Spandidos Publications Logo
  • About
    • About Spandidos
    • Aims and Scopes
    • Abstracting and Indexing
    • Editorial Policies
    • Reprints and Permissions
    • Job Opportunities
    • Terms and Conditions
    • Contact
  • Journals
    • All Journals
    • Oncology Letters
      • Oncology Letters
      • Information for Authors
      • Editorial Policies
      • Editorial Board
      • Aims and Scope
      • Abstracting and Indexing
      • Bibliographic Information
      • Archive
    • International Journal of Oncology
      • International Journal of Oncology
      • Information for Authors
      • Editorial Policies
      • Editorial Board
      • Aims and Scope
      • Abstracting and Indexing
      • Bibliographic Information
      • Archive
    • Molecular and Clinical Oncology
      • Molecular and Clinical Oncology
      • Information for Authors
      • Editorial Policies
      • Editorial Board
      • Aims and Scope
      • Abstracting and Indexing
      • Bibliographic Information
      • Archive
    • Experimental and Therapeutic Medicine
      • Experimental and Therapeutic Medicine
      • Information for Authors
      • Editorial Policies
      • Editorial Board
      • Aims and Scope
      • Abstracting and Indexing
      • Bibliographic Information
      • Archive
    • International Journal of Molecular Medicine
      • International Journal of Molecular Medicine
      • Information for Authors
      • Editorial Policies
      • Editorial Board
      • Aims and Scope
      • Abstracting and Indexing
      • Bibliographic Information
      • Archive
    • Biomedical Reports
      • Biomedical Reports
      • Information for Authors
      • Editorial Policies
      • Editorial Board
      • Aims and Scope
      • Abstracting and Indexing
      • Bibliographic Information
      • Archive
    • Oncology Reports
      • Oncology Reports
      • Information for Authors
      • Editorial Policies
      • Editorial Board
      • Aims and Scope
      • Abstracting and Indexing
      • Bibliographic Information
      • Archive
    • Molecular Medicine Reports
      • Molecular Medicine Reports
      • Information for Authors
      • Editorial Policies
      • Editorial Board
      • Aims and Scope
      • Abstracting and Indexing
      • Bibliographic Information
      • Archive
    • World Academy of Sciences Journal
      • World Academy of Sciences Journal
      • Information for Authors
      • Editorial Policies
      • Editorial Board
      • Aims and Scope
      • Abstracting and Indexing
      • Bibliographic Information
      • Archive
    • International Journal of Functional Nutrition
      • International Journal of Functional Nutrition
      • Information for Authors
      • Editorial Policies
      • Editorial Board
      • Aims and Scope
      • Abstracting and Indexing
      • Bibliographic Information
      • Archive
    • International Journal of Epigenetics
      • International Journal of Epigenetics
      • Information for Authors
      • Editorial Policies
      • Editorial Board
      • Aims and Scope
      • Abstracting and Indexing
      • Bibliographic Information
      • Archive
    • Medicine International
      • Medicine International
      • Information for Authors
      • Editorial Policies
      • Editorial Board
      • Aims and Scope
      • Abstracting and Indexing
      • Bibliographic Information
      • Archive
  • Articles
  • Information
    • Information for Authors
    • Information for Reviewers
    • Information for Librarians
    • Information for Advertisers
    • Conferences
  • Language Editing
Spandidos Publications Logo
  • About
    • About Spandidos
    • Aims and Scopes
    • Abstracting and Indexing
    • Editorial Policies
    • Reprints and Permissions
    • Job Opportunities
    • Terms and Conditions
    • Contact
  • Journals
    • All Journals
    • Biomedical Reports
      • Information for Authors
      • Editorial Policies
      • Editorial Board
      • Aims and Scope
      • Abstracting and Indexing
      • Bibliographic Information
      • Archive
    • Experimental and Therapeutic Medicine
      • Information for Authors
      • Editorial Policies
      • Editorial Board
      • Aims and Scope
      • Abstracting and Indexing
      • Bibliographic Information
      • Archive
    • International Journal of Epigenetics
      • Information for Authors
      • Editorial Policies
      • Editorial Board
      • Aims and Scope
      • Abstracting and Indexing
      • Bibliographic Information
      • Archive
    • International Journal of Functional Nutrition
      • Information for Authors
      • Editorial Policies
      • Editorial Board
      • Aims and Scope
      • Abstracting and Indexing
      • Bibliographic Information
      • Archive
    • International Journal of Molecular Medicine
      • Information for Authors
      • Editorial Policies
      • Editorial Board
      • Aims and Scope
      • Abstracting and Indexing
      • Bibliographic Information
      • Archive
    • International Journal of Oncology
      • Information for Authors
      • Editorial Policies
      • Editorial Board
      • Aims and Scope
      • Abstracting and Indexing
      • Bibliographic Information
      • Archive
    • Medicine International
      • Information for Authors
      • Editorial Policies
      • Editorial Board
      • Aims and Scope
      • Abstracting and Indexing
      • Bibliographic Information
      • Archive
    • Molecular and Clinical Oncology
      • Information for Authors
      • Editorial Policies
      • Editorial Board
      • Aims and Scope
      • Abstracting and Indexing
      • Bibliographic Information
      • Archive
    • Molecular Medicine Reports
      • Information for Authors
      • Editorial Policies
      • Editorial Board
      • Aims and Scope
      • Abstracting and Indexing
      • Bibliographic Information
      • Archive
    • Oncology Letters
      • Information for Authors
      • Editorial Policies
      • Editorial Board
      • Aims and Scope
      • Abstracting and Indexing
      • Bibliographic Information
      • Archive
    • Oncology Reports
      • Information for Authors
      • Editorial Policies
      • Editorial Board
      • Aims and Scope
      • Abstracting and Indexing
      • Bibliographic Information
      • Archive
    • World Academy of Sciences Journal
      • Information for Authors
      • Editorial Policies
      • Editorial Board
      • Aims and Scope
      • Abstracting and Indexing
      • Bibliographic Information
      • Archive
  • Articles
  • Information
    • For Authors
    • For Reviewers
    • For Librarians
    • For Advertisers
    • Conferences
  • Language Editing
Login Register Submit
  • This site uses cookies
  • You can change your cookie settings at any time by following the instructions in our Cookie Policy. To find out more, you may read our Privacy Policy.

