Spandidos Publications Logo
  • About
    • About Spandidos
    • Aims and Scopes
    • Abstracting and Indexing
    • Editorial Policies
    • Reprints and Permissions
    • Job Opportunities
    • Terms and Conditions
    • Contact
  • Journals
    • All Journals
    • Oncology Letters
      • Oncology Letters
      • Information for Authors
      • Editorial Policies
      • Editorial Board
      • Aims and Scope
      • Abstracting and Indexing
      • Bibliographic Information
      • Archive
    • International Journal of Oncology
      • International Journal of Oncology
      • Information for Authors
      • Editorial Policies
      • Editorial Board
      • Aims and Scope
      • Abstracting and Indexing
      • Bibliographic Information
      • Archive
    • Molecular and Clinical Oncology
      • Molecular and Clinical Oncology
      • Information for Authors
      • Editorial Policies
      • Editorial Board
      • Aims and Scope
      • Abstracting and Indexing
      • Bibliographic Information
      • Archive
    • Experimental and Therapeutic Medicine
      • Experimental and Therapeutic Medicine
      • Information for Authors
      • Editorial Policies
      • Editorial Board
      • Aims and Scope
      • Abstracting and Indexing
      • Bibliographic Information
      • Archive
    • International Journal of Molecular Medicine
      • International Journal of Molecular Medicine
      • Information for Authors
      • Editorial Policies
      • Editorial Board
      • Aims and Scope
      • Abstracting and Indexing
      • Bibliographic Information
      • Archive
    • Biomedical Reports
      • Biomedical Reports
      • Information for Authors
      • Editorial Policies
      • Editorial Board
      • Aims and Scope
      • Abstracting and Indexing
      • Bibliographic Information
      • Archive
    • Oncology Reports
      • Oncology Reports
      • Information for Authors
      • Editorial Policies
      • Editorial Board
      • Aims and Scope
      • Abstracting and Indexing
      • Bibliographic Information
      • Archive
    • Molecular Medicine Reports
      • Molecular Medicine Reports
      • Information for Authors
      • Editorial Policies
      • Editorial Board
      • Aims and Scope
      • Abstracting and Indexing
      • Bibliographic Information
      • Archive
    • World Academy of Sciences Journal
      • World Academy of Sciences Journal
      • Information for Authors
      • Editorial Policies
      • Editorial Board
      • Aims and Scope
      • Abstracting and Indexing
      • Bibliographic Information
      • Archive
    • International Journal of Functional Nutrition
      • International Journal of Functional Nutrition
      • Information for Authors
      • Editorial Policies
      • Editorial Board
      • Aims and Scope
      • Abstracting and Indexing
      • Bibliographic Information
      • Archive
    • International Journal of Epigenetics
      • International Journal of Epigenetics
      • Information for Authors
      • Editorial Policies
      • Editorial Board
      • Aims and Scope
      • Abstracting and Indexing
      • Bibliographic Information
      • Archive
    • Medicine International
      • Medicine International
      • Information for Authors
      • Editorial Policies
      • Editorial Board
      • Aims and Scope
      • Abstracting and Indexing
      • Bibliographic Information
      • Archive
  • Articles
  • Information
    • Information for Authors
    • Information for Reviewers
    • Information for Librarians
    • Information for Advertisers
    • Conferences
  • Language Editing
Spandidos Publications Logo
  • About
    • About Spandidos
    • Aims and Scopes
    • Abstracting and Indexing
    • Editorial Policies
    • Reprints and Permissions
    • Job Opportunities
    • Terms and Conditions
    • Contact
  • Journals
    • All Journals
    • Biomedical Reports
      • Information for Authors
      • Editorial Policies
      • Editorial Board
      • Aims and Scope
      • Abstracting and Indexing
      • Bibliographic Information
      • Archive
    • Experimental and Therapeutic Medicine
      • Information for Authors
      • Editorial Policies
      • Editorial Board
      • Aims and Scope
      • Abstracting and Indexing
      • Bibliographic Information
      • Archive
    • International Journal of Epigenetics
      • Information for Authors
      • Editorial Policies
      • Editorial Board
      • Aims and Scope
      • Abstracting and Indexing
      • Bibliographic Information
      • Archive
    • International Journal of Functional Nutrition
      • Information for Authors
      • Editorial Policies
      • Editorial Board
      • Aims and Scope
      • Abstracting and Indexing
      • Bibliographic Information
      • Archive
    • International Journal of Molecular Medicine
      • Information for Authors
      • Editorial Policies
      • Editorial Board
      • Aims and Scope
      • Abstracting and Indexing
      • Bibliographic Information
      • Archive
    • International Journal of Oncology
      • Information for Authors
      • Editorial Policies
      • Editorial Board
      • Aims and Scope
      • Abstracting and Indexing
      • Bibliographic Information
      • Archive
    • Medicine International
      • Information for Authors
      • Editorial Policies
      • Editorial Board
      • Aims and Scope
      • Abstracting and Indexing
      • Bibliographic Information
      • Archive
    • Molecular and Clinical Oncology
      • Information for Authors
      • Editorial Policies
      • Editorial Board
      • Aims and Scope
      • Abstracting and Indexing
      • Bibliographic Information
      • Archive
    • Molecular Medicine Reports
      • Information for Authors
      • Editorial Policies
      • Editorial Board
      • Aims and Scope
      • Abstracting and Indexing
      • Bibliographic Information
      • Archive
    • Oncology Letters
      • Information for Authors
      • Editorial Policies
      • Editorial Board
      • Aims and Scope
      • Abstracting and Indexing
      • Bibliographic Information
      • Archive
    • Oncology Reports
      • Information for Authors
      • Editorial Policies
      • Editorial Board
      • Aims and Scope
      • Abstracting and Indexing
      • Bibliographic Information
      • Archive
    • World Academy of Sciences Journal
      • Information for Authors
      • Editorial Policies
      • Editorial Board
      • Aims and Scope
      • Abstracting and Indexing
      • Bibliographic Information
      • Archive
  • Articles
  • Information
    • For Authors
    • For Reviewers
    • For Librarians
    • For Advertisers
    • Conferences
  • Language Editing
Login Register Submit
  • This site uses cookies
  • You can change your cookie settings at any time by following the instructions in our Cookie Policy. To find out more, you may read our Privacy Policy.

    I agree
Search articles by DOI, keyword, author or affiliation
Search
Advanced Search
presentation
Oncology Letters
Join Editorial Board Propose a Special Issue
Print ISSN: 1792-1074 Online ISSN: 1792-1082
Journal Cover
April-2023 Volume 25 Issue 4

Full Size Image

Sign up for eToc alerts
Recommend to Library

Journals

International Journal of Molecular Medicine

International Journal of Molecular Medicine

International Journal of Molecular Medicine is an international journal devoted to molecular mechanisms of human disease.

International Journal of Oncology

International Journal of Oncology

International Journal of Oncology is an international journal devoted to oncology research and cancer treatment.

Molecular Medicine Reports

Molecular Medicine Reports

Covers molecular medicine topics such as pharmacology, pathology, genetics, neuroscience, infectious diseases, molecular cardiology, and molecular surgery.

Oncology Reports

Oncology Reports

Oncology Reports is an international journal devoted to fundamental and applied research in Oncology.

Experimental and Therapeutic Medicine

Experimental and Therapeutic Medicine

Experimental and Therapeutic Medicine is an international journal devoted to laboratory and clinical medicine.

Oncology Letters

Oncology Letters

Oncology Letters is an international journal devoted to Experimental and Clinical Oncology.

Biomedical Reports

Biomedical Reports

Explores a wide range of biological and medical fields, including pharmacology, genetics, microbiology, neuroscience, and molecular cardiology.

Molecular and Clinical Oncology

Molecular and Clinical Oncology

International journal addressing all aspects of oncology research, from tumorigenesis and oncogenes to chemotherapy and metastasis.

World Academy of Sciences Journal

World Academy of Sciences Journal

Multidisciplinary open-access journal spanning biochemistry, genetics, neuroscience, environmental health, and synthetic biology.

International Journal of Functional Nutrition

International Journal of Functional Nutrition

Open-access journal combining biochemistry, pharmacology, immunology, and genetics to advance health through functional nutrition.

International Journal of Epigenetics

International Journal of Epigenetics

Publishes open-access research on using epigenetics to advance understanding and treatment of human disease.

Medicine International

Medicine International

An International Open Access Journal Devoted to General Medicine.

Journal Cover
April-2023 Volume 25 Issue 4

Full Size Image

Sign up for eToc alerts
Recommend to Library

  • Article
  • Citations
    • Cite This Article
    • Download Citation
    • Create Citation Alert
    • Remove Citation Alert
    • Cited By
  • Similar Articles
    • Related Articles (in Spandidos Publications)
    • Similar Articles (Google Scholar)
    • Similar Articles (PubMed)
  • Download PDF
  • Download XML
  • View XML

  • Supplementary Files
    • Supplementary_Data.pdf
Article Open Access

Diagnostic utility of trefoil factor families for the early detection of lung cancer and their correlation with tissue expression

  • Authors:
    • Kentaro Minegishi
    • Yoh Dobashi
    • Teruhide Koyama
    • Yuko Ishibashi
    • Miki Furuya
    • Hiroyoshi Tsubochi
    • Yasukazu Ohmoto
    • Tomohiko Yasuda
    • Sachiyo Nomura
  • View Affiliations / Copyright

    Affiliations: Department of Thoracic Surgery, Saitama Medical Center, Jichi Medical University, Saitama, Saitama 330‑8500, Japan, Department of Medicine, Saitama Medical Center, Jichi Medical University, Saitama, Saitama 330‑8500, Japan, Department of Epidemiology for Community Health and Medicine, Kyoto Prefectural University of Medicine, Kyoto, Kyoto 602‑8566, Japan, Department of Surgery, Breast Surgery, Tokyo Women's Medical University, Adachi Medical Center, Adachi, Tokyo 123‑8558, Japan, Department of Gastrointestinal Surgery, Graduate School of Medicine, The University of Tokyo, Tokyo 113‑8655, Japan, Department of Thoracic Surgery, Saitama Medical Center, Jichi Medical University, Saitama, Saitama 330‑8500, Japan, Department of Pharmacokinetics and Biopharmaceutics, Institute of Biomedical Sciences, Tokushima University, Tokushima, Tokushima 770‑8505, Japan
    Copyright: © Minegishi et al. This is an open access article distributed under the terms of Creative Commons Attribution License.
  • Article Number: 139
    |
    Published online on: February 21, 2023
       https://doi.org/10.3892/ol.2023.13725
  • Expand metrics +
Metrics: Total Views: 0 (Spandidos Publications: | PMC Statistics: )
Metrics: Total PDF Downloads: 0 (Spandidos Publications: | PMC Statistics: )
Cited By (CrossRef): 0 citations Loading Articles...

