Spandidos Publications Logo
  • About
    • About Spandidos
    • Aims and Scopes
    • Abstracting and Indexing
    • Editorial Policies
    • Reprints and Permissions
    • Job Opportunities
    • Terms and Conditions
    • Contact
  • Journals
    • All Journals
    • Oncology Letters
      • Oncology Letters
      • Information for Authors
      • Editorial Policies
      • Editorial Board
      • Aims and Scope
      • Abstracting and Indexing
      • Bibliographic Information
      • Archive
    • International Journal of Oncology
      • International Journal of Oncology
      • Information for Authors
      • Editorial Policies
      • Editorial Board
      • Aims and Scope
      • Abstracting and Indexing
      • Bibliographic Information
      • Archive
    • Molecular and Clinical Oncology
      • Molecular and Clinical Oncology
      • Information for Authors
      • Editorial Policies
      • Editorial Board
      • Aims and Scope
      • Abstracting and Indexing
      • Bibliographic Information
      • Archive
    • Experimental and Therapeutic Medicine
      • Experimental and Therapeutic Medicine
      • Information for Authors
      • Editorial Policies
      • Editorial Board
      • Aims and Scope
      • Abstracting and Indexing
      • Bibliographic Information
      • Archive
    • International Journal of Molecular Medicine
      • International Journal of Molecular Medicine
      • Information for Authors
      • Editorial Policies
      • Editorial Board
      • Aims and Scope
      • Abstracting and Indexing
      • Bibliographic Information
      • Archive
    • Biomedical Reports
      • Biomedical Reports
      • Information for Authors
      • Editorial Policies
      • Editorial Board
      • Aims and Scope
      • Abstracting and Indexing
      • Bibliographic Information
      • Archive
    • Oncology Reports
      • Oncology Reports
      • Information for Authors
      • Editorial Policies
      • Editorial Board
      • Aims and Scope
      • Abstracting and Indexing
      • Bibliographic Information
      • Archive
    • Molecular Medicine Reports
      • Molecular Medicine Reports
      • Information for Authors
      • Editorial Policies
      • Editorial Board
      • Aims and Scope
      • Abstracting and Indexing
      • Bibliographic Information
      • Archive
    • World Academy of Sciences Journal
      • World Academy of Sciences Journal
      • Information for Authors
      • Editorial Policies
      • Editorial Board
      • Aims and Scope
      • Abstracting and Indexing
      • Bibliographic Information
      • Archive
    • International Journal of Functional Nutrition
      • International Journal of Functional Nutrition
      • Information for Authors
      • Editorial Policies
      • Editorial Board
      • Aims and Scope
      • Abstracting and Indexing
      • Bibliographic Information
      • Archive
    • International Journal of Epigenetics
      • International Journal of Epigenetics
      • Information for Authors
      • Editorial Policies
      • Editorial Board
      • Aims and Scope
      • Abstracting and Indexing
      • Bibliographic Information
      • Archive
    • Medicine International
      • Medicine International
      • Information for Authors
      • Editorial Policies
      • Editorial Board
      • Aims and Scope
      • Abstracting and Indexing
      • Bibliographic Information
      • Archive
  • Articles
  • Information
    • Information for Authors
    • Information for Reviewers
    • Information for Librarians
    • Information for Advertisers
    • Conferences
  • Language Editing
Spandidos Publications Logo
  • About
    • About Spandidos
    • Aims and Scopes
    • Abstracting and Indexing
    • Editorial Policies
    • Reprints and Permissions
    • Job Opportunities
    • Terms and Conditions
    • Contact
  • Journals
    • All Journals
    • Biomedical Reports
      • Information for Authors
      • Editorial Policies
      • Editorial Board
      • Aims and Scope
      • Abstracting and Indexing
      • Bibliographic Information
      • Archive
    • Experimental and Therapeutic Medicine
      • Information for Authors
      • Editorial Policies
      • Editorial Board
      • Aims and Scope
      • Abstracting and Indexing
      • Bibliographic Information
      • Archive
    • International Journal of Epigenetics
      • Information for Authors
      • Editorial Policies
      • Editorial Board
      • Aims and Scope
      • Abstracting and Indexing
      • Bibliographic Information
      • Archive
    • International Journal of Functional Nutrition
      • Information for Authors
      • Editorial Policies
      • Editorial Board
      • Aims and Scope
      • Abstracting and Indexing
      • Bibliographic Information
      • Archive
    • International Journal of Molecular Medicine
      • Information for Authors
      • Editorial Policies
      • Editorial Board
      • Aims and Scope
      • Abstracting and Indexing
      • Bibliographic Information
      • Archive
    • International Journal of Oncology
      • Information for Authors
      • Editorial Policies
      • Editorial Board
      • Aims and Scope
      • Abstracting and Indexing
      • Bibliographic Information
      • Archive
    • Medicine International
      • Information for Authors
      • Editorial Policies
      • Editorial Board
      • Aims and Scope
      • Abstracting and Indexing
      • Bibliographic Information
      • Archive
    • Molecular and Clinical Oncology
      • Information for Authors
      • Editorial Policies
      • Editorial Board
      • Aims and Scope
      • Abstracting and Indexing
      • Bibliographic Information
      • Archive
    • Molecular Medicine Reports
      • Information for Authors
      • Editorial Policies
      • Editorial Board
      • Aims and Scope
      • Abstracting and Indexing
      • Bibliographic Information
      • Archive
    • Oncology Letters
      • Information for Authors
      • Editorial Policies
      • Editorial Board
      • Aims and Scope
      • Abstracting and Indexing
      • Bibliographic Information
      • Archive
    • Oncology Reports
      • Information for Authors
      • Editorial Policies
      • Editorial Board
      • Aims and Scope
      • Abstracting and Indexing
      • Bibliographic Information
      • Archive
    • World Academy of Sciences Journal
      • Information for Authors
      • Editorial Policies
      • Editorial Board
      • Aims and Scope
      • Abstracting and Indexing
      • Bibliographic Information
      • Archive
  • Articles
  • Information
    • For Authors
    • For Reviewers
    • For Librarians
    • For Advertisers
    • Conferences
  • Language Editing
Login Register Submit
  • This site uses cookies
  • You can change your cookie settings at any time by following the instructions in our Cookie Policy. To find out more, you may read our Privacy Policy.

    I agree
Search articles by DOI, keyword, author or affiliation
Search
Advanced Search
presentation
Oncology Letters
Join Editorial Board Propose a Special Issue
Print ISSN: 1792-1074 Online ISSN: 1792-1082
Journal Cover
March-2023 Volume 25 Issue 3

Full Size Image

Sign up for eToc alerts
Recommend to Library

Journals

International Journal of Molecular Medicine

International Journal of Molecular Medicine

International Journal of Molecular Medicine is an international journal devoted to molecular mechanisms of human disease.

International Journal of Oncology

International Journal of Oncology

International Journal of Oncology is an international journal devoted to oncology research and cancer treatment.

Molecular Medicine Reports

Molecular Medicine Reports

Covers molecular medicine topics such as pharmacology, pathology, genetics, neuroscience, infectious diseases, molecular cardiology, and molecular surgery.

Oncology Reports

Oncology Reports

Oncology Reports is an international journal devoted to fundamental and applied research in Oncology.

Experimental and Therapeutic Medicine

Experimental and Therapeutic Medicine

Experimental and Therapeutic Medicine is an international journal devoted to laboratory and clinical medicine.

Oncology Letters

Oncology Letters

Oncology Letters is an international journal devoted to Experimental and Clinical Oncology.

Biomedical Reports

Biomedical Reports

Explores a wide range of biological and medical fields, including pharmacology, genetics, microbiology, neuroscience, and molecular cardiology.

Molecular and Clinical Oncology

Molecular and Clinical Oncology

International journal addressing all aspects of oncology research, from tumorigenesis and oncogenes to chemotherapy and metastasis.

World Academy of Sciences Journal

World Academy of Sciences Journal

Multidisciplinary open-access journal spanning biochemistry, genetics, neuroscience, environmental health, and synthetic biology.

International Journal of Functional Nutrition

International Journal of Functional Nutrition

Open-access journal combining biochemistry, pharmacology, immunology, and genetics to advance health through functional nutrition.

International Journal of Epigenetics

International Journal of Epigenetics

Publishes open-access research on using epigenetics to advance understanding and treatment of human disease.

Medicine International

Medicine International

An International Open Access Journal Devoted to General Medicine.

