Letters 21.5 (2021): 345.
Chicago
Wu, D., Ma, Z., Ma, D., Li, Q."Long non‑coding RNA maternally expressed gene 3 affects cell proliferation, apoptosis and migration by targeting the microRNA‑9‑5p/midkine axis and activating the phosphoinositide‑dependent kinase/AKT pathway in hepatocellular carcinoma". Oncology Letters 21, no. 5 (2021): 345. https://doi.org/10.3892/ol.2021.12606
Copy and paste a formatted citation
x
Spandidos Publications style
Wu D, Ma Z, Ma D and Li Q: Long non‑coding RNA maternally expressed gene 3 affects cell proliferation, apoptosis and migration by targeting the microRNA‑9‑5p/midkine axis and activating the phosphoinositide‑dependent kinase/AKT pathway in hepatocellular carcinoma. Oncol Lett 21: 345, 2021.
APA
Wu, D., Ma, Z., Ma, D., & Li, Q. (2021). Long non‑coding RNA maternally expressed gene 3 affects cell proliferation, apoptosis and migration by targeting the microRNA‑9‑5p/midkine axis and activating the phosphoinositide‑dependent kinase/AKT pathway in hepatocellular carcinoma. Oncology Letters, 21, 345. https://doi.org/10.3892/ol.2021.12606
MLA
Wu, D., Ma, Z., Ma, D., Li, Q."Long non‑coding RNA maternally expressed gene 3 affects cell proliferation, apoptosis and migration by targeting the microRNA‑9‑5p/midkine axis and activating the phosphoinositide‑dependent kinase/AKT pathway in hepatocellular carcinoma". Oncology Letters 21.5 (2021): 345.
Chicago
Wu, D., Ma, Z., Ma, D., Li, Q."Long non‑coding RNA maternally expressed gene 3 affects cell proliferation, apoptosis and migration by targeting the microRNA‑9‑5p/midkine axis and activating the phosphoinositide‑dependent kinase/AKT pathway in hepatocellular carcinoma". Oncology Letters 21, no. 5 (2021): 345. https://doi.org/10.3892/ol.2021.12606
Follow us
  • Twitter
  • LinkedIn
  • Facebook
About
  • Spandidos Publications
  • Careers
  • Cookie Policy
  • Privacy Policy
How can we help?
  • Help
  • Live Chat
  • Contact
  • Email to our Support Team