    I agree
Search articles by DOI, keyword, author or affiliation
Search
Advanced Search
presentation
Oncology Letters
Join Editorial Board Propose a Special Issue
Print ISSN: 1792-1074 Online ISSN: 1792-1082
Journal Cover
June-2022 Volume 23 Issue 6

Full Size Image

Sign up for eToc alerts
Recommend to Library

Journals

International Journal of Molecular Medicine

International Journal of Molecular Medicine

International Journal of Molecular Medicine is an international journal devoted to molecular mechanisms of human disease.

International Journal of Oncology

International Journal of Oncology

International Journal of Oncology is an international journal devoted to oncology research and cancer treatment.

Molecular Medicine Reports

Molecular Medicine Reports

Covers molecular medicine topics such as pharmacology, pathology, genetics, neuroscience, infectious diseases, molecular cardiology, and molecular surgery.

Oncology Reports

Oncology Reports

Oncology Reports is an international journal devoted to fundamental and applied research in Oncology.

Experimental and Therapeutic Medicine

Experimental and Therapeutic Medicine

Experimental and Therapeutic Medicine is an international journal devoted to laboratory and clinical medicine.

Oncology Letters

Oncology Letters

Oncology Letters is an international journal devoted to Experimental and Clinical Oncology.

Biomedical Reports

Biomedical Reports

Explores a wide range of biological and medical fields, including pharmacology, genetics, microbiology, neuroscience, and molecular cardiology.

Molecular and Clinical Oncology

Molecular and Clinical Oncology

International journal addressing all aspects of oncology research, from tumorigenesis and oncogenes to chemotherapy and metastasis.

World Academy of Sciences Journal

World Academy of Sciences Journal

Multidisciplinary open-access journal spanning biochemistry, genetics, neuroscience, environmental health, and synthetic biology.

International Journal of Functional Nutrition

International Journal of Functional Nutrition

Open-access journal combining biochemistry, pharmacology, immunology, and genetics to advance health through functional nutrition.

International Journal of Epigenetics

International Journal of Epigenetics

Publishes open-access research on using epigenetics to advance understanding and treatment of human disease.

Medicine International

Medicine International

An International Open Access Journal Devoted to General Medicine.

Journal Cover
June-2022 Volume 23 Issue 6

Full Size Image

Sign up for eToc alerts
Recommend to Library

  • Article
  • Citations
    • Cite This Article
    • Download Citation
    • Create Citation Alert
    • Remove Citation Alert
    • Cited By
  • Similar Articles
    • Related Articles (in Spandidos Publications)
    • Similar Articles (Google Scholar)
    • Similar Articles (PubMed)
  • Download PDF
  • Download XML
  • View XML
Article

Comparison of different lymph node staging systems for predicting prognosis in patients with colon cancer who have undergone surgical resection

  • Authors:
    • Anna Madej‑Mierzwa
    • Mariusz Szajewski
    • Wiesław Janusz Kruszewski
  • View Affiliations / Copyright

    Affiliations: Department of Oncological Surgery, Gdynia Centre of Oncology, Pomeranian Hospitals, Gdynia 81‑519, Poland
  • Article Number: 176
    |
    Published online on: April 14, 2022
       https://doi.org/10.3892/ol.2022.13296
  • Expand metrics +
Metrics: Total Views: 0 (Spandidos Publications: | PMC Statistics: )
Metrics: Total PDF Downloads: 0 (Spandidos Publications: | PMC Statistics: )
Cited By (CrossRef): 0 citations Loading Articles...