Journal Cover
March-2023 Volume 25 Issue 3

Full Size Image

Sign up for eToc alerts
Recommend to Library

  • Article
  • Citations
    • Cite This Article
    • Download Citation
    • Create Citation Alert
    • Remove Citation Alert
    • Cited By
  • Similar Articles
    • Related Articles (in Spandidos Publications)
    • Similar Articles (Google Scholar)
    • Similar Articles (PubMed)
  • Download PDF
  • Download XML
  • View XML

  • Supplementary Files
    • Supplementary_Data.pdf
Article Open Access

Adverse pregnancy outcomes of cancer survivors and infectious disease in their infants: The Japan Environment and Children's Study

  • Authors:
    • Ryutaro Nishikawa
    • Mayumi Sugiura‑Ogasawara
    • Takeshi Ebara
    • Taro Matsuki
    • Hazuki Tamada
    • Sayaka Kato
    • Kayo Kaneko
    • Shinji Saitoh
    • Michihiro Kamijima
    • The Japan Environment and Children’s Study Group
  • View Affiliations / Copyright

    Affiliations: Department of Obstetrics and Gynecology, Nagoya City University, Graduate School of Medical Sciences, Nagoya, Aichi 467‑8601, Japan, Department of Occupational and Environmental Health, Nagoya City University, Graduate School of Medical Sciences, Nagoya, Aichi 467‑8601, Japan, Department of Pediatrics and Neonatology, Nagoya City University, Graduate School of Medical Sciences, Nagoya, Aichi 467‑8601, Japan
    Copyright: © Nishikawa et al. This is an open access article distributed under the terms of Creative Commons Attribution License.
  • Article Number: 100
    |
    Published online on: January 30, 2023
       https://doi.org/10.3892/ol.2023.13686
  • Expand metrics +
Metrics: Total Views: 0 (Spandidos Publications: | PMC Statistics: )
Metrics: Total PDF Downloads: 0 (Spandidos Publications: | PMC Statistics: )
Cited By (CrossRef): 0 citations Loading Articles...

This article is mentioned in:



Abstract

Birth cohort studies examining pregnancy and infant outcomes among adolescent and young adult (AYA) cancer survivors have been limited. The present study examined whether AYA cancer affects pregnancy outcomes of survivors and infectious diseases in their infants up to 1 year of age. Pregnant women were recruited for the Japan Environment and Children's Study, a nationwide, large‑scale, prospective cohort study. The present study included 103,060 pregnant women and collected questionnaire‑based data during the first and second/third trimester, and at 1 month, 6 months and 1 year after delivery. Adverse pregnancy outcomes and infectious diseases in infants up to 1 year of age were compared between AYA cancer survivors and pregnant women without a history of cancer using binominal logistic regression analyses and a multiple imputation method. Of 99,816 participants (3,244 were missing), 1,102 (1.1%) had a cancer history, including 812 participants (0.8%) with a history of cervical cancer. Among cervical cancer survivors, the adjusted (a)ORs were as follows: 3.25 (95% CI, 2.31‑4.57; q=0.00) for a preterm birth <34 weeks' gestation; 2.82 (95% CI, 2.31‑3.44; q=0.00) for a preterm birth <37 weeks' gestation; and 1.67 (95% CI, 1.36‑2.06; q=0.00) for premature rupture of the membrane. Among the other cancer survivors, the aOR for caesarean section was 1.43 (95% CI, 1.10‑1.87; q=0.0). Furthermore, lower respiratory tract inflammation in 1‑year‑old infants born by vaginal delivery increased significantly in cases with a history of cervical cancer (aOR, 1.77; 95% CI, 1.33‑2.36; q=0.00). The present study identified the risk of lower respiratory tract inflammation in 1‑year‑old infants born by vaginal delivery in cervical cancer survivors for the first time. In addition, the frequency of caesarean section increased in all cancer survivors. No risk of congenital anomalies or other infections were found in the total group of cancer survivors.

Introduction

Adolescent and young adult (AYA) patients with cancer have become long-term survivors because of improvements in early diagnosis and treatment. Five-year relative survival rates of over 80% have been estimated for the AYA cancer population in the United States (1). Cancer survivors were found to have fewer pregnancies across all cancer types, and the chance of achieving a first pregnancy was also lower with the use of chemotherapy (2–4).

Chow et al conducted a study of 10,938 survivors and 3,949 siblings (2); 38% of survivors and 62% of siblings reported having or siring a pregnancy and 83 and 90% of these individuals reported at least one livebirth, respectively. Multivariable analysis showed a decreased likelihood of siring or having a pregnancy (male survivors: hazard ratio 0.63, 95% CI 0.58-0.68; female survivors: 0.87, 0.81-0.94) or of having a livebirth (male survivors: 0.63, 0.58-0.69; female survivors: 0.82, 0.76-0.89). A recent population-based cohort study using universal health care databases in Ontario, Canada compared 14,316 AYA cancer survivors and 60,975 unexposed women (4). The overall risk of an infertility diagnosis was higher in cancer survivors (relative risk 1.30, 95% CI 1.23-1.37). Among females with brain, breast, thyroid or colorectal cancer, leukemia, Hodgkin lymphoma, non-Hodgkin lymphoma, or melanoma, those with breast or thyroid cancer, hematological malignancies, or melanoma have a higher risk of a subsequent infertility diagnosis.

Several studies concerning birth outcomes among AYA cancer survivors have been reported (1,2,5,6). Anderson et al conducted a survey using the North Carolina Central Cancer Registry from January 2000 to December 2013, to examine 2,598 births to AYA cancer survivors and found that the survivors had a significantly increased prevalence of preterm birth, low birth weight, and caesarean delivery, but not small-for-gestational-age (SGA) birth or low Apgar score (<7) relative to the comparison cohort of 1,299 (1).

Regarding uterine cervical cancer, about 10,000 women suffer from and 3,000 die from it recent every year and the peak of onset is in the 30s in Japan. Patients with cervical cancer increased year by year (7). The current human papilloma virus (HPV) vaccine can prevent 60~70% of cervical cancers, and the WHO has confirmed its efficacy and safety. Even in developed countries in Europe and the United States and Japan, vaccination has shown that HPV infection rates and the frequency of precancerous lesions are reduced compared to those who have not been vaccinated. In Japan, the HPV vaccine has been routinely administered since April 2013, but due to reports about severe symptoms after vaccination, active encouragement by the Ministry of Health, Labour and Welfare has been refrained between June 2013 and November 2021. Cervical cancer must be included as AYA cancer because it is the second most common cancer after breast cancer in 20–39 year olds of Japanese population.

However, birth cohort studies examining pregnancy and perinatal outcomes among AYA cancer survivors with adjustment of appropriate covariates using multiple imputation have been limited. We focused on not only pregnancy outcomes but also infant outcomes because there has been no birth cohort study that included infant outcomes up to age of one year.

This study aimed to examine the outcomes of pregnancy and the postpartum period up to the age of one year in cancer survivors using data obtained from the Japan Environment and Children's Study (JECS).

Materials and methods

Study design

In the JECS, pregnant women were recruited between January, 2011 and March, 2014. Eligibility criteria for expectant mothers were as follows: that they i) resided at the time of recruitment in any of the study areas selected by 15 Regional JECS Centers located countrywide; ii) had an expected delivery date after August 1, 2011; and iii) were capable of comprehending the Japanese language and completing the self-administered questionnaire (8–12). Those residing outside the study areas, even if they visit the cooperating health care providers within the study areas, were excluded from the study. Excluded were those who did not consent to the study protocol and could not be accessed during the pregnancy period. The participants were able to withdraw from the study at any time.

The sample size has been calculated in the JECS protocol. In principle, women completed the questionnaires during the first and the second/third trimester, and at one month, six months and one year after delivery. Their medical records were transcribed by physicians, midwives/nurses, and/or trained Research Co-coordinators at registration, just after delivery and at one month after delivery.