This article is mentioned in:



Abstract

Trefoil factors (TFFs) are upregulated in numerous types of cancer, including those of the breast, the colon, the lung and the pancreas, suggesting their potential utility as biomarkers for screening. In the present study, the clinical relevance of serum or urinary TFFs as biomarkers were comprehensively evaluated and the correlation with TFF expression levels in lung cancer tissue was examined. Serum and urine were collected from 199 patients with lung cancer and 198 healthy individuals. Concentrations of serum and urinary TFF1, TFF2 and TFF3 were measured using ELISA and the potential of TFF levels to discriminate between cancer and non‑cancer samples was evaluated. In 100 of the cancer cases, expression of TFF1‑3 was analyzed using immunohistochemical staining of paraffin sections. Furthermore, the relationship between TFF levels and clinicopathological factors among these cancer cases was analyzed using immunohistochemistry of tissue specimens, quantified and statistically analyzed. While serum levels of all TFFs measured using ELISA were significantly higher in patients with lung cancer compared with those in healthy individuals, urinary TFFs were lower. Areas under the curve (AUC) of the receiver operating characteristic curves for serum/urinary TFF1, TFF2 and TFF3 were 0.709/0.594, 0.722/0.501 and 0.663/0.665, respectively. Furthermore, the combination of serum TFF1, TFF2, TFF3 and urinary TFF1 and TFF3 demonstrated the highest AUC (0.826). In the clinicopathological analysis, serum TFF1 was higher in the early pathological T‑stage (pTis/1/2) compared with the later stage (pT3/4) and TFF2 was higher in the pN0/1 than the pN2 group. With regards to the histological types, urinary TFF1 was higher in squamous cell carcinoma than adenocarcinoma (AC), but TFF2 tended to be higher in AC. Using immunohistochemical analysis, although TFF1 and TFF3 expression showed positive correlation with serum concentrations, TFF2 was inversely correlated. In conclusion, serum and urinary TFF levels are promising predictive biomarkers, and their measurements provide a useful in vivo and non‑invasive diagnostic screening tool. In particular, TFF1 and TFF3 could be surrogate markers of clinicopathological profiles of human lung cancer.

Introduction

Lung cancer is one of the most common malignancies worldwide and remains the leading cause of cancer-related death (1). The incidence of lung cancer is still increasing in the world, and screening by chest X-ray and computed tomography (CT) has shown a high success rate in diagnosis. Recent advances in targeted therapy for lung cancer have shown benefits for patients with adenocarcinoma (AC) who harbor mutations in driver genes. However, less satisfactory results have been obtained for more complex cases, such as drug-resistant cases, and treatment options for non-AC cases are limited (2,3). Therefore, the overall cure and survival rates in patients with advanced-stage lung cancer remain low (22% 5-year overall survival rate) (4). This compels researchers to find more effective and useful biomarkers for diagnosis, prognosis and further clarification of the unknown pathological aspects of lung cancer. Ideally, the identification and better characterization of more easily accessible and cost-effective biomarkers could revolutionize the diagnoses and therapies for these types of cancer.

Proteins secreted by cancer cells are potentially useful candidates for circulating tumor markers. Although assays, predominantly ELISA, evaluating a number of clinically relevant proteins in serum have been established, several of which have been reported to be useful in the diagnosis and monitoring of advanced cancers, such as CEA, NSE and CYFRA21-1 (5–7), these assays have not been suited to use for mass screening or diagnosis in the early stages of cancer, due to their relatively low sensitivity/specificity and high costs.

The trefoil factor (TFF) family, which comprises gastric peptide pS2/TFF1, spasmolytic peptide/TFF2 and intestinal trefoil factor/TFF3, are expressed and secreted in almost all mucus-secreting cells in mucosal surfaces, predominantly those of the gastrointestinal tract (8,9). TFFs are small (7–12 kDa) protease-resistant proteins with a conserved ‘trefoil’ domain, which contains 3 disulfide bonds that provide functional stability (8,10). TFFs can be detected as monomeric, homo-dimeric or hetero-dimeric forms in secretions and serve an essential role in epithelial restitution and mucosal protection (8,10).

Individual TFFs have been characterized as follows. In vitro experiments using cultured cells have reported that TFF1 serves a pivotal role in enhanced growth, survival, migration and invasion of pancreatic and colonic cancer cells (11–13). Similarly, overexpression of TFF3 has been reported to drive proliferation, migration and invasion, and the angiogenic and antiapoptotic capacities of breast and colonic cancer cells (13–16). Notably, high TFF expression levels have been reported clinically in breast (TFF1 and 3) (17), lung (TFF1 and 3) (18,19), pancreas (TFF2) (20) and colon cancers (TFF3) (21). Moreover, expression of TFF2 has been reported to be predictive of a more aggressive phenotype in gastric cancer (22,23) and TFF3 in gastric (23–25), colorectal (25,26) and breast cancer (25,27). However, loss of TFF1 is carcinogenic in mice (10,28), and the region of chromosome 21q22.3 in which the 3 TFF genes are clustered is frequently deleted in human gastric cancer (10). In cancer cell lines, exogenous TFF1 consistently reduced cell proliferation by delaying the G1 to S phase transition in human colonic and gastric carcinoma cells (29). Similarly, in a previous study, it was shown that TFF1 can suppress cell proliferation, survival, migration and invasion in lung carcinoma cells (30). Notably, the expression of TFF1 is also predictive of improved survival time for patients with breast cancer (27,31). Moreover, TFF3 was also reported to inhibit the growth of colorectal cancer cells, in a cell-type dependent manner (32). In clinical specimens, TFF3 expression was reported to be lower in colorectal cancer compared with normal tissue (33). These observations indicate that TFF1 and TFF3 can also function as tumor suppressor-like proteins.

Serum TFFs (sTFFs) have been sporadically reported as possible biomarkers in cancer screening: TFF1 and TFF3 for breast (17), gastric (34,35), colorectal (36) and endometrial cancer (37), and all TFFs for prostate cancer (38). Moreover, sTFF1 and sTFF3 have been described as possible prognostic markers in endometrial (37), gastric (39) and colorectal cancer (40,41). However, the utility of TFF3, as suggested by its high serum concentration in patients with lung cancer regardless of histological type (42), has yet to be established as a clinical diagnostic tool. Moreover, the potential correlation between serum and/or urinary TFFs (uTFFs) and tissue expression has yet to be assessed.

To extend previously reported in vitro analysis (30) into potential in vivo clinical analyses, a comprehensive survey of all TFFs in both serum and urine was conducted in the present study. uTFF analysis was of particular interest as this is a completely non-invasive diagnostic method and is potentially suitable for mass screening. Overall data were evaluated clinicopathologically and compared to protein expression levels of TFFs in cancer tissues.

Materials and methods

Patients

Patients' clinicopathological profiles, including tumor stage by TNM classification (43) were presented in Table I and further details were presented in Table SI. The study population consisted of 199 patients according to the following inclusion criteria; those with lung cancer, without history of malignant tumor nor history of other malignant tumor, who had undergone surgery at the Saitama Medical Center at Jichi Medical University (Saitama, Japan) from January 2017 to Jul 2019. These patients included of 142 AC, 45 squamous cell carcinoma (SCC), 4 large cell carcinoma (LCC), 4 small cell carcinoma (SmCC) and 4 pleomorphic carcinoma cases. Serum and urine were collected from 198 healthy individuals (Table SII), whose ages (range, 38–75 years old; mean, 67.5 years old) and sex (127 males and 71 females) were matched as closely as possible with the patients with lung cancer (range, 32–93 years old; mean, 69.3 years old; 128 males and 71 females). Patients or healthy individuals were excluded from the study if they had a history of malignancy, pre-operative chemotherapy and/or diabetes mellitus. Individuals with a Helicobacter pylori infection were also excluded from the study as this infection has been reported to enhance sTFF levels (35).

Table I.

Patients and tumor characteristics.

Table I.

Patients and tumor characteristics.

ELISAIHC


CharacteristicsPatients (n=199)Control (n=198)Patients (n=100)
Sex, n
  Male12812765
  Female717135
Age, years
  <70, n959547
  >70, n10410353
  Range32-9338-7532-93
  Mean, median69.3, 7167.5, 7168.6, 70
Histology, n
  AC142 73
  SCC45 23
  LCC4 1
  SmCC4 2
  Pleomorphic4 1
pT factor, n
  Tis6 2
  T1mi19 12
  T1a30 15
  T1b37 18
  T1c16 6
  T2a42 22
  T2b18 9
  T320 10
  T411 6
pN factor, n
  N0148 70
  N123 12
  N228 18
pStage, n
  I125 63
  II41 14
  IIIa33 23

[i] AC, Adenocarcinoma; LCC, large cell carcinoma; IHC, immunohistochemistry; SCC, squamous cell carcinoma; SmCC, small cell carcinoma; pT, tumor stage; pN, node stage.

All patients and healthy individuals were confirmed to have normal urinary creatinine levels, and all uTFFs were normalized to urinary creatinine to avoid variations in urinary protein concentration.

ELISA

A total of 0.5 ml of serum and 2 ml of morning urine were collected from each patient after overnight fasting. The samples were centrifuged at 5,000 × g for 15 min at 0°C and the supernatant collected. All serum and urine samples were frozen at −80°C before use. Polyclonal anti-sera were raised in our laboratory, in rabbits immunized with recombinant human TFF1, TFF2 and TFF3 which had also been prepared in our laboratory as previously described (32). The IgG fraction was affinity purified using protein A into a concentrated solution of 1 mg/ml. Each antibody solution was diluted with PBS to a 1/200 working solution and was coated onto 96-well microtiter plates. Concentrations of serum or urine TFF1, TFF2 and TFF3 were measured using these in-house ELISA plates generated by coating with antibodies against TFF1, TFF2 or TFF3, as previously reported (17,35). Detection sensitivities were 7.0 pg/ml for TFF1, 30.0 pg/ml for TFF2 and 30.0 pg/ml for TFF3. It has been previously reported that each TFF antibody reacted specifically and no cross reactivity with other TFFs was reported (17,35). Appropriate sample dilutions were determined to place samples within the linear range of the calibration curve, generated using recombinant human TFF1, 2 or 3 as previously described (35). Absorbance at 450 nm was measured on a DTX-880 plate reader (Beckman Coulter, Inc.) and sample TFF concentrations were calculated from the calibration curves. There was no difference in the detection quality between serum and urine TFFs.