This article is mentioned in:



Abstract

At present, the most widely used lymph node (LN) staging system in colon cancer is number of metastatic LNs in pathological assessment (pN) from the 8th edition of the TNM American Joint Committee on Cancer/Union for International Cancer Control staging system, which considers the number of metastatic LNs, omitting the total number of dissected LNs. The aim of the present study was to compare the prognostic performance of pN with alternative LN staging systems, including LN ratio (LNR) and log odds of positive LNs (LODDS). The clinical and histopathological data of 298 patients with colon cancer who underwent elective surgical resection in a single surgical centre were analysed. LNR and LODDS cut‑off values according to two previous studies were selected to separate patients into different subgroups. Univariate and multivariate analyses were performed to distinguish prognostic factors. The three‑step multivariate analysis showed that LNR was a superior prognostic indicator compared with pN and LODDS. Additionally, the Akaike Information Criterion, a measure of the relative quality of statistical models, confirmed that LNR displayed the best prognostic performance. Similarly, in a subpopulation of patients with number of dissected LNs (NDLN) ≥12, LNR was the most accurate LN staging system in relation to prognosis. In a subpopulation with NDLN <12, there was no significant difference in LN classification prognosis of 5‑year overall survival; however, LNR and LODDS were more independent of NDLN than pN. Among the three LN classifications, LNR is the most accurate LN staging system for predicting prognosis for patients with colon cancer who have undergone surgical resection, particularly those with metastatic LNs subjected to adequate lymphadenectomy.

Introduction

Lymph node (LN) status is a key prognostic factor in colon cancer (1). Staging accuracy and prognosis improve with increased numbers of dissected and examined LNs, both in stage II and III colon cancer (2). At present, the most widely used LN staging system is number of metastatic LNs in pathological assessment (pN) from the 8th edition of the TNM American Joint Committee on Cancer/Union for International Cancer Control (AJCC/UICC) staging system, which takes into account the number of metastatic LNs (3). To evaluate LN status, the AJCC/UICC guidelines recommend resection and assessment of ≥12 LNs. Nevertheless, as reported by numerous studies, the LN yield from a colectomy varies and may not be sufficient to meet these recommendations (4,5); this is because LN yield depends on various factors, such as surgical technique and differences in pathological procedure for obtaining LNs from the specimen (5,6).

Evaluation of LN status based only on the number of metastatic LNs and omitting the total number of dissected LNs (as in pN) may be insufficient and lead to understaging. For that reason, two novel systems analysing not only the number of positive LNs, but also number of dissected LNs (NDLNs) were developed: LN ratio (LNR) (7) and log odds of positive LNs (LODDS) (8). LNR is the ratio of positive LNs divided by the total number of dissected LNs, which reflects the probability of metastatic LNs in the LN yield. LNR has been reported to be a strong independent prognostic factor in rectal and colon cancer (9,10), as well as multiple types of solid malignant tumors, such as breast, pancreatic, gastric, lung and bladder cancer (11–14). LODDS is another LN staging system that has been proved to be a strong prognostic factor in colon and rectal cancer (8,15–17). This staging system is particularly useful for patients without metastases to regional LNs. In patients with node-negative cancer, LNR is zero and does not provide any additional information in comparison with pN0 from TNM classification, whereas LODDS may stratify patients according to prognosis in this group (15–17).

The aim of the present study was to compare three LN staging systems in patients with colon cancer who underwent elective tumour resection.

Materials and methods

Patients

The present study recruited 298 patients who were operated on between September 2006 and May 2014 in the Department of Oncological Surgery, Gdynia Centre of Oncology, Pomeranian Hospitals, Poland. The inclusion criteria were as follows: Patients aged >18 years; histologically proven adenocarcinoma of the colon; curative surgical tumor resection and minimal follow-up period of 65 months or until death. Patients with in situ disease, other malignancy, lack of complete information about LN status or follow-up and neoadjuvant treatment were excluded. The present study was approved by the Independent Ethics Committee of the Regional Medical Chamber in Gdańsk (approval no. KB-2/20). Because of the retrospective design of the study based on data analysis, the requirement for informed consent was waived. The patient data included age at diagnosis, sex, primary tumor site, details of surgical procedure, pathological grade (G), postoperative tumor staging (pT stage), presence of distant metastasis (M stage), number of retrieved LNs, number of metastatic LNs (pN stage) and follow-up. The follow-up of all investigated cases proceeded until death or October 2019. The caecum, ascending colon, hepatic flexure and proximal two-thirds of the transverse colon were defined as the right colon. The distal one-third of the transverse colon, splenic flexure, descending colon, sigmoid and rectosigmoid junction were defined as the left colon. In some cases, groups were combined due to minor abundance (e.g., pT1 + pT2, pT3 + pT4, G1 + G2 and G3 + G4). The clinical and histopathological characteristics of the study population are presented in Table I.

Table I.

Univariate survival analysis.

Table I.

Univariate survival analysis.