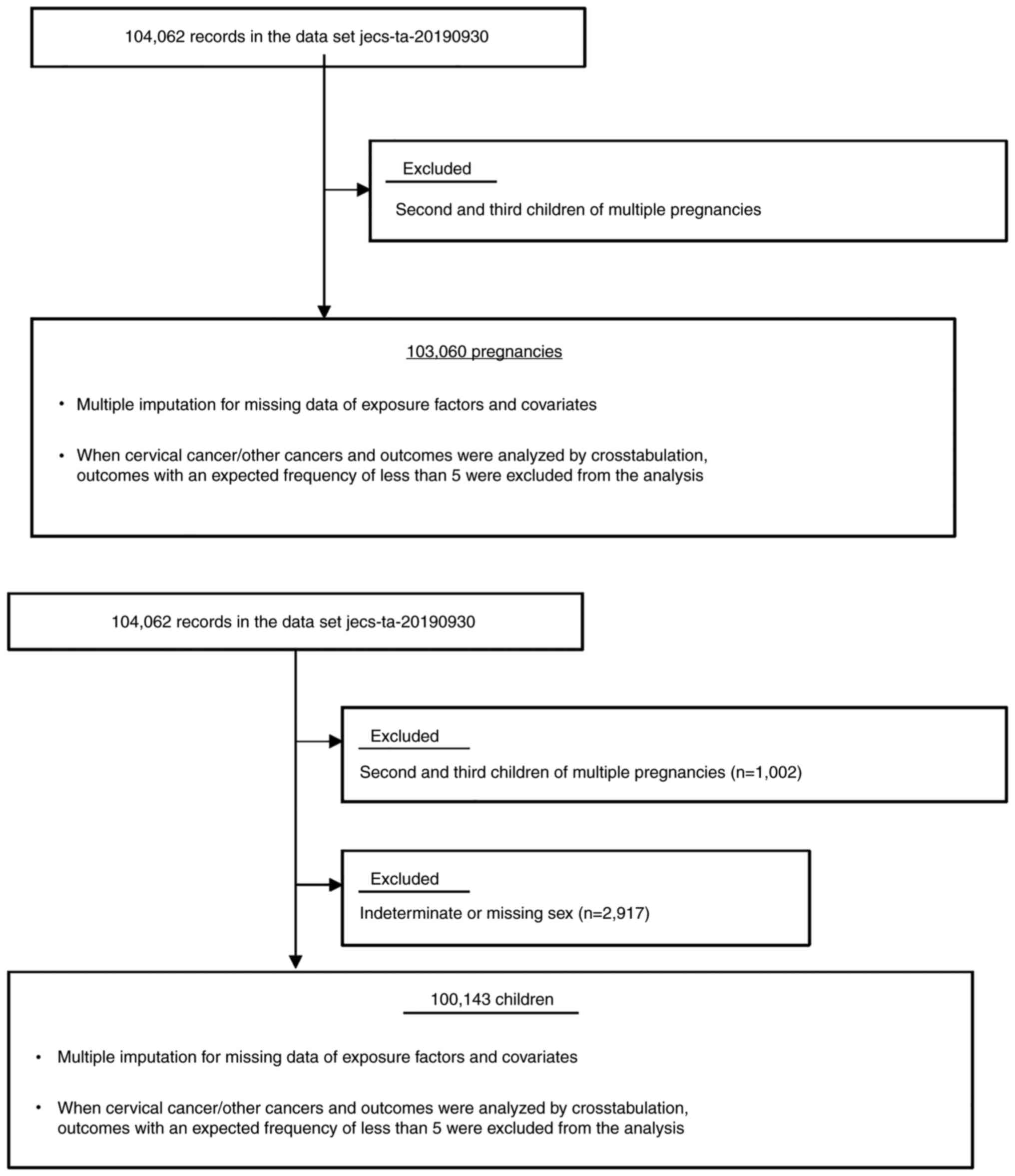
The present study was based on the jecs-ta-20190930 data set, which includes 104,062 registered children (fetuses and embryos), and was released restrictively to all concerned in October, 2019. The second and third children of multiple pregnancies were excluded and these numbered 1,002 (0.96%, Fig. 1). Finally, 103,060 pregnancies were included in the main analysis. The mean (SD) age and gestational weeks at registration was 30.7 (5.1) and 14.2 (6.4) weeks. Regarding children, just 100,143 children were included in the main analysis because 2,917 children with indeterminate or missing sex whose sex were not ascertained because of immaturity or congenital anomalies were excluded (Fig. 1). The JECS population has been recognized as representative of pregnant women in Japan (11).

Figure 1.

Flow diagram of the present study. The first flow chart shows the mothers and the second flow chart shows the infants.

The JECS was approved by the Institutional Review Board of the Japan National Institute for Environmental Studies (approval no. 100910001), as well as by the ethics committees of all participating institutions. This study was conducted with the approval of the Research Ethics Committee of Nagoya City University Graduate School of Medical Sciences (approval nos. 554 and 554-2). Written informed consent was obtained from all participants.

Data collection

The first questionnaire included sociodemographic characteristics, medical histories, details of all previous pregnancies and exercise habits. The socioeconomic status was assessed by the education level and annual household income and lifestyle details were included in the second questionnaire.

The first medical record transcript included maternal age, gestational weeks at registration, maternal body weight, height, conception, and details of all previous pregnancies (vaginal delivery/caesarian delivery/miscarriage/induced abortion/stillbirth).

The medical record transcript at delivery included maternal age, gestational weeks at miscarriage and delivery, single/multiple pregnancies, live birth/stillbirth, miscarriage/induced abortion, male/female, birth weight, vaginal/caesarian delivery, pregnancy complications and perinatal outcome.

The questionnaire at six months and one year after birth included the presence/absence of infectious disease in the infant and vaccination.

Outcomes

The maternal and neonatal outcomes of interest were preterm birth, placenta previa, premature rupture of the membrane (PROM), oligohydraminios, hypertensive disorders of pregnancy (HDP), uterine infection, SGA <10th percentile, congenital anomalies and caesarean section.

The infant outcomes were upper respiratory tract inflammation and respiratory syncytial (RS) virus infection at six months and otitis media, upper and lower respiratory tract inflammation, diarrhea and vomiting, influenza, exanthema subitum, herpangina, hand, foot and mouth disease, adenovirus, RS virus infection and chickenpox at one year.

Exposures and covariates

Exposures included a history of cervical cancer and other cancers. Potential covariates for maternal and neonatal outcomes were maternal age at registration (<20, 20–29, 30–39, ≥40 years), body mass index (BMI, <18.5, 18.5-25.0, ≥25.0), smoking status, income level per year [<2, 2-<4, 4-<6, 6-<8, 8-<10, ≥10 JPYx 1 million, (1 US$=114.38 JPY, 21 October 2021)], pregnancy loss history, the presence/absence of in vitro fertilization and embryo transfer (IVF-ET), and the presence/absence of previous deliveries.

Covariates for six months were maternal age at registration, maternal BMI before pregnancy, maternal smoking status, household income, pregnancy loss history, the presence/absence of IVF-ET, the presence/absence of previous deliveries, sex of the child, maternal allergy and ear, nose, and throat disease, congenital diseases of the child, feeding method at one month of age, the number of family members living with the child, the month of questionnaire entry at six months of age, the period of breast milk intake (until six month of age), the period of artificial nutrition intake (until six months), attendance at a nursery facility (at six months), influenza virus vaccination, rotavirus vaccination, and Haemophilus influenzae type b (Hib) and pneumococcal vaccination.

To covariates at one year, we added the month of questionnaire entry at one year, the period of breast milk intake (until one year), the period of artificial nutrition intake (until one year), attendance at a nursery facility (at one year), maternal working pattern, influenza virus vaccination, rotavirus vaccination, Hib and pneumococcal vaccination, palivizumab injection, and chickenpox vaccination to the covariates for six-months of age.

Statistical analysis

The maternal and infant demographic characteristics of the participants were shown in relation to discrete data. χ2 tests were performed to compare the association between the history of cancer and each variable shown as nominal variables. One-way ANOVA was performed when we compared mean values between the history of cancer and each variable shown as numerical variables. If we would obtain significant ANOVA results, Tukey's pairwise post hoc tests between variables were conducted. Binominal logistic regression analyses were performed by adding all the covariates to calculate the adjusted ORs (aORs) for association between the history of cancer and each outcome. Traditionally, univariate analyses were performed first to find out the significant confounders for adjusting confounding effect for subsequent multivariate analysis. As explained by Vandenbroucke et al, such procedure is not recommended now (13). Significance tests of univariate analysis should be avoided as a criterion for selecting confounders to adjust for. The STROBE statement gives that P-values are not an appropriate criterion for selecting which confounders to adjust for in analysis; even small differences in a confounder that has a strong effect on the outcome can be important.

Since missing data can potentially undermine the scientific credibility of causal conclusions, we applied a multiple imputation method to reduce the potential non-response bias created by the missing data and to improve the precision of the estimates when calculating the aORs. When cervical cancer/other cancers and outcomes were analyzed by crosstabulation, outcomes with an expected frequency of less than 5 were excluded from the analysis. To prevent multiple comparisons possibly yielding false positive findings, we adopted the Benjamini-Hochberg method and assessed statistical significance by obtaining the q-values adjusted for a false discovery rate.

χ2 test was performed to compare the association between the mode of delivery and each variable and Student's t-tests were used for analyzing mean data.

All calculations were conducted using SPSS version 26 (IBM Corp., Japan), and P<0.05 was considered to indicate a statistically significant difference.

Results

Of 99,816 participants (3,244 were missing), 1,102 (1.1%) had a cancer history including 56 patients with cancer during pregnancy (Table I). Of these, 812 participants (0.8%) had a history of cervical cancer and 290 (0.3%) had other cancers. Fifty seven (0.057%) had breast cancer, 8 (0.008%) had endometrial cancer, 4 (0.004%) had stomach cancer, 11 (0.01%) had colon cancer, 40 (0.04%) had a blood cancer, and 176 (0.17%) had other cancers.

Table I.

Demographic characteristics of mothers.

Table I.

Demographic characteristics of mothers.