Tissues and immunohistochemistry (IHC)

Of the 199 samples of primary lung carcinoma obtained by surgery in the Saitama Medical Center, 100 samples which had been preserved and fixed at a high quality, and demonstrated no necrosis or degeneration and positive staining in bronchial gland cells, were prepared for IHC by paraffin section. These 100 samples consisted of 73 AC, 23 SCC, 1 LCC, 2 SmCC and 1 pleomorphic carcinoma case (Table I). Tissues from pathological lesions, together with adjacent normal tissues were fixed in 10% formaldehyde at room temperature for 24 h. Tissues were sliced into small pieces, embedded in paraffin and cut into 3.5 µm sections. Heat-induced epitope was performed using PT Link (cat. no. PT100/PT101; Agilent Technologies, Inc.) and EnVisionTM FLEX Target Retrieval Solution, High pH (pH 9.0; cat. no. S2367; Agilent Technologies, Inc.) for TFF1 and TFF3, and Low pH (pH 6.0; cat. no. #S2031; Agilent Technologies, Inc.) for TFF-2 at 95°C for 30 min. As the antibodies used for ELISA did not react in paraffin-embedded tissues, commercialized primary antibodies as follows were used: Anti-TFF1 rabbit polyclonal (1:350; cat. no. PA5-31863; Invitrogen; Thermo Fisher Scientific, Inc.), anti-TFF2, rabbit polyclonal (1:50; cat. no. ab131147; Abcam) and anti-TFF3 rabbit monoclonal (1:300; cat. no. ab108599; Abcam). Sections were incubated with the blocking solution included in the kit for 20 min at room temperature, with primary antibodies at 4°C overnight and with secondary antibodies for 20 min at room temperature and visualization was performed with a Catalyzed Signal Amplification System II kit which included secondary antibodies (cat. no. K1497 and K1501; Agilent Technologies, Inc.). A total of 5 high magnification fields of view were randomly selected from each section and 200 cells were counted per field. Images were digitally captured using a BX51 bright-field microscope (Olympus Corporation) equipped with a DP-72 digital camera in conjunction with the cellSens imaging software (version 1.18, Olympus Corporation). Adobe Photoshop was used for image processing (CS4 Extended; Adobe Systems Europe, Ltd.)

IHC score was determined semi-quantitatively by multiplication of the ‘positive fraction’ with the ‘intensity-score’ according to the following system. Firstly, the positive fraction was sub-divided as follows: i) 0, no staining; ii) 1, <10% staining; iii) 2, 10–50% staining; and iv) 3, >50% staining of cells with intensity score >0. Secondly, intensity-score was determined as follows: i) 0 if there was no staining or staining was weaker than that in non-neoplastic cells; ii) 1 if the staining was the same as in non-neoplastic cells; and iii) 2 if there was more intense staining than in the non-neoplastic cells. An IHC score >0 was defined as ‘positive’ (44). Staining was evaluated by two observers and discordance was resolved by discussion.

Statistical analysis

Statistical analyses were performed using the JMP software package (version 11; SAS Institute, Inc.) and StatMate IV (GraphPad Software; Dotmatics). Sufficient sample sizes were confirmed and statistics were calculated with a 0.80 power at the 0.05α level using EZR 1.54 (https://www.softpedia.com/get/Science-CAD/EZR.shtml).

The Receiver operating characteristics (ROC) sensitivity and specificity of serum or urine TFFs were plotted and the figures were generated using EZR 1.54 (https://www.softpedia.com/get/Science-CAD/EZR.shtml). Area under the curve (AUC) was calculated to determine the marker cut-off points and the discriminatory potential of each TFF, as well as each combination of TFFs. Logistic regression modeling was used to estimate the odds ratio with 95% confidence interval (CI) to construct a final composite score. Validation of analysis was performed using Fisher's exact test in all sample groups, including those from patients with lung cancer and from healthy individuals, with the cut-off value (threshold) showing the highest AUC (combination of sTFF1/2/3 + uTFF1/3). Observers' agreement in the evaluation of IHC results was analyzed using κ statistics as follows: i) 0, poor agreement; ii) 0<κ<0.2, slight agreement; iii) 0.2<κ<0.4, fair agreement; iv) 0.4<κ<0.6, moderate agreement; v) 0.6<κ<0.8, substantial agreement; and vi) 0.8<κ<1.0, almost perfect agreement. The Spearman's rank correlation coefficient (ρ) was used as a measure of correlation between levels of each TFF assessed using ELISA or between IHC score and TFFs levels. Results were categorized as follows: i) no correlation, ρ=0; ii) equivocal, ρ<0.2; iii) low, 0.2<ρ<0.4; iv) substantial, 0.4<ρ<0.7; v) high, 0.7<ρ<1.0; and vi) complete, ρ=1.0. The difference in TFF levels among clinicopathological variables were analyzed using Mann-Whitney U test between two groups or Kruskal-Wallis test followed by Dunn's test among multiple groups. All tests were two-sided and P<0.05 was considered to indicate a statistically significant difference.

Results

Serum and urine TFFs

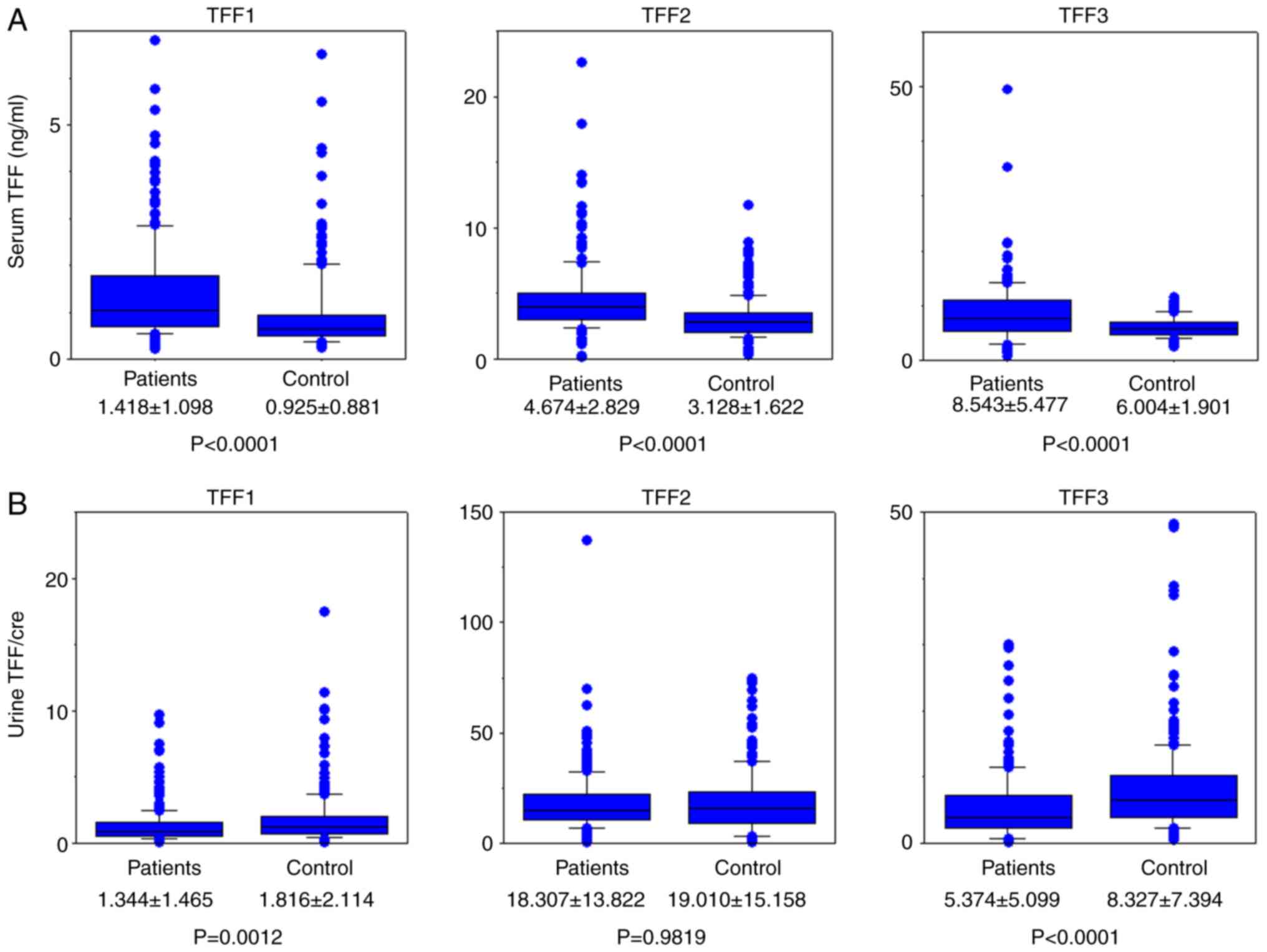
Concentrations of all TFFs in serum and urine were measured using ELISA. All raw results from patients with lung cancer and from healthy individuals are presented in Tables SI and SII, respectively. sTFF1, sTFF2 and sTFF3 concentrations in patients with lung cancer were all significantly higher compared with those in healthy individuals (P<0.0001; Fig. 1A). uTFF1 and uTFF3 values normalized using the creatinine level were lower in patients with lung cancer (P=0.0012 and P<0.0001, respectively; Fig. 1B).

Figure 1.

Box-and-whisker plots of serum and urinary levels of TFFs in patients with lung cancer and healthy individuals. Samples were collected from 199 patients with lung cancer and 198 healthy individuals. (A) Mean concentration of all serum TFFs was elevated in patients with carcinomas compared with healthy individuals (control) (P<0.0001). (B) In patients with carcinomas, mean urinary TFF1 and TFF3 values normalized to urinary creatinine were significantly lower compared to healthy individuals (control), while that for TFF2 was not. Data are presented as mean ± standard deviation. cre, creatinine; TFF, trefoil factor.

Based on the results of upregulated sTFFs and downregulated uTFFs in patients with lung cancer, the precise diagnostic potential of either source alone or in combination was explored to evaluate how well these levels in patients with lung cancer or healthy individuals could be differentiated. The ability to detect and segregate patients with lung cancer by ROC analysis was assessed, which generated a graphical plot of the sensitivity vs. specificity of TFF levels. AUC and sensitivity or specificity at the optimal cut-offs are presented in Fig. 2. For serum, the AUC/cut-off values for TFF1, TFF2 and TFF3 were 0.709/0.837, 0.722/3.702 and 0.663/7.211 ng/ml, respectively (Fig. 2A). With these cut-off values, the sensitivity/specificity for discriminating between patients with lung cancer and healthy individuals were calculated as 0.677/0.702 in TFF1, 0.582/0.778 in TFF2 and 0.572/0.768 in TFF3. For urine, the AUC/cut-off values for TFF1, TFF2 and TFF3 were 0.594/1.287, 0.501/18.174 and 0.665/4.162, respectively (Fig. 2B). The resultant sensitivity/specificity values were 0.688/0.495 for TFF1, 0.642/0.455 for TFF2 and 0.547/0.737 for TFF3.