Parametern5-year OS probabilityP-value
Age, years (median, 71 years) 0.0005
  ≤711560.75
  >711420.57
Sex
  Female1430.690.5000
  Male1550.65
Location 0.4000
  Right colon1380.68
  Left colon1600.65
Depth of invasion, pT 0.0200
  1 + 2500.80
  3 + 4a + 4b2480.64
pN <0.0001
  pN01810.80
  pN1a270.66
  pN1b490.46
  pN2a170.35
  pN2b240.29
LNR <0.0001
  LNR01820.80
  LNR1510.62
  LNR2320.43
  LNR3210.33
  LNR4120.08
LODDS <0.0001
  LODDS11900.79
  LODDS2780.55
  LODDS3300.23
Distant metastasis <0.0001
  M02740.71
  M1a + 1b + 1c240.20
Number of nodes retrieved by lymphadenectomy 0.1000
  <121230.62
  ≥121750.70
World Health Organization histological grade 0.0200
  G1 + G22640.69
  G3 + G4340.50

[i] pN, pN from pTNM; LODDS, Log odds of positive lymph nodes; LNR, lymph node ratio.

Definition of LN classifications

LN status according to pN from TNM staging system is defined by the number of metastatic LNs (Table II) (3).

Table II.

Classification of LN staging systems.

Table II.

Classification of LN staging systems.

A, pN

StageValue (number of metastatic LN)
pN00
pN1a1
pN1b2-3
pN1cNo metastatic LN but there are tumor deposits
pN2a4-6
pN2b≥7

B, LNR

StageValues

LNR00.00
LNR10.01-0.17
LNR20.18-0.41
LNR30.42-0.69
LNR4≥0.70

C, LODDS

StageValues

LODDS1<-2.18
LODDS2-(2.18-0.23)
LODDS3>-0.23

[i] The pN classification was obtained from 8th edition of the TNM American Joint Committee on Cancer/Union for International Cancer Control. LNR classification was obtained from Rosenberg et al (9) LODDS classification was obtained from Zhang et al (20) LN, lymph node; LNR, LN ratio; LODDS, log odds of positive LNs.

LNR is defined as the ratio of metastatic to examined LNs. Previous studies used distinct methods to determine LNR cut-off values to discriminate patients by their prognosis, with only a few studies using statistical methods (9,16,18). The majority of previous studies used quartiles, mean values or arbitrary classification. The present study used cut-off values developed by Rosenberg et al (9), which were established using statistical methods (classification and regression trees technique) and evaluated using a large population of patients with colorectal cancer (n=17,309) (19). This classification divides patients into five subgroups according to LNR (Table II).

LODDS is the log of the ratio between the numbers of positive and negative LNs: loge [(pN + 0.5)/(nN + 0.5)], where pN is the number of positive LNs and nN is the number of negative LNs and 0.5 is added to both the numerator and denominator to avoid an infinite value. In the present study, cut-off values determined statistically by Zhang et al (20) using a large group of patients (n=240,898) were used to stratify the patients. The prognostic cut-off values were determined as −2.18 and −0.23 and subgroups are presented in Table II.

Statistical analysis

Statistical analysis was performed using Statistica (version 13; TIBCO Software, Inc.). Pearson's χ2 test was performed to evaluate the association between clinical and histopathological parameters and investigate the LN staging systems. Univariate analysis of survival was performed using the Kaplan-Meier method and differences in survival rates between subgroups were compared using log-rank test. The end point of the present study was 5-year overall survival (OS). A multivariate analysis was conducted using the Cox proportional hazard model. The three-step multivariate analysis was applied to assess the prognostic discriminating power of different LN staging systems. In step one, all relevant factors from the univariate analysis were encompassed, including pN, but excluding LNR and LODDS. In step 2, LODDS was added, but not LNR. In step 3, all three LN classifications were included. Additionally, Akaike Information Criterion (AIC) was used to assess which model fit best. Principally, the predictive model with the lowest AIC displayed the best fit. The correlation between different LN classifications was analysed using Pearson correlation coefficient. P<0.05 was considered to indicate a statistically significant difference.