History of cancer

VariableTotal n=99,816 n (%)Cervicala n=812 n (%)Othersb n=290 n (%)Nothing n=98,714 n (%)P-valuec
Age, years <0.001
  <201,145 (1.1)6 (0.7)0 (0.0)1139 (1.2)
  20-2939,814 (39.9)249 (30.7)66 (22.8)39,499 (40.0)
  30-3955,278 (55.4)518 (63.8)195 (67.2)54,565 (55.3)
  ≥403,500 (3.5)39 (4.8)29 (10.0)3,432 (3.5)
  Missing79 (0.1)0 (0.0)0 (0.0)79 (0.1)
Pregnancy body mass index, kg/m2 0.203
  <18.516,147 (16.2)150 (18.5)45 (15.5)15,952 (16.2)
  18.5-24.972,897 (73.0)564 (69.5)217 (74.8)72,116 (73.1)
  ≥25.010,724 (10.7)98 (12.1)28 (9.7)10,598 (10.7)
  Missing48 (0.0)0 (0.0)0 (0.0)48 (0.0)
Smoking status <0.001
  Never smoker55,891 (56.0)301 (37.1)169 (58.3)55,421 (56.1)
  Ex-smoker, stopped before learning of pregnancy23,162 (23.2)262 (32.3)73 (25.2)22,827 (23.1)
  Ex-smoker, stopped on awareness of pregnancy13,258 (13.3)153 (18.8)32 (11.0)13,073 (13.2)
  Current smoker4,429 (4.4)72 (8.9)6 (2.1)4,351 (4.4)
  Missing3,076 (3.1)24 (3.0)10 (3.4)3,042 (3.1)
Annual household income, one million Japanese yen 0.018
  <25,132 (5.1)63 (7.8)10 (3.4)5,059 (5.1)
  2-<431,324 (31.4)272 (33.5)80 (27.6)30,972 (31.4)
  4-<629,957 (30.0)228 (28.1)91 (31.4)29,638 (30.0)
  6-<814,409 (14.4)114 (14.0)53 (18.3)14,242 (14.4)
  8-<105,913 (5.9)44 (5.4)22 (7.6)5,847 (5.9)
  ≥103,873 (3.9)26 (3.2)11 (3.8)3,836 (3.9)
  Missing9,208 (9.2)65 (8.0)23 (7.9)9,120 (9.2)
Pregnancy loss history <0.001
  076,245 (76.4)576 (70.9)216 (74.5)75,453 (76.4)
  117,572 (17.6)163 (20.1)53 (18.3)17,356 (17.6)
  23,891 (3.9)38 (4.7)14 (4.8)3,839 (3.9)
  ≥31,135 (1.1)21 (2.6)1 (0.3)1,113 (1.1)
  Missing973 (1.0)14 (1.7)6 (2.1)953 (1.0)
In vitro fertilization and embryo transfer <0.001
  No96,639 (96.8)763 (94.0)268 (92.4)95,608 (96.9)
  Yes3,177 (3.2)49 (6.0)22 (7.6)3,106 (3.1)
  Missing0 (0.0)0 (0.0)0 (0.0)0 (0.0)
Previous live birth 0.018
  No39,299 (39.4)286 (35.2)116 (40.0)38,897 (39.4)
  Yes58,116 (58.2)519 (63.9)163 (56.2)57,434 (58.2)
  Missing2,401 (2.4)7 (0.9)11 (3.8)2,383 (2.4)
Maternal allergy and ear, nose, and throat disease 0.040
  No42,109 (42.2)343 (42.2)101 (34.8)41,665 (42.2)
  Yes57,707 (57.8)469 (57.8)189 (65.2)57,049 (57.8)
  Missing0 (0.0)0 (0.0)0 (0.0)0 (0.0)
The month of questionnaire entry at 6 months of age 0.963
  Spring (March to May)25,016 (25.1)203 (25.0)67 (23.1)24,746 (25.1)
  Summer (June to August)21,339 (21.4)174 (21.4)63 (21.7)21,102 (21.4)
  Autumn (September to November)20,777 (20.8)157 (19.3)63 (21.7)20,557 (20.8)
  Winter (December to February)24,844 (24.9)206 (25.4)73 (25.2)24,565 (24.9)
  Missing7,840 (7.9)72 (8.9)24 (8.3)7,744 (7.8)
The month of questionnaire entry at 1 year of age 0.950
  Spring (March to May)20,467 (20.5)166 (20.4)59 (20.3)20,242 (20.5)
  Summer (June to August)23,897 (23.9)203 (25.0)65 (22.4)23,629 (23.9)
  Autumn (September to November)24,319 (24.4)184 (22.7)66 (22.8)24,069 (24.4)
  Winter (December to February)20,434 (20.5)159 (19.6)58 (20.0)20,217 (20.5)
  Missing10,699 (10.7)100 (12.3)42 (14.5)10,557 (10.7)
Current employment status (when the child is 1-year-old) <0.001
  Full-time homemaker42,464 (42.5)366 (45.1)122 (42.1)41,976 (42.5)
  Unemployed3,231 (3.2)30 (3.7)7 (2.4)3,194 (3.2)
  Student202 (0.2)2 (0.2)1 (0.3)199 (0.2)
  Full-time employee24,578 (24.6)143 (17.6)69 (23.8)24,366 (24.7)
  Part-time employee12,294 (12.3)105 (12.9)25 (8.6)12,164 (12.3)
  Self-employed3,238 (3.2)46 (5.7)15 (5.2)3,177 (3.2)
  Part time work at home600 (0.6)5 (0.6)0 (0.0)595 (0.6)
  Other1,235 (1.2)8 (1.0)3 (1.0)1,224 (1.2)
  Missing11,974 (12.0)107 (13.2)48 (16.6)11,819 (12.0)

a Of 812 mothers, four had a history of other cancers;

b Four mothers who also had cervical cancer were excluded;

c χ2 tests were performed.

Characteristics of the 99,816 pregnant women are shown in Table I. Maternal age, smoking status, income level, pregnancy loss history, the presence/absence of IVF-ET, previous deliveries, and employment status were significantly associated with cervical cancer, other cancers and no history of any cancer. These variables were analyzed for covariates of maternal outcomes.

Characteristics of the 99,816 infants and the association between each variable and the cancer history are shown in Table II. The period of both breast milk and artificial nutrition intake (both in months until six months and one year of age) and palivizumab injection at one year of age were significantly associated among three groups. These variables were analyzed for covariates of infant outcomes.

Table II.

Demographic characteristics of infants.

Table II.

Demographic characteristics of infants.