Figure 2.

ROC curves. ROC curves were generated for each TFF and the sTFF1 + 2 + 3 + uTFF1 + 3 combination. Cut-off values and their sensitivity/specificity, as well as AUC and 95% CI are indicated in tables below the curves. (A) sTFFs and the combination of sTFF1 + 2 + 3 and uTFF1 + 3. (B) uTFFs. AUC, area under the curve; CI, confidence interval; ROC, receiver operating characteristic; sTFF, serum trefoil factor; uTFF, urine TFF.

The diagnostic potential of TFF data in combination was also evaluated. Among the AUCs calculated, the highest value was for the combination of sTFF1 + 2 + 3 with uTFF1 + 3, which was 0.826 with a cut-off value of 0.443 (Fig. 2A). Therefore, while any single TFF discriminated patients with lung cancer, this combination of TFFs demonstrated an improved diagnostic performance.

Validation of TFFs for their potential in diagnostic screening

Instead of dividing the clinical sample groups into training and validation sets, the utility of TFFs as a biomarker for baseline screening was evaluated in all 397 cases of both patients with lung cancer and healthy individuals (Tables SI and SII). A cut-off value of 0.443 was used, which showed the highest AUC by the combination of sTFF1 + 2 + 3 and uTFF1 + 3. Cases were divided into 4 categories as shown in the cross-tabulation table (Table II) and the differences were statistically analyzed. With this cut-off value, the sensitivity and the specificity of patients with lung cancer and healthy individuals were 0.804 and 0.742, respectively, and the positive and negative predictive values were 0.758 and 0.790, respectively. The difference was determined to be statistically significant using Fisher's exact test (P<0.0001).

Table II.

Case-distribution of all participants separated with the cut-off (0.443) by the combination of sTFF1 + 2 + 3 with uTFF1 + 3 (n=397).

Table II.

Case-distribution of all participants separated with the cut-off (0.443) by the combination of sTFF1 + 2 + 3 with uTFF1 + 3 (n=397).

Patients>cut-off<cut-offStatistical result
Patients with lung cancer (n=199)16039 Sensitivity=0.804
Healthy individuals (n=198)51147 Specificity=0.742
Statistical resultPositive predictive value=0.758Negative predictive value=0.790 P=7.09×10−29

[i] Statistical analysis was performed using Fisher's exact test.

Expression of TFFs by IHC

In parallel to the ELISA, TFF expression by IHC was also analyzed. Inter-observer agreement in the evaluation of staining results ranged from ‘substantial agreement’ to ‘almost perfect agreement’ (TFF1, κ=0.837; TFF2, κ=0.791; TFF3, κ=0.830). Representative IHC results are presented in Fig. 3, with staining results detailed in Table III, and the results of individual patients presented in Table SIII. All TFFs were expressed in the cytoplasm of bronchial glands and occasionally in bronchial epithelial cells, but not in the alveolar epithelial cells or interstitial cells in normal tissue. Among the 100 cancer cases analyzed, TFF1, TFF2 and TFF3 were positively stained in 41 (41.0%), 37 (37.0%) and 50 cases (50.0%), respectively. TFF1 was expressed in the cytoplasm of 29/73 (39.7%) and 12/23 (52.2%) cases of AC and SCC, respectively, but in no cases of SmCC, LCC or pleomorphic carcinoma. IHC scores of TFF1 staining were categorized into the following results: score 6, 3 cases; score 4, 8 cases; score 3, 10 cases; score 2, 13 cases; score 1, 7 cases; score 0, 59 cases. TFF2 was expressed in the cytoplasm of 25/73 (34.2%), 10/23 (43.5%), 2/2 (100%) and 0/2 cases (0%) of AC, SCC, SmCC and others (pleomorphic carcinoma and large cell carcinoma), respectively. TFF3 was expressed in the cytoplasm of 38/73 (52.1%), 12/23 (52.2%) cases of AC and SCC, respectively and none (0/4) of others (Table III). Overall, 83 out of 100 (83.0%) cases were positive for at least one of TFF1, TFF2 and TFF3 when assessed by IHC staining. There were no specific microscopic staining patterns, such as co-expression or reciprocal expression, among these three proteins as a whole.

Figure 3.

TFF immunohistochemical staining of patient tissues. Representative TFF1, TFF2 and TFF3 staining, immunohistochemical score and mean concentrations of serum TFF. (A) Squamous cell carcinoma, (B-D) Adenocarcinoma. In each panel, the upper row presents the lower power view, scale bar=200 mm, and the lower row presents the higher power view of a portion of the lower power view, scale bar=100 mm. TFF, trefoil factor.

Table III.

Results of immunohistochemical staining (n=100).

Table III.

Results of immunohistochemical staining (n=100).

TFF1TFF2TFF3



IHC score012346012346012346
Total number of cases59713108363516763501120469
Histological type (cases), n
  AC (73)44511652484965135915365
  SCC (23)112243113151121125104
  LCC (1)100000100000100000
  SmCC (2)200000002000200000
  Pleomorphic (1)100000100000100000

[i] TFF, trefoil factor; IHC score, immunohistochemical score; AC, adenocarcinoma; SCC, squamous cell carcinoma; LCC, large cell carcinoma; SmCC, small cell carcinoma.

Correlation between sTFFs and uTFFs

Correlations between serum and urine TFFs levels were determined using Spearman's rank correlation test. As shown in Table IV, the correlation coefficient (ρ) was generally higher between sTFF1 and sTFF2 in both the patients with lung cancer and the healthy individuals. The ρ between sTFF1 and sTFF2 was 0.494 in patients and 0.473 in healthy individuals (deemed ‘substantial correlation’; both P<0.001). Furthermore, there was a significant positive correlation between sTFF1 and sTFF2 in all groups of pT pathological tumor stage (pT) or pathological nodal stage (pN) categories (except pT4) as well as in AC, which demonstrated ρ-values ranging from 0.448-0.717. Most of the ρ-values were within the range of ‘substantial correlation’, while the pN1 group had a score of 0.717, which was categorized as a ‘high correlation’. In healthy individuals, all uTFF1, uTFF2 and uTFF3 values were correlated with each other in contrast to the patients with lung cancer. In the patients with lung cancer, the positive correlation between TFF1 and TFF2 was weaker in urine and the ρ-values between uTFF1 and uTFF2 were within the range of ‘substantial correlation’ in pT2, pT4 (marginally) and pN1-2 groups. uTFF1 and uTFF3 showed ‘high correlation’ in pT4 and ‘substantial correlation’ in pN1/2 groups of lung cancer cases, but uTFF2 and uTFF3 correlated only in pT4 with ρ=0.736, although it indicated a ‘high correlation’. Between sTFF and uTFF, a ‘substantial correlation’ was observed for all TFFs (TFF1, 0.516; TFF2, 0.463; TFF3, 0.560; P<0.0001 for all; Table V). No inverse correlation was found between each sTFF or uTFF.

Table IV.

Correlation coefficients (ρ) between each TFF and P-values analyzed by Spearman's rank correlation test.

Table IV.

Correlation coefficients (ρ) between each TFF and P-values analyzed by Spearman's rank correlation test.

SerumUrine


TFF1 vs. TFF2TFF1 vs. TFF3TFF2 vs. TFF3TFF1 vs. TFF2TFF1 vs. TFF3TFF2 vs. TFF3






CharacteristicρP-valueρP-valueρP-valueρP-valueρP-valueρP-value
Healthy individuals (n=198)0.473*<0.0010.294-0.352-0.528*<0.0010.756**<0.0010.545*<0.001
Patients (n=199)0.494*<0.0010.348-0.349-0.345-0.339-0.162-
pTis/T10.497*<0.0010.326-0.443*<0.0010.265-0.304-0.108-
pT20.486*<0.0010.458*<0.0010.230-0.471*<0.0010.352-0.172-
pT30.567*0.00910.322-0.316-0.393-0.322-0.319-
pT40.5820.0660.4180.2030.109-0.609*0.0520.718**0.0160.736**0.013
pN00.448*<0.0010.289-0.344-0.283-0.286-0.120-
pN10.717**<0.0010.707**<0.0010.743**<0.0010.592*0.00290.420*0.0460.356-
pN20.602*<0.0010.459*0.0140.273-0.535*0.00330.484*0.0090.270-
Adenocarcinoma0.570*<0.0010.345-0.353-0.374-0.312-0.154-
Squamous cell0.334-0.187-0.396-0.392-0.269-0.096-
carcinoma

[i] P-values for all groups were only indicated for categories showing ρ>0.4. *substantial correlation, **high correlation. pN, node stage; pT, tumor stage; TFF, trefoil factor.

Table V.

Correlation Coefficients (ρ) between sTFF, uTFF and IHC score by Spearman's rank correlation test in patients with lung cancer.

Table V.

Correlation Coefficients (ρ) between sTFF, uTFF and IHC score by Spearman's rank correlation test in patients with lung cancer.

FactorsTFF1sTFF2sTFF3IHC score
uTFF (n=199)
  ρ0.516*0.1950.1390.197
  P-valuea<0.000---
uTFF2 (n=199)
  ρ0.1280.463*−0.008−0.281
  P-valuea-<0.0001--
uTFF3 (n=199)
  ρ0.1690.2340.560*0.342
  P-valuea--<0.0001-
IHC score (n=100)
  ρ0.563*−0.657*0.813**-
  P-valuea<0.0001<0.0001<0.0001-

a P-values are indicated only for categories showing ρ>0.4. *substantial correlation, **high correlation. sTFF, serum trefoil factor; uTFF, urinary TFF; IHC, immunohistochemistry.

Correlation of sTFFs and uTFFs with IHC scores

The correlations between sTFF and uTFF levels and IHC-determined TFF expression levels in lung cancer tissues were examined, the results of which are presented in Table V. A statistically significant correlation between sTFF1-3 levels and IHC scores was demonstrated. Using Spearman's correlation test, sTFF1 and sTFF3 showed ρ-values of 0.563 and 0.813 with the IHC scores, respectively (‘substantial’ or ‘high correlation’, respectively; P<0.0001), whereas TFF2 had a ρ-value of −0.657 (‘substantial inverse correlation’; P<0.0001). Moreover, analysis using Kruskal-Wallis test followed by Dunn's test, groups with a higher IHC score generally showed higher sTFF1 and sTFF3 at statistically significant levels (P<0.0001; Table VI). However, a significant inverse association was confirmed for sTFF2. Analysis of urine data using Spearman's test, demonstrated no correlation with IHC score (TFF1, ρ=0.197; TFF2, ρ=−0.281; TFF3, ρ=0.342; Table V).