Results

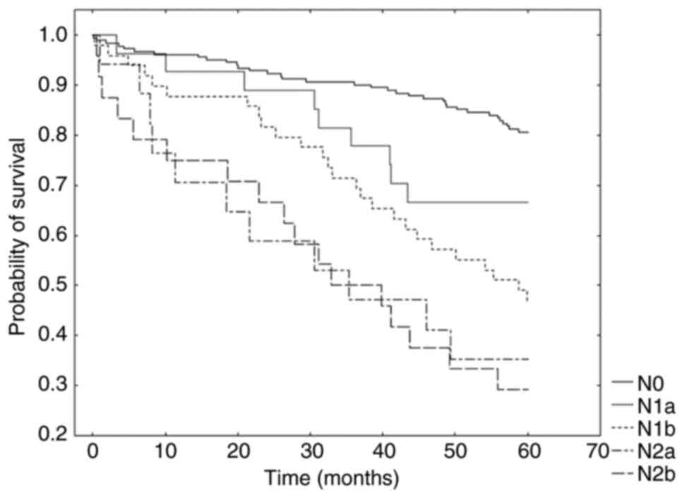
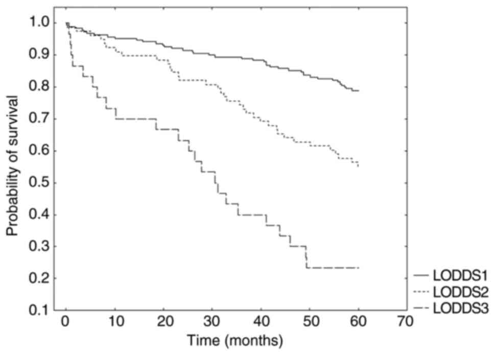
The results of the univariate analysis of survival and 5-year OS rates are presented in Table I. Age (>71 years), pT, M stage and pathological grade were significantly negatively associated with patient prognosis. Furthermore, the analysis demonstrated a significant association between increasing number of metastatic LN and worse prognosis (Fig. 1); this was also observed for increasing LNR (Fig. 2) and increasing LODDS (Fig. 3). Multivariate analysis was performed in three steps. In step 1 (Model 1), pN was identified as an independent prognostic factor. In step 2 (Model 2), when LODDS was added, pN was displaced by LODDS, which became a significant independent prognostic factor in relation to prognosis. In step 3 (Model 3), when all three classifications were included, pN and LODDS were replaced by LNR. The results of the multivariate analysis are shown in Table III. Additionally, the AIC confirmed that the LNR staging system displayed the best performance in relation to prognosis among all three classifications (AIC for Model 1, 2 and 3, 1012.022, 1010.827 and 1004.578, respectively). The scatter plots of the correlation between different LN classifications are presented in Figs. 4 and 5. Patients with the same number of metastatic LNs can be assigned to different LNR values (r=0.77, P<0.001) (Fig. 4). LODDS and LNR were closely correlated (r=0.9, P<0.001), despite the situation when LNR is close to 0 or 1. In this case the value of LODDS is still heterogeneous (Fig. 5).

Figure 1.

Kaplan-Meier curves of 5-year overall survival for patients stratified by pN, according to pTNM 8th edition American Joint Committee on Cancer/Union for International Cancer Control staging system.

Figure 2.

Kaplan-Meier curves of 5-year overall survival for patients stratified by LNR. LNR, lymph node ratio.

Figure 3.

Kaplan-Meier curves of 5-year overall survival for patients stratified by LODDS. LODDS, log odds of positive LNs.

Figure 4.

Scatter plot of the distribution of LNR vs. number of metastatic LNs (r=0.77, P<0.001). LN, lymph node; LNR, LN ratio.

Figure 5.

Scatter plot of the distribution of LNR vs. LODDS (r=0.9, P<0.001). LNR, lymph node ratio; LODDS, log odds of positive lymph nodes.

Table III.

Three-step multivariate analysis (Cox proportional hazards model).

Table III.

Three-step multivariate analysis (Cox proportional hazards model).

Model 1Model 2Model 3



ParameterHR95% CIP-valueHR95% CIP-valueHR95% CIP-value
Median age, years0.45−1.220–0.3800.00010.40−1.330–0.480<0.00010.37−1.410–0.550<0.0001
World Health1.57−0.080-0.9800.09001.55−0.090-0.9700.10001.67−0.010-1.0500.0500
Organization histological grade
Depth of invasion, pT1.28−0.420-0.9200.46001.52−0.260-1.1000.20001.52−0.250-1.1000.2000
Distant metastasis, M4.540.960-2.060<0.00013.840.770-1.910<0.00013.410.660-1.800<0.0001
  pN from pTNM1.010.005-0.010<0.00011.00−0.002-0.0090.30000.99−0.007-0.0060.8000
LODDS---1.870.200-1.0400.00300.89−0.740-0.5300.7000
LNR------1.880.200-1.0500.0030

[i] LODDS, Log odds of positive lymph nodes; LNR, lymph node ratio.

Further analysis was performed in subpopulations of patients with NDLN ≥12 and <12. In univariate analysis in both subpopulations, all three LN classifications were significant prognostic factors. In the multivariate analysis of patients with NDLN≥12, the best LN staging system was LNR. In the multivariate analysis of patients with NDLN<12, when all three LN classifications were included, none of them displayed significant differences between levels of staging. However, when 5-year OS (according to pN) was directly compared in subgroups pN1b and pN2a, the prognosis was significantly worse in patients with inadequate lymphadenectomy (NDLN<12) compared with that in patients with adequate lymphadenectomy (NDLN≥12; Table IV). By contrast, when comparing LNR and LODDS subgroups, prognosis was similar in patients with inadequate and adequate lymph node dissection (Table IV).

Table IV.

Univariate analysis of 5-year OS depending on extent of lymphadenectomy.

Table IV.

Univariate analysis of 5-year OS depending on extent of lymphadenectomy.

A, pN

5-year OS probability
ParameterNDLN<12NDLN≥12P-value
pN00.770.830.40
pN1a0.620.680.80
pN1b0.300.600.02
pN2a0.110.620.02
pN2b0.400.260.70

B, LNR

5-year OS probability

Parameter NDLN<12NDLN≥12P-value

LNR00.760.830.30
LNR10.570.630.70
LNR20.310.610.10
LNR30.420.280.80
LNR40.12<0.0010.10

C, LODDS

5-year OS probability

Parameter NDLN<12NDLN≥12P-value

LODDS10.750.810.4
LODDS20.510.580.5
LODDS30.210.250.6

[i] LNR, lymph node ratio; LODDS, log odds of positive lymph nodes; OS, overall survival.