History of cancer

VariableTotal n=98,627 n (%) Cervicala n=804 n (%)Othersb n=282 n (%)Nothing n=97,541 n (%)P-value
Sex 0.593c
  Male50,620 (51.3)399 (49.6)142 (50.4)50,079 (51.3)
  Female48,007 (48.7)405 (50.4)140 (49.6)47,462 (48.7)
  Missing0 (0.0)0 (0.0)0 (0.0)0 (0.0)
Congenital diseases 0.427c
  No86,507 (87.7)687 (85.4)249 (88.3)85,571 (87.7)
  Yes8,877 (9.0)82 (10.2)25 (8.9)8,770 (9.0)
  Missing3,243 (3.3)35 (4.4)8 (2.8)3,200 (3.3)
Feeding method at 1 month 0.056c
  Breastfeeding only40,449 (41.0)311 (38.7)96 (34.0)40,042 (41.1)
  Mixed feeding54,159 (54.9)447 (55.6)177 (62.8)53,535 (54.9)
  Infant formula only1,427 (1.4)16 (2.0)4 (1.4)1,407 (1.4)
  Missing2,592 (2.6)30 (3.7)5 (1.8)2,557 (2.6)
Number of family members currently living together with the child 0.385c
  0135 (0.1)1 (0.1)1 (0.4)133 (0.1)
  11,598 (1.6)18 (2.2)5 (1.8)1,575 (1.6)
  230,683 (31.1)225 (28.0)95 (33.7)30,363 (31.1)
  ≥359,558 (60.4)496 (61.7)165 (58.5)58,897 (60.4)
  Missing6,626 (6.7)64 (8.0)16 (5.7)6,546 (6.7)
The period of breast milk intake, months until 6 months 0.000d; 0.000e; 0.004f; 0.792g
  Mean ± SD5.17±1.64.94±1.84.86±1.95.18±1.6
  Missing6,06364166,573
The period of artificial nutrition intake, months until 6 months 0.000d; 0.003e; 0.002f; 0.443g
  Mean ± SD2.61±2.62.92±2.6)3.14±2.62.61±2.6
  Missing6,06364166,573
Attending a childcare facility at six months, daycare center/nursery 0.060c
  Yes6,418 (6.5)67 (8.3)15 (5.3)6,336 (6.5)
  No85,365 (86.6)672 (83.6)250 (88.7)84,443 (86.6)
  Missing6,844 (6.9)65 (8.1)17 (6.0)6,762 (6.9)
Influenza virus vaccination, at 6 months 0.366c
  No90,059 (91.3)730 (90.8)261 (92.6)89,068 (91.3)
  Yes1,915 (1.9)10 (1.2)5 (1.8)1,900 (1.9)
  Missing6,653 (6.7)64 (8.0)16 (5.7)6,573 (6.7)
Rotavirus vaccination, at 6 months 0.284c
  No52,051 (52.8)431 (53.6)140 (49.6)51,480 (52.8)
  Yes39,923 (40.5)309 (38.4)126 (44.7)39,488 (40.5)
  Missing6,653 (6.7)64 (8.0)16 (5.7)6,573 (6.7)
Haemophilus influenzae type b vaccination, at 6 months 0.625c
  No6,032 (6.1)55 (6.8)17 (6.0)5,960 (6.1)
  Yes85,942 (87.1)685 (85.2)249 (88.3)85,008 (87.2)
  Missing6,653 (6.7)64 (8.0)16 (5.7)6,573 (6.7)
Pneumococcal vaccination, at 6 months 0.927c
  No6,763 (6.9)57 (7.1)19 (6.7)6,687 (6.9)
  Yes85,211 (86.4)683 (85.0)247 (87.6)84,281 (86.4)
  Missing6,653 (6.7)64 (8.0)16 (5.7)6,573 (6.7)
The period of breast milk intake, months until 1 year 0.000d; 0.000e; 0.016f; 0.991g
  Mean ± SD9.35±3.98.71±4.28.68±4.39.36±3.9
  Missing8,96792349,386
The period of artificial nutrition intake, months until 1 year 0.000d; 0.001e; 0.015f; 0.833g
  Mean ± SD5.47±5.16.14±5.26.36±5.35.46±5.1
  Missing8,96792349,386
Attendance at a childcare facility at 1 year, daycare center/nursery 0.910c
  Yes23,786 (24.1)193 (24.0)64 (22.7)23,529 (24.1)
  No64,937 (65.8)514 (63.9)183 (64.9)64,240 (65.9)
  Missing9,904 (10.0)97 (12.1)35 (12.4)9,772 (10.0)
Influenza virus vaccination, at 1 year 0.991c
  No73,063 (74.1)583 (72.5)204 (72.3)72,276 (74.1)
  Yes16,052 (16.3)129 (16.0)44 (15.6)15,879 (16.3)
  Missing9,512 (9.6)92 (11.4)34 (12.1)9,386 (9.6)
Rotavirus vaccination, at 1 year 0.152c
  No50,505 (51.2)415 (51.6)127 (45.0)49,963 (51.2)
  Yes38,610 (39.1)297 (36.9)121 (42.9)38,192 (39.2)
  Missing9,512 (9.6)92 (11.4)34 (12.1)9,386 (9.6)
Haemophilus influenzae type b vaccination, at 1 year 0.238c
  No4,520 (4.6)45 (5.6)10 (3.5)4,465 (4.6)
  Yes84,595 (85.8)667 (83.0)238 (84.4)83,690 (85.8)
  Missing9,512 (9.6)92 (11.4)34 (12.1)9,386 (9.6)
Pneumococcal vaccination, at 1 year 0.671c
  No6,086 (6.2)52 (6.5)14 (5.0)6,020 (6.2)
  Yes83,029 (84.2)660 (82.1)234 (83.0)82,135 (84.2)
  Missing9,512 (9.6)92 (11.4)34 (12.1)9,386 (9.6)
Chickenpox vaccination, at 1 year 0.928c
  No84,793 (86.0)676 (84.1)235 (83.3)83,882 (86.0)
  Yes4,322 (4.4)36 (4.5)13 (4.6)4,273 (4.4)
  Missing9,512 (9.6)92 (11.4)34 (12.1)9,386 (9.6)
Palivizumab injection, at 1 year <0.001c
  Yes2,624 (2.7)51 (6.3.0)8 (2.8)2,565 (2.6)
  No83,318 (84.5)632 (78.6)231 (81.9)82,455 (84.5)
  Missing12,685 (12.9)121 (15.0)43 (15.2)12,521 (12.8)

a Of 804 mothers, four had a history of other cancers;

b Four mothers who also had cervical cancer were excluded;

c χ2 tests;

d One-way ANOVA;

e Tukey's multiple comparison between Cervical and Nothing categories of the history of cancer;

f Tukey's multiple comparison between Others and Nothing categories of the history of cancer;

g Tukey's multiple comparison between Cervical and Others categories of the history of cancer.

Cervical cancer, blood cancer and other cancers were associated with caesarean section (Table SI). Maternal age, BMI, smoking status, income, the number of previous pregnancy losses, the presence of IVF-ET, the month of the questionnaire entry at six months and one year of age were also associated with caesarean section.

Feeding by infant formula at one month, a short period of breast feeding and a long period of artificial nutrition until six months and one year, and a palivizumab injection were associated with caesarean section (Table SII).

Among the 812 women with a history of cervical cancer, a preterm birth at both <34 and 37 weeks' gestation and PROM increased significantly (Table III). aORs using multiple imputation were as follows: 3.25 (95% CI, 2.31 to 4.57, q=0.00) for preterm birth <34 weeks' gestation, 2.82 (2.31 to 3.44, q=0.00) for preterm birth <37 weeks' gestation, and 1.67 (1.36 to 2.06, q=0.00) for PROM. History of cervical cancer did not increase the risk of congenital anomalies.

Table III.

The association of maternal and neonatal outcomes with maternal cancer histories.

Table III.

The association of maternal and neonatal outcomes with maternal cancer histories.

History of cervical cancer (n=812)History of other cancer (n=290)


Maternal and neonatal outcomebCrude ORs (95% CI)P-valueAdjusted ORsc (95% CI)q-valueAdjusted ORs using multiple imputation (95% CI)q-valueCrude ORs (95% CI)P-valueAdjusted ORsc (95% CI)q-valueAdjusted ORs using multiple imputation (95% CI)q-value
Preterm birth <34 weeks'3.780.004.050.00a3.250.00a
gestationd(2.69–5.30) (2.81–5.82) (2.31–4.57)
Preterm birth <37 weeks’3.070.002.870.00a2.820.00a1.370.171.380.531.270.53
gestationd(2.52–3.75) (2.31–3.56) (2.31–3.44) (0.87–2.17) (0.85–2.24) (0.81–2.01)
Placenta previad1.320.471.300.691.150.90
(0.62–2.78) (0.61–2.76) (0.54–2.44)
Premature ruptured1.620.001.620.00a1.670.00a0.870.520.830.670.810.58
(1.32–1.99) (1.30–2.01) (1.36–2.06) (0.56–1.34) (0.52–1.31) (0.52–1.26)
Oligohydramniosd1.080.810.870.941.060.97
(0.59–1.95) (0.43–1.76) (0.58–1.93)
Mild hypertensive0.810.410.710.550.750.531.700.081.400.671.520.50
disorders of pregnancyd(0.48–1.34) (0.41–1.23) (0.45–1.26) (0.93–3.12) (0.71–2.75) (0.82–2.81)
Severe hypertensive1.020.950.940.990.960.97
disorders of pregnancyd(0.51–2.06) (0.45–2.00) (0.47–1.93)
Uterine infection1.420.361.430.671.340.69
(0.67–3.00) (0.63–3.22) (0.63–2.85)
Small for gestational0.730.020.740.110.730.081.020.910.991.001.020.97
age (<10%)d(0.56–0.95) (0.56–0.97) (0.56–0.95) (0.70–1.50) (0.65–1.50) (0.70–1.51)
Physical anomalies1.040.761.030.991.000.991.370.141.440.301.280.53
at birth(0.79–1.38) (0.76–1.38) (0.76–1.33) (0.90–2.09) (0.94–2.22) (0.84–1.96)
Physical anomalies at1.160.191.100.671.140.530.980.920.960.990.940.91
1 month(0.93–1.47) (0.86–1.40) (0.91–1.44) (0.65–1.48) (0.62–1.48) (0.62–1.41)
Caesarean1.320.001.250.061.190.131.640.001.440.061.430.04a
(1.12–1.55) (1.05–1.49) (1.01–1.41) (1.27–2.13) (1.09–1.91) (1.10–1.87)

a Significance at q<0.05, adjusted using the Benjamin-Hochberg method for false detection rate;

b outcomes with an expected frequency of less than 5 were excluded from the analysis;

c Adjusted for maternal age at registration, maternal BMI before pregnancy, maternal smoking status, household income, pregnancy loss history, the presence/absence of IVF-ET, and previous deliveries;

d Miscarriage and artificial abortion were excluded from analyses.

In the 290 women with a history of other cancers, the incidence of caesarean section was significantly higher (1.43, 1.10 to 1.17, q=0.04).

The associations of infant outcomes with maternal cancer histories are shown in Table IV. Lower respiratory tract inflammation in one-year-old infants born by vaginal delivery, but not caesarean section, increased significantly in cases with a history of cervical cancer (1.77, 1.33 to 2.36, q=0.00).

Table IV.

The associations of infant outcomes with maternal cancer histories.

Table IV.