Table VI.

Association between sTFF levels and clinicopathological variables.

Table VI.

Association between sTFF levels and clinicopathological variables.

sTFF1sTFF2sTFF3



Clinicopathological factors (n=199)Number of casesMean + SDP-valueMean + SDP-valueMean + SDP-value
Age, years
  <70, n951.351±1.1920.07644.472±3.0580.07288.243±5.9230.1932
  >70, n1041.479±1.007 4.859±2.604 8.817±5.049
Sex
  Male1281.396±1.0030.71014.579±2.5700.7388.959±6.0510.216
  Female711.458±1.259 4.846±3.258 7.793±5.419
pT factor
  pTis/T1/T21681.408±1.1080.9284.801±2.8620.0188.311±4.6620.729
  pT3/T4311.469±1.060 3.987±2.582 9.803±8.662
pN factor
  pN0/11711.473±1.1290.0334.770±2.9120.25218.227±4.6900.3174
  pN2281.082±0.825 4.087±2.216 10.215±8.835
pStage
  I1251.481±1.1670.0854.814±2.9330.0938.419±4.8830.618
  II411.492±1.064 4.145±2.390 7.870±4.182
  IIIa331.086±0.794 3.971±2.134 9.850±8.303
Histological type
  Adenocarcinoma1421.448±1.1600.55964.880±3.0070.1548.644±5.8140.3939
  Squamous cell carcinoma451.418±0.9820 4.380±2.500 8.764±4.558
  Small cell carcinoma41.241±1.043 2.996±0.906 5.809±3.558
  Othersa81.004±0.493 3.683±0.885 7.251±4.986
IHC score100
  0 38.746<0.000163.873<0.000129.460<0.0001
  1 47.000 67.600 46.727
  2 56.385 26.125 70.250
  3 75.700 22.000 77.500
  4 81.125 11.000 91.333
  6 98.667 16.667 88.889

a Others are large cell carcinoma and pleomorphic carcinoma. P-values were obtained by Mann-Whitney U test for two groups and by Kruskal-Wallis test for the comparison of three or more groups. sTFF, serum trefoil factor; IHC, immunohistochemistry, pN, node stage; pT, tumor stage.

Association of sTFFs and uTFFs with clinicopathological features

Next, sTFF and uTFF levels were compared with clinicopathological variables (Tables VI and VII, respectively). In the pT category, the pTis/1/2 group showed a higher sTFF2 mean value than the pT3/4 group, at a statistically significant level (P=0.018). Furthermore, the pN0/1 group had a higher mean sTFF1 value than the pN2 group, at a statistically significant level (P=0.033). Histologically, although SCC cases had a significantly higher mean uTFF1 value than AC (P=0.027), AC had a higher mean level of uTFF2, but not at the level of statistical significance (P=0.062). No significant difference in TFF levels was demonstrated for any other factors.

Table VII.

Association between uTFF levels and clinicopathological variables.

Table VII.

Association between uTFF levels and clinicopathological variables.

uTFF1uTFF2uTFF3



Clinicopathological) factors (n=199Number of casesMean + SDP-valueMean + SDP-valueMean + SDP-value
Age, years
  <70951.397±1.6960.62019.522±16.9880.6035.411±5.4520.813
  >701041.295±1.223 17.198±10.064 5.341±4.780
Sex
  Male1281.366±1.4480.28116.538±9.4630.1265.454±5.1940.734
  Female711.304±1.505 21.460±19.023 5.230±4.956
pT factor
  pTis/T1/T21681.334±1.5000.76018.647±14.2320.1745.394±5.1380.841
  pT3/T4311.397±1.279 16.466±11.366 5.266±4.960
pN factor
  pN0/11711.397±1.5420.30918.531±14.2020.6235.389±5.1070.943
  pN2281.018±0.797 16.958±11.346 5.285±5.139
pStage
  I1251.376±1.2400.39916.355±9.6410.2435.277±4.8860.98
  II411.558±1.510 18.561±21.203 4.958±3.929
  IIIa331.171±1.035 14.864±8.759 4.793±4.437
Histological type
  Adenocarcinoma1421.273±1.5030.02719.512±14.9740.0625.483±5.1720.444
  Squamous cell carcinoma451.704±1.467 16.094±10.861 5.343±5.158
  Small cell carcinoma40.780±0.383 9.874±5.352 2.347±1.978
  Othersa80.971±0.786 14.395±4.235 5.509±4.914
IHC score (n=100)
  0 45.169-56.302-41.120-
  1 65.571 48.400 55.727
  2 49.692 42.563 57.750
  3 74.000 44.857 42.750
  4 54.500 25.833 75.333
  6 34.667 37.000 67.000

a Others are large cell carcinoma and pleomorphic carcinoma. P-values were obtained by Mann-Whitney U test for two groups and by Kruskal-Wallis test for the comparison of three or more groups uTFF, urinary trefoil factor; IHC, immunohistochemistry.

Discussion

The identification of novel diagnostic markers is valuable not only because it enables the early detection of disease, but also as it may allow post-operative or post-chemotherapeutic monitoring of patients.

The involvement of TFFs in cancer has been previously described, and their normal biological functions have been shown to be quite diverse. Aberrant expression of TFFs, in particular, of TFF1 and TFF3, has been observed in numerous types of clinical cancer, including those of the breast and the lung (8,45). Furthermore, higher expression of TFF1 and/or TFF3 has been reported to be associated with chemoresistance (46,47), lymph node/distant metastasis, high Tumor-Node-Metastasis stage and a poor prognosis in colorectal (13,48), gastric (24) and endometrial cancer (37).

sTFFs have been sporadically reported as cancer biomarkers in the literature (17,34,36–38,49,50). In particular, sTFF1 and sTFF3 have been described as predictive markers for lymph node metastasis and for worse prognosis in prostatic (38), gastric (39) and colorectal cancer (46,48,51). Consistently, decreased sTFF3 levels were significantly associated with positive responses to chemotherapy in both gastric and colorectal cancer (52).

In lung cancer, sTFF1 has been described as a marker of AC, and the level of sTFF1 was reported to have normalized following the removal of tumors in a small sample group, although these values did not reach levels of significance as a screening tool for tumors (53). However, sTFF3 has been reported to be elevated in all histological types of lung cancer (42). Overall, as there have not been many reports on the involvement of TFFs in lung cancer, conclusions are somewhat equivocal. In particular, changes in sTFF and uTFF levels have not previously been investigated in precise detail. Therefore, the utility of TFFs in diagnosing lung cancer is still controversial. In the present study, the utility of TFFs as serum or urinary biomarkers were evaluated with additional analyses of the relationship between TFF expression in lung cancer tissue and clinicopathological factors.

Firstly, all sTFF levels were significantly higher in patients with lung cancer (P<0.0001), while uTFFs were lower. In the latter, the results were statistically significant for uTFF1 and 3, but not for uTFF2. Using ROC analysis, TFFs successfully discriminated patients with lung cancer from healthy individuals and an analysis of combined sTFFs and uTFFs gave the highest AUC of 0.826. Currently established markers for lung cancer have shown satisfactorily high AUCs, with carcinoembryonic antigen (CEA) providing an AUC up to 0.850 in AC (5), CYFRA21-1 and ‘SCC-antigen’ providing AUCs up to 0.930 and 0.780, respectively in SCC (5), and neuron-specific enolase (NSE) and pro-gastrin-releasing peptide providing AUCs up to 0.890 and 0.950, respectively in SmCC (7). However, the AUCs for these markers evaluated against all histological types as a whole were far lower. The combination of CYFRA/CEA/NSE/‘SCC-antigen’ for combined lung cancer cases demonstrated an AUC of 0.854 compared with non-cancer cases (6). the AUC obtained in the present study by combining 5 values from 3 proteins, 2 of which were from urine, was equivalent to that value regardless of histological type. Indeed, the screening and diagnostic potential of sTFF1 + 2 + 3 with uTFF1 + 3 was verified in this sample group, when assessed as a whole (Table II).

As another detection tool, low-dose helical CT (LDCT) is a sensitive screening method and demonstrates high performance in the detection of pulmonary nodules and could therefore detect a high proportion of small cancers at an early stage in baseline screening. For the detection of cancer, the highest reported sensitivity was 96%, but with the lowest sensitivity at 49% (54). However, the highest reported specificity was 95%, but with the lowest sensitivity at 55% (55) for the detection of cancer among all pulmonary nodules, including non-neoplastic lesions. The sensitivity/specificity in the ELISA system used in the present study was 74.2/80.9%; both values being in the middle of those previously reported highest and lowest scores. Moreover, LCDT has a consistently high false-positive rate (≤98%) in single baseline examination, depending on the entry and imaging diagnostic criteria (56). For example, inflammatory scarring, hamartoma and fungal granuloma are major factors that could contribute to a high false-positive rate (56,57). This is a major limitation of LDCT as a method for screening. Accordingly, repeated examinations are necessary with this method and in diagnoses, baseline examination must be re-evaluated by further investigation, such as follow-up with detailed (high resolution, thin section) CT, usually repeated 3–4 times over 2–4 years (54,57). Furthermore, results of randomized trials have not yet confirmed that LDCT screening has a measurable effect in decreasing mortality (56,58). Overall, the ELISA screening method utilized in the present study is more convenient and thus, has the potential to be more prognostic at baseline screening than results reported using LDCT, to date.

In the patients with lung cancer analyzed in the present study, TFF levels were higher in serum but lower in urine. It was hypothesized that TFFs may be present in a modified form in serum, including as homo- or heterodimers, and thus, are not rapidly excreted into the urine through normal turnover in patients with lung cancer. In healthy individuals, all TFFs are present in un-modified form in serum and are rapidly excreted into the urine through normal turnover. Supporting the aforementioned hypothesis, all uTFF levels showed ‘substantial’ to ‘high’ correlation with each other in healthy individuals, i.e., all TFF were coordinately excreted. However, such a correlation was not found among patients with lung cancer as a whole (Table IV).

Secondly, the observation that sTFF2 levels were higher in the pTis/1/2 group compared with the pT3/4 group and sTFF1 was higher in the pN0/1 group compared with the pN2 group suggested that upregulation of TFF1and TFF2 was an early and transient phenomenon during tumor growth and nodal metastasis in lung carcinoma. Moreover, patients with SCC showed higher uTFF1 levels, but patients with AC showed higher uTFF2 levels. However, the significance and the mechanism of such differences depending on the histological type are unclear.