Discussion

The prognostic value of LNR and LODDS have been investigated and proven by numerous researchers (7–10,15–21). pN from TNM is still the most widely used classification despite only considering the number of metastatic LNs. A potential limitation of this classification is that its prognostic power is highly affected by the number of examined LNs. Dissection of ≥12 LNs is enough to evaluate LN status (3). However, inadequate lymphadenectomy during colon cancer surgery is commonly observed (4,5). Here, LNR and LODDS were shown to be more accurate LN staging systems compared with pN, potentially due to decreased dependence on the number of dissected LNs.

Numerous studies have investigated the prognostic value of each LN staging system assessed in the present study, but few surveys that have directly compared the three staging systems (16,18,21). As their results have not reached a consensus, the differences may be an outcome of different statistical methods, cut-off values and populations of patients. Song et al (18) (n=1,297) concluded that among all three LN staging systems, LNR was superior to the other two classifications. Moreover, for patients in each LNR subgroup, prognosis was highly homologous between those in different pN or LODDS subgroups. However, for patients in particular pN and LODDS subgroups, significant differences in survival were identified between patients in different LNR subgroups.

Fang et al (16) performed multivariate analysis in a smaller sample of patients (n=192), which showed that LODDS was a better prognostic factor compared with LNR and pN and that LODDS was more efficient in differentiating patients with different outcomes, particularly when the ratio of metastatic LNs was close to 0 or 1.

Pei et al (21) compared all three LN staging systems using a large group of patients with colorectal cancer (n=56,747), analysing pN, LNR and LODDS as both continuous and categorical variables. When investigated as a categorical variable, cut-off values from Berger et al (7) and Rosenberg et al (9) were used for the LNR staging system, whereas cut-off values from Wang et al (8) and Persiani et al (15) were implemented for the LODDS staging system. The analysis showed that, when considered as a categorical variable, LNR using Rosenberg's cut-off values exhibited the best prognostic performance in the whole population of patients. This was also true for the subpopulation with NDLN<12, whereas for the subpopulation with NDLN≥12, pN was the best prognostic model. When investigated as a continuous variable, the LODDS staging system was superior to the others. However, according to Pei et al (21) LODDS as a continuous variable would be impractical to apply in clinical practice; thus, it should be changed into a categorical variable by calculating the optimal cut-off values to make it applicable for clinical use.

As aforementioned, the most suitable cut-off values for LNR and LODDS are still under discussion. In the present study, cut-off values developed by Rosenberg et al (9) were used for LNR, whereas cut-off points determined by Zhang et al (20) were used for LODDS. These cut-off values were selected because they were established statistically using large populations of patients with colorectal cancer. The results of the present study confirmed the usefulness of these cut-off values and, in our opinion, they should be tested in consecutive studies and then considered for use in wide clinical practice. In the present study, LNR was identified as the best LN staging system, both for the whole population of patients and for the subpopulation with NDLN≥12. In multivariate analysis of the subpopulation with NDLN <12, none of three LN classifications provided significantly different prognostic results in the context of 5-year OS. This may be due to the small number of patients in subgroups. However, there were significant differences between pN1b and pN2a subgroups in 5-year OS for patients with adequate and inadequate lymphadenectomy. These differences were not observed for LNR and LODDS, which suggested that LNR and LODDS were more independent of number of dissected LNs, as previously hypothesized (15,22).

A scatter plot demonstrated an association between LODDS and LNR. LODDS value was heterogeneous only when LNR was close to 0 or 1. This indicated that LODDS was particularly valuable in patients without metastatic LNs because when LNR and pN for all patients was 0, LODDS classification still divided patients into subgroups with different prognoses.

The present study has certain limitations because it was single centre retrospective study that included a relatively limited number of patients. Therefore, multicentre studies on larger populations of patients should be performed to verify the present conclusions. Patients without metastatic LNs could not be used for full analysis of prognosis according to LODDS due to small sample size of LODDS subgroups. Therefore, further studies on larger populations of patients are required to test the prognostic value of LOODS in pN0 patients operated on for colon adenocarcinoma.

In conclusion, the present study indicated that LNR is the most accurate LN staging system for predicting prognosis for patients with colon cancer who have undergone surgical resection, especially those with metastatic LNs subjected to adequate lymphadenectomy. Due to the limitations of LNR in pN0 patients and the promising prognostic results for LODDS, further studies are required in this group. Subsequent studies should also be performed to investigate patients with NDLN <12, as LNR or LODDS might be more suitable in estimating prognosis in this group than LN staging using pN from TNM.

Acknowledgements

Not applicable.

Funding

Funding: No funding was received.

Availability of data and materials

The datasets used and/or analysed during the current study are available from the corresponding author on reasonable request.