The associations of infant outcomes with maternal cancer histories.

History of cervical cancer History of other cancer


Transvaginal (n=609)Caesarean (n=192)Transvaginal (n=202)Caesarean (n=80)




OutcomesbCrude ORs (95% CI)P-valueAdjusted ORs (95% CI)q-valueAdjusted ORs using multiple imputation (95% CI)q-valueCrude ORs (95% CI)P-valueAdjusted ORs (95% CI)q-valueAdjusted ORs using multiple imputation (95% CI)q-valueCrude ORs (95% CI)P-valueAdjusted ORs (95% CI)q-valueAdjusted ORs using multiple imputation (95% CI)q-valueCrude ORs (95% CI)P-valueAdjusted ORs (95% CI)q-valueAdjusted ORs using multiple imputation (95% CI)q-value
At 6-month-oldc
  Otitis media0.890.700.690.890.820.95------------------
(0.50–1.58) (0.35–1.34) (0.46–1.47)
  Upper respiratory1.120.351.140.891.090.931.050.800.991.000.971.001.070.750.961.001.011.001.180.611.131.001.141.00
  inflammation(0.89–1.41) (0.89–1.46) (0.86–1.38) (0.69–1.60) (0.63–1.55) (0.63–1.49) (0.71–1.59) (0.62–1.50) (0.67–1.52) (0.63–2.19) (0.56–2.25) (0.61–2.15)
  Respiratory0.890.580.961.000.830.901.700.061.630.711.590.750.870.691.021.000.931.00------
  syncytial virus(0.59–1.34) (0.63–1.46) (0.55–1.26) (0.98–2.95) (0.91–2.93) (0.91–2.79) (0.43–1.76) (0.50–2.1) (0.46–1.91)
  Exanthema1.040.900.891.000.961.00------------------
  subitum(0.57–1.89) (0.46–1.74) (0.53–1.75)
  Influenza1.400.270.901.001.270.93------------------
(0.77–2.55) (0.42–1.92) (0.69–2.32)
  Diarrhea and1.580.111.570.711.360.90------------------
  vomiting (gastroenteritis)(0.91–2.74) (0.90–2.76) (0.78–2.38)
At 1-year-oldd
  Otitis media0.910.500.830.890.890.931.100.671.111.001.051.000.830.460.881.000.871.001.240.531.890.711.450.90
(0.69–1.20) (0.60–1.15) (0.67–1.18) (0.70–1.73) (0.67–1.83) (0.65–1.68) (0.50–1.37) (0.51–1.53) (0.52–1.45) (0.63–2.42) (0.88–4.02) (0.72–2.92)
  Upper respiratory0.990.961.100.921.021.001.310.111.081.001.310.751.270.151.220.891.220.901.800.021.770.711.720.41
  inflammation(0.81–1.22) (0.88–1.38) (0.83–1.25) (0.94–1.82) (0.73–1.59) (0.93–1.85) (0.91–1.77) (0.84–1.75) (0.87–1.71) (1.10–2.93) (0.99–3.16) (1.04–2.85)
  Lower respiratory1.840.001.740.02a1.770.00a1.100.761.001.001.011.000.730.390.640.890.770.93------
  inflammation(1.40–2.43) (1.27–2.39) (1.33–2.36) (0.61–1.98) (0.51–1.93) (0.55–1.85) (0.36–1.49) (0.28–1.47) (0.38–1.58)
  Diarrhea and0.860.350.790.890.800.751.220.400.911.001.141.001.050.841.031.001.101.001.530.210.881.001.411.00
  vomiting (gastroenteritis)(0.63–1.18) (0.56–1.12) (0.58–1.10) (0.76–1.95) (0.52–1.61) (0.70–1.84) (0.64–1.74) (0.59–1.82) (0.66–1.84) (0.78–3.00) (0.34–2.28) (0.71–2.83)
  Influenza1.260.181.111.001.170.901.440.211.041.001.320.901.050.880.961.001.061.00------
(0.90–1.77) (0.75– (0.83–1.66) (0.82–2.55) (0.52–2.08) (0.74–2.36) (0.55–1.99) (0.47–1.98) (0.56–2.03)
  Exanthema1.000.971.031.001.001.001.080.700.971.001.041.001.080.681.260.891.180.901.550.101.690.711.990.25
  subitum(0.81–1.24) (0.81–1.30) (0.81–1.24) (0.74–1.56) (0.64–1.48) (0.71–1.52) (0.75–1.54) (0.85–1.86) (0.82–1.71) (0.92–2.63) (0.88–3.25) (1.15–3.45)
  Herpangina1.180.441.121.001.180.931.580.162.010.711.630.750.580.280.701.000.590.90------
(0.78–1.78) (0.70–1.79) (0.78–1.8) (0.83–3.00) (1.03–3.93) (0.84–3.16) (0.22–1.57) (0.26–1.91) (0.22–1.61)
  Hand, foot and0.800.230.700.710.790.900.330.030.410.710.330.410.980.951.111.001.021.00------
  mouth disease(0.55–1.15) (0.45–1.08) (0.54–1.16) (0.12–0.90) (0.15–1.11) (0.12–0.9) (0.55–1.76) (0.59–2.07) (0.56–1.86)
  Adenovirus1.060.821.250.921.011.000.770.600.560.920.641.000.200.100.250.890.210.75------
(0.64–1.75) (0.75–2.08) (0.60–1.67) (0.28–2.08) (0.18–1.81) (0.23–1.78) (0.03–1.40) (0.03–1.77) (0.03–1.53)
  Respiratory0.840.270.750.710.790.751.400.141.310.891.370.750.920.741.051.000.971.001.000.991.470.921.061.00
  syncytial virus(0.62–1.14) (0.53–1.06) (0.58–1.08) (0.90–2.17) (0.79–2.16) (0.87–2.17) (0.55–1.53) (0.61–1.80) (0.58–1.64) (0.46–2.18) (0.65–3.33) (0.47–2.36)
  Chickenpox0.820.430.971.000.780.900.490.220.530.890.440.750.940.870.961.0011.00------
(0.50–1.35) (0.58–1.61) (0.47–1.30) (0.16–1.53) (0.17–1.69) (0.14–1.39) (0.41–2.11) (0.39–2.37) (0.44–2.27)

a Significance at q<0.05, adjusted using the Benjamin-Hochberg method for false detection rate;

b Outcomes with an expected frequency of less than 5 were excluded from the analysis;

c Covariates at 6 month of age: Maternal age at registration, maternal BMI before pregnancy, maternal smoking status, household income, pregnancy loss history, the presence/absence of IVF-ET, previous deliveries, sex of child, maternal allergy and ear, nose, and throat disease, congenital diseases of the child, feeding method at one month of age, number of family members currently living together with the child, the month of questionnaire entry at six months of age, the period of breast milk intake (until six month of age), the period of artificial nutrition intake (until six months of age), attendance at a childcare facility at six month of age (daycare center/nursery), influenza virus vaccination, rotavirus vaccination, and Haemophilus influenzae type b and pneumococcal vaccination;

d Covariates at 1 year of age: we added the month of questionnaire entry at one year of age, the period of breast milk intake (until one year of age), the period of artificial nutrition intake (until one year of age), attendance at a childcare facility at one year of age (daycare center/nursery), employment status, influenza virus vaccination, rotavirus vaccination, Haemophilus influenzae type b and pneumococcal vaccination, palivizumab injection, and chickenpox vaccination to the covariates at six months of age.

Discussion

We found for the first time that lower respiratory tract inflammation in one-year-old infants born by vaginal delivery but not caesarean section was significantly higher in cervical cancer survivors. No risk of other infant inflammations was found in any of the cancer survivors.

Newborn babies experience rapid colonization mainly by passage through the maternal vagina, and the difference in the gut microbiota of infants between vaginal delivery and caesarean section may result from significant differences between vaginal and endometrial microbiota (14). Shao et al conducted a whole-genome shotgun metagenomic analysis of 1,679 gut microbiota samples during the neonatal period and in infancy from 596 full-term babies born in UK hospitals and found disrupted transmission of maternal Bacteroides strains, and high-level colonization by opportunistic pathogens associated with the hospital environment (including Enterococcus, Enterobacter and Klebsiella species), in babies delivered by caesarean section (15). These effects were also seen in vaginally delivered babies whose mothers underwent antibiotic prophylaxis and in babies who were not breastfed during the neonatal period. This analysis demonstrated that the mode of delivery is a significant factor that affects the composition of the gut microbiota throughout the neonatal period and into infancy.

A meta-analysis revealed that caesarean section is a risk factor for respiratory tract infections (pooled OR 1.30, 95% CI 1.06-1.60), asthma (1.23, 1.14-1.33) as well as obesity (1.35, 1.29-1.41) in offspring (16). The risk of severe lower respiratory inflammation during infancy was moderately elevated in infants born by planned caesarean, compared to those born vaginally, in the general population (17). Thus, rapid colonization by maternal vaginal microbiota might be important for protecting the infant from infectious disease.