Thirdly, TFF1, TFF3 and, less intensely, TFF2 demonstrated positive IHC staining in normal bronchial epithelial cells and bronchial glands in the lung in the present study, as has been previously described (59,60). All TFFs were detected in cancer tissues of AC, SCC and SmCC, with a slightly higher frequency in SCC: i.e., 43.5-52.2% in SCC vs. 34.2-52.1% in AC and none in the other subtypes, except for SmCC in which both cases expressed TFF2 (IHC score of 2). Although AC, SCC and a minor fraction of SmCC have been reported to express TFF1 (18,61), the present study was, to the best of our knowledge, the first report of IHC expression of all TFFs in all histological types.

Fourthly, in a previous report on breast carcinoma, TFF1, but not TFF3, was reported to show a positive correlation between serum concentration and IHC staining (17). sTFF2 was lower in patients with cancer in that study, however, a statistical analysis could not be performed due to the absence of TFF2-positive cases as assessed using IHC (17). However, in the present study, TFF1 and TFF3 were demonstrated to show a positive correlation between serum concentrations and IHC score, and a ‘substantial’ inverse correlation for TFF2 by Spearman's test. These results for TFF1 and TFF3 were also demonstrated to be statistically significant, ie, the concentration of sTFF1 and sTFF3 was higher in groups having a higher IHC score. There are numerous possible mechanisms to explain the inverse correlation between high sTFF2 and low IHC score. Aberrantly overexpressed TFF2 may be secreted into the bronchial lumen, but not into serum. For example, in well differentiated breast cancer, polarized TFF3 expression leads to secretion into the ductal lumen, but not into serum (27). Alternatively, a major fraction of elevated sTFF2 may not derive directly from cancer, but from the mucus-secreting cells of bronchial glands. Lastly, TFF2 may be exhausted in cancer cells after increased secretion into the serum even if it is aberrantly overexpressed. Collectively, sTFFs may be regulated at numerous levels in a complex manner, such as expression in the cells, secretion into the lumen or the serum and excretion into the urine.

Functionally, TFF1 in the stomach has been described as being involved in the formation of a protective mucous layer (62) and stabilization of cell junctions by binding to MUC2, MUC5AC (8,63) and gastrokine-2 (GKN2) (64). TFF2 also binds to GKN2 (64) and MUC6 (65), and maintains the inner layer of the gastric mucus (66). TFF3 is a constituent of goblet cells in both the small and large intestine, but not in the stomach, and co-localizes with MUC5B and MUC8 in bronchial gland mucous cells (10,60), and with MUC5AC in respiratory goblet cells (60,67). Therefore, in the lungs, TFFs bind with mucin from the bronchial gland, in a manner similar to the stomach, and thereby may maintain cell adhesion and support restitution. In cancer, it is not surprising that TFFs are secreted from the bronchial glands and protect the adjacent bronchial mucosa from deleterious damage as a safe-guard mechanism. Indeed, the induction of mucinous metaplasia was reported in transgenic mice with high TFF3 expression (68). Therefore, by physical and/or chemical stimuli, TFF actively serves a role in enhancing the production of mucin, which contains its binding partners.

Previous studies suggested mutual regulation among TFFs. TFF2KO mice were reported to have shown high TFF3 expression in the gastric antrum (69). In a rat model of colitis, TFF1 expression was elevated and TFF3 was decreased in the colon during the acute phase of disease (70), whereas the opposite pattern of expression was demonstrated in the restitution phase (70,71). Hence, a coordinated regulation of TFF expression to ensure mucosal protection and restitution depending on the stage of the disease may exist. In the present study, although sTFF1 and sTFF2 levels showed ‘substantial’ to ‘high’ correlation in patients with lung cancer as a whole or in each pTN category, concurrent relative suppression, i.e., inverse correlation, of sTFF3 was not found. Moreover, although the staining frequencies and intensities of TFF1 and TFF3 were predominant compared with TFF2, no specific pattern of staining, such as exact overlapping or reciprocal staining of each TFF, was observed.

In contrast with other cancer-specific markers, TFFs are produced not only by cancer cells, but also by non-neoplastic cells as components of tissue-protective mucin (8) or regulators of inflammation (72). Therefore, although the clinical utility of circulating and excreting TFFs as cancer biomarkers for the diagnostic screening of lung cancer may be cautiously evaluated, increased TFFs levels also reflects epithelial damage. Regardless of the underlying mechanism, results from the present study demonstrated that discrimination between patients with lung cancer and healthy individuals using TFFs was possible, and that all TFFs assessed provided unique biomarker information that could contribute to a panel of markers having significant diagnostic potential. However, a limitation of the present study was the short period of patient follow-up, and thus the long-term prognostic power of TFFs could not be precisely evaluated.

Based on the results of the present study, it is proposed that this combined serum/urine assay of TFFs represents a novel, easily monitored tool for accurately diagnosing lung cancer, with TFF1 and TFF2 levels in particular showing good correlation with clinicopathological factors. This assay may permit larger-scale cancer screening, particularly in the early stages of disease. Considering the limitations of the present work, further studies to clarify how sTFF and uTFF levels change after surgery and to clarify any correlation with relapse and metastases, as well as detailed analysis in relation to smoking history are required. If these efforts are successful, this s/uTFFs analysis may further contribute to cancer management and provide a tool to monitor the course of the disease after surgery and to evaluate the effects of adjuvant therapy.

Supplementary Material

Supporting Data

Acknowledgements

The authors would like to thank Ms Emi Kimura (Department of Pathology, International University of Health and Welfare Hospital, Nasushiobara, Japan), for their assistance with manuscript preparation.

Funding

This work was partially supported by the Japan Society for the Promotion of Science (grant no. 17K08727, 20K07378, 16H06277, 22H04923 and 23501295), Grants-in-Aid for Scientific Research for Priority Areas of Cancer (grant no. 17015018), Innovative Areas from the Ministry of Education, Culture, Sports, Science and Technology, Japan (grant nos. 221S0001, Ca180066, Ca190058, Ca200066 and Ca210033), the Smoking Research Foundation and the Princess Takamatsu Cancer Research Fund.

Availability of data and materials

The datasets used and/or analyzed during the current study could be available from the corresponding author on reasonable request.

Authors' contributions

YD and SN designed the study. KM and YD performed immunohistochemical staining and evaluated the results. KM, YI, MF and TY performed sample preparation and ELISA and contributed to the quantification. TK, HT, YO and SN collected the clinical samples. KM, TK and HT statistically analyzed the data and undertook its interpretation. YI, MF and YO established the ELISA experimental system and provided technical support. KM, YD, TK, HT and SN drafted and completed the manuscript. KM, YD and TK confirm the authenticity of all the raw data. All authors read and approved the final version of the manuscript.

Ethics approval and consent to participate

This study protocol adhered to the principles of the Declaration of Helsinki and was approved by the Institutional Ethics Committee in Saitama Medical Center, Jichi Medial University (Saitama, Japan; approval no. S17-035, S20-137), the University of Tokyo (Tokyo, Japan; approval no. 11414-[1,2]) and Kyoto Prefectural University of Medicine (Kyoto, Japan; approval no. ERB-C-1239-1,2). Written informed consent was obtained from all participants.

Patient consent for publication

Not applicable.

Competing interests

The authors declare that they have no competing interests.

Glossary

Abbreviations

Abbreviations:

TFF

trefoil factor

AC

adenocarcinoma

SCC

squamous cell carcinoma

LCC

large cell carcinoma

SmCC

small cell carcinoma

References

1 

Siegel RL, Miller KD and Jemal A: Cancer statistics, 2019. CA Cancer J Clin. 69:7–34. 2019. View Article : Google Scholar : PubMed/NCBI

2 

Sharma SV, Bell DW, Settleman J and Haber DA: Epidermal growth factor receptor mutations in lung cancer. Nat Rev Cancer. 7:169–181. 2007. View Article : Google Scholar : PubMed/NCBI

3 

Yu HA, Arcila ME, Rekhtman N, Sima CS, Zakowski MF, Pao W, Kris MG, Miller VA, Ladanyi M and Riely GJ: Analysis of tumor specimens at the time of acquired resistance to EGFR-TKI therapy in 155 patients with EGFR-mutant lung cancers. Clin Cancer Res. 19:2240–2247. 2013. View Article : Google Scholar : PubMed/NCBI

4 

Siegel RL, Miller KD, Fuchs HE and Jemal A: Cancer statistics, 2022. CA Cancer J Clin. 72:7–33. 2022. View Article : Google Scholar : PubMed/NCBI

5 

Chen ZQ, Huang LS and Zhu B: Assessment of seven clinical tumor markers in diagnosis of non-small-cell lung cancer. Dis Markers. 2018:98451232018. View Article : Google Scholar : PubMed/NCBI

6 

Wen Z, Huang Y, Ling Z, Chen J, Wei X, Su R, Tang Z, Wen Z, Deng Y and Hu Z: Lack of efficacy of combined carbohydrate antigen markers for lung cancer diagnosis. Dis Markers. 2020:47167932020. View Article : Google Scholar : PubMed/NCBI

7 

Lamy PJ, Grenier J, Kramar A and Pujol JL: Pro-gastrin-releasing peptide, neuron specific enolase and chromogranin A as serum markers of small cell lung cancer. Lung Cancer. 29:197–203. 2000. View Article : Google Scholar : PubMed/NCBI

8 

Kjellev S: The trefoil factor family-small peptides with multiple functionalities. Cell Mol Life Sci. 66:1350–1369. 2009. View Article : Google Scholar

9 

Thim L: Trefoil peptides: From structure to function. Cell Mol Life Sci. 53:888–903. 1997. View Article : Google Scholar

10 

Xiao P, Ling H, Lan G, Liu J, Hu H and Yang R: Trefoil factors: Gastrointestinal-specific proteins associated with gastric cancer. Clin Chim Acta. 450:127–134. 2015. View Article : Google Scholar

11 

Arumugam T, Brandt W, Ramachandran V, Moore TT, Wang H, May FE, Westley BR, Hwang RF and Logsdon CD: Trefoil factor 1 stimulates both pancreatic cancer and stellate cells and increases metastasis. Pancreas. 40:815–822. 2011. View Article : Google Scholar : PubMed/NCBI

12 

Rodrigues S, Rodrigue CM, Attoub S, Flejou JF, Bruyneel E, Bracke M, Emami S and Gespach C: Induction of the adenoma-carcinoma progression and Cdc25A-B phosphatases by the trefoil factor TFF1 in human colon epithelial cells. Oncogene. 25:6628–6636. 2006. View Article : Google Scholar : PubMed/NCBI

13 

Yusufu A, Shayimu P, Tuerdi R, Fang C, Wang F and Wang H: TFF3 and TFF1 expression levels are elevated in colorectal cancer and promote the malignant behavior of colon cancer by activating the EMT process. Int J Oncol. 55:789–804. 2019.