Authors' contributions

AMM conceptualized and designed the present study, collected and interpreted data and drafted the manuscript. MS analysed the data, generated figures and tables and drafted the manuscript. WJK conceived the study and revised the manuscript. AMM and MS confirm the authenticity of all the raw data. All authors have read and approved the final manuscript.

Ethics approval and consent to participate

The present study was approved by the Independent Ethics Committee of the Regional Medical Chamber in Gdańsk (approval no. KB-2/20). Due to the retrospective design of the study based on data analysis, the requirement for informed consent was waived.

Patient consent for publication

Not applicable.

Competing interests

The authors declare that they have no competing interests.

Glossary

Abbreviations

Abbreviations:

LN

lymph node

LNR

lymph node ratio

LODDS

log odds of positive lymph nodes

AJCC/UICC

American Joint Committee on Cancer/Union for International Cancer Control

AIC

Akaike Information Criterion

NDLN

number of dissected lymph nodes

References

1 

Compton CC, Fielding LP, Burgart LJ, Conley B, Cooper HS, Hamilton SR, Hammond ME, Henson DE, Hutter RV, Nagle RB, et al: Prognostic factors in colorectal cancer. College of American Pathologists Consensus Statement 1999. Arch Pathol Lab Med. 124:979–994. 2000. View Article : Google Scholar : PubMed/NCBI

2 

Chang GJ, Rodriguez-Bigas MA, Skibber JM and Moyer VA: Lymph node evaluation and survival after curative resection of colon cancer: Systematic review. J Natl Cancer Inst. 99:433–441. 2007. View Article : Google Scholar : PubMed/NCBI

3 

Weiser MR: (AJCC 8th Edition). Colorectal Cancer. Ann Surg Oncol. 25:1454–1455. 2018. View Article : Google Scholar : PubMed/NCBI

4 

Ostadi MA, Harnish JL, Stegienko S and Urbach DR: Factors affecting the number of lymph nodes retrieved in colorectal cancer specimens. Surg Endosc. 21:2142–2146. 2007. View Article : Google Scholar : PubMed/NCBI

5 

Leung AM, Scharf AW and Vu HN: Factors affecting number of lymph nodes harvested in colorectal cancer. J Surg Res. 168:224–230. 2011. View Article : Google Scholar : PubMed/NCBI

6 

Jestin P, Påhlman L, Glimelius B and Gunnarsson U: Cancer staging and survival in colon cancer is dependent on the quality of the pathologists' specimen examination. Eur J Cancer. 41:2071–2078. 2005. View Article : Google Scholar : PubMed/NCBI

7 

Berger AC, Sigurdson ER, LeVoyer T, Hanlon A, Mayer RJ, Macdonald JS, Catalano PJ and Haller DG: Colon cancer survival is associated with decreasing ratio of metastatic to examined lymph nodes. J Clin Oncol. 23:8706–8712. 2005. View Article : Google Scholar : PubMed/NCBI

8 

Wang J, Hassett JM, Dayton MT and Kulaylat MN: The prognostic superiority of log odds of positive lymph nodes in stage III colon cancer. J Gastrointest Surg. 12:1790–1796. 2008. View Article : Google Scholar : PubMed/NCBI

9 

Rosenberg R, Friederichs J, Schuster T, Gertler R, Maak M, Becker K, Grebner A, Ulm K, Höfler H, Nekarda H and Siewert JR: Prognosis of patients with colorectal cancer is associated with lymph node ratio: A single-center analysis of 3,026 patients over a 25-year time period. Ann Surg. 248:968–978. 2008. View Article : Google Scholar : PubMed/NCBI

10 

Zhang CH, Li YY, Zhang QW, Biondi A, Fico V, Persiani R, Ni XC and Luo M: The prognostic impact of the metastatic lymph nodes ratio in colorectal cancer. Front Oncol. 8:6282018. View Article : Google Scholar : PubMed/NCBI

11 

Ataseven B, Kümmel S, Weikel W, Heitz F, Holtschmidt J, Lorenz-Salehi F, Kümmel A, Traut A, Blohmer J, Harter P and du Bois A: Additional prognostic value of lymph node ratio over pN staging in different breast cancer subtypes based on the results of 1,656 patients. Arch Gynecol Obstet. 291:1153–1166. 2015. View Article : Google Scholar : PubMed/NCBI

12 

Smith DD, Nelson RA and Schwarz RE: A comparison of five competing lymph node staging schemes in a cohort of resectable gastric cancer patients. Ann Surg Oncol. 21:875–882. 2014. View Article : Google Scholar : PubMed/NCBI

13 

Tamura M, Matsumoto I, Saito D, Yoshida S, Takata M and Takemura H: Lymph node ratio as a prognostic factor in patients with pathological N2 non-small cell lung cancer. World J Surg Oncol. 14:2952016. View Article : Google Scholar : PubMed/NCBI

14 

Herr HW: Superiority of ratio based lymph node staging for bladder cancer. J Urol. 169:943–945. 2003. View Article : Google Scholar : PubMed/NCBI