In the present study however, lower respiratory tract inflammation was higher in infants born by vaginal delivery from cervical cancer survivors. Cervical cancer is well-known to be caused by high-risk human papillomavirus (HPV) infections. HPV infection induces vaginal microbial taxonomic shifts and may influence the maintenance of microbial homeostasis (18). Sims et al demonstrated that the diversity of gut microbiota was associated with a favorable response to chemoradiation in patients with cervical cancer and that compositional variation correlated with short term and long-term survival (19).

Regarding advance pregnancy outcomes in AYA cancer survivors, the first birth cohort study compared outcomes of 1,894 AYA survivors diagnosed in Western Australia during the period from 1982 to 2007 with those of controls matched by maternal age, parity and year of delivery (5). Female survivors had an increased risk of threatened abortion, gestational diabetes, pre-eclampsia, post-partum hemorrhage, caesarean delivery, maternal postpartum hospitalization >5 days, premature birth (<37 weeks), low birth weight, fetal growth restriction, neonatal distress indicated by low Apgar score (<7) at 1 min, and the need for resuscitation or special care nursery admission. Our present study found no risk of HDP and SGA. The limitation of Haggar's study was that covariates were adjusted for only age and parity (5).

Anderson et al showed a significantly increased risk of preterm birth (prevalence ratio 1.52, 95% CI 1.34-1.71), low birth weight (1.59, 1.38-1.83), and caesarean delivery (1.08, 1.01-1.14) (1). The higher prevalence of these outcomes was most concentrated among births to women diagnosed during pregnancy. Other factors associated with a preterm birth and low birth weight included treatment with chemotherapy and a diagnosis of breast cancer, non-Hodgkin's lymphoma, or gynecological cancers. The prevalence of SGA and a low Apgar score (<7) did not differ significantly between groups. The results were in line with our findings.

Ji et al found a risk of stillbirth among children of female cancer survivors who were born within three years after a cancer diagnosis (1.92, 1.03-3.57) and suggested that the risk of stillbirth was negatively associated with the time after the diagnosis, providing evidence that the adverse effect associated with cancer treatment may diminish with time (20).

Cervical cancer was the most frequent and women with a prior cervical cancer had a higher risk of preterm birth in the present study. This is in line with previous study (21,22). Nitecki et al found that 2.9% (118/4087) of patients conceived at least 3 months after fertility-sparing surgery for stage I cervical cancer and had higher odds of preterm birth and neonatal morbidity (21). There was no difference in rates of SGA, stillbirth, caesarean delivery and maternal morbidity. The cervical intraepithelial neoplasia grade 3 (CIN 3) is speculated to be included in the present study because fertility rate after surgery for Stage I cervical cancer is very low. He et al found that 78450 patients with a prior CIN 3 had an increase risk of preterm birth, chorioamnionitis, infant sepsis and neonatal death compared to 784500 matched controls (22). We should pay attention to chorioamnionitis, infant sepsis and neonatal death though we could not examine the risk. Persistent vaginal HPV-16/18 detection was reported to be significantly associated with preterm birth (23). The study to examine whether HPV vaccination has an effect to prevent it is also necessary.

In our present study, 56 women had cancer as a complication during pregnancy, however, details regarding treatment and age at cancer diagnosis were not available. This was one limitation of our study. The type of cancer was not taken into account in analysis since the number of women with a history of each specific cancer was small. The CIN 3 might be included in cervical cancer because questionnaires were self-administered. These were other limitations.

In conclusion, lower respiratory tract inflammation in one-year-old infants born by vaginal delivery increased significantly in cervical cancer survivors. No risk of other infant inflammations was found in the total group of survivors. Infants delivered from women with prior cervical cancer should be taken care till one year old. Further study concerning an association between HPV and lower respiratory inflammation is necessary. It was ascertained that preterm births increased in women with a history of cervical cancer, that caesarean section increased in all cancer survivors and that there was no increase in congenital anomalies in the cancer survivors as a whole. It is important to provide this information to cancer survivors before they become pregnant.

Supplementary Material

Supporting Data

Acknowledgements

The authors would like to thank all of the JECS participants and all obstetricians in the 15 Regional Centers. Members of the JECS Group as of 2021 are: Michihiro Kamijima (principal investigator, Nagoya City University, Nagoya, Japan), Shin Yamazaki (National Institute for Environmental Studies, Tsukuba, Japan), Yukihiro Ohya (National Center for Child Health and Development, Tokyo, Japan), Reiko Kishi (Hokkaido University, Sapporo, Japan), Nobuo Yaegashi (Tohoku University, Sendai, Japan), Koichi Hashimoto (Fukushima Medical University, Fukushima, Japan), Chisato Mori (Chiba University, Chiba, Japan), Shuichi Ito (Yokohama City University, Yokohama, Japan), Zentaro Yamagata (University of Yamanashi, Chuo, Japan), Hidekuni Inadera (University of Toyama, Toyama, Japan), Takeo Nakayama (Kyoto University, Kyoto, Japan), Hiroyasu Iso (Osaka University, Suita, Japan), Masayuki Shima (Hyogo College of Medicine, Nishinomiya, Japan), Hiroshige Nakamura (Tottori University, Yonago, Japan), Narufumi Suganuma (Kochi University, Nankoku, Japan), Koichi Kusuhara (University of Occupational and Environmental Health, Kitakyushu, Japan), and Takahiko Katoh (Kumamoto University, Kumamoto, Japan).

Funding

This study was funded by the Ministry of the Environment, Government of Japan.

Availability of data and materials

The datasets generated and/or analyzed during the current study are not publicly available due to the Act on the Protection of Personal Information (Act No. 57 of 30 May 2003, amendment on 9 September 2015) but are available from the corresponding author on reasonable request. Ethical Guidelines for Epidemiological Research enforced by the Japan Ministry of Education, Culture, Sports, Science and Technology and the Ministry of Health, Labour and Welfare also restricts the open sharing of the epidemiologic data. All inquiries about access to data should be sent to: jecs-en@nies.go.jp. The person responsible for handling enquiries sent to this e-mail address is Dr. Shoji F. Nakayama, JECS Programme Office, National Institute for Environmental Studies.

Authors' contributions

The JECS group conducted the nationwide study project. RN wrote the first draft of the manuscript. MSO designed the present study and analyzed the data. TM and HT analyzed the data. TE organized the study team, and was responsible for obtaining and analyzing the data. MK was responsible for data acquisition and supervision of the study. RN, SK, KK and SS were responsible for data acquisition. MK and TE confirm the authenticity of all the raw data. All authors interpreted the data, contributed to the writing of the manuscript and revised it critically for important intellectual content. All authors read and approved the final manuscript.

Ethics approval and consent to participate

The JECS was approved by the Institutional Review Board of the Japan National Institute for Environmental Studies (approval no. 100910001), as well as by the ethics committees of all participating institutions. This study was conducted with the approval of the Research Ethics Committee of Nagoya City University Graduate School of Medical Sciences (approval nos. 554 and 554-2). Written informed consent was obtained from all participants.

Patient consent for publication

Not applicable.

Competing interests

The authors declare that they have no competing interests.

References

1 

Anderson C, Engel SM, Mersereau JE, Black KZ, Wood WA, Anders CK and Nichols HB: Birth outcomes among adolescent and young adult cancer survivors. JAMA Oncol. 3:1078–1084. 2017. View Article : Google Scholar : PubMed/NCBI

2 

Chow EJ, Stratton KL, Leisenring WM, Oeffinger KC, Sklar CA, Donaldson SS, Ginsberg JP, Kenney LB, Levine JM, Robison LL, et al: Pregnancy after chemotherapy in male and female survivors of childhood cancer treated between 1970 and 1999: A report from the childhood cancer survivor study cohort. Lancet Oncol. 17:567–576. 2016. View Article : Google Scholar : PubMed/NCBI

3 

Anderson RA, Brewster DH, Wood R, Nowell S, Fischbacher C, Kelsey TW and Wallace WHB: The impact of cancer on subsequent chance of pregnancy: A population-based analysis. Hum Reprod. 33:1281–1290. 2018. View Article : Google Scholar : PubMed/NCBI

4 

Velez MP, Richardson H, Baxter NN, McClintock C, Greenblatt E, Barr R and Green M: Risk of infertility in female adolescents and young adults with cancer: A population-based cohort study. Hum Reprod. 36:1981–1988. 2021. View Article : Google Scholar : PubMed/NCBI

5 

Haggar FA, Pereira G, Preen D, Holman CD and Einarsdottir K: Adverse obstetric and perinatal outcomes following treatment of adolescent and young adult cancer: A population-based cohort study. PLoS One. 9:e1132922014. View Article : Google Scholar : PubMed/NCBI