14 

Kannan N, Kang J, Kong X, Tang J, Perry JK, Mohankumar KM, Miller LD, Liu ET, Mertani HC, Zhu T, et al: Trefoil factor 3 is oncogenic and mediates anti-estrogen resistance in human mammary carcinoma. Neoplasia. 12:1041–1053. 2010. View Article : Google Scholar

15 

Pandey V, Wu ZS, Zhang M, Li R, Zhang J, Zhu T and Lobie PE: Trefoil factor 3 promotes metastatic seeding and predicts poor survival outcome of patients with mammary carcinoma. Breast Cancer Res. 16:4292014. View Article : Google Scholar : PubMed/NCBI

16 

Taupin DR, Kinoshita K and Podolsky DK: Intestinal trefoil factor confers colonic epithelial resistance to apoptosis. Proc Natl Acad Sci USA. 97:799–804. 2000. View Article : Google Scholar : PubMed/NCBI

17 

Ishibashi Y, Ohtsu H, Ikemura M, Kikuchi Y, Niwa T, Nishioka K, Uchida Y, Miura H, Aikou S, Gunji T, et al: Serum TFF1 and TFF3 but not TFF2 are higher in women with breast cancer than in women without breast cancer. Sci Rep. 7:48462017. View Article : Google Scholar : PubMed/NCBI

18 

Ruibal A, Nunez MI, del Rio MC, Garcia Diez S, Rodriguez J and Alvarez De Linera JA: Cytosolic pS2 levels in 154 non-small-cell lung carcinomas. Correlation with other clinical and biological parameters. Rev Esp Med Nucl. 21:109–114. 2002.(In Spanish). View Article : Google Scholar

19 

Amelung JT, Buhrens R, Beshay M and Reymond MA: Key genes in lung cancer translational research: A meta-analysis. Pathobiology. 77:53–63. 2010. View Article : Google Scholar : PubMed/NCBI

20 

Ohshio G, Suwa H, Kawaguchi Y, Imamura M, Yamaoka Y, Yamabe H, Matsumoto M, Yoshioka H, Hashimoto Y and Takeda H: Differential expression of human spasmolytic polypeptide (trefoil factor family-2) in pancreatic carcinomas, ampullary carcinomas, and mucin-producing tumors of the pancreas. Dig Dis Sci. 45:659–664. 2000. View Article : Google Scholar

21 

John R, El-Rouby NM, Tomasetto C, Rio MC and Karam SM: Expression of TFF3 during multistep colon carcinogenesis. Histol Histopathol. 22:743–751. 2007.

22 

Dhar DK, Wang TC, Maruyama R, Udagawa J, Kubota H, Fuji T, Tachibana M, Ono T, Otani H and Nagasue N: Expression of cytoplasmic TFF2 is a marker of tumor metastasis and negative prognostic factor in gastric cancer. Lab Invest. 83:1343–1352. 2003. View Article : Google Scholar

23 

Dhar DK, Wang TC, Tabara H, Tonomoto Y, Maruyama R, Tachibana M, Kubota H and Nagasue N: Expression of trefoil factor family members correlates with patient prognosis and neoangiogenesis. Clin Cancer Res. 11:6472–6478. 2005. View Article : Google Scholar : PubMed/NCBI

24 

Yamachika T, Werther JL, Bodian C, Babyatsky M, Tatematsu M, Yamamura Y, Chen A and Itzkowitz S: Intestinal trefoil factor: A marker of poor prognosis in gastric carcinoma. Clin Cancer Res. 8:1092–1099. 2002.PubMed/NCBI

25 

Yang Y, Lin Z, Lin Q, Bei W and Guo J: Pathological and therapeutic roles of bioactive peptide trefoil factor 3 in diverse diseases: Recent progress and perspective. Cell Death Dis. 13:622022. View Article : Google Scholar : PubMed/NCBI

26 

Babyatsky M, Lin J, Yio X, Chen A, Zhang JY, Zheng Y, Twyman C, Bao X, Schwartz M, Thung S, et al: Trefoil factor-3 expression in human colon cancer liver metastasis. Clin Exp Metastasis. 26:143–151. 2009. View Article : Google Scholar : PubMed/NCBI

27 

Ahmed ARH, Griffiths AB, Tilby MT, Westley BR and May FEB: TFF3 is a normal breast epithelial protein and is associated with differentiated phenotype in early breast cancer but predisposes to invasion and metastasis in advanced disease. Am J Pathol. 180:904–916. 2012. View Article : Google Scholar

28 

Buache E, Etique N, Alpy F, Stoll I, Muckensturm M, Reina-San-Martin B, Chenard MP, Tomasetto C and Rio MC: Deficiency in trefoil factor 1 (TFF1) increases tumorigenicity of human breast cancer cells and mammary tumor development in TFF1-knockout mice. Oncogene. 30:3261–3273. 2011. View Article : Google Scholar : PubMed/NCBI

29 

Bossenmeyer-Pourie C, Kannan R, Ribieras S, Wendling C, Stoll I, Thim L, Tomasetto C and Rio MC: The trefoil factor 1 participates in gastrointestinal cell differentiation by delaying G1-S phase transition and reducing apoptosis. J Cell Biol. 157:761–770. 2002. View Article : Google Scholar

30 

Minegishi K, Dobashi Y, Tsubochi H, Hagiwara K, Ishibashi Y, Nomura S, Nakamura R, Ohmoto Y and Endo S: TFF-1 functions to suppress multiple phenotypes associated with lung cancer progression. Onco Targets Ther. 14:4761–4777. 2021. View Article : Google Scholar : PubMed/NCBI

31 

Thompson AM, Elton RA, Hawkins RA, Chetty U and Steel CM: PS2 mRNA expression adds prognostic information to node status for 6-year survival in breast cancer. Br J Cancer. 77:492–496. 1998. View Article : Google Scholar : PubMed/NCBI

32 

Uchino H, Kataoka H, Itoh H, Hamasuna R and Koono M: Overexpression of intestinal trefoil factor in human colon carcinoma cells reduces cellular growth in vitro and in vivo. Gastroenterology. 118:60–69. 2000. View Article : Google Scholar : PubMed/NCBI

33 

Espinoza I, Agarwal S, Reddy A, Shenoy V, Subramony C, Sakiyama M, Fair L, Poosarla T, Zhou X, Shannon Orr W, et al: Expression of trefoil factor 3 is decreased in colorectal cancer. Oncol Rep. 45:254–264. 2021. View Article : Google Scholar : PubMed/NCBI

34 

Huang Z, Zhang X, Lu H, Wu L, Wang D, Zhang Q and Ding H: Serum trefoil factor 3 is a promising non-invasive biomarker for gastric cancer screening: A monocentric cohort study in China. BMC Gastroenterol. 14:742014. View Article : Google Scholar

35 

Aikou S, Ohmoto Y, Gunji T, Matsuhashi N, Ohtsu H, Miura H, Kubota K, Yamagata Y, Seto Y, Nakajima A, et al: Tests for serum levels of trefoil factor family proteins can improve gastric cancer screening. Gastroenterology. 141:837–845. e1–7. 2011. View Article : Google Scholar : PubMed/NCBI

36 

Vocka M, Langer D, Petrtyl J, Vockova P, Hanus T, Kalousova M, Zima T and Petruzelka L: Trefoil factor family (TFF) proteins as potential serum biomarkers in patients with metastatic colorectal cancer. Neoplasma. 62:470–477. 2015. View Article : Google Scholar

37 

Bignotti E, Ravaggi A, Tassi RA, Calza S, Rossi E, Falchetti M, Romani C, Bandiera E, Odicino FE, Pecorelli S and Santin AD: Trefoil factor 3: A novel serum marker identified by gene expression profiling in high-grade endometrial carcinomas. Br J Cancer. 99:768–773. 2008. View Article : Google Scholar : PubMed/NCBI

38 

Vestergaard EM, Borre M, Poulsen SS, Nexo E and Torring N: Plasma levels of trefoil factors are increased in patients with advanced prostate cancer. Clin Cancer Res. 12((3 Pt 1)): 807–812. 2006. View Article : Google Scholar : PubMed/NCBI

39 

Im S, Yoo C, Jung JH, Choi HJ, Yoo J and Kang CS: Reduced expression of TFF1 and increased expression of TFF3 in gastric cancer: Correlation with clinicopathological parameters and prognosis. Int J Med Sci. 10:133–140. 2013. View Article : Google Scholar

40 

Casado E, Garcia VM, Sanchez JJ, Gomez Del Pulgar MT, Feliu J, Maurel J, Castelo B, Moreno Rubio J, Lopez RA, Garcia-Cabezas MA, et al: Upregulation of trefoil factor 3 (TFF3) after rectal cancer chemoradiotherapy is an adverse prognostic factor and a potential therapeutic target. Int J Radiat Oncol Biol Phys. 84:1151–1158. 2012. View Article : Google Scholar : PubMed/NCBI

41 

Li Q, Wang K, Su C and Fang J: Serum Trefoil Factor 3 as a protein biomarker for the diagnosis of colorectal cancer. Technol Cancer Res Treat. 16:440–445. 2017. View Article : Google Scholar

42 

Qu Y, Yang Y, Ma D and Xiao W: Increased trefoil factor 3 levels in the serum of patients with three. Oncol Rep. 27:1277–1283. 2012. View Article : Google Scholar : PubMed/NCBI

43 

Amin MB, Greene FL, Edge SB, Compton CC, Gershenwald JE, Brookland RK, Meyer L, Gress DM, Byrd DR and Winchester DP: The Eighth Edition AJCC Cancer Staging Manual: Continuing to build a bridge from a population-based to a more ‘personalized’ approach to cancer staging. CA Cancer J Clin. 67:93–99. 2017. View Article : Google Scholar : PubMed/NCBI

44 

Dobashi Y, Tsubochi H, Matsubara H, Inoue J, Inazawa J, Endo S and Ooi A: Diverse involvement of isoforms and gene aberrations of Akt in human lung carcinomas. Cancer Sci. 106:772–781. 2015. View Article : Google Scholar

45 

Ribieras S, Tomasetto C and Rio MC: The pS2/TFF1 trefoil factor, from basic research to clinical applications. Biochim Biophys Acta. 1378:F61–F77. 1998.