15 

Persiani R, Cananzi FC, Biondi A, Paliani G, Tufo A, Ferrara F, Vigorita V and D'Ugo D: Log odds of positive lymph nodes in colon cancer: A meaningful ratio-based lymph node classification system. World J Surg. 36:667–674. 2012. View Article : Google Scholar : PubMed/NCBI

16 

Fang HY, Yang H, He ZS, Zhao H, Fu ZM, Zhou FX and Zhou YF: Log odds of positive lymph nodes is superior to the number- and ratio-based lymph node classification systems for colorectal cancer patients undergoing curative (R0) resection. Mol Clin Oncol. 6:782–788. 2017. View Article : Google Scholar : PubMed/NCBI

17 

Arslan NC, Sokmen S, Canda AE, Terzi C and Sarioglu S: The prognostic impact of the log odds of positive lymph nodes in colon cancer. Colorectal Dis. 16:O386–O392. 2014. View Article : Google Scholar : PubMed/NCBI

18 

Song YX, Gao P, Wang ZN, Tong LL, Xu YY, Sun Z, Xing CZ and Xu HM: Which is the most suitable classification for colorectal cancer, log odds, the number or the ratio of positive lymph nodes? PLoS One. 6:e289372011. View Article : Google Scholar : PubMed/NCBI

19 

Rosenberg R, Engel J, Bruns C, Heitland W, Hermes N, Jauch KW, Kopp R, Pütterich E, Ruppert R, Schuster T, et al: The prognostic value of lymph node ratio in a population-based collective of colorectal cancer patients. Ann Surg. 251:1070–1078. 2010. View Article : Google Scholar : PubMed/NCBI

20 

Zhang QW, Zhang CH, Pan YB, Biondi A, Fico V, Persiani R, Wu S, Gao YJ, Chen HM, Shi OM, et al: Prognosis of colorectal cancer patients is associated with the novel log odds of positive lymph nodes scheme: Derivation and external validation. J Cancer. 11:1702–1711. 2020. View Article : Google Scholar : PubMed/NCBI

21 

Pei JP, Zhang CD, Fan YC and Dai DQ: Comparison of different lymph node staging systems in patients with resectable colorectal cancer. Front Oncol. 8:6712019. View Article : Google Scholar : PubMed/NCBI

22 

Rausei S, Iovino D, Tenconi S, Mangano A, Inversini D, Boni L, Rovera F, Dionigi G and Dionigi R: Impact of lymph node ratio on survival of colorectal cancer patients. Int J Surg. 11 (Suppl 1):S95–S99. 2013. View Article : Google Scholar : PubMed/NCBI

Related Articles

  • Abstract
  • View
  • Download
  • Twitter
Copy and paste a formatted citation
Spandidos Publications style
Madej‑Mierzwa A, Szajewski M and Kruszewski WJ: Comparison of different lymph node staging systems for predicting prognosis in patients with colon cancer who have undergone surgical resection. Oncol Lett 23: 176, 2022.
APA
Madej‑Mierzwa, A., Szajewski, M., & Kruszewski, W.J. (2022). Comparison of different lymph node staging systems for predicting prognosis in patients with colon cancer who have undergone surgical resection. Oncology Letters, 23, 176. https://doi.org/10.3892/ol.2022.13296
MLA
Madej‑Mierzwa, A., Szajewski, M., Kruszewski, W. J."Comparison of different lymph node staging systems for predicting prognosis in patients with colon cancer who have undergone surgical resection". Oncology Letters 23.6 (2022): 176.
Chicago
Madej‑Mierzwa, A., Szajewski, M., Kruszewski, W. J."Comparison of different lymph node staging systems for predicting prognosis in patients with colon cancer who have undergone surgical resection". Oncology Letters 23, no. 6 (2022): 176. https://doi.org/10.3892/ol.2022.13296
Copy and paste a formatted citation
x
Spandidos Publications style
Madej‑Mierzwa A, Szajewski M and Kruszewski WJ: Comparison of different lymph node staging systems for predicting prognosis in patients with colon cancer who have undergone surgical resection. Oncol Lett 23: 176, 2022.
APA
Madej‑Mierzwa, A., Szajewski, M., & Kruszewski, W.J. (2022). Comparison of different lymph node staging systems for predicting prognosis in patients with colon cancer who have undergone surgical resection. Oncology Letters, 23, 176. https://doi.org/10.3892/ol.2022.13296
MLA
Madej‑Mierzwa, A., Szajewski, M., Kruszewski, W. J."Comparison of different lymph node staging systems for predicting prognosis in patients with colon cancer who have undergone surgical resection". Oncology Letters 23.6 (2022): 176.
Chicago
Madej‑Mierzwa, A., Szajewski, M., Kruszewski, W. J."Comparison of different lymph node staging systems for predicting prognosis in patients with colon cancer who have undergone surgical resection". Oncology Letters 23, no. 6 (2022): 176. https://doi.org/10.3892/ol.2022.13296
Follow us
  • Twitter
  • LinkedIn
  • Facebook
About
  • Spandidos Publications
  • Careers
  • Cookie Policy
  • Privacy Policy
How can we help?
  • Help
  • Live Chat
  • Contact
  • Email to our Support Team