6 

Armuand G, Svanberg AS, Bladh M and Sydsjö G: Adverse obstetric outcomes among female childhood and adolescent cancer survivors in Sweden: A population-based matched cohort study. Acta Obstet Gynecol Scand. 98:1603–1611. 2019. View Article : Google Scholar : PubMed/NCBI

7 

Japan Society of Obstetrics and Gynecology, . Cervical Cancer. https://www.jsog.or.jp/modules/diseases/index.php?content_id=10

8 

Kawamoto T, Nitta H, Murata K, Toda E, Tsukamoto N, Hasegawa M, Yamagata Z, Kayama F, Kishi R, Ohya Y, et al: Rationale and study design of the Japan environment and children's study (JECS). BMC Public Health. 14:252014. View Article : Google Scholar : PubMed/NCBI

9 

Suzuki K, Shinohara R, Sato M, Otawa S and Yamagata Z: Association between maternal smoking during pregnancy and birth weight: An appropriately adjusted model from the Japan environment and children's study. J Epidemiol. 26:371–377. 2016. View Article : Google Scholar : PubMed/NCBI

10 

Ishitsuka K, Nakayama SF, Kishi R, Mori C, Yamagata Z, Ohya Y, Kawamoto T and Kamijima M: Japan environment and children's study: Backgrounds, activities, and future directions in global perspectives. Environ Health Prev Med. 22:612017. View Article : Google Scholar : PubMed/NCBI

11 

Michikawa T, Nitta H, Nakayama SF, Yamazaki S, Isobe T, Tamura K, Suda E, Ono M, Yonemoto J, Iwai–Shimada M, et al: Japan environment and children's study group. Baseline profile of participants in the Japan environment and children's study (JECS). J Epidemiol. 28:99–104. 2018. View Article : Google Scholar : PubMed/NCBI

12 

Sugiura-Ogasawara M, Ebara T, Matsuki T, Yamada Y, Omori T, Matsumoto Y, Kato S, Kano H, Kurihara T, Saitoh S, et al: Endometriosis and recurrent pregnancy loss as new risk factors for venous thromboembolism during pregnancy and post–partum: The JECS birth cohort. Thromb Haemost. 119:606–617. 2019. View Article : Google Scholar : PubMed/NCBI

13 

Vandenbroucke JP, von Elm E, Altman DG, Gøtzsche PC, Mulrow CD, Pocock SJ, Poole C, Schlesselman JJ and Egger M: Strengthening the reporting of observational studies in epidemiology (STROBE): Explanation and elaboration. PLoS Med. 4:e2972007. View Article : Google Scholar : PubMed/NCBI

14 

Moreno I and Simon C: Relevance of assessing the uterine microbiota in infertility. Fertil Steril. 110:337–343. 2018. View Article : Google Scholar : PubMed/NCBI

15 

Shao Y, Forster SC, Tsaliki E, Vervier K, Strang A, Simpson N, Kumar N, Stares MD, Rodger A, Brocklehurst P, et al: Stunted microbiota and opportunistic pathogen colonization in caesarean–section birth. Nature. 574:117–121. 2019. View Article : Google Scholar : PubMed/NCBI

16 

Słabuszewska-Jóźwiak A, Szymański JK, Ciebiera M, Sarecka-Hujar B and Jakiel G: Pediatrics consequences of caesarean section–a systematic review and meta–analysis. Int J Environ Res Public Health. 17:80312020. View Article : Google Scholar : PubMed/NCBI

17 

Alterman N, Kurinczuk JJ and Quigley MA: Caesarean section and severe upper and lower respiratory tract infections during infancy: Evidence from two UK cohorts. PLoS One. 16:e02468322021. View Article : Google Scholar : PubMed/NCBI

18 

Chorna N, Romaguera J and Godoy-Vitorino F: Cervicovaginal microbiome and urine metabolome paired analysis reveals niche partitioning of the microbiota in patients with human papilloma virus infections. Metabolites. 10:362020. View Article : Google Scholar : PubMed/NCBI

19 

Sims TT, El Alam MB, Karpinets TV, Dorta-Estremera S, Hegde VL, Nookala S, Yoshida-Court K, Wu X, Biegert GWG, Medrano AY, et al: Gut microbiome diversity is an independent predictor of survival in cervical cancer patients receiving chemoradiation. Commun Biol. 4:2372021. View Article : Google Scholar : PubMed/NCBI

20 

Ji J, Sundquist J and Sundquist K: Stillbirth and neonatal death among female cancer survivors: A national cohort study. Int J Cancer. 139:1046–1052. 2016. View Article : Google Scholar : PubMed/NCBI

21 

Nitecki R, Floyd J, Lamiman K, Clapp MA, Fu S, Jorgensen K, Melamed A, Brady PC, Kaimal A, Del Carmen MG, et al: Outcomes of the first pregnancy after fertility-sparing surgery for early-stage cervical cancer. Obstet Gynecol. 138:565–573. 2021. View Article : Google Scholar : PubMed/NCBI

22 

He W, Sparén P, Fang F, Sengpiel V, Strander B and Czene K: Pregnancy outcomes in women with a prior cervical intraepithelial neoplasia grade 3 diagnosis: A nationwide population-based cohort study with sibling comparison design. Ann Intern Med. 175:210–218. 2022. View Article : Google Scholar : PubMed/NCBI

23 

Niyibizi J, Mayrand MH, Audibert F, Monnier P, Brassard P, Laporte L, Lacaille J, Zahreddine M, Bédard MJ, Girard I, et al: Association between human papillomavirus infection among pregnant women and preterm birth. JAMA Netw Open. 4:e21253082021. View Article : Google Scholar : PubMed/NCBI

Related Articles

  • Abstract
  • View
  • Download
  • Twitter
Copy and paste a formatted citation
Spandidos Publications style
Nishikawa R, Sugiura‑Ogasawara M, Ebara T, Matsuki T, Tamada H, Kato S, Kaneko K, Saitoh S, Kamijima M, T, T, et al: Adverse pregnancy outcomes of cancer survivors and infectious disease in their infants: The Japan Environment and Children's Study. Oncol Lett 25: 100, 2023.
APA
Nishikawa, R., Sugiura‑Ogasawara, M., Ebara, T., Matsuki, T., Tamada, H., Kato, S. ... , T. (2023). Adverse pregnancy outcomes of cancer survivors and infectious disease in their infants: The Japan Environment and Children's Study. Oncology Letters, 25, 100. https://doi.org/10.3892/ol.2023.13686
MLA
Nishikawa, R., Sugiura‑Ogasawara, M., Ebara, T., Matsuki, T., Tamada, H., Kato, S., Kaneko, K., Saitoh, S., Kamijima, M., , T."Adverse pregnancy outcomes of cancer survivors and infectious disease in their infants: The Japan Environment and Children's Study". Oncology Letters 25.3 (2023): 100.
Chicago
Nishikawa, R., Sugiura‑Ogasawara, M., Ebara, T., Matsuki, T., Tamada, H., Kato, S., Kaneko, K., Saitoh, S., Kamijima, M., , T."Adverse pregnancy outcomes of cancer survivors and infectious disease in their infants: The Japan Environment and Children's Study". Oncology Letters 25, no. 3 (2023): 100. https://doi.org/10.3892/ol.2023.13686
Copy and paste a formatted citation
x
Spandidos Publications style
Nishikawa R, Sugiura‑Ogasawara M, Ebara T, Matsuki T, Tamada H, Kato S, Kaneko K, Saitoh S, Kamijima M, T, T, et al: Adverse pregnancy outcomes of cancer survivors and infectious disease in their infants: The Japan Environment and Children's Study. Oncol Lett 25: 100, 2023.
APA
Nishikawa, R., Sugiura‑Ogasawara, M., Ebara, T., Matsuki, T., Tamada, H., Kato, S. ... , T. (2023). Adverse pregnancy outcomes of cancer survivors and infectious disease in their infants: The Japan Environment and Children's Study. Oncology Letters, 25, 100. https://doi.org/10.3892/ol.2023.13686
MLA
Nishikawa, R., Sugiura‑Ogasawara, M., Ebara, T., Matsuki, T., Tamada, H., Kato, S., Kaneko, K., Saitoh, S., Kamijima, M., , T."Adverse pregnancy outcomes of cancer survivors and infectious disease in their infants: The Japan Environment and Children's Study". Oncology Letters 25.3 (2023): 100.
Chicago
Nishikawa, R., Sugiura‑Ogasawara, M., Ebara, T., Matsuki, T., Tamada, H., Kato, S., Kaneko, K., Saitoh, S., Kamijima, M., , T."Adverse pregnancy outcomes of cancer survivors and infectious disease in their infants: The Japan Environment and Children's Study". Oncology Letters 25, no. 3 (2023): 100. https://doi.org/10.3892/ol.2023.13686
Follow us
  • Twitter
  • LinkedIn
  • Facebook
About
  • Spandidos Publications
  • Careers
  • Cookie Policy
  • Privacy Policy
How can we help?
  • Help
  • Live Chat
  • Contact
  • Email to our Support Team