46 

Xue H, Lu B, Zhang J, Wu M, Huang Q, Wu Q, Sheng H, Wu D, Hu J and Lai M: Identification of serum biomarkers for colorectal cancer metastasis using a differential secretome approach. J Proteome Res. 9:545–555. 2010. View Article : Google Scholar : PubMed/NCBI

47 

Chen RM, Chiou YS, Chong QY, Poh HM, Tan TZ, Zhang MY, Ma L, Zhu T, Pandey V, Basappa, Kumar AP and Lobie PE: Pharmacological Inhibition of TFF3 Enhances Sensitivity of CMS4 Colorectal Carcinoma to 5-Fluorouracil through Inhibition of p44/42 MAPK. Int J Mol Sci. 20:62152019. View Article : Google Scholar

48 

Yusup A, Huji B, Fang C, Wang F, Dadihan T, Wang HJ and Upur H: Expression of trefoil factors and TWIST1 in colorectal cancer and their correlation with metastatic potential and prognosis. World J Gastroenterol. 23:110–120. 2017. View Article : Google Scholar

49 

Xie H, Guo JH, An WM, Tian ST, Yu HP, Yang XL, Wang HM and Guo Z: Diagnostic value evaluation of trefoil factors family 3 for the early detection of colorectal cancer. World J Gastroenterol. 23:2159–2167. 2017. View Article : Google Scholar

50 

Kaise M, Miwa J, Tashiro J, Ohmoto Y, Morimoto S, Kato M, Urashima M, Ikegami M and Tajiri H: The combination of serum trefoil factor 3 and pepsinogen testing is a valid non-endoscopic biomarker for predicting the presence of gastric cancer: A new marker for gastric cancer risk. J Gastroenterol. 46:736–745. 2011. View Article : Google Scholar

51 

Huang YG, Li YF, Wang LP and Zhang Y: Aberrant expression of trefoil factor 3 is associated with colorectal carcinoma metastasis. J Cancer Res Ther. 9:376–380. 2013. View Article : Google Scholar : PubMed/NCBI

52 

Xiao L, Liu YP, Xiao CX, Ren JL and Guleng B: Serum TFF3 may be a pharamcodynamic marker of responses to chemotherapy in gastrointestinal cancers. BMC Clin Pathol. 14:262014. View Article : Google Scholar

53 

Higashiyama M, Doi O, Kodama K, Yokuchi H, Inaji H and Tateishi R: Estimation of serum level of pS2 protein in patients with lung adenocarcinoma. Anticancer Res. 16:2351–2355. 1996.PubMed/NCBI

54 

Swensen SJ, Jett JR, Hartman TE, Midthun DE, Sloan JA, Sykes AM, Aughenbaugh GL and Clemens MA: Lung cancer screening with CT: Mayo Clinic experience. Radiology. 226:756–761. 2003. View Article : Google Scholar : PubMed/NCBI

55 

Sone S, Li F, Yang ZG, Honda T, Maruyama Y, Takashima S, Hasegawa M, Kawakami S, Kubo K, Haniuda M and Yamanda T: Results of three-year mass screening programme for lung cancer using mobile low-dose spiral computed tomography scanner. Br J Cancer. 84:25–32. 2001. View Article : Google Scholar : PubMed/NCBI

56 

Swensen SJ, Jett JR, Sloan JA, Midthun DE, Hartman TE, Sykes AM, Aughenbaugh GL, Zink FE, Hillman SL, Noetzel GR, et al: Screening for lung cancer with low-dose spiral computed tomography. Am J Respir Crit Care Med. 165:508–513. 2002. View Article : Google Scholar : PubMed/NCBI

57 

Manser RL, Irving LB, de Campo MP, Abramson MJ, Stone CA, Pedersen KE, Elwood M and Campbell DA: Overview of observational studies of low-dose helical computed tomography screening for lung cancer. Respirology. 10:97–104. 2005. View Article : Google Scholar : PubMed/NCBI

58 

Pastorino U: Lung cancer screening. Br J Cancer. 102:1681–1686. 2010. View Article : Google Scholar : PubMed/NCBI

59 

dos Santos Silva E, Ulrich M, Doring G, Botzenhart K and Gott P: Trefoil factor family domain peptides in the human respiratory tract. J Pathol. 190:133–142. 2000. View Article : Google Scholar

60 

Wiede A, Jagla W, Welte T, Kohnlein T, Busk H and Hoffmann W: Localization of TFF3, a new mucus-associated peptide of the human respiratory tract. Am J Respir Crit Care Med. 159((4 Pt 1)): 1330–1335. 1999. View Article : Google Scholar : PubMed/NCBI

61 

Wang DG, Johnston CF, Liu WH, Sloan JM and Buchanan KD: Expression of a breast-cancer-associated protein (pS2) in human neuro-endocrine tumours. Int J Cancer. 74:270–274. 1997. View Article : Google Scholar : PubMed/NCBI

62 

Ruchaud-Sparagano MH, Westley BR and May FE: The trefoil protein TFF1 is bound to MUC5AC in human gastric mucosa. Cell Mol Life Sci. 61:1946–1954. 2004. View Article : Google Scholar

63 

Otto WR and Thim L: Trefoil factor family-interacting proteins. Cell Mol Life Sci. 62:2939–2946. 2005. View Article : Google Scholar

64 

Kouznetsova I, Laubinger W, Kalbacher H, Kalinski T, Meyer F, Roessner A and Hoffmann W: Biosynthesis of gastrokine-2 in the human gastric mucosa: Restricted spatial expression along the antral gland axis and differential interaction with TFF1, TFF2 and mucins. Cell Physiol Biochem. 20:899–908. 2007. View Article : Google Scholar : PubMed/NCBI

65 

Sturmer R, Muller S, Hanisch FG and Hoffmann W: Porcine gastric TFF2 is a mucus constituent and differs from pancreatic TFF2. Cell Physiol Biochem. 33:895–904. 2014. View Article : Google Scholar : PubMed/NCBI

66 

Hoffmann W: Trefoil factor family (TFF) peptides and their diverse molecular functions in mucus barrier protection and more: Changing the paradigm. Int J Mol Sci. 21:45352020. View Article : Google Scholar

67 

Koh MJ, Shin DH, Lee SJ, Hwang CS, Lee HJ, Kim A, Park WY, Lee JH, Choi KU, Kim JY, et al: Gastric-type gene expression and phenotype in non-terminal respiratory unit type adenocarcinoma of the lung with invasive mucinous adenocarcinoma morphology. Histopathology. 76:898–905. 2020. View Article : Google Scholar : PubMed/NCBI

68 

Ge H, Gardner J, Wu X, Rulifson I, Wang J, Xiong Y, Ye J, Belouski E, Cao P, Tang J, et al: Trefoil Factor 3 (TFF3) is regulated by food intake, improves glucose tolerance and induces mucinous metaplasia. PLoS One. 10:e01269242015. View Article : Google Scholar : PubMed/NCBI

69 

Baus-Loncar M, Schmid J, Lalani el-N, Rosewell I, Goodlad RA, Stamp GW, Blin N and Kayademir T: Trefoil factor 2 (TFF2) deficiency in murine digestive tract influences the immune system. Cell Physiol Biochem. 16:31–42. 2005. View Article : Google Scholar : PubMed/NCBI

70 

Itoh H, Tomita M, Uchino H, Kobayashi T, Kataoka H, Sekiya R and Nawa Y: cDNA cloning of rat pS2 peptide and expression of trefoil peptides in acetic acid-induced colitis. Biochem J. 318((Pt 3)): 939–944. 1996. View Article : Google Scholar : PubMed/NCBI

71 

Xian CJ, Howarth GS, Mardell CE, Cool JC, Familari M, Read LC and Giraud AS: Temporal changes in TFF3 expression and jejunal morphology during methotrexate-induced damage and repair. Am J Physiol. 277:G785–G795. 1999.

72 

Hoffmann W: Trefoil factor family (TFF) peptides and their links to inflammation: A Re-evaluation and new medical perspectives. Int J Mol Sci. 22:49092021. View Article : Google Scholar

Related Articles

  • Abstract
  • View
  • Download
  • Twitter
Copy and paste a formatted citation
Spandidos Publications style
Minegishi K, Dobashi Y, Koyama T, Ishibashi Y, Furuya M, Tsubochi H, Ohmoto Y, Yasuda T and Nomura S: Diagnostic utility of trefoil factor families for the early detection of lung cancer and their correlation with tissue expression. Oncol Lett 25: 139, 2023.
APA
Minegishi, K., Dobashi, Y., Koyama, T., Ishibashi, Y., Furuya, M., Tsubochi, H. ... Nomura, S. (2023). Diagnostic utility of trefoil factor families for the early detection of lung cancer and their correlation with tissue expression. Oncology Letters, 25, 139. https://doi.org/10.3892/ol.2023.13725
MLA
Minegishi, K., Dobashi, Y., Koyama, T., Ishibashi, Y., Furuya, M., Tsubochi, H., Ohmoto, Y., Yasuda, T., Nomura, S."Diagnostic utility of trefoil factor families for the early detection of lung cancer and their correlation with tissue expression". Oncology Letters 25.4 (2023): 139.
Chicago
Minegishi, K., Dobashi, Y., Koyama, T., Ishibashi, Y., Furuya, M., Tsubochi, H., Ohmoto, Y., Yasuda, T., Nomura, S."Diagnostic utility of trefoil factor families for the early detection of lung cancer and their correlation with tissue expression". Oncology Letters 25, no. 4 (2023): 139. https://doi.org/10.3892/ol.2023.13725
Copy and paste a formatted citation
x
Spandidos Publications style
Minegishi K, Dobashi Y, Koyama T, Ishibashi Y, Furuya M, Tsubochi H, Ohmoto Y, Yasuda T and Nomura S: Diagnostic utility of trefoil factor families for the early detection of lung cancer and their correlation with tissue expression. Oncol Lett 25: 139, 2023.
APA
Minegishi, K., Dobashi, Y., Koyama, T., Ishibashi, Y., Furuya, M., Tsubochi, H. ... Nomura, S. (2023). Diagnostic utility of trefoil factor families for the early detection of lung cancer and their correlation with tissue expression. Oncology Letters, 25, 139. https://doi.org/10.3892/ol.2023.13725
MLA
Minegishi, K., Dobashi, Y., Koyama, T., Ishibashi, Y., Furuya, M., Tsubochi, H., Ohmoto, Y., Yasuda, T., Nomura, S."Diagnostic utility of trefoil factor families for the early detection of lung cancer and their correlation with tissue expression". Oncology Letters 25.4 (2023): 139.
Chicago
Minegishi, K., Dobashi, Y., Koyama, T., Ishibashi, Y., Furuya, M., Tsubochi, H., Ohmoto, Y., Yasuda, T., Nomura, S."Diagnostic utility of trefoil factor families for the early detection of lung cancer and their correlation with tissue expression". Oncology Letters 25, no. 4 (2023): 139. https://doi.org/10.3892/ol.2023.13725
Follow us
  • Twitter
  • LinkedIn
  • Facebook
About
  • Spandidos Publications
  • Careers
  • Cookie Policy
  • Privacy Policy
How can we help?
  • Help
  • Live Chat
  • Contact
  • Email to our Support Team